Morphophysiological changes and reactive oxygen species metabolism in Corchorus olitorius L. under different abiotic stresses
-
Khussboo Rahman
, Mira Rahman , Naznin Ahmed , Md. Mahabub Alam , Anisur Rahman , Md. Mahbubul Islam and Mirza Hasanuzzaman
Abstract
Abiotic stress has become an alarming issue for plant survival due to the constant changes in the environment. Abiotic stresses such as drought, salt, waterlogging, and heavy metals largely influence plant growth and development that finally reduce crop productivity. The present study was carried out to investigate the responses of jute (Corchorus olitorius cv. O-9897) plant under different abiotic stresses. At 15th days after sowing plants were exposed to different abiotic stresses for various duration. Two doses of NaCl (200 and 400 mM) were applied to impose salt stress, while two doses of CdCl2 (2 and 4 mM) were applied for cadmium (Cd) stress. Waterlogging stress was applied for 5 and 15 days. Whereas drought stress was imposed on plants for 10 and 15 days. Leaf relative water content, SPAD value, plant height, above ground fresh and dry weight, leaf area, and stem diameter decreased upon exposure to salt, water deficit, Cd, and waterlogging stresses. These abiotic stresses resulted in oxidative damage which was evident by the increased levels of lipid peroxidation, H2O2, and electrolyte leakage (EL) together with altered antioxidant enzymes activities and glyoxalase system which are crucial for plants to fight against oxidative damage. Both duration of waterlogging and drought stress drastically affected plant morphophysiology, whereas C. olitorius could tolerate moderate level of salt (200 mM NaCl) and Cd (2 mM CdCl2). So the present study reveals that abiotic stresses cause substantial damages to the morphophysiology and oxidative stress tolerance of C. olitorius where the higher doses of NaCl and CdCl2 as well as the increased duration of waterlogging and drought resulted in more deleterious effect.
1 Introduction
Stressful environmental conditions continuously create unfavorable conditions for plants and lead plants toward physiological and biochemical changes [1]. When plants are exposed to abiotic stresses such as drought, waterlogging, extreme temperatures, salinity, or metal/metalloid stresses plant growth, physiology, metabolism, productivity and every aspect of growth and development are negatively affected which can reduce yield up to 70% [2]. Plants produce excessive reactive oxygen species (ROS) in stress condition that damage membranes, photosynthetic apparatus, and different functional elements of plants [3]. Excess accumulation of ROS is marked as a stress indicator in plants which demolishes the balance between ROS production and activity of antioxidant defense system and causes cell damage in plants [4]. Hasanuzzaman et al. [5] stated that prolonged exposure to stress condition may cause cell death in plants. To avoid cell damage and death, plants increase the activities of antioxidant enzymes which is considered as one of the abiotic stress tolerance strategies of plants.
Jute (Corchorus spp.) is a tropical crop and cultivated mostly in Asia and African continents. Indo-Bangladesh subcontinent is considered as the best region for commercial jute cultivation [6]. Other major jute producing countries are China, Thailand, Myanmar, Indonesia, Brazil, and Nepal [7]. Due to alluvial type soil and sufficient rainfall, delta Ganga is considered as the best region for jute cultivation [8]. Though jute is a water loving plant at mature stage, at seedling stage it is sensitive to excess water stress and may be unable to complete its life cycle [9]. Salt stress reduces plant growth and affects germination to a great extent [10]. It also causes reduction in stem diameter which ultimately reduces yield and deteriorates fiber quality. Excess accumulation of ROS increases malondialdehyde (MDA) content and alters the activities of antioxidant enzymes [11]. Drought stress reduces leaf area of jute, decreases net photosynthesis rate, and causes growth reduction [12]. It also reduces fiber yield and produces low quality fiber [13]. When jute is exposed to cadmium (Cd) contaminated soil, physiological and biochemical processes of jute are adversely affected [14].
Though jute is one of the most important cash crop in Bangladesh and parts of India, there are very few literature regarding jute responses to different abiotic stresses. Therefore, this study has been conducted on the morphophysiological and antioxidative responses of C. olitorius plant to various abiotic stresses viz., drought, salinity, Cd, and waterlogging.
2 Materials and methods
2.1 Plant materials and stress treatments
Healthy, matured, and uniform seeds of jute (C. olitorius cv. O-9897) were used for conducting the experiment. Seeds were sown in plastic pots (14 L) where organic manure, urea, triple super phosphate, and muriate of potash were used as per recommendation of Islam [15]. Thinning, weeding, and other intercultural operations were done when it was needed and 12 plants were allowed to grow per pot. At 15 days after sowing (DAS), plants were exposed in nine treatments viz., control, two doses of drought (10 days of water deficit; D1 and 15 days of water deficit; D2), salt (200 mM NaCl; S1 and 400 mM NaCl; S2), Cd stress (2 mM CdCl2; Cd1 and 4 mM CdCl2; Cd2), and waterlogging (5 days of waterlogging; WL1 and 15 days of waterlogging; WL2). Here first dose of each treatment was termed as moderate one and second dose was termed as severe. Plants were exposed to salt and Cd treatments for 15 days. All data were collected from 30-days-old plant. The experiment was held in randomized complete block design with three replications.
2.2 Plant height and biomass
For measuring plant height, three plants were selected from each pot and average height was taken.
From each pot, randomly three plants were uprooted, cleaned to remove soil, and weighed in a balance and then average was calculated to get fresh weight (FW) plant−1. After weighing FW, samples were dried in an electric oven maintaining 80°C for 48 h. Then, the samples were weighed in an electric balance and average was considered as dry weight (DW) plant−1.
2.3 Leaf area
For leaf area measurement, first leaf images were taken by a digital camera and the area was calculated using Image-J software [16].
2.4 SPAD value
From each pot, five leaves were randomly selected and with SPAD meter (atLEAF, FT Green LLC, USA) and atLEAF value was taken. Then it was averaged and SPAD value was measured by the conversion of atLEAF value into SPAD units.
2.5 Leaf relative water content (RWC)
RWC of leaf was measured following the procedure of Barrs and Weatherly [17]. Whole leaf discs were weighed as FW and then dipped into distilled water in Petri dishes and kept in a dark place. After 24 h, excess surface water was removed and leaf discs were weighed again which were considered as turgid weight (TW). Then, after drying at 80°C for 48 h DW was measured. Leaf RWC was calculated using the following formula:
2.6 Stem diameter
Stem diameter of plants was recorded after the duration of stress treatment was completed. Stem diameter was taken by using slide calipers.
2.7 Measurement of lipid peroxidation and hydrogen peroxide content
The lipid peroxidation level was measured in terms of MDA content following the method of Heath and Packer [18]. The leaf samples were extracted by using trichloroacetic acid (TCA) and centrifuged at 11,500 × g. The collected supernatant was mixed with thiobarbituric acid reagent. The spectrophotometric absorbance was recorded at 532 nm and corrected at 600 nm.
Following the method of Yu et al. [19], H2O2 was assayed where leaf samples were homogenized by using TCA and centrifuged at 11,500 × g. Leaf extracts were mixed with potassium phosphate (K-P) buffer (pH 7.0) and potassium iodide (KI). Optical absorption of the supernatant was measured spectrophotometrically at 390 nm to determine the H2O2 content.
2.8 Estimation of electrolyte leakage (EL)
EL was calculated following the method of Dionisio-Sese and Tobita [20]. Smaller pieces of leaf were put into falcon tubes containing deionized H2O and heated at 40°C. After cooling at room temperature, EC1 was measured using HI-993310 electrical conductivity meter (Hanna, USA). The falcon tubes were again heated at 121°C and after cooling, the final EC2 was measured. By using the following formula EL was determined:
2.9 Leaf extraction for determination of protein and enzyme activity
By following the method of Hasanuzzaman et al. [21], leaf sample was homogenized in an ice-cold extraction buffer containing K-P buffer (pH 7.0), ascorbate (AsA), KCl, β-mercaptoethanol, and glycerol. The mixture was centrifuged at 11,500 × g for 15 min and the supernatants were collected and then used for determination of enzyme activity. Throughout the overall procedure, 0–4°C temperature was maintained.
2.10 Protein determination
Protein content from enzyme extraction was estimated spectrophotometrically by using a standard curve of known concentration prepared from bovine serum albumin [22].
2.11 Determination of enzyme activities
Ascorbate peroxidase (APX, EC: 1.11.1.11) activity was assayed according to the method of Nakano and Asada [23], where the reaction reagent contained K-P buffer (pH 7.0), reduced AsA, ethylenediaminetetraacetic acid (EDTA), H2O2, and enzyme solution. Decreased absorbance was observed at 290 nm and computed using 2.8 mM–1 cm–1 as the extinction coefficient.
Monodehydroascorbate reductase (MDHAR, EC: 1.6.5.4) activity was estimated following Hossain et al. [24], where the reaction mixture comprised tris-HCl buffer (pH 7.5), AsA, ascorbate oxidase, nicotinamide adenine dinucleotide phosphate (NADPH), and enzyme solution. Absorbance was recorded at 340 nm and 6.2 mM–1 cm–1 was used as the extinction coefficient.
Dehydroascorbate reductase (DHAR, EC: 1.8.5.1) activity was determined following the method of Nakano and Asada [23], where K-P buffer (pH 7.0), reduced glutathione (GSH), dehydroascorbate (DHA), EDTA, and enzyme solution were mixed to make a reaction solution. The activity of DHAR was estimated by observing the absorbance at 265 nm. Extinction coefficient of 14 mM–1 cm–1 was used during the enzyme calculation.
