Abstract
This article is the first to study a bargaining model in a moral hazard framework where the principal is risk neutral and the agent is risk averse. We show that the power of incentives increases with the agent’s bargaining power if the contracts induce a high effort. However, under reasonable assumptions about the agent’s utility function, the contracts induce a high effort less often as the agent’s bargaining power increases. As for the social welfare, we are surprised to find that a utilitarian, who cares about the sum of the two parties’ certainty equivalents, is worse off as the agent’s bargaining power increases. These results are in sharp contrast to the literature, which features risk-neutral agents protected by limited liability.
Appendix
Proof of Corollary 2
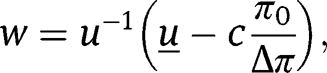
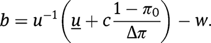
Denote
, which is increased as the agent’s bargaining power increases. Hence, we only need to show that both w and b increase with
. From the Proposition 2, we have


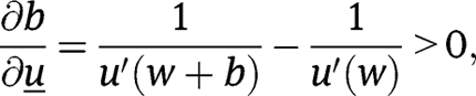
Therefore,

and

where the last inequality holds, because
is an increasing function.
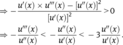
Proof of Lemma 3
We want to show that
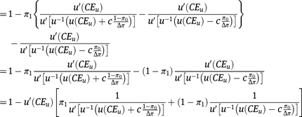
. From propositions 2 and 3, we know
From the corollary’s proof, we know that


It follows that


Denote
. We will show that
is strictly convex if
.


Therefore,

Denote
, it follows that

where the first inequality is due to the fact that
is strictly convex, and the second inequality is due to the fact that
is a decreasing function.
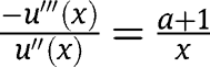
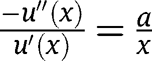
Proof of Corollary 5
CARA implies that
, and therefore,

