Home Mathematics Morse index of circular solutions for repulsive central force problems on surfaces
Article Open Access

Morse index of circular solutions for repulsive central force problems on surfaces

  • Ran Yang ORCID logo EMAIL logo
Published/Copyright: December 19, 2025

Abstract

The classical theory of repulsive central force problem on the standard (flat) Euclidean plane can be generalized to surfaces by reformulating the basic underlying physical principles by means of differential geometry. The aim of the present paper is to compute the Morse index of the circular periodic orbits in the case of repulsive power-law potentials of the Riemannian distance on revolution’s surfaces.

MSC 2020: 37B30; 53D12; 53C22; 58J30

1 Description of the problem and main results

Central-force dynamics and orbital motion are fundamental topics in advanced mechanics. In particular, Newtonian mechanics on non-flat spaces can be naturally formulated within the framework of Riemannian geometry. A mechanical system is described by a triple (M, g, V), where M is a smooth manifold representing the configuration space, g is a Riemannian metric that determines the kinetic energy, and V is the potential function.

In Physics and Classical Mechanics, many interactions are modeled by using potentials depending on the distance alone, such as when one studies systems of many particles interacting with each other or when one considers a single particle that interacts with a source. Thus, it seems natural to investigate systems on manifolds M whose potential is a function of the distance from a point.

For attractive central force problem, the Keplerian problem is a classical model. In the last decades, several authors provided a generalization of the gravitational Keplerian potential in the constant curvature case, starting with the well-known manuscript of Harin & Kozlov [1]. Some generalizations can be found in refs. [2], [3], [4] and references therein. Inspired by the approach in ref. [5], in ref. [6] we compute the Morse index of the circular orbits under some attractive power-law potentials of the Riemannian distance on revolution’s surfaces by using the normal form provided in ref. [7].

But some classical repulsive central force problems are excluded, for example, the dynamics of electrons with the same charge. Therefore, in the rest of the paper, we aim to compute the Morse index of the circular periodic orbits in the case of repulsive power-law potentials of the Riemannian distance on revolution’s surfaces which are conformal to the flat one, namely, the sphere and hyperbolic plane. The computation of the Morse index can be reduced to the calculation of the Maslov index associated with the periodic orbit of the corresponding linear Hamiltonian system. For detailed accounts of the Maslov index and its applications to stability problem, we refer the reader to refs. [8], [9], [10], [11], [12], [13], [14], [15], [16], [17], [18], [19], [20], [21], among others.

In polar coordinates ξ, θ and up to rescaling time and normalizing the radial variable, we end up considering the following Lagrangian function

L α ( ξ , ϑ , ξ ̇ , ϑ ̇ ) = 1 2 p ( ξ ) ξ ̇ 2 + ξ 2 ϑ ̇ 2 + q ( ξ ) .

Here p denotes the conformal factor and q the potential. For the sphere and the hyperbolic plane with constant curvature metrics the conformal factors potentials are

  1. (Sphere case)

    (1.1) p ( ξ ) := 2 ( 1 + ξ 2 ) 2 , q ( ξ ) := arctan α ξ .

  2. (Hyperbolic plane case)

    (1.2) p ( ξ ) := 2 ( 1 ξ 2 ) 2 , q ( ξ ) := ln α 1 + ξ 1 ξ .

(Here α is non-vanishing and ξ is non-negative). T-periodic solutions of the associated Euler–Lagrange equation can be seen as critical points of the Lagrangian action function

A ( x ) = 0 T L ξ ( t ) , ϑ ( t ) , ξ ( t ) , ϑ ( t ) d t ,

where x = (ξ, ϑ), T > 0 denotes the prime period of the orbit and A is defined on the Hilbert space of the H 1 loops (of period T) in the punctured plane. We let x be a T-periodic circular orbit, i.e. a solution of the form x(t) = (ξ 0, θ 0 + ) for t ∈ [0, T/ω]. Denoting by m (x) the Morse index of the critical point x, our results read as follows.

Theorem 1.

(Sphere Case). Let p and q be as in (1.1), and let x denote a circular solution. Then the Morse index of x is given by

m ( x ) = 1 if  ( ξ 0 , α ) Ω 1,0 , 2 if  ( ξ 0 , α ) Ω 1 + Ω 1 0 Ω 2 + Ω 2 0 , 2 k + 1 if  ( ξ 0 , α ) Ω 1 , k Ω 2 , k , k = 1,2 ,

Here, Ω 1 + and Ω 1 0 are defined in (3.6), Ω 1 , k in (3.7), Ω 2 + and Ω 2 0 in (3.8) , and Ω 2 , k in (3.9) . The regions are illustrated in Figure 1.

Figure 1: 
(Sphere case) The subregions of Ω1, Ω2 corresponding to the jumps of the Morse index. (a) (Sphere case α positive) In this figure are displayed the subregions of the 





ξ
O
α

̂




$\hat{\xi O\alpha }$



-region Ω1 ≔ (0, 1) × (0, +∞) labeled by the Morse index of the corresponding circular orbit. (b) (Sphere case α negative) In this figure are displayed the subregions of the 





ξ
O
α

̂




$\hat{\xi O\alpha }$



-region Ω2 ≔ (1, +∞) × (−∞, 0) labeled by the Morse index of the corresponding circular orbit.
Figure 1:

(Sphere case) The subregions of Ω1, Ω2 corresponding to the jumps of the Morse index. (a) (Sphere case α positive) In this figure are displayed the subregions of the ξ O α ̂ -region Ω1 ≔ (0, 1) × (0, +∞) labeled by the Morse index of the corresponding circular orbit. (b) (Sphere case α negative) In this figure are displayed the subregions of the ξ O α ̂ -region Ω2 ≔ (1, +∞) × (−∞, 0) labeled by the Morse index of the corresponding circular orbit.

Theorem 2.

(Hyperbolic plane Case). Let p and q be as in (1.2), and let x denote a circular solution. Then the Morse index of x is given by

m ( x ) = 2 k if  ( ξ 0 , α ) Ω 3 , k + Ω 3 , k 0 , 2 k + 1 if  ( ξ 0 , α ) Ω 3 , k , for  k = 1,2 , ,

where Ω 3 , k ± and Ω 3 , k 0 are defined in (3.11) . These regions are illustrated in Figure 2.

For Euclidean case we have the following result.

Figure 2: 
(Hyperbolic plane case) In the figure we represent the subregions of the Ω3 corresponding to the jumps of the Morse index.
Figure 2:

(Hyperbolic plane case) In the figure we represent the subregions of the Ω3 corresponding to the jumps of the Morse index.

Theorem 3.

Let p(ξ) = 1, q(ξ) = −ξ α and let x be a circular solution. Then the Morse index of x is given by

m ( x ) = 2 if  0 < α 2 , 2 k + 1 if  k 2 2 < α ( k + 1 ) 2 2 for k 2 .

2 Central force problem on constant curvature surfaces

We start by considering the configuration space ( R 2 , g ) equipped with polar coordinates (r, ϑ), where g is a conformally flat metric and we denote by S R 2 (resp. H R 2 ) the sphere (resp. the pseudo-sphere) of radius R. The conformal factor is given by

μ R ( r ) := 2 R 2 R 2 + r 2 for S R 2 , 2 R 2 R 2 r 2 for H R 2 .