Glutathione reductase (GR, EC: 1.6.4.2) activity was assayed following Hasanuzzaman et al. [21], where the reaction mixture solution comprised K-P buffer (pH 7), oxidized glutathione (GSSG), EDTA, NADPH, and enzyme solution. The decrease in absorbance was recorded at 340 nm and enzyme activity was calculated using 6.2 mM–1 cm–1 as the extinction coefficient.
Glutathione S-transferase (GST, EC: 2.5.1.18) activity was estimated according to Nahar et al. [25], where the assay solution comprised tris-HCl buffer (pH 6.5), 1-chloro-2,4-dinitrobenzene (CDNB), GSH, and enzyme solution. The activity was obtained by observing the increase in absorbance at 340 nm and using 9.6 mM–1 cm–1 as the extinction coefficient.
Glutathione peroxidase (GPX, EC: 1.11.1.9) activity was assayed following the method described by Nahar et al. [25], where the reaction solution contained K-P buffer (pH 7), GSH, EDTA, GR, sodium azide (NaN3), NADPH, H2O2, and enzyme solution. The activity was computed by observing the absorbance at 340 nm. Extinction coefficient of 6.62 mM–1 cm–1 was used during the calculation of enzyme activity.
Catalase (CAT, EC: 1.11.1.6) activity was measured by using a reaction mixture containing K-P buffer (pH 7.0), H2O2, and enzyme solution. The decrease in absorbance was observed at 240 nm and computed using 39.4 M–1 cm–1 as the extinction coefficient [26].
Glyoxalase I (Gly I, EC: 4.4.1.5) activity was determined using the method described by Hasanuzzaman et al. [27], where the reaction solution contained K-P buffer (pH 7.0), GSH, magnesium sulfate (MgSO4), and methylglyoxal (MG). Increased absorbance was observed at 240 nm using 3.37 mM–1 cm–1 as the extinction coefficient.
Glyoxalase II (Gly II, EC: 3.1.2.6) activity was measured according to Hasanuzzaman et al. [21], where the assay buffer contained tris-HCl buffer (pH 7.2), 5,5′-dithiobis (2-nitrobenzoic acid) (DTNB), and S-d-lactoylglutathione (SLG). The activity was monitored at 412 nm by using an extinction coefficient of 13.6 mM–1 cm–1.
2.12 Statistical analysis
Data accumulated from different parameters were subjected to analysis of variance (ANOVA) using the software CoStat v.6.400 [28] and mean separation was compared by Least Significant Difference (LSD) at 5% level of significance. Correlation analysis was done considering 1% level of significance by using SPSS v.27 [29].
3 Results
3.1 Plant height, biomass, and leaf area
Plant height decreased upon exposure to different abiotic stresses (Figure 1a). Plant height decreased by 8 and 28% in moderate and severe doses of salt stress, respectively. However, 13 and 16% reduction in plant height was also observed in mild and severe stresses of drought, respectively. Moderate (8%) and severe (25%) doses of Cd also caused reduction in plant height. In moderate waterlogging stress, plant height reduced by 38%; however, maximum reduction (41%) was observed in severe waterlogging stress.

Plant height (a), FW (b), DW (c), and leaf area (d) of C. olitorius plants affected by different abiotic stresses. S1, S2, D1, D2, Cd1, Cd2, WL1, and WL2 represent 200 mM of NaCl, 400 mM of NaCl, 10 days of water deficit, 15 days of water deficit, 2 mM of CdCl2, 4 mM of CdCl2, 5 days of waterlogging, and 15 days of waterlogging, respectively. Mean value (±SD) was calculated from three replicates for each treatment. Values in a column with different letters are significantly different at p ≤ 0.05 applying LSD test.
In this study, a sharp decrease in above ground FW was noticed in both doses of treatments (Figure 1b). During exposure to salt, drought, and Cd stresses, above ground FW decreased by 16, 22, and 20% in moderate level and 35, 30, and 26% in severe level of stress, respectively, over control. Above ground FW reduced by 35 and 38% in WL1 and WL2, respectively.
A sharp decrease in above ground DW was noticed in both doses of treatments. Severe level of salt, drought, and Cd stresses reduced DW by 26, 16, and 19%, respectively, over control (Figure 1c). Above ground DW reduced by 45 and 48% in WL1 and WL2, respectively, and both were statistically similar.
Leaf area showed completely different responses at different abiotic stresses (Figure 1d). Upon exposure to different levels of Cd stress, leaf area showed no sharp changes. Only severe levels of salinity and waterlogging sharply reduced leaf area by 28 and 21%, respectively. However, drought stress reduced leaf area at both levels of stress (16 and 36%).
3.2 SPAD value
Reduction in SPAD value was observed in all abiotic stresses (Figure 2). However, remarkable reduction was observed in WL2 compared to other stresses. SPAD value decreased by 6 and 9% at short- and long-terms of water deficit condition and by 5, 8, 10, 17, 29, and 31% in S1, S2, Cd1, Cd2, WL1, and WL2, respectively over control.

SPAD value of C. olitorius plants affected by different abiotic stresses. S1, S2, D1, D2, Cd1, Cd2, WL1, and WL2 represent 200 mM of NaCl, 400 mM of NaCl, 10 days of water deficit, 15 days of water deficit, 2 mM of CdCl2, 4 mM of CdCl2, 5 days of waterlogging, and 15 days of waterlogging, respectively. Mean value (±SD) was calculated from three replicates for each treatment. Values in a column with different letters are significantly different at p ≤ 0.05 applying LSD test.
3.3 Leaf RWC
Exposure to different abiotic stresses resulted in reduction in RWC at any level of treatments (except in WL1). Both D1 and D2 reduced RWC by 16 and 23%, respectively. However, RWC reduced by 16, 11, and 8% in Cd1, Cd2, and WL2, respectively. Drastic reduction was observed in both salt stresses by 23 and 25% (Figure 3).

RWC of C. olitorius plants affected by different abiotic stresses. S1, S2, D1, D2, Cd1, Cd2, WL1, and WL2 represent 200 mM of NaCl, 400 mM of NaCl, 10 days of water deficit, 15 days of water deficit, 2 mM of CdCl2, 4 mM of CdCl2, 5 days of waterlogging, and 15 days of waterlogging, respectively. Mean value (±SD) was calculated from three replicates for each treatment. Values in a column with different letters are significantly different at p ≤ 0.05 applying LSD test.
3.4 Stem diameter
In this study, stem diameter reduced upon exposure to different abiotic stresses (Figure 4). Stem diameter reduced sharply at severe doses of treatments than the moderate ones. Stem diameter decreased by 56, 61, 57, and 58% in severe levels of salt, drought, Cd, and waterlogging stresses, respectively, corresponding to control.

Stem diameter of C. olitorius plants affected by different abiotic stresses. S1, S2, D1, D2, Cd1, Cd2, WL1, and WL2 represent 200 mM of NaCl, 400 mM of NaCl, 10 days of water deficit, 15 days of water deficit, 2 mM of CdCl2, 4 mM of CdCl2, 5 days of waterlogging, and 15 days of waterlogging, respectively. Mean value (±SD) was calculated from three replicates for each treatment. Values in a column with different letters are significantly different at p ≤ 0.05 applying LSD test.
3.5 Oxidative stress indicators
In this study, a sharp increase in MDA content was noticed in all treatments (Figure 5a). MDA content increased by 25, 101, 20 and 24% in moderate level of salt, drought, Cd and waterlogging stresses and 83, 137, 40, and 39% in severe doses of salt, drought, Cd, and waterlogging stresses, respectively, compared to control.

MDA (a), H2O2 (b), and EL (c) contents of C. olitorius plants affected by different abiotic stresses. S1, S2, D1, D2, Cd1, Cd2, WL1, and WL2 represent 200 mM of NaCl, 400 mM of NaCl, 10 days of water deficit, 15 days of water deficit, 2 mM of CdCl2, 4 mM of CdCl2, 5 days of waterlogging, and 15 days of waterlogging, respectively. Mean value (±SD) was calculated from three replicates for each treatment. Values in a column with different letters are significantly different at p ≤ 0.05 applying LSD test.
In this experiment, H2O2 content increased sharply upon exposure to different abiotic stresses (Figure 5b). Highest H2O2 content was noticed in drought stress and it increased with the severity of stress (83 and 101%). In S1, S2, Cd1, and Cd2, H2O2 content increased by 58, 68, 36, and 46%, respectively, corresponding to control. During short-term waterlogged condition, H2O2 content increased by 30% which was statistically similar with that of long-term waterlogged condition (40%).
EL remarkably increased in all extent of treatments, except in moderate Cd stress (Figure 5c). In moderate levels of salt, drought, and waterlogging stresses, EL increased by 43, 126, and 34% and 153, 54, and 52% in severe doses of salt, Cd, and waterlogging stresses, respectively, corresponding to control. Highest amount of EL was observed in severe drought stress (251%).
3.6 Activities of antioxidant enzymes
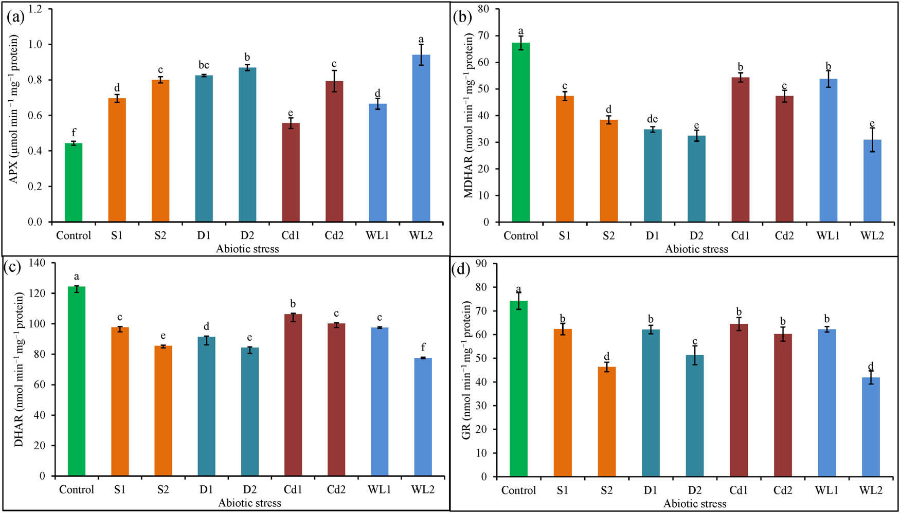
Activity of APX remarkably increased in all extent of treatments (Figure 6a). In moderate levels of salt, drought, Cd, and waterlogging stresses, APX activity increased by 59, 87, 27, and 52% and 82, 98, and 80% in severe doses of salt, drought, and Cd stresses, respectively, corresponding to control. However, highest activity was observed in severe waterlogging stress (251%).

