Abstract
An analytical and integrated approach to farming needs to be formulated to assist decision-making by policymakers. This is important for the sustainability of agriculture in Indonesia, especially in the Special Region of Yogyakarta, which has experienced a decrease in land area, production, and productivity in the last 5 years. This study aims to analyze the sustainability of rice farming using the sustainable-value approach, which is based on the economically efficient use of agricultural resources. Data were collected from rice farmers in 25 observation areas attached to eight river irrigation sources throughout the province. A criterion for economic efficiency has been used as a guideline for setting benchmarks for optimal input use. The study reveals that, in general, these rice farms had poor economic productivity values. The sustainable value distribution for rice farms exceeded the highest value but there was low sustained quality. This indicates the limited overall longevity but also the potential for sustainability. Therefore, in managing rice farms, economic, social, and environmental resources have to be used more effectively.
1 Introduction
Sustainable agriculture is critical in developing countries. The limited natural resources and lack of available technology necessitate increasing agricultural production to meet the growing demands of the population. Thus, vigorous innovation is required for agricultural productivity, especially food crops. However, as an agrarian country, Indonesia’s national food production is still considerably dependent on community farming, meaning that family farming could model the development of an index of sustainable economic development [1].
Paddy farming in the Special Region of Yogyakarta is dominated by rice, among other food crops. Statistical data show that the total area occupied by paddy fields in the province decreased in the period 2012–2016 [2], with rice production and productivity in community contexts, in particular, tending to decrease. In the period 2012–2016, rice production fell 0.82% for wetland rice and 4.78% for dry land rice, and productivity fell by 2.21% for wetland rice and 3.85% for dryland fields [3].
Field phenomena indicate that rice cultivation in the Special Region of Yogyakarta is quite varied in terms of both technology utilization and the allocation of production inputs for rice farming. Rice farming is often conducted using excessive external inputs, especially fertilizers and pesticides. This decreases land productivity and increases costs. This information raises questions regarding the efficiency and sustainability of rice farming in the province. This article addresses these questions by analyzing the sustainable value (SV) of rice farming based on economically efficient use of agricultural resources and sustainable efficiency.
Considerable research on-farm performance considered on-site efficiency and sustainability. In the context of technical efficiency (TE), in particular, there have been several studies. For example, it has been reported that integrated land fertility management was essential for improving TE [4]. Another study found that increased efficiency can be attributed to farmer organizations, extension services, productive assets, profitable commodity and input markets, the production and productivity of the family, and output prices being higher than input costs [5]. Using the total factor index for agricultural production, a preview study found that decreased production was a result of decreased TE [6]. Although the TE index for rice farming can be high, this is not necessarily environmentally beneficial without controlling chemical fertilizers and nitrogen use [7]. Elsewhere, another study found allocative potato farming in North Nyandarua to be inefficient due to farming inexperience and access to counseling, credit, and association memberships [8].
Turning to sustainability, conducting a sustainability analysis need to consider agro-ecological and economic indicators [9]. Another study assessed sustainability by dividing indicators into economic, social, and ecological dimensions [10]. The calculation of SV was introduced by Figge and Hahn [11] and calculated the capital cost of sustainability and the value of sustainability created, allowing comparison with the benchmark resource usage. Thus, SV is a tool for determining how a company’s resources can most contribute to sustainability.
Studies, including refs. [11,12,13,14,15,16,17,18,19] evaluate sustainable farming considering SV. Indicator frameworks for agricultural research are found in Smith and McDonald [20], Meul et al. [21], and Zhen and Routray [22]; these frameworks include ecological, economic, and social indicators. Elsewhere, another study used a composite indicator, which combined those three indicators [23]. A deeper insight into economic, social, biophysical, and environmental indicators has been provided by Ceyhan [10]. Generally, the main indicators of sustainable agriculture are economic, ecological, and social, the latter being synonymous with quality of life.
A preview study developed an SV approach associating eco-efficiency with environmental burden and eco-effectiveness, finding that public-goods-oriented agriculture developed as the environment improved [24]. Meanwhile, eco-efficiency measurement by comparing the ratio of gross additional greenhouse gas emissions to the results gleaned by different levels of environmental efficiency among certain European countries was applied [25]. Sustainable development models of agriculture and bioenergy have provided a dynamic indication that economic incentives, such as direct subsidies and tax credits, can improve fertility rates [26].
Farming characteristics should also be considered. It was found that farming families and non-farm income significantly limit the Farm Accountancy Data Network database’s capacity to evaluate the economic sustainability of agricultural households [27]. Meanwhile, different types of commercial farmings perform differently, economically and environmentally [28]. An analysis of environmental sustainability based on the economic value of recycling plant residues is important to significantly contribute to India’s energy production [29]. In a similar manner, identifying the potential for agritourism as a sustainable adaptation strategy can counter the effects of climate change [30].
The SV approach to farming sustainability developed by Figge and Hahn [11] and Van Passel et al. [19] was applied by Ang et al. [31] in Europe. Later, Oude Lansink and Wall [32] suggested including environmental efficiency aspects in its application. The basic concept of SV is using the difference between the actual productivity of resource use or farm inputs and benchmark resource productivity values. An approach was used to analyze frontier production functions to use estimations of technically efficient resource usage as benchmark values [19]. However, this model does not yet reflect the actual TE because the dependent variable in the production function is not technical but rather an economic variable, described by the authors as “value-added” [19], or the value of production. In contrast, building on previous SV approaches, this study used frontier cost function analyses to determine SV and cost-efficiency analyses to determine benchmarks for economically efficient resource usage.
2 Theoretical framework
2.1 Efficiency
Efficiency is used to measure the economic performance of a company or farm. Efficiency measurement begins with a concept put forward by Farell [33] and Kopp [34], which defines efficiency as the company’s ability to produce maximum output by using a certain number of inputs. Maximum potential production (also known as “best practice frontier”) is defined by frontier production. Efficiency measurement involves measuring the distance from the observed data point to the frontier.
The frontier function model was first introduced by Farell [33] by using isoquant curves to describe technical, allocative, and economic efficiency (EE) (Figure 1). TE is defined as a firm’s ability to produce maximum output by using a certain number of inputs. Allocative efficiency (AE) measures the input combination at the least cost combination in producing a certain output. AE will be achieved when the ratio of the marginal product for each input is equal to the price ratio of the input. In Farrell’s framework, EE measures all performance and is equal to TE × AE or EE = TE × AE.
The TE can be measured through the input and output approach [33]. Figure 1 illustrates the concept of TE, AE, and EE using the input approach. The K isoquant can be used to illustrate the relationship between two inputs at a given output level. Inputs X 1 and X 2 are used to produce the same number of outputs (Y). Each observation on an isoquant achieves TE, while the observation above the frontier is technical inefficiency. From the illustration, it can be seen that in observation “a” to produce an output of Y used inputs X 1 and X 2, which are bigger than observation “b”. In other words, the TE of the observation “a” is 0b/0a.
