Abstract
Influence of the light spectrum on growth, development, and nutrients contents of okra was studied by growing okra (Abelmoschus esculentus L.) under three different LED-based irradiations defined by their peak wavelength at 455.45 ± 1.80 nm (B455), 522.27 ± 1.46 nm (G522), and 635.03 ± 1.33 nm (R635), respectively in the blue, green, and red regions of the visible spectrum. The photosynthetic photon flux density (PPFD) of 200 μmol m−2 s−1 was provided by the LEDs for 18 h daily. Leaves macronutrients and micronutrients concentration and plant biometric parameters were measured 60 days after sowing; the evolution of biometric parameters was also monitored during the growing period. Results related to biometric parameters have shown that highest leaf area, plant height, and fresh and dry weight were achieved under B455 light; both R635 and G522 lights produce the highest quantity of leaves; and largest stem diameters were observed under B455 and G522 lights. Regarding mineral contents, highest calcium, phosphorus, and manganese concentrations were obtained under R635 light; highest sodium content was observed under G522 light; and the highest nitrogen content was obtained under both B455 and G522 lights. However, there were no significant differences observed for potassium, magnesium, and zinc concentrations among the three light treatments. These results revealed that selective spectrum in artificial lighting design can be strategically used to optimize the plant growth, development, and mineral contents uptake under controlled environments.
1 Introduction
During past few years, lighting applications in horticulture have been increasingly used to improve the plant growth, development, quality, and crop production (Lu and Mitchell 2016; Bantis et al. 2018). To optimize the light environment, many research experiments have been conducted to understand plant responses for various light conditions (Ouzounis et al. 2015; Chen et al. 2016). However, plants response to light has been found species dependent, leading to more research experiments to be undertaken. Among species, lettuce has been broadly studied (Bantis et al. 2018), but some nutritionally important vegetables like okra has been appeared in a few or no publication.
Meanwhile, to achieve lighting application requirements in plant biology, various lamps technologies have been used to produce artificial light, such as high-pressure sodium, metal halide, fluorescents, incandescent, and light emitting diodes (LED) (Nelson and Bugbee 2013; Wallace and Both 2016). But in the last decades, the use of LED lamps in horticulture applications has increased (Mitchell et al. 2015) due to the rapid development in this technology and its numerous benefits including durability, adjustable size, relatively cool, and long operating lifetime. Furthermore, all other conventional artificial light sources have important emission in the visible spectrum regions that plants do not need. Since light produced by all light sources is at the expense of electrical energy, it becomes impractical and expensive to provide wavelengths of light, which are being not used by plants (Gupta and Agarwal 2017). LED in comparison to other light source, has a narrowband unique advantage, and can be used to control the spectral composition matching the absorption peak of plant photoreceptors; and more, LED may offer the ability to study responses of plants to monochromatic spectra (Bantis et al. 2018).
Light can greatly affect the composition of mineral elements of plants (Amoozgar et al. 2017). Since plants have been grown in many environments and under many conditions, the factors that affect their mineral composition need to be taken into account and better understood. But few studies have focused on these effects of light. Besides, change in light spectral qualities led to different morphogenetic and photosynthetic responses depending on the plant species (Schuerger et al. 1997). Knowing these photoresponses could help researchers to set a proper design to optimize growth, development, and quality of plants (Samuolienė et al. 2011). However, the effects of light spectrum in plant growth and development of many species like okra are still not explored in detail.
Okra is a vegetable widely cultivated in tropical, subtropical, and warm tropical regions and is one of the world’s oldest cultivated vegetable crop plants (Lamont 1999). Okra plants are nutritionally rich, and both their leaves and fruits are consumed as vegetables in diet (Lamont 1999); besides, okra have numerous therapeutical benefits: antidiabetic, antihyperlipidemic, antioxidant activity, and prevention of diseases linked to cellular damage, treating dysentery, and diarrhea (Roy et al. 2014). Okra extract also appeared to be the principal ingredient in many important commercial food and medical products and, in recent trends, could play a leading role as a nanoscale carrier to make better drug delivery systems (Roy et al. 2014). Therefore, it is of great importance to ensure a year-round production and to improve the quality of okra crop despite the adverse effect of climate change; knowing the effects of different light spectra on growth and mineral uptake will help to design artificial lighting system to grow okra in a controlled environment.
The aim of several previous studies is to improve the growth and development of several crops using LEDs or supplementary lighting with LEDs and to understand the effect of wavelength on morphological, anatomical, physiological, photosynthetic, metabolic, and developmental plants parameters (Ouzounis et al. 2015; Bantis et al. 2018). But more research experiments are still needed to bring helpful knowledge to validate the proper wavelength for important plant species (Bantis et al. 2018). Furthermore, only a few literature have studied the effects of light on mineral uptake by plants (Tremblay et al. 1987; Shin et al. 2013; Amoozgar et al. 2017); but in these studies, only lettuce was considered; thus, other vegetables, nutritionally important, need to be investigated since plant response to light is species and cultivar dependent (Olle and Viršile 2013). Therefore, it is still unknown if artificial lighting and LEDs may affect the growth, the morphology, and the nutrient element uptake in okra. The optimal wavelength to grow high-quality okra with high nutrition value is unknown. Within this context, the objective of this study is to evaluate the effects of different light spectra, on one hand, on the growth and development of okra and, on the other hand, on the macronutrients elements (N, P, K, Ca, and Mg) and micronutrients elements (Fe, Mn, Zn, and Na) of okra leaves.
2 Material and methods
2.1 Experimental design
Experiment was conducted indoor in a closed room located on the north site of the National Polytechnique Institute Felix Houphouët-Boigny of Yamoussoukro. Three boxes of dimension 2 × 2 × 2 m were used to host three pots per box, and each pot was containing one single plant. Within each box, the same light treatment was used to irradiate each pot, resulting in three replications for each light treatment (Figure 1); thus, a total of three different light treatments and nine pots were used in this experiment. Furthermore, black covered plastic were used to isolate the boxes from ambient light.

Pots and light treatment inside each box.
2.2 Plant material and soil properties
Okra variety GB1230 was used, which has been originated from ORSTOM-France (Office de la Recherche Scientifique et Technique d’Outre-Mer), and provided by the national center of agricultural research of Côte d’Ivoire (CNRA).
