Home Business & Economics Time-varying Investment Dynamics in the USA
Article Open Access

Time-varying Investment Dynamics in the USA

  • Ivan Mendieta-Muñoz ORCID logo EMAIL logo
Published/Copyright: May 6, 2024

Abstract

We study the time-varying effects of Tobin’s q and cash flow on investment dynamics in the USA using a vector autoregression model with drifting parameters and stochastic volatilities estimated via Bayesian methods. We find a significant variation over time of the response of investment to shocks in both variables. The time-varying sensitivity of investment to a shock in Tobin’s q (cash flow) decreased (increased) since the early 1960s through the early 1980s, increased (decreased) since the early 1980s through the early 2000s, and it has decreased (increased) importantly again since then. Thus, the time-varying response of investment to a shock to Tobin’s q has been almost the mirror image to the time-varying response of investment to a shock to cash flow. This implies that Tobin’s q and cash flow represent both complementary and alternative sources of information needed to understand short-run investment behavior.

JEL Classification: C11; C32; E22; E32; G31

1 Introduction

The theoretical and empirical literature on aggregate investment has emphasized two features of utmost importance regarding its behavior: (i) that its dynamics are heavily influenced by Tobin’s q and cash flow; and (ii) that the investment sensitivities to both variables can vary dynamically and non-linearly over time.

First, aggregate investment is an increasing function of average Tobin’s q – the market valuation of a firm divided by the replacement cost of its capital stock – because this variable measures the average return on firms’ capital anticipated by the market, thus representing a proxy for the availability of external equity finance that influences firms’ investment expectations and decisions.

Second, aggregate investment is also an increasing function of cash flow since the latter captures the availability of internal funds, which are crucial for managing large and growing firms, as well as for financing new investment opportunities that firms deem potentially attractive.

Third, the relationship between investment, Tobin’s q, and cash flow does not seem to be static or stable over time because of the reasons associated with changes in adjustment costs, financial constraints, and technological improvements. This implies that dynamic non-linear models represent highly relevant avenues of research in order to provide a more comprehensive understanding of the behavior of aggregate investment over time.[1]

In this article, we present the first study on the evolution of the time-varying sensitivities of aggregate investment to Tobin’s q and cash flow in the USA that considers a multiple equation model designed to capture time variation in the dynamic structural linkages among the variables as well as the possible time variation in the volatilities (heteroskedasticity) of the shocks. To do so, we estimate a time-varying parameter vector autoregression model with stochastic volatility (TVP-VAR-SV model) via Bayesian methods, along the lines of Del Negro and Primiceri (2015) and Primiceri (2005). Our empirical model (i) allows for a flexible strategy to study the possible time-varying behavior of the underlying structure of investment dynamics in a multivariate framework, (ii) allows for a structural interpretation of the dynamic responses of investment to changes in Tobin’s q and cash flow, and (iii) controls for the time-varying volatilities of the shocks over time.

Our main findings for the post-World War II period can be summarized as follows. First, we find significant evidence of time variation in the response of investment to shocks in Tobin’s q and cash flow, which highlights the existence of relevant structural changes in the dynamics of investment and its linkages to both variables.

Second, the time-varying response of investment to a shock to Tobin’s q is almost the mirror image to the time-varying response of investment to a shock to cash flow. Specifically, the time-varying sensitivity of investment to a shock in Tobin’s q decreased since the early 1960s through the early 1980s, increased since the early 1980s through the early 2000s, and it has tended to decrease importantly again since then. On the other hand, the time-varying sensitivity of investment to a shock in cash flow increased since the early 1960s through the early 1980s, decreased since the early 1980s through the early 2000s, and it has tended to increase importantly again since then. Such time-varying patterns in the investment sensitivities to Tobin’s q and cash flow are mainly observed in the short run, especially within the first 2 years after the initial shocks.

Hence, our results suggest that although Tobin’s q and cash flow represent complementary sources of information for investment dynamics because both variables influence simultaneously firms’ investment decisions, their relative importance for the latter has changed considerably over time, so that Tobin’s q and cash flow should also be regarded as alternative sources of information for short-run investment fluctuations.

The remainder of this article is organized as follows. A review of the literature that helps to motivate the current research is presented in Section 2. Section 3 presents the relevant data and discusses some stylized facts that additionally motivate the use of a TVP-VAR-SV model to study the dynamics of aggregate investment. The model and the empirical methodology are summarized in Section 4. Section 5 summarizes the main results, and, finally, the main conclusions are presented in Section 6.

2 Related Literature and Contribution

This contribution is mainly related to the theoretical and empirical literature that has emphasized that investment depends dynamically and non-linearly on variables associated with liquidity and finance constraints.

According to the original q theory of investment (Tobin, 1969), corporate investment is an increasing function of average Tobin’s q because, in equilibrium, the firms’ combined market value should be equal to their replacement costs – Tobin’s q ratio should be equal to 1 in equilibrium. A low Tobin’s q ratio – between 0 and 1 – can be regarded as an indicator that the cost to replace the firms’ assets is greater than the value of the stocks, so the stocks are undervalued. By contrast, a high Tobin’s q ratio – greater than 1 – can be considered as an indicator that the stocks are overvalued since the cost to replace the firms’ assets is lower than the value of the stocks. Therefore, Tobin’s q represents a variable that approximates the availability of external equity finance, which affects firms’ investment decisions mainly via investment expectations.

However, since Tobin’s q is an imperfect variable that regularly fails to control for the entire investment opportunity set, aggregate investment is also an increasing function of cash flow, i.e., a variable that captures the availability of internal funds. Different theories have been proposed to explain the positive relationship between investment decisions and cash flow, including the existence of agency problems (see, e.g., Grabowski & Mueller, 1972, among others) and asymmetric information (see, e.g., Stiglitz & Weiss, 1981, among others).[2]

The existence of agency problems assumes that managers obtain financial and psychological gains from managing a large and growing firm, thus investing beyond the point that maximizes shareholder wealth. Although external capital sources could be used, internal funds are expected to be favored in this situation because they are the most accessible part of the capital market and are most malleable to managerial desires for growth. This also implies that a greater percentage of internal funds are retained and invested than are warranted to maximize shareholder welfare.

On the other hand, the existence of asymmetric information emphasizes that firms with attractive investment opportunities may be unable to finance their investment decisions because the cost of external funds can be too high due to the capital market’s ignorance of firms’ investment opportunities. If this occurs, firms with inadequate internal cash flows will not be able to finance their investment expenditures when needed; however, firms with large cash flows will be better prepared to finance their new investment opportunities.

In the same vein, the more recent theoretical models developed by Abel and Eberly (2011, 2012), and Lettau and Ludvigson (2002) articulate different possibilities to understand the simultaneous and potentially changing relationships between investment, Tobin’s q, and cash flow. To sum up, this strand of literature has shown three important results. First, there are significant dynamic interactions that can change over time between investment and Tobin’s q – for instance, because discount rates are not constant (Lettau & Ludvigson, 2002).

Second, even if other adjustment costs and financial constraints are eliminated, it can be shown that investment still remains sensitive to both Tobin’s q and cash flow (Abel & Eberly, 2011).

Third, when growth options that vary over time are considered – which occurs because the firm’s level of productivity is a choice variable, investment is positively correlated with cash flow during intervals of time between consecutive technology upgrades, but investment would be uncorrelated with Tobin’s q during such intervals. However, the positive correlation between investment and Tobin’s q is essentially associated with the forward-looking nature of the value of the firm, which can also change over time (Abel & Eberly, 2012).

At the empirical level, recent contributions have explored the possible changes over time of the sensitivity of investment to Tobin’s q and cash flow, mainly at the microlevel by considering firm-level data. Ağca and Mozumdar (2008), Brown and Petersen (2009), and Chen and Chen (2012) use US manufacturing firm data for the periods 1970–2001, 1970–2006, and 1967–2006, respectively. Ağca and Mozumdar (2008) controlled for other factors associated with capital market imperfections – namely, fund flows, institutional ownership, analyst following, bond ratings, and an index of antitakeover amendments, finding a steady decline in the estimated investment–cash flow sensitivity and a relatively stable investment-Tobin’s q sensitivity.