If the information on prices is known, and certain behavioral assumptions (such as cost minimization) are appropriate, AE can be calculated. AE is a combination of X 1 and X 2 that minimizes costs. In Figure 1, all observations on the isocost L are the AE. The observation “b” is technically efficient but has an AE that is less than 1. AE is defined as AE = 0c/0b.
The combination of TE and AE yields a measure of EE. Only the observation “d” is economically efficient, at which point the isoquant will intersect with the isocost. Thus, the EE:
The value of EE ranges between 0 and 1. A value of 1 indicates that the farm has fully achieved EE, while EE < 1 indicates that it is economically inefficient. Over the past three decades, Farrell’s methodology has been widely applied. Several studies have been conducted by Aigner and Chu [37] and Aigner et al. [38], later modified by Bravo-Ureta [36].
Based on the TE by allowing it to operate below its stochastic production limit, however, we require the company to be allocatively efficient by requiring it to operate on the lowest cost expansion path [39]. They have formulated a frontier cost function through the derivative of input demand based on information on input prices. Thus, starting from the production function that is derived to demand for input based on the price of input prices, then the cost function formula is determined by production and the input price as independent variables. Wadud found that the effect of inefficiency can be caused by limited access to technology, markets, credit, extension, inappropriate production scale, and suboptimal allocation of inputs [40].
2.2 Sustainable value
The SV method introduced by Figge and Hahn [13,41] is applied to resource valuation by applying the principle of opportunities costs. All resources (economic, environmental, and social) are required to build value using the capital approach (e.g., ref. [42]). Using the SV approach, we are of the opinion that a company contributes to more sustainable development whenever it uses its resources more productively than other companies and reduces or unchanged overall resource use.
We will need the following measures to measure a company’s SV. First, they need to assess the nature of the study. In other words, which company or operation or individual or entity will be chosen? Second, it is important to decide the appropriate resources to take into account (e.g., labor and land). The option should, in principle, involve those resources that are vital to the company’s sustainability success within the chosen framework. Third, we need to decide the benchmark standard. Choosing the target determines the cost of a company’s resource needs, that is, the efficiency a business requires to achieve. The choice of the benchmark reflects a normative judgment and determines the explanatory power of the sustainability assessment results [19].
The SV approach indicates how much more or less return has been provided as opposed to the benchmark with the available resources. A study of ADVANCE-project [43] recommends estimating “the return-to-cost (RtC) ratio” to take into account the size of the business. In Figge and Hahn [13] and Van Passel et al. [44], this ratio was called “sustainable efficiency”, but the word RtC terminology is more compatible with the principles of performance and productivity. The RtC ratio is calculated by dividing a company’s value-added by the sustainability capital costs. The cost of sustainable capital is determined by the difference between the added value and sustained value. The RtC ratio is equivalent to unity if the value-added matches the cost of all resources.
Recall that the approach to SV does not claim the benchmark to be sustainable. In other words, the methodology does not mean whether the total resource use is optimal, but rather how much a business leads to more efficient use of its resources than the benchmark. Another drawback is that the effectiveness of the technique is constrained by the data available on corporate capital use and the opportunity cost of the various resources [13]. Moreover, even though those things are observable, how to take these aspects into account is not always straightforward. Farm subsidies are one fascinating example. A result study found that the lower the RtCs ratio, the more a farm relies on subsidies [44]. The subsidies as a significant determinant for understanding the differences in sustainability efficiency. Another option, however, is to use subsidies to measure the SV on the premise that subsidies are important tools for realizing added value. Another downside of the approach to SV is the fact that it does not take into consideration qualitative dimensions of sustainability. All related aspects should be considerably quantified. The SV approach therefore enables economic, environmental, and social output to be combined. Instead of looking at how burdensome resource use is, it compares the value that various economic actors will generate with the resource. The approach is the first value-based methodology that allows the integration of different business resources and can thus be used to compare sustainability among businesses [19].
3 Research method
This research was conducted in the Sleman and Bantul Regencies of the Special Region of Yogyakarta, which includes 25 irrigation areas deriving water from eight river sources [45] and more than 67% of the total area covered by paddy fields in Yogyakarta [2]. Five farmers from each irrigation area were chosen as a sample using simple random sampling; in total, there were 125 farmers. Farming data were collected by farmers during the rainy and dry seasons of 2015–2016 for a total of 250 pieces of information in the observation dataset. Also, we have collected socio-economic data to describe the farmers’ characteristics.
The data in this study were analyzed with the SV formulation proposed by Figge and Hahn [13] and Van Passel et al. [19], using benchmarks of EE. A study by Parikh et al. [46] has taken an approach by estimating normal or actual cost (C) with minimum costs (C*) to determine the optimum input. Mathematically, the model can be formulated:
Based on analysis of the cost efficiency of the frontier cost function, EE can also be calculated as the inverse of frontier cost efficiency:
Production costs represent the value of inputs used in farm production. Production input values can be formulated as:
where p i = input price and x i = number of inputs.
Based on equations (1) and (3), the results for calculating EE can be formulated as equation (4):
If the EE value for each input (x i ) is assumed to be the same, and the input price (p i ) is considered to be constant, then EE can be expressed as:
Based on previous equations, economically efficient use of inputs can be determined as follows:
According to Figge and Hahn [13] and Van Passel et al. [19], a business SV can be formulated, with consideration of different resources, as follows:
where r i describes the capital resources (economic, environmental, and social) of farm i, and VA i is that farm’s production value. Based on the value of resource efficiency, benchmarks are calculated as follows:
By substituting equation (8) into equation (7), the SV value of farm i can be calculated as follows:
To research rice farming, economic, social, and environmental resources are described as farming inputs using the notation x i ; the efficient input is denoted x i *. Meanwhile, the value of production is expressed as revenue using the notation R i . The SV of rice farming using six kinds of inputs (x i ) can thus be calculated as follows:
where R i = total production value ($US); x 1 = area of land used (m2); x 2 = amount of seeds (kg); x 3 = number of workers (per workday); x 4 = the amount of urea N fertilizer (kg); x 5 = amount of NPK fertilizer (kg); x 6 = the amount of organic fertilizer (kg).
Finally, a farm’s sustainable efficiency value can be calculated using the RtC formula developed by Figge and Hahn [13]:
where if RtC = 1, the farm uses agricultural resources efficiently, and if RtC < 1, the farm does not use agricultural resources efficiently. Based on the approach, Van Passel et al. [19] state that all sustainability contributions are negative; thus, if SV is zero (SV = 0) or sustainable efficiency is 1 (RtC = 1), then the farm is most productive when economic, social, and environmental resources are in the best condition.
4 Results and discussion
4.1 Characteristics of respondents
The rice farmers who participated are described by age, level of education, family responsibilities, and farming experience. Tables 1–4 present an overview of these characteristics.
