Abstract
Weed control plays a vital role in achieving higher maize yield. We tested the hypothesis that interseeding cowpea as living mulch with maize will reduce biomass and diversity of weeds, and improve soil physical properties and maize yield. In 2017/2018 cropping seasons, a 2 × 4 factorial experiment was laid in a randomized complete block design with three replications at the Savelugu Municipality of Northern Ghana. The factorial treatment consisted of three cowpea varieties interseeded with two maize genotypes and a control (maize with no living mulch). Our result showed that, in both seasons, weed biomass and diversity, soil temperature, and grain yield were significantly (p < 0.05) higher in control plots than in cowpea living mulch plots at all growth stages of both maize varieties. However, maize growth was not affected by weeds at tasseling. We established that cowpea varieties as living mulch in maize cropping have similar effect on soil moisture and temperature but have varying degrees of suppressing weeds and improving maize yield. The cowpea living mulch had weed biomass of 0.5 t ha−1 compared to 2.6 t ha−1 in the control. In addition, living mulch plots had maize grain of 2 t ha−1 and stover yield of 3 t ha−1 compared to 0.98 and 2 t ha−1 respectively in the control. In conclusion, choosing the appropriate time for intercropping living mulches and selection of plant species (growth and canopy cover) for living mulch are essential in suppressing growth of weeds.
1 Introduction
Maize (Zea mays L.) is one of the major cereal crops produced and consumed in sub-Saharan Africa [1,2]. In Ghana, maize is the highest cultivated cereal crop (1 million hectare), representing 50–60% of total cereal production [3].
Regrettably, grain yield of maize on farmers’ field in Ghana is about 1.9 t ha−1 compared to an estimated attainable yield of 6.0 t ha−1 [4,5]. This low yield has been attributed to several factors among which are poor soils and inadequate and untimely weed control [3,6]. In relation to the later cause, Romaneckas et al. [7] and Mohammadi et al. [8] stressed that weed control plays a vital role in achieving higher yield as its infestation is one of the principal constraints facing maize production. This constrain has been associated with the ability of weeds to outcompete maize for water, light, nutrients, and carbon dioxide [7,9]. More worrisome is the fact that maize at the early stages of growth is highly susceptible to weed competition, and inadequate and untimely weed control could lead to yield losses of about 40–90% [9,10,11].
Because of these negative impacts, herbicide application has been recommended as a conventional method of weed control. However, in recent times, most smallholder farmers (80%) in Ghana have not been applying these herbicides because they have become too expensive and there are increased reports of misapplication [4,12,13]. In addition, application of herbicides causes negative effects on the environment, food/farmers’ health, and developing resistance of weeds [13,14].
Therefore, many authors [12,13,15] have called for an alternative method of suppression/control of weeds that guarantees good crop yield, safety to farmers and the environment. Consequently, Mohammadi et al. [8], Ram et al. [11], and Wang et al. [16] have argued that when legumes plants such as cowpea are introduced into cropping systems as living mulch, they could offer an important ecological approach to weed suppression and soil fertility improvement.
For instance, cowpea is known to fix about 240 kg ha−1 of atmospheric nitrogen and make about 60–70 kg ha−1 of the nitrogen to intercropped and succeeding crops, and this limits the need for inorganic fertilizers [13,17].
Therefore, in the present study, we selected three cowpea varieties (Apagbala, Padituya, and Nandanbaya) and two varieties of maize; “Abontem” (extra early maturing, 75 days) and “Omankwa” (early maturing, 90 days). These varieties are among the most cultivated among smallholder farmers (80%) in Ghana [18,19].
We tested the hypothesis that interseeding cowpea as living mulch in plots grown with maize will reduce biomass and the diversity of weeds, and improve the physical soil properties and the yield of maize.
2 Materials and methods
2.1 Description of study site
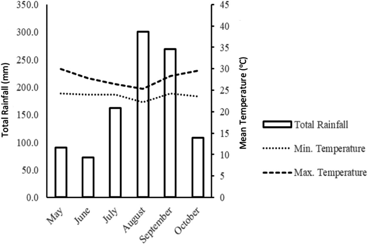
The study was conducted under on-farm conditions, during the 2017 and 2018 cropping seasons, at Duko (09.55879 N, 0.8200 W), a community located in the Savelugu Municipality of Northern Ghana. The study area lies within the Guinea Savanna agroecological zone of Ghana, with a warm climate of temperature range of 24–29°C. The area is characterized by a mono-modal rainfall with an annual rainfall range of 900–1,000 mm, which spans between April and early November each year (Figure 1).

The monthly pattern of rainfall and temperature at the study site during the experiment (2017/2018 cropping season).
During the study period, the month of August recorded the highest total monthly rainfall as well as the lowest mean monthly minimum and maximum temperature, while the month of June received the lowest total rainfall, with the highest mean monthly temperature values recorded by the month of May (Figure 1).
2.2 Experimental design
The experiment was a 2 × 4 factorial experiment laid in a randomized complete block design (RCBD) with three replications. A factorial treatment combination consisting of four cowpea living mulch systems: no living mulch (control), Apagbala living mulch with maize same day, Padituya living mulch with maize same day, and Nandanbaya living mulch with maize same day.
There were eight plots (treatments) in each replication, with each plot measuring 4.5 × 4.0 m with an alley of 1 m between living mulch plots and an alley of 2 m between maize maturity types.
2.3 Description of maize and cowpea varieties
The Abontem and Omankwa maize varieties were developed by the Council for Scientific and Industrial Research (CSIR) of Ghana and released in 2010. The Abontem is usually described as extra early maturing (75 days) while Omankwa maize variety is early maturing (90 days). The Abontem has a potential yield of about 4.7 t ha−1 with seed type being yellow flint. It is most suitable for the Guinea and Sudan savanna agroecological zones of Ghana. However, the Omankwa has a potential yield of about 5 t ha−1 with white flint/dent seed type. It is most suitable for forest and forest transition zones. However, both maize varieties are drought and striga tolerant.