In terms of the curvature κ, the conformal factor can be written at once as

μ R ( r ) = 2 1 + κ r 2 ,  where  κ = 1 / R 2 for the sphere, 1 / R 2 for the pseudo sphere.

We now take the origin as the center of the central force and we consider the simple mechanical system (M, g, V) where M := R 2 \ { ( 0,0 ) } and V : M R is a power law potential energy (independent on ϑ) depending only on the Riemannian distance from the origin. By a direct integration of the conformal factor, we get that the distance of the point P(r, ϑ) to the origin is

d R ( r ) = 2 R arctan ( r / R ) for  S R 2 , R ln R + r R r for  H R 2 .

Given α R * , we let

V α : M R defined by  V α ( r , ϑ ) = m [ d R ( r ) ] α , m ( 0 , + )

and we consider the Lagrangian L ̃ α of the mechanical system (M, g, V α ) on the state space TM given by

L ̃ α ( r , ϑ , v r , v ϑ ) = 1 2 μ R 2 ( r ) ( v r 2 + r 2 v ϑ 2 ) V α ( r , ϑ ) .

By introducing the change of variables ξr/R, the Lagrangian function can be rewritten as follows:

L ̃ α ( ξ , ϑ , v ξ , v ϑ ) := 2 R 2 ( 1 + ξ 2 ) 2 v ξ 2 + ξ 2 v ϑ 2 m 2 R arctan ξ α for  S R 2 , 2 R 2 ( 1 ξ 2 ) 2 v ξ 2 + ξ 2 v ϑ 2 m R ln 1 + ξ 1 ξ α for  H R 2 .

Now, computing L ̃ α along a smooth curve and rescaling time by setting

t := m 2 α 1 R α 2 1 / 2 τ in the case of  S R 2 , m 2 1 R α 2 1 / 2 τ in the case of  H R 2 ,

and denoting by ⋅ the τ derivative as well, we get that L ̃ α = C α L α where

L α ( ξ , ϑ , ξ ̇ , ϑ ̇ ) := 1 ( 1 + ξ 2 ) 2 ξ ̇ 2 + ξ 2 ϑ ̇ 2 arctan α ξ in the case of  S R 2 , 1 ( 1 ξ 2 ) 2 ξ ̇ 2 + ξ 2 ϑ ̇ 2 ln α 1 + ξ 1 ξ in the case of  H R 2 ,

and C α mR α 2 α (resp. CmR α ) in the case of S R 2 (resp. H R 2 ).

2.1 Euler–Lagrange equation and Sturm-Liouville problem

We let p ± ( ξ ) := 2 ( 1 ± ξ 2 ) 2 , q +(ξ) ≔ −arctan α ξ and q ( ξ ) := ln α 1 + ξ 1 ξ .

Notation 2.1.

In shorthand notation, with abuse of notation, we use p(ξ) for denoting either p +(ξ) or p (ξ) and q(ξ) for denoting either q +(ξ) or q (ξ). Furthermore, we denote by p′ (resp. q′) the ξ derivative of p (resp. q).

Now we can consider the Lagrangian L α instead of L ̃ α which is given by

L α ( ξ , ϑ , ξ ̇ , ϑ ̇ ) = 1 2 p ( ξ ) ξ ̇ 2 + ξ 2 ϑ ̇ 2 + q ( ξ ) ,

and by a direct calculation we get that the associated Euler–Lagrangian equation is

(2.1) d d τ ( p ξ ̇ ) = 1 2 p ( ξ ̇ 2 + ξ 2 ϑ ̇ 2 ) + p ξ ϑ ̇ 2 + q on  [ 0 , T ] ,  d d τ ( p ξ 2 ϑ ̇ ) = 0 .

A special class of solutions of the Euler–Lagrange equation is provided by the circular solutions pointwise defined by x ( t ) = ξ 0 , ϑ ( t ) , where by the first equation of (2.1), we immediately get

ϑ ̇ 2 = 2 q ( p ξ 2 ) ξ = ξ 0 .

Notation 2.2.

We set

(2.2) p 0 := p ( ξ 0 ) , p 0 := p ( ξ 0 ) , p 0 := p ( ξ 0 ) ,

q 0 := q ( ξ 0 ) , q 0 := q ( ξ 0 ) , q 0 := q ( ξ 0 ) ,

η 0 := p 0 ξ 0 2 , η 0 := p 0 ξ 0 2 = p 0 ξ 0 2 + 2 p 0 ξ 0 , ϑ ̇ 0 2 = 2 q 0 η 0 1 .

So, the period T is given by

T = 2 π ω 0 , where  ω 0 := η 0 2 q 0 .

By linearizing along x we get the Sturm-Liouville equation given by

d d τ P y ̇ + Q y + Q T y ̇ + R y = 0 on  [ 0 , T ] ,

where

P = p 0 0 0 η 0 , Q = 0 0 ζ 0 0 , w h e r e ζ 0 := 2 q 0 η 0 , i f η 0 0 2 q 0 η 0 , i f η 0 < 0 a n d fi n a l l y R = R 11 0 0 0 f o r R 11 := η 0 q 0 η 0 .

We set B = P 1 P 1 Q Q T P 1 Q T P 1 Q R . By a direct computation, we get

P 1 = p 0 1 0 0 η 0 1 , P 1 Q = 0 0 η 0 1 ζ 0 0 , Q T P 1 Q = η 0 1 ζ 0 2 0 0 0 , Q T P 1 Q R = η 0 1 ζ 0 2 η 0 ( q 0 / η 0 ) 0 0 0 .

We observe that

η 0 1 ζ 0 2 = 2 q 0 ln η 0 , η 0 1 ζ 0 = 2 q 0 η 0 1 , a n d    η 0 1 ζ 0 2 R 11 = 2 q 0 η 0 η 0 η 0 q 0 η 0 .

In conclusion, we get

B = p 0 1 0 0 0 0 η 0 1 η 0 1 ζ 0 0 0 η 0 1 ζ 0 2 q 0 η 0 η 0 η 0 q 0 η 0 0 0 0 0 0 ,  a n d J B = 0 η 0 1 ζ 0 2 q 0 η 0 η 0 + η 0 q 0 η 0 0 0 0 0 0 p 0 1 0 0 0 0 η 0 1 η 0 1 ζ 0 0 ,

where J := 0 I 2 I 2 0 denotes the standard complex structure.

Notation 2.3.

We let

(2.3) a := p 0 1 , b := η 0 1 ζ 0 , c := η 0 1 , d := 2 q 0 η 0 η 0 + η 0 q 0 η 0 .

Bearing this notation in mind the linear autonomous Hamiltonian system z′(t) = JBz(t) reads as

z ̇ ( t ) = A z ( t ) t [ 0 , T ]

where

A = 0 b d 0 0 0 0 0 a 0 0 0 0 c b 0 .

Then we introduce the following formula to compute the Morse index.

Lemma 2.4.

Let x = ξ 0 , ϑ ( t ) be a circular T-periodic solution of the Euler–Lagrange equation. Then, the Morse index of x is given by

m ( x ) = 2 k if  d < 0 and  c d + b 2 0 , 2 k + 1 if  d < 0 and  c d + b 2 < 0 , 0 if  d = 0 , b = 0 and  c > 0 , d = 0 and  b 0 , d > 0 and  c d + b 2 > 0 ,

where k N is given by k 2 π < a d T ( k + 1 ) 2 π .