APX (a), MDHAR (b), DHAR (c), and GR (d) activities of C. olitorius plants affected by different abiotic stresses. S1, S2, D1, D2, Cd1, Cd2, WL1, and WL2 represent 200 mM of NaCl, 400 mM of NaCl, 10 days of water deficit, 15 days of water deficit, 2 mM of CdCl2, 4 mM of CdCl2, 5 days of waterlogging, and 15 days of waterlogging, respectively. Mean value (±SD) was calculated from three replicates for each treatment. Values in a column with different letters are significantly different at p ≤ 0.05 applying LSD test.
A sharp decrease in MDHAR activity was noticed in both doses of treatments (Figure 6b). In moderate and severe salt stresses, MDHAR activity decreased by 30 and 43%, respectively, and 48 and 52% in water deficit stress. In Cd and waterlogged conditions, MDHAR activity decreased in both moderate and severe doses of treatments by 19 and 30% and 20 and 54%, respectively, corresponding to control.
Exposure to different abiotic stresses resulted in decrease in DHAR activity of plant (Figure 6c). In severe levels of salt, drought, Cd and waterlogging stresses, DHAR activity decreased by 31, 32, 20, and 38% and 22, 27, 15, and 22% in moderate doses of salt, drought, Cd and waterlogging stresses, respectively, over control.
Exposure to different abiotic stresses resulted in decrease in GR activity of plant (Figure 6d). In moderate levels of salt, drought, Cd, and waterlogging stresses, GR activity decreased by 16, 16, 13, and 16% which were statistically similar and 38, 31, 19 and 43% in severe doses of salt, drought, Cd, and waterlogging stresses, respectively, over control.
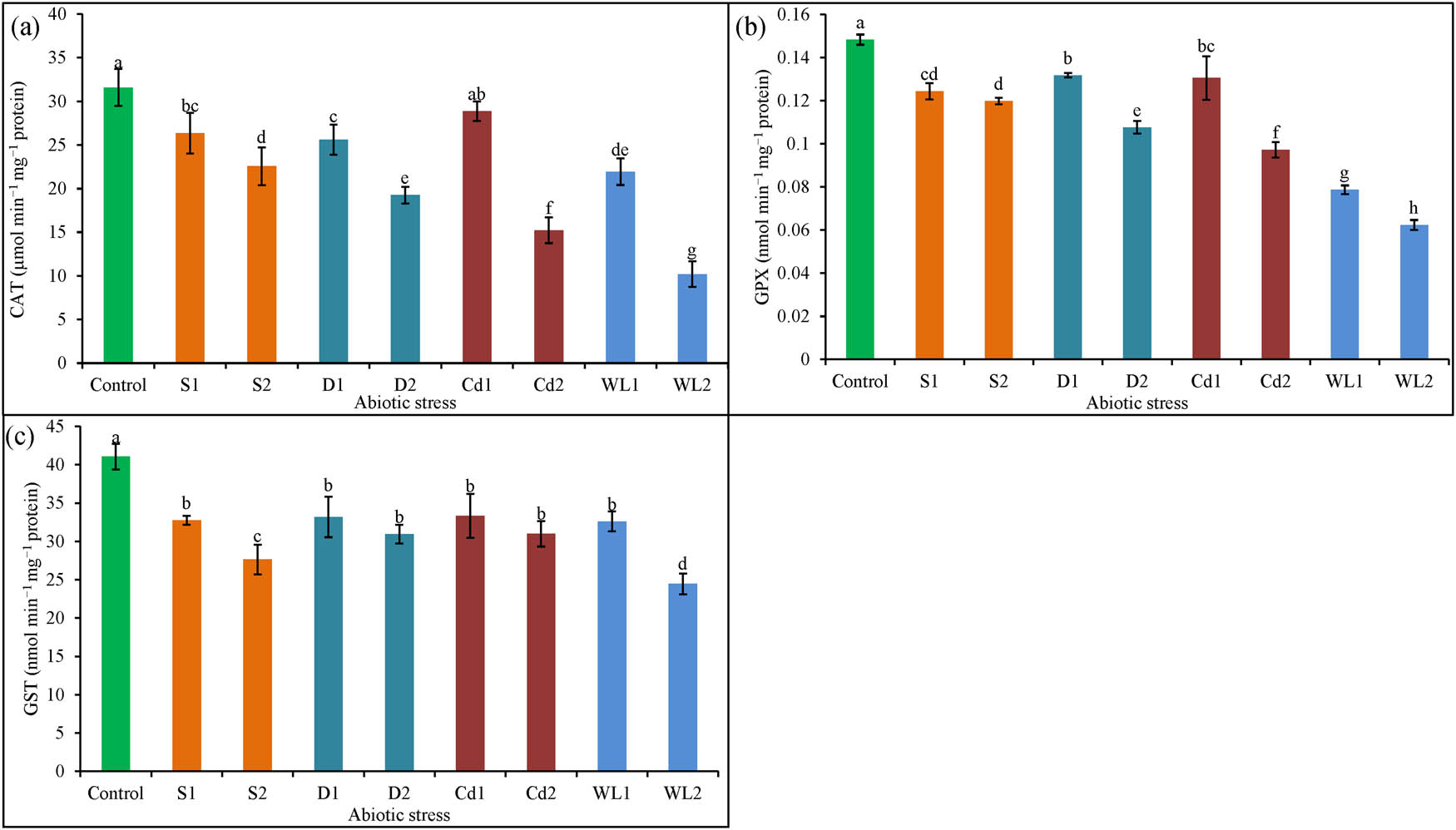
In this study, a sharp decrease in CAT activity was noticed in both doses of treatments (except in Cd1). In severe Cd stress, CAT activity decreased by 52% (Figure 7a). In moderate and severe salt stresses, CAT activity decreased by 17 and 28%, respectively, over control. In water deficit and waterlogged conditions, CAT activity decreased in both moderate and severe doses of treatments by 19, 53, 31, and 68%, respectively, corresponding to control.

CAT (a), GPX (b), and GST (c) activities of C. olitorius plants affected by different abiotic stresses. S1, S2, D1, D2, Cd1, Cd2, WL1, and WL2 represent 200 mM of NaCl, 400 mM of NaCl, 10 days of water deficit, 15 days of water deficit, 2 mM of CdCl2, 4 mM of CdCl2, 5 days of waterlogging, and 15 days of waterlogging, respectively. Mean value (±SD) was calculated from three replicates for each treatment. Values in a column with different letters are significantly different at p ≤ 0.05 applying LSD test.
In this study, GPX activity reduced upon exposure to different abiotic stresses (Figure 7b). Activity of GPX reduced sharply at severe doses of treatments than the moderate ones. Highest reduction was observed in WL2 (60%). GPX activity decreased by 20, 13, 13, and 47% in S1, D1, Cd1, and WL1 and 20, 27, and 33% in S2, D2, and Cd2, respectively, corresponding to control.
Reduction in GST activity was observed in all abiotic stresses (Figure 7c). However, remarkable reduction was observed in WL2 (40%) and S2 (33%) compared to other stresses. Statistically similar reduction (21%) was observed in S1, D1, D2, Cd1, Cd2, and WL1.
3.7 Activities of glyoxalase enzymes
A sharp decrease in Gly I activity was noticed in both doses of treatments (Figure 8a). The highest reduction in Gly I activity was observed in Cd2 (55%) and long-term waterlogging stress (57%). In moderate salt, water deficit, Cd, and waterlogging stresses, Gly I activity decreased by 20, 16, 24 and 38%, respectively. In severe salt and water deficit conditions, Gly I activity decreased by 24 and 40%, respectively, corresponding to control.

Gly I (a) and Gly II (b) activities of C. olitorius plants affected by different abiotic stresses. S1, S2, D1, D2, Cd1, Cd2, WL1, and WL2 represent 200 mM of NaCl, 400 mM of NaCl, 10 days of water deficit, 15 days of water deficit, 2 mM of CdCl2, 4 mM of CdCl2, 5 days of waterlogging, and 15 days of waterlogging, respectively. Mean value (±SD) was calculated from three replicates for each treatment. Values in a column with different letters are significantly different at p ≤ 0.05 applying LSD test.
Activity of Gly II remarkably decreased in all extent of treatments (Figure 8b). In moderate levels of salt, drought, Cd, and waterlogging stresses, Gly II activity decreased by 11, 34, 15, and 49% and 25, 50, and 46% in severe doses of salt, drought, and Cd stresses, respectively, corresponding to control. However, highest reduction in activity was observed in long-term waterlogging stress (65%) over control.
3.8 Correlation among the parameters
It was clear from the correlation study (Figure 9) that oxidative stress indicators viz. EL, MDA, and H2O2 were negatively correlated with plant height, leaf area, FW, DW, SPAD, stem diameter, and all the antioxidant enzymes. Most of the parameters were highly affected by the treatments except leaf area and RWC.