The three cowpea varieties were released by the CSIR of Ghana from 2002 to 2008. They have varied morphological growth characteristic and generally adapted to the Sahel, Sudan, and derived Guinea savanna zones of Ghana (Table 1).
Growth characteristics and preferred ecology for cultivation of the three cowpea varieties
| Cowpea variety | Growth characteristics | Preferred ecology for cultivation |
|---|---|---|
| Apagbala | • Erect with determinate growth habit | Sahel, Sudan, Derived Guinea savanna zones |
| • Early maturing (60 days after sowing) | ||
| • It is high in fodder/grain yield | ||
| Padituya | • Has erect plant stature with few vines and large thick leaves | Sudan, Derived Guinea savanna zones |
| • Matures in 64–67 days | ||
| • Majority of the pods are slightly above the canopy | ||
| • The percent harvest in total yield (determinacy) is moderate, about 72% | ||
| Nandanbaya | • Has erect plant stature with few vines and medium thick leaves | Sahel, Sudan, Guinea savanna zones |
| • Matures in 64–67 days | ||
| • The brown mature pods are normally three per peduncle | ||
| • Majority of the pods are slightly above the canopy | ||
| • The percent harvest in total yield (determinacy) is moderate, about 65% |
2.4 Agronomic practices during the experiment
The maize was planted (in May 2017/2018 cropping season) at a spacing of 75 × 40 cm and interseeded with cowpea at rows between the maize plants to make a ratio of 1:1 row arrangement. The maize was planted at three seeds per hill and thinned to two seeds per hill 10 days after planting (DAP), while the cowpea was planted at two seeds per hill. The cowpea was planted at 20 cm intra-row spacing between the rows of the maize plants.
A compound fertilizer, NPK (15–15–15) was applied at 30 kg N ha−1, 30 kg P2O5, and 30 kg K2O ha−1 as a basal application to all maize plants 7 DAP and top dressed at 20 DAP with sulfate of ammonium at 30 kg N ha−1.
The WatchDog 2000 Series Weather Station was installed at the experimental site to measure the following weather parameters: precipitation (mm), temperature (°C), relative humidity (%), and solar radiation (W/m2) on a monthly basis during the cropping season.
The grain yield of maize was determined from the two middle rows within a net plot area of 6 m2. The maize cobs were harvested (in September–October, 2017/2018 cropping season) at physiological maturity, dehusked, and oven dried at 65°C to a moisture content of 13% before shelling to measure the grain weight. It was then converted into tons per hectare. After harvesting the cobs, the plants were cut at ground level and oven dried at 65°C for 72 h to a constant weight before measuring stover yield. It was then expressed as tons per hectare.
2.5 Assessment of biomass and diversity of weeds
A 1 m2 quadrat was used to measure weed species diversity at 6 weeks after planting the maize. The quadrat was randomly placed thrice in the middle of each plot along the diagonal. The weeds in each quadrat were then identified and scored using a scale of 0–4 where 0 = no occurrence, 1 = 1–2, 2 = 2–5, 3 = 6–20, and 4 = >20 plants of the weed species. The average weed occurrence in each treatment plot was calculated using the summed dominance ratio (SDR) approach by Dzomeku et al. [20]:
where F is the frequency of occurrence of a weed species within a treatment plot and D is the density of occurrence within a treatment plot.
At harvest, the weed biomass was determined using the 1 m2 quadrat. The quadrat was used to capture weeds by placing it randomly thrice in the middle of each plot along the diagonals. The weeds were then cut at ground level, put into an envelope, and oven dried at 65°C for 72 h to a constant weight as weed biomass.
2.6 Data analysis
Data collected were subjected to the general linear model of the statistical analysis software, Statistix 10. The analysis of variance (ANOVA) procedure for RCBD with three replications was used to determine whether there was significant difference among treatment. Least significant difference (LSD) was also used to separate treatment means of significant difference at 5% probability level.
3 Results
3.1 Weed biomass and diversity on maize plots interseeded with cowpea living mulch types
Weed biomass was significantly (p < 0.05) higher in the control plots (2.6 t ha−1) than in plots with any of the cowpea living mulches at the vegetative, tasseling, and harvest stages of both maize varieties (0.5 t ha−1). However, weed biomass was similar among the cowpea living mulch types (Figure 2).

The effect of cowpea living mulch types on weed biomass in maize plots (average of 2017/2018 cropping season). Bars represent standard error of means and bars with different letters are significantly (p < 0.05) different.
Eighteen dominant weed species were identified at 6 weeks after planting. The weed species were classified into grasses and broadleaves (Table 2). The cowpea living mulch types had varied diversity and score of weeds; however, weed species diversity under all non-mulched plots (control) was higher than that of the living-mulch plots (Table 2).