Brown and Petersen (2009) were mainly interested in studying how research and development (R&D) investment and developments in equity markets have impacted the investment–cash flow sensitivity, also finding an important decline of the latter over time and a smaller decline in the investment–Tobin’s q sensitivity.

Chen and Chen (2012) found that the investment–cash flow sensitivity declined over their entire sample period (and even completely disappeared during the 2007–2009 Great Financial Crisis); however, the investment–Tobin’s q sensitivity has remained relatively stable.

Likewise, Mclean and Zhao (2014) conducted their analysis using a sample of US firms for the period 1965–2010, showing that investment is more sensitive to Tobin’s q (cash flow) during expansions (recessions).

Both Grullon et al. (2018) and Lewellen and Lewellen (2002) emphasized the relevance of cash flow for investment decisions using a sample of US nonfinancial firms for the periods 1971–2009 and 1950–2011, respectively. However, while Lewellen and Lewellen (2002) suggested that this sensitivity has decreased, Grullon et al. (2018) found that the investment–cash flow sensitivity has increased for the largest 100 investing firms – which are the ones that explain approximately 60% of the total variation in aggregate investment.

Using quarterly aggregate data for the US economy, Gallegati and Ramsey (2013) and Verona (2020) employed wavelet analyses to study investment dynamics. Without considering cash flow, Gallegati and Ramsey (2013) found important evidence of instability regarding the investment–Tobin’s q relationship for the period 1952–2009, which even becomes negative during the 1980s. Verona (2020) considered the influence of both cash flow and Tobin’s q, finding that the investment–Tobin’s q sensitivity declined during the period 1952–2017, while the investment–cash flow sensitivity declined at business cycle frequencies but it tended to remain stable at lower frequencies (medium-to-long run).

The current article contributes to the aforementioned literature as follows. First, we focus on the analysis of investment dynamics at the aggregate level using a vector autoregression (VAR) model – a multiple equation modeling approach. Although microlevel studies and the use of firm-level data are important to capture the potential heterogeneity of investment decisions, for example, it is also challenging to capture the relevant dynamic interactions as well as the structural feedback effects between the variables of interest when using these methodologies. This helps to explain some of the considerably different results reported by this strand of literature.

Second, the incorporation of time-varying parameters (TVPs) into the VAR model represents a highly flexible non-linear framework for the estimation and interpretation of time variation in the systematic and non-systematic components of investment and its relationship to Tobin’s q and cash flow compared to rolling regressions, for example. The latter are widely employed by microlevel studies, but are known to lead to unreliable results in terms of spurious non-linear coefficient patterns.

Third, incorporating time-varying volatilities besides TVPs into the VAR model allows us to control for the possible time-varying heteroskedasticity of the shocks that have taken place during the post-World War II period – i.e., the Great Moderation. Thus, in our study, we model time-varying volatilities as stochastic volatilities (SVs), which allows us to provide a more comprehensive and robust characterization of the possible uncertainty around the estimates.

Thus, the TVP-VAR-SV model employed in this article to study aggregate investment complements directly the analysis of Verona (2020). Compared to the latter, our modeling approach captures only the short-run dynamic interactions between investment, Tobin’s q, and cash flow. However, we are able to provide a deeper understanding of the correlations discussed in his analysis – which are time-varying at different frequencies, but derived from a static investment equation that does not consider dynamic effects. By contrast, in our study, we are able to provide a time-varying structural interpretation of the dynamic interactions between the three variables that also controls for the time-varying volatility of the shocks.

Finally, our study also complements indirectly the recent contributions by Haque et al. (2021) and Mendieta-Muñoz & Sundal (2022). Haque et al. (2021) also used a TVP-VAR-SV model, but their interest consists in studying the effects of financial uncertainty shocks on investment, so they did not consider either the effects of Tobin’s q or cash flow in their empirical analysis. On the other hand, Mendieta-Muñoz & Sundal (2022) also studied some of the possible non-linear dynamic effects of investment, but they considered (i) a threshold VAR modeling approach instead of TVPs, thus focusing on threshold effects instead of time-variation as a potential source of non-linearity, and (ii) the effects of credit spreads instead of Tobin’s q.

3 Data and Stylized Facts

In order to focus on the interactions between the investment rate ( i t ), Tobin’s q ( q t ), and cash flow ( c t ), we used the same variables employed by Verona (2020). We considered quarterly time series data for the USA over the period 1951:Q4–2022:Q4, selected according to the availability of data. Figure 1 shows the time series plots of i t , q t and c t with National Bureau of Economic Research (NBER)-dated recession dates in shaded bars. The i t series corresponds to aggregate private non-residential fixed investment as a percentage of aggregate capital.[3] The q t series corresponds to Tobin’s q of the nonfinancial corporate business sector, constructed as corporate equities as a percentage of net worth.[4] The c t series is corporate profits as a percentage of gross domestic product (GDP).[5]

Figure 1 
               USA, 1951:Q4–2022:Q4. Time series plots of Tobin’s q, cash flow, and investment rate. Shaded areas indicate the NBER recession dates.
Figure 1

USA, 1951:Q4–2022:Q4. Time series plots of Tobin’s q, cash flow, and investment rate. Shaded areas indicate the NBER recession dates.

From Figure 1, it is possible to observe that the procyclical i t has experienced substantial fluctuations over time. There have been two notable investment booms: the one starting in the early 1960s, which ended before the recession of 1969–70, and the one starting in the early 1990s, which ended just before the 2001 recession associated with the dot-com bubble. As also discussed by other contributions, investment has been declining since then, especially since the Great Financial Crisis of 2007–2009 (see, e.g., Gutiérrez & Phillippon, 2017).

During this period, the behavior of q t and c t has also changed considerably over time, which suggests that their respective effects on i t have been prima facie time-varying. Both variables exhibited relatively high levels before the 1970s, which coincides with the first investment boom, and declined up until the recession of 1990–1991 (although q t also rose since the early 1980s), which coincides with the trajectory of i t . However, q t is the only variable that experienced a clear sustained increase during the early 1990s, thus suggesting that the second boom in i t was mainly driven by this effect. Since the 2001 recession, both q t and c t have tended to show high levels – the only exceptions being during the global financial crisis of 2007–2009 and the coronavirus disease 2019 (COVID-19) recession of 2019–2020; however, i t has experienced lower levels.

To illustrate these points further, we provide a more detailed analysis for six different sub-periods – which, broadly speaking, try to capture the effects across different decades.

Table 1 presents some relevant descriptive statistics for the i t , q t , and c t series. We observe that the means (and medians) of the three series exhibit substantial variations since 1951:Q4 that strongly corroborate the description above. For instance, i t , q t , and c t presented relatively high means during the period 1951:Q4–1969:Q4 (approximately 3.6%, 111.3%, and 10.7%, respectively). Also, the lowest mean for i t corresponds to the period 2010:Q1–2022:Q4 (approximately 3.4%); however, q t and c t present their highest means (approximately 126.7% and 11.5%, respectively) during this period.

Table 1

Descriptive statistics for Tobin’s q, cash flow, and investment rate

Period Mean Median Standard deviation Skewness Kurtosis
Tobin’s q: q t
1951:Q4–1969:Q4 111.29 120.91 43.26 0.26 1.38
1970:Q1–1979:Q4 66.66 54.14 27.22 0.35 1.64
1980:Q1–1989:Q4 42.52 41.40 7.40 0.22 0.79
1990:Q1–1999:Q4 88.80 87.61 21.04 0.001 0.65
2000:Q1–2009:Q4 89.64 86.25 15.36 1.71 3.10
2010:Q1–2022:Q4 126.66 129.24 17.12 0.29 0.25
Cash flow: c t
1951:Q4–1969:Q4 10.71 10.81 0.87 0.54 0.11
1970:Q1–1979:Q4 9.04 9.11 0.80 0.27 0.62
1980:Q1–1989:Q4 7.65 7.73 0.53 0.17 0.99
1990:Q1–1999:Q4 8.47 8.52 1.07 0.06 1.39
2000:Q1–2009:Q4 9.52 9.37 1.60 0.04 1.30
2010:Q1–2022:Q4 11.48 11.53 0.56 0.08 0.82
Investment rate: i t
1951:Q4–1969:Q4 3.55 3.45 0.35 0.56 0.82
1970:Q1–1979:Q4 3.70 3.68 0.25 0.09 1.20
1980:Q1–1989:Q4 3.64 3.61 0.19 0.07 1.23
1990:Q1–1999:Q4 3.65 3.61 0.38 0.32 1.31
2000:Q1–2009:Q4 3.66 3.64 0.35 0.13 0.10
2010:Q1–2022:Q4 3.38 3.40 0.15 0.95 0.29

Note: The time series q t , c t , and i t correspond to the ones plotted in Figure 1.

