Home Bifurcated halogen bonds in the crystal structure of 2,2′-bi(1,8-naphthyridine)—1,4-diiodotetrafluorobenzene (1/1), C22H10F4I2N4
Article Open Access

Bifurcated halogen bonds in the crystal structure of 2,2′-bi(1,8-naphthyridine)—1,4-diiodotetrafluorobenzene (1/1), C22H10F4I2N4

  • Yan Wang ORCID logo EMAIL logo and Shun Xu
Published/Copyright: October 24, 2022

Abstract

C22H10F4I2N4, monoclinic, P21/c (no. 14), a = 9.7940(3) Å, b = 5.34970(10) Å, c = 20.5119(5) Å, β = 101.673(3)°, V = 1052.49(5) Å3, Z = 2, R gt (F) = 0.0222, wR ref (F 2) = 0.0505, T = 293(2) K.

CCDC no.: 2211980

Table 1 contains crystallographic data and Table 2 contains the list of the atoms including atomic coordinates and displacement parameters.

Table 1:

Data collection and handling.

Crystal: Brown block
Size: 0.27 × 0.25 × 0.24 mm
Wavelength: Mo Kα radiation (0.71073 Å)
μ: 3.04 mm−1
Diffractometer, scan mode: SuperNova, ω
θ max, completeness: 28.5°, >99%
N(hkl)measured, N(hkl)unique, R int: 14098, 2416, 0.032
Criterion for I obs, N(hkl)gt: I obs > 2 σ(I obs), 2214
N(param)refined: 145
Programs: CrysAlisPRO [1], Olex2 [2], SHELX [3, 4]
Table 2:

Fractional atomic coordinates and isotropic or equivalent isotropic displacement parameters (Å2).

Atom x y z U iso*/U eq
I1 0.62398 (2) 0.46696 (3) 0.40701 (2) 0.03647 (7)
F1 0.35218 (16) 0.1108 (3) 0.37691 (7) 0.0544 (4)
F2 0.26126 (16) −0.2467 (3) 0.44727 (8) 0.0530 (4)
C9 0.5491 (2) 0.1881 (4) 0.46221 (11) 0.0325 (5)
C10 0.4271 (3) 0.0595 (5) 0.43829 (12) 0.0355 (6)
C11 0.3794 (2) −0.1238 (5) 0.47488 (12) 0.0346 (5)
N1 0.8799 (2) 0.9095 (4) 0.42676 (10) 0.0355 (5)
N2 0.7324 (2) 0.8424 (4) 0.32636 (10) 0.0456 (6)
C1 0.9798 (3) 1.0408 (5) 0.46445 (12) 0.0343 (5)
C2 1.0463 (3) 1.2462 (5) 0.44131 (13) 0.0424 (6)
H2 1.1155 1.3341 0.4700 0.051*
C3 1.0077 (3) 1.3140 (5) 0.37630 (13) 0.0451 (6)
H3 1.0514 1.4474 0.3598 0.054*
C4 0.9009 (3) 1.1805 (5) 0.33396 (12) 0.0373 (6)
C5 0.8472 (3) 1.2394 (6) 0.26630 (13) 0.0491 (7)
H5 0.8849 1.3701 0.2458 0.059*
C6 0.7401 (3) 1.1026 (6) 0.23194 (14) 0.0550 (8)
H6 0.7028 1.1389 0.1876 0.066*
C7 0.6864 (3) 0.9064 (6) 0.26389 (14) 0.0542 (8)
H7 0.6130 0.8146 0.2393 0.065*
C8 0.8393 (3) 0.9797 (5) 0.36185 (13) 0.0354 (6)

Source of material

The 2,2′-bi(1,8-naphthyridine) (purity > 98%) was bought from J&K Scientific Ltd. (Beijing, China), and 1,4-diiodotetrafluorobenzene (purity > 98%) was purchased from Alfa Chemical Co., Ltd. (Zhengzhou, China). The solvent trichloromethane (analytical grade) was bought from a local chemical company. All of the chemicals were used as received. The crystalline compounds 2,2′-bi(1,8-naphthyridine) (1.29 mg, 0.005 mmol) and 1,4-diiodotetrafluorobenzene (2.01 mg, 0.005 mmol) were dissolved in approximately 10 mL of trichloromethane under gentle stirring. The solution was placed for crystallization by slow evaporation of the solvent at room temperature. After about two days, brown block crystals of title compound were obtained.

