Abstract
We consider an asymmetric auction setting with two bidders such that the valuation of each bidder has a binary support. First, we characterize the unique equilibrium outcome in the first price auction for any values of parameters. Then we compare the first price auction with the second price auction in terms of expected revenue. Under the assumption that the probabilities of low values are the same for the two bidders, we obtain two main results: (i) the second price auction yields a higher revenue unless the distribution of a bidder’s valuation first-order stochastically dominates the distribution of the other bidder’s valuation “in a strong sense” and (ii) introducing reserve prices implies that the first price auction is never superior to the second price auction. In addition, in some cases, the revenue in the first price auction decreases when all the valuations increase.
Appendix
Proof of Proposition 1
The complete proof of Proposition 1 is long, mainly because of the proof of essential equilibrium uniqueness. Here we provide a partial proof, in which we verify that (i) if [4] is satisfied, then the strategy profile described by Proposition 1(ii) is a BNE; (ii) if [7] is satisfied, then the strategy profile in Proposition 1(iii) is a BNE.29
The case in which [4] is satisfied
Suppose that the inequalities in [4] are satisfied, and moreover that
. Then we obtain that
is such that
(if
, then
is equal to
, which actually would simplify matters), which implies that the strategies described by Proposition 1(ii) make sense. Now we verify that for each type of each bidder the strategy specified by Proposition 1(ii) is a best reply given the strategies of the two types of the other bidder. We use
and
to denote the payoff of type
and his probability to win – respectively – as a function of his bid b, given the strategies of the two types of the other bidder. Notice that
for any
and
for any
; thus we do not need to consider bids below
or above
. The same remark applies to the BNE described by Proposition 1(iii).
Type
. The strategies of types 2L and 2H are such that each type of bidder 2 bids at least
with probability one. Therefore, the payoff of 1L is zero if he bids
as specified by Proposition 1(ii), and it is impossible for him to obtain a positive payoff.
Type
. For any
, the payoff of type
is
, which is constant and equal to
. If
, then 1H loses against
and loses also against 2L unless 2L bids
, in which case 1H ties with 2L – an event with probability
. Consider the most favorable case for
, which means that he wins the tie-break against 2L with probability one (this occurs if
): his expected payoff from bidding
is then
, which turns out to be equal to
.
Type
. For any
, the payoff of type
is
, which is constant and equal to
. For bids b in
we find
, which is decreasing in b, and therefore
for any
.
Type
. For any
, the payoff of type
is
, which is constant and equal to
. For bids b in
we find
and
, which is increasing in b and therefore
for any
.
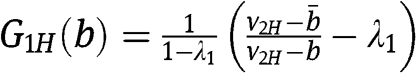
The case in which [7] is satisfied
Suppose that the inequality in [7] is satisfied. Then
in eq. [8] and we verify that for each type of each bidder the strategy specified by Proposition 1(iii) is a best reply given the strategies of the two types of the other bidder. Let
.
Type
. The same argument given in the proof above for type
applies.
Type
. For any
, the payoff of type
is
, which is equal to
for any
.30 If
, then
ties with type 2L and loses against 2H, unless also 2H bids
– an event with probability
. Consider the most favorable case for
, which means that he wins the tie-break against each type of bidder 2 with probability one (this occurs if
): his expected payoff from bidding
is then
which turns out to be equal to
.
Type
. The payoff of type
from bidding
is
. If he bids
, then
and thus
is decreasing in b.
Type
. For any
, the payoff of type
is
, which is equal to
for any
.