Importantly, Table 1 also shows that there have been considerable changes in the volatility of the three series across decades. The respective standard deviations show important evidence of time variation, especially the ones for q t and c t . This highlights that considering both SVs and TVPs is crucial to provide a more comprehensive and robust characterization of the dynamic interactions between the variables. As discussed in Section 2, in our study, we explicitly incorporate both SVs and TVPs by employing a TVP-VAR-SV modeling approach.[6]

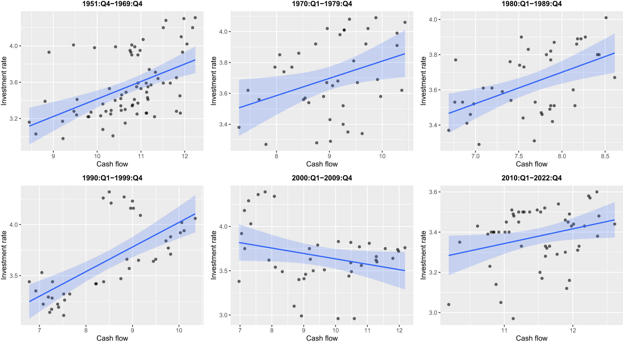
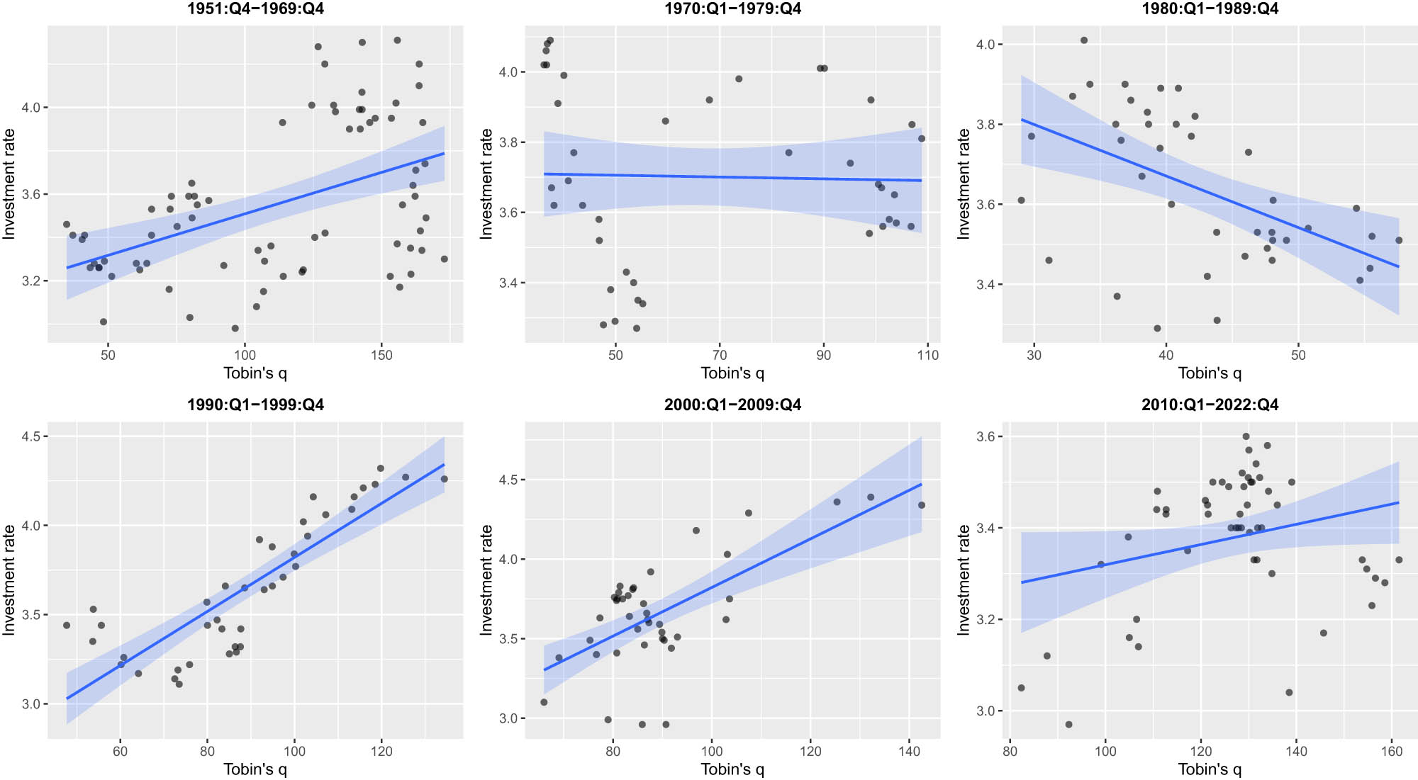
Figures 2 and 3 show the scatter plots between i t and q t and i t and c t , respectively. There is considerable heterogeneity regarding the interactions between the variables. For example, although the positive correlation between i t and q t is almost always corroborated, the association between these two variables is nonexistent during 1970:Q1–1979:Q4, this association is negative during 1980:Q1–1989:Q4, and the correlation also seems to be weak in the most recent period (2010:Q1–2022:Q4). Likewise, i t and c t seem to be positively correlated during most sub-periods; however, the association is negative during 2000:Q1–2009:Q4. There is also considerable variation regarding the constructed confidence intervals across the sub-periods, as shown in Figures 2 and 3, which suggests the important time variation with regard to the precision of the estimated effects.

Figure 2 
               USA, 1951:Q4–2022:Q4. Scatter plots between investment rate and Tobin’s q for different sub-periods. Straight lines show ordinary least squares (OLS) regression lines, assuming that all values of cash flow are fixed at zero. Shaded areas indicate 95% confidence level intervals of the regression lines.
Figure 2

USA, 1951:Q4–2022:Q4. Scatter plots between investment rate and Tobin’s q for different sub-periods. Straight lines show ordinary least squares (OLS) regression lines, assuming that all values of cash flow are fixed at zero. Shaded areas indicate 95% confidence level intervals of the regression lines.

Figure 3 
               USA, 1951:Q1–2022:Q4. Scatter plots between investment rate and cash flow for different sub-periods. Straight lines show OLS regression lines, assuming that all values of Tobin’s q are fixed at zero. Shaded areas indicate 95% confidence level intervals of the regression lines.
Figure 3

USA, 1951:Q1–2022:Q4. Scatter plots between investment rate and cash flow for different sub-periods. Straight lines show OLS regression lines, assuming that all values of Tobin’s q are fixed at zero. Shaded areas indicate 95% confidence level intervals of the regression lines.

Finally, we summarize the response of i t to both q t and c t considering the different sub-periods via the regression analyses shown in Table 2. First, the results show that, overall, i t is more sensitive to c t than to q t . Second, the sensitivity of i t to both q t and c t has been different across the different sub-periods. For instance, the effect of c t on i t is statistically non-significant from 1990:Q1 through 2009:Q4, which corresponds to the two sub-periods where the largest statistically significant effects of q t on i t can be found.