Before sowing, three composite samples of surface soil (0–15 cm) used in the pots were taken for analysis. During 15 days, the samples were dried in an open-air laboratory; clods were crushed by hand and the gravel was removed. Analyzes were carried out on soil fractions less than 2 mm after filtering with a 2 mm calibrated sieve and the lightly crushed soil samples. A pH meter was used to determine pH in a water–soil (ratio 2/5) solution. The methods of Kjeldahl (1883), Walkley and Black (1934), and Thomas (1982) were used for the determination of total nitrogen, organic carbon, and organic ammonium, respectively. The ammonium acetate method was used to extract cation exchange capacity (CEC) and the exchangeable cations (Ca2+, Mg2+, Na+, and K+) (Thomas 1982). The Olsen method–modified Dabin was used to estimate the assimilable phosphorus, and total phosphorus was extracted by perchloric acid. Finally, means with standard deviation of soil properties resulting from the soil analysis are as follows: soil pH, 7.0 ± 0.06; carbon, 2.9 ± 0.15%; nitrogen, 0.3 ± 0.3%; assimilable phosphorus, 69.9 ± 2.57 ppm; CEC, 17 ± 2 cmol kg−1; Ca2+, 2.1 ± 0.14 cmol kg−1; Mg2+, 1.0 ± 0.09 cmol kg−1; K+, 2.5 ± 0.14 cmol kg−1; Na+, 0.2 ± 0.06 cmol kg−1.
2.3 Light treatments
Light treatment is defined by only one factor, i.e., the light spectrum at three different levels. Each level represents a specific light spectrum and is achieved using the LED spot. This results in a total of three light treatments obtained with three different types of LED spots, each type of LED irradiated in a specific wavelength. A spectrometer Ocean Optics USB4000 was used to measure spectra of each LED spot, and the resulting peak wavelength (PW) and full width at half maximum (FWHM) were determined. These three light treatments given here by their peak wavelength (PW) and their full width at half maximum (FWHM) are as follows: B455 (PW = 455.45 ± 1.80, FWHM = 33.35 ± 2.36, n = 3), G522 (PW = 522.27 ± 1.46, FWHM = 39.10 ± 0.55, n = 3) and R635 (PW = 635.03 ± 1.33, FWHM = 22.11 ± 0.47, n = 3); and they have their spectrum, respectively, in the blue, green, and red region of the visible spectra.
For all light treatments, the height of the LED spot was adjusted to obtain a PPFD of 200 µmol m−2 s−1 at the top of each plant; light PPFD was measured with a quantum-meter LightScout 3415FXSE. All plants were exposed to LED irradiation during 18 h per day giving a photoperiod of 18 h set by a programmable electrical socket, thus resulting in a daily light integral (DLI) of 12.96 mol m−2 day−1 to grow these plants.
2.4 Humidity and temperature collection
Environment factors such as temperature and humidity (Figure 2) were also recorded during experiment by using a professional weather station AcuRite model 01036. This station was connected through a USB cable to a computer with AcuRite PC software running on it; the software was set up to automatically transfer indoor humidity and indoor temperature every 12 min to a CSV file saved locally on the computer throughout all experiment duration. At the end of experiment, CSV files were processed using MATLAB software. Indoor temperature had a variation between 26.11 and 31.67°C with the average indoor temperature at 27.96 ± 0.59°C. Indoor relative humidity had a fluctuation between 64 and 85% with an average of 75.41 ± 4.22%.

Indoor temperature and humidity during okra, Abelmoschus esculentus growth period.
2.5 Growth and biometrics parameters
Okra plants were grown for 60 days under different light treatments B455, G522, and R635. During this period, biometric parameters were recorded almost each 2 days. Number of leaves of each okra plant were counted manually and recorded. A graduated rule was used to measure the length and width of each leaf per plant, and the resulting leaf area (LA) was calculated according to Hoyt and Brandfield (1962): LA = Leaf Length × Leaf Width × 0.75. The height of the aerial part of each plant, from the soil to the top end, was measured using a tape measure and then recorded as the plant height. The stem diameter was also collected with a caliper. After these 60 days, all plants were destructively removed for fresh and dry weight measurements using a balance E50 S/3 from Gibertini with a 0.01 to 0.1 mg resolution. Dry weights were measured after drying plants samples in an oven for 72 h.
2.6 Mineral elements analysis
Okra leaves were collected and destructively sampled to obtain their macronutrient and micronutrient concentrations. A total of 0.4 g sample taken from dried and ground leaves samples were mineralized and dissolved in nitric and chlorhydric acid (AOAC 1990). Nitrogen content was determined using the Kjeldahl reference method (Kjeldahl 1883), and the phosphorus concentration was measured by UV/Vis Spectrometer Jasco V-530 Inc. Concentrations of iron, manganese, zinc, sodium, calcium, and magnesium were determined by flame atomic absorption spectrometry air-acetylene using spectrophotometer VARIAN type AA20, Australia (Pinta 1973).
2.7 Data analysis
All measurements were analyzed for statistical significance by one-way analysis of variance (ANOVA) to determine significant differences between the means of the treatments. Since the main aim is to determine which treatment gives significantly higher or lower values compared to others, we used the post hoc Tukey’s HSD test to perform multiple comparisons among light treatments means.
3 Results
3.1 Biometric parameters
Results related to biometrics parameters are presented in Table 1. A picture of okra plants grown under different light treatments (B455, G522 and R635) is shown in Figure 3. LA was significantly different among light treatments. Highest LA is obtained with B455 in comparison with G522 and R635, but there are no significant differences between G522 and R635.
Mean (±SE) of biometric parameters measured on okra plant irradiated under different light spectrum treatment. For each parameter, different letters indicate significant differences among treatments at p < 0.05 by Tukey’s test
| Light spectrum | Biometric parameters | ||||||
|---|---|---|---|---|---|---|---|
| LA (cm2) | Plant height (mm) | Leaf number | Stem diameter (mm) | FW (g) | DW (g) | ||
| B455 | 166.2809 ± 21.1906b | 966.6667 ± 23.3333b | 11.0000 ± 0.0000a | 9.1667 ± 0.1667b | 98.4438 ± 3.7797b | 9.3712 ± 0.0715b | |
| G522 | 100.4970 ± 10.0673a | 600.0000 ± 30.0000a | 13.3333 ± 0.3333b | 9.3333 ± 0.3333b | 38.4346 ± 0.4498a | 3.3780 ± 0.0242a | |
| R635 | 93.0109 ± 9.4441a | 506.6667 ± 14.5297a | 13.3333 ± 0.3333b | 8.0000 ± 0.0000a | 35.3267 ± 5.0494a | 3.7967 ± 0.4201a | |
| ANOVA | df | (2;110) | (2;6) | (2;6) | (2;6) | (2;6) | (2;6) |
| F | 8.132 | 107.1 | 24.5 | 11.4 | 94.97 | 184.3 | |
| P | 0.0005 | 0.00002 | 0.0013 | 0.0090 | 0.00002 | 0.000004 | |

Okra (Abelmoschus esculentus L.) plants 54 days after sowing. From left to right, respectively, okra plants treated under blue, green, and red light.
