Home Toward a comprehensive framework for tonal analysis: Yangru tone in Southern Min
Article Open Access

Toward a comprehensive framework for tonal analysis: Yangru tone in Southern Min

  • Yishan Huang EMAIL logo
Published/Copyright: July 2, 2025
Become an author with De Gruyter Brill

Abstract

This study establishes a comprehensive framework for analyzing tone as an important but complex mechanism in East and Southeast Asian tonal languages. The Yangru tone in Southern Min is taken for an in-depth case study for its significant historical, ethnolinguistic, and typological implications. The scientifically grounded analysis reveals severe issues of inconsistency, inadequacy, and inaccuracy in conventional studies, and the complexity of tonal behaviors across linguistic contexts that incorporate tonal realization, tone sandhi, tonal coarticulation, segmental-tonal interactions, and segmental-tonal alignment constraints. This exploration has substantially extended our knowledge of tonal phonetics (tonetics), tonal phonology (tonology), and tonal phonotactics (tonotactics). It has empirical and typological significance to serve as an analytical model to sophisticatedly, adequately, and accurately analyze tone and sheds important light on exploring the complexity of human speech beyond the category of tone and decoding complexity using scientifically testable methodology and theoretical perspectives, thereby advancing our understanding of human languages.

1 Introduction

Tone constitutes an important linguistic mechanism in approximately 50% (Hyman 2011) or 60–70% (Yip 2002) of human languages. The issue of tone is conventionally assumed to a deal of how pitch changes to alter lexical meaning and/or to convey grammatical information (e.g., Chao 1930, Hyman 2011, Yip 2002, Pike 1948, Wang 1967, Donohue 1997, Brunelle and Kirby 2016). However, tone behaves in a way that is much more complicated than expected, and the insights provided by conventional tonal studies may not accurately and sufficiently reflect the reality of tonal behaviors in real-world utterances. For example, it is often seen in the literature that the same tone is transcribed differently. For example, in Zhangzhou Southern Min, tone 2, which corresponds to the Yangping tone in the Middle Chinese (MC) tonal category, has been transcribed in five different ways: a low convex contour [212] (Dong 1959), a low-rising contour of three different transcriptions [13] (Lin 1992, FJG 1998, Yang 2008), [12] (Ma 1994), [23] (Gao 1999), and a low-level contour [22] (Huang 2018, 2022a, 2023a). Chao’s (1930) notational model, which has been most widely adopted to describe tone, is often claimed to be insufficient to capture tonal contrast (cf. Anderson 1978, Wedekind 1983, Maddieson 1990, Zhu 2012, Rose 2004, 2016, Huang 2018). For example, Rose (2004, 110) asserts Chao’s five-point scale ‘is probably not an accurate reflection of the distribution of tonal pitch targets’. The single dimension of the pitch is also claimed to be insufficient for characterizing the tonal property. In many languages, such as Southern Min (Huang 2018, 2020, 2023b) and Southeast Asia (e.g., DiCanio 2009, Brunelle and Kirby 2016, Brunelle and Tấn 2021, Huffman 1987, Mortensen 2013, Andruski and Ratliff 2000, Esposito and Khan 2020), tonal realizations often involve a bundle of phonetic features. For example, each Burmese tone is assigned a particular phonation: a low, modal-voiced tone; a high, breathy tone; a high, creaky tone; and a very high, tense-voiced tone (Mortensen 2013). The single linguistic context of citations is also argued to be inadequate in uncovering the nature of tonal properties. Because tones in many Sinitic languages, such as Mandarin, Wu, Min, Cantonese, and Shanghainese, can alter their realizations categorically when they occur in connected speech, which constitutes the phenomenon of tone sandhi (cf. Benedict 1948, Pike 1948, Ballard 1988, Chen 2000, Zhang 2007). Likewise, the conventional criterion or default principle to specify a particular tonal phenomenon may not accurately reflect phonetic reality. For example, the specification of the dominance of tone sandhi systems conventionally relies on where the tonal citation form is preserved without change (cf. Shih 1986, Ballard 1988, Rose 2004, 2016, Chen 2000, Zhang 2007, Huang 2018, 2020, 2022b, Shen and Rose 2016). However, humans move their vocal apparatus in a continuous mode that can induce overlapping articulatory gestures and result in speech variation in a predictable way, which constitutes the phenomenon of co-articulation (cf. Celata and Calderone 2015, Algeo 1975, Kirby and Yu 2007, Zhang 2006, Duanmu 2003, Pearce 2007, Huang 2018). Thus, it is questionable whether the citation form may be maintained without change and whether it can be used as a default criterion to determine the dominance of sandhi. In addition, tones cannot be randomly aligned with segments to convey different semantic and/or grammatical information at the syllable level. Because phonotactics has been tested cross-linguistically to impose severe restrictions on segmental sequency (Kirby and Yu 2007), and tonal alignment (Huang 2021, 2024a), which could substantially affect the number of syllables that can be functionally used in conversations. For example, in Cantonese, approximately 64% of the theoretically permissible syllables are prohibited because of phonotactic constraints (Kirby and Yu 2007). As mentioned, our knowledge of tone may be very limited if we rely exclusively on the conventional model of pitch description and the single citation context. Advanced research methodologies and theoretical perspectives are thus imperative for updating our knowledge of tone as an important phonological category in the world’s natural languages.

This study aims to establish a comprehensive framework to analyze tones, particularly in East and Southeast Asia, where tone constitutes an important but complicated event. It is designed to sophisticatedly, accurately, and adequately encode the complexity of tones from diverse dimensions but in a scientifically justifiable fashion. The Yangru tone in Zhangzhou Southern Min, a Sinitic language spoken in the southern Fujian province of mainland China is taken for an in-depth case study for its historical, ethnolinguistic, and typological values and practical implications.

Historically and ethnologically, Southern Min has a unique position in China but also in Asia. It has been claimed to split off from mainstream Sinitic languages in the transition period between Western and Eastern Han (roughly 50 BCE–50 CE) (c.f., Baxter and Sagart 2014, Norman 1988, 1991, Handel 2010, Matisoff 1973, Michaud and Sands 2020, Pulleyblank 1978). As such, Min is conventionally regarded as a living fossil by historical linguists to construct the proto-language of Old Chinese. It may also be the first language to receive and develop tone in Sinitic languages. This is because Old Chinese around 1200 BC is presumed to be atonal (c.f., Michaud and Sands 2020, Sagart 1989), while four tones had been documented in the MC around 500 CE, which were named in Ping ‘level’, Shang ‘rising’, Qu ‘departing’, and Ru ‘entering’ (c.f. Sagart 1989, Baxter and Sagart 2014, Norman 1988, 1991, Handel 2010, Pan and Zhang 2015, Li and Yao 2008, Yang 2005). It will be of synchronic and diachronic implications to examine the nature of the tonal property in a language that has more than 2,000 histories. Additionally, Southern Min is transregional in nature. Since the sixth century, the ethnolinguistic group of Southern Min has migrated from southern Fujian to a range of countries worldwide, particularly in Southeast Asia, such as Singapore, Indonesia, Malaysia, the Philippines, Brunei, Thailand, Myanmar, Vietnam, Cambodia, and Laos (cf. Ding 2016, Kwok 2019, Jones 2009, Sew 2020, Gonzales 2022), and has exerted far-reaching impacts on the diversity of demographics, economy, society, culture, and language in this region. For example, in the late nineteenth century, Southern Min people constituted about 46% of all ethnic Chinese in Malaysia (Ong 2020), almost 49% in Singapore (Ding 2016), and over 90% in the Philippines (Gonzales 2022). The language of Southern Min has historically served as a lingua franca among overseas Chinese in Southeast Asia and as an official language in some regions, such as Penang Malaysia (Ong 2020, David et al. 2009). As such, this study will have significant ethnolinguistic implications to examine how tones behave in other Southern Min varieties in Southeast Asia and further in future research.

Typologically, this Yangru tone possesses several significant characteristics to advance our tonal knowledge. This tone is diachronically related to syllables with voiced onsets and obstruent codas. In the context of citation, it has been transcribed either as a low convex contour [121] (Ma 1994, Yang 2008, FJG 1998, Guo 2014, ZZG 1999), or a low-rising contour of [13] (Gao 1999) and [12] (Dong 1959) in prior studies but shows a low level with a falling tail [221] in acoustically quantified patterns (Huang 2018, 2022a). It can be encoded categorically differently from its citation form at a non-rightmost position of multisyllabic constituents, reflecting a phenomenon of right-dominant tone sandhi. It can be encoded categorically similar to its citation form but presents allophonic variation at a right-dominant position, reflecting a forcing effect of tonal coarticulation but questioning the conventional criterion or default principle on the specification of tone sandhi dominancy. Likewise, high vowels and obstruent codas can change their phonetic realizations in this tone in different linguistic contexts, reflecting intricate interactions between segments and suprasegments that shape a dynamic profile of tonal morphemes in this language. However, the productivity of this tone is severely constrained at a syllable level. It is theoretically possible to generate approximately 915 syllables; however, only 117 syllables are attested in the field, reflecting substantial phonotactic constraints on its alignments with segments to form syllables. As indicated, the encoding of this tone is highly dynamic and complex. An in-depth analysis of this tone will extend our knowledge of tonal phonetics (tonetics), tonal phonology (tonology), and tonal phonotactics (tonotactics) while contributing vital linguistic data to the typology of tone and associated phenomena of tone sandhi, tonal coarticulation, segmental-suprasegmental interaction, and tonal phonotactics in the world’s natural languages.

Practically speaking, this tone did not receive systematic attention from a modern linguistic perspective until Huang’s (2018) preliminary initiative. All prior studies (e.g., Schlegel 1886, Dong 1959, Lin 1992, Ma 1994, ZZG 1999, Gao 1999) are dominantly impressionistic and characterize tones in terms of the MC tonal categories, with examples written in Chinese characters, but without any further discussion on tonal phonetics, tonal phonology, and tonal phonotactics. In addition, this tone has been transcribed differently among scholars, as discussed above. Thus, there are significant limitations to the insights that conventional studies can offer to reveal the nature of this tone. However, this constitutes an important research opportunity for this study to conduct an in-depth analysis and achieve a comprehensive framework on how tones should be accurately and sufficiently analyzed using an advanced research methodology and theoretical perspective.

This study incorporated field linguistics, acoustic phonetics, statistical testing, and phonological theory to examine the nature of this tone from multiple dimensions. It is built on empirical data from 21 native speakers of Zhangzhou Southern Min, which is conventionally considered as one of two cradle places (the other is Quanzhou) where Southern Min originates and spreads to a range of regions in Asia and beyond, but it is much less studied. Four research questions are addressed in this study: (a) How is this Yangru tone encoded in F0 and duration across three different linguistic contexts? (b) What tonal processes (tone sandhi and tonal co-articulation) can be induced in this tone in accordance with changing linguistic contexts? (c) How can segments in this tone change their phonetics across contexts, and how can segments interact with suprasegments to shape a dynamic and complicated profile of tonal morphemes in this language? and (d) How can the productivity of this tone and its alignment with segments be constrained, and what mechanisms have triggered phonotactic constraints on this tone at the syllabic level? In total, eight sections are incorporated in this study to introduce research background, research methodologies, Yangru tone in citation, Yangru tone in phrase-initial context, Yangru tone in phrase-final context, segmental–suprasegmental interactions in Yangru tone, phonotactic constraints in Yangru tone, and discussion. The in-depth analysis is firmly grounded in empirically justifiable and scientifically testable patterns that ensure a high level of generation and explanation. This exploration has empirical, theoretical, and typological implications to serve as an analytical model to sophisticatedly, adequately, and accurately analyze tones in languages in which tones constitute an important but complicated event, particularly in East and Southeast Asia. This study can also shed important light on how human beings structure the complexity of speech sounds beyond the category of tone in their mental grammar and decode the complexity in a way that can be quantified from a scientific perspective.

2 Research methodologies

2.1 Zhangzhou speech

Zhangzhou is a prefecture-level city situated in the southern part of Fujian Province in mainland China at longitude 116°54′0″ to 118°08′0″ east and latitude 23°34′0″N to 25°15′0″ north. Its east is opposite to the Taiwan Strait, while its southwest borders Chaozhou, a prefectural city in Guangzhou Province. The city covers an area of approximately 12,600 km² and hosts a population of approximately 5.05 million in the 2020 census (Huang 2021, 2022a). The colloquial language spoken by native Zhangzhou people is Southern Min (ISO 639-3 [nan]; anglicized as Hokkien), which is mutually intelligible to Xiamen, Quanzhou, and Taiwan Southern Min but is entirely unintelligible to other Sinitic languages, such as Mandarin, Hakka, Cantonese, and Wu. The city has four districts (Xiangcheng, Longwen, Longhai, and Changtai) and seven counties (Hua’an, Nanjing, Pinghe, Zhao’an, Yunxiao, Zhangpu, and Dongshan). Certain regional variations can be observed in their sound systems (Ma 1994, Yang 2008). For example, this Yangru tone is transcribed as a short high contour [4] in Longhai, a mid-level contour [33] in Changtai, a low-rising contour [13] in Dongshan and Zhao’an, and as a convex contour of either [121] or [131] elsewhere (Yang 2008). This study restricts the research locality to Longwen and Xiangcheng districts, the innermost urban area of Zhangzhou City, which is considered to be historically, socially, culturally, and linguistically representative of Zhangzhou (Ma 1994, ZZG 1999). This selection can maximally ensure that derived scientific patterns are truly representative of Zhangzhou Southern Min as an independent language.