Proof.

It is referred to [6], Theorem 1]. □

3 Computations of Morse index for circular orbits

This section is devoted to compute the Morse index of the circular orbits on the sphere, pseudo-sphere and Euclidean plane. We start by recalling that, in this case, the Lagrangian of the problem is given by

L ( ξ , ϑ , ξ ̇ , ϑ ̇ ) = 1 2 p ( ξ ) ξ ̇ 2 + ξ 2 ϑ ̇ 2 + q ( ξ ) .

3.1 Circular orbits on the sphere

In this case p ( ξ ) = 2 ( 1 + ξ 2 ) 2 and  q ( ξ ) = arctan α ξ . In shorthand notation, we set F(ξ) ≔  arctan ξ. Bearing in mind the notation given in Equation (2.2), we get

p 0 = 2 1 + ξ 0 2 2 , p 0 = 8 ξ 0 1 + ξ 0 2 3 , p 0 = 8 5 ξ 0 2 1 1 + ξ 0 2 4 , q 0 , = F α ( ξ 0 ) , q 0 = α F α 1 ( ξ 0 ) ( 1 + ξ 0 2 ) 1 , q 0 = α ( α 1 ) F α 2 ( ξ 0 ) + 2 α ξ 0 F α 1 ( ξ 0 ) 1 + ξ 0 2 2 , η 0 = 2 ξ 0 2 1 + ξ 0 2 2 , η 0 = 4 ξ 0 1 ξ 0 2 1 + ξ 0 2 3 , ϑ ̇ 0 2 = α F α 1 ( ξ 0 ) ( 1 + ξ 0 2 ) 2 2 ξ 0 1 ξ 0 2 .

In order for the (RHS) of ϑ ̇ 0 2 to be positive, we have to impose the following restriction on ξ 0:

(3.1) ξ 0 ( 0,1 ) if α > 0 , ( 1 , + ) if α < 0 .

By a direct computation, we get

(3.2) a = 1 + ξ 0 2 2 2 , b = 2 1 ξ 0 2 ξ 0 α F α 1 ( ξ 0 ) 2 ξ 0 1 ξ 0 2 , c = 1 + ξ 0 2 2 2 ξ 0 2 , d = α F α 2 ( ξ 0 ) 3 ξ 0 4 2 ξ 0 2 + 3 F ( ξ 0 ) + ( α 1 ) ξ 0 1 ξ 0 2 ξ 0 1 + ξ 0 2 2 1 ξ 0 2 .

In order to determine the Morse index, we have to discuss the sign of d according to α and ξ 0.

3.1.1 First case: α positive

Since in this case ξ 0 ∈ (0, 1), then we get that the sign of d is minus the sign of

(3.3) f 1 ( ξ ) = ( 3 ξ 4 2 ξ 2 + 3 ) arctan ξ + ( α 1 ) ξ ( 1 ξ 2 ) .

We let

Ω 1 := ( 0,1 ) × ( 0 , + )

and it is easy to check that f 1(ξ) > 0 for all (ξ, α) ∈ Ω1 and consequently there always holds d < 0 in Ω1.

Next we need to determine the sign of b 2 + cd. Taking into account Equation (3.2) and after some algebraic manipulations, we have

(3.4) b 2 + c d = α F α 2 ( ξ 0 ) ξ 0 4 6 ξ 0 2 + 1 F ( ξ 0 ) ( α 1 ) ξ 0 1 ξ 0 2 2 ξ 0 3 1 ξ 0 2 .

We observe that, since F(ξ 0) is strictly positive and 1 ξ 0 2 > 0 , then the sign of b 2 + cd coincides with that of ξ 0 4 6 ξ 0 2 + 1 F ( ξ 0 ) ( α 1 ) ξ 0 1 ξ 0 2 . Let

(3.5) f 2 ( ξ ) = ( ξ 4 6 ξ 2 + 1 ) arctan ξ ( α 1 ) ξ ( 1 ξ 2 ) .

According to the sign of f 2(ξ) we can split Ω1 into the following three subregions

(3.6) Ω 1 + := ( ξ , α ) Ω 1 | f 2 ( ξ ) > 0 = ( ξ , α ) Ω 1 0 < α < 1 + ( ξ 4 6 ξ 2 + 1 ) arctan ξ ξ ( 1 ξ 2 ) , Ω 1 := ( ξ , α ) Ω 1 | f 2 ( ξ ) < 0 = ( ξ , α ) Ω 1 α > 1 + ( ξ 4 6 ξ 2 + 1 ) arctan ξ ξ ( 1 ξ 2 ) , Ω 1 0 := ( ξ , α ) Ω 1 | f 2 ( ξ ) = 0 = ( ξ , α ) Ω 1 α = 1 + ( ξ 4 6 ξ 2 + 1 ) arctan ξ ξ ( 1 ξ 2 ) .

By this discussion, we finally get that

b 2 + c d is  positive  for  ( ξ , α ) Ω 1 + , negative  for  ( ξ , α ) Ω 1 .

In this case for computing the Morse index, we need to calculate the integer k defined by k 2 π < a d T ( k + 1 ) 2 π . Since

T = 2 π ϑ ̇ = 2 π 2 ξ 0 1 ξ 0 2 α F α 1 ( ξ 0 ) ( 1 + ξ 0 2 ) 2

and using Equation (3.2), we get

a d T = 2 π f 3 ( ξ ) , where  f 3 ( ξ ) := ( 3 ξ 4 2 ξ 2 + 3 ) arctan ξ + ( α 1 ) ξ ( 1 ξ 2 ) arctan ξ ( 1 + ξ 2 ) 2 .

Indeed, we can check that for every k N there exists (ξ, α) ∈ Ω1 such that k < f 3(ξ) ≤ k + 1. Therefore, for every k N we define

(3.7) Ω 1 , k ± := ( ξ , α ) Ω 1 ± | k < f 3 ( ξ ) k + 1 , Ω 1 , k 0 := ( ξ , α ) Ω 1 0 | k < f 3 ( ξ ) k + 1 .

For example, by a direct computation, we infer that

k = 0 0 < α 1 2 ( 1 ξ 2 ) arctan ξ ξ .

So, denoting these regions as follows

Ω 1,0 ± := ( ξ , α ) Ω 1 ± 0 < α 1 2 ( 1 ξ 2 ) arctan ξ ξ , Ω 1,0 0 := ( ξ , α ) Ω 1 0 0 < α 1 2 ( 1 ξ 2 ) arctan ξ ξ .

we finally get that for any ( ξ , α ) Ω 1,0 ± Ω 1,0 0 , we have k = 0.

Similarly, direct computations show that

k = 1 1 2 ( 1 ξ 2 ) arctan ξ ξ < α 1 + ( ξ 4 + 10 ξ 2 + 1 ) arctan ξ ξ ( 1 ξ 2 ) , k = 2 1 + ( ξ 4 + 10 ξ 2 + 1 ) arctan ξ ξ ( 1 ξ 2 ) < α 1 + ( 6 ξ 4 + 20 ξ 2 + 6 ) arctan ξ ξ ( 1 ξ 2 )

and so on. Figure 3 are displayed all indices in these involved regions.