Correlation analysis of different studied parameters (PHT – Plant height; LA – Leaf area; FW – Fresh weight; DW – Dry weight; SD – Stem diameter; SPAD; RWC – Relative water content; EL – Electrolyte leakage; MDA – Malondialdehyde; H2O2 – Hydrogen peroxide content; APX – Ascorbate peroxidase; CAT – Catalase activity; GPX – Glutathione peroxidase; GST – Glutathione S-transferase; DHAR – Dehydroascorbate reductase; MDHAR – Monodehydroascorbate reductase; GR – Glutathione reductase; Gly I – Glyoxalase I; Gly II – Glyoxalase II).
4 Discussion
In this experiment, plant growth decreased at different abiotic stresses in a dose-dependent manner at any ages of plant growth (Figure 1). After imposing abiotic stress on plant, growth arrest is the first response of plant which causes metabolic reduction and gradually reduces shoot growth [30]. In the present study, salinity-induced osmotic stress causes reduction in plant biomass (FW and DW). Naik et al. [10] also observed reduction in FW and DW at 100 and 160 mM of NaCl-induced salt stress in different varieties of C. olitorius plant. Due to water unavailability in drought stress, plants’ metabolism and physiological processes are greatly hampered. As a result, net photosynthesis is reduced and growth is stunted ultimately leading toward reduction in growth parameters [31]. At constant drought (8-10% soil moisture) condition, plant height of C. olitorius cultivar O-4 decreased by 50% [9]. Leaf area is an indication of plant growth which was reduced by 2- and 4-folds in C. olitorius at 70 and 40% field capacity (FC), respectively [32]. In several studies, Saleem et al. [33,34] observed the reduction in leaf area of C. capsularis plant at different levels of Cu stress. Waterlogging causes nutrient deficiencies in plant which disrupts physiological process and reduces the biomass of plant [35]. Ghorai et al. [36] found 41% reduction in plant height of C. olitorius at 30 cm water regime. C. olitorius plants were unable to withstand waterlogged condition at early growth stages and caused drastic growth reduction [37].
In our present study, SPAD value decreased due to different abiotic stresses in a dose-dependent manner at any ages of plant growth (Figure 2, drought stress damaged photosynthetic pigments due to oxidation of pigments and reduced photosynthesis rate). Under salt stress, Na+ and Cl− ions concentrations increase in cell which inhibit net photosynthesis rate [38]. In C. olitorius, Bhuyan et al. [39] found 13% reduction in SPAD value under 200 mM of NaCl-induced stress. At 40% FC, total chlorophyll (Chl) content of C. olitorius reduced by 59% [32]. Similar results were found by Hasanuzzaman et al. [21], where at polyethylene glycol (PEG)-induced drought stress, SPAD value of Brassica species reduced by 14–27%. Cd stress reduced water use efficiency of plant and decreased photosynthesis rate and stomatal conductance [40]. Saleem et al. [34] found reduction in total Chl content in C. capsularis plant with the increase in the level of Cu stress. Leaf yellowing occurs due to waterlogging stress which reduced photosynthesis rate and Chl content [41].
In this experiment, RWC was decreased due to exposure to different abiotic stresses in a dose-dependent manner at any ages of plant growth (Figure 3). Higher salt concentration creates osmotic stress in plants and ultimately leads toward low water potential and reduced RWC of Corchorus spp. at 100 and 200 mM of NaCl-induced salt stress [42]. Drought stress causes unavailability of water and diversely affects plants’ physiological process and metabolism which reduced water content in leaf [43]. Yakoub et al. [32] recorded 53% of reduction in RWC in C. olitorius plant at 40% moisture condition. Higher concentration of metals/metalloids negatively affected plants morphophysiology, which reduces plants’ water content, imbibition, transpiration rate, osmotic pressure, and ultimately RWC. Memari-Tabrizi et al. [44] noticed reduction in RWC in Satureja hortensis at 20 mg kg−1 of Cd contaminated soil. Due to hypoxic or anoxic condition, plant faces unavailability of water in spite of excess availability of water in flooded condition. In Sesamum indicum plants, Anee et al. [45] observed 75% reduction in RWC after 8 days of waterlogging.
In this experiment, stem diameter decreased upon exposure to different abiotic stresses in dose-dependent manner (Figure 4). Salt stress stunted plant growth, specially shoot growth. With the decrease in shoot growth, reduction in stem diameter was also observed. This growth reduction was proportionately related to the increase in Na content [46]. At water deficit condition, main stem growth decreases and causes a sharp decrease in stem diameter of Helianthus annuus [47]. Visual symptoms of Cd stress were first observed in upper part of the plants. In C. capsularis, Parveen et al. [48] noticed reduction in stem diameter at different level of Cu stress (50 and 100 µM of CuSO4). Waterlogging stress reduced fiber yield and marketable grade of jute by reducing stem diameter [36].
In the present study, MDA and H2O2 content increased at different abiotic stresses in a dose-dependent manner at any ages of plant (Figure 5a and b). Plants under salt stress are affected by osmotic stress, nutritional deficiency, ion toxicity, etc., resulting in excessive production of ROS [49]. Ma et al. [11] observed increasing trend in MDA with the increase in salinity in both C. capsularis and C. olitorius plants. Drought initiates stomatal closure, reduces CO2 assimilation, and impairs light production which cause excessive production of ROS [50]. Chowdhury and Choudhuri [51] observed increase in H2O2 content in C. capsularis plant upon exposure to water deficit condition. At 60% FC condition, MDA content of Solanum lycopersicum also increased by 83% [52]. Toxic metal/metalloids produced excessive amount of ROS which causes chloroplastic damage and interfere with mitochondrial activity. Metal stress increases lipid peroxidation and creates membrane denaturation in plants, due to which H2O2 content increased in C. capsularis plant with the increase in the level of Cu stress [53]. Due to hypoxic and anoxic conditions, waterlogged plants produced toxic compounds which generate excessive ROS and increase lipid peroxidation and H2O2 content [54]. Anee et al. [45] and Zhang et al. [35] observed reduction in MDA and H2O2 in S. indicum and Sorghum bicolor, respectively, at different durations of waterlogging.
Ion-specific salt injury occurred first at plasma membrane which caused increase in EL in plants [55]. In this experiment, EL increased at different abiotic stresses in a dose-dependent manner (Figure 5c). With the increase in salt stress, EL in root and leaves of Lactuca sativa increased proportionately [56]. Similarly, the increased EL indicates the damage of plasma membrane caused by drought stress. In Vicia faba, EL increased positively with the increase in drought stress which caused severe membrane damage and efflux of K+ [57]. Cd toxicity caused membrane damage in Nicotiana tabacum plant and increased EL in a dose-dependent manner which is positively correlated with MDA [58]. Similar results were also observed in C. capsularis at different levels of Cu stress (100, 200, 300, and 400 mg kg−1) [59]. The degree of membrane integrity was assessed by the EL in Zea mays plants where 48% increase in EL was noticed at 120 h of flooding [60].
Antioxidant enzymes help to reduce excess accumulation of ROS production in stress condition [61]. The activities of APX, DHAR, MDHAR, and GR collaborate with AsA and GSH and help to upregulate AsA–GSH pool to diminish ROS [62]. They reduce H2O2 content and help to maintain redox homeostasis [50]. In our present study, APX activity increased and MDHAR, DHAR, and GR activities decreased in a dose-dependent manner (Figure 6). Similar results were also recorded in S. lycopersicum at 150 mM NaCl-induced salt stress [63]. Saad-Allah and Nessem [64] observed reduction in GR activity of C. olitorius plant under salt-stressed condition. Hasanuzzaman et al. [21] also recorded enhanced APX activity and diminished MDHAR, DHAR, and GR activities in B. napus at 20% PEG-induced drought condition. Saleem et al. [59] observed increased activity of APX in C. capsularis seedlings at different levels of Cu stress. Due to the overproduction of ROS, increased APX activity was recorded in Z. mays at 21 h waterlogging condition [65] and demolished activity of GR and MDHAR were recorded in G. hirsutum plant after 6 days of waterlogging [66].
Among all the antioxidant enzymes, CAT is known as a first-line of defense, which act as a detoxifying agent and convert H2O2 to H2O, to maintain the ROS equilibrium [5]. In this experiment, H2O2 content increased with the severity of abiotic stresses which cause decrease in CAT activity (Figure 7a). Ma et al. [11] found higher CAT activity in salt resistant Corchorus spp. variety (cv. Huang No.1) compared to the salt susceptible (cv. Menguyan) one. Chowdhury and Choudhuri [51] and Das et al. [67] also recorded decrease in CAT activity in C. capsularis with the increase in H2O2 content at water deficit condition. Metal resistant variety reduces lipid peroxidation by increasing the CAT activity in Hibiscus cannabinus plant [68]. In Z. mays, waterlogging tolerant variety shows higher CAT activity compared to the resistant one which indicate their ability to reduce excess ROS production [69]. Cell toxic substances are removed by GPX and GST with the help of GSH to reduce cell damage [5]. Along with H2O2 detoxification, GST also has a xenobiotic property which helps to reduce the excess accumulation of ROS [50]. In our study, both GST and GPX activities reduced during the exposure to different abiotic stresses (Figure 7b and c). These findings supported the results of Rahman et al. [70] and Mohsin et al. [71] at Cd-stressed Oryza sativa and salt-stressed Triticum aestivum, respectively.
Glyoxalase enzymes (viz. Gly I and Gly II) actively participate in detoxifying MG by converting α-ketoaldehydes into hydroxyacids and reduced cell damage in plants [72,73]. In this experiment, activities of Gly I and Gly II (Figure 8) reduced with the extent of abiotic stress. Mohsin et al. [71] also observed reduction in Gly I and Gly II in T. aestivum which are negatively related with MG content under salt stress.