2.2 Corpus

The empirical data processed in this study were collected by the author from 21 native speakers, comprising 9 males and 12 females, in a formal field in the city of Zhangzhou in 2015. They were all born and grew up either in Longwen or Xiangcheng district and have been speaking Zhangzhou Southern Min as their mother tongue since childhood. Their parents and spouses are also native speakers of this language. None of them had physical issues to utter and perceive speech sounds. The average age for male speakers was 56.5 and 50 for female speakers at the time of recording. Language data recording was conducted in an acoustically soundproofing room in Zhangzhou Hotel through a professional cardioid condenser microphone at a sampling frequency of 44,100 Hz in Praat. The corpus incorporated 160 monosyllabic tokens, as illustrated in Table 1, and 588 disyllabic phrases, as illustrated in Table 2, in which this Yangru tone is denoted as tone 7. In this study, about 192 disyllabic tokens (12 samples × 8 combinations × 2 contexts) were elicited from individual speakers to examine how the Yangru tone changes realizations in linguistic contexts of phrase-initial and phrase-final, and how different tonal forms are related. What should be noted is that in Table 1, each tone is given its corresponding name in terms of the MC tonal category to make it diachronically traceable and synchronically comparable with other Sinitic languages. Tone 8 is given the name of Yangru (new) because it is a new tone emerging from those syllables that are conventionally transcribed with a glottal stop coda in Yangru tone, but the glottal stop coda is found to undergo deletion in synchronic speech (Huang 2018, 2023c). To maintain its origin, it is named under the category of Yangru but given a note to signify its difference from Yangru tone 7 which is related to syllables ending in obstruent codas and having a different F0 contour.

Table 1

Examples of Zhangzhou citation tones

MC tone Pitch Example 1 Example 2 Example 3
1 Yinping [35] kɔ35 ‘mushroom’ tɐŋ35 ‘east’ si35 ‘poem’
2 Yangping [22] kɔ22 ‘glue’ tɐŋ22 ‘copper’ si22 ‘time’
3 Shang [51] kɔ51 ‘drum’ tɐŋ51 ‘to wait’ si51 ‘to die’
4 Yinqu [41] kɔ41 ‘look after’ tɐŋ41 ‘frozen’ si41 ‘four’
5 Yangqu [33] ħɔ33 ‘rain’ tɐŋ33 ‘heavy’ si33 ‘yes’
6 Yinru [41] kɔk41 ‘country’ tɐp41 ‘answer’ sik41 ‘colour’
7 Yangru [221] tɔk221 ‘poison’ tsɐp221 ‘ten’ sik221 ‘ripe’
8 Yangru (new) [22] kɔ̃22 ‘snore’ tsi22 ‘tongue’ tsi22 ‘tongue’
Table 2

Examples of Zhangzhou disyllabic tones

Phrase-initial example Phrase-final example
7 + 1 zit.kɐn ‘daily time’ 1 + 7 kwi.zit ‘all day long’
7 + 2 zit.tʰɐw ‘sun’ 2 + 7 tʰɐw.zit ‘the first day’
7 + 3 zit.tsi ‘life; day’ 3 + 7 ɓwe.zit ‘every day’
7 + 4 zit.ki ‘diary’ 4 + 7 pwɐ̃.zit ‘half a day’
7 + 5 zit.ʔjɔŋ ‘commodity’ 5 + 7 ʔɐw.zit ‘the day after’
7 + 6 zit.tsʰut ‘sunrise’ 6 + 7 tsʰut.zit ‘sun-comes-out’
7 + 7 zit.ɗit ‘calendar’ 7 + 7 pɐt.zit ‘another day’
7 + 8 tɔk.ʔjɵ ‘toxicant’ 8 + 7 pɛ.tit ‘straightforward’

2.3 Acoustic processing

Two main acoustic correlates of tone, fundamental frequency (F0) and duration, were quantified using Praat. In alignment with most tonal studies in Sinitic languages (e.g., Rose 1986, 2016, Huang et al. 2016, Huang 2018, 2020, 2022a, 2023a), tonal duration was determined to incorporate all syllable segments, except onset consonants. Figure 1 illustrates how the tonally relevant duration was determined (Huang 2020). The duration onset was set at a glottal pulse, where the amplitude of air pressure fluctuation began to increase, the periodicity of speech wave vibration appeared regular, and the formant patterns of related tokens were clearly stable in spectrograms. In contrast, the offset was set at a point where the periodicity of speech wave vibration became irregular and formant patterns ceased to be visible (Huang 2020, 2022a). Raw F0 and duration values were extracted using a pre-designed script at ten equidistant sampling points within labeled tonal duration. About 33,600 F0 values (160 tokens × 21 speakers × 10 sampling points) and 3,360 durational values (160 tokens × 21 speakers) were measured for monosyllabic tones, and about 40,320 F0 values (192 tokens × 21 speakers × 10 sampling points) and 4,032 durational values (192 tokens × 21 speakers) were extracted to examine this tone in disyllabic phrases. In addition, the first three formant values, labeled F1, F2, and F3, were also extracted to examine how vowel quality and obstruent codas change their phonetics across different linguistic contexts, and how they interact with suprasegments to encode tonal morphemes in this tone.

Figure 1 
                  Praat labeled monosyllabic example /kɛ1/ ‘home’ (WYF, male).
Figure 1

Praat labeled monosyllabic example /kɛ1/ ‘home’ (WYF, male).

Acoustic signals are expected to be variable because they contain not only linguistic content but also a range of extralinguistic information such as speakers’ sociocultural background, vocal tract anatomy, and pragmatic intent (cf. Lobanov 1971, Rose 2016, Huang et al. 2016). This study conducted a series of normalization processes to reduce intra-and inter-speaker variation in the hope of deriving tonal representations of linguistic significance. An z-score approach was used to normalize raw F0 values, as presented in formula (1), whereas an absolute approach was employed to normalize raw duration values, as shown in formula (2) (Rose 2016, Huang et al. 2016, Huang 2018, 2020, 2022b). Lobanov’s (1971) approach was adopted to normalize formant frequency values as shown in formula (3).

(1) Z i = ( X i m ) / s ,

(2) D norm = ( D / D mean ) × 100 ,

(3) F i = ( X i m ) / s .

2.4 Statistical testing

This study employed the technique of pairwise t-test by effect size (Levshina 2015, Huang 2022a, 2023a) to determine whether a particular acoustic variable (F0 or duration) of this tone differs significantly as a function of surrounding tones in a specific context. This test was conducted under the assumption that each paired difference is independently and identically normally distributed. Thus, an exhaustive comparison of all possible paired differences is required. For example, examining whether the F0 offset of this tone is affected by its following tones in disyllabic phrases requires testing 28 (=8 × 7/2) paired differences, as illustrated in Figure 2.

Figure 2 
                  Pairwise t-test on F0 offset of Yangru tone across subsequent tones.
Figure 2

Pairwise t-test on F0 offset of Yangru tone across subsequent tones.

During the testing, Bonferroni correction was performed to control for a type I error and to ensure significance (Levshina 2015, Huang 2022a, 2023b). The corrected alpha was calculated by dividing the critical P value of 0.05 by the number of paired differences. For example, in the phrase-initial context, the corrected alpha value was 0.00186 (=0.05/28). If a calculated t-value was less than the corrected alpha of 0.00186, its related paired difference was considered statistically significant and vice versa. The pairwise t-testing results were visualized using hierarchical clustering algorithms to present a statistical relation among acoustic values in an objective way. Acoustic processing and statistical testing enabled this study to establish an analytical framework that is scientifically grounded and that can objectively interpret tonal behaviors and processes with a higher level of generalization.

3 Zhangzhou citation tones

3.1 Tonal F0

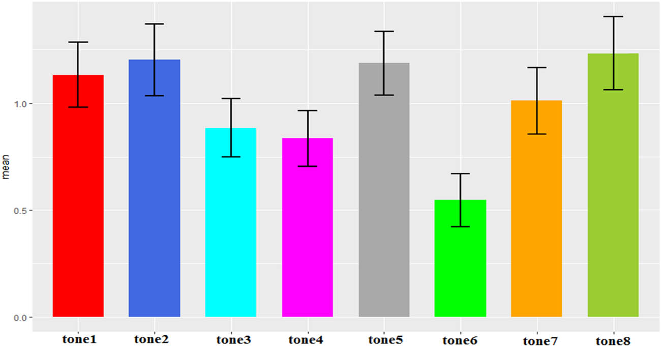
A number of documents have depicted Zhangzhou citation tones (e.g., Schlegel 1886, Dong 1959, Lin 1992, Ma 1994, ZZG 1999, Gao 1999, Huang 2018, 2020, 2022a, 2023a, b, c, d). All works prior to Huang’s (2018) study were based on auditory impressions and characterized Zhangzhou tones in terms of the MC tonal categories, with pitch values transcribed differently among scholars. In addition, they documented seven tones in this language, contradictory to Huang (2018, 2019, 2023d)’s proposal of an eight-tonal system, in which the eighth tone emerges from those syllables that are conventionally transcribed with a glottal stop coda in the MC Yangru tone, but the glottal coda is discovered undergoing deletion in the synchronic Zhangzhou speech. In addition, Huang (2018) asserts a multidimensional framework to characterize tonal behaviors and the totality of tonal contrasts in this language. This is proposed based on the fact that tones sharing a similar F0 contour can differ in other parameters, for example, tone 4 (Yinqu) and tone 6 (Yinru) are both realized as mid-falling [41] in the citation, but tone 6 is significantly shorter than tone 4. Likewise, tone 8 shares an identical low-level contour with tone 2 in the citation, but behaves differently in other contexts. It is beyond the scope of this study to provide a detailed introduction of how the eight-tonal system and the multidimensional framework are derived, but as an extension to understanding the nature of tonal property in this language, this eight-tone proposal is adopted in this study. Figure 3 plots normalized F0 contours of the eight lexical tones in citation, whereas Figure 4 visualizes the pairwise t-test result that examines how many F0 levels are contrastive in the citation context (Huang 2022a).

Figure 3 
                  
                     Z-score-normalized F0 pattern of individual Zhangzhou citation tones.
Figure 3

Z-score-normalized F0 pattern of individual Zhangzhou citation tones.

Figure 4 
                  Pairwise t-test results for F0 levels of all Zhangzhou citation tones.
Figure 4

Pairwise t-test results for F0 levels of all Zhangzhou citation tones.

As can be seen, Zhangzhou citation tones vary considerably in F0 contour shapes. An inventory of one rising (tone 1), three levels (tones 2, 5, and 8), three falling (tones 3, 4, and 6), and a level with a falling tail (tone 7) can be derived from acoustic patterns. The pairwise t-test result in Figure 4 reveals five F0 heights that are statistically significantly different and they are ranked from the highest F0 height (5) to the lowest F0 height (1) using the hierarchical clustering algorithm. For example, tone 3 at the 10% sampling point (onset) and tone 1 at the 100% sampling point (offset) are both tested to be the highest. In contrast, tones 3, 4, 6, and 7 at the 100% sampling point (offset) are tested to be the lowest. Thus, the eight lexical tones can be represented using numerical notations, as summarized in Table 3, along with their corresponding names in the MC tonal categories, to make them diachronically traceable and synchronically comparable with other Sinitic languages. Examples of individual citation tones with (semi-) minimal pairs are provided in Table 1 in Section 2. Some additional significant characteristics can also be generalized with respect to the property of Zhangzhou tones in the citation context.

  1. Tones that share a similar F0 contour shape can differ considerably in F0 contour height. For example, both tone 2 and tone 5 show a leveling trend in the citation context, but tone 5 has a statistically significant higher contour height. Likewise, tone 3 and tone 4 both present a falling contour, but the contour height of tone 3 is statistically significantly higher than that of tone 4. This reflects the phonemic function of F0 contour shape and F0 contour height to distinguish lexical items in this language.