In comparing the plant height, significant differences among light treatments were found. The plant height is higher under B455 compared to G522 and to R635. Multiple comparison tests showed no significant differences between plants under G522 and R635.
Leaf numbers showed significant differences among treatments. Plant grown under B455 showed less leaf number than plant grown under G522 light and plant under R635 light. Highest leaf number is achieved by both G522 and R635, which are not significantly different.
Significant differences existed between light treatments for stem diameter. Stem diameter was the highest under B455 and G522 lights compared to R635 light. However, no significant differences were observed between B455 and G522 lights.
FW and DW of plants differ significantly among treatments. FW and DW of plants were the greatest when grown under B455. Tukey’s multiple comparison test showed similarities for FW and DW of plants grown under G522 and R635.
In summary, leaf area, plant height, leaf number, FW, and DW under R635 and G522 lights are not significantly different. B455 induces larger leaf area, longer plant height, and higher FW and DW than R635 and G522. R635 and G522 produce similar quantities of leaves, and B455 produces the lowest number of leaves compared to other treatments. Furthermore, the stem diameters of samples under B455 and G522 treatment are not significantly different and are greater than stem diameters of samples treated with R635.
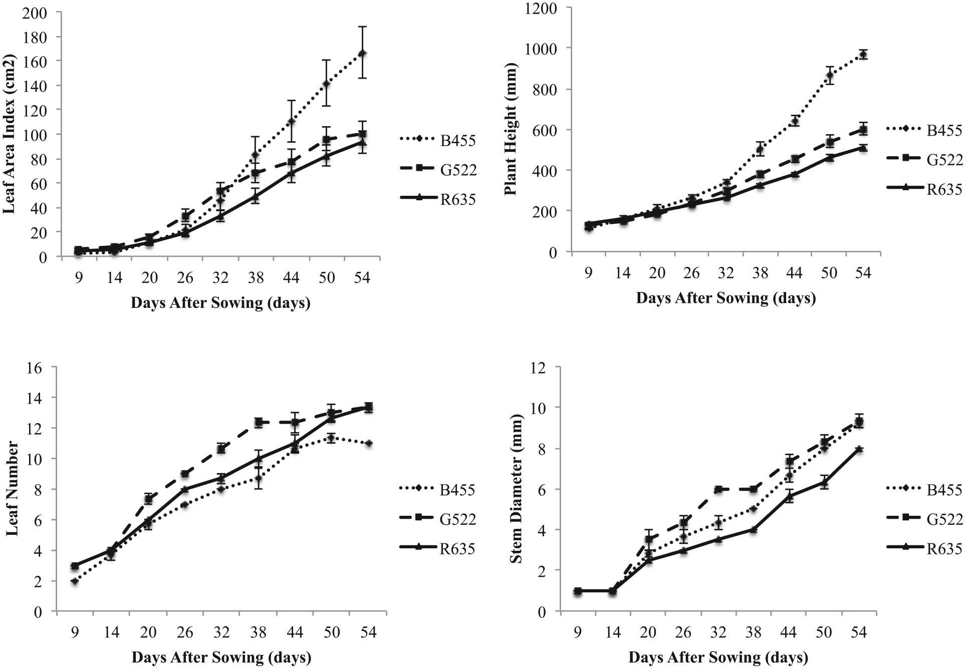
In addition, Figure 4 shows the evolutions of leaf area, leaf number, plant height, and stem diameters over 54 days of the growing period. Around the first 30 days, the leaf area and plant height were approximately similar between all light treatments. It is only after 38 days after sowing that B455 started to differentiate from other light treatments in stimulating a better response in plants for leaf area and plant height. B455 giving the lowest leaf number and R635 giving the lowest stem diameters seem consistent throughout the growing period since 20 days after sowing.

Evolution of leaf area, leaf number, plant height, and stem diameter during 54-day growing period of okra (Abelmoschus esculentus L.) plants. The bars represent standard errors.
3.2 Mineral content
The results related to the mineral content of our experiment are presented in Table 2. There was a significant difference in the nitrogen content of okra leaves among the three light treatments. Leaves of plants treated under B455 had greater nitrogen content than those under G522 light, and leaves of plants treated with B455 and R635 lights had similar level of nitrogen content. The phosphorus content of plants under the three light treatments was significantly different. Plants treated under R635 have the greatest phosphorus content followed by G522, and the lowest content is under B455. In the same tendency, we observed that the manganese content in leaves are significantly different among the three light treatments; leaves treated under R635 light had greater manganese content than those treated under B455 and G522 lights; the manganese content in leaves treated with G522 is higher than that in leaves treated with B455. Potassium, magnesium, and zinc contents of okra leaves treated under B455, R635, and G522 lights were not significantly different. Calcium contents in leaves were different among the three light treatments. Plants grown under R635 light have higher calcium content compared to B455 and G522, but there is no difference in the calcium content of leaves treated under B455 and G522 lights. Furthermore, results show differences in the sodium content of okra leaves between the three light treatments: leaves under G522 light show greater sodium contents than leaves under B455 but are not significantly different of leaves under R635 light; in addition, sodium contents of leaves under R635 and B455 were similar.
Mean (±SE) of nutrients contents measured on okra leaves irradiated under different light spectrum treatment. For each parameter, different letters indicate significant differences among treatments at p < 0.05 by Tukey’s test
| Light spectrum | Nutrients contents | |||||||||
|---|---|---|---|---|---|---|---|---|---|---|
| N (g 100 g−1) | P (g 100 g−1) | K (g 100 g−1) | Ca (g 100 g−1) | Mg (g 100 g−1) | Fe (mg kg−1) | Mn (mg kg−1) | Na (mg kg−1) | Zn (mg kg−1) | ||
| B455 | 6.07 ± 0.77b | 0.40 ± 0.01a | 2.44 ± 0.22a | 3.45 ± 0.31a | 0.47 ± 0.05a | 4.13 ± 2.08b | 4.86 ± 0.07a | 2.13 ± 0.04a | 6.29 ± 0.09a | |
| G522 | 3.97 ± 0.22b | 0.44 ± 0.01b | 3.15 ± 0.79a | 3.88 ± 0.24a | 0.49 ± 0.02a | 29.73 ± 13.78a | 5.44 ± 0.14a | 4.25 ± 0.94b | 6.17 ± 0.03a | |
| R635 | 4.49 ± 0.09ab | 0.49 ± 0.01c | 3.28 ± 0.35a | 5.01 ± 0.36b | 0.52 ± 0.02a | 2.9 ± 1.42ab | 6.37 ± 0.22c | 3.20 ± 0.05a | 6.16 ± 0.06a | |
| ANOVA | F(2;6) | 5.6019 | 27.3500 | 0.7679 | 6.8191 | 0.5689 | 3.5099 | 24.4584 | 3.8380 | 1.2140 |
| P | 0.0424 | 0.0009 | 0.5047 | 0.0285 | 0.5940 | 0.0979 | 0.0013 | 0.0844 | 0.3608 | |
4 Discussion
Okra preferably grows in fertile soil rich in organic matter. However, okra can be cultivated on a wide range of soil types, although rich, fertile soils are optimal (Lamont 1999; Fondio et al. 2007; Roy et al. 2014). The soil we used for our crop has a high CEC (17 cmol kg−1); the proportion of organic matter in the soil is 4.92% (is equal to %C × 1.72) with a high nitrogen content (0.3%); and the C/N ratio is approximately equal to 9.66. These properties mean that this soil is fertile and rich in the organic matter that can be mineralized easily (Boyer 1982). In addition, a correct pH guarantees an optimal absorption of nutrients. According to Lamont (1999), the optimum pH range for okra is 6.0–7.0. However, okra tolerates a wide range of soils with a pH ranging from 5.5 to 8.0 (Roy et al. 2014); the soil that we used, with a pH of 7.0, is in phase with these recommendations.