Age of respondents
Age (years) | Number of respondents | Percentage |
---|---|---|
≤40 | 8 | 6.40 |
41–50 | 20 | 16.00 |
51–60 | 44 | 35.20 |
61–70 | 44 | 35.20 |
>70 | 9 | 7.20 |
Total | 125 | 100.00 |
Education of respondents
Education level | Number of respondents | Percentage |
---|---|---|
No school | 3 | 2.40 |
Elementary | 47 | 37.60 |
Junior high | 23 | 18.40 |
Senior high | 44 | 35.20 |
Diploma | 4 | 3.20 |
Bachelor | 4 | 3.20 |
Total | 125 | 100.00 |
Number of family members
Family members | Number of respondents | Percentage |
---|---|---|
≤2 | 73 | 58.40 |
3–4 | 48 | 38.40 |
≥5 | 4 | 3.20 |
Total | 125 | 100.00 |
Respondent experience
Experience (years) | Number of respondents | Percentage |
---|---|---|
≤10 | 29 | 23.20 |
11–20 | 25 | 20.00 |
21–30 | 17 | 13.60 |
31–40 | 20 | 16.00 |
41–50 | 24 | 19.20 |
≥50 | 10 | 8.00 |
Total | 125 |
The age of participants ranged from 32 to 78 years. Only 22.4% of farmers were under the age of 50 years, while more than 35% of farmers were over 60 years. This indicates a predominance of older farmers in the study area, perhaps suggesting that farming activities are undertaken because the farmers do not have work outside of agriculture to fill the time between their work as a trader, laborer, or other kinds of employments. More than 60% of farmers likely do not work outside of farming because they are old; this includes retirees.
The education levels of respondents varied from not going to school at all to having graduated from a university. Most respondents (58.4%) had completed Indonesia’s 9-year basic education, up to the end of junior high school, or below. Only 6.4% of respondents had received tertiary education. Education levels, generally mostly low, might affect insight and managerial abilities, as well as the ability to master technology relevant to farming.
Family burden affects farming management strategies – production results must meet a household’s needs. The number of family members refers to the number that is the responsibility of the head of the household, whether or not they live in the same house. Table 3 shows that the number of family members of farm families was mostly less than or equal to two (58.4%). A low number of dependents provides more capital for farming because consumption needs tend to be low and can thus be diverted to farm capital needs.
Farming experience represents a farmer’s learning process – more experience managing a farm will improve a farmer’s skills. Rice farming experience among the sample ranged from 5 to 60 years. Farmers with more than 20 years of experience have generally been farming since they were young; however, this group generally has a relatively low level of education. This group dominates the number of farmers (>56%).
4.2 Farm efficiency
The results of frontier cost function analyses enabled the calculation of the estimated cost efficiency for each rice farm. The EE of each farm was calculated using formula (2). Table 5 presents the results.
Distribution of estimates of economic efficiency (EE) for rice farms
EE | Rainy season | Dry season | ||
---|---|---|---|---|
Number of farms | Percentage | Number of farms | Percentage | |
0.10–0.19 | 50 | 40 | 49 | 39.2 |
0.20–0.29 | 29 | 23.2 | 31 | 24.8 |
0.30–0.39 | 16 | 12.8 | 14 | 11.2 |
0.40–0.49 | 14 | 11.2 | 19 | 15.2 |
0.50–0.59 | 10 | 8 | 6 | 4.8 |
0.60–0.69 | 2 | 1.6 | 2 | 1.6 |
0.70–0.79 | 3 | 2.4 | 3 | 2.4 |
0.80–0.99 | 1 | 0.8 | 1 | 0.8 |
Total observations | 125 | 100.0 | 125 | 100.0 |
Average EE | 0.29 | 0.29 | ||
Minimum EE | 0.10 | 0.10 | ||
Maximum EE | 0.93 | 0.97 |
The distribution of EE values shows that most of the rice farms analyzed were economically inefficient and only 3.2% were economically efficient. This matches the findings of Wadud [47], who recognized that the majority of horticultural farming was not economically efficient; however, in that study, 25% of farms were more efficient than the farms in this study. This might be because rice, a staple food in Indonesia, carries a relatively low price because it is controlled by the government. Other horticultural commodities have a higher economic value than rice commodities. However, this assumption requires further study. It can be mentioned though that the two studies have generally shown horticultural farming to be economically inefficient (average EE < 0.70), a departure from the findings of Ramilan et al. [48], who considered animal husbandry in New Zealand and found an average EE above 0.70. This indicates the differences between different commodities, agricultural ecosystems, and management techniques.
The inefficiency effect estimation model as presented in Table 6 shows that the efficiency of rice farming is affected by the experience, arable land tenancy (dummy variable), access to credit (dummy variable), and participation in groups (dummy variable). These four factors negatively affect the inefficiency of rice farming. For example, more experience leads to more economically efficient farming, while farming on privately owned arable land is more economically efficient than farming on non-owned land (e.g., renting or profit-sharing). This suggests that owner-farmers can allocate production inputs more efficiently.
Estimated rice farming inefficiency coefficients
Variable | Parameter | Expected sign | Coefficient | t-ratio |
---|---|---|---|---|
Intercept | δ0 | ± | 1.9090*** | 8.2389 |
Age | δ1 | − | 0.0009 | 0.2991 |
Education | δ2 | − | 0.0051 | 0.7238 |
Experience | δ3 | − | −0.0040** | −2.4686 |
Family member | δ4 | + | −0.0003 | −0.0185 |
Dummy location | d1 | ± | −0.0163 | −0.2450 |
Rural = 1; peri urban = 0 | ||||
Dummy land tenancy status | d2 | ± | −0.6439*** | −11.5766 |
Owned = 1; non-owned = 0 | ||||
Dummy credit accessibility | d3 | ± | −0.1449*** | −2.7876 |
Available = 1; not available = 0 | ||||
Dummy group participation | d4 | ± | −0.1724*** | −2.9756 |
Active = 1; not active = 0 |
Information: ***significant at α = 1%, t-table = 2.5963, **significant at α = 5%, t-table = 1.9698.
Farming is also more economically efficient for farmers who have access to credit and who are active in group activities, indicating that farmers should utilize credit availability to farm more efficiently. Farmers who are active in groups receive more information, such as information regarding the prices of inputs, enabling proactive farmers to manage farming costs efficiently.
4.3 SV of rice farming
The results of the EE analysis can be used to determine the optimal use of inputs using equation (7). Efficient inputs are used as benchmarks to calculate SV (equations (9) and (10)). The calculation of SV can be used to calculate sustainable efficiency (equation (11)).
Table 7 compares the use of farming resources by one farm with economically efficient use of farming resources, showing that the actual resources used were greater than if resources were used efficiently. Thus, an efficient farm either saves resources or increases yield by using the same resources. This analysis presents the possibility of changing resource usage to achieve greater efficiency and the best farming results.