Table 2

Investment rate equation, i t = β 0 + β 1 q t + β 2 c t + e t

Period Intercept: Coefficient on Tobin’s q: Coefficient on cash flow:
β 0 β 1 β 2
1951:Q4–1969:Q4 1.548** 0.003** 0.155**
(0.587) (0.001) (0.057)
1970:Q1–1979:Q4 2.551** 0.001 0.121*
(0.497) (0.002) (0.051)
1980:Q1–1989:Q4 2.903** 0.012 * * 0.161**
(0.493) (0.003) (0.054)
1990:Q1–1999:Q4 1.872** 0.012** 0.079
(0.361) (0.003) (0.041)
2000:Q1–2009:Q4 2.359** 0.015** 0.005
(0.389) (0.002) (0.030)
2010:Q1–2022:Q4 2.168** 0.002 0.079*
(0.563) (0.002) (0.037)

Notes: We report the OLS regression coefficients of the investment rate as a function of Tobin’s q and cash flow for different sub-periods, where e t represents the error term. Heteroscedasticity and autocorrelation consistent (HAC) standard errors are shown in parentheses. * and ** denote significance at the 5% and 1% level, respectively.

The stylized facts presented in this section suggest that the dynamics of i t during the post-World War II period have been influenced by time-varying effects associated with both q t and c t . In other words, the sensitivity of i t to these two variables seems to be time-varying, so that the relevance of q t and c t for investment decisions has been changing over time. Moreover, the volatility of the series also seems to have changed substantially over time, so that the incorporation of time-varying volatilities into the modeling approach seems to be extremely relevant.

Motivated by this evidence, we use a TVP-VAR-SV model to formally study the interactions between the three variables and, most importantly, to capture the possible structural time-varying effects of both q t and c t on i t in a dynamic modeling framework that also controls for the possible time-varying volatility of the shocks.

4 Empirical Model

A reduced-form TVP-VAR-SV model of order p can be expressed as

(1) y t = C t + p = 1 P B p , t y t p + u t , u t N ( 0 , Ω t ) , t = 1 , , T ,

where y t is an n X 1 vector of endogenous variables, C t is an n X 1 vector of intercepts, B p , t is an n X n matrix that contains the p th lag autoregressive coefficients, and u t are the heteroskedastic reduced-form shocks with time-varying variance–covariance matrix Ω t .

We can rewrite equation (1) as follows:

(2) y t = X t β t + A t 1 Σ t ε t , t = P + 1 , , T ,

where X t I n ( 1 , y t 1 , , y t P ) , such that denotes the Kronecker product; the vector β t is formed by stacking the elements of C t and B p , t equation by equation, so that β t vec ( [ C t , B 1 , t , , B P , t ] ) ; A t 1 is a lower-triangular matrix with ones on the main diagonal and time-varying off-diagonal elements; Σ t is a time-varying diagonal matrix that contains the standard deviations of the structural shocks; and ε t N ( 0 , I n ) is the vector of standardized structural shocks, such that I n is an n -dimensional identity matrix.

Hence, as in Primiceri (2005), the model depicted by equation (2) incorporates two types of parameter instability: TVPs via β t (which captures the reduced-form coefficients) and A t 1 (which captures the simultaneous relationships between the endogenous variables), as well as time-varying covariance terms via Σ t (which captures the SVs of structural shocks).

The dynamics of the model’s TVPs are specified as follows:

(3) β t = β t 1 + ν t ,

(4) α t = α t 1 + ζ t ,

(5) log σ t = log σ t 1 + η t ,

where α t = ( a 21 , t , , a n n 1 , t ) is the vector of non-zero and non-unitary elements of A t (i.e., the lower-triangular elements of A t ) stacked by rows; σ t = ( σ 1 , t , , σ n , t ) is the vector of the main diagonal elements of Σ t Σ t ; and { ν t , ζ t , η t } are i.i.d. Gaussian random shocks. Thus, equations (3)–(5) show that we assume that the parameters follow random walk processes – a flexible modeling assumption that allows us to capture both gradual and sudden structural changes.

Let us now define ψ = ( ε t , ν t , ζ t , η t ) . Following Primiceri (2005), we assume that ψ N [ 0 , diag ( I n , Q , S , W ) ] , so ψ is jointly normally distributed with mutually uncorrelated white noise shocks, zero mean, and variances defined by I n and the hyper-parameters Q , S , and W , such that

(6) V = Var ε t ν t ζ t η t = I n 0 0 0 0 Q 0 0 0 0 S 0 0 0 0 W ,

where Q , S , and W are all diagonal positive semi-definite matrices that represent the variance–covariance matrices of shocks to β t , A t , and log σ t , respectively.

We rely on Markov chain Monte Carlo (MCMC) methods to estimate the TVP-VAR-SV model outlined earlier. First, we follow Primiceri (2005)’s sampling algorithm, but we modify the latter by incorporating the correction noted by Del Negro and Primiceri (2015). Second, we use the same prior distributions and initial states of the parameter distributions employed by Primiceri (2005).[7] Third, using the relevant MCMC algorithm, we collect 205,000 posterior samples and discard the first 5,000 draws to ensure the convergence of the chain. Fourth, as in Primiceri (2005), we use p = 2 , so that we estimate the TVP-VAR-SV model considering two lags.[8]

5 Summary of Findings

Our baseline results reported in this section consider the following ordering of variables to generate the impulse response functions (IRFs): y t = ( q t , c t , i t ) . This implies that we order q t in y t first, c t second, and i t last.[9] Hence, we assume that a shock in q t effects c t and i t contemporaneously; a shock to c t effects only i t within the same period; and i t does not effect c t and i t contemporaneously – it only does so with a lag. In short, this ordering of variables reflects that we believe that the availability of external equity finance approximated by q t is the most exogenous variable in the system since it is the variable that is most heavily influenced by expectations, followed by the availability of internal funds approximated by c t , while i t is the most endogenous variable in the system.[10]

Figure 4 
               Posterior means of the standard deviations of residuals obtained from the TVP-VAR-SV model for the period 1961:Q4–2022:Q4. We report the time series plots of the means of the standard deviations of the residuals of Tobin’s q equation, cash flow equation, and investment rate equation in the TVP-VAR-SV model. Shaded areas show the 16th and 84th percentiles. Black horizontal lines show the means of the standard deviations of the residuals obtained from a standard VAR model (without TVP or SV) estimated via frequentist methods.
Figure 4

Posterior means of the standard deviations of residuals obtained from the TVP-VAR-SV model for the period 1961:Q4–2022:Q4. We report the time series plots of the means of the standard deviations of the residuals of Tobin’s q equation, cash flow equation, and investment rate equation in the TVP-VAR-SV model. Shaded areas show the 16th and 84th percentiles. Black horizontal lines show the means of the standard deviations of the residuals obtained from a standard VAR model (without TVP or SV) estimated via frequentist methods.

Figure 5 
               Time-varying response of investment rate to a shock in Tobin’s q at different quarters obtained from the TVP-VAR-SV model for the period 1961:Q4–2022:Q4. We report the time-varying median responses of the investment rate to a shock in Tobin’s q for different horizons. Shaded areas show the 16th and 84th percentiles: (a) within quarter (contemporaneous), (b) 1 quarter ahead, (c) 2 quarters ahead, (d) 3 quarters ahead, (e) 4 quarters ahead, (f) 8 quarters ahead, (g) 16 quarters ahead, and (h) 20 quarters ahead.
Figure 5

Time-varying response of investment rate to a shock in Tobin’s q at different quarters obtained from the TVP-VAR-SV model for the period 1961:Q4–2022:Q4. We report the time-varying median responses of the investment rate to a shock in Tobin’s q for different horizons. Shaded areas show the 16th and 84th percentiles: (a) within quarter (contemporaneous), (b) 1 quarter ahead, (c) 2 quarters ahead, (d) 3 quarters ahead, (e) 4 quarters ahead, (f) 8 quarters ahead, (g) 16 quarters ahead, and (h) 20 quarters ahead.