  2. Tones can neutralize F0 contrasts in the citation context. For example, tones 4 and 6 both present a mid-high falling contour that is noted as [41], whereas tones 2 and 8 both present a low-level trend that is noted as [22]. The reason why they are separately posited as phonemically contrastive is because of their different realizations in other parameters, including duration, phonation, vowel quality, syllable coda type, and/or linguistic context (Huang 2018, 2020, 2023b, c, d). For example, tone 4 has a significantly longer duration than tone 6 in both citation and sandhi (non-right-most; non-phrase-final) positions. Tone 2 presents a mid-level contour, whereas tone 8 shows a mid-falling trend in the non-phrase-final sandhi position.

  3. Yang-registered tones have an F0 range lower than Yin-registered tones. For example, Yinping tone 1 presents a mid-rising contour, whereas Yangping tone 2 shows a low-level F0. Likewise, Yinqu tone 4 shows a mid-high falling contour, whereas Yangqu tone 5 appears as mid-level F0. This asymmetrical distribution can be ascribed to the diachronic constraint on the selection of tonal register with respect to a voicing status of onset consonants. Yang-registered tones are historically assigned to voiced onsets, while Yin-registered tones are assigned to voiceless onsets. As acknowledged in modern phonetic theory, voiced onsets have a depressing effect, whereas voiceless onsets have a raising effect on subsequent F0 contours (cf. Hombert 1978, Yip 2002, Abramson and Erickson 1978); thus, it is articulatorily understandable for Yang-registered tones to be pitched in a lower range in this language.

  4. The Yangru tone, labeled as tone 7, neither presents a low convex contour [121] (Ma 1994, Yang 2008, FJG 1998, Guo 2014, ZZG 1999), nor a low rising contour (Gao 1999, Dong 1959). Instead, its acoustic pattern shows a low-level trend with a fall tail in this context, which can be noted in [221]. What deserves special attention is that this tone shares a similar low-levelling trend with tones 2 and 8 over the first half of the duration; however, in the second half, its F0 contour is depressed with a shorter duration and a lower F0 offset. The depression is considered to result from an effect of laryngealization that is induced by the non-realization of obstruent codas in utterance-final contexts (Huang 2018, 2023d), which will be discussed in Section 6.

Table 3

Numerical representation of Zhangzhou citation tones

Tone MC tonal category F0/Pitch contour Numerical notation
1 Yinping Mid rising [35]
2 Yangping Mid-low level [22]
3 Shang High falling [51]
4 Yinqu Mid-high falling [41]
5 Yangqu Mid-level [33]
6 Yinru Mid-high falling [41]
7 Yangru Mid-low low level with a final fall [221]
8 Yangru Mid-low level [22]

3.2 Tonal duration

Zhangzhou tones also present variations in their duration. Figure 5 plots normalized duration patterns of individual citation tones, whereas Figure 6 visualizes the pairwise t-test result that examines the number of contrastive durations in citation (Huang 2018, 2022b). In total, four levels are tested to be statistically significantly different, which are ranked from the longest (1) to the shortest (4) and are summarized in Table 4. As indicated, Yinru tone 6, which is diachronically related to syllables with voiceless onsets and obstruent codas, is tested to be the shortest, while the three-level tones (tones 2, 5, and 8) are among the longest. Interestingly, the duration of Yangru tone 7 is not the shortest, as conventionally documented (Ma 1994, Yang 2008, Guo 2014); instead, it is longer than tones 3, 4, and 6. This falsifies the default convention in the studies of Sinitic tones which considers Ru tones that are related to stop-ending syllables to be the shortest (e.g., Ma 1994, Yang 2008, Guo 2014, Li and Yao 2008, Yang 2005). In addition, Yangru tone 7 is shorter than tones 2 and 8, which share a similar low-level F0 contour. This can also be considered an effect of laryngealization induced by the non-realization of obstruent codas in an utterance-final position.

Figure 5 
                  Normalized duration of Zhangzhou citation tones.
Figure 5

Normalized duration of Zhangzhou citation tones.

Figure 6 
                  Pairwise t-testing result on duration of Zhangzhou citation tones.
Figure 6

Pairwise t-testing result on duration of Zhangzhou citation tones.

Table 4

F0 and duration representations of Zhangzhou citation tones

Tone MC F0 Duration
1 Yinping [35] Extra long
2 Yangping [22]
5 Yangqu [33]
8 Yangru (new) [22]
7 Yangru [221] Long
3 Shang [51] Medium
4 Yinqu [41]
6 Yinru [41] Short

4 Phrase-initial Yangru tone

4.1 Tonal F0

Tones may change their realization categorically in connected speech, inducing a phenomenon of tone sandhi. Tonal citation form is considered to be the form when its monosyllabic morpheme is produced in isolation, in the case of Sinitic languages, while tonal sandhi form is referred to as the form when its monosyllabic morpheme alters its realization, particularly at both phonetic and phonological levels, in multisyllabic constructions. Tonal languages where relevant can be classified into be either right-dominant or left-dominant, depending on where tonal form in the citation is preserved and where tonal form undergoes a categorical change in connected speech (e.g., Shih 1986, Ballard 1988, Rose 2004, 2016, Chen 2000, Zhang 2007, Huang 2018, 2020, 2022b, Shen and Rose 2016). Specifically, in left-dominant languages, tones at the leftmost position are expected to maintain their citation forms but extend the realization over the whole domain. In contrast, in right-dominant languages, tones at the right-most position are assumed to maintain their citation forms while at a non-right-most position undergo categorical change. Zhangzhou Southern Min presents a typical right-dominant tone sandhi system (Huang 2018, 2020, 2022c). This can be straightforwardly seen in Figure 7 that plots the F0 contours of tone 3 in three contexts. It presents a high-falling contour in the citation and preserves this high-falling contour at the rightmost position of disyllabic constructions, but this tone changes the contour to rising at the non-right-most position, justifying a right-dominant tone sandhi system in this language.

Figure 7 
                  Illustration of right-dominant tone sandhi in Zhangzhou.
Figure 7

Illustration of right-dominant tone sandhi in Zhangzhou.

Driven by the forcing effect of right dominance of a sandhi system, this Yangru tone is expected to change its realizations categorically at a non-right-most position, a non-phrase-final position in particular. To explore how this tone changes its realization, Figure 8 plots the normalized F0 patterns of this tone across eight lexical tones, whereas Figure 9 visualizes the pairwise t-testing result that examines whether its F0 may be affected by subsequent tones and to what extent it may be affected (Huang 2018).

Figure 8 
                  Normalized F0 patterns of Yangru tone across phrase-final tones.
Figure 8

Normalized F0 patterns of Yangru tone across phrase-final tones.

Figure 9 
                  Pairwise t-test result on F0 offset of Yangru tone across phrase-final tones.
Figure 9

Pairwise t-test result on F0 offset of Yangru tone across phrase-final tones.

As shown, this Yangru tone consistently presents a decreasing trend between 0.5 and −0.5 s.d. across eight phrase-final tones, which can be noted as [32]. The change from a low-level trend with a falling tail [221] in citation to a mid-falling contour [32] at the non-phrase-final position justifies the effect of the right-dominant tone sandhi system occurring on this tone. In addition, the test result reveals no statistically significant difference in the F0 offset realization of this tone as a function of eight tones at the phrase-final position. This suggests that its F0 realization is phonologically inert to the category of following tones, because regardless of whether its following tone is rising, level, or falling, its F0 contour is consistently the same.

In addition, the domain where a tone sandhi process is expected to occur in this language is found to be aligned with the boundary of syntactic phrases XP, which also include multisyllabic words (Huang 2018). If tones occur at a non-phrase-final position, they alter their realization phonetically and phonologically, but maintain their citation forms at the phrase-final position. The tonal alternation within the general environment of syntactic phrases of this language is referred to as the general tone sandhi process (Huang 2018, 2022c). Figure 8 that examines the F0 realization of Yangru tone as a function of eight subsequent tones is plotted based on the empirical data of disyllabic phrases or words, as illustrated in Table 2. In addition, the general tone sandhi process appears to be irrelevant to the internal structure of syntactic phrases XP. Because regardless of whether the phrase is AP, NP, or VP, tones at a non-phrase-final sandhi position have the same output in F0. For example, the phrases /tit32.tit221/ ‘very straight’ (AP), /sit32.ɗik221/ ‘strength’ (NP), and /ħɐk32.sik221/ ‘to study’ (VP) have the same Yangru tone 7 + Yangru tone 7 combination but different internal structures at the underlying level. However, at the surface level, the F0 contours of the first Yangru tone 7 at phrase-initial morphemes consistently present a mid-falling trend, which is noted as [32], justifying its realizations is irrelevant to the category of syntactic phrases. What should also be noted is that this study restricts the discussion on the general tone sandhi process within the context of syntax phrases to demonstrate the forcing effect of a right-dominant tone sandhi system. There are also some other special tone sandhi patterns that are also right-dominant, but occur in very specific morphological processes, like infixation (Huang 2023e) and suffixation (Huang 2024b, c). For example, tonal morphemes before the suffix ʔɐ51, which can function as a nominal marker, diminutive maker, verbalizer, or nominalizer among others, alter their pitch contours to either rising or high level depending on their dominant contour shape in citation. Specifically, if tones have a dominant falling contour in citation, before this suffix ʔɐ51, they change their contour to rising; whereas if tones have a dominant-none falling contour, before this suffix ʔɐ51, their contour becomes rising (Huang 2024b). For this Yangru tone 7, since it possesses a dominant level contour with a falling tail, its related morphemes are found to bear a rising contour over the suffixation with ʔɐ51, such as /ɠjɔk35.ʔɐ51/ ‘jade’, and/ sik35.ʔɐ51/ ‘wing’. It is out of the scope to discuss special tone sandhi processes in this study, but they can be referred to in my other work in morphology (Huang 2023e, 2024b, c).

As discussed, this language is right-dominant in its tone sandhi system. In the domain of general syntactic phrases, the tone sandhi process is only sensitive to the boundary of syntactic phrases, while is phonologically inert to the category of subsequent tones, and is syntactically irrelevant to the internal structure of related phrases. These properties render this language to be typologically different from many other tonal languages. For example, the well-known third tone sandhi in Mandarin is entirely phonologically evoked because it only occurs in the third tone when it occurs before another third tone. Tone sandhi in Wenzhou and Shanghai are sensitive to the internal structure of syntactic phrases (cf. Ballard 1988, Chen 2000, Zhang 2007, Duanmu 2005). For example, in Shanghainese, the modifier-noun phrase (NP) shows a left-dominant tone sandhi pattern, whereas the verb-object phrase (VP) exhibits a right-dominant sandhi pattern (Duanmu 2005). In Zhangzhou, the general tone sandhi process is only sensitive to the boundary of syntactic phrase, the non-right-most (non-phrase-final) position.

4.2 Tonal duration

As an important parameter of tonal properties, this tone also changes its duration at a non-right-most (non-phrase-final) sandhi position. Figure 10 plots the normalized duration of Yangru tone as a function of eight tones at the phrase-final position, and Figure 11 shows the pairwise t-test result that examines whether the duration may be affected by subsequent tones in a statistically significant way. As can be seen, there is no statistically significant difference in its durational realization across subsequent tones. In other words, the change of tonal categories at the right-dominant position does not affect its duration at both phonological and phonetic levels.

Figure 10 
                  Normalized duration of phrase-initial tone 7 across phrase-final tones.
Figure 10

Normalized duration of phrase-initial tone 7 across phrase-final tones.

Figure 11 
                  Pairwise t-test result on duration of Yangru tone across phrase-final tones.
Figure 11

Pairwise t-test result on duration of Yangru tone across phrase-final tones.

To depict the duration status of this tone with respect to all tones in the sandhi context, Figure 12 shows the normalized duration of all tones, and Figure 13 shows the pairwise t-testing result that examines how many duration levels are contrastive at the sandhi position. What should be noted that tone 5 is tested to have two variants in this context with one being statistically significantly shorter before tone 3 and tone 6 (Huang 2018, 2022b). All other tones only have one variant.

Figure 12 
                  Normalized duration of phrase-initial tones.
Figure 12

Normalized duration of phrase-initial tones.

Figure 13 
                  Pairwise t-testing result on duration of Zhangzhou phrase-initial tones.
Figure 13

Pairwise t-testing result on duration of Zhangzhou phrase-initial tones.

As can be seen, only two duration levels are tested to be statistically contrastive at the sandhi position. The two Ru tones of Yinru tone 6 and Yangru tone 7, also known as stopped tones, are grouped together because they both present an extra-short duration. All other non-Ru tones are clustered into one single category because they present a medium duration. Thus, the duration appears to be asymmetrically distributed with respect to the type of syllable codas. Because within the Sinitic Convention, Ru tones are assigned to syllables ending in obstruent segments, whereas non-Ru tones are assigned to syllables ending in sonorant segments that include zero codas, nasal consonants, and glides. As such, it is understandable that tones are realized asymmetrically in duration, either as extra-short or medium, depending on the syllable ending type. In addition, this Yangru tone changes its duration from long in citation to extra-short in sandhi, further reflecting the forcing effect of the right-dominant sandhi system in this language. The extra-short property also reflects the interaction between segments and suprasegment in this language, which is discussed in detail in Section 6.

