Home Crystal structure of 9-bromo-4-(6-methoxypyridin-2-yl)-5,6-dihydrobenzo[h]quinazolin- 2-amine, C18H15BrN4O
Article Open Access

Crystal structure of 9-bromo-4-(6-methoxypyridin-2-yl)-5,6-dihydrobenzo[h]quinazolin- 2-amine, C18H15BrN4O

  • Wenxuan Li , Lei Wang ORCID logo , Nan Jiang , Guige Hou ORCID logo and Yongjun Liu EMAIL logo
Published/Copyright: August 25, 2022

Abstract

C18H15BrN4O, monoclinic, P21/c (no. 14), a = 10.5097(7) Å, b = 6.6990(5) Å, c = 23.5623(15) Å, β = 92.038(6)°, V = 1657.8(2) Å3, Z = 4, R gt (F) = 0.0393, wR ref (F 2) = 0.0863, T = 150.00(10) K.

CCDC no.: 2161856

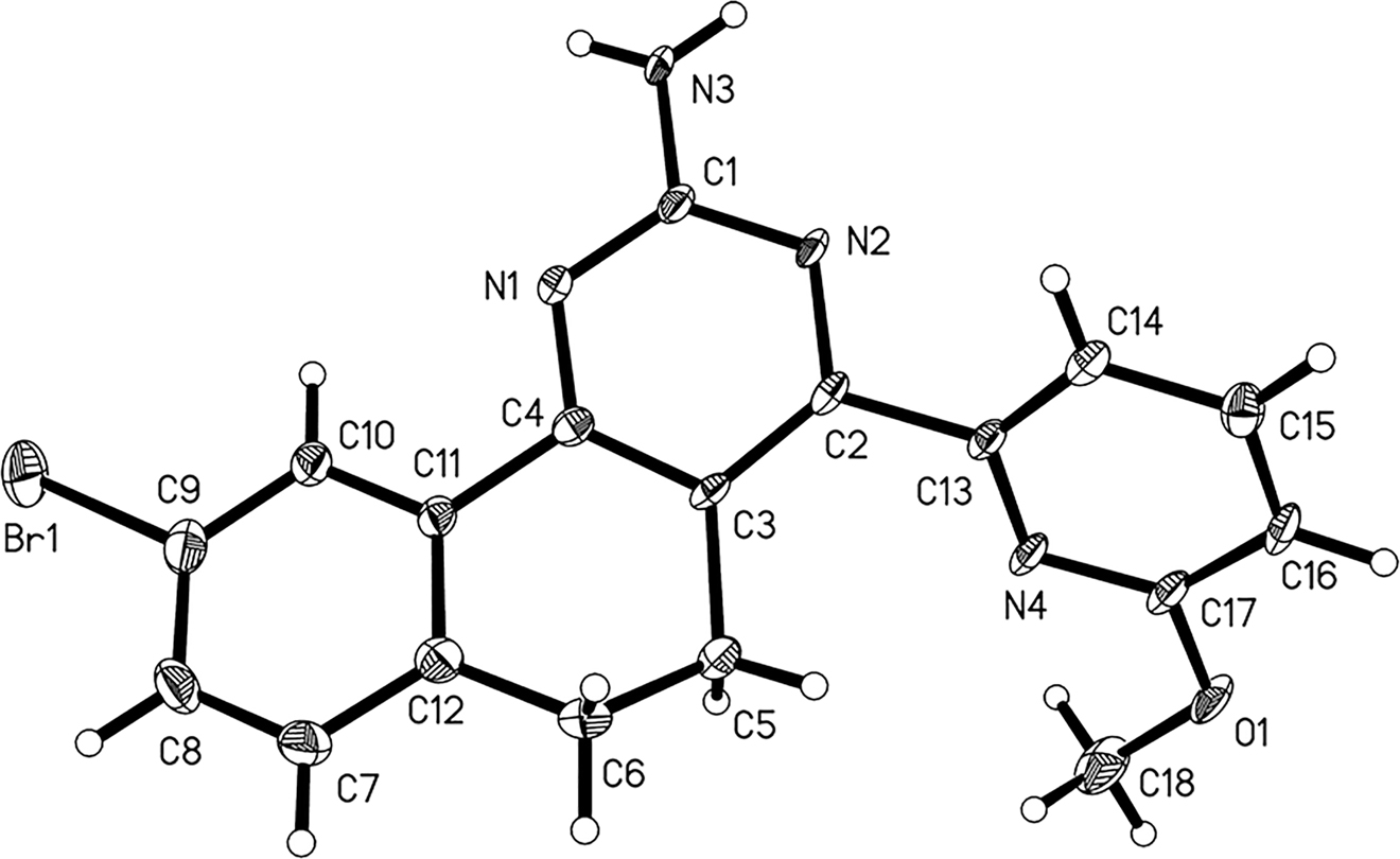
The molecular structure is shown in the figure. Displacement ellipsoids are drawn at the 40% probability level. Table 1 contains crystallographic data and Table 2 contains the list of the atoms including atomic coordinates and displacement parameters.