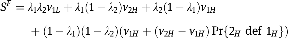
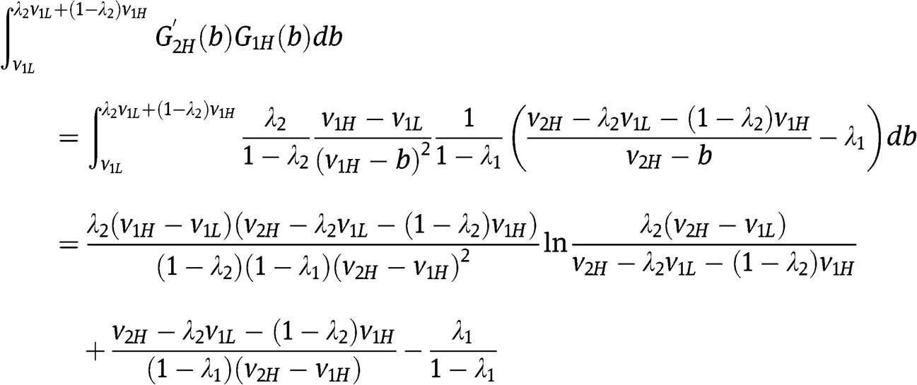
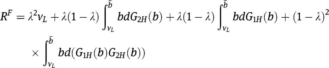
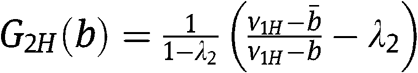
Derivation of
given the BNE described by Proposition 1
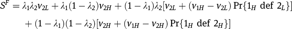
The BNE of Proposition 1(ii) when 
We evaluate
as the difference between the social surplus
generated by the FPA minus the bidders’ rents
:
. Thus, we need to derive
and
:


in which
def
, for
, is the probability that
wins when he faces type
.
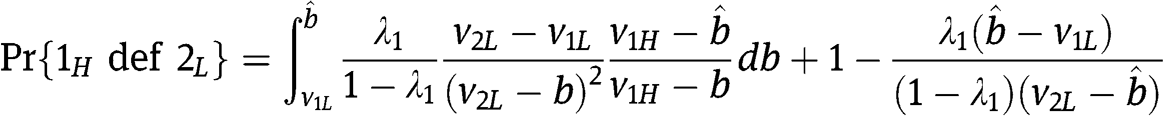
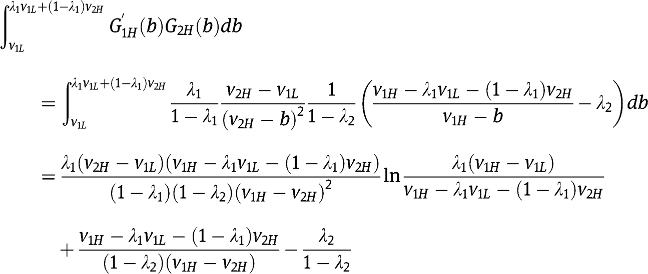
In order to derive
def
, for the case that
, we need to evaluate

and using
in
we find
. Hence



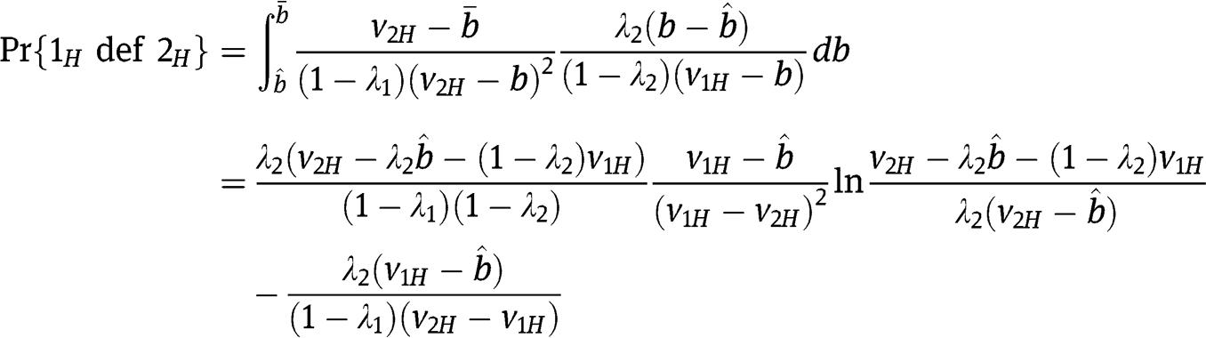
In order to derive
def
, for the case that
, we need to evaluate

and using
in
we find
. Hence

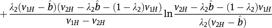
Now we can evaluate
:


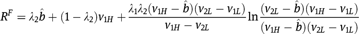
An expression for
is found by solving eq. [2]:
![[15]](/document/doi/10.1515/bejte-2012-0014/asset/graphic/bejte-2012-0014_eq15.png)
with

The BNE of Proposition 1(ii) when
(footnote 10)


In order to derive
, for the case that
, we need to evaluate

Now we can evaluate
:
![[16]](/document/doi/10.1515/bejte-2012-0014/asset/graphic/bejte-2012-0014_eq16.png)
The BNE in Proposition 1(iii)


For the case that
we need to evaluate
def
, which is equal to

Now we can evaluate
:

Proof of Lemma 1
Given
and
, when
Proposition 1(ii) (footnote 10) applies and reveals that types
bid as in the benchmark symmetric setting, whereas
and
with support
, in which
. It is simple to see that both
and
are decreasing with respect to
for any
, and this implies that
and 2H are both more aggressive, in the sense of first-order stochastic dominance, the larger is