Actual and efficient agricultural resource use on a farm in Yogyakarta
Resources | Actual (r actual) | Efficiency (r efficient) |
---|---|---|
Land (m2) | 6,000 | 1504.58 |
Seed (kg) | 26 | 6.52 |
Labour (workday) | 48.5 | 12.16 |
N fertilizer (kg) | 170 | 42.63 |
NPK fertilizer (kg) | 60 | 15.05 |
Organic fertilizer (kg) | 1,800 | 451.37 |
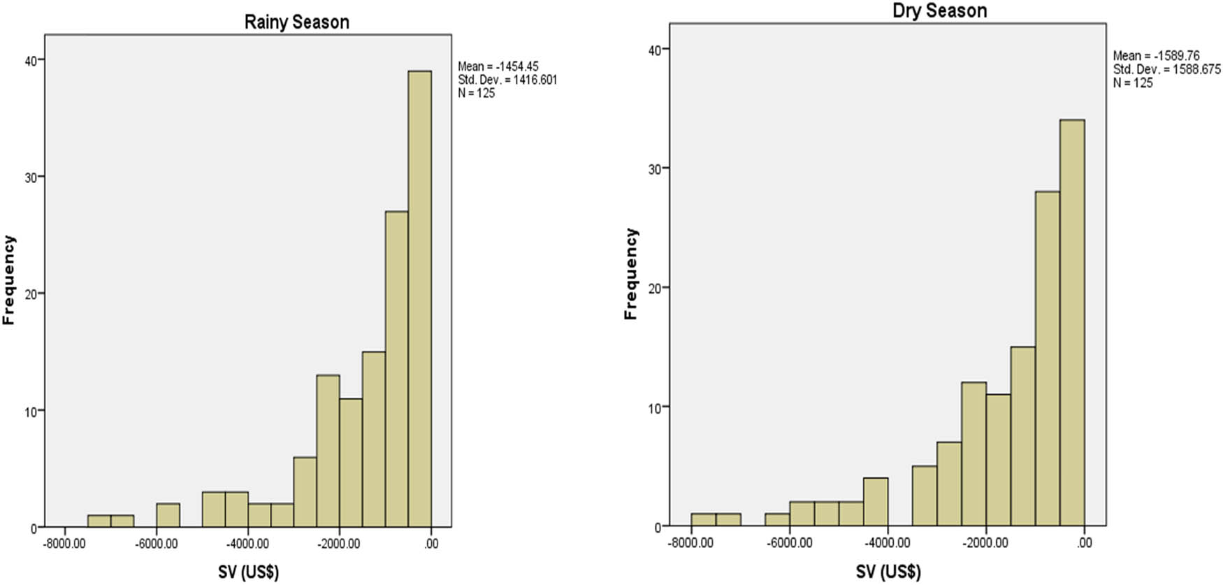
Using economically efficient resource usage as a benchmark, SV can be calculated. Figure 2 shows the SV histogram for all rice farms observed, indicating a negative overall SV. This can be explained as its calculation being based on the difference between resources used and efficient resource usage; thus, a high SV is the result of economically efficient resource usage or the farm reaching a high level of resource productivity. The SV distribution for rice farms ranges between US$ −7,089 to −24.89 in the rainy season and US$ −7,924 to −12 in the dry season. However, Figure 2 shows that most SV is close to zero. The result of the t-test comparison between default sustainability and the optimum (SV = 0) of 14.99 is greater than the t-table (α 1%) of 2.59. This indicates that there is a significant difference between the actual SV and optimal SV. In other words, these rice forms have not indicated sustainability.

Histogram showing SV for all observations of rainy and dry season rice farming.
These findings are consistent with the results of Van Passel et al. [19], Figge and Hahn [13], Van Passel et al. [49], Merante et al. [50], and Ehrmann and Kleinhanß [14]. In their research on cattle farming, Van Passel et al. [19] found that the SV for every farm sampled was negative and that there was no positive farming. Meanwhile, Ehrmann and Kleinhanß [14] found that the SV for farms up to 50 hectares was negative, but farms larger than 50 hectares achieve a positive SV. A positive SV indicates that the actual use of resources has yielded greater results than the benchmark.
Figure 2 shows the distribution of SV for farms, comparing the rainy and dry seasons. There is a slight difference between the two distributions, with the SV for the rainy season being higher than the SV for the dry season. This is reinforced by the statistical test for the average difference in SV between the rainy and dry seasons (t-test = 6.029).
This analysis indicates that each SV was below zero, implying that no farmer achieved optimal performance. Most SV (60%) were close to zero (maximum value), indicating the potential of rice farming to increase its efficiency and, thus, sustainability. This can be achieved by managing agricultural resources more efficiently and productively.
Sustainable efficiency is indicated by a farm’s RtC. In the rainy season, RtC ranged between 0.04 and 0.92, with an average of 0.24; in the dry season, RtC ranged from 0.06 to 0.96, with an average of 0.25. Figure 3 shows that most RtC values were less than optimal, indicating that most farms demonstrated a relatively low RtC ratio. Thus, the sustainability performance was around 24–25%. There was no significant difference between rainy and dry season RtC (t-test = 0.718). This means that, for both the rainy and dry seasons, the sustainability performance is equally poor, based on the RtC value being far below its ideal value (1), implying that the RtC value was clearly significantly different from its optimal value (t-test = 79.18). These results indicate poor performance, in terms of sustainability, from the rice farms analyzed.

Histogram of the RtC for all observations of rainy and dry season rice farming.
In a comparison of optimal values for SV (0) and RtC (1), the results for these rice farms remain below optimal. The results of a correlation analysis between SV and RtC showed a positive correlation at a 99% confidence level (Spearman’s rho = 0.592 for the rainy season and Spearman’s rho = 0.622 for the dry season). This means that if SV increased, RtC would also increase, and vice versa. Therefore, farmers are able to improve efficiency by managing agricultural input resources more productively. Rice farming sustainability can be increased through increased productivity; this can be achieved by reducing costs or increasing EE. Nonetheless, the efficiency of agricultural resource usage should be improved to achieve sustainable efficiency.
5 Conclusions and recommendations
The estimated EE of rice farming showed that the rice farms analyzed were not yet economically efficient. The SV analysis showed that the rice farms analyzed were not sustainable. However, SV could increase because most farms show a tendency to improve. Based on the results of the RtC analysis, the sustainability performance of the rice farms was low (RtC = 0.25).
Increasing the efficiency and sustainability of rice farming can be achieved by increasing the productivity of resources, including the efficient allocation of the farming resources. This can be achieved by training and mentoring farmer groups and by providing access to credit. Training and mentoring farmer groups will provide an additional experience so that farmers develop a more informed approach to farming. Developing farm management skills will increase the ability of farmers to manage farming resources efficiently. This increased managerial capacity should increase the productivity of agricultural resources.
In connection with the management of agricultural resources, it is necessary to provide quality farming resources for farmers, in the form of production facilities for seeds and organic fertilizers at affordable prices. Improving the quality of irrigation facilities and infrastructure services and providing inexpensive harvest technology are expected to reduce farming costs. Managing these resources can be achieved by mentoring farmer groups and increasing the participation of group members.
Acknowledgments
The authors acknowledge Supriyadi, Opralis, Habibullah, Imanuddin, Mahendra, Intan, Friska, and Rezky for their assistance during field data collection.