5 Phrase-final Yangru tone

5.1 Tonal F0

The conventional criterion or default principle that determines the dominance of tone sandhi system relies exclusively on where the tonal citation form is preserved (cf., Zhang 2007, Ballard 1988, Rose 1996). In other words, the tonal citation form is considered to be intactly preserved without any change at the dominant position. Specifically, in a left-dominant sandhi system, tones at the leftmost position are assumed to maintain their citation forms, whereas in a right-dominant system, tones at the rightmost position preserve their citation forms. However, in the reality of connected-speech production, the vocal apparatus of human beings operates in a continuous fashion, which could cause considerable overlapping articulatory gestures and give rise to diverse outputs at the surface level (Han and Kim 1974, Shen 1990, Palmer 1969, Xu 1994, Gandour et al. 1994, Scholz and Chen 2014, Zhang and Liu 2011, Huang and Hyslop 2022, Abramson 1975). For example, vowels are easily nasalized if they occur after nasal consonants, such as in Mandarin, the morpheme /ma55/ ‘mother’ is often perceived as [mã55]. Consonants can also be easily nasalized if they occur before nasalized vowels, such as in Zhangzhou, three implosive onsets /ɓ/, /ɗ/, and /ɠ/ are realized as their homorganic nasal plosives [m], [n], and [ŋ], respectively, before nasalized vowels [Ṽ], such as /ɓĩ33/ ‘noodle’ → [mĩ33]/_ [Ṽ]; /ɗĩ51/ ‘dye’ → [nĩ51]/_ [Ṽ]; /ɠɔ̃51/ ‘five’ → [ŋɔ̃51]_ [Ṽ] (Huang 2022d, Huang and Hyslop 2022). This phenomenon is known as co-articulation in the literature and well-attested in the domain of segments (e.g., Han and Kim 1974, Shen 1990, Palmer 1969, Xu 1994, Gandour et al. 1994, Scholz and Chen 2014, Zhang and Liu 2011, Abramson 1975). Although less studied, tones may also be easily affected by their surrounding tones at the surface level, and this has been attested in some tonal languages in Asia. For example, Mandarin tones can change their F0 height in connected speech (Shen 1990). Thai tones can change their F0 height and F0 slope because of the co-articulation effect (Palmer 1969). Vietnamese tones can change their F0 slope and height because of the influence of surrounding tones (Han and Kim 1974). Given this cross-linguistic tendency of speech co-articulation, it appears questionable to consider that tones maintain their citation form without any change at the dominant position and use it as a default principle to determine the dominance of the tone sandhi system. Therefore, it is important to explore how tones are realized in the dominant position and to test whether their realizations may be affected by surrounding tones at the phonetic level. To address this issue, Figure 14 visualizes the normalized F0 pattern of this Yangru tone as a function of eight preceding tones. Figure 15 shows the pairwise t-test result that examines whether its F0 may be affected by preceding tones in a statistically significant way (Huang 2018).

Figure 14 
                  Normalized F0 patterns of Yangru tone across phrase-initial tones.
Figure 14

Normalized F0 patterns of Yangru tone across phrase-initial tones.

Figure 15 
                  Pairwise t-test result on F0 onset of Yangru tone across phrase-final tones.
Figure 15

Pairwise t-test result on F0 onset of Yangru tone across phrase-final tones.

As shown in Figure 14, this Yangru tone consistently presents a falling trend between 0 and −2 s.d. across eight tones at the phrase-initial position, regardless of whether the preceding tone is rising, level, or falling. In other words, a change in the tonal category before this tone does not cause any categorical change in its F0 contour shape. As such, this tone can also be seen as being phonologically inert to the category of surrounding tones at the dominant position. However, the pairwise t-testing result reveals two variants that are significantly different in the F0 onset height. The onset is tested to be marginally higher after tones 1, 2, 3, and 6 that have their F0 offset either at or above the midpoint. Contrastively, its onset is tested to be lower after tones 4, 5, 7, and 8 that all have an offset below the midpoint. As such, the two variants are predictable and are primarily conditioned by the offset height of preceding tones. Thus, they can be denoted as [311] and [211] at this right-dominant (non-sandhi; phrase-final) position. Comparing with a low-level with a fall tail, noted as [221], in the citation context, the leveling plateaus of the two variants is lower that also can be ascribed to the F0 declining effect at an utterance-final position, which has been well-attested in the world’s natural languages (e.g., Lieberman 1967, Pierrehumbert 1989, Maeda 1976, Cohen et al. 1982, Ladd 1984, Yuan and Liberman 2010, Rose 2014).

As indicated, the F0 realization of this tone is not exactly the same as a function of its preceding tones. This reflects the cross-linguistic trend of co-articulation and provides a scientifically attested pattern to the typology of co-articulation that occurs in the realm of tone. Meanwhile, the F0 realization is not exactly the same as its citation form, indicating that the citation form is not intactly preserved without change at the dominant position. As such, the conventional criterion or default principle to specify the dominancy of the tone sandhi system does not accurately capture the phonetic reality of tonal behaviors in real-world utterances, which could create misleading information on our understanding of the nature of tone in connected speech. Thus, this exploration has significantly practical implication to supersede our conventional impression and enlighten a theoretical discussion on how the tone sandhi dominancy should be better defined from a modern linguistic perspective.

5.2 Tonal duration

Similar to F0, the parameter of duration also presents variation at the dominant position. Figure 16 plots the normalized duration of this Yangru tone across eight preceding tones. Figure 17 shows the pairwise t-testing result that examines whether the duration may be statistically significantly affected by preceding tones. As seen, two phonetic variants are tested to be significantly different, with one longer after tone 7 than after the other tones. Thus, the variation in duration can be considered to be tonally relevant in this context.

Figure 16 
                  Normalized duration of phrase-final tone 7 across phrase-initial tones.
Figure 16

Normalized duration of phrase-final tone 7 across phrase-initial tones.

Figure 17 
                  Pairwise t-test result on the duration of Yangru tone across preceding tones.
Figure 17

Pairwise t-test result on the duration of Yangru tone across preceding tones.

To better understand the duration of this tone with respect to all tones in this context, Figure 18 plots the normalized duration of all Zhangzhou tones at the phrase-final position of disyllabic constructions. Figure 19 visualizes the pairwise t-test result that examines how many duration levels are contrastive in this setting. What needs special attention is that tone 5 is also discovered to have two variants at the dominant position, with one variant significantly longer after tone 8 (Huang 2022c).

Figure 18 
                  Normalized duration of phrase-final tones.
Figure 18

Normalized duration of phrase-final tones.

Figure 19 
                  Pairwise t-testing result on duration of all tones at the dominant position.
Figure 19

Pairwise t-testing result on duration of all tones at the dominant position.

As shown, as far as the entire tonal system is concerned, three duration levels are tested to be statistically contrastive at the dominant position, which are noted as extra-long (tones 1 and 5), long (tones 2, 3, 7, and 8), and medium (tones 4, 6, and 7) (Huang 2022c). This Yangru tone has a markedly long duration that occurs after tone 7 and an unmarked medium duration that occurs elsewhere. This indicates that the tonal coarticulation effect can also affect duration. In addition, the unmarked form of a medium duration at the right-dominant position is different from the citation form of a long duration. This could also be ascribed to the final-position effect, which not only can decrease tonal F0 but also shorten tonal duration. This also justifies the fact that the tonal citation form is not intactly preserved without change at the dominant position, further questioning the conventional default principle on the specification of the dominance of the tone sandhi system in languages where relevant.

6 Segmental–suprasegmental interactions

Tonal morphemes not only can change their suprasegmental properties but can also change their segmental properties across linguistic contexts in this language. This can be seen in segmental behaviors in this Yangru tone. High vowels alter their phonetics between monophthongs and diphthongs, whereas obstruent codas change their phonetics between unrealized and realized statuses across different contexts. Segmental (vowel quality and obstruent coda) and suprasegmental (F0 and duration) changes are intrinsically related to the shaping of a dynamic and diverse profile of lexical morphemes in this tone.

6.1 Changing phonetics of vowel quality

Seven oral vowels /i, e, ɛ, ɐ, ɔ, ɵ, u/ are phonemically distinctive in this language, which cover a three-way contrast of high /i, u/, mid /e, ɵ/ and low /ɛ, ɐ, ɔ/ in terms of tongue height (Huang 2018, 2020, 2021). In this Yangru tone, the two high vowels /i/ and /u/ alternate between monophthongs and diphthongs across different contexts. Specifically, they are separately realized as diphthongs [iɛ̯] and [uɤ̯] in an utterance-final context but as monophthongs [i] and [u] in a non-utterance-final context. The changing vowel quality in this tone can be justified by using scientifically quantified patterns. Figure 20 plots the normalized formant patterns of high vowels /i/ (left) and /u/ (right) in citation based on monosyllabic samples like /sit7/ ‘solid’ and /hut7/ ‘buddha’. Figure 21 plots the normalized formant patterns of high vowel /i/ (left) and /u/ (right) in the phrase-initial context based on disyllabic samples like /zit7.tʰɐw2/ ‘sun’ and /ħut7.kɐw4/ ‘Buddhism’. Each figure is derived by normalizing 3,404 values (=3 tokens × 2 high vowels × 1 tone × 9 sampling points × 3 formants × 21 speakers).

Figure 20 
                  Normalized formant patterns of high vowels in Yangru tone in citation.
Figure 20

Normalized formant patterns of high vowels in Yangru tone in citation.

Figure 21 
                  Normalized formant patterns of high vowels in Yangru tone in the phrase-initial context.
Figure 21

Normalized formant patterns of high vowels in Yangru tone in the phrase-initial context.

As indicated in Figure 20, the normalized formant patterns of vowels /i/ and /u/ both change in the citation context. For the vowel /i/, the F1 curve increases from −1.22 to −1.08 s.d., whereas the F2 curve decreases from 0.60 to 0.25 s.d. The increasing F1 curve but decreasing F2 curve suggests that native speakers moved their tongues toward a lower but more central position. It reveals a diphthong articulation of this high vowel /i/ in this tone and in this context, which can be transcribed as [iɛ̯]. For the high vowel /u/, the F1 curve increases from −1.14 to −0.95 s.d., while the F2 curve increases from −0.080 to −0.036 s.d. The increasing F1 and F2 curves indicate that native speakers moved their tongue toward a lower but fronting position. It also reveals a diphthong articulation of the vowel /u/, which can be transcribed as [uɤ̯]. Therefore, it is scientifically plausible to propose high-vowel diphthongization in this setting.

In Figure 21, the normalized formant patterns of vowels /i/ and /u/ are both relatively steady, without significant changes in the phrase-initial (non-utterance-final) context. In the high vowel /i/, its F1 curve is leveled at approximately −1.15 s.d., while its F2 curve is leveled around 0.45 s.d. but presents a slight falling trend toward 0.41 s.d. during the last 5% portion. This slight decline reflects a formant transition for the production of subsequent obstruent codas in this tone. Thus, the high vowel /i/ can be considered a monophthong [i]. Likewise, in the high vowel /u/, its F1 curve levels around −1.10 s.d., while the F2 curve levels around −053 s.d. Such steady formant patterns indicate that native speakers retain their tongues in the same position throughout articulation. This justifies a monophthong articulation of the high vowel /u/ in this tone and in this context. It is scientifically plausible to propose that high-vowels are realized as monophthongs in this setting.

As shown, tonal morphemes can change the phonetics of high vowels in this tone according to different linguistic contexts. The reason why high vowels undergo diphthongization in the utterance-final context but remain monophthong articulation in the non-utterance-final context is closely related to the phonetics of obstruent codas that can also change across contexts. This is discussed in detail below.