in
.31 Given that
![[17]](/document/doi/10.1515/bejte-2012-0014/asset/graphic/bejte-2012-0014_eq17.png)
we infer that
is increasing in
.
When
, Proposition 1(iii) applies and reveals that types
bid as in the benchmark symmetric setting, whereas
for any
. Since
is strictly increasing in
for any
, we infer that 2H is less aggressive, in the sense of first-order stochastic dominance, the larger is
. Using again eq. [17], after replacing
with
and
with
, it follows that
is strictly decreasing with respect to
.
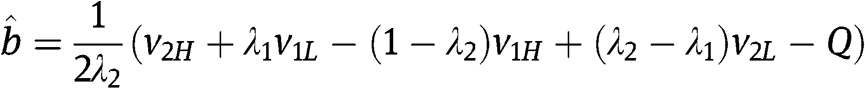
Proof of Proposition 4
The proof when [9] or [10] is satisfied
The proofs for these results are provided in the text.
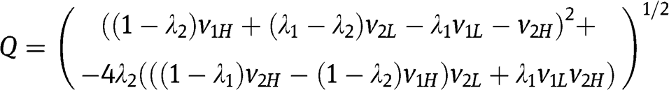
The proof when [11] is satisfied
Since
when [9] is satisfied and
and
are continuous functions of the valuations, it follows that
if
and
is close to
.
The proof when [12] is satisfied
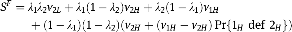
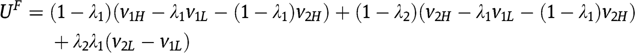
Recall from our final remark in Section 3.2.2 that in the BNE described by Proposition 1(ii) the highest valuation bidder does not always win. Conversely, the efficient allocation is always achieved in the SPA. Therefore a sufficient condition for
is that the aggregate bidders’ rents in the FPA,
, are (weakly) larger than the rents in the SPA,
. Indeed, we show that
in region B if
by proving that
for any profile of values in B. Since
, Proposition 1(ii) applies and thus the aggregate bidders’ rents in the FPA are
with
. On the other hand, the bidders’ rents in the SPA are
. Hence, the inequality
reduces to
. From eq. [15] we obtain
with
. Therefore
boils down to
and (after squaring – notice that
in B) ultimately to
. Given
and
, we find that
, which is positive in region B.