-
Funding information: The research was funded by Institute for Research, Publication and Community Service, Universitas Muhammadiyah Yogyakarta.
-
Author contributions: T. – conceptualization, data curation, formal analysis, methodology, and writing (original draft, review, and editing); N.R. – project administration and resources; Z.R. – investigation and supervision.
-
Conflict of interest: The authors state no conflict of interest.
-
Data availability statement: The datasets generated during and/or analyzed during the current study are available from the corresponding author on reasonable request.
References
[1] Savickienė J, Miceikienė A. Sustainable economic development assessment model for family farms. Agric Econ (Czech Republic). 2018;64(12):527–35.10.17221/310/2017-AGRICECONSearch in Google Scholar
[2] Abdurachman AA. Agricultural land statistics for 2012–2016. In: Hakim ML, Wiratno O, Abdurachmani AA, editors. Jakarta: Pusat Data dan Sistem Informasi Pertanian Sekretariat Jenderal – Kementerian Pertanian (Center for Agricultural Data and Information Systems Secretariat General – Ministry of Agriculture Republic of Indonesia); 2017.Search in Google Scholar
[3] Statistic Indonesia. Harvested area, productivity and production of Indonesian rice crops [Internet]; 2017. Available from: http://www.bps.go.id/brs/view/id/1122Search in Google Scholar
[4] Tchale H, Sauer J. The efficiency of maize farming in Malawi. A bootstrapped translog frontier. Cah d’Économie Sociol Rural. 2007;82/83:33–56.10.3406/reae.2007.2044Search in Google Scholar
[5] Tchale H. The efficiency of smallholder agriculture in Malawi. AFJARE. 2009;3(2):101–21.Search in Google Scholar
[6] Le TL, Lee PP, Peng KC, Chung RH. Evaluation of total factor productivity and environmental efficiency of agriculture in nine east Asian countries. Agric Econ (Czech Republic). 2019;65(6):249–58.10.17221/50/2018-AGRICECONSearch in Google Scholar
[7] Abedullah Kouser S, Mushtaq K. Environmental efficiency analysis of Basmati rice production in Punjab, Pakistan: implications for sustainable agricultural development. Pak Dev Rev. 2010;49(1):57–72.10.30541/v49i1pp.57-72Search in Google Scholar
[8] Obare G, Nyagaka D, Nguyo W, Mwakubo SM. Are Kenyan smallholders allocatively efficient? Evidence from Irish potato producers in Nyandarua North district. J Dev Agric Econ. 2010;2(3):78–85.Search in Google Scholar
[9] Castoldi N, Bechini L. Integrated sustainability assessment of cropping systems with agro-ecological and economic indicators in northern Italy. Eur J Agron. 2010;32(1):59–72.10.1016/j.eja.2009.02.003Search in Google Scholar
[10] Ceyhan V. Assessing the agricultural sustainability of conventional farming systems in samsun province of Turkey. African J Agric Res. 2010;5(13):1572–83.Search in Google Scholar
[11] Figge F, Hahn T. Sustainable value added – measuring corporate contributions to sustainability beyond eco-efficiency. Ecol Econ. 2004;48(2):173–87.10.1016/j.ecolecon.2003.08.005Search in Google Scholar
[12] Figge F, Hahn T. Sustainable value added: measuring corporate sustainable performance beyond eco-efficiency [Internet]. 2nd ed. Lunerbeg: Centre for Sustainability Management; 2002. Available from: http://scholar.google.com/scholar?hl=en&btnG=Search&q=intitle:Sustainable+Value+Added:+Measuring+Corporate+Sustainable+Performance+beyond+Eco-Efficiency#4.Search in Google Scholar
[13] Figge F, Hahn T. The cost of sustainability capital and the creation of sustainable value by companies. J Ind Ecol. 2005;9(4):47–58. 10.1162/108819805775247936.Search in Google Scholar
[14] Ehrmann M, Kleinhanß W. Review of concepts for the evaluation of sustainable agriculture in Germany and comparison of measurement schemes for farm sustainability. Arbeitsberichte aus der vTI-Agrarökonomie [Internet]; 2008 Dec. p. 48. Available from: http://ideas.repec.org/p/zbw/vtiaba/142008.htmlSearch in Google Scholar
[15] Illge L, Hahn T. Applying and extending the sustainable value method related to agriculture – an overview. 12th Congress of the European Association of Agricultural Economists, Ghent, Belgium; 2008. p. 1–15.Search in Google Scholar
[16] Molnar A. Applying sustainable value methodology for hungarian agriculture. 12th Congress of the European Association of Agricultural Economists, Ghent, Belgium; 2008. p. 1–9.Search in Google Scholar
[17] Kuosmanen T, Kuosmanen N. How not to measure sustainable value (and how one might). Ecol Econ. 2009;69(2):235–43.10.1016/j.ecolecon.2009.08.008Search in Google Scholar
[18] Kuosmanen T, Kuosmanen N. Role of benchmark technology in sustainable value analysis an application to Finnish dairy farms. Agric Food Sci. 2009;18(3–4):302–16.10.23986/afsci.5953Search in Google Scholar
[19] Van Passel S, Van Huylenbroeck G, Lauwers L, Mathijs E. Sustainable value assessment of farms using frontier efficiency benchmarks. J Environ Manage. 2009;90:3057–69.10.1016/j.jenvman.2009.04.009Search in Google Scholar PubMed
[20] Smith CS, McDonald GT. Assessing the sustainability of agriculture at the planning stage. J Environ Manage. 1998;52(1):15–37.10.1006/jema.1997.0162Search in Google Scholar
[21] Meul M, Nevens F, Reheul D, Hofman G. Energy use efficiency of specialised dairy, arable and pig farms in Flanders. Agric Ecosyst Environ. 2007;119(1–2):135–44.10.1016/j.agee.2006.07.002Search in Google Scholar
[22] Zhen L, Routray JK. Operational indicators for measuring agricultural sustainability in developing countries. Environ Manage. 2003;32(1):34–46.10.1007/s00267-003-2881-1Search in Google Scholar PubMed
[23] Roy R, Chan NW, Rainis R. Rice farming sustainability assessment in Bangladesh. Sustain Sci. 2014;9(1):31–44.10.1007/s11625-013-0234-4Search in Google Scholar
[24] Czyżewski B, Matuszczak A, Muntean A. Approaching environmental sustainability of agriculture: Environmental burden, eco-efficiency or eco-effectiveness. Agric Econ (Czech Republic). 2019;65(7):299–306.10.17221/290/2018-AGRICECONSearch in Google Scholar