Figure 3: 
(Sphere case α positive) The subregions of the 





ξ
O
α

̂




$\hat{\xi O\alpha }$



-region Ω1 ≔ (0, 1) × (0, +∞) labeled by the Morse index of the corresponding circular orbit.
Figure 3:

(Sphere case α positive) The subregions of the ξ O α ̂ -region Ω1 ≔ (0, 1) × (0, +∞) labeled by the Morse index of the corresponding circular orbit.

By invoking Lemma 2.4 we finally get

m ( x ) = 2 if  ( ξ 0 , α ) Ω 1 + Ω 1 0 , 2 k + 1 if  ( ξ 0 , α ) Ω 1 , k , k = 0,1 ,

3.1.2 Second case: α negative

In this case, by taking into account the restrictions provided at Equation (3.1), we have ξ 0 ∈ (1, +∞) and consequently 1 ξ 0 2 < 0 . Arguing precisely as before, we need to establish the signs of d and b 2 + cd as well as the value of k. Since all expressions are precisely as before with the only difference about the range of ξ and α.

We let

Ω 2 := ( 1 , + ) × ( , 0 ) .

and we start observing that the sign of f 1(ξ) defined in (3.3) for (ξ, α) ∈ Ω2 is opposite to that of d. Precisely as before, we can check that f 1(ξ) > 0 and consequently d < 0 for all (ξ, α) ∈ Ω2.

Next we need to determine the sign of b 2 + cd. By Equation (3.4) the sign of b 2 + cd coincides with that of f 2(ξ) defined at Equation (3.5) for (ξ, α) ∈ Ω2. Then by an algebraic manipulation we have

(3.8) Ω 2 + := ( ξ , α ) Ω 2 | f 2 ( ξ ) > 0 = ( ξ , α ) Ω 2 α > 1 + ( ξ 4 6 ξ 2 + 1 ) arctan ξ ξ ( 1 ξ 2 ) , Ω 2 := ( ξ , α ) Ω 2 | f 2 ( ξ ) < 0 = ( ξ , α ) Ω 2 α < 1 + ( ξ 4 6 ξ 2 + 1 ) arctan ξ ξ ( 1 ξ 2 ) , Ω 2 0 := ( ξ , α ) Ω 2 | f 2 ( ξ ) = 0 = ( ξ , α ) Ω 2 α = 1 + ( ξ 4 6 ξ 2 + 1 ) arctan ξ ξ ( 1 ξ 2 ) .

So, there holds that

c d + b 2 is  p o s i t i v e for  ( ξ , α ) Ω 2 + , n e g a t i v e for  ( ξ , α ) Ω 2 , z e r o for  ( ξ , α ) Ω 2 0 .

Firstly, we can check that f 3(ξ) > 1 holds for all (ξ, α) ∈ Ω2 and for every k N + there exists (ξ, α) ∈ Ω2 such that k < f 3(ξ) ≤ k + 1. Moreover, it is straightforward to check that

k = 1 1 + ( ξ 4 + 10 ξ 2 + 1 ) arctan ξ ξ ( 1 ξ 2 ) α < 0 , k = 2 1 + ( 6 ξ 4 + 20 ξ 2 + 6 ) arctan ξ ξ ( 1 ξ 2 ) α < 1 + ( ξ 4 + 10 ξ 2 + 1 ) arctan ξ ξ ( 1 ξ 2 )

and so on. Some simple computations show that k = 1 for all ( ξ , α ) Ω 2 + Ω 2 0 . Now we define the following planar regions

(3.9) Ω 2 , k := ( ξ , α ) Ω 2 | k < f 3 ( ξ ) k + 1 .

Therefore, by invoking Lemma 2.4, we get

m ( x ) = 2 if  ( ξ , α ) Ω 2 + Ω 2 0 , 2 k + 1 if  ( ξ , α ) Ω 2 , k , k = 1,2 ,

It is shown in Figure 4.

Figure 4: 
(Sphere case α negative) The subregions of the 





ξ
O
α

̂




$\hat{\xi O\alpha }$



-region Ω1 ≔ (1, +∞) × (−∞, 0) labeled by the Morse index of the corresponding circular orbit.
Figure 4:

(Sphere case α negative) The subregions of the ξ O α ̂ -region Ω1 ≔ (1, +∞) × (−∞, 0) labeled by the Morse index of the corresponding circular orbit.

We finally are in position to summarize the involved discussion in the following conclusive result for the sphere.

Theorem 3.1.

Under the above notations, the indices of a circular orbit on sphere are given by

m ( x ) = 1 if  ( ξ , α ) Ω 1,0 , 2 if  ( ξ 0 , α ) Ω 1 + Ω 1 0 Ω 2 + Ω 2 0 , 2 k + 1 if  ( ξ 0 , α ) Ω 1 , k Ω 2 , k , k = 1,2 , .

A direct consequence of Theorem 3.1 concerns the Morse index of the circular orbits in one physically interesting cases: α = 2 corresponding to a elastic like potential.

Corollary 3.2.

For α = 2, then we get m (x) = 3.

3.2 Circular orbits on the hyperbolic plane

This subsection is devoted to compute the Morse index for circular orbits on the pseudo-sphere. In this case

p ( ξ ) = 2 ( 1 ξ 2 ) 2 and  q ( ξ ) = ln α 1 + ξ 1 ξ ξ ( 0,1 ) .

We let

G ( ξ ) := ln 1 + ξ 1 ξ and  G ( ξ ) := d G d ξ ( ξ ) .

By a direct computations we have

p ( ξ ) = 8 ξ ( 1 ξ 2 ) 3 , p ( ξ ) = 8 + 40 ξ 2 ( 1 ξ 2 ) 4 ,

q ( ξ ) = 2 α G α 1 ( ξ ) 1 ξ 2 , q ( ξ ) = 4 α ( α 1 ) G α 2 ( ξ ) + 4 α ξ G α 1 ( ξ ) ( 1 ξ 2 ) 2 .

Notation 3.3.

Abusing notation, let us now introduce the following notation similar to that of Equation (2.2), we have

p 0 = 2 1 ξ 0 2 2 , p 0 = 8 ξ 0 1 ξ 0 2 3 , p 0 = 8 + 40 ξ 0 2 1 ξ 0 2 4 ,

q 0 = G α ( ξ 0 ) , q 0 = 2 α G α 1 ( ξ 0 ) 1 ξ 0 2 , q 0 = 4 α ( α 1 ) G α 2 ( ξ 0 ) + 4 α ξ 0 G α 1 ( ξ 0 ) 1 ξ 0 2 2 ,

η 0 = 2 ξ 0 2 1 ξ 0 2 2 , η 0 = 4 ξ 0 3 + 4 ξ 0 1 ξ 0 2 3 , ϑ ̇ 2 = α G α 1 ( ξ 0 ) ( 1 ξ 0 2 ) 2 ξ 0 1 + ξ 0 2 .

Since the (RHS) of the equation defining ϑ ̇ 2 should be positive, we only restrict to the case

α > 0 .