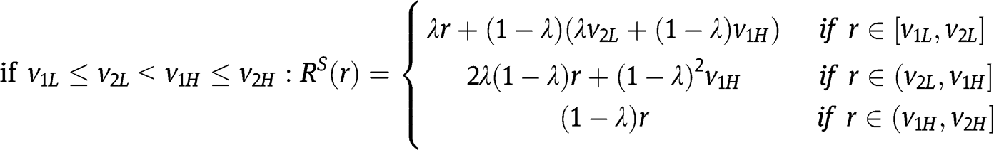
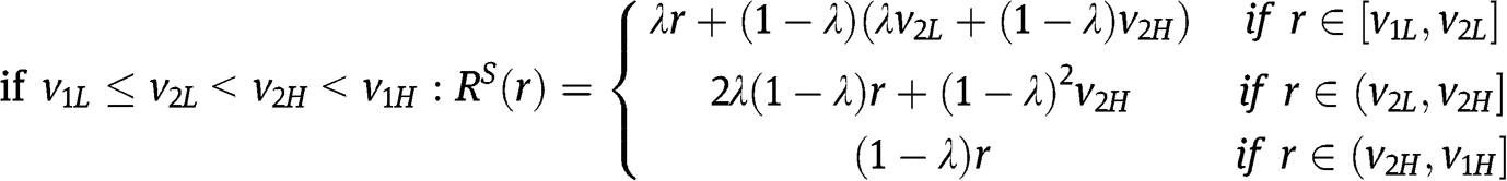
For valuations in region C, that is such that
, we show that
if [12] is satisfied. As above, the bidders’ rents in the FPA are
with
. However, the rents in the SPA in region C are
, and the inequality
reduces to
. Using again
we see that
boils down to
and, after squaring – notice that
– ultimately to
![[18]](/document/doi/10.1515/bejte-2012-0014/asset/graphic/bejte-2012-0014_eq18.png)
We prove that this inequality holds for each
by verifying that the left-hand side of [18] is positive both at
and at
. At
, the left-hand side in [18] reduces to
which is positive since (i) it is increasing in
; (ii) has value
at
. At
, the left-hand side in [18] reduces to
.
Proof for the case of distribution shift
In the case of shift,
and
. If
, then
and
. As a consequence,
reduces to
. If
, then this inequality is satisfied for any
; if instead
, then the inequality is violated for
and it holds if and only if
.
If
, then
and
. As a consequence,
reduces to
. In order for this inequality to be satisfied by an
larger than
it is necessary that
.
Proof of the claim in Section 4.3 about the approximation of our discrete setting using a continous model
Suppose that
and consider
such that
; let
be close to zero. If
are continuously differentiable c.d.f.s which approximate well our discrete setting, then
,
,
, and
by definition of
. We show that [14] is violated at
by deriving a contradiction if the inequality
holds for each
. Indeed, if this condition were satisfied then
, but we know that
.32 In other terms,
needs to be small for
, and [14] requires that
is smaller than
for any x between
and
. But since
, it is necessary that
grows substantially in
, which is impossible given that
is small.33
Proof of Proposition 5
The expression of
depends as follows on
:



In the case of
, for instance,
is increasing in
, is increasing in
, and is increasing in
, thus
. A similar argument applies in the other cases.
Proof of Proposition 6
Step 1 If
, then the optimal reserve price in the FPA belongs to
.
First notice that if
, then bidding
allows bidder 2 to win with certainty. Hence, no type of bidder 2 (or of bidder 1) bids above
in equilibrium and
for each
. Second, if
then bidder 1 does not participate in the auction. Bidder 2 participates, and bids r, if and only if
. Therefore
if
(both types of bidder 2 bid r), and
if
(only type
bids r).
Step 2 If
, then the optimal reserve price in the FPA belongs to
.
The result follows from Steps 2.1 and 2.2 below.
Step 2.1 If we consider only values of r in
, then the optimal r is in
.
Let bidders i and j be such that
(if
, then we set
,
). Thus
is the type of bidder with valuation equal to
.
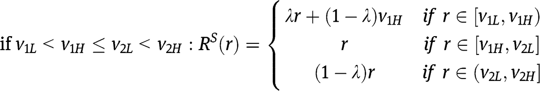
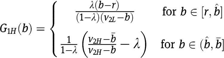
From
and
it follows that
. For r such that
the BNE is such that types
do not bid; types
play mixed strategies, each with support
, with
, and c.d.f.s
![[19]](/document/doi/10.1515/bejte-2012-0014/asset/graphic/bejte-2012-0014_eq19.png)
Since both types
bid more aggressively as r increases in
, it follows that
is increasing with respect to r in the interval
, and
.