We begin by assessing the relevance of incorporating time-varying volatilities into the model by plotting the SVs aimed at capturing the heteroscedasticity of the shocks. Therefore, in Figure 4, we show the posterior mean together with the 16th and 84th percentiles of the time-varying standard deviation of the structural shocks. This is important to understand whether some variations in the dynamics in the model are associated with the variance–covariance matrix besides the TVPs in the model. We observe that the results indicate substantial time variation in the volatility of shocks. Specifically, Figure 4 shows that (i) the volatility of the shocks from the c t equation is the largest one; (ii) the volatilities of the shocks from the q t and c t equations are considerably more persistent than the volatility of the shocks from the i t equation; (iii) the volatility of the shocks from the q t equation has decreased over time; and (iv) the volatility of the shocks from the c t equation has slightly increased over time. This means that, besides TVPs in the VAR model, SVs are also important features of the dynamics of the system that need to be included as additional sources of time variation in the estimation.

Figure 6 
               Time-varying response of investment rate to a shock in cash flow at different quarters obtained from the TVP-VAR-SV model for the period 1961:Q4–2022:Q4. We report the time-varying median responses of the investment rate to a shock in cash flow for different horizons. Shaded areas show the 16th and 84th percentiles: (a) within quarter (contemporaneous), (b) 1 quarter ahead, (c) 2 quarters ahead, (d) 3 quarters ahead, (e) 4 quarters ahead, (f) 8 quarters ahead, (g) 16 quarters ahead, and (h) 20 quarters ahead.
Figure 6

Time-varying response of investment rate to a shock in cash flow at different quarters obtained from the TVP-VAR-SV model for the period 1961:Q4–2022:Q4. We report the time-varying median responses of the investment rate to a shock in cash flow for different horizons. Shaded areas show the 16th and 84th percentiles: (a) within quarter (contemporaneous), (b) 1 quarter ahead, (c) 2 quarters ahead, (d) 3 quarters ahead, (e) 4 quarters ahead, (f) 8 quarters ahead, (g) 16 quarters ahead, and (h) 20 quarters ahead.

Since our main interest consists in studying the possible time-varying effects of both q t and c t on i t , we focus on the responses of the latter to shocks in q t and c t . We summarize the time-varying sensitivity of i t to q t in Figure 5 by plotting the impulse responses over time at different quarters after the shock. In other words, we show the time-varying responses of i t to a shock in q t within the same quarter (contemporaneous effect), 1-quarter ahead, 2-quarters ahead, 3-quarters ahead, 4-quarters ahead, 8-quarters ahead, 16-quarters ahead, and 20-quarters ahead.

Figure 5  shows that a positive shock in q t increases i t during most quarters after the shock, since the great majority of the error bands do not enclose the zero line – the only exceptions being the time-varying contemporaneous effect (top-left figure), as well as the initial and final periods of the time-varying 1-quarter ahead response after the shock (top-right figure). Importantly, the sensitivity of i t to q t has changed considerably over time, mainly at 2, 3, 4, 8, 16, and 20 quarters after the shock in q t . To summarize, the sensitivity of i t to q t decreased since the early 1960s through the early 1980s, it increased since the early 1980s through the early 2000s, and it has decreased again since then. This is most clearly observed for the case of the time-varying response of i t after 2, 3, 4 and 8 quarters; however, the time-varying response of i t to a shock in q t after 16 and 20 quarters show a steady decline of this sensitivity during the period of study.

Regarding the possible changing nature of the effects of c t on i t , we summarize the time-varying sensitivity of i t to c t in Figure 6 by plotting the time-varying impulse responses of i t to a shock in c t within the same quarter (contemporaneous effect), and after 1 quarter, 2 quarters, 3 quarters, 4 quarters, 8 quarters, 16 quarters, and 20 quarters.

The results in Figure 6 show that most of the error bands do not enclose the zero line, thus indicating a strong positive response of i t to a shock in c t for the great majority of quarters after the shock – the only exception being the period between the late 1990s and early 2000s mainly for the time-varying contemporaneous effect (top-left figure) and one-quarter ahead response (top-right figure). Overall, compared to the responses of i t to q t , the responses of i t to c t in Figure 6 tend to be more persistent and of larger magnitude, which suggests that c t has played a more important role for investment decisions compared to q t over time.

Nevertheless, it is also clear that the response of i t to a shock in c t exhibits substantial time variation: it increased since the early 1960s through the early 1980s, it decreased since the early 1980s through the early 2000s, and it has tended to increase again since then. The latter is most clearly observed for the case of the time-varying response of i t to a shock in c t after one, two, three, four, and eight quarters; however, the 16- and 20-quarters ahead response of i t to c t show that this sensitivity remained relatively stable over time.[11]

The main results can be summarized as follows. First, we find robust evidence of time-varying sensitivities of i t to shocks in both q t and c t . The time-varying response of i t to q t (Figure 5) decreased for the period 1960–1980, increased during the period 1980–2000, and decreased again for the period 2000–2022. The time-varying sensitivity of i t to c t (Figure 6) increased during the period 1960–1980, decreased for the period 1980–2000, and increased again during the period 1980–2022. These time-varying patterns are most strongly observed within the first 2 years (eight quarters) after the respective shocks, thus indicating that such changes in investment sensitivities mainly exist in the short-run.

Second, in the short-run, the evolution of the time-varying response of i t to a shock in c t is almost the mirror image to the evolution of the time-varying response of i t to a shock in q t . Importantly, this indicates that the two most important investment surges in the USA experienced during the late 1960s and early 2000s were associated with alternative sources: a higher sensitivity of i t to c t and a higher sensitivity of i t to q t , respectively.

Our empirical results corroborate the effects discussed by Abel and Eberly (2012) at the theoretical level, who showed that if growth options for firms are important and the firms’ productivity level is assumed to be endogenous (i.e., if it is assumed to be a choice variable), then i t depends more heavily on c t than on q t during periods of consecutive technology upgrades. In this sense, it is possible to say that the first investment surge in the late 1960s was associated with a higher sensitivity of i t to c t due to the consistent introduction of new technological improvements and higher productivity growth during this period. By contrast, the second investment surge in the early 2000s was associated with a higher sensitivity of i t to q t because of a more prominent role of expectations and the forward-looking behavior of firms, given the secular decline in technological progress growth rates experienced by the US economy.[12]

6 Conclusions

What are the time-varying effects of the availability of external equity finance, approximated by Tobin’s q, and the availability of internal funds, approximated by cash flow, on the dynamics of aggregate investment? We answer this question for the post-World War II US economy by estimating a TVP-VAR-SV model via Bayesian methods.

We find new empirical evidence that contributes to our understanding of short-run fluctuations in investment. First, there is strong evidence showing that investment exhibits important time-varying sensitivities to both variables, thus indicating the existence of relevant structural changes in the dynamics of investment and its linkages to Tobin’s q and cash flow.

Second, the evolution of the time-varying sensitivity of investment to a shock to Tobin’s q decreased since the early 1960s through the early 1980s, increased since the early 1980s through the early 2000s, and it has decreased importantly again since then. By contrast, the time-varying sensitivity of investment to a shock to cash flow increased since the early 1960s through the early 1980s, decreased since the early 1980s through the early 2000s, and it has tended to increase importantly again since then. We find that these time-varying investment sensitivities are most strongly observed within a 2-year horizon, thus suggesting that these effects are mainly predominant in the short-run.

Hence, the short-run evolution of the time-varying response of investment to shocks to Tobin’s q is almost the mirror image to the short-run evolution of the time-varying response of investment to shocks to cash flow. These results indicate that although Tobin’s q and cash flow can be regarded as complementary sources of information for aggregate investment because both variables influence simultaneously firms’ investment decisions, the relative importance of each variable for investment fluctuations has changed considerably over time. This implies that both variables should also be regarded as alternative to each other in order to understand firms’ investment at the aggregate level in the short-run.

Future studies could fruitfully explore this finding further as follows. First, novel theoretical elements are needed to better understand the mechanisms that ultimately generate this phenomenon – by establishing a direct link between the relevant technological upgrades that may influence firms’ investment decisions to rely more heavily on cash flow or Tobin’s q during specific periods. Second, novel empirical research is also needed to identify the specific structural changes that shape the behavior of the TVPs and volatilities. This is work that remains to be done.