By a straightforward computation, we get

ζ 0 = 4 ξ 0 1 + ξ 0 2 1 ξ 0 2 2 α G α 1 ( ξ 0 ) ξ 0 1 + ξ 0 2 , 1 2 η 0 = 6 ξ 0 4 + 16 ξ 0 2 + 2 1 ξ 0 2 4 , 2 q 0 η 0 η 0 = 8 α G α 1 ( ξ 0 ) ( 1 + ξ 0 2 ) ξ 0 1 ξ 0 2 2 , η 0 q 0 η 0 = 2 α G α 2 ( ξ 0 ) ξ 0 4 + 6 ξ 0 2 + 1 G ( ξ 0 ) 2 ( α 1 ) ξ 0 1 + ξ 0 2 ξ 0 1 ξ 0 2 2 1 + ξ 0 2 .

Then we have

(3.10) a = p 0 1 = 1 ξ 0 2 2 2 , b = η 0 1 ζ 0 = 2 1 + ξ 0 2 ξ 0 α G α 1 ( ξ 0 ) ξ 0 1 + ξ 0 2 , c = η 0 1 = 1 ξ 0 2 2 2 ξ 0 2 , d = 2 q 0 ( ln η 0 ) + η 0 q 0 η 0 = 2 α G α 2 ( ξ 0 ) 3 ξ 0 4 + 2 ξ 0 2 + 3 G ( ξ 0 ) + 2 ( α 1 ) ξ 0 1 + ξ 0 2 ξ 0 1 ξ 0 2 2 1 + ξ 0 2 .

Similar to the sphere case, we start determining the sign of d ranging in the parameter region

Ω 3 := ( 0,1 ) × ( 0 , ) .

By the explicit computation of d given at Equation (3.10), we infer that the sign of d is minus the sign of 3 ξ 0 4 + 2 ξ 0 2 + 3 G ( ξ 0 ) + 2 ( α 1 ) ξ 0 1 + ξ 0 2 . We let

g 1 ( ξ ) = ( 3 ξ 4 + 2 ξ 2 + 3 ) ln 1 + ξ 1 ξ + 2 ( α 1 ) ξ ( 1 + ξ 2 ) ( ξ , α ) Ω 3 .

We can check that g 1(ξ) > 0 and consequently there holds d < 0 for all (ξ, α) ∈ Ω3.

Next we have to study the sign of b 2 + cd. By Equation (3.10) and by a direct computation, we get

b 2 + c d = α G α 2 ( ξ 0 ) ξ 0 4 + 6 ξ 0 2 + 1 G ( ξ 0 ) 2 ( α 1 ) ξ 0 1 + ξ 0 2 ξ 0 3 1 + ξ 0 2 .

Now, we observe that since α > 0 and G(ξ 0) > 0, then the sign of b 2 + cd is equal to the sign of the function

g 2 ( ξ ) := ( ξ 4 + 6 ξ 2 + 1 ) ln 1 + ξ 1 ξ 2 ( α 1 ) ξ ( 1 + ξ 2 ) .

So we have following three subregions of Ω3 according to the sign of g 2(ξ).

Ω 3 + := ( ξ , α ) Ω 3 | g 2 ( ξ ) > 0 = ( ξ , α ) Ω 3 α < 1 + ( ξ 4 + 6 ξ 2 + 1 ) ln ( ( 1 + ξ ) / ( 1 ξ ) ) 2 ξ ( 1 ξ 2 ) , Ω 3 := ( ξ , α ) Ω 3 | g 2 ( ξ ) < 0 = ( ξ , α ) Ω 3 α > 1 + ( ξ 4 + 6 ξ 2 + 1 ) ln ( ( 1 + ξ ) / ( 1 ξ ) ) 2 ξ ( 1 ξ 2 ) , Ω 3 0 := ( ξ , α ) Ω 3 | g 2 ( ξ ) = 0 = ( ξ , α ) Ω 3 α = 1 + ( ξ 4 + 6 ξ 2 + 1 ) ln ( ( 1 + ξ ) / ( 1 ξ ) ) 2 ξ ( 1 ξ 2 ) .

So, there holds that

c d + b 2 is  p o s i t i v e for  ( ξ , α ) Ω 3 + , n e g a t i v e for  ( ξ , α ) Ω 3 , z e r o for  ( ξ , α ) Ω 3 0 .

In order to compute the index by Lemma 2.4 we have to determine the value of k. Recall that the value of k is determined by k 2 π < a d T ( k + 1 ) 2 π . Indeed, we have

T = 2 π ϑ ̇ = 2 π ξ 0 1 + ξ 0 2 α G α 1 ( ξ 0 ) ( 1 ξ 0 2 ) 2 .

Moreover, by Equation (3.10) we have

a d = α G α 2 ( ξ 0 ) ( 3 ξ 0 4 + 2 ξ 0 2 + 3 ) G ( ξ 0 ) + 2 ( α 1 ) ξ 0 1 + ξ 0 2 ξ 0 1 + ξ 0 2 .

Therefore,

a d T = 2 π 3 ξ 0 4 + 2 ξ 0 2 + 3 G ( ξ 0 ) + 2 ( α 1 ) ξ 0 1 + ξ 0 2 G ( ξ 0 ) ( 1 ξ 0 2 ) 2 .

Let

g 3 ( ξ ) := ( 3 ξ 4 + 2 ξ 2 + 3 ) ln 1 + ξ 1 ξ + 2 ( α 1 ) ξ ( 1 + ξ 2 ) ( 1 ξ 2 ) 2 ln 1 + ξ 1 ξ .

Direct computations show that

k = 0 0 < g 3 ( ξ ) 1 0 < α 1 1 + ξ 2 ξ ln 1 + ξ 1 ξ .

But it is impossible since the right-hand side of above inequality is negative for ξ ∈ (0, 1). Moreover, we can check that for every fixed α and k N + there exists ( ξ , α ) Ω 3 + such that k < g 3(ξ) ≤ k + 1. Then we can define the subregions

(3.11) Ω 3 , k ± := ( ξ , α ) Ω 3 ± | k < g 3 ( ξ ) k + 1 , Ω 3 , k 0 := ( ξ , α ) Ω 3 0 | k < g 3 ( ξ ) k + 1 .

All these subregions are displayed in Figure 5. Invoking Lemma 2.4, then we have the following result.

Figure 5: 
(Hyperbolic case α positive) In this figure are displayed the subregions of the 





ξ
O
α

̂




$\hat{\xi O\alpha }$



-region Ω1 ≔ (0, 1) × (0, +∞) labeled by the Morse index of the corresponding circular orbit.
Figure 5:

(Hyperbolic case α positive) In this figure are displayed the subregions of the ξ O α ̂ -region Ω1 ≔ (0, 1) × (0, +∞) labeled by the Morse index of the corresponding circular orbit.

Theorem 3.4.

Under the above notations, the Morse index of the circular orbit on the hyperbolic plane is given by

m ( x ) = 2 k if  ( ξ , α ) Ω 3 , k + Ω 3 , k 0 , 2 k + 1 if  ( ξ , α ) Ω 3 , k , k = 1,2 ,

As direct consequence of Theorem 3.4, in the special case of α = 2 we get the following result.

Corollary 3.5.