In our study, we observed negative correlation of oxidative stress indicators with most of the parameters including antioxidant enzymes. This negative correlation of oxidative stress and antioxidant enzymes indicates the loss of equilibrium and excess generation of ROS under different abiotic stresses. Similar results were demonstrated by Anee et al. [45] at waterlogged condition in S. indicum where they recorded negative effect of oxidative stress indicators with antioxidant enzymes.
5 Conclusion
From the findings of this study, it was observed that C. olitorius responded differently under different abiotic stresses and these reductions occurred in a dose- or duration-dependent manner. Growth parameters and SPAD values were highly sensitive to waterlogging followed by drought. At severe waterlogging stress, the upregulation of antioxidant enzymes activities was more crucial compared to any stress. However, severe oxidative damage and ion leakage were recorded in drought stress compared to other stresses. Due to the continuous climate change and stressful environment, nowadays jute plants face many kinds of environmental stress. However, very less work has been conducted regarding the responses of C. olitorius under different abiotic stresses. Further studies are required to explore the physiological, biochemical, and genetic responses of C. olitorius plants under different abiotic stresses which will be helpful for understanding the tolerance mechanism. This experiment can be a promising phenomenon to create a further scope of investigation at molecular level to tailor stress tolerance parameters of C. olitorius and eventually tolerant varieties.
Acknowledgments
We are thankful to Prof. Dr. Kamrun Nahar, Department of Agricultural Botany, Sher-e-Bangla Agricultural University, Dhaka, Bangladesh, for her critical review of the manuscript draft.
-
Funding information: This study was funded by National Science and Technology (NST) fellowship, Ministry of Science and Technology, Government of Bangladesh.
-
Conflict of interest: Mirza Hasanuzzaman, who is the co-author of this article, is a current Editorial Board member of Open Agriculture. This fact did not affect the peer-review process.
-
Data availability statement: The datasets generated during and/or analyzed during the current study are available from the corresponding author on reasonable request.
References
[1] Arun-Chinnappa KS, Ranawake L, Seneweera S. Impacts and management of temperature and water stress in crop plants. In: Minhas PS, editor. Abiotic stress management for resilient agriculture. Berlin, Germany: Springer; 2017. p. 221–33. 10.1007/978-981-10-5744-1_9.Search in Google Scholar
[2] Demirel U, Morris WL, Ducreux LJM, Yavuz C, Asim A, Tindas I, et al. Physiological, biochemical, and transcriptional responses to single and combined abiotic stress in stress-tolerant and stress-sensitive potato genotypes. Front Plant Sci. 2020;11:169. 10.3389/fpls.2020.00169.Search in Google Scholar PubMed PubMed Central
[3] Devireddy AR, Zandalinas SI, Fichman Y, Mittler R. Integration of reactive oxygen species and hormone signaling during abiotic stress. Plant J. 2021;105(2):459–76. 10.1111/tpj.15010.Search in Google Scholar PubMed
[4] Gechev T, Petrov V. Reactive oxygen species and abiotic stress in plants. Int J Mol Sci. 2020;21:7433. 10.3390/ijms21207433.Search in Google Scholar PubMed PubMed Central
[5] Hasanuzzaman M, Bhuyan MHMB, Zulfiqar F, Raza A, Mohsin SM, Mahmud JA, et al. Reactive oxygen species and antioxidant defense in plants under abiotic stress: revisiting the crucial role of a universal defense regulator. Antioxidants. 2020;9(8):681. 10.3390/antiox9080681.Search in Google Scholar PubMed PubMed Central
[6] Saleem MH, Ali S, Rehman M, Hasanuzzaman M, Rizwan M, Irshad S, et al. Jute: a potential candidate for phytoremediation of metals – a review. Plants. 2020;9(2):258. 10.3390/plants9020258.Search in Google Scholar PubMed PubMed Central
[7] Mahapatra B, Mitra S, Ramasubramanian T, Sinha M. Research on jute (Corchorus olitorius and C. capsularis) and kenaf (Hibiscus cannabinus and H. sabdariffa). Indian J Agric Sci. 2014;951:67–79.Search in Google Scholar
[8] Singh H, Singh JIP, Singh S, Dhawan V, Tiwari SK. A brief review of jute fibre and its composites. Mater Today Proc. 2018;5:28427–37. 10.1016/j.matpr.2018.10.129.Search in Google Scholar
[9] Prodhan A, Rahman ML, Haque MA. Effect of water stresses on growth attributes in jute II. plant based diameter. Pak J Biol Sci. 2001;4:660–4. 10.3923/pjbs.2001.660.664.Search in Google Scholar
[10] Naik MR, Barman D, Maruthi RT, Mandal UK, Kundu DK. Screening of tossa jute (Corchorus olitrius L.) varieties against salt stress. Intern J Env Sci. 2015;9(3):815–9.Search in Google Scholar
[11] Ma H, Yang R, Wang Z, Yu T, Jia Y, Gu Z, et al. Screening of salinity tolerant jute (Corchorus capsularis and C.olitorious) genotypes via phenotypic and physiology assisted procedures. Pak J Bot. 2011;43(6):2655–60.Search in Google Scholar
[12] Yumnam S, Sawarkar A, Mukherjee S. Response to water stress on some seedling characters of tossa jute (Corchorus olitorius L.). J Crop Weed. 2017;13(3):135–43.Search in Google Scholar
[13] Dhar P, Ojha D, Kar CS, Mitra J. Differential response of tossa jute (Corchorus olitorius) submitted to water deficit stress. Ind Crop Prod. 2018;112:141–50. 10.1016/j.indcrop.2017.10.044.Search in Google Scholar
[14] Hassan MS, Dagari MS, Babayo AU. Effect of citric acid on cadmium ion uptake and stress response of hydroponically grown jute mallow (Corchorus olitorius). J Env Anal Toxicol. 2016;6:375. 10.4172/2161-0525.1000375.Search in Google Scholar
[15] Islam MM. Advanced production technology and processing of jute. In: Hasanuzzaman M, editor. Agronomic crops. Singapore: Springer; 2019. p. 387–440. 10.1007/978-981-32-9151-5_20.Search in Google Scholar
[16] Ahmad SH, Ali AU, Rehman RJZ, Khan W, Ahmed Z, Fatima G, et al. Measuring leaf area of winter cereals by different techniques: a comparison. Pak J Life Soc Sci. 2015;13(2):117–25.Search in Google Scholar
[17] Barrs HD, Weatherley PE. A re-examination of the relative turgidity technique for estimating water deficits in leaves. Aust J Biol Sci. 1962;15(3):413–28. 10.1071/bi9620413.Search in Google Scholar
[18] Heath RL, Packer L. Photoperoxidation in isolated chloroplasts. I. Kinetics and stoichiometry of fatty acid peroxidation. Arch Biochem Biophys. 1968;125(1):189–98. 10.1016/0003-9861(68)90523-7.Search in Google Scholar
[19] Yu CW, Murphy TM, Lin CH. Hydrogen peroxide induced chilling tolerance in mung beans mediated through ABA-independent glutathione accumulation. Funct Plant Biol. 2003;30(9):955–63. 10.1071/fp03091.Search in Google Scholar
[20] Dionisio-Sese ML, Tobita S. Antioxidant responses of rice seedlings to salinity stress. Plant Sci. 1998;135:1–9. 10.1016/s0168-9452(98)00025-9.Search in Google Scholar
[21] Hasanuzzaman M, Nahar K, Anee TI, Khan MIR, Fujita M. Silicon-mediated regulation of antioxidant defense and glyoxalase systems confers drought stress tolerance in Brassica napus L. S Afr J Bot. 2018;115:50–7. 10.1016/j.sajb.2017.12.006.Search in Google Scholar
[22] Bradford MM. A rapid and sensitive method for the quantitation of microgram quantities of protein utilizing the principle of protein-dye binding. Anal Biochem. 1976;72:248–54. 10.1016/0003-2697(76)90527-3.Search in Google Scholar
[23] Nakano Y, Asada K. Hydrogen peroxide is scavenged by ascorbate-specific peroxidase in spinach chloroplasts. Plant Cell Physiol. 1981;22:867–80. 10.1093/oxfordjournals.pcp.a076232.Search in Google Scholar
[24] Hossain MA, Nakano Y, Asada K. Monodehydroascorbate reductase in spinach chloroplasts and its participation in the regeneration of ascorbate for scavenging hydrogen peroxide. Plant Cell Physiol. 1984;25:385–95. 10.1093/oxfordjournals.pcp.a076726.Search in Google Scholar