Table 1:

Data collection and handling.

Crystal: Colourless block
Size: 0.16 × 0.15 × 0.12 mm
Wavelength: Mo Kα radiation (0.71073 Å)
μ: 2.49 mm−1
Diffractometer, scan mode: SuperNova
θ max, completeness: 25.5°, >99 %
N(hkl)measured, N(hkl)unique, R int: 7896, 3081, 0.036
Criterion for I obs, N(hkl)gt: I obs > 2 σ(I obs), 2406
N(param)refined: 220
Programs: CrysAlisPRO [1], SHELX [2, 3]
Table 2:

Fractional atomic coordinates and isotropic or equivalent isotropic displacement parameters (Å2).

Atom x y z U iso*/U eq
Br1 1.33315 (3) 0.83230 (5) 0.25784 (2) 0.04477 (14)
C1 1.0454 (2) 0.2605 (4) 0.44531 (10) 0.0183 (6)
C2 0.8366 (2) 0.3564 (3) 0.44517 (10) 0.0169 (6)
C3 0.8597 (2) 0.5074 (4) 0.40596 (10) 0.0167 (6)
C4 0.9861 (2) 0.5274 (3) 0.39116 (10) 0.0174 (6)
C5 0.7615 (3) 0.6493 (3) 0.38055 (11) 0.0215 (6)
H5A 0.688012 0.653329 0.404280 0.026*
H5B 0.733657 0.602393 0.343191 0.026*
C6 0.8179 (3) 0.8588 (4) 0.37575 (12) 0.0256 (6)
H6A 0.757810 0.943720 0.354915 0.031*
H6B 0.831027 0.914592 0.413498 0.031*
C7 0.9816 (3) 1.0156 (4) 0.31287 (12) 0.0298 (7)
H7 0.928966 1.126253 0.307889 0.036*
C8 1.0970 (3) 1.0121 (4) 0.28694 (12) 0.0329 (7)
H8 1.121989 1.118502 0.264583 0.039*
C9 1.1749 (3) 0.8473 (4) 0.29477 (11) 0.0283 (7)
C10 1.1400 (3) 0.6885 (4) 0.32797 (10) 0.0228 (6)
H10 1.193906 0.579433 0.333027 0.027*
C11 1.0239 (2) 0.6933 (4) 0.35366 (10) 0.0185 (6)
C12 0.9416 (3) 0.8579 (4) 0.34633 (11) 0.0227 (6)
C13 0.7096 (2) 0.3163 (3) 0.46814 (11) 0.0172 (6)
C14 0.6942 (3) 0.2976 (4) 0.52584 (11) 0.0210 (6)
H14 0.763109 0.313489 0.551330 0.025*
C15 0.5740 (3) 0.2548 (4) 0.54503 (11) 0.0232 (6)
H15 0.561393 0.240731 0.583695 0.028*
C16 0.4739 (3) 0.2333 (4) 0.50670 (11) 0.0222 (6)
H16 0.392304 0.204662 0.518408 0.027*
C17 0.4993 (2) 0.2562 (4) 0.44955 (11) 0.0220 (6)
C18 0.4196 (3) 0.2705 (5) 0.35378 (12) 0.0399 (8)
H18A 0.448715 0.405307 0.349457 0.060*
H18B 0.341712 0.252032 0.331866 0.060*
H18C 0.482925 0.179878 0.340707 0.060*
N1 1.07908 (19) 0.4041 (3) 0.40919 (8) 0.0185 (5)
N2 0.92941 (19) 0.2351 (3) 0.46611 (9) 0.0177 (5)
N3 1.1375 (2) 0.1310 (3) 0.46273 (10) 0.0259 (6)
H3A 1.205834 0.138369 0.446948 0.039 (10)*
H3B 1.118257 0.025852 0.481458 0.018 (7)*
N4 0.6112 (2) 0.2987 (3) 0.42948 (9) 0.0196 (5)
O1 0.39776 (17) 0.2323 (3) 0.41240 (8) 0.0280 (5)