6.2 Changing phonetics of obstruent codas

In East and Southeast Asian languages, tones are often classified into either stopped or unstopped categories, depending on the type of syllable ending to which they are assigned. For example, in the Early MC around 500 CE, four tones named Ping ‘level’, Shang ‘Rising’, Qu ‘Departing’, and Ru ‘entering’ had been documented by Yue Shen (441-513) and Yong Zhou (n.a) in Nanshi, an official historical of the Southern Dynasty, and in Qieyun, a rhyme dictionary edited by Fayan Lu in 601 CE (Baxter and Sagart 2014, Sagart 1989, Pulleyblank 1978, Pan and Zhang 2015, Li and Yao 2008, Yang 2005). The term ‘Ru’ equivalent to ‘stopped’ was created to refer to tones that are assigned to syllables ending in obstruent codas. The four MC tones are preserved in the present-day Zhangzhou Southern Min. Thus, this Yangru tone is only aligned to stop-ending syllables, and obstruent codas of a three-way contrast can be identified at the underlying level, as illustrated in Table 5. However, despite performing a phonemic function, the realization of obstruent codas is highly sensitive to linguistic context and presents a dynamic profile at the surface level (Huang 2023d). Specifically, they are not realized in an utterance-final context but are realized in a non-utterance-final context. The changing phonetics of obstruent codas are also justifiable from a scientific perspective. Figure 22 plots the normalized formant patterns of monosyllabic morphemes that have the same nucleus /ɐ/ and Yangru tone but differ in obstruent codas, like /tsɐp7/ ‘ten’, /ɓɐt7/ ‘dense’, and /ɗɐk7/ ‘six’. Figure 23 plots the normalized formant patterns of phrase-initial morphemes that also have the same nucleus /ɐ/ and Yangru tone but differ in obstruent codas, like /tsɐp7.ɗɐk7/ ‘sixteen’, /pɐt7.zit7/ ‘another day’, and /ɗɐk7.tsɐp7/ ‘sixty’. Each figure is derived by Lobanov-normalizing 5,103 formant values (=3 tokens × 9 sampling points × 3 formants × 3 obstruent codas × 21 speakers).

Table 5

Examples of obstruent coda contrast in Yangru tone

Coda Example 1 Example 2 Example 3
p tsɐp221 ‘ten’ zip 221 ‘enter’ tjɐp221 ‘spy’
t ɓɐt221 ‘dense’ zit221 ‘sun’ tjɐt221 ‘order’
k ɗɐk221 ‘six’ sik221 ‘ripe’ ɗjɐk221 ‘plunder’
Figure 22 
                  Normalized formant patterns for obstruent coda examination in citation.
Figure 22

Normalized formant patterns for obstruent coda examination in citation.

Figure 23 
                  Normalized formant patterns for obstruent coda examination in phrase-initial morphemes.
Figure 23

Normalized formant patterns for obstruent coda examination in phrase-initial morphemes.

In Figure 22 about the utterance-final (citation) context, the normalized formant patterns are consistently stable without significant change over major portions of three rhymes /ɐp7/, /ɐt7/, and /ɐk7/ that differ in obstruent codas. A slight fluctuation occurs at the beginning of the F1 and F2 curves, which may be ascribed to the perturbation effect of onset production. From an articulatory perspective, steady patterns indicate that native speakers do not move their active articulators (e.g., lower lip, tongue tip) toward passive articulators (e.g., upper lip, alveolar ridge, hard palate) to form a complete constriction in the vocal tract (Huang 2023d). In other words, their articulators, especially tongues, are maintained in the same position over articulation. Therefore, the patterns reveal two important facts: (a) the related vowel is a monophthong and (b) no obstruent coda is articulated following the vowel. This justifies the assertion that obstruent codas are not realized in an utterance-final context.

In Figure 23, regarding the non-utterance-final context, the three formant patterns change differently over the last 10% of the duration. In the rhyme /ɐp7/, the F2 curve drops by approximately 0.5 s.d. indicating a bilabial place of articulation. In the rhyme /ɐt7/, the F2 curve increases by about 0.3 s.d. indicating an alveolar place of articulation. In the rhyme /ɐk7/, the F2 curve increases by more than 1 s.d., whereas the F3 curve abruptly drops by approximately 0.3 s.d. The two curves tend to converge at a point around 0.5 s.d. showing a typical characteristic of velar pinch that indicates a velar place of articulation. As shown, the three formant patterns change substantially toward different locus frequencies, which reflect different places in the oral cavity where the airstream is momentarily blocked for the articulation of different obstruent codas (cf. Laver 1994, Bickford and Floyd 2006, Gick et al. 2013, Huang 2023d). As such, it is scientifically justifiable to propose that obstruent codas are realized in this tone and in a non-utterance-final context.

As discussed above, tonal morphemes can change the segmental properties of both vowel quality and obstruent coda in different linguistic contexts in this tone. This indicates that segmental and suprasegmental properties are intrinsically correlated with each other to shape a dynamic profile of tonal morphemes in this language. Specifically, in the non-utterance-final context, obstruent codas are realized, which can shorten the duration of this tone and motivate monophthong articulation of high vowels. In contrast, in the utterance-final context, obstruent codas are not realized, which can lengthen the duration of this tone as a compensatory effect while motivating a diphthongization process on high vowels. Such intrinsic correlations between segments and suprasegments are not arbitrary but reflect a continuous motion of the vocal apparatus of human beings in speech production.

7 Phonotactics of Yangru tone

Speech sounds are not randomly combined to form syllables and morphemes that are functionally used for communication purposes. Instead, there are constraints known as phonotactics in the literature that can impose restrictions on segmental sequencing (cf. Celata and Calderone 2015, Zec 1995, Kirby and Yu 2007, Algeo 1975, Pearce 2007, Zhang 2006, Duanmu 2003, Huang 2021), and tonal–segmental alignments (Huang 2021, 2024a). It is of both empirical and theoretical interest to explore the productivity of individual tones in colloquial conversations and how their alignment with segments may be constrained at the syllable level. To address this issue, this study adopts the concepts of final and rhyme table to calculate the number of syllables that can be obtained in the field to examine the productivity of this Yangru tone. The term final is created within the Sinitic convention to refer to all syllable components that exclude onset consonant, while the term rhyme table is a way to exhaustively tabulate combinations between finals, onsets, and tones, thereby presenting the inventory of syllables that are practically used in a given Sinitic language while showing those syllables that are theoretically possible to occur but cannot be attested (Huang 2019, 2021, 2024a). In this language, 61 finals can be established along with 61 rhyme tables, as illustrated in Table 6 about the rhyme table under the final /ɐp/. For example, the syllable /kʰɐp221/ is attestable as it can construct a lexical morpheme ‘bump; kowtow’, while the syllable /ɠɐp221/ is not attestable because it cannot generate any morpheme.

Table 6

Rhyme table /ɐp/ in Zhangzhou Southern Min

Based on the 61 rhyme tables that Huang (2019) constructed, Table 7 shows the number of syllables that are empirically attestable with respect to individual tones. As can be seen, tones vary significantly in their productivity at the syllable level. Yinping tone 1 is the most productive for generating 392 syllables, whereas Yangru tone 7 can only generate 117 syllables, slightly more than tone 8, which is the least productive with only 98 syllables. However, given that this language has 15 onsets and 61 finals, it is theoretically possible to generate 915 (=15 × 61) syllables; the number of 117 syllables is 798 fewer than expected. This implies that the Yangru tone has been substantially constrained to create syllables in colloquial conversations. To explore what mechanisms have evoked phonotactic constraints on the productivity of this tone, Table 8 tabulates the distribution of the 117 syllables with respect to individual onsets, with two examples for each alignment, whereas Table 9 tabulates the distribution of the 117 syllables with respect to individual finals, in which the symbol * shows that no example can be attested in the field.

Table 7

Productivity of individual Zhangzhou tones

Tone MC Pitch Syllable
T1 Yinping [35] 392
T2 Yangping [22] 343
T3 Shang [51] 352
T4 Yinqu [41] 360
T5 Yangqu [33] 315
T6 Yinru [41] 128
T7 Yangru [221] 117
T8 Yangru (new) [22] 98
Table 8

Productivity of Yangru tone with respect to onsets

Onset Syllable Example 1 Example 2
p 9 pɐt221 ‘another’ pɐk221 ‘bind’
3 pʰɐk221 ‘expose in sun’ pʰɔk221 ‘bubble’
ɓ 8 ɓɔk221 ‘wood’ ɓɐt221 ‘dense’
t 11 tɔk221 ‘single’ tɐk221 ‘reach’
3 tʰɐk22 ‘pile up’ tʰɐk221 ‘to read’
ɗ 13 ɗɔk221 ‘deer’ ɗɐk221 ‘six’
k 8 kɔk221 ‘cluck’ kut221 ‘slip’
6 kʰɔk221 ‘simmer’ kʰɐp221 ‘kowtow’
ɠ 10 ɠɔk221 ‘crocodile’ ɠɐ̃k221 ‘prison’
ts 11 tsɔk221 ‘clan’ tsɐp221 ‘ten’
tsʰ 5 tsʰɐt221 ‘thief’ tsʰɐk221 ‘to read’
s 8 sik221 ‘ripe’ sut221 ‘method, skill’
z 6 zit221 ‘sun’ zip221 ‘to enter’
ħ 9 ħɔk221 ‘cloth’ ħɐk221 ‘to learn’
ʔ 7 ʔik221 ‘bathe’ ʔjɐk221 ‘wave a fan’
Table 9

Productivity of Yangru tone with respect to finals

Final Syllable Example 1 Example 2
V ɐ 0 * *
e 0 * *
i 0 * *
u 0 * *
ɔ 0 * *
ɛ 0 * *
ɵ 0 * *
ĩ 0 * *
ɐ̃ 0 * *
ɛ̃ 0 * *
ɔ̃ 0 * *
N m 0 * *
ŋ 0 * *
VN ɐm 0 * *
ɐn 0 * *
ɐŋ 0 * *
im 0 * *
in 0 * *
0 * *
ɔm 0 * *
un 0 * *
ɔŋ 0 * *
GV 0 * *
ju 0 * *
0 * *
0 * *
wi 0 * *
we 0 * *
0 * *
GṼ jɐ̃ 0 * *
0 * *
jɔ̃ 0 * *
0 * *
wɐ̃ 0 * *
VXG ɐw 0 * *
ɐj 0 * *
ṼXG ɐ̃j 0 * *
ɐ̃w 0 * *
GVXG jɐw 0 * *
wɐj 0 * *
GṼXG jɐ̃w 0 * *
wɐ̃j 0 * *
GVXN jɐm 0 * *
jɐn 0 * *
jɐŋ 0 * *
jɔŋ 0 * *
wɐn 0 * *
VXP ɐp 6 tsɐp221 ‘ten’ kʰɐp221 ‘bump; kowtow’
ɐt 8 tɐt221 ‘arrive’ tsʰɐt221 ‘thief’
ɐk 10 ɗɐk221 ‘six’ tʰɐk221 ‘read’
ip 7 tsip221 ‘assemble’ zip221 ‘enter’
it 9 sit221 ‘solid’ zit221 ‘sun’
ik 11 sik221 ‘ripe’ ʔik221 ‘bathe’
ut 10 kut221 ‘slippery’ ħut ‘buddha’
ɔp 4 sɔp221 ‘gobble’ tsʰɔp221 ‘rinse off’
ɔk 11 ɓɔk221 ‘wood’ tsɔk221 ‘clan’
GVXP jɐp 9 tʰjɐp ‘pie up’ tsjɐp221 ‘twenty’
jɐt 13 ɓjɐt221 ‘extinguish’ zjɐt221 ‘enthusiastic; hot’
jɐk 5 ɗjɐk221 ‘plunder’ zjɐk221 ‘as if’
jɔk 7 ɠjɔk221 ‘jade’ kjɔk221 ‘bureau; situation’
wɐt 7 ɠwɐt221 ‘moon’ ħwɐt221 ‘punish’

As indicated in Table 8 about the alignment with onsets, this tone appears to be the least productive with aspirated voiceless onsets. For example, only 3 syllables are attested with the onsets /pʰ/ and /tʰ/, 5 syllables with the onset /tsʰ/, and 6 syllables with the onset /kʰ/. In total, only 17 syllables can be obtained with aspirated onsets, accounting for 14.5% of all empirically attestable syllables. This can be ascribed to the phonotactic constraint from the diachronic factor that requests tones of a Yang register to be aligned to syllables with voiced onsets. Thus, it is understandable that this tone appears less productive with aspirated onsets. By contrast, this tone is much more productive with voiced onsets. For example, the alveolar implosive /ɗ/ can generate 13 syllables; the velar implosive /ɠ/ can generate 11 syllables, whereas the labial implosive can generate 8 syllables. Only 6 syllables are obtained with the voiced onset /z/, which is fewer than its voiceless counterpart /s/ with 8 syllables, but this is understandable because this onset /z/ is the least productive segment in this language that can only generate 33 syllables across all tones (Huang 2021). In total, the alignment of voiced onsets and this tone can generate 38 syllables that occupy as many as 32.5% of all attestable syllables, which is approximately twice as many as the alignment with voiceless onsets. This reflects the forcing effect of the diachronic constraints on the selection of a tonal register with respect to the voicing status of onset consonants. In addition, this tone is mildly productive with unaspirated voiceless fricative and affricate onsets. For example, 11 syllables can be obtained with the onset /ts/ in this tone, 9 syllables with the onset /ħ/, and 9 syllables with the onset /ʔ/. They are voiceless but can generate more syllables than aspirated onsets in this tone. This may be ascribed to the diachronic factor of the evolution of MC onsets to the present-day Zhangzhou speech. For example, in Ma’s (1994) documentation, 8 out of 36 onsets in the late MC around AD 1100 are produced with an alveolar affricate /ts/ in the synchronic Zhangzhou speech, while 6 out of the 36 onsets are produced with an alveolar fricative /ħ/. As such, it is understandable that this tone is productive in aligning with these onsets to generate syllables that are practically used by native speakers.