Weed species and average weed score affected by maize maturity type and cowpea living mulch type at harvest
| Abontem | Omankwa | |||||||
|---|---|---|---|---|---|---|---|---|
| Weed species | Sole | Apagbala | Padituya | Nandanbaya | Sole | Apagbala | Padituya | Nandanbaya |
| Grasses | ||||||||
| Panicum laxum Sw. | 4.0 | 4.9 | 8.8 | 7.3 | 5.1 | 12.9 | 4.9 | 11.6 |
| Total | 4.0 | 4.9 | 8.8 | 7.3 | 5.1 | 12.9 | 4.9 | 11.6 |
| Broadleaves | ||||||||
| Ageratum conyzoides L. | 7.9 | 3.7 | 4.4 | 4.8 | 5.1 | — | 8.5 | — |
| Commelina benghalensis L. | 3.0 | 3.7 | 3.4 | — | 7.7 | 4.9 | — | — |
| Corchorus olitorius L. | 12.9 | 13.6 | 10.9 | 15.6 | 6.3 | 12.9 | 13.4 | 10.3 |
| Hyptis spicigera Lam. | 5.9 | 6.2 | 6.5 | 6.0 | 6.3 | 5.9 | 6.1 | 6.1 |
| Ipomoea triloba L. | 3.0 | 4.9 | — | — | 3.9 | 6.1 | — | 4.2 |
| Leucas martinicensis (Jacq.) R.Br. | 7.0 | — | — | — | 5.1 | 4.0 | 3.6 | 4.2 |
| Ludwigia decurrens Walter | 10.8 | 12.3 | 12.9 | 14.3 | 12.6 | 9.8 | 13.5 | 12.2 |
| Mitracarpus villosus (Sw.) DC. | 8.9 | 12.3 | 5.4 | 10.8 | 10.1 | 4.0 | 11.0 | 9.4 |
| Oldenlandia herbacea (L.) Roxb. | 7.9 | 4.9 | 12.2 | 8.5 | — | 7.0 | 8.5 | 4.2 |
| Phyllanthus amarus (Schumach. & Thonn.) | 3.0 | — | — | — | — | — | 3.6 | — |
| Portulaca quadrifida L. | 8.9 | 9.9 | 9.9 | 14.5 | 16.4 | 13.8 | 8.5 | 9.4 |
| Schwenckia americana L. | 9.8 | 16.0 | 14.3 | 13.3 | 12.6 | 3.0 | 12.1 | 8.4 |
| Scoparia dulcis L. | 4.0 | 3.7 | 4.4 | — | 5.1 | 8.9 | — | 9.4 |
| Stachytarpheta cayennensis (Rich.) Vahl | 3.0 | 3.7 | 3.4 | — | — | 4.0 | 6.1 | 4.2 |
| Tridax procumbens L. | — | — | 3.4 | — | — | — | — | — |
| Vernonia ambigua (Kotschy & Peyr.) | — | — | — | 4.8 | 3.9 | 3.0 | — | 6.5 |
| Total | 96.0 | 95.1 | 91.2 | 92.7 | 94.9 | 87.1 | 95.1 | 88.4 |
| Coefficient of variance (%) | 14 | 21 | 17 | 23 | 19 | 20 | 17 | 19 |
3.2 Effect of cowpea living mulch types on soil temperature and moisture content
The different types of cowpea living mulch had a significant (p < 0.05) effect on soil temperature at vegetative and tasseling growth stage of the two maize varieties. The control (no mulch) plots recorded the highest soil temperature (Figure 3). Among the cowpea types, Apagbala living mulch had the lowest soil temperature and this was similar to Nandanbaya living mulch. However, soil temperature for both Apagbala and Nandanbaya living mulch types were significantly (p < 0.05) different from Padituya living mulch and the control–no living mulch (Figure 3).

The interaction effect of maize maturity type × cowpea living mulch type on soil temperature at vegetative and tasseling growth stage. Bars represent standard error of means and bars with different letters are significantly (p < 0.05) different.
The soil moisture content varied (p < 0.05) among the living mulch types at the various growth stages of both maize varieties. Generally, soils with all the cowpea living mulch types had higher (p < 0.05) moisture content at vegetative, tasseling, and harvest stages of both maize varieties (Table 3). At the various stages of maize growth, the lowest soil moisture content (average of 16%) was recorded at harvest (Table 3). For example, at vegetative stage of both maize varieties, the different living mulch types had similar soil water content; however, at tasseling, Apagbala mulch had the highest (p < 0.05) soil moisture followed by Padituya (Table 3). The different living mulch types were however similar in their soil moisture content at harvest, even though plots planted with Omankwa maize variety had higher soil moisture.
Average soil moisture content affected by cowpea living mulch types at different growth stages of two maize varieties
| Cowpea mulch type | Soil moisture content at different maize growth stages (%) | |||||
|---|---|---|---|---|---|---|
| Vegetative stage | Tasseling | Harvest | ||||
| Abontem | Omankwa | Abontem | Omankwa | Abontem | Omankwa | |
| Control | 21.32 ± 0.06b | 19.5 ± 0.08c | 18.3 ± 0.04d | 17.1 ± 0.03d | 11.2 ± 0.01b | 10.7 ± 0.04d |
| Apagbala | 27.84 ± 0.08a | 22.6 ± 0.04b | 25.3 ± 0.02a | 21.6 ± 0.09bc | 16.0 ± 0.01a | 16.9 ± 0.09bc |
| Padituya | 26.61 ± 0.06a | 26.1 ± 0.10a | 24.6 ± 0.07ac | 25.1 ± 0.02a | 14.9 ± 0.05a | 19.0 ± 0.11a |
| Nandanbaya | 26.90 ± 0.07a | 25.7 ± 0.09a | 23.9 ± 0.01c | 22.2 ± 0.05b | 15.6 ± 0.03a | 17.1 ± 0.06b |
| LSD (0.05) | 1.80 | 1.64 | 1.21 | 1.09 | 1.12 | 0.98 |
| p-value | * | * | * | * | * | * |
Mean values followed by the same letters in each column are not significantly different.
* = p-value ≤ 0.05; ± = standard error of means.
3.3 Height, stover, and grain yield of maize after using different cowpea varieties as living mulch
The maize variety × cowpea living mulch type had no significant effect on maize height. However, among the living mulch types, the Padituya living mulch produced the tallest (96 cm) maize plants at vegetative growth and this was significantly (p < 0.05) higher than the other two living mulch types, with the control producing the shortest plants of 87 cm (Table 4). But at tasseling growth stage, the height of maize was similar among all the living mulch types and the control. The pattern was different at harvest where all the living mulch types produced similar maize plants (187 cm) which were significantly (p < 0.05) higher than the control treatment (Table 4). One living mulch type, Padituya, was statistically similar to the control though taller at 185 cm (Table 4).
Maize plant height (cm) as affected by cowpea living mulch types (average of the two maize varieties)
| Cowpea living mulch types | Maize growth stage | ||
|---|---|---|---|
| Vegetative | Tasseling | Harvest | |
| Control (no living mulch) | 86.9b | 124.7 | 175.4b |
| Apagbala | 92.7ab | 124.5 | 187.5a |
| Padituya | 95.8a | 125.5 | 184.9ab |
| Nandanbaya | 90.9ab | 124.6 | 187.3a |
| LSD (0.05) | 7.9 | ns | 11.4 |
Mean values followed by the same letters in each column are not significantly different from one another.
ns = no significant difference.