Light influences metabolite production in plant and can be used as an effective instrument for targeting metabolic modification in plants, including reduction or increase of nutrient accumulation (Liu et al. 2004). A change in the light environment to a specific wavelength induces a physiological change in the plant irradiated (Ouzounis et al. 2015). Thus, the light spectrum has an effect on plant physiology and metabolism. It was confirmed from our study that the highest manganese, phosphorus, and calcium contents in leaves were obtained under red light (R635). Highest nitrogen content in leaves was obtained under blue light (B455), which is not significantly different from that obtained under red light. The highest sodium content was observed under green light (G522) in comparison to blue light and red light. However, potassium, magnesium, and zinc contents were similar in all light treatments.
Both mineral deficiencies and toxicity or overabundance can reduce the plant growth (Levetin and McMahon 2008). This may be overcome by results from this study, revealing that selective light spectrum could play a role in the adjusted mineral contents.
Nitrogen (N) plays an essential role in the growth and development of plants. Many authors have established a link between nitrogen supply and photosynthesis. Nitrogen supply and allocation in plant leaves have a significant effect on the photosynthesis process by controlling the biosynthesis of photosystem I (PSI), photosystem II (PSII) and light-harvesting complexes (LHCs), cytochrome b6f complex, adenosine triphosphate synthase (ATP), and photosynthetic enzymes. Most plants will experience a decrease in the photosynthetic rate in case of a serious N deficiency (Mu and Chen 2020). Thus, a high photosynthetic rate may increase the nitrogen uptake in plants. Chlorophyll a (chl a), one of the main photosynthetic pigments, has its peak absorption in the blue and the red regions, with the blue being the most important; chl a absorption is very weak in the green region. This could lead to a high photosynthetic activity for plants under blue light and may explain why blue light induces the highest nitrogen uptake. The fact that plants irradiated with blue have the largest leaf area, highest plant height, and the most important FW and DW confirms the high photosynthetic activity under blue light.
Furthermore, experiments of the previous research have reported that the light spectrum has an effect on the oxidative metabolism of leaves; blue light inhibits senescence by keeping up a high level of catalase activity while, in contrary, there is a development of senescence symptoms under red light (Causin et al. 2006). However, it is well known that cell senescence induces a high accumulation of calcium; this may explain the lowest accumulation of calcium under blue light and the highest under red light. Due to the antagonism between calcium and iron during their ion interactions, the high accumulation of calcium under red light will reduce iron absorption, and this could explain why plants grown under red light have a low concentration of iron.
Our results have shown consistency with the previous studies on cucumber grown under different treatments of red and blue lights and also showed no differences in nitrogen concentration between blue light and red light irradiation; the same study also report that an increase in blue light tends to increase the nitrogen content in leaves (Hogewoning et al. 2010). No difference for nitrogen content in leaves of lettuce grown under red light compared to blue light was also observed in another study, and manganese and phosphorus concentrations were significantly higher under red light (Amoozgar et al. 2017). In the same direction, further studies on lettuce demonstrate that higher concentration of nitrogen was obtained under blue light or combined blue + red LEDs in comparison to other light environments (Shin et al. 2013), and red light highly affects the manganese concentration in lettuce leaves (Tremblay et al. 1987).
Zinc concentration of lettuce leaves grown under red light in comparison to blue light was reported also similar in previous studies (Amoozgar et al. 2017).
Furthermore, the light spectrum has a higher effect on the plant growth, plant morphology, and developmental traits (Ouzounis et al. 2015; Gupta and Agarwal 2017; Bantis et al. 2018). Indeed, the present study shows that okra plants grown under blue light have greater LA, height, and FW and DW than plants grown under red and green lights, which are similar. In fact, plant photoreceptors, cryptochromes, and phototropins absorb highly in the blue region of the visible light spectrum; cryptochromes are responsible for morphological responses such as stem elongation and leaf expansion; phototropins take part in the process of the controlling pigment content, in the optimization of harvesting light, and in the prevention of photoinhibition (Gupta and Agarwal 2017). Besides, the high content of nitrogen found in plants grown under blue light may also justify this positive morphological response; nitrogen is of vital importance for effective plant growth and development as it plays a significant role in the physiological and biochemical functions of plants (Leghari et al. 2016). Nitrogen supply will cause cell multiplication and, therefore, vegetative growth due to the formation of an auxin (indole acetic acid); it will also cause the multiplication of chloroplasts responsible for photosynthesis and the synthesis of carbohydrates that are subsequently transformed into amino acids and proteins. In the same direction, results highlighting the importance of blue light were previously reported. A study on cucumber, tomato, and chili transplants shows that the blue light causes an increase in the leaf area of these plants (Samuolienė et al. 2011). Another study on the effects of monochromatic light on cabbage shows that the blue light causes higher stem length than the red light on kunshin cultivar and show similarity for green and red light; leaf area of red cookie cultivar irradiated with blue light is greater than green, and furthermore, green and red lights have similar LA (Mizuno et al. 2009). Higher stem length leads to higher plant height as observed in our results for blue light. In red leaf lettuce, the leaf area, fresh weight, and dry matter weight of plants were higher under blue light than those grown under red light (Johkan et al. 2010). In addition, the study on lettuce shows that the supplemented blue light induces larger leaves than the supplemented red or green light (Chen et al. 2016). Blue light tends to produce higher plant biomass in cucumber leaves (Hogewoning et al. 2010).
In this study, we also demonstrate that the stem diameter of plants under blue and green lights are greater those under red light, and blue light and green light show similar stem diameter. In the same direction, the study on rapeseed plantlets showed that the blue light, in comparison with red light, has greater stem diameter and more important stomata opening (Li et al. 2013).