[25] Moutinho V, Robaina M, Macedo P. Economic-environmental efficiency of European agriculture – a generalized maximum entropy approach. Agric Econ (Czech Republic). 2018;64(10):423–35.10.17221/45/2017-AGRICECONSearch in Google Scholar
[26] Kung CC. A dynamic framework of sustainable development in agriculture and bioenergy. Agric Econ (Czech Republic). 2018;64(10):445–55.10.17221/281/2017-AGRICECONSearch in Google Scholar
[27] Spicka J, Hlavsa T, Soukupova K, Stolbova M. Approaches to estimation the farm-level economic viability and sustainability in agriculture: a literature review. Agric Econ (Czech Republic). 2019;65(6):289–97.10.17221/269/2018-AGRICECONSearch in Google Scholar
[28] Mancuso T, Verduna T, Blanc S, Di Vita G, Brun F. Environmental sustainability and economic matters of commercial types of common wheat. Agric Econ (Czech Republic). 2019;65(4):194–202.10.17221/172/2018-AGRICECONSearch in Google Scholar
[29] Devi S, Gupta C, Jat SL, Parmar MS. Crop residue recycling for economic and environmental sustainability: the case of India. Open Agric. 2017;2(1):486–94.10.1515/opag-2017-0053Search in Google Scholar
[30] Mahaliyanaarachchi RP, Elapata MS, Esham M, Madhuwanthi BCH. Agritourism as a sustainable adaptation option for climate change. Open Agric. 2019;4(1):737–42.10.1515/opag-2019-0074Search in Google Scholar
[31] Ang F, Van Passel S, Mathijs E. An aggregate resource efficiency perspective on sustainability: a sustainable value application to the EU-15 countries. Ecol Econ. 2011;71(1):99–110.10.1016/j.ecolecon.2011.08.008Search in Google Scholar
[32] Oude Lansink A, Wall A. Frontier models for evaluating environmental efficiency: an overview. Econ Bus Lett. 2014;3(1):43–50.10.17811/ebl.3.1.2014.43-50Search in Google Scholar
[33] Farell M. The measurement of productive efficiency. J R Stat Soc. 1957;120(3):253–90.10.2307/2343100Search in Google Scholar
[34] Kopp RJ. The measurement of productive efficiency: a reconsideration. Q J Econ. 1981;96(3):477–503.10.2307/1882683Search in Google Scholar
[35] Coelli TJ, Prasada Rao DS, O’Donnell CJ, Battese GE. An introduction to efficiency and productivity analysis. 2nd ed. Boston: Kluwer Academic Publisher; 2005. p. 349.Search in Google Scholar
[36] Bravo-Ureta BE. Technical, economic, and allocative efficiency in peasant farming: evidence from the Dominican Republic. Dev Econ. 1997;35(1):48–67.10.1111/j.1746-1049.1997.tb01186.xSearch in Google Scholar
[37] Aigner D, Chu SF. On estimating the industry production function. Am Econ Rev. 1968;58(4):826–39.Search in Google Scholar
[38] Aigner D, Lovell CAK, Schmidt P. Formulation and estimation of stochastic frontier production function models. J Econom. 1977;6(1):21–37.10.1016/0304-4076(77)90052-5Search in Google Scholar
[39] Schmidt P, Knox Lovell CA. Estimating technical and allocative inefficiency relative to stochastic production and cost frontiers. J Econom. 1979;9(3):343–66.10.1016/0304-4076(79)90078-2Search in Google Scholar
[40] Wadud MA. Farm efficiency in Bangladesh. New Castle upon Tyne: New Castle University; 1999.Search in Google Scholar
[41] Figge F, Hahn T. Value-oriented impact assessment: the economics of a new approach to impact assessment. J Environ Plan Manag. 2004;47(6):921–41.10.1080/0964056042000284901Search in Google Scholar
[42] Atkinson G. Measuring corporate sustainability. J Environ Plan Manag. 2000;43(2):235–52.10.1080/09640560010694Search in Google Scholar
[43] ADVANCE-project. Sustainable value of European industry: a value-based analysis of environmental performance of European manufacturing companies [Internet]. Research paper; 2008. Available from: http://www.advance-project.org.Search in Google Scholar
[44] Van Passel S, Nevens F, Mathijs E, Van Huylenbroeck G. Measuring farm sustainability and explaining differences in sustainable efficiency. Ecol Econ. 2007;62(1):149–61.10.1016/j.ecolecon.2006.06.008Search in Google Scholar
[45] Anonim. Data Informasi Sarana Prasarana SDA [Internet]. Sistem Informasi Ke-Sumber Daya Airan Daerah Istimewa Yogyakarta; 2017. Available from: http://www.sim-dpupesdm.jogjaprov.go.id/page/datainformasi.php?link=a87ff679a2f3e71d9181a67b7542122c&cod=37693cfc748049e45d87b8c7d8b9aacd&id=48&nama=SaranaPrasaranaSDA&token=423.Search in Google Scholar
[46] Parikh A, Ali F, Shah MK. Measurement of economic efficiency in Pakistani agriculture. Am J Agric Econ. 1995;77(3):675–85.10.2307/1243234Search in Google Scholar
[47] Wadud MA. Technical, allocative, and economic efficiency of farms in Bangladesh: a stochastic frontier and DEA approach. J Dev Areas. 2003;37(1):109–26.10.1353/jda.2004.0019Search in Google Scholar
[48] Ramilan T, Scrimgeour F, Marsh D. Analysis of environmental and economic efficiency using a farm population micro-simulation model. Math Comput Simul. 2011;81(7):1344–52.10.1016/j.matcom.2010.04.018Search in Google Scholar
[49] Van Passel S, Mathijs E, Van Huylenbroeck G. Explaining Differences in Farm Sustainability: Evidence from Flemish Dairy Farms. Contributed Paper Prepared for Presentation at the International Association of Agricultural Economists Conference, Gold Coast, Australia. Policy; 2006. p. 1–16.Search in Google Scholar
[50] Merante PC, Pacini S, Passel V, Vazzana C. Application of the sustainable value concept to a representative dairy farm of Florence Province, Tuscany, under a modelling perspective. 12th Congress of the European Association of Agricultural Economists – EAAE 2008, Ghent, Belgium; 2008.Search in Google Scholar
© 2021 Triyono et al., published by De Gruyter
This work is licensed under the Creative Commons Attribution 4.0 International License.
Articles in the same Issue
- Regular Articles
- The nutmeg seedlings growth under pot culture with biofertilizers inoculation
- Recovery of heather (Calluna vulgaris) flowering in northern Finland
- Soil microbiome of different-aged stages of self-restoration of ecosystems on the mining heaps of limestone quarry (Elizavetino, Leningrad region)
- Conversion of land use and household livelihoods in Vietnam: A study in Nghe An
- Foliar selenium application for improving drought tolerance of sesame (Sesamum indicum L.)