Experimental details

All the hydrogen atoms were placed in calculated positions, and then treated as riding atoms in the latter stages of refinement, with U iso(H) set to 1.2U eq(C).

Comment

The halogen bond is one of the most important noncovalent bonds [5], [6], [7], [8], [9], [10], [11]. In recent years, the application of the halogen bond has been extended to the fields of medicinal chemistry and advanced materials [8], [9], [10], [11]. According to a statistic in 2014, 34% of drugs at the research stage were halogenated drugs [9, 10]. This indicates that the formation probability of the halogen bond in medicinal chemistry is quite large. The important role of the halogen bond in perovskite solar cells has also been reviewed by Metrangolo and coworkers very recently [11]. In contrast to the conventional monocentric halogen bonds, the bifurcated halogen bonds were less studied [12]. In a very recent study, Wang investigated the bifurcated halogen bonds in the crystal structure of the cocrystal between 2,2′-bi(1,8-naphthyridine) and 1,2-diiodotetrafluoro-benzene [12].

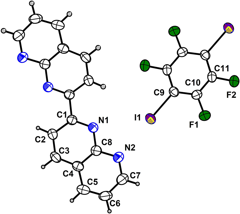
All bond lengths and angles in the title crystal structure are in the normal ranges. The 2,2′-bi(1,8-naphthyridine) molecules and 1,4-diiodotetrafluorobenzene molecules are linked together by the bifurcated halogen bonds with d(I1⃛N1) = 3.412 Å, <(C9–I1⃛N1) = 139.44°, d(I1⃛N2) = 2.934 Å and <(C9–I1⃛N2) = 177.74° to form a zigzag chain. The interaction energy of the bifurcated halogen bond is −10.68 kcal/mol at the PBE0–D3/def2–TZVPP level of theory [13, 14], which is almost the same as the interaction energy of the bifurcated halogen bond in the crystal structure of the cocrystal between 2,2′-bi(1,8-naphthyridine) and 1,2-diiodotetrafluorobenzene [12]. The zigzag chains are stacked together by the ππ stacking interactions to form a layered structure. At the PBE0–D3/def2–TZVPP level of theory, the ππ stacking interaction energy between two 2,2′-bi(1,8-naphthyridine) molecules is −6.75 kcal/mol; the ππ stacking interaction energy between two 1,4-diiodotetrafluorobenzene molecules is −5.72 kcal/mol; the ππ stacking interaction energy between 2,2′-bi(1,8-naphthyridine) and 1,4-diiodotetrafluorobenzene is −6.77 kcal/mol. Let us add here that previous studies have proved that the PBE0–D3/def2–TZVPP calculations perform remarkably well for the study of the noncovalent interactions [15], [16], [17]. Obviously, the bifurcated halogen bonds are much stronger than all of these ππ stacking interactions. Different layers are linked by C–H⃛F hydrogen bonds into a 3D architecture.


Corresponding author: Yan Wang, College of Chemistry and Green Catalysis Center, Zhengzhou University, Zhengzhou 450001, Henan Province, P. R. China, E-mail:

Funding source: Postgraduate Education Reform and Quality Improvement Project of Henan Province http://dx.doi.org/10.13039/501100009101

Award Identifier / Grant number: YJS2022ZX06, YJS2021AL014

Funding source: National Supercomputing Center in Zhengzhou http://dx.doi.org/10.13039/501100004605

  1. Author contributions: All the authors have accepted responsibility for the entire content of this submitted manuscript and approved submission.