We also reported in this study that the leaf number of plants grown under red and green lights was similar, but they are both greater than blue light. This result is supported by the research done on lettuce, which report higher leaf number for plants supplemented with red light compared to blue light (Chen et al. 2016).
5 Conclusion
Our investigations revealed that B455 light has a better effect than both R635 and G522 at promoting plant height, leaf area, and fresh and dry weight of okra. High number of leaves can be achieved using R635 or G522 and high stem diameter can be obtained with B455 or G522. On the other hand, R635 was suitable than B455 or G522 in promoting higher concentration of phosphorus, manganese, and calcium. B455 was the most efficient for nitrogen accumulation, and G522 was the most efficient for higher sodium content.
These results are a step toward understanding the wide effect of monochromatic spectra on plant growth and their mineral nutrition. Moreover, results may be exploited for tailoring suitable light source with LEDs to optimize the plant growth and more specifically okra. Moreover, this study outcome may help overcome an eventual mineral deficiency or toxicity in plants. However, more studies are needed to validate the effects of monochromatic light spectrum on other vegetables. Besides, new horticultural lighting system having specific functionalities of plant mineral adjustment and growth and development adjustment should be developed and proposed to growers.
Acknowledgments
Sida (the Swedish International Development Cooperation Agency) through ISP (the International Science Programme, Uppsala University) is acknowledged for financial support. This work was also supported by the Institut National Polytechnique Felix Houphouët-Boigny (INP-HB) of Yamoussoukro. We would like to thank all colleagues from Department of Electrical and Electronic Engineering, from Laboratoire d’instrumentation, imagerie et spectroscopie (L2IS) and from Laboratoire de pédologie for their help in achieving this work.
-
Funding information: Sida (the Swedish International Development Cooperation Agency) through ISP (the International Science Programme, Uppsala University) is acknowledged for financial support. This work was also supported by the Institut National Polytechnique Felix Houphouët-Boigny (INP-HB) of Yamoussoukro.
-
Author contribution: BFD, CTH, WGD, DS, and JTZ: conceptualization; BFD, CTH, WGD, DS, and JTZ: formal analysis; BFD and WGD: investigation; BFD and CTH: project administration; BFD, CTH, WGD, DS, and JTZ: resources; BFD: writing original draft; BFD, CTH, WGD, DS, and JTZ: writing review and editing.
-
Conflict of interest: The authors state no conflict of interest.
-
Data availability statement: The datasets generated during and/or analyzed during the current study are available from the corresponding author on reasonable request.
References
[1] Amoozgar A, Mohammadi A, Sabzalian MR. Impact of light-emitting diode irradiation on photosynthesis, phytochemical composition and mineral element content of lettuce cv. Grizzly Photosynth. 2017 Mar 1;55(1):85–95.10.1007/s11099-016-0216-8Search in Google Scholar
[2] AOAC. Official method of analysis. Association of official analytical chemists, food composition, additives natural contaminant. Vol. 2, 15th edn. USA: Association of Official Analytical Chemists, Inc.; 1990.Search in Google Scholar
[3] Bantis F, Smirnakou S, Ouzounis T, Koukounaras A, Ntagkas N, Radoglou K. Current status and recent achievements in the field of horticulture with the use of light-emitting diodes (LEDs). Sci Hortic. 2018 May 17;235:437–51.10.1016/j.scienta.2018.02.058Search in Google Scholar
[4] Boyer J. Les sols ferralitiques. X: Facteurs de fertilite et utilisation des sols. Initiations-documentations Techniques Orstom. 1982;52. p. 384.Search in Google Scholar
[5] Causin HF, Jauregui RN, Barneix AJ. The effect of light spectral quality on leaf senescence and oxidative stress in wheat. Plant Sci. 2006 Jul 1;171(1):24–33.10.1016/j.plantsci.2006.02.009Search in Google Scholar
[6] Chen XL, Xue XZ, Guo WZ, Wang LC, Qiao XJ. Growth and nutritional properties of lettuce affected by mixed irradiation of white and supplemental light provided by light-emitting diode. Sci Hortic. 2016 Mar 8;200:111–8.10.1016/j.scienta.2016.01.007Search in Google Scholar
[7] Fondio L, Djidji AH, Kouamé C, Aïdara S, Hala N. Bien cultiver le gombo en Côte d’Ivoire. CNRA-CTA; 2007. p. 4.Search in Google Scholar
[8] Gupta SD, Agarwal A. Artificial lighting system for plant growth and development: chronological advancement, working principles, and comparative assessment. Light emitting diodes for agriculture. Singapore: Springer; 2017. p. 1–25.10.1007/978-981-10-5807-3_1Search in Google Scholar
[9] Hogewoning SW, Trouwborst G, Maljaars H, Poorter H, van Ieperen W, Harbinson J. Blue light dose – responses of leaf photosynthesis, morphology, and chemical composition of cucumis sativus grown under different combinations of red and blue light. J Exp Botany. 2010 Jun 1;61(11):3107–17.10.1093/jxb/erq132Search in Google Scholar PubMed PubMed Central
[10] Hoyt P, Bradfield R. Effect of varying leaf area by partial defoliation and plant density on dry matter production in corn 1. Agron J. 1962 Nov;54(6):523–5.10.2134/agronj1962.00021962005400060017xSearch in Google Scholar
[11] Johkan M, Shoji K, Goto F, Hashida SN, Yoshihara T. Blue light-emitting diode light irradiation of seedlings improves seedling quality and growth after transplanting in red leaf lettuce. HortScience. 2010 Dec 1;45(12):1809–14.10.21273/HORTSCI.45.12.1809Search in Google Scholar
[12] Kjeldahl C. A new method for the determination of nitrogen in organic matter. Z Anal Chem. 1883;22:366.10.1007/BF01338151Search in Google Scholar
[13] Lamont WJ. Okra – a versatile vegetable crop. HortTechnology. 1999 Jan 1;9(2):179–84.10.21273/HORTTECH.9.2.179Search in Google Scholar
[14] Leghari SJ, Wahocho NA, Laghari GM, Hafeez Laghari A, Mustafa Bhabhan G, Hussain Talpur K, et al. Role of nitrogen for plant growth and development: a review. Adv Environ Biol. 2016 Sep 1;10(9):209–19.Search in Google Scholar
[15] Levetin E, McMahon K. Plants and society. 5th edn. New York: McGraw-Hill Companies, Higher Education; 2008.Search in Google Scholar
[16] Li H, Tang C, Xu Z. The effects of different light qualities on rapeseed (Brassica napus L.) plantlet growth and morphogenesis in vitro. Sci Hortic. 2013 Feb 4;150:117–24.10.1016/j.scienta.2012.10.009Search in Google Scholar