Maize grain and stover yield were not influenced by maize maturity type. However, both maize grain and stover yield were significantly (p < 0.05) influenced by cowpea living mulch type. For example, Nandanbaya living mulch produced the highest maize grain and stover yield of 2.2 and 3.7 t ha−1 respectively, while the control had the lowest grain (1.0 t ha−1) and stover (2.5 t ha−1) yield (Figure 4).

The effect of cowpea living mulch types on maize grain and stover yield (average of the two maize varieties and the cropping season). Bars represent standard error of means.
4 Discussion
In this study, we tested the hypothesis that interseeding cowpea as living mulch in plots grown with maize will reduce diversity and biomass of weeds and, in addition, will improve the soil physical properties and the yield of maize. Our result showed that cowpea living mulch types can be used as an agronomic management strategy in controlling different species of weeds on maize farms considering that all the living mulch types contributed to the reduction in weed biomass and diversity, such that the control–no living mulch produced the highest weed biomass and diversity (Figure 2 and Table 2). This confirms the earlier suggestions, by Teasdale and Mohler [21] and Talebbeigi and Ghadiri [22], that living mulches could form an important component in agroecosystems management and used as a tool for weed suppression in sustainable agriculture systems.
Several authors have attributed the suppression of weeds by living mulches to their ability to outcompete the weeds for light, moisture, and nutrients [23,24,25]. In addition, the high soil moisture and low temperatures recorded on plots with living mulch compared to the control (Figure 3 and Table 3) could have suppressed the growth of the different weed species.
These environmental effects have been reported as requirements for breaking seed dormancy and promoting germination of weed seeds [24,26].
For instance, Travlos et al. [27], Gardarin et al. [28], and Koger et al. [29] mentioned that low soil temperature (25–30oC) and water content can exert a great influence on the germination, growth, and composition of weed in a cultivated area, a phenomenon Wang et al. [16] attributed to the less exposure of the weed seeds to heat-shock since weed seeds require higher (about 30oC) temperature to break their dormancy. However, contrary to the believe that soils with potential nitrogen release could promote weed seed germination [30], we found that on plots with cowpea (a nitrogen fixing plant) living mulch, density and diversity of weeds were lower, thus confirming the position of previous researchers that nitrogen in soils could stimulate seed dormancy in weeds [27,31,32].
We also found that the cowpea types exhibited different suppression abilities of weeds at different growth stages of the maize varieties. This could be because of the differences in the growth and morphological architecture of the cowpea varieties (Table 1). For instance, the success of Padituya and Nandanbaya in suppressing more weed growth could be because of their erect stature characterized by their large thick leaves which could have provided quick and thick canopy cover thereby suppressing growth of weeds. This therefore shows that apart from choosing the appropriate time for intercropping living mulches [33], mulch species selection (nature of growth and canopy cover) could be essential in shading or mechanically blocking the growth of weed species.
In relation to maize height and yield, the living mulches positively influenced the height, grain, and stover yield of both maize varieties. We found that all maize plots interseeded with cowpea living mulch produced grain and stover yield higher than the no living mulch (control). The difference in height and grain yield could be as a result of enhanced soil nutrients (e.g., nitrogen), which is associated with legume plants like cowpea. The findings of Radicetti et al. [34] and Wang et al. [16] affirm our assertion, as they reported better crop nitrogen status and estimated a higher total N-uptake and improved yield (e.g., wheat) in living-mulch plots than in no-mulch/monocrop systems. Therefore, our findings provide the alternative to the majority (80%) of smallholder low resource farmers who depend on maize cultivation but are confronted with problems of weeds and cannot afford inorganic fertilizer to meet the nitrogen and other nutrients’ needs of their farms.
5 Conclusion
We have established that the use of any of the most cultivated cowpea varieties in Ghana (Padituya, Apagbala, and Nandanbaya) as living mulch in maize cropping system has the potential to suppress different growth and biomass of weeds to 0.5 t ha−1 compared to 2.6 t ha−1 in the control. In addition, living mulch plots had increased maize grain of 2 t ha−1 and stover yield of 3 t ha−1 compared to 0.98 and 2 t ha−1 respectively in the control. Finally, in addition to choosing the appropriate time for intercropping living mulches; mulch species selection (nature of growth and canopy cover) is essential in shading, suppressing, or mechanically blocking the growth of weed species.
Acknowledgments
The authors wish to thank the Department of Agricultural Engineering–Faculty of Agriculture, Tamale Technical University for the support during the project. We also wish to acknowledge the technical support from the staff of the Ministry of Agriculture at the Savelugu Municipality of Northern Ghana.
-
Funding information: The authors state no funding involved.
-
Author contributions: Conceptualization: M.M.-U., F.D., and J.S.K. Data curation and formal analysis: F.D. and M.M.-U. Investigation: F.D. and M.M.-U. Methodology: F.D., M.M.-U., and J.S.K. Supervision: M.M.-U. Validation: M.M.-U. Visualization: J.S.K., M.M.-U., and F.D. Writing – original draft: J.S.K., M.M.-U. and F.D. Writing – review and editing: J.S.K.
-
Conflict of interest: The authors state no conflict of interest.
-
Data availability statement: The datasets generated during and/or analyzed during the current study are available from the corresponding author on reasonable request.