  2. Research funding: This study was supported by the Postgraduate Education Reform and Quality Improvement Project of Henan Province (YJS2022ZX06, YJS2021AL014), National Supercomputing Center in Zhengzhou.

  3. Conflict of interest statement: The authors declare no conflicts of interest regarding this article.

References

1. Rigaku. CrysAlisPro; Rigaku Inc.: Tokyo, Japan, 2015.Search in Google Scholar

2. Dolomanov, O. V., Bourhis, L. J., Gildea, R. J., Howard, J. A. K., Puschmann, H. Olex2: a complete structure solution, refinement and analysis program. J. Appl. Crystallogr. 2009, 42, 339–341; https://doi.org/10.1107/s0021889808042726.Search in Google Scholar

3. Sheldrick, G. M. SHELX – integrated space-group and crystal-structure determination. Acta Crystallogr. 2015, A71, 3–8; https://doi.org/10.1107/s2053273314026370.Search in Google Scholar PubMed PubMed Central

4. Sheldrick, G. M. Crystal structure refinement with SHELXL. Acta Crystallogr. 2015, C71, 3–8; https://doi.org/10.1107/s2053229614024218.Search in Google Scholar

5. Cavallo, G., Metrangolo, P., Milani, R., Pilati, T., Priimagi, A., Resnati, G., Terraneo, G. The halogen bond. Chem. Rev. 2016, 116, 2478–2601; https://doi.org/10.1021/acs.chemrev.5b00484.Search in Google Scholar PubMed PubMed Central

6. Wang, H., Wang, W., Jin, W. J. σ–Hole bond versus π-hole bond: a comparison based on halogen bond. Chem. Rev. 2016, 116, 5072–5104; https://doi.org/10.1021/acs.chemrev.5b00527.Search in Google Scholar PubMed

7. Wang, W., Zhang, Y., Jin, W. J. Halogen bonding in room-temperature phosphorescent materials. Coord. Chem. Rev. 2020, 404, 213107; https://doi.org/10.1016/j.ccr.2019.213107.Search in Google Scholar

8. Wilcken, R., Zimmermann, M. O., Lange, A., Joerger, A. C., Boeckler, F. M. Principles and applications of halogen bonding in medicinal chemistry and chemical biology. J. Med. Chem. 2013, 56, 1363–1388; https://doi.org/10.1021/jm3012068.Search in Google Scholar PubMed

9. Xu, Z., Yang, Z., Liu, Y., Lu, Y., Chen, K., Zhu, W. Halogen bond: its role beyond drug-target binding affinity for drug discovery and development. J. Chem. Inf. Model. 2014, 54, 69–78; https://doi.org/10.1021/ci400539q.Search in Google Scholar PubMed

10. Mu, K., Zhu, Z., Abula, A., Peng, C., Zhu, W., Xu, Z. Halogen bonds exist between noncovalent ligands and natural nucleic acids. J. Med. Chem. 2022, 65, 4424–4435; https://doi.org/10.1021/acs.jmedchem.1c01854.Search in Google Scholar PubMed

11. Metrangolo, P., Canil, L., Abate, A., Terraneo, G., Cavallo, G. Halogen bonding in perovskite solar cells: a new tool for improving solar energy conversion. Angew. Chem. Int. Ed. 2022, 61, e202114793; https://doi.org/10.1002/anie.202114793.Search in Google Scholar PubMed PubMed Central

12. Wang, Z. Bifurcated halogen bond-driven supramolecular double helices from 1,2-dihalotetrafluorobenzene and 2,2′-bi(1,8-naphthyridine). Crystals 2022, 12, 937; https://doi.org/10.3390/cryst12070937.Search in Google Scholar

13. Adamo, C., Barone, V. Toward reliable density functional methods without adjustable parameters: the PBE0 model. J. Chem. Phys. 1999, 110, 6158–6169; https://doi.org/10.1063/1.478522.Search in Google Scholar