[25] Nahar K, Hasanuzzaman M, Alam MM, Rahman A, Suzuki T, Fujita M. Polyamine and nitric oxide crosstalk: antagonistic effects on cadmium toxicity in mung bean plants through upregulating the metal detoxification, antioxidant defense, and methylglyoxal detoxification systems. Ecotoxicol Env Saf. 2016;126:245–55. 10.1016/j.ecoenv.2015.12.026.Search in Google Scholar PubMed
[26] Hasanuzzaman M, Alam MM, Nahar K, Mahmud JA, Ahamed KU, Fujita M. Exogenous salicylic acid alleviates salt stress-induced oxidative damage in Brassica napus by enhancing the antioxidant defense and glyoxalase systems. Aus J Crop Sci. 2014;8:631–9.10.1155/2014/757219Search in Google Scholar
[27] Hasanuzzaman M, Hossain MA, Fujita M. Nitric oxide modulates antioxidant defense and the methylglyoxal detoxification system and reduces salinity-induced damage of wheat seedlings. Plant Biotechnol Rep. 2011;5(4):353–65.10.1007/s11816-011-0189-9Search in Google Scholar
[28] CoStat. CoStat-Statistics Software version 6.400. CoHort Software. 798 Lighthouse Ave, PMB 320. Monterey, CA, 93940, USA; 2008.Search in Google Scholar
[29] SPSS. Stastical Package for Social Sciences Version 27.0. IBM SPSS Statistics for Windows. Armonk, NY: IBM Crop; 2020.Search in Google Scholar
[30] Gull A, Lone A, Wani N. Biotic and abiotic stresses in plants. In: Oliveira AB, editor. Abiotic and biotic stress in plants. London, UK: IntechOpen; 2019. 10.5772/intechopen.85832.Search in Google Scholar
[31] Demir F, Horntrich C, Blachutzik JO, Scherzer S, Reinders Y, Kierszniowska S, et al. Arabidopsis nanodomain-delimited ABA signaling pathway regulates the anion channel SLAH3. Proc Natl Acad Sci. 2013;110:8296–301. 10.3410/f.718004252.793479221.Search in Google Scholar
[32] Yakoub ARB, Benabderrahim MA, Ferchichi A. Physiological and agromorphological responses of tossa jute (Corchorus olitorius L.) to drought stress. J Plant Physiol Pathol. 2016;4:3. 10.4172/2329-955X.1000152.Search in Google Scholar
[33] Saleem MH, Ahmad S, Urooj S, Rehaman M, Liu L, Saeed F. Screening of different varieties of jute seedling under copper stress. Ann Agric Crop Sci. 2019;4(1):1043.Search in Google Scholar
[34] Saleem MH, Fahad S, Khan SU, Ahmar S, Khan MHU, Rehman M, et al. Morpho-physiological traits, gaseous exchange attributes, and phytoremediation potential of jute (Corchorus capsularis L.) grown in different concentrations of copper-contaminated soil. Ecotoxicol Env Saf. 2020;189:109915. 10.1016/j.ecoenv.2019.109915.Search in Google Scholar PubMed
[35] Zhang Q, Liu X, Zhang Z, Liu N, Li D, Hu L. Melatonin improved waterlogging tolerance in alfalfa (Medicago sativa) by reprogramming polyamine and ethylene metabolism. Front Plant Sci. 2019;10:44. 10.3389/fpls.2019.00044.Search in Google Scholar PubMed PubMed Central
[36] Ghorai AK, Bhattacharjee AK, Saha S, Rao PV, Bandopadhyay AK. Impact of waterlogging on yield and quality of tossa jute (Corchorus olitorius). Indian J Agron. 2005;50(4):320–3.10.59797/ija.v50i4.5139Search in Google Scholar
[37] Bisaria AK, Saraswat VN. Cultivation of jute for higher production. Bull Bot Soc Bangaldesh. 1983;37:27–47.Search in Google Scholar
[38] Hasanuzzaman M, Nahar K, Fujita M. Plant response to salt stress and role of exogenous protectants to mitigate salt-induced damages. In: Ahmad P, Azooz MM, Prasad MNV, editors. Ecophysiology and responses of plants under salt stress. USA. New York: Springer; 2013. p. 25–87. 10.1007/978-1-4614-4747-4_2.Search in Google Scholar
[39] Bhuyan MI, Hassan KM, Lipi NJ, Uddin MR, Islam MM, Ferdous M, et al. Screening of jute and kenaf varieties for salinity tolerance. 2018;6(2):214–8. 10.14419/ijag.v6i2.13773.Search in Google Scholar
[40] Ahmad I, Akhtar MJ, Zahir ZA, Jamil A. Effect of cadmium on seed germination and seedling growth of four wheat (Triticum aestivum L.) cultivars. Pak J Bot. 2012;44(5):1569–74.Search in Google Scholar
[41] Prasad S, Ram PC, Uma S. Effect of waterlogging duration on chlorophyll content, nitrate reductase activity, soluble sugars and grain yield of maize. Ann Plant Physiol. 2004;18:1–5.Search in Google Scholar
[42] Ghosh RK, Phumichai T, Sreewongchai T, Nakasathien S, Phumichai C. Evaluation of salt tolerance of jute (Corchorus spp.) genotypes in hydroponics using physiological parameters. Asian J Plant Sci. 2013;12(4):149–58. 10.3923/ajps.2013.149.158.Search in Google Scholar
[43] Mahmood M, Bidabadi SS, Ghobadi C, Gray DJ. Effect of methyl jasmonate treatments on alleviation of polyethylene glycol-mediated water stress in banana (Musa acuminata cv. ‘Berangan’) shoot tip cultures. Plant Growth Regul. 2012;68:161–9. 10.1007/s10725-012-9702-6.Search in Google Scholar
[44] Memari-Tabrizi EF, Yousefpour-Dokhanieh A, Babashpour-Asl M. Foliar-applied silicon nanoparticles mitigate cadmium stress through physio-chemical changes to improve growth, antioxidant capacity, and essential oil profile of summer savory (Satureja hortensis L.). Plant Physiol Biochem. 2021;165:71–9.10.1016/j.plaphy.2021.04.040Search in Google Scholar PubMed
[45] Anee TI, Nahar K, Rahman A, Mahmud JA, Bhuiyan TF, Alam MU, et al. Oxidative damage and antioxidant defense in Sesamum indicum after different waterlogging durations. Plants. 2019;8(7):196. 10.3390/plants8070196.Search in Google Scholar PubMed PubMed Central
[46] Kaya MD, Ipek A, Ozturk A. Effects of different soil salinity levels on germination and seedling growth of safflower (Carthamus tinctorius L.). Turk J Agric. 2003;27:221–7.Search in Google Scholar
[47] Nezami H, Khazaei RZ, Rezazadeh B, Hosseini A. Effect of drought stress and defoliation on sunflower (Helianthus annuus L.) in controlled conditions. Desert. 2008;12:99–104.Search in Google Scholar
[48] Parveen A, Salemm MH, Kamran M, Haidar MZ, Chen JT, Maleek Z, et al. Effect of citric acid on growth, ecophysiology, chloroplast ultrastructure, and phytoremediation potential of jute (Corchorus capsularis L.) seedlings exposed to copper stress. Biomolecules. 2020;10(4):592. 10.3390/biom10040592.Search in Google Scholar PubMed PubMed Central
[49] Munns R, Tester M. Mechanisms of salinity tolerance. Annu Rev Plant Biol. 2008;59:651–81. 10.1146/annurev.arplant.59.032607.092911.Search in Google Scholar PubMed
[50] Hasanuzzaman M, Bhuyan MHMB, Anee TI, Parvin K, Nahar K, Mahmud JA, et al. Regulation of ascorbate-glutathione pathway in mitigating oxidative damage in plants under abiotic stress. Antioxidants. 2019;8(9):384. 10.3390/antiox8090384.Search in Google Scholar PubMed PubMed Central
[51] Chowdhury SR, Choudhuri MA. Hydrogen peroxide metabolism as in index of water stress tolerance in jute. Physiol Plant. 1985;65(4):476–80. 10.1111/j.1399-3054.1985.tb08676.x.Search in Google Scholar
[52] Rady MM, Belal HE, Gadallah F, Semida WM. Selenium application in two methods promotes drought tolerance in Solanum lycopersicum plant by inducing the antioxidant defense system. Sci Hortic. 2020;266:109290. 10.1016/j.scienta.2020.109290.Search in Google Scholar
[53] Saleem MH, Rehman M, Kamran M, Afjhal J, Armghan N, Liu L. Investigating the potential of different jute varieties for phytoremediation of copper-contaminated soil. Env Sci Pollut Res. 2020;27:30367–77. 10.1007/s11356-020-09232-y.Search in Google Scholar PubMed
[54] Loreti E, Veen H, Perata P. Plant responses to flooding stress. Curr Opin Plant Biol. 2016;33:64–71. 10.1016/j.pbi.2016.06.005.Search in Google Scholar PubMed
[55] Mansour MMF, Salama KHA, Ali FZM, Abou-Hadid AF. Cell and plant responses to NaCl in Zea mays cultivars differing in salt tolerance. Gen Appl Plant Physiol. 2005;31:29–41.Search in Google Scholar
[56] Mahmoudi H, Kaddour R, Huang J, Nasri N, Baâtour O, M’Rah B, et al. Varied tolerance to NaCl salinity is related to biochemical changes in two contrasting lettuce genotypes. Acta Physiol Plant. 2011;33:1613–22. 10.1007/s11738-010-0696-2.Search in Google Scholar
[57] Siddique A. Cadmium induced physio-chemical changes in roots of wheat. Vegetos. 2018;31(3):113–8. 10.5958/2229-4473.2018.00081.2.Search in Google Scholar