IARA implies


DARA is equivalent to
, and, therefore, the condition
may be violated. Consider a special class of DARA:
, where
. One can easily derive that
and
. It follows immediately that
is equivalent to
.
References
Balkenborg, D. 2001. “How Liable Should a Lender Be? The Case of Judgment-Proof Firms and Environmental Risk: Comment.” American Economic Review91(3):731–8.10.1257/aer.91.3.731Search in Google Scholar
Bental, B., and D.Demouguin. 2010. “Declining Labor Shares and Bargaining Power: An Institutional Explanation?”Journal of Macroeconomics32:443–56.10.1016/j.jmacro.2009.09.005Search in Google Scholar
Conley, J. P., and S.Wilkie. 1996. “An Extension of the Nash Bargaining Solution to Nonconvex Problems.” Games and Economic Behavior13(1):26–38.10.1006/game.1996.0023Search in Google Scholar
Demougin, D., and C.Helm. 2006. “Moral Hazard and Bargaining Power.” German Economic Review7(4):463–70.10.1111/j.1468-0475.2006.00130.xSearch in Google Scholar
Demougin, D., and C.Helm. 2011. “Job Matching When Employment Contracts Suffer From Moral Hazard.” European Economic Review55(7):964–79.10.1016/j.euroecorev.2011.04.002Search in Google Scholar
Dittrich, M., and S.Städter. 2011. “Moral Hazard and Bargaining over Incentive Contracts,” Working paper.Search in Google Scholar
Dubois, P., and T.Vukina. 2004. “Grower Risk Aversion and the Cost of Moral Hazard in Livestock Production Contracts.” American Journal of Agricultural Economics86(3):835–84.10.1111/j.0002-9092.2004.00634.xSearch in Google Scholar
Gabel, J., K.Dhont, H.Whitmore, and J.Pickreign. 2002. “Individual Insurance: How Much Financial Protection Does It Provide?”Health Affairs21:w172–81.10.1377/hlthaff.W2.172Search in Google Scholar
Genicot, G., and D.Ray. 2006. “Bargaining Power and Enforcement in Credit Markets.” Journal of Development Economics79(2):398–412.10.1016/j.jdeveco.2006.01.006Search in Google Scholar
Hueth, B., and E.Ligon. 1999. “Producer Price Risk and Quality Measurement.” American Journal of Agricultural Economics81:512–24.10.2307/1244011Search in Google Scholar
Kihlstrom, R. E., and A. E.Roth. 1982. “Risk Aversion and the Negotiation of Insurance Contracts.” Journal of Risk and Insurance49(3):372–87.10.2307/252493Search in Google Scholar
Kimball, M. S. 1990. “Precautionary Saving in the Small and in the Large.” Econometrica58:53–73.10.2307/2938334Search in Google Scholar
Laffont, J.-J., and D.Martimort. 2001. The Theory of Incentives – The Principal Agent Model. Princeton, NJ and Oxford: Princeton University Press.10.1515/9781400829453Search in Google Scholar
Nash, J. F.1950. “The Bargaining Problem.” Econometrica18:155–162.10.2307/1907266Search in Google Scholar
Pauly, M. V., and A. M.Percy. 2000. “Cost and Performance: A Comparison of the Individual and Group Health Insurance Markets.” Journal of Health Politics, Policy and Law25(1):9–26.10.1215/03616878-25-1-9Search in Google Scholar
Pitchford, R. 1998. “Moral Hazard and Limited Liability: The Real Effects of Contract Bargaining.” Economics Letters61(2):251–9.10.1016/S0165-1765(98)00141-4Search in Google Scholar
Rubinstein, A. 1982. “Perfect Equilibrium in a Bargaining Model.” Econometrica50(1):97–109.10.2307/1912531Search in Google Scholar
Schlesinger, H. 1984. “2-Person Insurance Negotiation.” Insurance Mathematics and Economics3(3):147–9.10.1016/0167-6687(84)90055-6Search in Google Scholar
Schmitz, P. 2005. “Workplace Surveillance, Privacy Protection and Efficiency Wages.” Labor Economics12(6):727–38.10.1016/j.labeco.2004.06.001Search in Google Scholar
Shaked, A., and J.Sutton. 1984. “Involuntary Unemployment as a Perfect Equilibrium in a Bargaining Model.” Econometrica52(6):1351–64.10.2307/1913509Search in Google Scholar
Starbird, S. A. 2005. Moral Hazard, Inspection Policy, and Food Safety. American Journal of Agricultural Economics87(1):15–27.10.1111/j.0002-9092.2005.00698.xSearch in Google Scholar
Thomasson, M. A. 2003. “The Importance of Group Coverage: How Tax Policy Shaped U.S. Health Insurance.” American Economic Review93(4):1373–84.10.1257/000282803769206359Search in Google Scholar
Viaene, S., R.Veugelers, and G.Dedene. 2002. “Insurance Bargaining Under Risk Aversion.” Economic Modelling19(2):245–59.10.1016/S0264-9993(01)00062-1Search in Google Scholar
Yao, Z. 2012. “Bargaining Over Incentive Contracts.” Journal of Mathematical Economics48(2):98–106.10.1016/j.jmateco.2012.01.003Search in Google Scholar
Yogo, M. 2004. “Estimating the Elasticity of Intertemporal Substitution When Instruments Are Weak.” The Review of Economics and Statistics86(3):797–810.10.1162/0034653041811770Search in Google Scholar
Yu, J.2008. “Bargaining Structures in French Dairy Sector and Impact of Policy Reforms,” Presented at 107th EAAE Seminar on Modeling of Agricultural and Rural Development Policies, Sevilla.Search in Google Scholar
Project supported by the National Natural Science Foundation of China (Grant No. 71303245), MOE (Ministry of Education in China) Project of Humanities and Social Sciences (13YJC790077).
- 1
Limited liability means that the transfer from the principal to the agent must be non-negative.
- 2
With limited liability, the principal can only induce effort by rewarding the agent in the case of a good outcome; hence, the agent can get expected payoffs strictly higher than his reserve utility. The difference between the agent’s expected payoff and his reserve utility is called “limited liability rent” in the literature (see Chapter 4 of Laffont and Martimort (2001) for more detailed discussion).
- 3
For ease of exposition, we work in the space of the certainty equivalent rather than in the space of utility. The certainty equivalent of a random variable
for an agent with utility function u is defined as
. - 4
Conley and Wilkie (1996) have proved that the symmetric Nash extension is the only solution that satisfies Pareto optimality, symmetry, scale invariance, ethical monotonicity and continuity. They also show the uniqueness of the Nash extension. In this article, we use an asymmetric extension of their symmetric Nash extension.
- 5
That is, the agent gets a higher certainty equivalence from the bargaining.
- 6
It means that the range of the parameters of the contract inducing a high effort decreases as the agent’s bargaining power increases.
©2013 by Walter de Gruyter Berlin / Boston
Articles in the same Issue
- Masthead
- Masthead
- Advances
- Dependence and Uniqueness in Bayesian Games
- Monopolistic Signal Provision†
- Multi-task Research and Research Joint Ventures
- Transparent Restrictions on Beliefs and Forward-Induction Reasoning in Games with Asymmetric Information
- A Simple Bargaining Procedure for the Myerson Value
- On the Difference between Social and Private Goods
- Optimal Use of Rewards as Commitment Device When Bidding Is Costly
- Labor Market and Search through Personal Contacts
- Contributions
- Learning, Words and Actions: Experimental Evidence on Coordination-Improving Information
- Are Trust and Reciprocity Related within Individuals?
- Optimal Contracting Model in a Social Environment and Trust-Related Psychological Costs
- Contract Bargaining with a Risk-Averse Agent
- Academia or the Private Sector? Sorting of Agents into Institutions and an Outside Sector
- Topics
- Poverty Orderings with Asymmetric Attributes
- Dictatorial Mechanisms in Constrained Combinatorial Auctions
- When Should a Monopolist Improve Quality in a Network Industry?
- On Partially Honest Nash Implementation in Private Good Economies with Restricted Domains: A Sufficient Condition
- Revenue Comparison in Asymmetric Auctions with Discrete Valuations
Articles in the same Issue
- Masthead
- Masthead
- Advances
- Dependence and Uniqueness in Bayesian Games
- Monopolistic Signal Provision†
- Multi-task Research and Research Joint Ventures
- Transparent Restrictions on Beliefs and Forward-Induction Reasoning in Games with Asymmetric Information
- A Simple Bargaining Procedure for the Myerson Value
- On the Difference between Social and Private Goods
- Optimal Use of Rewards as Commitment Device When Bidding Is Costly
- Labor Market and Search through Personal Contacts
- Contributions
- Learning, Words and Actions: Experimental Evidence on Coordination-Improving Information
- Are Trust and Reciprocity Related within Individuals?
- Optimal Contracting Model in a Social Environment and Trust-Related Psychological Costs
- Contract Bargaining with a Risk-Averse Agent
- Academia or the Private Sector? Sorting of Agents into Institutions and an Outside Sector
- Topics
- Poverty Orderings with Asymmetric Attributes
- Dictatorial Mechanisms in Constrained Combinatorial Auctions
- When Should a Monopolist Improve Quality in a Network Industry?
- On Partially Honest Nash Implementation in Private Good Economies with Restricted Domains: A Sufficient Condition
- Revenue Comparison in Asymmetric Auctions with Discrete Valuations