For r such that
, only type
participates, and bids r. Thus
is increasing with respect to r in the interval
, and
. Hence the optimal r in
belongs to
■
Notice that when
, Step 2.1 implies immediately that the optimal r belongs to
. Therefore in the following of the proof, we assume that 
Step 2.2 If we consider only values of r in
, then the optimal r is 
Given
, we need to consider two cases:
and
.
Step 2.2.1 If
, then
is increasing with respect to r in the interval
.
When
the BNE is similar to the BNE described in Proposition 1(ii), with
replaced by r: type
does not bid; types
play mixed strategies with support
for
,
for
,
for
, in which
is the smaller solution to
![[20]](/document/doi/10.1515/bejte-2012-0014/asset/graphic/bejte-2012-0014_eq20.png)
and
. The c.d.f.s for the mixed strategies of
are, respectively:


Since
is the smaller solution to eq. [20] and the left-hand side in eq. [20] is increasing in r, it follows that
is increasing in r and also
is so. Hence, it is immediate that an increase in r induces both types
and
to bid more aggressively. The same result holds for type
as well since
for
, and both
and
are decreasing in r. Therefore
is increasing in r. ■
Step 2.2.2 If
, then
is increasing with respect to r in the interval
.
When
the BNE is similar to the BNE described in Proposition 1(iii), with
replaced by r: type
does not bid; type
bids r; types
play mixed strategies with the same support
, in which
and the c.d.f.s are given by eq. [19], with
,
. Hence
is increasing in r. ■
Proof of Proposition 7
For the case of
, see the arguments immediately after the statement of Proposition 7. When
, first notice that
,
. For instance, if
(similar results are obtained if
) then
because given
, in both auctions the object is not sold when
, and in the other states of the world the winning bidder pays
. In case that
, we have
because in both auctions the object is sold if and only if
. On the other hand,
(
) is equal to the expected revenue in the FPA (in the SPA) when
, and we know from Proposition 4 (condition [9]) that
, unless
.
References
Cantillon, E. 2008. “The Effect of Bidders’ Asymmetries on Expected Revenue in Auctions.” Games and Economic Behavior62:1–25.10.1016/j.geb.2006.11.005Search in Google Scholar
Cheng, H. 2006. “Ranking Sealed High-Bid and Open Asymmetric Auctions.” Journal of Mathematical Economics42:471–98.10.1016/j.jmateco.2006.05.008Search in Google Scholar
Cheng, H.2010. “Asymmetric First Price Auctions with a Linear Equilibrium.” Mimeo.Search in Google Scholar
Cheng, H. 2011. “Asymmetry and Revenue in First-Price Auctions.” Economics Letters111:78–80.10.1016/j.econlet.2010.12.004Search in Google Scholar
Doni, N., and D.Menicucci. 2012a. “Revenue Comparison in Asymmetric Auctions with Discrete Valuations.”http://www1.unifi.it/dmd-old/persone/d.menicucci/WpAsymmetric.pdf.10.1515/bejte-2012-0014Search in Google Scholar
Doni, N., and D.Menicucci. 2012b. “Information Revelation in Procurement Auctions with Two-Sided Asymmetric Information.” Journal of Economics and Management Strategy forthcoming.Search in Google Scholar
Fibich, G., and N.Gavish. 2011. “Numerical Simulations of Asymmetric First-Price Auctions.” Games and Economic Behavior73:479–95.10.1016/j.geb.2011.02.010Search in Google Scholar
Fibich, G., and A.Gavious. 2003. “Asymmetric First-Price Auctions – A Perturbation Approach.” Mathematics of Operations Research28:836–52.10.1287/moor.28.4.836.20510Search in Google Scholar
Fibich, G., A.Gavious, and A.Sela. 2004. “Revenue Equivalence in Asymmetric Auctions.” Journal of Economic Theory115:309–21.10.1016/S0022-0531(03)00251-5Search in Google Scholar