Source of material

The intermediate (E)-7-bromo-2-((6-methoxypyridin-2-yl)methylene)-3,4-dihydronaphthalen-1(H)-one (BDHN) was prepared according to the literature method [4]. BDHN (1.00 g, 2.9 mmol), guanidine hydrochloride (1.39 g, 14.50 mmol), potassium hydroxide (0.81 g, 14.50 mmol), and potassium carbonate (0.80 g, 5.80 mmol) were dissolved in a mixed solution of anhydrous ethanol (15 mL) and 1,2-dichloroethane (15 mL). The mixture was heated to reflux for about 1.5 h. The process of the reaction was monitored by thin-layer chromatography (TLC). When the reaction was completed, the mixture was cooled to room temperature. After filtration, the filtrate was removed by rotary evaporator and the residue was purified on a silica-gel column with petroleum ether/ethyl acetate (8:1 v/v). Suitable single crystals of the title compound were collected by slow evaporation of a methanol solution under the ambient condition.

Experimental details

The H atoms were placed in idealized positions and treated as riding on their parent atoms, with d(C—H) = 0.96 Å(methyl), U iso(H) = 1.5U eq(C), and d(C—H) = 0.97 Å(methylene), U iso(H) = 1.2U eq(C), and d(C—H) = 0.93 Å(aromatic), U iso(H) = 1.2U eq(C). H atoms at the N atom were located in difference maps and treated as riding with free U iso.

Comment

Curcumin is one kind of α,β-unsaturated ketone compounds. It possesses suitable anti-inflammatory and antioxidant effects in humans [5, 6]. However, its poor solubility and instability hinder its application in medicine. In order to solve the disadvantages of curcumin derivatives, it is very important that their structures will be modified to improve their stability and solubility. Base on this point, 9-bromo-4-(6-methoxypyridin-2-yl)-5,6-dihydrobenzo[h]quinazolin- 2-amine was obtained by Claisen–Schmidt condensation and Michael addition reaction.

The single-crystal structure analysis shows that the title compound crystallizes in the monoclinic space group P21/c with one molecule in the asymmetric unit (cf. the figure). All bond lengths and bond angles are within the normal range and agree with the previously reported values [7, 8]. Because the C5 and C6 atoms are sp3 hybridized, pyrimidine and neighbouring benzene rings are not coplanar with a dihedral angle of 17.49(12)° between their planes. As shown in the figure, the pyridine ring has a significant rotation with respect to the pyrimidine ring. The dihedral angle between pyridine and pyrimidine ring is 50.83(8)°.


Corresponding author: Yongjun Liu, School of Pharmacy, the Key Laboratory of Prescription Effect and Clinical Evaluation of State Administration of Traditional Chinese Medicine of China, Binzhou Medical University, Yantai, 264003, P. R. China, E-mail:

Funding source: Shandong Provincial Natural Science Foundation http://dx.doi.org/10.13039/501100007129

Award Identifier / Grant number: ZR2019MB032

Funding source: College Youth Innovation Science and Technology Support Programme of Shandong Province http://dx.doi.org/10.13039/501100018627

Award Identifier / Grant number: 2020KJK003

Funding source: Key R&D Programme of Shandong Province http://dx.doi.org/10.13039/501100018532

Award Identifier / Grant number: 2019JZZY011104

Funding source: Shandong New Drug Loading & Release Technology and Preparation Engineering Laboratory

  1. Author contributions: All the authors have accepted responsibility for the entire content of this submitted manuscript and approved submission.