As indicated in Table 9 about the alignment between Yangru tone and individual finals, syllables that contain zero codas, glide codas, and nasalized codas cannot be attested; instead, only syllables that end in obstruent codas /p, t, k/ can be generated in this tone. This reflects the diachronic constraint on the selection of syllable coda type with respect to tonal category from the early MC around 500 CE, and also reflects this language as a living fossil in the preservation of salient characteristics of the sound system in that historical period. In total, 14 out of 61 finals in this tone are attested ending in obstruent codas. Nine finals that do not possess any prevocalic glide are attested to generate 76 syllables, which account for about 65% of the total number of attestable syllables. In contrast, 5 finals that can contain prevocalic glides are attested to generate 41 syllables, which only accounts for 35% of all attestable syllables. This reflects prevocalic glides as a marked feature in the formation of syllables in this language. In addition, among the three obstruent codas, finals in the alveolar coda /t/ are the most productive that can generate 47 syllables in this tone, followed by finals in the velar coda /k/ with 44 syllables, and finals in the labial coda /p/ with 26 syllables. The labial coda /p/ is the least productive in this tone that can be ascribed to the synchronic constraint of labial restriction. Because labial onsets /p, pʰ, ɓ/ cannot occur before any finals that contain a [+labial] feature, so that syllables like *Pm, *Pɐm; *Pim; *Pɔm; *Pjɐm; *Pɐp; *Pip; *Pɔp; and *Pjɐp are not attestable. This labial restriction appears to be a salient feature in Sinitic languages, as it is also reported in Wu (Zhang 2006) and Cantonese (Kirby and Yu 2007).

As discussed, the productivity of this tone has been severely restricted at the syllable level, because of the phonotactic constraints from both synchronic and diachronic factors that impose restrictions on its alignment with segments to formulate syllables. This phenomenon is neither tone specific nor language specific, but rather reflects a cross-linguistic tendency of phonotactics that has been widely reported in the world’s languages (cf. Celata and Calderone 2015, Zec 1995, Kirby and Yu 2007, Algeo 1975, Pearce 2007, Zhang 2006, Duanmu 2003, Huang 2021, 2024a), but is less studied in the domain of tone. Consequently, an astounding number of theoretically permissible syllables cannot be attested in empirical data. For example, in Mandarin Chinese, only 400 syllables are attestable, while there should theoretically be 1,900 possible syllables (without tones) (Duanmu 2003). Similarly, only 1,900 distinct syllables (with tones) can be attested in Cantonese, which only accounts for 36% of the theoretically possible number (Kirby and Yu 2007). In Zhangzhou Southern Min, this Yangru tone is theoretically able to generate 915 syllables, but only 117 syllables are attested. As seen, the encoding of tonal behavior at the syllable level is also complicated.

8 Discussion

This study incorporates advanced research methodologies and theoretical perspectives to establish a comprehensive framework for tonal analysis, particularly in East and Southeast Asia, where tone has been developed as an important but complex mechanism. The Yangru tone in Southern Min was taken for an in-depth case study because of its historical, ethnolinguistic, and typological implications. The analysis sophisticatedly, adequately, and accurately encodes how this Yangru tone is realized in F0 and duration in three linguistic contexts (citation, phrase-initial, and phrase-final), how segments and suprasegment interact to shape a dynamic profile of lexical morphemes in this tone, and how its productivity and alignments with segments are constrained at the syllable level. The scientifically grounded patterns reveal that tone behaves in a way that is much more complicated than expected, and the explorations have challenged several conventional assumptions that do not accurately capture and reflect tonal behaviors in real-world utterances. This study has significant importance in extending our empirical knowledge of tonal realization, tone sandhi, tonal coarticulation, segmental-suprasegmental interaction in tonal morphemes, and phonotactic constraints on tonal productivity and tonal-segmental alignment. It also has significant implications to advance our theoretical knowledge of tonal phonetics (tonetics), tonal phonology (tonology), and tonal phonotactics (tonotactics).

  1. This study highlights severe issues of inconsistency, inadequacy, and inaccuracy in conventional tonal studies, especially within the Sino-Tibetan language family. For example, the Yangru tone has been described either as a convex contour [121] or a low-rising contour [13] or [12] in prior impressionistically based documents, but the acoustically quantified pattern reveals a low-level contour with a final fall in citation that can be noted as [221]. Conventional studies default Ru tones that are assigned to obstruent-ending syllables to be the shortest, but this tone is tested to be statistically significantly longer than many other tones in citation. Likewise, the conventional principle defaults the tonal citation form to be intactly preserved without any change at the dominant position in connected speech and uses it as a criterion to determine the dominancy of the tone sandhi system. However, the realizations of F0 and the duration of this tone are both sensitive to the phonetics of preceding tones and present variants at the dominant position, which are different from their corresponding forms in citation. These emphasize the importance of adopting advanced scientifically based research methodologies for an accurate depicting of tonal phonetics in speech activities, and for updating our theoretical knowledge of the nature of tonal phonology.

  2. This study stresses the dynamic property of tonal encoding that can change in connected speech. For example, this Yangru tone changes its F0 from a long low-level with a final fall [221] in citation to a mid-falling [32] contour at the non-dominant sandhi position and further changes with two variants of mid-falling [311] and mid-high falling [211] contours at the dominant position. Likewise, this tone changes its duration from long in citation to extra-short in the non-dominant position and presents two variants of long and medium at the dominant position. The changing properties in different linguistic contexts induce the phenomena of tone sandhi and tonal co-articulation that constitute the complexity of tonal languages, especially in East and Southeast Asia. These emphasize the importance of investigating tonal behaviors beyond the context of citation for a fuller understanding of tone that operates as an intricate system in real-world conversations.

  3. This study emphasizes the interface of linguistic levels in encoding tone sandhi in relevant languages. Tone sandhi is expected to occur within a specific domain. A range of prosodic units, such as metrical feet, prosodic words, and phrases, have the potential to become operational domains for sandhi processing (Wright 1983, Shih 1986, Ballard 1988, Chen 1987, 1992, 2000, Duanmu 1990, Yip 2002). For example, many Wu dialects (e.g., Wuxi, Danyang, and Shanghai) and some Min dialects (e.g., Fuzhou) is prototypically stress-sensitive (Ballard 1988, Chen 2000, Duanmu 1990, Shih 1986, Wright 1983). Likewise, tone sandhi is expected to be triggered by a specific linguistic factor that may be phonological, morphological, or syntactic. For example, the third tone sandhi in Mandarin is phonological, whereas tone sandhi in Wenzhou Wu, Puxian Min, and Shanghainese are determined by the internal structure of related morphosyntactic phrases (Ballard 1988, Chen 1987, 2000, Duanmu 2005, Zhang 2007; Zhang and Liu 2011). Zhangzhou Southern Min presents another typological profile. In the general tone sandhi process, the tone sandhi domain is predominantly determined by the boundary of syntactic phrases; phonologically inert to the category of surrounding tones; and syntactically irrelevant to the internal structure of related phrases. These emphasize the importance of incorporating different linguistic levels to explore the mechanisms that motivate the operation of tone sandhi as an important process in tonal languages. They also enlighten discussions on how native speakers of related languages structure different tonal forms in their mental grammar; whether the relation between sandhi form and citation form is derivational that can be interpreted by a specific rule, or whether their relations are morphophonemic that has to be treated using a model beyond phonology. To address these questions need to examine the behaviors of all tones across linguistic contexts, but it is out of the scope of this research that focuses on the sandhi process of a single tone.

  4. This study stresses intrinsic segmental-suprasegmental interactions in shaping a dynamic profile of tonal morphemes in Asian languages. Not only can suprasegments (e.g., F0 and duration) change their phonetics, but segments (e.g., vowel quality and obstruent coda) can also alter their realizations across linguistic contexts. For example, in Southern Min, high vowels can alter their realizations between monophthongs and diphthongs, while obstruent codas can alter their phonetics between not-realized realized. Segmental and suprasegmental changes are intrinsically related in a specific tone. For example, when obstruent codas are not realized utterance-finally, high vowels are diphthongized, the F0 contour is depressed, and the duration is lengthened. In contrast, when obstruent codas are realized non-utterance-finally, high vowels are realized as monophthongs, and the F0 contour is shortened because of the abrupt constriction in the oral cavity for the obstruent coda articulation. These emphasize the importance of incorporating a multidimensional approach that goes beyond the conventionally pitch-based model to investigate how suprasegments and segments interact to shape tonal morphemes in the language zone where tone constitutes an important but complicated event.

  5. This study stresses severe phonotactic constraints on the productivity of individual tones and their combinability with segments to generate syllables that are functionally used in conversations. The cross-linguistic phenomenon of phonotactics is dominantly reported in segmental sequencings in the literature and is less studied in tonal-segmental alignments. This Yangru tone is subject to severe constraints at the syllable level. It is theoretically possible to generate 915 syllables, but only 117 syllables can be attested in the field, 798 fewer than expected, because of the phonotactic constraints from both synchronic and diachronic factors. Such as the diachronic requirement on assigning Sinitic tones with respect to the voicing status of onset consonants and the type of syllable codas can seriously limit the output number of syllables that can be attested in a specific tone. Those synchronic marked features, such as aspiration, labial feature, and prevocalic feature, can also constrain the productivity of related tones. These emphasize the importance of investigating tone at a higher level of syllable for a better understanding of tone as an important mechanism in human languages and also for a fuller interpretation of how different syllable components (segments and tones) interact to shape the complexity of tonal morphemes in natural languages and how the complexity can be encoded using scientifically attestable patterns.

9 Conclusion

As discussed above, tone, an important linguistic mechanism in the world’s natural languages, behaves in a way that is much more complicated than expected. The conventional approach that focuses on pitch description and is based on a single linguistic citation context has severe limitations, and updated research methodologies and theoretical perspectives are imperative to uncover the complex nature of tone and to depict the processes that shape tonal complexity. The in-depth analysis of Yangru tone in Zhangzhou Southern Min has revealed several typologically significant tonal behaviors that incorporate tonal realization, tone sandhi, tonal coarticulation, suprasegmental-segmental interaction in the realm of tone, and tonal-segmental alignment constraints. This analysis has substantially extended our knowledge of tonal phonetics (tonetics), tonal phonology (tonology), and tonal phonotactics (tonotactics). The exploration constitutes an analytical framework to comprehensively, adequately, and accurately analyze tones, particularly in East and Southeast Asia. This investigation also contributes objective linguistic data to the typology of tone and a range of associated speech phenomena (tone sandhi, tonal co-articulation, segmental-tonal interactions, and phonotactic constraints). It also has empirical and theoretical implications for exploring the complexity of human speech beyond the category of tone and decoding complexity in an empirically justifiable and scientifically testable fashion, thereby advancing the cognition of human languages.

Acknowledgments

I would like to express my sincere gratitude to my colleague Dr. Siva Kalyan for his assistance in R and statistical testing, and to reviewers for their comments on this manuscript.

  1. Funding information: The author states no funding involved.

  2. Author contributions: The author confirms the sole responsibility for the conception of the study, presented results, and manuscript preparation.

  3. Conflict of interest: The author states no conflict of interest.

  4. Data availability statement: All data processed in this study will be available from the author upon reasonable request.