References
[1] Alori ET, Babalola OO, Prigent-Combare C. Impacts of microbial inoculants on the growth and yield of maize plant. Open Agric J. 2019;13:1–8. 10.2174/1874331501913010001.Search in Google Scholar
[2] Ogunboye O, Adekiya AO, Babatunde SE, Olayanju A. Effects of split application of urea fertilizer on soil chemical properties, maize performance and profitability in southwest Nigeria. Open Agric J. 2020;14:36–42. 10.2174/1874331502014010036.Search in Google Scholar
[3] Adu GB, Akromah R, Abdulai MS, Kena AW, Tengan KML, Alidu H. Assessment of genotype by environment interactions and grain yield performance of extra-early maize (Zea mays L.) hybrids. J Biol Agric Healthc. 2013;3(12):7–15.Search in Google Scholar
[4] Anorvey V, Asiedu E, Dapaah H. Growth and yield of maize as influenced by using lumax 537.5 SE for weed control in the transitional agro-ecological zone of Ghana. Int J Plant Soil Sci. 2018;21(2):1–11. 10.9734/IJPSS/2018/38795.Search in Google Scholar
[5] Badu E, Kaba JS, Abunyewa AA, Dawoe EK, Agbenyega O, Barnes VR. Biochar and inorganic nitrogen fertilizer effects on maize (Zea mays L.) nitrogen use and yield in moist semi-deciduous forest zone of Ghana. J Plant Nutr. 2019;42:2407–22. 10.1080/01904167.2019.1659347.Search in Google Scholar
[6] Agyare WA, Asare IK, Sogbedji J, Clottey VA. Challenges to maize fertilization in the forest and transition zones of Ghana. Afr J Agric Res. 2014;6:593–602. 10.5897/AJAR12.1698.Search in Google Scholar
[7] Romaneckas K, Adamavičiene A, Pilipavičius V, Šarauskis E, Avižienyte D, Buragiene S. Interaction of maize and living mulch. Crop weediness and productivity. Zemdirbyste. 2012;99(1):23–30.Search in Google Scholar
[8] Mohammadi GR, Mozafari S, Ghobadi ME, Najaphy A. Weed suppressive ability and productivity of Berseem clover (Trifolium alexandrianum L.) interseeded at different rates and times in corn (Zea mays L.) field. Philippine Agric Scientist. 2012;95(4):352–7.Search in Google Scholar
[9] Munakamwe Z, McKenzie BA, Hill GD. Low input weed management in field peas. Open Agric J. 2013;7:53–64. 10.2174/1874331501307010053.Search in Google Scholar
[10] Oerke EC, Dehne HW. Safeguarding production losses in major crops and the role of crop protection. Crop Prot. 2004;23:275–85. 10.1016/j.cropro.2003.10.001.Search in Google Scholar
[11] Ram P, Sreenivas G, Rani PL. Impact of sustainable weed management practices on growth, phenology and yield of rabi grain maize (Zea mays L.). IJCMAS. 2017;6(7):701–10. 10.20546/ijcmas.2017.607.087.Search in Google Scholar
[12] Afari-Sefa V, Asare-Bediako E, Kenyon L, Micah JA. Pesticide use practices and perceptions of vegetable farmers in the cocoa belts of the Ashanti and Western regions of Ghana. Adv Crop Sci Technol. 2015;3:174. 10.4172/2329-8863.1000174.Search in Google Scholar
[13] Ofori ESK, Yeboah S, Apaatah F, Sintim J, Ofori-Ayeh E, Osae M. Perceptions and practices of herbicide use among peri urban vegetable farmers in selected hubs of the accra plains. Adv Res. 2017;9(4):1–11. 10.9734/AIR/2017/33406.Search in Google Scholar
[14] Ehrmann J, Ritz K. Plant soil interactions in temperate multi-cropping production systems. Plant Soil. 2014;376(1):1–29. 10.1007/s11104-013-1921-8.Search in Google Scholar
[15] Ntow WJ, Gijzen HJ, Kelderman P, Drechsel P. Farmer perceptions and pesticide use practices in vegetable production in Ghana. Pest Manag Sci. 2006;62:356–65. 10.1002/ps.1178.Search in Google Scholar PubMed
[16] Wang X, Junliang F, Xing Y, Xu G, Wang H, Deng J, et al. The effects of mulch and nitrogen fertilizer on the soil environment of crop plants. Adv Agron. 2018;153:121–73. 10.1016/bs.agron.2018.08.003.Search in Google Scholar
[17] Agyeman K, Berchie JN, Osei-Bonsu I, Tetteh Nartey E, Fordjour JK. Growth and yield performance of improved cowpea (Vigna unguiculata L.) varieties in Ghana. Agric Sci. 2014;2(4):44–52. 10.12735/as.v2i4p44.Search in Google Scholar
[18] Okese KA. Cowpea varieties released and registered in Ghana is a compilation of improved cowpea varieties and their characteristics. Ghana: Agrihome Ghana; 2018. Available from: https://blog.agrihomegh.com/cowpea-varieties-released/. Accessed on 29 May, 2020.Search in Google Scholar
[19] Wahaga E. The adoption of improved cowpea varieties in Northern Ghana. Acta Sci Agric. 2019;3(7):14–20. 10.31080/ASAG.2019.03.0510.Search in Google Scholar
[20] Dzomeku IK, Abudulai M, Brandenburg RL, Jordan DL. Survey of weeds and management practices in peanut (Arachis hypogaea L.) in the savanna ecology of Ghana. Peanut Sci. 2009;36:165–73. 10.3146/PS08-009.1.Search in Google Scholar
[21] Teasdale JR, Mohler CL. Light transmittance, soil temperature, and soil moisture under residue of hairy vetch and rye. Agron J. 1993;85:673–80. 10.2134/agronj1993.00021962008500030029x.Search in Google Scholar
[22] Talebbeigi RM, Ghadiri H. Effects of cowpea living mulch on weed control and maize yield. J Biol Environ Sci. 2012;6(17):189–93.Search in Google Scholar
[23] Mayer JB, Hartwig NL. Corn yield in crown mulch relative to dead mulches. Proceeding of the Annual Meeting of the Northeast Weed Science Society. United States of America: Northeast Weed Science Society; Vol. 40; 1986. p. 34–5.Search in Google Scholar
[24] Teasdale JR, Daughtry CS. Weed suppression by live and desiccated Hairy Vetch (Vicia villosa). Weed Sci. 1993;41:207–12, http://www.jstor.org/stable/404530610.1017/S0043174500076074Search in Google Scholar
[25] Farooq M, Khan I, Nawaz A, Cheema MA, Siddique KHM. Using sorghum to suppress weeds in autumn planted maize. Crop Prot. 2020;13:105162. 10.1016/j.cropro.2020.105162.Search in Google Scholar