For α = 2, the Morse index of the circular solution is given by

m ( x ) = 2 k if  ( ξ 0 , 2 ) Ω 3 , k + , k = 2,3 ,

3.3 Euclidean case

The last case is provided by the Euclidean one. We start letting

p ( ξ ) = 1 , q ( ξ ) = ξ α ,

and by a direct computation, we get

p ( ξ ) = p ( ξ ) = 0 , q ( ξ ) = α ξ α 1 , q ( ξ ) = α ( α 1 ) ξ α 2 .

By Equation (2.2), we get

(3.12) p 0 = 1 , p 0 = 0 , p 0 = 0 ,

q 0 = ξ 0 α , q 0 = α ξ 0 α 1 , q 0 = α ( α 1 ) ξ 0 α 2 ,

η 0 = ξ 0 2 , η 0 = 2 ξ 0 , ϑ ̇ 2 = α ξ 0 α 2 .

Since the (RHS) of the equation defining ϑ ̇ 2 should be positive, we only consider the case

α > 0 .

By a direct computation, we get

ζ 0 = 2 ξ 0 α ξ 0 α 2 , 2 q 0 ( ln η 0 ) = 4 α ξ 0 α 2 , η 0 q 0 η 0 = α ( α 2 ) ξ 0 α 2 .

By this, we get that the four constants appearing at Equation (2.3) are the following

(3.13) a = 1 , b = 2 ξ 0 α ξ 0 α 2 ,

c = 1 ξ 0 2 , d = α ( α + 2 ) ξ 0 α 2 .

Now, we observe that d < 0 for all α > 0 and ξ 0 > 0.

Next we need to determine the sign of the term b 2 + cd. By a direct computing we get

b 2 + c d = α ( α 2 ) ξ 0 α 4 is negative if α > 2 , 0 if α = 2 , positive if 0 < α < 2 .

By taking into account Equations (3.12) and (3.13) we finally get

T = 2 π ϑ ̇ = 2 π 1 α ξ 0 α 2 , a d = α ( α + 2 ) ξ 0 α 2 .

Therefore

a d T = 2 π α + 2

and we get that k ≥ 1. Indeed, for every k N + there exists α > 0 such that k < α + 2 k + 1 . For example, there hold

k = 1 0 < α 2 , k = 2 2 < α 7 , k = 3 7 < α 14

and so on.

Then we have the following result.

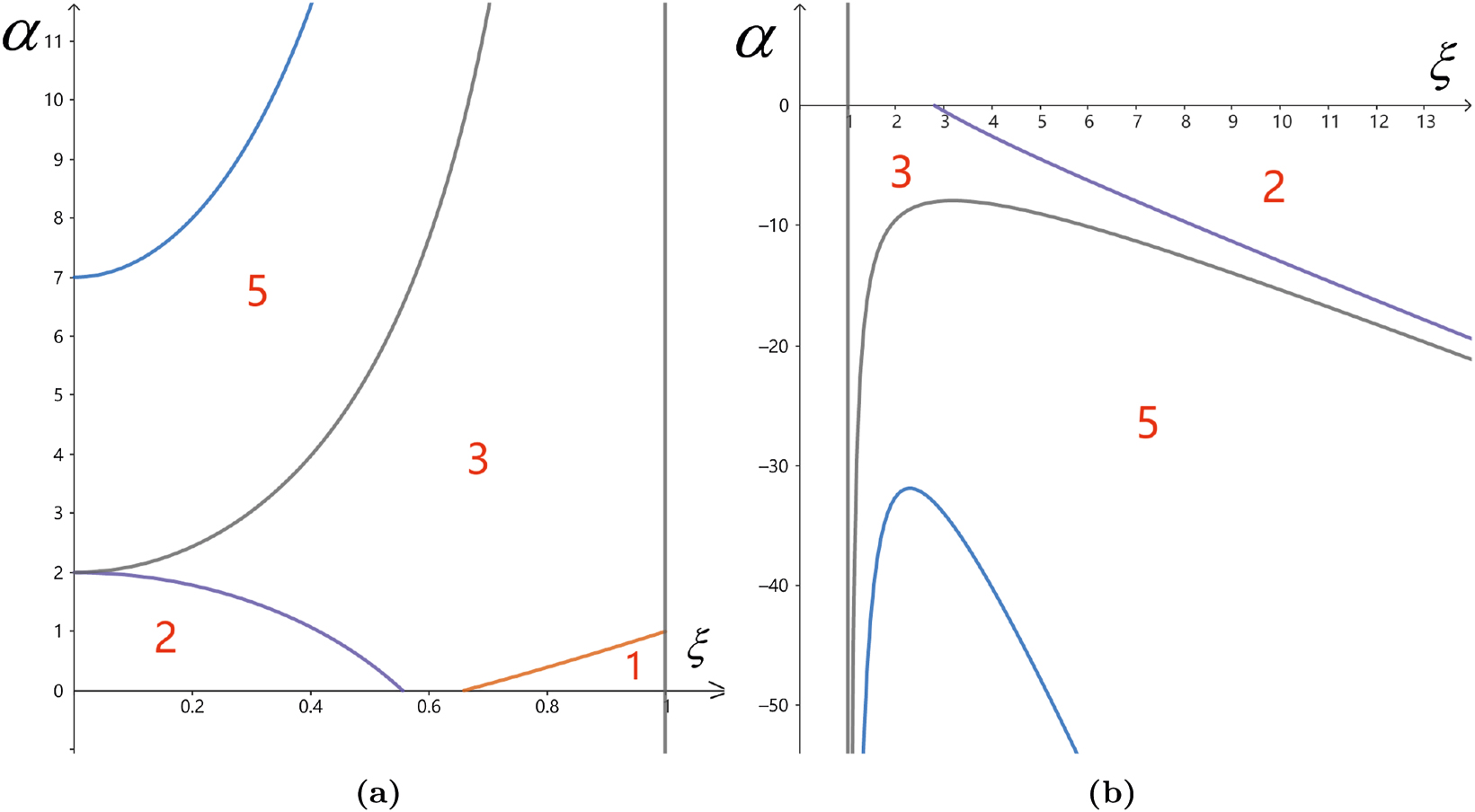
Theorem 3.6.

Under the above notations, the Morse index of a circular orbit in the Euclidean plane is given by

m ( x ) = 2 if  0 < α 2 , 2 k + 1 if  k 2 2 < α ( k + 1 ) 2 2 for k 2 .

By Theorem 3.6 we have the following direct corollary.

Corollary 3.7.

For α = 2, we get

m ( x ) = 2 .


Corresponding author: Ran Yang, School of Science, East China University of Technology, Nanchang, Jiangxi, 330013, China, E-mail: 

Acknowledgments

The author is grateful for the reviewer’s valuable comments that improved the manuscript.

  1. Research ethics: Not applicable.

  2. Informed consent: Not applicable.

  3. Author contributions: The author confirms the sole responsibility for the conception of the study, presented results and manuscript preparation.

  4. Use of Large Language Models, AI and Machine Learning Tools: None declared.

  5. Conflict of interest: Author states no conflict of interest.

  6. Research funding: The author was supported by Jiangxi Provincial Natural Science Foundation (No. 20232BAB211005), the National Natural Science Foundation of China (Nos. 12001098, 42264007).