Gavious, A., and Y.Minchuk. 2013. “Ranking Asymmetric Auctions.” Mimeo. International Journal of Game Theory forthcoming. DOI: 10.1007/s00182-013-0383-9.10.1007/s00182-013-0383-9Search in Google Scholar
Gayle, W., and J.-F.Richard. 2008. “Numerical Solutions of Asymmetric, First Price, Independent Private Values Auctions.” Computational Economics32:245–75.10.1007/s10614-008-9125-7Search in Google Scholar
Kaplan, T. R., and S.Zamir. 2012. “Asymmetric First Price Auctions with Uniform Distributions: Analytical Solutions to the General Case.” Economic Theory50:269–302.10.1007/s00199-010-0563-9Search in Google Scholar
Kirkegaard, R. 2012a. “A. Mechanism Design Approach to Ranking Asymmetric Auctions.” Econometrica80:2349–64.10.3982/ECTA9859Search in Google Scholar
Kirkegaard, R.2012b. “Ranking Asymmetric Auctions: Filling the Gap Between a Distributional Shift and Stretch.”http://www.uoguelph.ca/~rkirkega/BetweenShiftStretch.pdf.Search in Google Scholar
Klemperer, P. 1999. “Auction Theory: A Guide to the Literature.” Journal of Economic Surveys13:227–86.10.1111/1467-6419.00083Search in Google Scholar
Lebrun, B. 1998. “Comparative Statics in First Price Auctions.” Games and Economic Behavior25:97–110.10.1006/game.1997.0635Search in Google Scholar
Lebrun, B. 2002. “Continuity of the First-Price Auction Nash Equilibrium Correspondence.” Economic Theory20:435–53.10.1007/s001990100227Search in Google Scholar
Lebrun, B. 2009. “Auctions with Almost Homogeneous Bidders.” Journal of Economic Theory144:1341–51.10.1016/j.jet.2008.11.013Search in Google Scholar
Li, H., and J.Riley. 2007. “Auction Choice.” International Journal of Industrial Organization25:1269–98.10.1016/j.ijindorg.2006.10.003Search in Google Scholar
Marshall, R. C., M. J.Meurer, J.-F.Richard, and W.Stromquist. 1994. “Numerical Analysis of Asymmetric First Price Auctions.” Games and Economic Behavior7:193–220.10.1006/game.1994.1045Search in Google Scholar
Marshall, R. C., and S. P.Schulenberg2003. “Numerical Analysis of Asymmetric Auctions with Optimal Reserve Prices.” Mimeo, Department of Economics, Penn State University, State College, PA.Search in Google Scholar
Maskin, E., and J.Riley1983. “Auction with Asymmetric Beliefs.” Discussion Paper n. 254, University of California-Los Angeles.Search in Google Scholar
Maskin, E., and J.Riley. 1985. “Auction Theory with Private Values.” American Economic Review75:150–5.Search in Google Scholar
Maskin, E., and J.Riley. 2000a. “Asymmetric Auctions.” Review of Economic Studies67:413–38.10.1111/1467-937X.00137Search in Google Scholar
Maskin, E., and J.Riley. 2000b. “Equilibrium in Sealed High Bid Auctions.” Review of Economic Studies67:439–54.10.1111/1467-937X.00138Search in Google Scholar
Myerson, R. B. 1981. “Optimal Auction Design.” Mathematics of Operations Research6:58–73.10.1287/moor.6.1.58Search in Google Scholar
Plum, M. 1992. “Characterization and Computation of Nash-Equilibria for Auctions with Incomplete Information.” International Journal of Game Theory20:393–418.10.1007/BF01271133Search in Google Scholar
Vickrey, W. 1961. “Counterspeculation, Auctions, and Competitive Sealed Tenders.” Journal of Finance16:8–37.10.1111/j.1540-6261.1961.tb02789.xSearch in Google Scholar
- 1
This result contrasts with a claim in Maskin and Riley (1985) for the case in which the only deviation from a symmetric setting is given by unequal high valuations [this claim is reproduced in Klemperer (1999)]. However, for this case, Maskin and Riley (1983) agree with our ranking between the FPA and the SPA.
- 2
In fact, the latter result is known, and in more general settings, since Maskin and Riley (2000a).