- Assessment of deficit irrigation efficiency. Case study: Middle Sebou and Innaouene downstream
- Integrated weed management practices and sustainable food production among farmers in Kwara State, Nigeria
- Determination of morphological changes using gamma irradiation technology on capsicum specie varieties
- Use of maturity traits to identify optimal harvestable maturity of banana Musa AAB cv. “Embul” in dry zone of Sri Lanka
- Theory vs practice: Patterns of the ASEAN-10 agri-food trade
- Intake, nutrient digestibility, nitrogen, and mineral balance of water-restricted Xhosa goats supplemented with vitamin C
- Physicochemical properties of South African prickly pear fruit and peel: Extraction and characterisation of pectin from the peel
- An evaluation of permanent crops: Evidence from the “Plant the Future” project, Georgia
- Probing of the genetic components of seedling emergence traits as selection indices, and correlation with grain yield characteristics of some tropical maize varieties
- Increase in the antioxidant content in biscuits by infusions or Prosopis chilensis pod flour
- Altitude, shading, and management intensity effect on Arabica coffee yields in Aceh, Indonesia
- Climate change adaptation and cocoa farm rehabilitation behaviour in Ahafo Ano North District of Ashanti region, Ghana
- Effect of light spectrum on growth, development, and mineral contents of okra (Abelmoschus esculentus L.)
- An assessment of broiler value chain in Nigeria
- Storage root yield and sweetness level selection for new honey sweet potato (Ipomoea batatas [L.] Lam)
- Direct financial cost of weed control in smallholder rubber plantations
- Combined application of poultry litter biochar and NPK fertilizer improves cabbage yield and soil chemical properties
- How does willingness and ability to pay of palm oil smallholders affect their willingness to participate in Indonesian sustainable palm oil certification? Empirical evidence from North Sumatra
- Investigation of the adhesion performance of some fast-growing wood species based on their wettability
- The choice of information sources and marketing channel of Bali cattle farmers in Bali Province
- Preliminary phytochemical screening and in vitro antibacterial activity of Plumbago indica (Laal chitrak) root extracts against drug-resistant Escherichia coli and Klebsiella pneumoniae
- Agronomic and economic performance of maize (Zea mays L.) as influenced by seed bed configuration and weed control treatments
- Selection and characterization of siderophores of pathogenic Escherichia coli intestinal and extraintestinal isolates
- Effectiveness of cowpea (Vigna unguiculata L.) living mulch on weed suppression and yield of maize (Zea mays L.)
- Cow milk and its dairy products ameliorate bone toxicity in the Coragen-induced rat model
- The motives of South African farmers for offering agri-tourism
- Morphophysiological changes and reactive oxygen species metabolism in Corchorus olitorius L. under different abiotic stresses
- Nanocomposite coatings for hatching eggs and table eggs
- Climate change stressors affecting household food security among Kimandi-Wanyaga smallholder farmers in Murang’a County, Kenya
- Genetic diversity of Omani barley (Hordeum vulgare L.) germplasm
- Productivity and profitability of organic and conventional potato (Solanum tuberosum L.) production in West-Central Bhutan
- Response of watermelon growth, yield, and quality to plant density and variety in Northwest Ethiopia
- Sex allocation and field population sex ratio of Apanteles taragamae Viereck (Hymenoptera: Braconidae), a larval parasitoid of the cucumber moth Diaphania indica Saunders (Lepidoptera: Crambidae)
- Comparison of total nutrient recovery in aquaponics and conventional aquaculture systems
- Relationships between soil salinity and economic dynamics: Main highlights from literature
- Effects of soil amendments on selected soil chemical properties and productivity of tef (Eragrostis tef [Zucc.] Trotter) in the highlands of northwest Ethiopia
- Influence of integrated soil fertilization on the productivity and economic return of garlic (Allium sativum L.) and soil fertility in northwest Ethiopian highlands
- Physiological and biochemical responses of onion plants to deficit irrigation and humic acid application
- The incorporation of Moringa oleifera leaves powder in mutton patties: Influence on nutritional value, technological quality, and sensory acceptability
- Response of biomass, grain production, and sugar content of four sorghum plant varieties (Sorghum bicolor (L.) Moench) to different plant densities
- Assessment of potentials of Moringa oleifera seed oil in enhancing the frying quality of soybean oil
- Influences of spacing on yield and root size of carrot (Daucus carota L.) under ridge-furrow production
- Review Articles
- A review of upgradation of energy-efficient sustainable commercial greenhouses in Middle East climatic conditions
- Plantago lanceolata – An overview of its agronomically and healing valuable features
- Special Issue on CERNAS 2020
- The role of edible insects to mitigate challenges for sustainability
- Morphology and structure of acorn starches isolated by enzymatic and alkaline methods
- Evaluation of FT-Raman and FTIR-ATR spectroscopy for the quality evaluation of Lavandula spp. Honey
- Factors affecting eating habits and knowledge of edible flowers in different countries
- Ideal pH for the adsorption of metal ions Cr6+, Ni2+, Pb2+ in aqueous solution with different adsorbent materials
- Determination of drying kinetics, specific energy consumption, shrinkage, and colour properties of pomegranate arils submitted to microwave and convective drying
- Eating habits and food literacy: Study involving a sample of Portuguese adolescents
- Characterization of dairy sheep farms in the Serra da Estrela PDO region
- Development and characterization of healthy gummy jellies containing natural fruits
- Agro-ecological services delivered by legume cover crops grown in succession with grain corn crops in the Mediterranean region
- Special issue on CERNAS 2020: Message from the Editor
- Special Issue on ICESAT 2019
- Climate field schools to increase farmers’ adaptive capacity to climate change in the southern coastline of Java
- Special Issue on the International Conference on Agribusiness and Rural Development - IConARD 2020
- Supply chain efficiency of red chili based on the performance measurement system in Yogyakarta, Indonesia
- Sustainable value of rice farm based on economic efficiency in Yogyakarta, Indonesia
- Enhancing the performance of conventional coffee beans drying with low-temperature geothermal energy by applying HPHE: An experimental study
- Opportunities of using Spirulina platensis as homemade natural dyes for textiles
- Special Issue on the APA 2019 - 11th Triennial Conference
- Expanding industrial uses of sweetpotato for food security and poverty alleviation
- A survey on potato productivity, cultivation and management constraints in Mbala district of Northern Zambia
- Orange-fleshed sweetpotato: Strategies and lessons learned for achieving food security and health at scale in Sub-Saharan Africa
- Growth and yield of potato (Solanum tuberosum L.) as affected by storage conditions and storage duration in Jos, Plateau State, Nigeria
- Special Issue on the International Conference on Multidisciplinary Research - Agrarian Sciences
- Application of nanotechnologies along the food supply chain
- Special Issue on Agriculture, Climate Change, Information Technology, Food and Animal (ACIFAS 2020)
- The use of endophytic growth-promoting bacteria to alleviate salinity impact and enhance the chlorophyll, N uptake, and growth of rice seedling
Articles in the same Issue
- Regular Articles
- The nutmeg seedlings growth under pot culture with biofertilizers inoculation
- Recovery of heather (Calluna vulgaris) flowering in northern Finland
- Soil microbiome of different-aged stages of self-restoration of ecosystems on the mining heaps of limestone quarry (Elizavetino, Leningrad region)
- Conversion of land use and household livelihoods in Vietnam: A study in Nghe An
- Foliar selenium application for improving drought tolerance of sesame (Sesamum indicum L.)