  7. Data availability: Not applicable.

References

[1] V. V. Kozlov and A. O. Harin, Kepler’s problem in constant curvature spaces, Celestial Mech. Dynam. Astronom. 54 (1992), no. 4, 393–399, https://doi.org/10.1007/BF00049149.Search in Google Scholar

[2] R. Montgomery, MICZ-Kepler: dynamics on the cone over SO(n), Regul. Chaotic Dyn. 18 (2013), no. 6, 600–607, https://doi.org/10.1134/S1560354713060038.Search in Google Scholar

[3] F. Diacu, E. Pérez-Chavela, and M. Santoprete, The n-body problem in spaces of constant curvature. Part I: relative equilibria, J. Nonlinear Sci. 22 (2012), no. 2, 247–266, https://doi.org/10.1007/s00332-011-9116-z.Search in Google Scholar

[4] F. Diacu, E. Pérez-Chavela, and M. Santoprete, The n-body problem in spaces of constant curvature. Part II: singularities, J. Nonlinear Sci. 22 (2012), no. 2, 267–275, https://doi.org/10.1007/s00332-011-9117-y.Search in Google Scholar

[5] S. Bolotin and V. Kozlov, Topological approach to the generalized n-centre problem, Russ. Math. Surv. 72 (2017), no. 3, 451–478. https://doi.org/10.1070/RM9779.Search in Google Scholar

[6] S. Baranzini, A. Portaluri, and R. Yang, Morse index of circular solutions for attractive central force problems on surfaces, J. Math. Anal. Appl. 537 (2024), no. 1, 128250, https://doi.org/10.1016/j.jmaa.2024.128250.Search in Google Scholar

[7] S. Chow, C. Li, and D. Wang, Normal Forms and Bifucations of Planar Vector Fields, Cambridge University Press, Cambridge, 1994.10.1017/CBO9780511665639Search in Google Scholar

[8] V. I. Arnol’d, On a characteristic class entering into conditions of quantization, (Russian), Funktsional. Anal. i Prilozhen. 1 (1967), 1–14.10.1007/BF01075861Search in Google Scholar

[9] E. Cappell, R. Lee, and Y. Miller, On the Maslov index, Comm. Pure Appl. Math. 47 (1994), no. 2, 121–186, https://doi.org/10.1002/cpa.3160470202.Search in Google Scholar

[10] X. Hu and S. Sun, Index and stability of symmetric periodic orbits in Hamiltonian systems with application to figure-eight orbit, Comm. Math. Phys. 290 (2009), no. 2, 737–777, https://doi.org/10.1007/s00220-009-0860-y.Search in Google Scholar

[11] Y. Long, Index Theory for Symplectic Paths with Applications, Progress in Mathematics, vol. 207, Birkhäuser Verlag, Basel, 2002.10.1007/978-3-0348-8175-3Search in Google Scholar

[12] Q. Xing, Maslov index for heteroclinic orbits of non-Hamiltonian systems on a two-dimensional phase space, Topol. Methods Nonlinear Anal. 59 (2022), no. 1, 113–130. https://doi.org/10.12775/TMNA.2021.005.Search in Google Scholar

[13] V. Barutello, R. Jadanza, and A. Portaluri, Morse index and linear stability of the Lagrangian circular orbit in a three-body-type problem via index theory, Arch. Ration. Mech. Anal. 219 (2016), no. 1, 387–444, https://doi.org/10.1007/s00205-015-0898-2.Search in Google Scholar

[14] H. Kavle, D. Offin, and A. Portaluri, Keplerian orbits through the Conley-Zehnder index, Qual. Theory Dyn. Syst. 20 (2021), no. 10, 10, https://doi.org/10.1007/s12346-020-00430-0.Search in Google Scholar

[15] Y. Long and T. An, Indexing domains of instability for Hamiltonian systems, NoDEA, Nonlinear Differ. Equ. Appl. 5 (1998), 461–478, https://doi.org/10.1007/s000300050057.Search in Google Scholar

[16] Y. Long and C. Zhu, Maslov-type index theory for symplectic paths and spectral flow (I), Chin. Ann. Math. Ser. B 20 (1999), no. 4, 413–424, https://doi.org/10.1142/S0252959999000485.Search in Google Scholar

[17] Y. Long and C. Zhu, Maslov-type index theory for symplectic paths and spectral flow (II), Chin. Ann. Math. Ser. B 21 (2000), no. 1, 89–108, https://doi.org/10.1142/S0252959900000133.Search in Google Scholar

[18] J. Robbin and D. Salamon, The Maslov index for paths, Topology 32 (1993), no. 4, 827–844, https://doi.org/10.1016/0040-9383(93)90052-W.Search in Google Scholar

[19] C. Viterbo, Indice de Morse des points critiques obtenus par minimax, Ann. Inst. H. Poincare Anal. Non Linéaire 5 (1998), 221–225. https://doi.org/10.1016/S0294-1449(16)30345-6.Search in Google Scholar

[20] C. Zhu, A generalized Morse index theorem, Analysis, Geometry and Topology of Elliptic Operators, World Scientific Publishing, Hackensack, NJ, 2006, pp. 493–540.10.1142/9789812773609_0020Search in Google Scholar

[21] Y. Deng, F. Diacu, and S. Zhu, Variational property of periodic Kepler orbits in constant curvature spaces, J. Differ. Equ. 267 (2019), no. 10, 5851–5869, https://doi.org/10.1016/j.jde.2019.06.008.Search in Google Scholar

Received: 2024-06-05
Accepted: 2025-11-30
Published Online: 2025-12-19

© 2025 the author(s), published by De Gruyter, Berlin/Boston

This work is licensed under the Creative Commons Attribution 4.0 International License.