[26] Liebman M, Davis AS. Integration of soil, crop and weed management in low external-input farming systems. Weed Res. 2000;40(1):27–47. 10.1046/j.1365-3180.2000.00164.x.Search in Google Scholar
[27] Travlos I, Gazoulis I, Kanatas P, Tsekoura A, Zannopoulos S, Papastylianou P. Key factors affecting weed seeds’ germination, weed emergence, and their possible role for the efficacy of false seedbed technique as weed management practice. Front Agron. 2020;2:1. 10.3389/fagro.2020.00001.Search in Google Scholar
[28] Gardarin A, Guillemin J-P, Munier-Jolain NM, Colbach N. Estimation of key parameters for weed population dynamics models: base temperature and base water potential for germination. Eur J Agron. 2010;32:162–8. 10.1016/j.eja.2009.09.006.Search in Google Scholar
[29] Koger CH, Reddy KN, Poston DH. Factors affecting seed germination, seedling emergence, and survival of texasweed (Caperonia palustris). Weed Sci. 2004;52:989–95. 10.1614/WS-03-139R2.Search in Google Scholar
[30] Mohler C. Weed life history: identifying vulnerabilities. In: Liebman M, Mohler C, Staver C, editors. Ecological management of agricultural weeds. Cambridge: Cambridge University Press; 2001. p. 40–98. 10.1017/CBO9780511541810.003.Search in Google Scholar
[31] Karssen CM, Hilhorst HWM. Effect of chemical environment on seed germination. In: Fenner M, editor. Seeds – the ecology of regeneration in plant communities. Wallingford, UK: CABI International; 2000. p. 327–48. 10.1079/9780851994321.0293.Search in Google Scholar
[32] Goudey JS, Saini HS, Spencer MS. Role of nitrate in regulating germination of Sinapis arvensis L. (wild mustard). Plant Cell Environ. 1988;11:9–12. 10.1111/j.1365-3040.1988.tb01770.x.Search in Google Scholar
[33] Kitis YE, Koloren O, Uygur N. Evaluation of common vetch (Vicia sativa L.) as living mulch for ecological weed control in citrus orchards. Afr J Agric Res. 2011;6(5):1257–64. 10.5897/AJAR11.009.Search in Google Scholar
[34] Radicetti E, Baresel JP, El‐Haddoury EJ, Finckh MR, Mancinelli R, Schmidt JH, et al. Wheat performance with subclover living mulch in different agro‐environmental conditions depends on crop management. Eur J Agron. 2018;94:36–45. 10.1016/j.eja.2018.01.011.Search in Google Scholar
© 2021 Mustapha Mas-Ud et al., published by De Gruyter
This work is licensed under the Creative Commons Attribution 4.0 International License.
Articles in the same Issue
- Regular Articles
- The nutmeg seedlings growth under pot culture with biofertilizers inoculation
- Recovery of heather (Calluna vulgaris) flowering in northern Finland
- Soil microbiome of different-aged stages of self-restoration of ecosystems on the mining heaps of limestone quarry (Elizavetino, Leningrad region)
- Conversion of land use and household livelihoods in Vietnam: A study in Nghe An
- Foliar selenium application for improving drought tolerance of sesame (Sesamum indicum L.)
- Assessment of deficit irrigation efficiency. Case study: Middle Sebou and Innaouene downstream
- Integrated weed management practices and sustainable food production among farmers in Kwara State, Nigeria
- Determination of morphological changes using gamma irradiation technology on capsicum specie varieties
- Use of maturity traits to identify optimal harvestable maturity of banana Musa AAB cv. “Embul” in dry zone of Sri Lanka
- Theory vs practice: Patterns of the ASEAN-10 agri-food trade
- Intake, nutrient digestibility, nitrogen, and mineral balance of water-restricted Xhosa goats supplemented with vitamin C
- Physicochemical properties of South African prickly pear fruit and peel: Extraction and characterisation of pectin from the peel
- An evaluation of permanent crops: Evidence from the “Plant the Future” project, Georgia
- Probing of the genetic components of seedling emergence traits as selection indices, and correlation with grain yield characteristics of some tropical maize varieties
- Increase in the antioxidant content in biscuits by infusions or Prosopis chilensis pod flour
- Altitude, shading, and management intensity effect on Arabica coffee yields in Aceh, Indonesia
- Climate change adaptation and cocoa farm rehabilitation behaviour in Ahafo Ano North District of Ashanti region, Ghana
- Effect of light spectrum on growth, development, and mineral contents of okra (Abelmoschus esculentus L.)
- An assessment of broiler value chain in Nigeria
- Storage root yield and sweetness level selection for new honey sweet potato (Ipomoea batatas [L.] Lam)
- Direct financial cost of weed control in smallholder rubber plantations
- Combined application of poultry litter biochar and NPK fertilizer improves cabbage yield and soil chemical properties
- How does willingness and ability to pay of palm oil smallholders affect their willingness to participate in Indonesian sustainable palm oil certification? Empirical evidence from North Sumatra
- Investigation of the adhesion performance of some fast-growing wood species based on their wettability
- The choice of information sources and marketing channel of Bali cattle farmers in Bali Province
- Preliminary phytochemical screening and in vitro antibacterial activity of Plumbago indica (Laal chitrak) root extracts against drug-resistant Escherichia coli and Klebsiella pneumoniae
- Agronomic and economic performance of maize (Zea mays L.) as influenced by seed bed configuration and weed control treatments
- Selection and characterization of siderophores of pathogenic Escherichia coli intestinal and extraintestinal isolates
- Effectiveness of cowpea (Vigna unguiculata L.) living mulch on weed suppression and yield of maize (Zea mays L.)