- Assessment of deficit irrigation efficiency. Case study: Middle Sebou and Innaouene downstream
- Integrated weed management practices and sustainable food production among farmers in Kwara State, Nigeria
- Determination of morphological changes using gamma irradiation technology on capsicum specie varieties
- Use of maturity traits to identify optimal harvestable maturity of banana Musa AAB cv. “Embul” in dry zone of Sri Lanka
- Theory vs practice: Patterns of the ASEAN-10 agri-food trade
- Intake, nutrient digestibility, nitrogen, and mineral balance of water-restricted Xhosa goats supplemented with vitamin C
- Physicochemical properties of South African prickly pear fruit and peel: Extraction and characterisation of pectin from the peel
- An evaluation of permanent crops: Evidence from the “Plant the Future” project, Georgia
- Probing of the genetic components of seedling emergence traits as selection indices, and correlation with grain yield characteristics of some tropical maize varieties
- Increase in the antioxidant content in biscuits by infusions or Prosopis chilensis pod flour
- Altitude, shading, and management intensity effect on Arabica coffee yields in Aceh, Indonesia
- Climate change adaptation and cocoa farm rehabilitation behaviour in Ahafo Ano North District of Ashanti region, Ghana
- Effect of light spectrum on growth, development, and mineral contents of okra (Abelmoschus esculentus L.)
- An assessment of broiler value chain in Nigeria
- Storage root yield and sweetness level selection for new honey sweet potato (Ipomoea batatas [L.] Lam)
- Direct financial cost of weed control in smallholder rubber plantations
- Combined application of poultry litter biochar and NPK fertilizer improves cabbage yield and soil chemical properties
- How does willingness and ability to pay of palm oil smallholders affect their willingness to participate in Indonesian sustainable palm oil certification? Empirical evidence from North Sumatra
- Investigation of the adhesion performance of some fast-growing wood species based on their wettability
- The choice of information sources and marketing channel of Bali cattle farmers in Bali Province
- Preliminary phytochemical screening and in vitro antibacterial activity of Plumbago indica (Laal chitrak) root extracts against drug-resistant Escherichia coli and Klebsiella pneumoniae
- Agronomic and economic performance of maize (Zea mays L.) as influenced by seed bed configuration and weed control treatments
- Selection and characterization of siderophores of pathogenic Escherichia coli intestinal and extraintestinal isolates
- Effectiveness of cowpea (Vigna unguiculata L.) living mulch on weed suppression and yield of maize (Zea mays L.)
- Cow milk and its dairy products ameliorate bone toxicity in the Coragen-induced rat model
- The motives of South African farmers for offering agri-tourism
- Morphophysiological changes and reactive oxygen species metabolism in Corchorus olitorius L. under different abiotic stresses
- Nanocomposite coatings for hatching eggs and table eggs
- Climate change stressors affecting household food security among Kimandi-Wanyaga smallholder farmers in Murang’a County, Kenya
- Genetic diversity of Omani barley (Hordeum vulgare L.) germplasm
- Productivity and profitability of organic and conventional potato (Solanum tuberosum L.) production in West-Central Bhutan
- Response of watermelon growth, yield, and quality to plant density and variety in Northwest Ethiopia
- Sex allocation and field population sex ratio of Apanteles taragamae Viereck (Hymenoptera: Braconidae), a larval parasitoid of the cucumber moth Diaphania indica Saunders (Lepidoptera: Crambidae)
- Comparison of total nutrient recovery in aquaponics and conventional aquaculture systems
- Relationships between soil salinity and economic dynamics: Main highlights from literature
- Effects of soil amendments on selected soil chemical properties and productivity of tef (Eragrostis tef [Zucc.] Trotter) in the highlands of northwest Ethiopia
- Influence of integrated soil fertilization on the productivity and economic return of garlic (Allium sativum L.) and soil fertility in northwest Ethiopian highlands
- Physiological and biochemical responses of onion plants to deficit irrigation and humic acid application
- The incorporation of Moringa oleifera leaves powder in mutton patties: Influence on nutritional value, technological quality, and sensory acceptability
- Response of biomass, grain production, and sugar content of four sorghum plant varieties (Sorghum bicolor (L.) Moench) to different plant densities
- Assessment of potentials of Moringa oleifera seed oil in enhancing the frying quality of soybean oil
- Influences of spacing on yield and root size of carrot (Daucus carota L.) under ridge-furrow production
- Review Articles
- A review of upgradation of energy-efficient sustainable commercial greenhouses in Middle East climatic conditions
- Plantago lanceolata – An overview of its agronomically and healing valuable features
- Special Issue on CERNAS 2020
- The role of edible insects to mitigate challenges for sustainability
- Morphology and structure of acorn starches isolated by enzymatic and alkaline methods
- Evaluation of FT-Raman and FTIR-ATR spectroscopy for the quality evaluation of Lavandula spp. Honey
- Factors affecting eating habits and knowledge of edible flowers in different countries
- Ideal pH for the adsorption of metal ions Cr6+, Ni2+, Pb2+ in aqueous solution with different adsorbent materials
- Determination of drying kinetics, specific energy consumption, shrinkage, and colour properties of pomegranate arils submitted to microwave and convective drying
- Eating habits and food literacy: Study involving a sample of Portuguese adolescents
- Characterization of dairy sheep farms in the Serra da Estrela PDO region
- Development and characterization of healthy gummy jellies containing natural fruits
- Agro-ecological services delivered by legume cover crops grown in succession with grain corn crops in the Mediterranean region
- Special issue on CERNAS 2020: Message from the Editor
- Special Issue on ICESAT 2019
- Climate field schools to increase farmers’ adaptive capacity to climate change in the southern coastline of Java
- Special Issue on the International Conference on Agribusiness and Rural Development - IConARD 2020
- Supply chain efficiency of red chili based on the performance measurement system in Yogyakarta, Indonesia
- Sustainable value of rice farm based on economic efficiency in Yogyakarta, Indonesia
- Enhancing the performance of conventional coffee beans drying with low-temperature geothermal energy by applying HPHE: An experimental study
- Opportunities of using Spirulina platensis as homemade natural dyes for textiles
- Special Issue on the APA 2019 - 11th Triennial Conference
- Expanding industrial uses of sweetpotato for food security and poverty alleviation
- A survey on potato productivity, cultivation and management constraints in Mbala district of Northern Zambia
- Orange-fleshed sweetpotato: Strategies and lessons learned for achieving food security and health at scale in Sub-Saharan Africa
- Growth and yield of potato (Solanum tuberosum L.) as affected by storage conditions and storage duration in Jos, Plateau State, Nigeria
- Special Issue on the International Conference on Multidisciplinary Research - Agrarian Sciences
- Application of nanotechnologies along the food supply chain
- Special Issue on Agriculture, Climate Change, Information Technology, Food and Animal (ACIFAS 2020)
- The use of endophytic growth-promoting bacteria to alleviate salinity impact and enhance the chlorophyll, N uptake, and growth of rice seedling