14. Grimme, S., Antony, J., Ehrlich, S., Krieg, H. A consistent and accurate ab initio parametrization of density functional dispersion correction (DFT–D) for the 94 elements H-Pu. J. Chem. Phys. 2010, 132, 154104; https://doi.org/10.1063/1.3382344.Search in Google Scholar PubMed

15. Wang, W., Zhang, Y., Wang, Y. B. Noncovalent π ⃛ π interaction between graphene and aromatic molecule: structure, energy, and nature. J. Chem. Phys. 2014, 140, 094302; https://doi.org/10.1063/1.4867071.Search in Google Scholar PubMed

16. Wang, W., Sun, T., Zhang, Y., Wang, Y. B. The benzene ⃛ naphthalene complex: a more challenging system than the benzene dimer for newly developed computational methods. J. Chem. Phys. 2015, 143, 114312; https://doi.org/10.1063/1.4931121.Search in Google Scholar PubMed

17. Wang, W., Zhang, Y., Wang, Y. B. Highly accurate benchmark calculations of the interaction energies in the complexes C6H6 ⃛ C6X6 (X = F, Cl, Br, and I). Int. J. Quant. Chem. 2017, 117, e25345; https://doi.org/10.1002/qua.25345.Search in Google Scholar

Received: 2022-08-24
Accepted: 2022-10-10
Published Online: 2022-10-24
Published in Print: 2022-12-16

© 2022 the author(s), published by De Gruyter, Berlin/Boston

This work is licensed under the Creative Commons Attribution 4.0 International License.