[17] Liu Y, Roof S, Ye Z, Barry C, Van Tuinen A, Vrebalov J, et al. Manipulation of light signal transduction as a means of modifying fruit nutritional quality in tomato. Proc Natl Acad Sci. 2004 Jun 29;101(26):9897–902.10.1073/pnas.0400935101Search in Google Scholar PubMed PubMed Central
[18] Lu N, Mitchell CA. Supplemental lighting for greenhouse-grown fruiting vegetables. LED lighting for urban agriculture. Singapore: Springer; 2016. p. 219–32.10.1007/978-981-10-1848-0_16Search in Google Scholar
[19] Mitchell CA, Dzakovich MP, Gomez C, Lopez R, Burr JF, Hernández R, et al. Light-emitting diodes in horticulture. Hortic Rev. 2015 Aug 19;43:1–87.10.1002/9781119107781.ch01Search in Google Scholar
[20] Mizuno T, Amaki W, Watanabe H. Effects of monochromatic light irradiation by LED on the growth and anthocyanin contents in leaves of cabbage seedlings. Acta Hortic. 2009 Nov 15;907:179–84.10.17660/ActaHortic.2011.907.25Search in Google Scholar
[21] Mu X, Chen Y. The physiological response of photosynthesis to nitrogen deficiency. Plant Physiol Biochem. 2020 Nov 17;158:76–82.10.1016/j.plaphy.2020.11.019Search in Google Scholar PubMed
[22] Nelson JA, Bugbee B. Spectral characteristics of lamp types for plant biology. Poster session presented at: NCERA 101 2013 annual meeting; 2013 Mar.Search in Google Scholar
[23] Olle M, Viršile A. The effects of light-emitting diode lighting on greenhouse plant growth and quality. Agric Food Sci. 2013 Jun 26;22(2):223–34.10.23986/afsci.7897Search in Google Scholar
[24] Ouzounis T, Rosenqvist E, Ottosen CO. Spectral effects of artificial light on plant physiology and secondary metabolism: a review. HortScience. 2015 Aug 1;50(8):1128–35.10.21273/HORTSCI.50.8.1128Search in Google Scholar
[25] Pinta M. Méthodes de référence pour la détermination des éléments minéraux dans les végétaux. Détermination des éléments Ca, Mg, Fe, Mn, Zn et Cu par absorption atomique. Orstom, Bondy, France: Oleagineux; 1973;28(2): p. 87–92.Search in Google Scholar
[26] Roy A, Shrivastava SL, Mandal SM. Functional properties of Okra Abelmoschus esculentus L.(Moench): traditional claims and scientific evidences. Plant Sci Today. 2014 Jul 16;1(3):121–30.10.14719/pst.2014.1.3.63Search in Google Scholar
[27] Samuolienė G, Brazaitytė A, Duchovskis P, Viršilė A, Jankauskienė J, Sirtautas R, et al. Cultivation of vegetable transplants using solid-state lamps for the short-wavelength supplementary lighting in greenhouses. Acta Hortic. 2011 Jun 5;952:885–92.10.17660/ActaHortic.2012.952.112Search in Google Scholar
[28] Samuolienė G, Brazaitytė A, Sirtautas R, Novičkovas A, Duchovskis P. The effect of supplementary LED lighting on the antioxidant and nutritional properties of lettuce. Acta Hortic. 2011 Jun 5;952:835–41.10.17660/ActaHortic.2012.952.106Search in Google Scholar
[29] Schuerger AC, Brown CS, Stryjewski EC. Anatomical features of pepper plants (Capsicum annuumL.) grown under red light-emitting diodes supplemented with blue or far-red light. Ann Botany. 1997 Mar 1;79(3):273–82.10.1006/anbo.1996.0341Search in Google Scholar PubMed
[30] Shin YS, Lee MJ, Lee ES, Ahn JH, Do HW, Choi DW, et al. Effect of light emitting diodes treatment on growth and mineral contents of lettuce (Lactuca sativa L.‘Chung Chi Ma’). Korea Org J Bus Soc. 2013 Dec 30;21(4):659–68.10.11625/KJOA.2013.21.4.659Search in Google Scholar
[31] Thomas GW. Exchangeable cations. In: Page AL. Methods of soil analysis, part 2: chemical and microbiological properties. Madison, WI: Am Soc Agron, Inc; 1982. p. 159.10.2134/agronmonogr9.2.2ed.c9Search in Google Scholar
[32] Tremblay N, Trudel MJ, Gosselin A. Influence of irradiance-photoperiod combination on tomato mineral nutrition. Can J Plant Sci. 1987;67(2):559–66.10.4141/cjps87-078Search in Google Scholar
[33] Walkley A, Black IA. An examination of the Degtjareff method for determining soil organic matter, and a proposed modification of the chromic acid titration method. Soil Sci. 1934 Jan 1;37(1):29–38.10.1097/00010694-193401000-00003Search in Google Scholar
[34] Wallace C, Both AJ. Evaluating operating characteristics of light sources for horticultural applications. Belgium: Acta Hortic. 1134; 2016 May 22. p. 435–44.10.17660/ActaHortic.2016.1134.55Search in Google Scholar
© 2021 Banah Florent Degni et al., published by De Gruyter
This work is licensed under the Creative Commons Attribution 4.0 International License.
Articles in the same Issue
- Regular Articles
- The nutmeg seedlings growth under pot culture with biofertilizers inoculation
- Recovery of heather (Calluna vulgaris) flowering in northern Finland
- Soil microbiome of different-aged stages of self-restoration of ecosystems on the mining heaps of limestone quarry (Elizavetino, Leningrad region)
- Conversion of land use and household livelihoods in Vietnam: A study in Nghe An
- Foliar selenium application for improving drought tolerance of sesame (Sesamum indicum L.)
- Assessment of deficit irrigation efficiency. Case study: Middle Sebou and Innaouene downstream
- Integrated weed management practices and sustainable food production among farmers in Kwara State, Nigeria
- Determination of morphological changes using gamma irradiation technology on capsicum specie varieties
- Use of maturity traits to identify optimal harvestable maturity of banana Musa AAB cv. “Embul” in dry zone of Sri Lanka
- Theory vs practice: Patterns of the ASEAN-10 agri-food trade
- Intake, nutrient digestibility, nitrogen, and mineral balance of water-restricted Xhosa goats supplemented with vitamin C
- Physicochemical properties of South African prickly pear fruit and peel: Extraction and characterisation of pectin from the peel
- An evaluation of permanent crops: Evidence from the “Plant the Future” project, Georgia
- Probing of the genetic components of seedling emergence traits as selection indices, and correlation with grain yield characteristics of some tropical maize varieties
- Increase in the antioxidant content in biscuits by infusions or Prosopis chilensis pod flour
- Altitude, shading, and management intensity effect on Arabica coffee yields in Aceh, Indonesia
- Climate change adaptation and cocoa farm rehabilitation behaviour in Ahafo Ano North District of Ashanti region, Ghana
- Effect of light spectrum on growth, development, and mineral contents of okra (Abelmoschus esculentus L.)