- Cow milk and its dairy products ameliorate bone toxicity in the Coragen-induced rat model
- The motives of South African farmers for offering agri-tourism
- Morphophysiological changes and reactive oxygen species metabolism in Corchorus olitorius L. under different abiotic stresses
- Nanocomposite coatings for hatching eggs and table eggs
- Climate change stressors affecting household food security among Kimandi-Wanyaga smallholder farmers in Murang’a County, Kenya
- Genetic diversity of Omani barley (Hordeum vulgare L.) germplasm
- Productivity and profitability of organic and conventional potato (Solanum tuberosum L.) production in West-Central Bhutan
- Response of watermelon growth, yield, and quality to plant density and variety in Northwest Ethiopia
- Sex allocation and field population sex ratio of Apanteles taragamae Viereck (Hymenoptera: Braconidae), a larval parasitoid of the cucumber moth Diaphania indica Saunders (Lepidoptera: Crambidae)
- Comparison of total nutrient recovery in aquaponics and conventional aquaculture systems
- Relationships between soil salinity and economic dynamics: Main highlights from literature
- Effects of soil amendments on selected soil chemical properties and productivity of tef (Eragrostis tef [Zucc.] Trotter) in the highlands of northwest Ethiopia
- Influence of integrated soil fertilization on the productivity and economic return of garlic (Allium sativum L.) and soil fertility in northwest Ethiopian highlands
- Physiological and biochemical responses of onion plants to deficit irrigation and humic acid application
- The incorporation of Moringa oleifera leaves powder in mutton patties: Influence on nutritional value, technological quality, and sensory acceptability
- Response of biomass, grain production, and sugar content of four sorghum plant varieties (Sorghum bicolor (L.) Moench) to different plant densities
- Assessment of potentials of Moringa oleifera seed oil in enhancing the frying quality of soybean oil
- Influences of spacing on yield and root size of carrot (Daucus carota L.) under ridge-furrow production
- Review Articles
- A review of upgradation of energy-efficient sustainable commercial greenhouses in Middle East climatic conditions
- Plantago lanceolata – An overview of its agronomically and healing valuable features
- Special Issue on CERNAS 2020
- The role of edible insects to mitigate challenges for sustainability
- Morphology and structure of acorn starches isolated by enzymatic and alkaline methods
- Evaluation of FT-Raman and FTIR-ATR spectroscopy for the quality evaluation of Lavandula spp. Honey
- Factors affecting eating habits and knowledge of edible flowers in different countries
- Ideal pH for the adsorption of metal ions Cr6+, Ni2+, Pb2+ in aqueous solution with different adsorbent materials
- Determination of drying kinetics, specific energy consumption, shrinkage, and colour properties of pomegranate arils submitted to microwave and convective drying
- Eating habits and food literacy: Study involving a sample of Portuguese adolescents
- Characterization of dairy sheep farms in the Serra da Estrela PDO region
- Development and characterization of healthy gummy jellies containing natural fruits
- Agro-ecological services delivered by legume cover crops grown in succession with grain corn crops in the Mediterranean region
- Special issue on CERNAS 2020: Message from the Editor
- Special Issue on ICESAT 2019
- Climate field schools to increase farmers’ adaptive capacity to climate change in the southern coastline of Java
- Special Issue on the International Conference on Agribusiness and Rural Development - IConARD 2020
- Supply chain efficiency of red chili based on the performance measurement system in Yogyakarta, Indonesia
- Sustainable value of rice farm based on economic efficiency in Yogyakarta, Indonesia
- Enhancing the performance of conventional coffee beans drying with low-temperature geothermal energy by applying HPHE: An experimental study
- Opportunities of using Spirulina platensis as homemade natural dyes for textiles
- Special Issue on the APA 2019 - 11th Triennial Conference
- Expanding industrial uses of sweetpotato for food security and poverty alleviation
- A survey on potato productivity, cultivation and management constraints in Mbala district of Northern Zambia
- Orange-fleshed sweetpotato: Strategies and lessons learned for achieving food security and health at scale in Sub-Saharan Africa
- Growth and yield of potato (Solanum tuberosum L.) as affected by storage conditions and storage duration in Jos, Plateau State, Nigeria
- Special Issue on the International Conference on Multidisciplinary Research - Agrarian Sciences
- Application of nanotechnologies along the food supply chain
- Special Issue on Agriculture, Climate Change, Information Technology, Food and Animal (ACIFAS 2020)
- The use of endophytic growth-promoting bacteria to alleviate salinity impact and enhance the chlorophyll, N uptake, and growth of rice seedling
Articles in the same Issue
- Regular Articles
- The nutmeg seedlings growth under pot culture with biofertilizers inoculation
- Recovery of heather (Calluna vulgaris) flowering in northern Finland
- Soil microbiome of different-aged stages of self-restoration of ecosystems on the mining heaps of limestone quarry (Elizavetino, Leningrad region)
- Conversion of land use and household livelihoods in Vietnam: A study in Nghe An
- Foliar selenium application for improving drought tolerance of sesame (Sesamum indicum L.)
- Assessment of deficit irrigation efficiency. Case study: Middle Sebou and Innaouene downstream
- Integrated weed management practices and sustainable food production among farmers in Kwara State, Nigeria
- Determination of morphological changes using gamma irradiation technology on capsicum specie varieties
- Use of maturity traits to identify optimal harvestable maturity of banana Musa AAB cv. “Embul” in dry zone of Sri Lanka
- Theory vs practice: Patterns of the ASEAN-10 agri-food trade
- Intake, nutrient digestibility, nitrogen, and mineral balance of water-restricted Xhosa goats supplemented with vitamin C
- Physicochemical properties of South African prickly pear fruit and peel: Extraction and characterisation of pectin from the peel
- An evaluation of permanent crops: Evidence from the “Plant the Future” project, Georgia
- Probing of the genetic components of seedling emergence traits as selection indices, and correlation with grain yield characteristics of some tropical maize varieties
- Increase in the antioxidant content in biscuits by infusions or Prosopis chilensis pod flour
- Altitude, shading, and management intensity effect on Arabica coffee yields in Aceh, Indonesia
- Climate change adaptation and cocoa farm rehabilitation behaviour in Ahafo Ano North District of Ashanti region, Ghana
- Effect of light spectrum on growth, development, and mineral contents of okra (Abelmoschus esculentus L.)