Articles in the same Issue

  1. Frontmatter
  2. New Crystal Structures
  3. The crystal structure of 1,5-bis(4-chlorophenyl)-3-(3-methylphenyl)pentane- 1,5-dione, C48H40Cl4O4
  4. Crystal structure of (bis(1,10-phenanthroline-κ 2 N,N′))-(3,5-dinitrosalicylato-κ 2 O,O′)nickel(II), C31H18N6NiO7
  5. Crystal structure of {N,N′-bis(4-fluoro-salicylaldehyde)-3,6-dioxa-1,8-diaminooctane-κ4 O,N,N′,O′}zinc(II), C20H20F2N2O4Zn
  6. [5-Bromo-2-(2-(dimethylamino)ethyliminomethyl)phenolato-κ3 N,N′,O]-isothiocyanato-nickel(II), C12H14BrN3NiOS
  7. Crystal structure of 9-bromo-4-(6-methoxypyridin-2-yl)-5,6-dihydrobenzo[h]quinazolin- 2-amine, C18H15BrN4O
  8. The crystal structure of imidazolium nitrate, C3H5O3N3
  9. Crystal structure of diiodido-bis(6,6′-dimethoxy-2,2′-(ethane-1,2-diylbis(nitrilomethanylylidene)) diphenolato)tricadmium(II), C36H36Cd3I2N4O8
  10. Crystal structure of [diaqua-bis(2-((1H-tetrazol-1-yl)methyl)-5-carboxy-1H-imidazole-4-carboxylato-κ2 N,O) manganese(II)] dihydrate, C14H18MnN12O12
  11. Crystal structure of Diaqua[5,5′-dicarboxy-2,2′-(propane-1,3-diyl)bis(1H-imidazole-4-carboxylato-k4 O,O′,N,N′)]iron(II), C13H14FeN4O10
  12. Crystal structure of poly[dimethanol-κ1O-(µ2-(E)-2-((2-oxidobenzylidene)amino)acetato)-(µ3-(E)-2-((2-oxidobenzylidene)amino)acetato)dicadmium(II)], C20H22Cd2N2O8
  13. Crystal structure of N 2,N 6-bis(2-(((E)-quinolin-8-ylmethylene)amino)phenyl)pyridine-2,6-dicarboxamide, C39H27N7O2
  14. An I 6 2 anion in the crystal structure of theophyllinium triiodide monohydrate, C7H11I3N4O3
  15. The crystal structure of poly[6,6′-oxybis(4-(pyridin-1-ium-1-yl)-1,3,5,2,4,6-trioxatriborinan-2-olate)], [B6O9](C5H5N)2
  16. The crystal structure of (carbonato κ2 O,O′)(2-oxopyridin-1(2H)-olato-κN)tris(trimethylphosphine)rhodium(III) water solvate, C15H33NO5P3Rh
  17. The crystal structure of dibromido-bis((RS)-2-(4-chlorophenyl)-2-(1,2,4-triazol-1-ylmethyl)hexanenitrile-κ1 N)zinc(II), C30H34Br2Cl2N8Zn
  18. Synthesis and crystal structure of 3-(((7-hydroxy-3-(4-hydroxy-3,5-dinitrophenyl)-4-oxo-4H-chromen-8-yl)methyl)(nitroso)amino)propanoic acid, C19H14N4O11
  19. The crystal structure of 3-((4-chloro-N-(2-methoxyethyl)benzamido)methyl)phenyl methanesulfonate, C18H20ClNO5S
  20. Crystal structure of di([1,1′:3′,1″-terphenyl]-2′-yl)tellane, C36H26Te
  21. The crystal structure of diaqua-bis(pyrazolo[1,5-a]-pyrimidine-3-carboxylato-κ2 N,O)zinc(II), C14H12N6O6Zn
  22. Crystal structure of N′,N‴-((1E,2E)-1,2-diphenylethane-1,2-diylidene)bis(4-methylbenzohydrazide) – water – methanol (1/1/1), C31H32N4O4
  23. Crystal structure of 3-((2,4-dichlorobenzyl)thio)-5-methyl-7-(trifluoromethyl)-[1,2,4]triazolo [4,3-c]pyrimidine, C14H9Cl2F3N4S
  24. Crystal structure of 3,5,6,7-tetramethoxy-3′,4′-methylenedioxy-flavone, C20H18O8
  25. Crystal structure of catena-poly[(5,5′-dimethyl-2,2′-bipyridine-κ 2 N,N′)-(μ 3-hydrogen-1,1′,1″-(1,3,5-triazine-2,4,6-triyl)tris(piperidine-4-carboxylato)- κ 5 O:O,O′:O″,O‴)-cadmium(II)], C33H40CdN8O6