References

Abramson, Arthur S. 1975. “The Coarticulation of Tones: An Acoustic Study of Thai.” Haskins Laboratories: Status Report on Speech Research SR 44: 119–25.Search in Google Scholar

Abramson, Arthur S. and Donna M. Erickson. 1978. “Diachronic Tone Splits and Voicing Shifts in Thai: Some Perceptual Data.” Haskins Laboratories Status Report on Speech Research 53: 85–96.Search in Google Scholar

Algeo, John. 1975. “Syncope and the Phonotactics of English.” General Linguistics 15: 71–8.Search in Google Scholar

Anderson, Stephen R. 1978. “Tone Features.” In Tone: A Lingusitic Survey, edited by Victoria Fromkin, 133–75. New York, NY: Academic Press.Search in Google Scholar

Andruski, Jean E. and Martha Ratliff. 2000. “Phonation Types in Production of Phonological Tone: The Case of Green Mong.” Journal of the International Phonetic Association 30: 37–61.10.1017/S0025100300006654Search in Google Scholar

Ballard, William L. 1988. “The History and Development of Tonal Systems and Tone Alternations in South China.” Study of Languages and Cultures of Asia and Africa: Monograph Series 22.Search in Google Scholar

Baxter, William H. and Laurent Sagart. 2014. Old Chinese: A New Reconstruction. Oxford, United Kingdom: Oxford University Press.10.1093/acprof:oso/9780199945375.001.0001Search in Google Scholar

Benedict, Paul K. 1948. “Tonal Systems in Southeast Asia.” Journal of the American Oriental Society 68: 184–91.10.2307/595942Search in Google Scholar

Bickford, Anita C. and Rick Floyd. 2006. Articulatory Phonetics: Tools for Analysing the World’s Languages (Fourth Edition). Dallas, Texas: SIL International.Search in Google Scholar

Brunelle, Marc and James Kirby. 2016. “Tone and Phonation in Southeast Asian Languages.” Language and Linguistics Compass 10 (4): 191–207.10.1111/lnc3.12182Search in Google Scholar

Brunelle, Marc and Tạ Thành Tấn. 2021. “Register in Languages of Mainland Southeast Asia: State of the Art.” In The Languages and Linguistics of Mainland Southeast Asia: A comprehensive Guide, edited by Paul Sidwel and Mathias Jenny, 683–706. Berlin, Boston: De Gruyter Mouton.10.1515/9783110558142-029Search in Google Scholar

Celata, Chiara and Basilio Calderone. 2015. “Introduction to Phonotactics: Cross-Linguistic Perspectives from Acquisition, Speech Production and Corpus Studies.” Italian Journal of Linguistics 27: 3–8.Search in Google Scholar

Chao, Yuen-Ren. 1930. “ə sɩstəm əv “toun-lɛtəz” (A system of “tone letters”).” Le Maître Phonétique 45: 24–7.Search in Google Scholar

Chen, Matthew Y. 2000. Tone Sandhi. Cambridge, England: Cambridge University Press.10.1017/CBO9780511486364Search in Google Scholar

Cohen, Antonie, Rene Collier, and Johan’t Hart. 1982. “Declination: Construct or Intrinsic Feature of Speech Pitch?” Phonetica 39: 254–73.10.1159/000261666Search in Google Scholar

David, Maya Khemlani, Francesco Cavallaro, and Paolo Coluzzi. 2009. “Language Policies: Impact on Language Maintenance and Teaching: Focus on Malaysia, Singapore, Brunei, and the Philippines.” In Language, Culture, and Identity in Asia, edited by F. Cavallaro, Milde, and P. Sercombe, 155–91. The Linguistics Journal Press.Search in Google Scholar

DiCanio, Christian T. 2009. “The Phonetics of Register in Takhian Thong Chong.” Journal of the International Phonetic Association 39: 162–88.10.1017/S0025100309003879Search in Google Scholar

Ding, Picus Sizhi. 2016. Southern Min (Hokkien) as a Migrating Language, A Comparative Study of Language Shift and Maintenance Across National Borders. Springer Briefs in Linguistics. Springer Link.Search in Google Scholar

Dong, Tonghe. 1959. Four Southern Min Varieties. Taipei, China: Zhongyang Yanjiuyuan.Search in Google Scholar

Donohue, Mark. 1997. “Tone Systems in New Guinea.” Linguistic Typology 1: 347–68.10.1515/lity.1997.1.3.347Search in Google Scholar

Duanmu, San. 1990. “A Formal Study of Syllable, Tone, Stress, and Domain in Chinese Languages.” PhD diss., Massachusetts Institute of Technology. http://dspace.mit.edu/handle/1721.1/13646.Search in Google Scholar

Duanmu, San. 2003. “The Syllable Phonology of Mandarin and Shanghai.” In Proceedings of the Fifteenth North American Conference on Chinese Linguistics, 86–102. University of Southern California Press.Search in Google Scholar

Duanmu, San. 2005. “The Tone-Syntax Interface in Chinese: Some Recent Controversies.” Proceedings of the Symposium Cross-Linguistic Studies of Tonal Phenomena, Historical Development, Tone-Syntax Interface, and Descriptive Studies, 16–7.Search in Google Scholar

Esposito, Christina M. and Sameer ud Dowla Khan. 2020. “The Cross-Linguistic Patterns of Phonation Types.” Language and Linguistics Compass 14 (12): 1–25.10.1111/lnc3.12392Search in Google Scholar

FJG. 1998. Fujian Province Gazette-Dialect Volume. Beijing, China: Fangzhi Chubanshe.Search in Google Scholar

Gandour, Jack, Siripong Potisuk, and Sumalee Dechongkit. 1994. “Tonal Coarticulation in Thai.” Journal of Phonetics 22 (4): 477–92.10.1016/S0095-4470(19)30296-7Search in Google Scholar

Gao, Ran. 1999. “Introduction to the Sound System of Zhangzhou.” In Minnan Dialect-Studies of Zhangzhou Variety, 109–16. Beijing, China: Zhongguo Wenlian Chubanshe.Search in Google Scholar

Gick, Bryan, I. Wilson, and D. Derrick. 2013. Articulatory Phonetics. Hoboken, United State: Wiley-Blackwell.Search in Google Scholar

Gonzales, Wilkinson Daniel Wong. 2022. “Interactions of Sinitic Languages in the Philippines: Sinicization, Pilipinization, and Sino-Philippine Language Creation.” In The Palgrave Handbook of Chinese Language Studies, edited by Z. Ye, 369–408. Singapore: Palgrave Macmillan.10.1007/978-981-16-0924-4_31Search in Google Scholar

Guo, Jinfu. 2014. Zhangzhou Southern Min. Zhangzhou, China: Zhangzhou Library.Search in Google Scholar

Han, Mieko S. and Kong-On Kim. 1974. “Phonetic Variation of Vietnamese Tones in Disyllabic Utterances.” Journal of Phonetics 2 (3): 223–32.10.1016/S0095-4470(19)31272-0Search in Google Scholar

Handel, Zev. 2010. “Old Chinese and Min.” Chuugoku Gogaku 257: 34–68.10.7131/chuugokugogaku.2010.257_34Search in Google Scholar

Hombert, Jean-Marie. 1978. “Consonant Types, Vowel Quality, and Tone.” In Tone: A Linguistic Survey, edited by Victoria Fromkin, 77–112. New York, NY: Academic Press.Search in Google Scholar

Huang, Yishan. 2018. “Tones in Zhangzhou: Pitch and Beyond.” PhD diss., The Australian National University.Search in Google Scholar

Huang, Yishan. 2019. Zhangzhou Southern Min: Rhyme tables, Homonyms, Heteronyms, Vernacular Documentation. München, Germany: Lincom Europa.Search in Google Scholar

Huang, Yishan. 2020. Tones in Zhangzhou: Pitch and Beyond. Cambridge Scholar Publishing.Search in Google Scholar

Huang, Yishan. 2021. Zhangzhou Southern Min: Syllables and Phonotactics. Lincom Europa.Search in Google Scholar

Huang, Yishan. 2022a. “Pairwise T-Test: Identification of Tonal Relations.” In Preceedings of the International Conference on Asian Language Processing (IALP 2022), 27–28 October 2022. Singapore: Chinese University of Hong Kong (Shenzhen), China; the Chinese and Oriental Languages Information Processing Society.10.1109/IALP57159.2022.9961294Search in Google Scholar

Huang, Yishan. 2022b. “Duration in Zhangzhou Southern Min: Variation, Correlation, and Constraint.” In Proceedings of the 18th Australasian International Conference on Speech Science and Technology (SST 2022), 13–16 December 2022. Canberra, Australia: Australian National University.Search in Google Scholar

Huang, Yishan. 2022c. “Right-Dominant Tones in Zhangzhou: On and through Phonetic Surface.” In Proceeding of the 34th Annual Conference on Computational Linguistics and Speech Processing in Taiwan (ROCLING), 21–22 November 2022. Taiwan, China: Taipei Medical University.Search in Google Scholar

Huang, Yishan. 2022d. “Nasality in Zhangzhou: Distribution and Constraint.” In Proceedings of the 25th Conference of the Oriental Coordination and Standardization of Speech Databases and Assessment Techniques), 24–26 November 2022. Hanoi, Vietnam.10.1109/O-COCOSDA202257103.2022.9997828Search in Google Scholar

Huang, Yishan. 2023a. “Scientific-Linguistic Framework: Identification of Tonal Relations.” Journal of Asian Language Processing 33 (1): 1–20.10.1142/S2717554523500121Search in Google Scholar

Huang, Yishan. 2023b. “Same F0, Different Tones: A Multidimensional Investigation of Zhangzhou Tones.” In Proceedings of INTERSPEECH 2023, 20–24 August, 2023, 4728–32. Ireland: Convention Centre Dublin.10.21437/Interspeech.2023-2534Search in Google Scholar

Huang, Yishan. 2023c. “Glottal Stop Fades and New Tone Arises: the Emergence of Tone 8 in Zhangzhou.” In Preceedings of The 14th International Conference of Experimental Linguistics, 18–20 October 2023. Athens, Greece.Search in Google Scholar

Huang, Yishan. 2023d. “Obstruent Codas in Zhangzhou Southern Min: Contexual Realisations and Interrelated Effects.” Chinese Journal of Phonetics 19: 104–16.Search in Google Scholar

Huang, Yishan. 2023e. “Southern Min infixation: An Inter-Disciplinary Encoding.” In Proceedings of 2023 International Conference on Asian Language Processing, 18–20 Nov 2023, 290–5. Singapore.10.1109/IALP61005.2023.10337093Search in Google Scholar

Huang, Yishan. 2024a. “Tonal Phonotactics in Southern Min.” Studia Linguistica (1): 1–25.Search in Google Scholar

Huang, Yishan. 2024b. “Suffixation in Zhangzhou.” Open Linguistics 10 (1): 1–27.10.1515/opli-2024-0004Search in Google Scholar

Huang, Yishan. 2024c. “Suffix ʔɐ51 in Zhangzhou: An Interdisciplinary Exploration.” In Chinese Lexical Semantics – 24th Workshop, Revised Selected Papers, Part II: 101-115, Lecture Notes in Computer Science (14515), edited by M. Dong, J. Hong, J. Lin, and P. Jin. Springer Nature, Singapore.10.1007/978-981-97-0586-3_9Search in Google Scholar

Huang, Yishan, Mark Donohue, Paul Sidwell, Phil Rose. 2016. “Normalization of Zhangzhou Citation Tones.” In Proceedings of the 16th Australasian International Conference on Speech Science & Technology, edited by C. Carignan and M. Tyler, 217–20. Sydney, Australia: The Australian Speech Sciience & Technology Association.Search in Google Scholar

Huang, Yishan and Gwendolyn Hyslop. 2022. “Zhangzhou Implosives and their Variations.” In Proceedings of The 20th Annual Workshop of the Australasian Language Technology Association (ALTA 2022), 14–16 December 2022. Adelaide, Australia: Flinders University.Search in Google Scholar

Huffman, Marie K. 1987. “Measures of Phonation type in Hmong.” Journal of the Acoustical Society of America 81: 495–504.10.1121/1.394915Search in Google Scholar

Hyman, Larry M. 2011. “Tone: Is it Different?” In Handbook of Phonological Theory, edited by J. A. Goldsmith, J. Riggle, and A. C. Yu, 197–239. New York, NY: Wiley & Sons.10.1002/9781444343069.ch7Search in Google Scholar

Jones, Russell. 2009. “Chiangchew Hokkiens, the True Pioneers in the Nanyang.” Journal of the Malaysian Branch of the Royal Asiatic Society 82 (2): 39–66.Search in Google Scholar

Kirby, James P. and Alan CL Yu. 2007. “Lexical and Phonotactic Effects on Word-Likeness Judgments in Cantonese.” In Proceedings of the 16th International Congress of Phonetic Sciences, 1389–92. Saarbrucken.Search in Google Scholar

Kwok, Bit-Chee. 2019. Southern Min: Comparative Phonology and Subgrouping. London, United Kingdom: Routledge.Search in Google Scholar

Ladd, D. Robert. 1984. “Declination: A Review and Some Hypotheses.” Phonology 1, 53–74.10.1017/S0952675700000294Search in Google Scholar

Laver, John. 1994. Principles of Phonetics. Cambridage, United Kingdom: Cambridge University Press.10.1017/CBO9781139166621Search in Google Scholar

Levshina, Natalia. 2015. How to Do Linguistics with R: Data Exploration and Satistical Analysis. Amsterdam, Netherlands: John Benjamins Publishing Company.10.1075/z.195Search in Google Scholar

Li, R. and R. Yao. 2008. Southern Min Dialects. Fuzhou, China: Fujian Renmin Chubanshe.Search in Google Scholar

Lieberman, Philip. 1967. Intonation, Perception and Language. Cambridge, MA: MIT Press.Search in Google Scholar