- An assessment of broiler value chain in Nigeria
- Storage root yield and sweetness level selection for new honey sweet potato (Ipomoea batatas [L.] Lam)
- Direct financial cost of weed control in smallholder rubber plantations
- Combined application of poultry litter biochar and NPK fertilizer improves cabbage yield and soil chemical properties
- How does willingness and ability to pay of palm oil smallholders affect their willingness to participate in Indonesian sustainable palm oil certification? Empirical evidence from North Sumatra
- Investigation of the adhesion performance of some fast-growing wood species based on their wettability
- The choice of information sources and marketing channel of Bali cattle farmers in Bali Province
- Preliminary phytochemical screening and in vitro antibacterial activity of Plumbago indica (Laal chitrak) root extracts against drug-resistant Escherichia coli and Klebsiella pneumoniae
- Agronomic and economic performance of maize (Zea mays L.) as influenced by seed bed configuration and weed control treatments
- Selection and characterization of siderophores of pathogenic Escherichia coli intestinal and extraintestinal isolates
- Effectiveness of cowpea (Vigna unguiculata L.) living mulch on weed suppression and yield of maize (Zea mays L.)
- Cow milk and its dairy products ameliorate bone toxicity in the Coragen-induced rat model
- The motives of South African farmers for offering agri-tourism
- Morphophysiological changes and reactive oxygen species metabolism in Corchorus olitorius L. under different abiotic stresses
- Nanocomposite coatings for hatching eggs and table eggs
- Climate change stressors affecting household food security among Kimandi-Wanyaga smallholder farmers in Murang’a County, Kenya
- Genetic diversity of Omani barley (Hordeum vulgare L.) germplasm
- Productivity and profitability of organic and conventional potato (Solanum tuberosum L.) production in West-Central Bhutan
- Response of watermelon growth, yield, and quality to plant density and variety in Northwest Ethiopia
- Sex allocation and field population sex ratio of Apanteles taragamae Viereck (Hymenoptera: Braconidae), a larval parasitoid of the cucumber moth Diaphania indica Saunders (Lepidoptera: Crambidae)
- Comparison of total nutrient recovery in aquaponics and conventional aquaculture systems
- Relationships between soil salinity and economic dynamics: Main highlights from literature
- Effects of soil amendments on selected soil chemical properties and productivity of tef (Eragrostis tef [Zucc.] Trotter) in the highlands of northwest Ethiopia
- Influence of integrated soil fertilization on the productivity and economic return of garlic (Allium sativum L.) and soil fertility in northwest Ethiopian highlands
- Physiological and biochemical responses of onion plants to deficit irrigation and humic acid application
- The incorporation of Moringa oleifera leaves powder in mutton patties: Influence on nutritional value, technological quality, and sensory acceptability
- Response of biomass, grain production, and sugar content of four sorghum plant varieties (Sorghum bicolor (L.) Moench) to different plant densities
- Assessment of potentials of Moringa oleifera seed oil in enhancing the frying quality of soybean oil
- Influences of spacing on yield and root size of carrot (Daucus carota L.) under ridge-furrow production
- Review Articles
- A review of upgradation of energy-efficient sustainable commercial greenhouses in Middle East climatic conditions
- Plantago lanceolata – An overview of its agronomically and healing valuable features
- Special Issue on CERNAS 2020
- The role of edible insects to mitigate challenges for sustainability
- Morphology and structure of acorn starches isolated by enzymatic and alkaline methods
- Evaluation of FT-Raman and FTIR-ATR spectroscopy for the quality evaluation of Lavandula spp. Honey
- Factors affecting eating habits and knowledge of edible flowers in different countries
- Ideal pH for the adsorption of metal ions Cr6+, Ni2+, Pb2+ in aqueous solution with different adsorbent materials
- Determination of drying kinetics, specific energy consumption, shrinkage, and colour properties of pomegranate arils submitted to microwave and convective drying
- Eating habits and food literacy: Study involving a sample of Portuguese adolescents
- Characterization of dairy sheep farms in the Serra da Estrela PDO region
- Development and characterization of healthy gummy jellies containing natural fruits
- Agro-ecological services delivered by legume cover crops grown in succession with grain corn crops in the Mediterranean region
- Special issue on CERNAS 2020: Message from the Editor
- Special Issue on ICESAT 2019
- Climate field schools to increase farmers’ adaptive capacity to climate change in the southern coastline of Java
- Special Issue on the International Conference on Agribusiness and Rural Development - IConARD 2020
- Supply chain efficiency of red chili based on the performance measurement system in Yogyakarta, Indonesia
- Sustainable value of rice farm based on economic efficiency in Yogyakarta, Indonesia
- Enhancing the performance of conventional coffee beans drying with low-temperature geothermal energy by applying HPHE: An experimental study
- Opportunities of using Spirulina platensis as homemade natural dyes for textiles
- Special Issue on the APA 2019 - 11th Triennial Conference
- Expanding industrial uses of sweetpotato for food security and poverty alleviation
- A survey on potato productivity, cultivation and management constraints in Mbala district of Northern Zambia
- Orange-fleshed sweetpotato: Strategies and lessons learned for achieving food security and health at scale in Sub-Saharan Africa
- Growth and yield of potato (Solanum tuberosum L.) as affected by storage conditions and storage duration in Jos, Plateau State, Nigeria
- Special Issue on the International Conference on Multidisciplinary Research - Agrarian Sciences
- Application of nanotechnologies along the food supply chain
- Special Issue on Agriculture, Climate Change, Information Technology, Food and Animal (ACIFAS 2020)
- The use of endophytic growth-promoting bacteria to alleviate salinity impact and enhance the chlorophyll, N uptake, and growth of rice seedling