Acknowledgements

I am deeply grateful to two anonymous referees for valuable comments and suggestions, which have significantly improved the final version of the article. I have also benefited from comments by Bowen Fu and Mengheng Li. Any remaining errors are the responsibility of the author.

  1. Funding information: This project was supported by the University Research Committee (URC) at the University of Utah. Its contents are solely the responsibility of the author and do not necessarily represent the official views of the URC, the Vice President for Research Office, or the University of Utah.

  2. Author contributions: The author confirms the sole responsibility for the conception of the study, presented results and manuscript preparation.

  3. Conflict of interest: The author states no conflict of interest.

  4. Article note: As part of the open assessment, reviews and the original submission are available as supplementary files on our website.

  5. Data availability statement: The dataset used in this article is available from the author on request.

Appendix A Priors

In all the estimated TVP-VAR-SV models, n = 3 in y t in equation (2), which means that we considered three endogenous variables in the systems. Following Primiceri (2005), we use the following prior distributions for estimation:

β 0 N ( β ^ OLS , 4 * V ^ ( β ^ OLS ) ) , A 0 N ( A ^ OLS , 4 * V ^ ( A ^ OLS ) ) , log σ 0 N ( log σ ^ OLS , I n ) , Q ℐW ( k Q 2 * 40 * V ^ ( β ^ OLS ) , 40 ) , S 1 ℐW ( k S 2 * 2 * V ^ ( A ^ 1 , OLS ) , 2 ) , S 2 ℐW ( k S 2 * 3 * V ^ ( A ^ 2 , OLS ) , 3 ) , W ℐW ( k W 2 * 4 * I n , 4 ) ,

where β ^ OLS and V ^ ( β ^ OLS ) are the mean and variance of β 0 , respectively; A ^ OLS and V ^ ( A ^ OLS ) are the mean and variance of A 0 , respectively; S 1 and S 2 denote the two blocks of S , such that A ^ 1 , OLS and A ^ 2 , OLS are the two corresponding blocks of A ^ OLS ; k Q = k W = 0.01 ; and k S = 0.1 .

As in Primiceri (2005), we also use the first 10 years (40 observations with quarterly data) to calibrate the prior distributions, so that β ^ OLS , V ^ ( β ^ OLS ) , A ^ OLS , V ^ ( A ^ OLS ) , and log σ 0 were all obtained via training sample OLS retrieved from VAR models with constant parameters and constant variance–covariance matrices.

B Summary of the MCMC Sampling Algorithm

We implement the MCMC sampling algorithm of Primiceri (2005) considering the correction noted by Del Negro and Primiceri (2015), which corresponds to “Algorithm 2” in the latter. Compared to Primiceri (2005)’s original algorithm, Del Negro and Primiceri (2015) proposed that the sampling of the stochastic volatilities should be carried out after the sampling of the states of the mixture of normals components approximation to a log χ 2 ( 1 ) density. Since the mixture of normals is only an approximation of the log χ 2 ( 1 ) density, Del Negro and Primiceri (2015)’s algorithm can be regarded as a sampler from an approximate posterior. However, inverting the order of the draws is extremely important as this allows for the construction of an algorithm that represents a superior approximation to the true posterior distribution compared to the original Gibbs sampler developed by Primiceri (2005).

Let us denote β T = { β t } t = 1 T , Σ T = { Σ t } t = 1 T , A T = { A t } t = 1 T , θ = ( β T , Σ T , A t ) , and X = ( Q , S , W ) . For simplicity, in what follows, we omit the dependence of the conditional posteriors on the observed data as well as the variables that affect the conditional posteriors if the latter are independent of a particular block in the Gibbs sampler. Thus, the sampling scheme comprises the following steps:

  1. Initialize A T , Σ T , s T , and X , where s T = { s t } t = 1 T corresponds to the mixture indicators (auxiliary discrete variables) that select the component of the mixture for each variable at each date.

  2. Draw β T from p ( β T θ β T , Σ T ) using the Carter and Kohn (1994) (CK) algorithm.

  3. Draw Q from p ( Q β T ) , which corresponds to an ℐW distribution.

  4. Draw A T from p ( A T θ A T , Σ T ) using the CK algorithm.

  5. Draw S from p ( S T θ S , Σ T ) , which consists of two blocks that are ℐW distributions.

  6. Draw s T from p ( s T Σ T , θ ) using the Kim et al. (1998) algorithm.

  7. Draw Σ T from p ( Σ T θ , s T ) using the CK algorithm.

  8. Draw W from p ( W Σ T ) , which corresponds to an ℐW distribution.

  9. Go to Step 2.

C Impulse Responses for the Baseline Model for Specific Dates

Figure A1 shows the impulse responses following a shock to q t originating in three different dates: 1969:Q4, 2000:Q3, and 2014:Q3. The first two dates are chosen as these correspond to the two quarters where i t was the highest in the sample; however, 2014:Q3 is chosen as a random quarter after the Great Recession of 2007–2009 but before the COVID-19 recession of 2019–2020. As expected, a positive shock in q t increases i t in the three selected dates; however, the response of i t to a shock in q t is both larger and more persistent in 2000:Q3.

Figure A1 
                  Response of investment rate to a shock in Tobin’s q for selected dates obtained from the TVP-VAR-SV model. We report the median responses of the investment rate to a shock in Tobin’s q in: 1969:Q4 (left panel), 2000:Q3 (middle panel), and 2014:Q3 (right panel). Shaded areas show the 16th and 84th percentiles.
Figure A1

Response of investment rate to a shock in Tobin’s q for selected dates obtained from the TVP-VAR-SV model. We report the median responses of the investment rate to a shock in Tobin’s q in: 1969:Q4 (left panel), 2000:Q3 (middle panel), and 2014:Q3 (right panel). Shaded areas show the 16th and 84th percentiles.

To further illustrate these effects, Figure A2 plots the differences between the impulse responses in 1969:Q4 and 2000:Q3, 1969:Q4 and 2014:Q3, and 2000:Q3 and 2014:Q3. Since the error bands do not enclose the zero line for the difference between the impulse response in 2000:Q3 and 2014:Q3, we can conclude that the impulse response is significantly stronger in 2000:Q3 than in 2014:Q3 (see the bottom-left panel in Figure A2).

Figure A2 
                  Differences in the response of investment rate to a shock in Tobin’s q for selected dates obtained from the TVP-VAR-SV model. We report the differences of the median responses of the investment rate to a shock in Tobin’s q between: 1969:Q4–2000:Q3 (top-left panel), 1969:Q4–2014:Q3 (top-right panel), and 2000:Q3–2014:Q3 (bottom-left panel). Shaded areas show the 16th and 84th percentiles.
Figure A2

Differences in the response of investment rate to a shock in Tobin’s q for selected dates obtained from the TVP-VAR-SV model. We report the differences of the median responses of the investment rate to a shock in Tobin’s q between: 1969:Q4–2000:Q3 (top-left panel), 1969:Q4–2014:Q3 (top-right panel), and 2000:Q3–2014:Q3 (bottom-left panel). Shaded areas show the 16th and 84th percentiles.

The response of i t to a shock to c t for the same selected dates (i.e., 1969:Q4, 2000:Q3 and 2014:Q3) is shown in Figure A3. It is clear that a positive shock in c t always increases i t ; however, the response of i t to a shock in c t is considerably larger and more persistent in the first and last quarters (1969:Q4 and 2014:Q3).

Figure A3 
                  Response of investment rate to a shock in cash flow for selected dates obtained from the TVP-VAR-SV model. We report the median responses of the investment rate to a shock in cash flow in: 1969:Q4 (left panel), 2000:Q3 (middle panel), and 2014:Q3 (right panel). Shaded areas show the 16th and 84th percentiles.
Figure A3

Response of investment rate to a shock in cash flow for selected dates obtained from the TVP-VAR-SV model. We report the median responses of the investment rate to a shock in cash flow in: 1969:Q4 (left panel), 2000:Q3 (middle panel), and 2014:Q3 (right panel). Shaded areas show the 16th and 84th percentiles.