[58] Wang H, Zhaoa M, Yang B, Jiang Y, Rao G. Identification of polyphenols in tobacco leaf and their antioxidant and antimicrobial activities. Food Chem. 2008;107(4):1399–406. 10.1016/j.foodchem.2007.09.068.Search in Google Scholar
[59] Saleem MH, Ali S, Seleiman MF, Rizwan M, Rehman M, Akram NA, et al. Assessing the correlations between different traits in copper-sensitive and copper-resistant varieties of jute (Corchorus capsularis L.). Plants. 2019;8(12):545. 10.3390/plants8120545.Search in Google Scholar PubMed PubMed Central
[60] Yordanova RY, Popova LP. Flooding-induced changes in photosynthesis and oxidative status in maize plants. Acta Physiol Plant. 2007;29:535–41. 10.1007/s11738-007-0064-z.Search in Google Scholar
[61] Carocho M, Ferreira IC. A review on antioxidants, pro-oxidants and related controversy: natural and synthetic compounds, screening and analysis methodologies and future perspectives. Food Chem Toxicol. 2013;51:15–25. 10.1016/j.fct.2012.09.021.Search in Google Scholar PubMed
[62] Hasanuzzaman M, Hossain MA, Teixeira-da Silva JA, Fujita M. Plant responses and tolerance to abiotic oxidative stress: antioxidant defense is a key factor. In: Bandi V, Shanker AK, Shanker C, Mandapaka M, editors. Crop stress and its management: perspectives and strategies. Berlin: Springer; 2012. p. 261–16. 10.1007/978-94-007-2220-0_8.Search in Google Scholar
[63] Ahmad P, Abd-Allah EF, Alyemeni MN, Wijaya L, Alam P, Bhardwaj R, et al. Exogenous application of calcium to 24-epibrassinosteroid pre-treated tomato seedlings mitigates NaCl toxicity by modifying ascorbate–glutathione cycle and secondary metabolites. Sci Rep. 2018;8:13515. 10.1038/s41598-018-31917-1.Search in Google Scholar PubMed PubMed Central
[64] Saad-Allah KM, Nessem AA. Parsley extract improves physio-biochemical traits and the activity of the defense system in mallow (Corchorus Olitorius L.) under Na2SO4 salinity. GesundePflanz. 2020;72:321–34. 10.1007/s10343-020-00515-5.Search in Google Scholar
[65] Jaiswal A, Srivastava JP. Changes in reactive oxygen scavenging system and protein profiles in maize roots in response to nitric oxide under waterlogging stress. Indian J Biochem Biophys. 2018;55:26–33.Search in Google Scholar
[66] Wang H, Chen Y, Hu W, Snider JL, Zhou Z. Short-term soil-waterlogging contributes to cotton cross tolerance to chronic elevated temperature by regulating ROS metabolism in the subtending leaf. Plant Physiol Biochem. 2019;139:333–41. 10.1016/j.plaphy.2019.03.038.Search in Google Scholar PubMed
[67] Das A, Ray R, Mandal N, Chakrabarti K. An analysis of transcripts and enzyme profiles in drought stressed jute (Corchorus capsularis) and rice (Oryza sativa) seedlings treated with CaCl2, hydroxyapatite nano-particle and β-amino butyric acid. Plant Growth Regul. 2016;79(3):401–12. 10.1007/s10725-015-0144-9.Search in Google Scholar
[68] Li F, Qi J, Zhang G, Lin L, Fang P, Tao A, et al. Effect of cadmium stress on the growth, antioxidative enzymes and lipid peroxidation in two kenaf (Hibiscus cannabinus L.) plant seedlings. J Integr Agric. 2013;12:610–20. 10.1016/s2095-3119(13)60279-8.Search in Google Scholar
[69] Li W, Mo W, Ashraf U, Li G, Wen T, Abrar M, et al. Evaluation of physiological indices of waterlogging tolerance of different maize varieties in South China. Appl Ecol Env Res. 2018;16:2059–72. 10.15666/aeer/1602_20592072.Search in Google Scholar
[70] Rahman A, Mostofa MG, Nahar K, Hasanuzzaman M, Fujita M. Exogenous calcium alleviates cadmium-induced oxidative stress in rice (Oryza sativa L.) seedlings by regulating the antioxidant defense and glyoxalase systems. Braz J Bot. 2016;39:393–407. 10.1007/s40415-015-0240-0.Search in Google Scholar
[71] Mohsin SM, Hasanuzzaman M, Nahar K, Hossain MdS, Bhuyan MHMB, Parvin K, et al. Tebuconazole and trifloxystrobin regulate the physiology, antioxidant defense and methylglyoxal detoxification systems in conferring salt stress tolerance in Triticum aestivum L. Physiol Mol Biol Pla. 2020;26:1139–54. 10.1007/s12298-020-00810-5.Search in Google Scholar PubMed PubMed Central
[72] Singla-Pareek SL, Yadav SK, Pareek A, Reddy MK, Sopory SK. Enhancing salt tolerance in a crop plant by overexpression of glyoxalase II. Transgenic Res. 2008;17:171–80. 10.1007/s11248-007-9082-2.Search in Google Scholar PubMed
[73] Hasanuzzaman M, Nahar K, Gill SS, Alharby HF, Razafindrabe BHN, Fujita M. Hydrogen peroxide pretreatment mitigates cadmium-induced oxidative stress in Brassica napus L.: an intrinsic study on antioxidant defense and glyoxalase systems. Front Plant Sci. 2017;8:115. 10.3389/fpls.2017.00115.Search in Google Scholar PubMed PubMed Central
© 2021 Khussboo Rahman et al., published by De Gruyter
This work is licensed under the Creative Commons Attribution 4.0 International License.
Articles in the same Issue
- Regular Articles
- The nutmeg seedlings growth under pot culture with biofertilizers inoculation
- Recovery of heather (Calluna vulgaris) flowering in northern Finland
- Soil microbiome of different-aged stages of self-restoration of ecosystems on the mining heaps of limestone quarry (Elizavetino, Leningrad region)
- Conversion of land use and household livelihoods in Vietnam: A study in Nghe An
- Foliar selenium application for improving drought tolerance of sesame (Sesamum indicum L.)
- Assessment of deficit irrigation efficiency. Case study: Middle Sebou and Innaouene downstream
- Integrated weed management practices and sustainable food production among farmers in Kwara State, Nigeria
- Determination of morphological changes using gamma irradiation technology on capsicum specie varieties
- Use of maturity traits to identify optimal harvestable maturity of banana Musa AAB cv. “Embul” in dry zone of Sri Lanka
- Theory vs practice: Patterns of the ASEAN-10 agri-food trade
- Intake, nutrient digestibility, nitrogen, and mineral balance of water-restricted Xhosa goats supplemented with vitamin C
- Physicochemical properties of South African prickly pear fruit and peel: Extraction and characterisation of pectin from the peel
- An evaluation of permanent crops: Evidence from the “Plant the Future” project, Georgia
- Probing of the genetic components of seedling emergence traits as selection indices, and correlation with grain yield characteristics of some tropical maize varieties
- Increase in the antioxidant content in biscuits by infusions or Prosopis chilensis pod flour
- Altitude, shading, and management intensity effect on Arabica coffee yields in Aceh, Indonesia
- Climate change adaptation and cocoa farm rehabilitation behaviour in Ahafo Ano North District of Ashanti region, Ghana
- Effect of light spectrum on growth, development, and mineral contents of okra (Abelmoschus esculentus L.)
- An assessment of broiler value chain in Nigeria
- Storage root yield and sweetness level selection for new honey sweet potato (Ipomoea batatas [L.] Lam)
- Direct financial cost of weed control in smallholder rubber plantations
- Combined application of poultry litter biochar and NPK fertilizer improves cabbage yield and soil chemical properties
- How does willingness and ability to pay of palm oil smallholders affect their willingness to participate in Indonesian sustainable palm oil certification? Empirical evidence from North Sumatra
- Investigation of the adhesion performance of some fast-growing wood species based on their wettability
- The choice of information sources and marketing channel of Bali cattle farmers in Bali Province
- Preliminary phytochemical screening and in vitro antibacterial activity of Plumbago indica (Laal chitrak) root extracts against drug-resistant Escherichia coli and Klebsiella pneumoniae
- Agronomic and economic performance of maize (Zea mays L.) as influenced by seed bed configuration and weed control treatments
- Selection and characterization of siderophores of pathogenic Escherichia coli intestinal and extraintestinal isolates
- Effectiveness of cowpea (Vigna unguiculata L.) living mulch on weed suppression and yield of maize (Zea mays L.)