- 3
As we mentioned above, these results hold if the probability of a low value is the same for each bidder. In Doni and Menicucci (2012a), we study the case in which the probabilities of a low value for the two bidders are different. We also partially extend our results to a setting in which each bidder’s valuation has a three-point support.
- 4
Doni and Menicucci (2012b) study a procurement setting in which the auctioneer privately observes the qualities of the products offered by the suppliers and needs to decide how much of the own information on qualities should be revealed to suppliers before a (first score) auction is held. Our results on the comparison between the FPA and the SPA contribute to determine the best information revelation policy for the auctioneer.
- 5
Cheng (2010) studies the environments such that each bidder’s equilibrium bidding function is linear.
- 6
Cheng (2011) employs the same setting of Maskin and Riley (1983) in order to show that in some special cases the asymmetry increases the expected revenue in the FPA, unlike in the examples studied in Cantillon (2008).
- 7
In order to circumvent this problem, some authors apply numerical methods: see Fibich and Gavish (2011), Gayle and Richard (2008), Li and Riley (2007), and Marshall et al. (1994).
- 8
A very similar idea appears in Lebrun (2002), in the auction he denotes with
. - 9
For instance, 1H bids according to the uniform distribution on
with α < 1 and close to 1. - 10
In the case that
(which occurs if and only if
), 2L bids
and
, thus
and
for each
. - 11
In a setting with continuously distributed valuations, Maskin and Riley (2000a) identify an analogous BNE and provide the intuition we describe here and after Proposition 2. In addition, Maskin and Riley (1983) identify the BNE we describe in Proposition 1 for the case of
. Thus Proposition 1 is a new result for the case in which
and [3] is violated. - 12
This fact may appear similar to the main message in Cantillon (2008), but in fact in our analysis the benchmark symmetric setting is fixed, whereas in Cantillon (2008) it is not.
- 13
Obviously, an analogous result holds if
is kept fixed and
is allowed to vary. - 14
Lebrun (1998) considers a setting with continuously distributed valuations and assumes that the valuation distribution of one bidder changes into a new distribution which dominates the previous one in the sense of reverse hazard rate domination (the support is unchanged). He show that, as a consequence, for each bidder the new bid distribution first-order stochastically dominates the initial bid distribution and thus the expected revenue increases.
- 15
In particular,
for any small deviation from the symmetric setting, that is when
and
are close to zero, but
and/or
. - 16
Since they assume
, Maskin and Riley (1983) do not consider the various cases covered in our Proposition 4, and they do not have the results in our Lemma 1 and Propositions 5 to 7. - 17
Proposition 1 still holds even though
violates our assumption
. However, when
the Vickrey tie-breaking rule is needed also if
. - 18
This similarity should not be overstated, since the uniform distribution on
gives zero probability to
, unlike the uniform distribution on
. See Section 4.3 for a discussion on the relationship between the results in our model and in the rest of the literature. - 19
If we set
, then
, which violates the assumption
, but nevertheless
is the c.d.f. of the equilibrium mixed strategy of bidder 2 when
. - 20
This effect appears also in Example 3 in Maskin and Riley (2000a).
- 21
Maskin and Riley (2000a) prove the same result under slightly stronger assumptions.
- 22
In fact, we can prove that a small shift reduces
as it has a zero first-order effect on the bidding of types
, but induces
to bid less aggressively. - 23
A similar result is obtained if we fix
and set
,
, with
. For the case of a large
, [3] is satisfied and thus
. If instead
is close to 1, then [11] reveals that
. On the other hand, Kirkegaard (2012b) proves that
if
is such that
is convex and logconcave,
is such that
and
is not much larger than 1. - 24
Kirkegaard (2012b) provides an economic interpretation of this order linked to the relative steepness of the demand function of bidder 1 with respect to the demand function of bidder 2.
- 25
We are grateful to one referee for suggesting the main ideas in this paragraph.
- 26
We thank one referee for suggesting to investigate the effect of reserve prices.