Figure A4 plots the differences between the impulse responses in 1969:Q4 and 2000:Q3, 1969:Q4 and 2014:Q3, and 2000:Q3 and 2014:Q3. Considering the estimation uncertainty summarized by the error bands, it is possible to conclude that the impulse response is significantly stronger in 1969:Q4 than in 2000:Q3 (top-left panel in Figure A4) and significantly weaker in 2000:Q3 than in 2014:Q3 (bottom-left panel in Figure A4).

Figure A4 
                  Differences in the response of investment rate to a shock in cash flow for selected dates obtained from the TVP-VAR-SV model. We report the differences of the median responses of the investment rate to a shock in cash flow between: 1969:Q4–2000:Q3 (top-left panel), 1969:Q4–2014:Q3 (top-right panel), and 2000:Q3–2014:Q3 (bottom-left panel). Shaded areas show the 16th and 84th percentiles.
Figure A4

Differences in the response of investment rate to a shock in cash flow for selected dates obtained from the TVP-VAR-SV model. We report the differences of the median responses of the investment rate to a shock in cash flow between: 1969:Q4–2000:Q3 (top-left panel), 1969:Q4–2014:Q3 (top-right panel), and 2000:Q3–2014:Q3 (bottom-left panel). Shaded areas show the 16th and 84th percentiles.

References

Abel, A. B., & Eberly, J. C. (2011). How Q and cash flow affect investment without frictions: An analytic explanation. The Review of Economic Studies, 78(4), 1179–1200. https://doi.org/10.1093/restud/rdr006. Search in Google Scholar

Abel, A. B., & Eberly, J. C. (2012). Investment, valuation, and growth options. The Quarterly Journal of Finance, 2(1), 1250001. https://doi.org/10.1142/S2010139212500012. Search in Google Scholar

Antolin-Diaz, J., Drechsel, T., & Petrella, I. (2017). Tracking the slowdown in long-run GDP growth. The Review of Economics and Statistics, 99(2), 343–356. https://doi.org/10.1162/REST_a_00646. Search in Google Scholar

Ağca, Ş, & Mozumdar, A. (2008). The impact of capital market imperfections on investment-cash flow sensitivity. Journal of Banking Finance, 32(2), 207–216. https://doi.org/10.1016/j.jbankfin.2007.02.013. Search in Google Scholar

Brown, J. R., & Petersen, B. C. (2009). Why has the investment-cash flow sensitivity declined so sharply? Rising RD and equity market developments. Journal of Banking Finance, 33(5), 971–984. https://doi.org/10.1016/j.jbankfin.2008.10.009. Search in Google Scholar

Carter, C. K., & Kohn, R. (1994). On Gibbs sampling for state space models. Biometrika, 81(3), 541–553. https://doi.org/10.1093/biomet/81.3.541. Search in Google Scholar

Chen, H., & Chen, S. (2012). Investment-cash flow sensitivity cannot be a good measure of financial constraints: Evidence from the time series. Journal of Financial Economics, 103(2), 393–410. https://doi.org/10.1016/j.jfineco.2011.08.009. Search in Google Scholar

Del Negro, M., & Primiceri, G. E. (2015). Time-varying structural vector autoregressions and monetary policy: A corrigendum. The Review of Economic Studies, 82(4), 1342–1345. https://doi.org/10.1093/restud/rdv024. Search in Google Scholar

Gallegati, M., & Ramsey, J. B. (2013). Structural change and phase variation: A re-examination of the q-model using wavelet exploratory analysis. Structural Change and Economic Dynamics, 25(June), 60–73. https://doi.org/10.1016/j.strueco.2013.02.002. Search in Google Scholar

Gordon, R. J. (2015). Secular stagnation: A supply-side view. American Economic Review, 105(5), 54–59. https://doi.org/10.1257/aer.p20151102. Search in Google Scholar

Grabowski, H. G., & Mueller, D. C. (1972). Managerial and stockholder welfare models of firm expenditures. The Review Economics and Statistics, 54(1), 9–24. https://doi.org/10.2307/1927491. Search in Google Scholar

Grullon, G., Hund, J., & Weston, J. P. (2018). Concentrating on q and cash flow. Journal of Financial Intermediation, 33(January), 1–15. https://doi.org/10.1016/j.jfi.2017.10.001. Search in Google Scholar

Gugler, K., Mueller, D. C., & Yortoglu, B. B. (2004). Marginal q, Tobin’s q, cash flow, and investment. Southern Economic Journal, 70(3), 512–531. https://doi.org/10.2307/4135328. Search in Google Scholar

Gutiérrez, G., & Phillippon, T. (2017). Investment-less growth: An empirical investigation. Brookings Papers on Economic Activity, 48(2), 89–190. https://www.brookings.edu/wp-content/uploads/2018/02/gutierreztextfa17bpea.pdf. Search in Google Scholar

Haque, Q., Magnusson, L. M., & Tomioka, K. (2021). Empirical evidence on the dynamics of investment under Uncertainty in the U.S. Oxford Bulletin of Economics and Statistics, 83(5), 1193–1217. https://doi.org/10.1111/obes.12420. Search in Google Scholar

Kim, S., Shephard, N., & Chib, S. (1998). Stochastic volatility: Likelihood inference and comparison with ARCH models. The Review of Economic Studies, 65(3), 361–393. https://doi.org/10.1111/1467-937X.00050. Search in Google Scholar

Lettau, M., & Ludvigson, S. (2002). Time-varying risk premia and the cost of capital: An alternative implication of the Q theory of investment. Journal of Monetary Economics, 49(1), 31–66. https://doi.org/10.1016/S0304-3932(01)00097-6. Search in Google Scholar

Li, M., & Mendieta-Muñoz, I. (2020). Are long-run output growth rates falling? Metroeconomica, 71(1), 204–234. https://doi.org/10.1111/meca.12275. Search in Google Scholar

Lewellen, J., & Lewellen, K. (2002). Investment and cash flow: New evidence. Journal of Financial and Quantitative Analysis, 51(4), 1135–1164. https://doi.org/10.1017/S002210901600065X. Search in Google Scholar

Mclean, R. D., & Zhao, M. (2014). The business cycle, investor sentiment, and costly external finance. Journal of Finance, 69(3), 1377–1409. https://doi.org/10.1111/jofi.12047. Search in Google Scholar

Mendieta-Muñoz, I., & Sündal, D. (2022). Business cycles, financial conditions, and nonlinearities. Metroeconomica, 73(2), 343–383. https://doi.org/10.1111/meca.12363. Search in Google Scholar

Primiceri, G. E. (2005). Time varying structural vector autoregressions and monetary policy. The Review of Economic Studies, 72(3), 821–852. https://doi.org/10.1111/j.1467-937X.2005.00353.x. Search in Google Scholar

Stiglitz, J. E., & Weiss, A. (1981). Credit rationing in markets with imperfect information. American Economic Review, 71(3), 393–410. https://www.jstor.org/stable/1802787. Search in Google Scholar

Tobin, J. (1969). A general equilibrium approach to monetary theory. Journal of Money, Credit and Banking, 1(1), 15–29. https://doi.org/10.2307/1991374. Search in Google Scholar

Verona, F. (2020). Investment, Tobin’s Q, and cash flow across time and frequencies. Oxford Bulletin of Economics and Statistics, 82(2), 331–346. https://doi.org/10.1111/obes.12321. Search in Google Scholar

Welch, I., & Goyal, A. (2008). A comprehensive look at the empirical performance of equity premium prediction. The Review of Financial Studies, 21(4), 1455–1508. https://doi.org/10.1093/rfs/hhm014. Search in Google Scholar

Received: 2023-12-22
Revised: 2024-03-07
Accepted: 2024-04-08
Published Online: 2024-05-06

© 2024 the author(s), published by De Gruyter

This work is licensed under the Creative Commons Attribution 4.0 International License.