- Cow milk and its dairy products ameliorate bone toxicity in the Coragen-induced rat model
- The motives of South African farmers for offering agri-tourism
- Morphophysiological changes and reactive oxygen species metabolism in Corchorus olitorius L. under different abiotic stresses
- Nanocomposite coatings for hatching eggs and table eggs
- Climate change stressors affecting household food security among Kimandi-Wanyaga smallholder farmers in Murang’a County, Kenya
- Genetic diversity of Omani barley (Hordeum vulgare L.) germplasm
- Productivity and profitability of organic and conventional potato (Solanum tuberosum L.) production in West-Central Bhutan
- Response of watermelon growth, yield, and quality to plant density and variety in Northwest Ethiopia
- Sex allocation and field population sex ratio of Apanteles taragamae Viereck (Hymenoptera: Braconidae), a larval parasitoid of the cucumber moth Diaphania indica Saunders (Lepidoptera: Crambidae)
- Comparison of total nutrient recovery in aquaponics and conventional aquaculture systems
- Relationships between soil salinity and economic dynamics: Main highlights from literature
- Effects of soil amendments on selected soil chemical properties and productivity of tef (Eragrostis tef [Zucc.] Trotter) in the highlands of northwest Ethiopia
- Influence of integrated soil fertilization on the productivity and economic return of garlic (Allium sativum L.) and soil fertility in northwest Ethiopian highlands
- Physiological and biochemical responses of onion plants to deficit irrigation and humic acid application
- The incorporation of Moringa oleifera leaves powder in mutton patties: Influence on nutritional value, technological quality, and sensory acceptability
- Response of biomass, grain production, and sugar content of four sorghum plant varieties (Sorghum bicolor (L.) Moench) to different plant densities
- Assessment of potentials of Moringa oleifera seed oil in enhancing the frying quality of soybean oil
- Influences of spacing on yield and root size of carrot (Daucus carota L.) under ridge-furrow production
- Review Articles
- A review of upgradation of energy-efficient sustainable commercial greenhouses in Middle East climatic conditions
- Plantago lanceolata – An overview of its agronomically and healing valuable features
- Special Issue on CERNAS 2020
- The role of edible insects to mitigate challenges for sustainability
- Morphology and structure of acorn starches isolated by enzymatic and alkaline methods
- Evaluation of FT-Raman and FTIR-ATR spectroscopy for the quality evaluation of Lavandula spp. Honey
- Factors affecting eating habits and knowledge of edible flowers in different countries
- Ideal pH for the adsorption of metal ions Cr6+, Ni2+, Pb2+ in aqueous solution with different adsorbent materials
- Determination of drying kinetics, specific energy consumption, shrinkage, and colour properties of pomegranate arils submitted to microwave and convective drying
- Eating habits and food literacy: Study involving a sample of Portuguese adolescents
- Characterization of dairy sheep farms in the Serra da Estrela PDO region
- Development and characterization of healthy gummy jellies containing natural fruits
- Agro-ecological services delivered by legume cover crops grown in succession with grain corn crops in the Mediterranean region
- Special issue on CERNAS 2020: Message from the Editor
- Special Issue on ICESAT 2019
- Climate field schools to increase farmers’ adaptive capacity to climate change in the southern coastline of Java
- Special Issue on the International Conference on Agribusiness and Rural Development - IConARD 2020
- Supply chain efficiency of red chili based on the performance measurement system in Yogyakarta, Indonesia
- Sustainable value of rice farm based on economic efficiency in Yogyakarta, Indonesia
- Enhancing the performance of conventional coffee beans drying with low-temperature geothermal energy by applying HPHE: An experimental study
- Opportunities of using Spirulina platensis as homemade natural dyes for textiles
- Special Issue on the APA 2019 - 11th Triennial Conference
- Expanding industrial uses of sweetpotato for food security and poverty alleviation
- A survey on potato productivity, cultivation and management constraints in Mbala district of Northern Zambia
- Orange-fleshed sweetpotato: Strategies and lessons learned for achieving food security and health at scale in Sub-Saharan Africa
- Growth and yield of potato (Solanum tuberosum L.) as affected by storage conditions and storage duration in Jos, Plateau State, Nigeria
- Special Issue on the International Conference on Multidisciplinary Research - Agrarian Sciences
- Application of nanotechnologies along the food supply chain
- Special Issue on Agriculture, Climate Change, Information Technology, Food and Animal (ACIFAS 2020)
- The use of endophytic growth-promoting bacteria to alleviate salinity impact and enhance the chlorophyll, N uptake, and growth of rice seedling
Articles in the same Issue
- Regular Articles
- The nutmeg seedlings growth under pot culture with biofertilizers inoculation
- Recovery of heather (Calluna vulgaris) flowering in northern Finland
- Soil microbiome of different-aged stages of self-restoration of ecosystems on the mining heaps of limestone quarry (Elizavetino, Leningrad region)
- Conversion of land use and household livelihoods in Vietnam: A study in Nghe An
- Foliar selenium application for improving drought tolerance of sesame (Sesamum indicum L.)
- Assessment of deficit irrigation efficiency. Case study: Middle Sebou and Innaouene downstream
- Integrated weed management practices and sustainable food production among farmers in Kwara State, Nigeria
- Determination of morphological changes using gamma irradiation technology on capsicum specie varieties
- Use of maturity traits to identify optimal harvestable maturity of banana Musa AAB cv. “Embul” in dry zone of Sri Lanka
- Theory vs practice: Patterns of the ASEAN-10 agri-food trade
- Intake, nutrient digestibility, nitrogen, and mineral balance of water-restricted Xhosa goats supplemented with vitamin C
- Physicochemical properties of South African prickly pear fruit and peel: Extraction and characterisation of pectin from the peel
- An evaluation of permanent crops: Evidence from the “Plant the Future” project, Georgia
- Probing of the genetic components of seedling emergence traits as selection indices, and correlation with grain yield characteristics of some tropical maize varieties
- Increase in the antioxidant content in biscuits by infusions or Prosopis chilensis pod flour
- Altitude, shading, and management intensity effect on Arabica coffee yields in Aceh, Indonesia
- Climate change adaptation and cocoa farm rehabilitation behaviour in Ahafo Ano North District of Ashanti region, Ghana
- Effect of light spectrum on growth, development, and mineral contents of okra (Abelmoschus esculentus L.)
- An assessment of broiler value chain in Nigeria
- Storage root yield and sweetness level selection for new honey sweet potato (Ipomoea batatas [L.] Lam)
- Direct financial cost of weed control in smallholder rubber plantations
- Combined application of poultry litter biochar and NPK fertilizer improves cabbage yield and soil chemical properties
- How does willingness and ability to pay of palm oil smallholders affect their willingness to participate in Indonesian sustainable palm oil certification? Empirical evidence from North Sumatra
- Investigation of the adhesion performance of some fast-growing wood species based on their wettability
- The choice of information sources and marketing channel of Bali cattle farmers in Bali Province
- Preliminary phytochemical screening and in vitro antibacterial activity of Plumbago indica (Laal chitrak) root extracts against drug-resistant Escherichia coli and Klebsiella pneumoniae
- Agronomic and economic performance of maize (Zea mays L.) as influenced by seed bed configuration and weed control treatments
- Selection and characterization of siderophores of pathogenic Escherichia coli intestinal and extraintestinal isolates
- Effectiveness of cowpea (Vigna unguiculata L.) living mulch on weed suppression and yield of maize (Zea mays L.)
- Cow milk and its dairy products ameliorate bone toxicity in the Coragen-induced rat model
- The motives of South African farmers for offering agri-tourism
- Morphophysiological changes and reactive oxygen species metabolism in Corchorus olitorius L. under different abiotic stresses
- Nanocomposite coatings for hatching eggs and table eggs
- Climate change stressors affecting household food security among Kimandi-Wanyaga smallholder farmers in Murang’a County, Kenya
- Genetic diversity of Omani barley (Hordeum vulgare L.) germplasm
- Productivity and profitability of organic and conventional potato (Solanum tuberosum L.) production in West-Central Bhutan
- Response of watermelon growth, yield, and quality to plant density and variety in Northwest Ethiopia
- Sex allocation and field population sex ratio of Apanteles taragamae Viereck (Hymenoptera: Braconidae), a larval parasitoid of the cucumber moth Diaphania indica Saunders (Lepidoptera: Crambidae)
- Comparison of total nutrient recovery in aquaponics and conventional aquaculture systems
- Relationships between soil salinity and economic dynamics: Main highlights from literature
- Effects of soil amendments on selected soil chemical properties and productivity of tef (Eragrostis tef [Zucc.] Trotter) in the highlands of northwest Ethiopia
- Influence of integrated soil fertilization on the productivity and economic return of garlic (Allium sativum L.) and soil fertility in northwest Ethiopian highlands
- Physiological and biochemical responses of onion plants to deficit irrigation and humic acid application
- The incorporation of Moringa oleifera leaves powder in mutton patties: Influence on nutritional value, technological quality, and sensory acceptability
- Response of biomass, grain production, and sugar content of four sorghum plant varieties (Sorghum bicolor (L.) Moench) to different plant densities
- Assessment of potentials of Moringa oleifera seed oil in enhancing the frying quality of soybean oil
- Influences of spacing on yield and root size of carrot (Daucus carota L.) under ridge-furrow production
- Review Articles
- A review of upgradation of energy-efficient sustainable commercial greenhouses in Middle East climatic conditions
- Plantago lanceolata – An overview of its agronomically and healing valuable features
- Special Issue on CERNAS 2020
- The role of edible insects to mitigate challenges for sustainability
- Morphology and structure of acorn starches isolated by enzymatic and alkaline methods
- Evaluation of FT-Raman and FTIR-ATR spectroscopy for the quality evaluation of Lavandula spp. Honey
- Factors affecting eating habits and knowledge of edible flowers in different countries
- Ideal pH for the adsorption of metal ions Cr6+, Ni2+, Pb2+ in aqueous solution with different adsorbent materials
- Determination of drying kinetics, specific energy consumption, shrinkage, and colour properties of pomegranate arils submitted to microwave and convective drying
- Eating habits and food literacy: Study involving a sample of Portuguese adolescents
- Characterization of dairy sheep farms in the Serra da Estrela PDO region
- Development and characterization of healthy gummy jellies containing natural fruits
- Agro-ecological services delivered by legume cover crops grown in succession with grain corn crops in the Mediterranean region
- Special issue on CERNAS 2020: Message from the Editor
- Special Issue on ICESAT 2019
- Climate field schools to increase farmers’ adaptive capacity to climate change in the southern coastline of Java
- Special Issue on the International Conference on Agribusiness and Rural Development - IConARD 2020
- Supply chain efficiency of red chili based on the performance measurement system in Yogyakarta, Indonesia
- Sustainable value of rice farm based on economic efficiency in Yogyakarta, Indonesia
- Enhancing the performance of conventional coffee beans drying with low-temperature geothermal energy by applying HPHE: An experimental study
- Opportunities of using Spirulina platensis as homemade natural dyes for textiles
- Special Issue on the APA 2019 - 11th Triennial Conference
- Expanding industrial uses of sweetpotato for food security and poverty alleviation
- A survey on potato productivity, cultivation and management constraints in Mbala district of Northern Zambia
- Orange-fleshed sweetpotato: Strategies and lessons learned for achieving food security and health at scale in Sub-Saharan Africa
- Growth and yield of potato (Solanum tuberosum L.) as affected by storage conditions and storage duration in Jos, Plateau State, Nigeria
- Special Issue on the International Conference on Multidisciplinary Research - Agrarian Sciences
- Application of nanotechnologies along the food supply chain
- Special Issue on Agriculture, Climate Change, Information Technology, Food and Animal (ACIFAS 2020)
- The use of endophytic growth-promoting bacteria to alleviate salinity impact and enhance the chlorophyll, N uptake, and growth of rice seedling