  26. The crystal structure of 3,5-bis(propan-2-yl)-1H-pyrazol-4-amine, C9H17N3
  27. Crystal structure of [(1,4,7,10-tetraoxacyclododecane-κ 4 O,O′,O″, O‴)-tris(nitrato-κ 2 O,O′)gadolinium(III)], C8H16N3O13Gd
  28. The crystal structure of 2,2′-((pyridine-2,6-diylbis(methylene))bis(sulfanediyl))-bis(4,5-dihydro-1H-imidazol-3-ium) bromide, C13H19Br2N5S2
  29. Crystal structure of E-2-chloro-N′-(1-(5-chloro-2-hydroxyphenyl)propylidene)benzohydrazide, C16H14Cl2N2O2
  30. Crystal structure of 3-(adamantan-1-yl)-4-methyl-5-{[(4-nitrophenyl)methyl]sulfanyl}-4H-1,2,4-triazole, C20H24N4O2S
  31. The crystal structure of dimethanol-κ1O-(5,10,15,20-tetrakis(4-nitrophenyl)porphyrin-21,23-diido-κ4 O,O′,O″,O′″)manganese(III) trans-dicyanido-κ1C-bis(acetylacetonato-κ2 O,O′)ruthenium(III), C58H46N10O14RuMn
  32. The crystal structure of nitroxyl-κ N-{hydridotris(3-trifluoromethyl-5-methylpyrazolyl-1-yl-κN 3)borato}nickel(II), C15H13BF9N7NiO
  33. The crystal structure of [(2,2′-bipyridine-κ2 N,N)-bis(6-phenylpyridine-2-carboxylato- κ2 N,O)nickel(II)] monohydrate, C34H26N4O5Ni
  34. The crystal structure of 5-(2-fluoro-3-methoxyphenyl)-1-(2-fluoro-6-(trifluoromethyl)benzyl)-6-methylpyrimidine-2,4(1H,3H)-dione, C20H15F5N2O3
  35. The crystal structure of ethyl 2,3,5-trifluoro-4-(4-oxo-3,4-dihydropyridin-1(2H)-yl)benzoate, C14H12F3NO3
  36. [2,2′-{Ethane-1,2-diylbis[(azanylylidene)methanylylidene]}bis(3-bromo-2-hydroxyphenyl)]iron(III) nitrate, C20H12Br2CuN2O2
  37. The crystal structure of 1-(2-iodophenyl)-4-phenyl-1H-1,2,3-triazole, C14H10IN3
  38. Synthesis and crystal structure of 2-(2-oxo-2-(thiophen-2-yl)ethyl)-4H-chromen-4-one, C15H10O3S
  39. {6,6′-((1E,1′E)-((2,2-dimethylpropane-1,3-diyl)bis(azaneylylidene))bis(methaneylylidene))bis(2-bromo-4-chlorophenolate)-κ4N,N′,O,O′}copper(II), C19H16Br2Cl2CuN2O2
  40. The crystal structure of N′-[bis(2-hydroxyphenyl)methylidene]pyridine-4-carbohydrazide, C19H15N3O3
  41. Crystal structure of 2-chloro-6-formylphenolato-κ2O,O′-(6,6′-(((2,2-dimethylpropane-1,3-diyl)bis(azaneylylidene))bis(methaneylylidene))bis(2-chlorophenolato)κ4 N,N,O,O′)cobalt(III), C26H22Cl3CoN2O4
  42. The crystal structure of tetrakis(6-phenylpyridine-2-carboxylate-κ 2 N,O)-bis(μ2-6-phenylpyridine-2-carboxylate-κ 2 O:O′)-bis(μ2-6-phenylpyridine-2-carboxylate-κ 3N,O:O)tetralead(II) C48H32N4O8Pb2
  43. The crystal structure of 3,7-dihydroxy-9-methoxy-4a-methyl-4aH-benzo[c] chromene-2,6-dione —dichloromethane (1/1), C16H14Cl2O6
  44. The crystal structure of (Z)-6-(((5-chloro-2-hydroxyphenyl)amino)methylene)- 4-nitrocyclohexa, C13H9ClN2O4
  45. Crystal structure of dichlorido-tetra((E)-(RS)-1-(2,4-dichlorophenyl)-4,4-dimethyl-2-(1,2,4-triazol-1-yl)pent-1-en-3-ol-κ1 N)zinc(II), C60H68O4N12Cl10Zn
  46. The crystal structure of 4-(2-bromoethoxy)-2-hydroxybenzaldehyde, C9H9BrO3
  47. The crystal structure of 5-azido-1-methyl-4-nitroimidazole, C4H4O2N6
  48. Crystal structure of dibromido-tetra((E)-(RS)-1-(2,4-dichlorophenyl)-4,4-dimethyl-2-(1,2,4-triazol-1-yl)pent-1-en-3-ol-κ 1 N)zinc(II), C60H68O4N12Br2Cl8Zn