Articles in the same Issue

  1. On I-convergence of nets of functions in fuzzy metric spaces
  2. Special Issue on Contemporary Developments in Graphs Defined on Algebraic Structures
  3. Forbidden subgraphs of TI-power graphs of finite groups
  4. Finite group with some c#-normal and S-quasinormally embedded subgroups
  5. Classifying cubic symmetric graphs of order 88p and 88p 2
  6. Two-sided zero-divisor graphs of orientation-preserving and order-decreasing transformation semigroups
  7. Simplicial complexes defined on groups
  8. Further results on permanents of Laplacian matrices of trees
  9. Algebra
  10. Classes of modules closed under projective covers
  11. On the dimension of the algebraic sum of subspaces
  12. Green's graphs of a semigroup
  13. On an uncertainty principle for small index subgroups of finite fields
  14. On a generalization of I-regularity
  15. Algorithm and linear convergence of the H-spectral radius of weakly irreducible quasi-positive tensors
  16. The hyperbolic CS decomposition of tensors based on the C-product
  17. On weakly classical 1-absorbing prime submodules
  18. Equational characterizations for some subclasses of domains
  19. Algebraic Geometry
  20. Spin(8, ℂ)-Higgs bundles fixed points through spectral data
  21. Embedding of lattices and K3-covers of an Enriques surface
  22. Kodaira-Spencer maps for elliptic orbispheres as isomorphisms of Frobenius algebras
  23. Applications in Computer and Information Sciences
  24. Dynamics of particulate emissions in the presence of autonomous vehicles
  25. Exploring homotopy with hyperspherical tracking to find complex roots with application to electrical circuits
  26. Category Theory
  27. The higher mapping cone axiom
  28. Combinatorics and Graph Theory
  29. 𝕮-inverse of graphs and mixed graphs
  30. On the spectral radius and energy of the degree distance matrix of a connected graph
  31. Some new bounds on resolvent energy of a graph
  32. Coloring the vertices of a graph with mutual-visibility property
  33. Ring graph induced by a ring endomorphism
  34. A note on the edge general position number of cactus graphs
  35. Complex Analysis
  36. Some results on value distribution concerning Hayman's alternative
  37. Freely quasiconformal and locally weakly quasisymmetric mappings in metric spaces
  38. A new result for entire functions and their shifts with two shared values
  39. On a subclass of multivalent functions defined by generalized multiplier transformation
  40. Singular direction of meromorphic functions with finite logarithmic order
  41. Growth theorems and coefficient bounds for g-starlike mappings of complex order λ
  42. Refinements of inequalities on extremal problems of polynomials
  43. Control Theory and Optimization
  44. Averaging method in optimal control problems for integro-differential equations
  45. On superstability of derivations in Banach algebras
  46. The robust isolated calmness of spectral norm regularized convex matrix optimization problems
  47. Observability on the classes of non-nilpotent solvable three-dimensional Lie groups
  48. Differential Equations
  49. The ill-posedness of the (non-)periodic traveling wave solution for the deformed continuous Heisenberg spin equation
  50. A note on the global existence and boundedness of an N-dimensional parabolic-elliptic predator-prey system with indirect pursuit-evasion interaction
  51. Blow-up of solutions for Euler-Bernoulli equation with nonlinear time delay
  52. Periodic or homoclinic orbit bifurcated from a heteroclinic loop for high-dimensional systems
  53. Regularity of weak solutions to the 3D stationary tropical climate model
  54. Local minimizers for the NLS equation with localized nonlinearity on noncompact metric graphs
  55. Global existence and blow-up of solutions to pseudo-parabolic equation for Baouendi-Grushin operator
  56. Bubbles clustered inside for almost-critical problems
  57. Existence and multiplicity of positive solutions for multiparameter periodic systems
  58. Existence of positive periodic solutions for evolution equations with delay in ordered Banach spaces
  59. On a nonlinear boundary value problems with impulse action
  60. Normalized ground-states for the Sobolev critical Kirchhoff equation with at least mass critical growth
  61. Multiple positive solutions to a p-Kirchhoff equation with logarithmic terms and concave terms
  62. Infinitely many solutions for a class of Kirchhoff-type equations
  63. Real and non-real eigenvalues of regular indefinite Sturm–Liouville problems
  64. Existence of global solutions to a semilinear thermoelastic system in three dimensions
  65. Limiting profile of positive solutions to heterogeneous elliptic BVPs with nonlinear flux decaying to negative infinity on a portion of the boundary
  66. Morse index of circular solutions for repulsive central force problems on surfaces
  67. Differential Geometry
  68. On tangent bundles of Walker four-manifolds
  69. Pedal and negative pedal surfaces of framed curves in the Euclidean 3-space
  70. Discrete Mathematics
  71. Eventually monotonic solutions of the generalized Fibonacci equations
  72. Dynamical Systems Ergodic Theory
  73. Dynamical properties of two-diffusion SIR epidemic model with Markovian switching
  74. A note on weighted measure-theoretic pressure
  75. Pullback attractors for a class of second-order delay evolution equations with dispersive and dissipative terms on unbounded domain
  76. Pullback attractor of the 2D non-autonomous magneto-micropolar fluid equations
  77. Functional Analysis
  78. Spectrum boundary domination of semiregularities in Banach algebras
  79. Approximate multi-Cauchy mappings on certain groupoids
  80. Investigating the modified UO-iteration process in Banach spaces by a digraph
  81. Tilings, sub-tilings, and spectral sets on p-adic space
  82. Continuity and essential norm of operators defined by infinite tridiagonal matrices in weighted Orlicz and l spaces
  83. A family of commuting contraction semigroups on l 1 ( N ) and l ( N )
  84. q-Stirling sequence spaces associated with q-Bell numbers
  85. Chlodowsky variant of Bernstein-type operators on the domain
  86. Hyponormality on a weighted Bergman space of an annulus with a general harmonic symbol
  87. Characterization of derivations on strongly double triangle subspace lattice algebras by local actions
  88. Fixed point approaches to the stability of Jensen’s functional equation
  89. Geometry
  90. The regularity of solutions to the Lp Gauss image problem
  91. Solving the quartic by conics
  92. Group Theory
  93. On a question of permutation groups acting on the power set
  94. A characterization of the translational hull of a weakly type B semigroup with E-properties
  95. Harmonic Analysis
  96. Eigenfunctions on an infinite Schrödinger network
  97. Maximal function and generalized fractional integral operators on the weighted Orlicz-Lorentz-Morrey spaces
  98. Subharmonic functions and associated measures in ℝn
  99. Mathematical Logic, Model Theory and Foundation
  100. A topology related to implication and upsets on a bounded BCK-algebra
  101. Boundedness of fractional sublinear operators on weighted grand Herz-Morrey spaces with variable exponents
  102. Number Theory
  103. Fibonacci vector and matrix p-norms
  104. Recurrence for probabilistic extension of Dowling polynomials
  105. Carmichael numbers composed of Piatetski-Shapiro primes in Beatty sequences
  106. The number of rational points of some classes of algebraic varieties over finite fields
  107. Classification and irreducibility of a class of integer polynomials
  108. Decompositions of the extended Selberg class functions
  109. Joint approximation of analytic functions by the shifts of Hurwitz zeta-functions in short intervals
  110. Fibonacci Cartan and Lucas Cartan numbers
  111. Recurrence relations satisfied by some arithmetic groups
  112. The hybrid power mean involving the Kloosterman sums and Dedekind sums
  113. Numerical Methods
  114. A modified predictor–corrector scheme with graded mesh for numerical solutions of nonlinear Ψ-caputo fractional-order systems
  115. A kind of univariate improved Shepard-Euler operators
  116. Probability and Statistics
  117. Statistical inference and data analysis of the record-based transmuted Burr X model
  118. Multiple G-Stratonovich integral in G-expectation space
  119. p-variation and Chung's LIL of sub-bifractional Brownian motion and applications
  120. Real Analysis
  121. Chebyshev polynomials of the first kind and the univariate Lommel function: Integral representations
  122. Multiple solutions for a class of fourth-order elliptic equations with critical growth
  123. Majorization-type inequalities for (m, M, ψ)-convex functions with applications
  124. The evaluation of a definite integral by the method of brackets illustrating its flexibility
  125. Some new Fejér type inequalities for (h, g; α - m)-convex functions
  126. Some new Hermite-Hadamard type inequalities for product of strongly h-convex functions on ellipsoids and balls
  127. Topology
  128. Unraveling chaos: A topological analysis of simplicial homology groups and their foldings
  129. A generalized fixed-point theorem for set-valued mappings in b-metric spaces
  130. On SI2-convergence in T0-spaces
  131. Generalized quandle polynomials and their applications to stuquandles, stuck links, and RNA folding
Downloaded on 22.2.2026 from https://www.degruyterbrill.com/document/doi/10.1515/math-2025-0221/html
Scroll to top button