Articles in the same Issue

  1. Regular Articles
  2. Political Turnover and Public Health Provision in Brazilian Municipalities
  3. Examining the Effects of Trade Liberalisation Using a Gravity Model Approach
  4. Operating Efficiency in the Capital-Intensive Semiconductor Industry: A Nonparametric Frontier Approach
  5. Does Health Insurance Boost Subjective Well-being? Examining the Link in China through a National Survey
  6. An Intelligent Approach for Predicting Stock Market Movements in Emerging Markets Using Optimized Technical Indicators and Neural Networks
  7. Analysis of the Effect of Digital Financial Inclusion in Promoting Inclusive Growth: Mechanism and Statistical Verification
  8. Effective Tax Rates and Firm Size under Turnover Tax: Evidence from a Natural Experiment on SMEs
  9. Re-investigating the Impact of Economic Growth, Energy Consumption, Financial Development, Institutional Quality, and Globalization on Environmental Degradation in OECD Countries
  10. A Compliance Return Method to Evaluate Different Approaches to Implementing Regulations: The Example of Food Hygiene Standards
  11. Panel Technical Efficiency of Korean Companies in the Energy Sector based on Digital Capabilities
  12. Time-varying Investment Dynamics in the USA
  13. Preferences, Institutions, and Policy Makers: The Case of the New Institutionalization of Science, Technology, and Innovation Governance in Colombia
  14. The Impact of Geographic Factors on Credit Risk: A Study of Chinese Commercial Banks
  15. The Heterogeneous Effect and Transmission Paths of Air Pollution on Housing Prices: Evidence from 30 Large- and Medium-Sized Cities in China
  16. Analysis of Demographic Variables Affecting Digital Citizenship in Turkey
  17. Green Finance, Environmental Regulations, and Green Technologies in China: Implications for Achieving Green Economic Recovery
  18. Coupled and Coordinated Development of Economic Growth and Green Sustainability in a Manufacturing Enterprise under the Context of Dual Carbon Goals: Carbon Peaking and Carbon Neutrality
  19. Revealing the New Nexus in Urban Unemployment Dynamics: The Relationship between Institutional Variables and Long-Term Unemployment in Colombia
  20. The Roles of the Terms of Trade and the Real Exchange Rate in the Current Account Balance
  21. Cleaner Production: Analysis of the Role and Path of Green Finance in Controlling Agricultural Nonpoint Source Pollution
  22. The Research on the Impact of Regional Trade Network Relationships on Value Chain Resilience in China’s Service Industry
  23. Social Support and Suicidal Ideation among Children of Cross-Border Married Couples
  24. Asymmetrical Monetary Relations and Involuntary Unemployment in a General Equilibrium Model
  25. Job Crafting among Airport Security: The Role of Organizational Support, Work Engagement and Social Courage
  26. Does the Adjustment of Industrial Structure Restrain the Income Gap between Urban and Rural Areas
  27. Optimizing Emergency Logistics Centre Locations: A Multi-Objective Robust Model
  28. Geopolitical Risks and Stock Market Volatility in the SAARC Region
  29. Trade Globalization, Overseas Investment, and Tax Revenue Growth in Sub-Saharan Africa
  30. Can Government Expenditure Improve the Efficiency of Institutional Elderly-Care Service? – Take Wuhan as an Example
  31. Media Tone and Earnings Management before the Earnings Announcement: Evidence from China
  32. Review Articles
  33. Economic Growth in the Age of Ubiquitous Threats: How Global Risks are Reshaping Growth Theory
  34. Efficiency Measurement in Healthcare: The Foundations, Variables, and Models – A Narrative Literature Review
  35. Rethinking the Theoretical Foundation of Economics I: The Multilevel Paradigm
  36. Financial Literacy as Part of Empowerment Education for Later Life: A Spectrum of Perspectives, Challenges and Implications for Individuals, Educators and Policymakers in the Modern Digital Economy
  37. Special Issue: Economic Implications of Management and Entrepreneurship - Part II
  38. Ethnic Entrepreneurship: A Qualitative Study on Entrepreneurial Tendency of Meskhetian Turks Living in the USA in the Context of the Interactive Model
  39. Bridging Brand Parity with Insights Regarding Consumer Behavior
  40. The Effect of Green Human Resources Management Practices on Corporate Sustainability from the Perspective of Employees
  41. Special Issue: Shapes of Performance Evaluation in Economics and Management Decision - Part II
  42. High-Quality Development of Sports Competition Performance Industry in Chengdu-Chongqing Region Based on Performance Evaluation Theory
  43. Analysis of Multi-Factor Dynamic Coupling and Government Intervention Level for Urbanization in China: Evidence from the Yangtze River Economic Belt
  44. The Impact of Environmental Regulation on Technological Innovation of Enterprises: Based on Empirical Evidences of the Implementation of Pollution Charges in China
  45. Environmental Social Responsibility, Local Environmental Protection Strategy, and Corporate Financial Performance – Empirical Evidence from Heavy Pollution Industry
  46. The Relationship Between Stock Performance and Money Supply Based on VAR Model in the Context of E-commerce
  47. A Novel Approach for the Assessment of Logistics Performance Index of EU Countries
  48. The Decision Behaviour Evaluation of Interrelationships among Personality, Transformational Leadership, Leadership Self-Efficacy, and Commitment for E-Commerce Administrative Managers
  49. Role of Cultural Factors on Entrepreneurship Across the Diverse Economic Stages: Insights from GEM and GLOBE Data
  50. Performance Evaluation of Economic Relocation Effect for Environmental Non-Governmental Organizations: Evidence from China
  51. Functional Analysis of English Carriers and Related Resources of Cultural Communication in Internet Media
  52. The Influences of Multi-Level Environmental Regulations on Firm Performance in China
  53. Exploring the Ethnic Cultural Integration Path of Immigrant Communities Based on Ethnic Inter-Embedding
  54. Analysis of a New Model of Economic Growth in Renewable Energy for Green Computing
  55. An Empirical Examination of Aging’s Ramifications on Large-scale Agriculture: China’s Perspective
  56. The Impact of Firm Digital Transformation on Environmental, Social, and Governance Performance: Evidence from China
  57. Accounting Comparability and Labor Productivity: Evidence from China’s A-Share Listed Firms
  58. An Empirical Study on the Impact of Tariff Reduction on China’s Textile Industry under the Background of RCEP
  59. Top Executives’ Overseas Background on Corporate Green Innovation Output: The Mediating Role of Risk Preference
  60. Neutrosophic Inventory Management: A Cost-Effective Approach
  61. Mechanism Analysis and Response of Digital Financial Inclusion to Labor Economy based on ANN and Contribution Analysis
  62. Asset Pricing and Portfolio Investment Management Using Machine Learning: Research Trend Analysis Using Scientometrics
  63. User-centric Smart City Services for People with Disabilities and the Elderly: A UN SDG Framework Approach
  64. Research on the Problems and Institutional Optimization Strategies of Rural Collective Economic Organization Governance
  65. The Impact of the Global Minimum Tax Reform on China and Its Countermeasures
  66. Sustainable Development of Low-Carbon Supply Chain Economy based on the Internet of Things and Environmental Responsibility
  67. Measurement of Higher Education Competitiveness Level and Regional Disparities in China from the Perspective of Sustainable Development
  68. Payment Clearing and Regional Economy Development Based on Panel Data of Sichuan Province
  69. Coordinated Regional Economic Development: A Study of the Relationship Between Regional Policies and Business Performance
  70. A Novel Perspective on Prioritizing Investment Projects under Future Uncertainty: Integrating Robustness Analysis with the Net Present Value Model
  71. Research on Measurement of Manufacturing Industry Chain Resilience Based on Index Contribution Model Driven by Digital Economy
  72. Special Issue: AEEFI 2023
  73. Portfolio Allocation, Risk Aversion, and Digital Literacy Among the European Elderly
  74. Exploring the Heterogeneous Impact of Trade Agreements on Trade: Depth Matters
  75. Import, Productivity, and Export Performances
  76. Government Expenditure, Education, and Productivity in the European Union: Effects on Economic Growth
  77. Replication Study
  78. Carbon Taxes and CO2 Emissions: A Replication of Andersson (American Economic Journal: Economic Policy, 2019)
Downloaded on 10.3.2026 from https://www.degruyterbrill.com/document/doi/10.1515/econ-2022-0091/html
Scroll to top button