  49. Crystal structure of tetrasodium-bis(μ 2-oxido)-hexafluoro-didioxo-molybdenum(V), Na2(Mo2O4F6)
  50. Crystal structure of (E)-N′-(2-chloro-6-hydroxybenzylidene)-4- hydroxybenzohydrazide-water (1/1), C14H13Cl1N2O4
  51. Crystal structure of (E)-N-(4-morpholinophenyl)-1-(quinolin-2-yl)methanimine, C20H19N3O
  52. The crystal structure of catena-poly[(1,10-phenanthroline-κ2 N,N′)-(μ3-2-hydroxybenzene-1,3-dicarboxylato-κ5 O,O′:O″,O‴:O‴)cadmium(II)], C20H12CdN2O5
  53. The crystal structure of 2,6-di-tert-butyl-4-(4-(methylthio)benzylidene)cyclohexa-2,5-dien-1-one, C22H28OS
  54. La3.65Mg30Sb1.07 as a disordered derivative of Th2Ni17-type structure
  55. Crystal structure of (E)-N-(4-morpholinophenyl)-1-(quinoxalin-2-yl)methanimine, C19H18N4O
  56. The crystal structure of 2,2′-(1,2-phenylenebis(methylene))bis(1,3-dimethylisothiouronium) bromide, C14H24Br2N4S2
  57. Crystal structure of tetraaqua-bis[4-(1H-1,2,4-triazol-1-yl)benzoato-κ1 N]zinc(II), C18H20ZnN6O8
  58. Crystal structure of bis(tricarbonyl)-{(S)-(tert-butoxycarbonyl)(1-methoxy-1-oxo-3-sulfido-k2 S:S′-propan-2-yl)amido-k2N:N′}diiron(I) (Fe—Fe), C15H15Fe2NO10S
  59. Crystal structure of (E)-3-((4-chlorophenyl)thio)-4-hydroxypent-3-en-2-one, C11H11ClO2S
  60. The crystal structure of (E)-3′,6′-bis(diethylamino)-2-((5-(diethylamino)-2-hydroxybenzylidene)amino)spiro[isoindoline-1,9′-xanthen]-3-one, C39H45N5O3
  61. The crystal structure of 2-(4-methoxynaphthalen-1-yl)-4H-chromen-4-one, C20H14O3
  62. The crystal structure of trans-dichlorido-(ethylenediamine-κ 2 N,N′)-bis(triphenylphosphine-κ 1 P)ruthenium(II), C38H38Cl2N2P2Ru
  63. The double polymeric chain of catena-poly[(μ2-6-bromopyridine-3-carboxylato-κ2 O,O′) (6-bromopyridine-3-carboxylato-κ2 O,O′) (μ2-1,2-bis(4-pyridyl)ethylene-κ2 N:N′)cobalt(II)], C24H16CoBr2N4O4
  64. The crystal structure of tert-butyl 2-(4-(12-bromo [2.2]paracyclophanyl)carbamoyl)pyrrolidine-1-carboxylate, C26H31BrN2O3
  65. The crystal structure of (Z)-2-(2,3-dimethoxybenzylidene)naphtho[1,2-b]furan-3(2H)-one, C21H16O4
  66. Crystal structure of 2-hydroxy-1-tosylindolin-3-yl- 2-naphthoate, C26H21N1S1O5
  67. The crystal structure of 1-methyl-N-(1-methyl-1H-imidazole-2-carbonyl)-1H-imidazole-2-carboxamide, C10H11N5O2
  68. The crystal structure of (E)-2-((5-bromo-2-hydroxybenzylidene)amino)-3′,6′-bis(ethylamino)-2′, 7′-dimethylspiro[isoindoline-1,9′-xanthen]-3-one, C33H31BrN4O3
  69. The crystal structure of dimethanol-5,15-diphenylporphyrin-21,23-diido-κ4 N,Nʹ,Nʺ,Nʹʺ-manganese(III) trans-dicyanido-bis(acetylacetonato-κ2O,Oʹ)ruthenium(III), C46H42N6O6RuMn
  70. Crystal structure of 1,4,8,11-tetraazacyclotetradecane-1,8-diium bis(3,5-dicarboxybenzoate), C28H36N4O12
  71. Bifurcated halogen bonds in the crystal structure of 2,2′-bi(1,8-naphthyridine)—1,4-diiodotetrafluorobenzene (1/1), C22H10F4I2N4
Downloaded on 3.11.2025 from https://www.degruyterbrill.com/document/doi/10.1515/ncrs-2022-0427/html?lang=en
Scroll to top button