Lin, B. 1992. “Zhangzhou Vocabularies.” Fangyan 3, 230–41.Search in Google Scholar

Lobanov, Boris M. 1971. “Classification of Russian Vowels Spoken by Different Speakers.” Journal of the Acoustical Society of America 49 (2B): 606–8.10.1121/1.1912396Search in Google Scholar

Ma, C. 1994. Studies of Zhangzhou Dialect. Hongkong, China: Zongheng Chubanshe.Search in Google Scholar

Maddieson, Ian. 1990. “The Transcription of Tone in the IPA.” Journal of the International Phonetic Association 20: 28–32.10.1017/S0025100300004242Search in Google Scholar

Maeda, Shinji. 1976. A Characterisation of American English Intonation. Cambridge, MA: MIT Press.Search in Google Scholar

Matisoff, James A. 1973. “Tonogenesis in Southeast Asia.” In Consonant Types and Tone. Southern California Occasional Papers in Linguistics, edited by L. Hyman, 72–95. University of Southern California Linguistics Program.Search in Google Scholar

Michaud, Alexis and Bonny Sands. 2020. “Tonogenesis.” In Oxford Research Encyclopedia of Linguistics, edited by M. Aronoff. Oxford, United Kingdom: Oxford University Press.10.1093/acrefore/9780199384655.013.748Search in Google Scholar

Mortensen, David R. 2013. “Tonally Conditioned Vowel Raising in Shuijingping.” Journal of East Asian Linguististics 22: 189–216.10.1007/s10831-013-9102-6Search in Google Scholar

Norman, Jerry. 1988. Chinese. Cambridge, United Kingdom: Cambridge University Press.Search in Google Scholar

Norman, Jerry. 1991. “The Mĭn Dialects in Historical Perspective.” In Languages and Dialects of China, William S. Y. Wang, 325–58. Berkeley: Project on Linguistic Analysis, University of California.Search in Google Scholar

Ong, Teresa Wai See. 2020. “Safeguarding Penang Hokkien in Malaysia: Attitudes and Community-Driven Efforts.” Linguistics Journal 14 (1): 122–53.Search in Google Scholar

Palmer, Adrian. 1969. “Thai Tone Variants and the Language Teachers.” Language Learning 19 (3–4): 287–300.10.1111/j.1467-1770.1969.tb00469.xSearch in Google Scholar

Pan, Wuyun and Hongming Zhang. 2015. “Middle Chinese Phonology and Qieyun.” In The Oxford Handbook of Chinese Linguistics, W. Wang and C. Sun. Oxford, United Kingdom: Oxford University Press.Search in Google Scholar

Pearce, Nick. 2007. “Rethinking Fairness.” Public Policy Research 14 (1): 11–22.10.1111/j.1744-540X.2007.00458.xSearch in Google Scholar

Pierrehumbert, Janet B. 1989. A Preliminary Study of Consequences of Intonation for the Voice Source. Stockholm, Sweden: Royal Institute of Technology, Speech Transmission Laboratory.Search in Google Scholar

Pike, Kenneth L. 1948. Tone Languages. A Technique for Determining the Number and Type of Pitch Contrasts in Language, with Studies in Tonemic Substitution and Fusion. Ann Arbor, United States: University of Michigan Press.Search in Google Scholar

Pulleyblank, Edwin George. 1978. “The Nature of the Middle Chinese Tones and their Development to Early Mandarin.” Journal of Chinese Linguistics 6 (2): 173–203.Search in Google Scholar

Rose, Phil. 1986. “The Normalization of Tone.” Proceedings of the First Australian Conference on Speech Science and Technology, Canberra, 130–5.Search in Google Scholar

Rose, Phil. 1996. “Between- and Within-Speaker Variation in the Fundamental Frequency of Cantonese Citation Tones.” In Vocal Fold Physiology: Controlling Complexity and Chaos, edited by P. Davis and N. Fletcher, 307–24. Brighton, United Kingdom: Singular Press.Search in Google Scholar

Rose, Phil. 2004. “Defying Explanation? Accounting for Tones in Wenzhou Dialect Disyllabic Lexical Tone Sandhi.” In Proceedings of the 10th Australian International Conference on Speech Science and Technology, edited by S. Cassidy, 237–42. Canberra: Australian Speech Science and Technology Association.Search in Google Scholar

Rose, Phil. 2014. “Transcribing Tone – A Likelihood-based Quantitative Evaluation of Chao’s Tone Letters.” Proceedings of Interspeech 2014, 101–5. Singapore.10.21437/Interspeech.2014-21Search in Google Scholar

Rose, Phil. 2016. “Comparing Normalisation Strategies for Citation Tone F0 in Three Chinese Dialects.” In Proceedings of the 16th Australasian International Conference on Speech Science and Technology, edited by C. Carignan and M. D. Tyler, 221–4. Sydney: Australian Speech Science and Technology Association.Search in Google Scholar

Sagart, Laurent. 1989. “Glottalised Tones in China and South-East Asia.” In Prosodic Analysis and Asian Linguistics: To honour R.K. Sprigg, edited by D. Bradley, E. J. A. Henderson, and M. Mazaudon, 83–93. Pacific Linguistics: The Australian National University.Search in Google Scholar

Schlegel, Gust. 1886. Nederlansch-Chineesch-Woordenboek met de Trascriptie der Chineesche Karakters in het Tsiang-Tsiu Dialekt. Leiden, Netherlands: Brill.10.1163/9789004599413Search in Google Scholar

Scholz, Franziska and Yiya Chen. 2014. “The Independent Effects of Prosodic Structure and Information Status on Tonal Coarticulation: Evidence from Wenzhou Chinese.” In Above and Beyond the Segments: Experimental Linguistics and Phonetics, edited by J. Caspers, Y. Chen, W. Heeren, J. Pacilly, N. Schiller, and E. Zanten, 275–87. Amsterdam, Netherland: John Benjamins Publishing Company.10.1075/z.189.22schSearch in Google Scholar

Sew, Jyh Wee. 2020. “Hokkien as a Heritage Language of Citizenry in Singapore.” Issues in Language Studies 9 (2): 18–32.10.33736/ils.2393.2020Search in Google Scholar

Shen, Ruiqing and Phil Rose. 2016. “Preservation of Tone in Right-Dominant Tone Sandhi: A Fragment of Disyllabic Tone Sandhi in Maodian Wu Chinese.” In Proceedings of the 16th Australasian International Conference on Speech Science and Technology, edited by C. Carignan and M. D. Tyler, 345–8. Sydney: Australian Speech Science and Technology Association.Search in Google Scholar

Shen, Xiaonan Susan. 1990. “Tonal Coarticulation in Mandarin.” Journal of Phonetics 18 (2): 281–95.10.1016/S0095-4470(19)30394-8Search in Google Scholar

Shih, Chilin. 1986. “The Prosodic Domain of Tone Sandhi in Chinese.” PhD diss., University of California at San Diego.Search in Google Scholar

Wang, S. Y. 1967. “Phonological Features of Tone.” International Journal of American Linguistics 33: 93–105.10.1086/464946Search in Google Scholar

Wedekind, Klaus. 1983. “A Six-Tone Language in Ethiopia: Tonal Analysis of Benč⁴ non⁴.” Journal of Ethiopian Studies 16: 129–56.Search in Google Scholar

Wright, Martha Susan. 1983. “A Metrical Approach to Tone Sandhi in Chinese DIialects.” PhD diss., University of Massachusetts Amherst. http://scholarworks.umass.edu/dissertations/AAI8310348.Search in Google Scholar

Xu, Yi. 1994. “Production and Perception of Coarticulated Tones.” The Journal of the Acoustical Society of America 95 (4): 2240–53.10.1121/1.408684Search in Google Scholar

Yang, J. 2005. Lecture Notes on Chinese Phonology. Shanghai, China: Fudan University.Search in Google Scholar

Yang, Xiuming. 2008. Studies of Tones and Regional Cultures of Zhangzhou Dialect. Beijing, China: Zhongguo Shehui Kexue Chubanshe.Search in Google Scholar

Yip, Moira. 2002. Tone. Cambridge, England: Cambridge University Press.Search in Google Scholar

Yuan, Jiahong and Mark Liberman. 2010. F0 Declination in English and Mandarin Broadcast News Speech. Eleventh Annual Conference of the International Speech Communication Association.10.21437/Interspeech.2010-68Search in Google Scholar

Zec, Draga. 1995. “Sonority Constraints on Syllable Structure.” Phonology 12 (1): 85–129.10.1017/S0952675700002396Search in Google Scholar

Zhang, Jisheng. 2006. “The Phonology of Shaoxing Chinese.” PhD diss., LOT Utrecht.Search in Google Scholar

Zhang, Jie. 2007. “A Directional Asymmetry in Chinese Tone Sandhi Systems.” Journal of East Asian Linguistics 16: 259–302.10.1007/s10831-007-9016-2Search in Google Scholar

Zhang, Jie and Jiang Liu. 2011. “Tone Sandhi and Tonal Coarticulation in Tianjin Chinese.” Phonetica 68 (3): 161–91.10.1159/000333387Search in Google Scholar

Zhu, Xiaonong. 2012. “Multiregisters and Four Levles: A New Tonal Model.” Journal of Chinese Linguistics 40: 1–17.Search in Google Scholar

ZZG. 1999. Zhangzhou City Gazette-Dialect Volume (Vol. 49). Beijing, China: Zhongguo Shehui Kexue Chubanshe.Search in Google Scholar

Received: 2024-08-06
Revised: 2024-12-09
Accepted: 2025-01-07
Published Online: 2025-07-02

© 2025 the author(s), published by De Gruyter

This work is licensed under the Creative Commons Attribution 4.0 International License.

Articles in the same Issue

  1. Research Articles
  2. No three productions alike: Lexical variability, situated dynamics, and path dependence in task-based corpora
  3. Individual differences in event experiences and psychosocial factors as drivers for perceived linguistic change following occupational major life events
  4. Is GIVE reliable for genealogical relatedness? A case study of extricable etyma of GIVE in Huī Chinese
  5. Borrowing or code-switching? Single-word English prepositions in Hong Kong Cantonese
  6. Stress and epenthesis in a Jordanian Arabic dialect: Opacity and Harmonic Serialism
  7. Can reading habits affect metaphor evaluation? Exploring key relations
  8. Acoustic properties of fricatives /s/ and /∫/ produced by speakers with apraxia of speech: Preliminary findings from Arabic
  9. Translation strategies for Arabic stylistic shifts of personal pronouns in Indonesian translation of the Quran
  10. Colour terms and bilingualism: An experimental study of Russian and Tatar
  11. Argumentation in recommender dialogue agents (ARDA): An unexpected journey from Pragmatics to conversational agents
  12. Toward a comprehensive framework for tonal analysis: Yangru tone in Southern Min
  13. Variation in the formant of ethno-regional varieties in Nigerian English vowels
  14. Cognitive effects of grammatical gender in L2 acquisition of Spanish: Replicability and reliability of object categorization
  15. Interaction of the differential object marker pam with other prominence hierarchies in syntax in German Sign Language (DGS)
  16. Modality in the Albanian language: A corpus-based analysis of administrative discourse
  17. Theory of ecology of pressures as a tool for classifying language shift in bilingual communities
  18. BSL signers combine different semiotic strategies to negate clauses
  19. Embodiment in colloquial Arabic proverbs: A cognitive linguistic perspective
  20. Voice quality has robust visual associations in English and Japanese speakers
  21. Special Issue: Request for confirmation sequences across ten languages, edited by Martin Pfeiffer & Katharina König - Part II
  22. Request for confirmation sequences in Castilian Spanish
  23. A coding scheme for request for confirmation sequences across languages
  24. Special Issue: Classifier Handshape Choice in Sign Languages of the World, coordinated by Vadim Kimmelman, Carl Börstell, Pia Simper-Allen, & Giorgia Zorzi
  25. Classifier handshape choice in Russian Sign Language and Sign Language of the Netherlands
  26. Formal and functional factors in classifier choice: Evidence from American Sign Language and Danish Sign Language
  27. Choice of handshape and classifier type in placement verbs in American Sign Language
  28. Somatosensory iconicity: Insights from sighted signers and blind gesturers
  29. Diachronic changes the Nicaraguan sign language classifier system: Semantic and phonological factors
  30. Depicting handshapes for animate referents in Swedish Sign Language
  31. A ministry of (not-so-silly) walks: Investigating classifier handshapes for animate referents in DGS
  32. Choice of classifier handshape in Catalan Sign Language: A corpus study
Downloaded on 20.10.2025 from https://www.degruyterbrill.com/document/doi/10.1515/opli-2025-0041/html?srsltid=AfmBOop7eW0OWirOXRd3o3xr1eGXAQ_ByvroNjTbH8tCfPdoovtnGGp9
Scroll to top button