- An assessment of broiler value chain in Nigeria
- Storage root yield and sweetness level selection for new honey sweet potato (Ipomoea batatas [L.] Lam)
- Direct financial cost of weed control in smallholder rubber plantations
- Combined application of poultry litter biochar and NPK fertilizer improves cabbage yield and soil chemical properties
- How does willingness and ability to pay of palm oil smallholders affect their willingness to participate in Indonesian sustainable palm oil certification? Empirical evidence from North Sumatra
- Investigation of the adhesion performance of some fast-growing wood species based on their wettability
- The choice of information sources and marketing channel of Bali cattle farmers in Bali Province
- Preliminary phytochemical screening and in vitro antibacterial activity of Plumbago indica (Laal chitrak) root extracts against drug-resistant Escherichia coli and Klebsiella pneumoniae
- Agronomic and economic performance of maize (Zea mays L.) as influenced by seed bed configuration and weed control treatments
- Selection and characterization of siderophores of pathogenic Escherichia coli intestinal and extraintestinal isolates
- Effectiveness of cowpea (Vigna unguiculata L.) living mulch on weed suppression and yield of maize (Zea mays L.)
- Cow milk and its dairy products ameliorate bone toxicity in the Coragen-induced rat model
- The motives of South African farmers for offering agri-tourism
- Morphophysiological changes and reactive oxygen species metabolism in Corchorus olitorius L. under different abiotic stresses
- Nanocomposite coatings for hatching eggs and table eggs
- Climate change stressors affecting household food security among Kimandi-Wanyaga smallholder farmers in Murang’a County, Kenya
- Genetic diversity of Omani barley (Hordeum vulgare L.) germplasm
- Productivity and profitability of organic and conventional potato (Solanum tuberosum L.) production in West-Central Bhutan
- Response of watermelon growth, yield, and quality to plant density and variety in Northwest Ethiopia
- Sex allocation and field population sex ratio of Apanteles taragamae Viereck (Hymenoptera: Braconidae), a larval parasitoid of the cucumber moth Diaphania indica Saunders (Lepidoptera: Crambidae)
- Comparison of total nutrient recovery in aquaponics and conventional aquaculture systems
- Relationships between soil salinity and economic dynamics: Main highlights from literature
- Effects of soil amendments on selected soil chemical properties and productivity of tef (Eragrostis tef [Zucc.] Trotter) in the highlands of northwest Ethiopia
- Influence of integrated soil fertilization on the productivity and economic return of garlic (Allium sativum L.) and soil fertility in northwest Ethiopian highlands
- Physiological and biochemical responses of onion plants to deficit irrigation and humic acid application
- The incorporation of Moringa oleifera leaves powder in mutton patties: Influence on nutritional value, technological quality, and sensory acceptability
- Response of biomass, grain production, and sugar content of four sorghum plant varieties (Sorghum bicolor (L.) Moench) to different plant densities
- Assessment of potentials of Moringa oleifera seed oil in enhancing the frying quality of soybean oil
- Influences of spacing on yield and root size of carrot (Daucus carota L.) under ridge-furrow production
- Review Articles
- A review of upgradation of energy-efficient sustainable commercial greenhouses in Middle East climatic conditions
- Plantago lanceolata – An overview of its agronomically and healing valuable features
- Special Issue on CERNAS 2020
- The role of edible insects to mitigate challenges for sustainability
- Morphology and structure of acorn starches isolated by enzymatic and alkaline methods
- Evaluation of FT-Raman and FTIR-ATR spectroscopy for the quality evaluation of Lavandula spp. Honey
- Factors affecting eating habits and knowledge of edible flowers in different countries
- Ideal pH for the adsorption of metal ions Cr6+, Ni2+, Pb2+ in aqueous solution with different adsorbent materials
- Determination of drying kinetics, specific energy consumption, shrinkage, and colour properties of pomegranate arils submitted to microwave and convective drying
- Eating habits and food literacy: Study involving a sample of Portuguese adolescents
- Characterization of dairy sheep farms in the Serra da Estrela PDO region
- Development and characterization of healthy gummy jellies containing natural fruits
- Agro-ecological services delivered by legume cover crops grown in succession with grain corn crops in the Mediterranean region
- Special issue on CERNAS 2020: Message from the Editor
- Special Issue on ICESAT 2019
- Climate field schools to increase farmers’ adaptive capacity to climate change in the southern coastline of Java
- Special Issue on the International Conference on Agribusiness and Rural Development - IConARD 2020
- Supply chain efficiency of red chili based on the performance measurement system in Yogyakarta, Indonesia
- Sustainable value of rice farm based on economic efficiency in Yogyakarta, Indonesia
- Enhancing the performance of conventional coffee beans drying with low-temperature geothermal energy by applying HPHE: An experimental study
- Opportunities of using Spirulina platensis as homemade natural dyes for textiles
- Special Issue on the APA 2019 - 11th Triennial Conference
- Expanding industrial uses of sweetpotato for food security and poverty alleviation
- A survey on potato productivity, cultivation and management constraints in Mbala district of Northern Zambia
- Orange-fleshed sweetpotato: Strategies and lessons learned for achieving food security and health at scale in Sub-Saharan Africa
- Growth and yield of potato (Solanum tuberosum L.) as affected by storage conditions and storage duration in Jos, Plateau State, Nigeria
- Special Issue on the International Conference on Multidisciplinary Research - Agrarian Sciences
- Application of nanotechnologies along the food supply chain
- Special Issue on Agriculture, Climate Change, Information Technology, Food and Animal (ACIFAS 2020)
- The use of endophytic growth-promoting bacteria to alleviate salinity impact and enhance the chlorophyll, N uptake, and growth of rice seedling
Articles in the same Issue
- Regular Articles
- The nutmeg seedlings growth under pot culture with biofertilizers inoculation
- Recovery of heather (Calluna vulgaris) flowering in northern Finland
- Soil microbiome of different-aged stages of self-restoration of ecosystems on the mining heaps of limestone quarry (Elizavetino, Leningrad region)
- Conversion of land use and household livelihoods in Vietnam: A study in Nghe An
- Foliar selenium application for improving drought tolerance of sesame (Sesamum indicum L.)