- 27
Kirkegaard (2012a) shows that if [13] and [14] are satisfied, then the FPA is superior to the SPA for any common reserve price smaller than
, that is such that it allows participation of some type of the weak bidder. Asymmetric auctions with reserve prices are analyzed, using numerical techniques, also in Gayle and Richard (2008), Li and Riley (2007), and Marshall and Schulenberg (2003). In these papers, introducing a reserve price tipically either makes the SPA superior to the FPA (even though the reverse result holds when there is no reserve price) or reduces the revenue advantage of the FPA over the SPA. The latter results are consistent with our results in this section. - 28
In fact, a small shift reduces
as in the case of binary supports (see footnote 22), mainly because it induces type
to bid less aggressively. - 29
We do not provide here the proof for the case in which [3] is satisfied since the BNE in that case is similar to a BNE in Maskin and Riley (2000a): see footnote 11. Doni and Menicucci (2012a) provide a complete proof.
- 30
Notice that
given [7]. - 31
Precisely, if
, then
and
given
first-order stochastically dominate, respectively,
and
given
. - 32
In case that
we can prove that [13] is violated. - 33
Actually, [14] can be replaced in Theorem 1 in Kirkegaard (2012a) with a weaker condition, inequality [8] in Kirkegaard (2012a), but our argument establishes that also such a condition is violated. Furthermore, our argument does not require that
and
have binary supports, consistently with the results we describe in Section 5.2 for the case in which supports are three-point sets.
©2013 by Walter de Gruyter Berlin / Boston
Articles in the same Issue
- Masthead
- Masthead
- Advances
- Dependence and Uniqueness in Bayesian Games
- Monopolistic Signal Provision†
- Multi-task Research and Research Joint Ventures
- Transparent Restrictions on Beliefs and Forward-Induction Reasoning in Games with Asymmetric Information
- A Simple Bargaining Procedure for the Myerson Value
- On the Difference between Social and Private Goods
- Optimal Use of Rewards as Commitment Device When Bidding Is Costly
- Labor Market and Search through Personal Contacts
- Contributions
- Learning, Words and Actions: Experimental Evidence on Coordination-Improving Information
- Are Trust and Reciprocity Related within Individuals?
- Optimal Contracting Model in a Social Environment and Trust-Related Psychological Costs
- Contract Bargaining with a Risk-Averse Agent
- Academia or the Private Sector? Sorting of Agents into Institutions and an Outside Sector
- Topics
- Poverty Orderings with Asymmetric Attributes
- Dictatorial Mechanisms in Constrained Combinatorial Auctions
- When Should a Monopolist Improve Quality in a Network Industry?
- On Partially Honest Nash Implementation in Private Good Economies with Restricted Domains: A Sufficient Condition
- Revenue Comparison in Asymmetric Auctions with Discrete Valuations
Articles in the same Issue
- Masthead
- Masthead
- Advances
- Dependence and Uniqueness in Bayesian Games
- Monopolistic Signal Provision†
- Multi-task Research and Research Joint Ventures
- Transparent Restrictions on Beliefs and Forward-Induction Reasoning in Games with Asymmetric Information
- A Simple Bargaining Procedure for the Myerson Value
- On the Difference between Social and Private Goods
- Optimal Use of Rewards as Commitment Device When Bidding Is Costly
- Labor Market and Search through Personal Contacts
- Contributions
- Learning, Words and Actions: Experimental Evidence on Coordination-Improving Information
- Are Trust and Reciprocity Related within Individuals?
- Optimal Contracting Model in a Social Environment and Trust-Related Psychological Costs
- Contract Bargaining with a Risk-Averse Agent
- Academia or the Private Sector? Sorting of Agents into Institutions and an Outside Sector
- Topics
- Poverty Orderings with Asymmetric Attributes
- Dictatorial Mechanisms in Constrained Combinatorial Auctions
- When Should a Monopolist Improve Quality in a Network Industry?
- On Partially Honest Nash Implementation in Private Good Economies with Restricted Domains: A Sufficient Condition
- Revenue Comparison in Asymmetric Auctions with Discrete Valuations