- Assessment of deficit irrigation efficiency. Case study: Middle Sebou and Innaouene downstream
- Integrated weed management practices and sustainable food production among farmers in Kwara State, Nigeria
- Determination of morphological changes using gamma irradiation technology on capsicum specie varieties
- Use of maturity traits to identify optimal harvestable maturity of banana Musa AAB cv. “Embul” in dry zone of Sri Lanka
- Theory vs practice: Patterns of the ASEAN-10 agri-food trade
- Intake, nutrient digestibility, nitrogen, and mineral balance of water-restricted Xhosa goats supplemented with vitamin C
- Physicochemical properties of South African prickly pear fruit and peel: Extraction and characterisation of pectin from the peel
- An evaluation of permanent crops: Evidence from the “Plant the Future” project, Georgia
- Probing of the genetic components of seedling emergence traits as selection indices, and correlation with grain yield characteristics of some tropical maize varieties
- Increase in the antioxidant content in biscuits by infusions or Prosopis chilensis pod flour
- Altitude, shading, and management intensity effect on Arabica coffee yields in Aceh, Indonesia
- Climate change adaptation and cocoa farm rehabilitation behaviour in Ahafo Ano North District of Ashanti region, Ghana
- Effect of light spectrum on growth, development, and mineral contents of okra (Abelmoschus esculentus L.)
- An assessment of broiler value chain in Nigeria
- Storage root yield and sweetness level selection for new honey sweet potato (Ipomoea batatas [L.] Lam)
- Direct financial cost of weed control in smallholder rubber plantations
- Combined application of poultry litter biochar and NPK fertilizer improves cabbage yield and soil chemical properties
- How does willingness and ability to pay of palm oil smallholders affect their willingness to participate in Indonesian sustainable palm oil certification? Empirical evidence from North Sumatra
- Investigation of the adhesion performance of some fast-growing wood species based on their wettability
- The choice of information sources and marketing channel of Bali cattle farmers in Bali Province
- Preliminary phytochemical screening and in vitro antibacterial activity of Plumbago indica (Laal chitrak) root extracts against drug-resistant Escherichia coli and Klebsiella pneumoniae
- Agronomic and economic performance of maize (Zea mays L.) as influenced by seed bed configuration and weed control treatments
- Selection and characterization of siderophores of pathogenic Escherichia coli intestinal and extraintestinal isolates
- Effectiveness of cowpea (Vigna unguiculata L.) living mulch on weed suppression and yield of maize (Zea mays L.)
- Cow milk and its dairy products ameliorate bone toxicity in the Coragen-induced rat model
- The motives of South African farmers for offering agri-tourism
- Morphophysiological changes and reactive oxygen species metabolism in Corchorus olitorius L. under different abiotic stresses
- Nanocomposite coatings for hatching eggs and table eggs
- Climate change stressors affecting household food security among Kimandi-Wanyaga smallholder farmers in Murang’a County, Kenya
- Genetic diversity of Omani barley (Hordeum vulgare L.) germplasm
- Productivity and profitability of organic and conventional potato (Solanum tuberosum L.) production in West-Central Bhutan
- Response of watermelon growth, yield, and quality to plant density and variety in Northwest Ethiopia
- Sex allocation and field population sex ratio of Apanteles taragamae Viereck (Hymenoptera: Braconidae), a larval parasitoid of the cucumber moth Diaphania indica Saunders (Lepidoptera: Crambidae)
- Comparison of total nutrient recovery in aquaponics and conventional aquaculture systems
- Relationships between soil salinity and economic dynamics: Main highlights from literature
- Effects of soil amendments on selected soil chemical properties and productivity of tef (Eragrostis tef [Zucc.] Trotter) in the highlands of northwest Ethiopia
- Influence of integrated soil fertilization on the productivity and economic return of garlic (Allium sativum L.) and soil fertility in northwest Ethiopian highlands
- Physiological and biochemical responses of onion plants to deficit irrigation and humic acid application
- The incorporation of Moringa oleifera leaves powder in mutton patties: Influence on nutritional value, technological quality, and sensory acceptability
- Response of biomass, grain production, and sugar content of four sorghum plant varieties (Sorghum bicolor (L.) Moench) to different plant densities
- Assessment of potentials of Moringa oleifera seed oil in enhancing the frying quality of soybean oil
- Influences of spacing on yield and root size of carrot (Daucus carota L.) under ridge-furrow production
- Review Articles
- A review of upgradation of energy-efficient sustainable commercial greenhouses in Middle East climatic conditions
- Plantago lanceolata – An overview of its agronomically and healing valuable features
- Special Issue on CERNAS 2020
- The role of edible insects to mitigate challenges for sustainability
- Morphology and structure of acorn starches isolated by enzymatic and alkaline methods
- Evaluation of FT-Raman and FTIR-ATR spectroscopy for the quality evaluation of Lavandula spp. Honey
- Factors affecting eating habits and knowledge of edible flowers in different countries
- Ideal pH for the adsorption of metal ions Cr6+, Ni2+, Pb2+ in aqueous solution with different adsorbent materials
- Determination of drying kinetics, specific energy consumption, shrinkage, and colour properties of pomegranate arils submitted to microwave and convective drying
- Eating habits and food literacy: Study involving a sample of Portuguese adolescents
- Characterization of dairy sheep farms in the Serra da Estrela PDO region
- Development and characterization of healthy gummy jellies containing natural fruits
- Agro-ecological services delivered by legume cover crops grown in succession with grain corn crops in the Mediterranean region
- Special issue on CERNAS 2020: Message from the Editor
- Special Issue on ICESAT 2019
- Climate field schools to increase farmers’ adaptive capacity to climate change in the southern coastline of Java
- Special Issue on the International Conference on Agribusiness and Rural Development - IConARD 2020
- Supply chain efficiency of red chili based on the performance measurement system in Yogyakarta, Indonesia
- Sustainable value of rice farm based on economic efficiency in Yogyakarta, Indonesia
- Enhancing the performance of conventional coffee beans drying with low-temperature geothermal energy by applying HPHE: An experimental study
- Opportunities of using Spirulina platensis as homemade natural dyes for textiles
- Special Issue on the APA 2019 - 11th Triennial Conference
- Expanding industrial uses of sweetpotato for food security and poverty alleviation
- A survey on potato productivity, cultivation and management constraints in Mbala district of Northern Zambia
- Orange-fleshed sweetpotato: Strategies and lessons learned for achieving food security and health at scale in Sub-Saharan Africa
- Growth and yield of potato (Solanum tuberosum L.) as affected by storage conditions and storage duration in Jos, Plateau State, Nigeria
- Special Issue on the International Conference on Multidisciplinary Research - Agrarian Sciences
- Application of nanotechnologies along the food supply chain
- Special Issue on Agriculture, Climate Change, Information Technology, Food and Animal (ACIFAS 2020)
- The use of endophytic growth-promoting bacteria to alleviate salinity impact and enhance the chlorophyll, N uptake, and growth of rice seedling