  2. Research funding: This work was supported by Shandong Provincial Natural Science Foundation (No. ZR2019MB032), College Youth Innovation Science and Technology Support Programme of Shandong Province (No. 2020KJK003), Key R&D Programme of Shandong Province (No. 2019JZZY011104). This study was financially supported by Shandong New Drug Loading & Release Technology and Preparation Engineering Laboratory.

  3. Conflict of interest statement: The authors declare no conflicts of interest regarding this article.

References

1. Rigaku, O. D. CrysAlisPRO; Rigaku Oxford Diffraction Ltd: Yarnton, Oxfordshire, England, 2017.Search in Google Scholar

2. Sheldrick, G. M. A short history of SHELX. Acta Crystallogr. 2008, A64, 112–122; https://doi.org/10.1107/s0108767307043930.Search in Google Scholar PubMed

3. Sheldrick, G. M. Crystal structure refinement with SHELXL. Acta Crystallogr. 2015, C71, 3–8; https://doi.org/10.1107/s2053229614024218.Search in Google Scholar

4. Sun, Y., Gao, Z. F., Wang, C. H., Hou, G. G. Synthesis, crystal structures and anti-inflammatory activity of fluorine-substituted 1,4,5,6-tetrahydrobenzo[h]quinazolin-2-amine derivatives. Acta Crystallogr. 2019, C75, 1157–1165; https://doi.org/10.1107/s2053229619010118.Search in Google Scholar

5. Anand, P., Kunnumakkara, A. B., Newman, R. A., Aggarwal, B. B. Bioavailability of curcumin: problems and promises. Mol. Pharm. 2007, 4, 807–818; https://doi.org/10.1021/mp700113r.Search in Google Scholar PubMed

6. Hadizadeh-Bazaz, M., Vaezi, G., Khaksari, M., Hojati, V. Curcumin attenuates spatial memory impairment by anti-oxidative, anti-apoptosis, and anti-inflammatory mechanism against methamphetamine neurotoxicity in male Wistar rats: histological and biochemical changes. Neurotoxicology 2021, 84, 208–217; https://doi.org/10.1016/j.neuro.2021.03.011.Search in Google Scholar PubMed

7. Bonacorso, H. G., Rosa, W. C., Oliveira, S. M., Brusco, I., Pozza, C. C. D., Nogara, P. A., Wiethan, C. W., Rodrigues, M. B., Frizzo, C. P., Zanatta, N. Synthesis and antinociceptive activity of new 2-substituted 4-(trifluoromethyl)-5,6-dihydrobenzo[h]quinazolines. Bioorg. Med. Chem. Lett. 2016, 26, 4808–4914; https://doi.org/10.1016/j.bmcl.2016.08.021.Search in Google Scholar PubMed

8. Zhang, X. F., Luan, M. Z., Yan, W. B., Zhao, F. L., Hou, Y., Hou, G. G., Meng, Q. G. Anti-neuroinflammatory effects of novel 5,6-dihydrobenzo[h]quinazolin-2-amine derivatives in lipopolysaccharide-stimulated BV2 microglial cells. Eur. J. Med. Chem. 2022, 235, 114322; https://doi.org/10.1016/j.ejmech.2022.114322.Search in Google Scholar PubMed

Received: 2022-06-30
Accepted: 2022-08-11
Published Online: 2022-08-25
Published in Print: 2022-12-16

© 2022 the author(s), published by De Gruyter, Berlin/Boston

This work is licensed under the Creative Commons Attribution 4.0 International License.

Articles in the same Issue

  1. Frontmatter
  2. New Crystal Structures
  3. The crystal structure of 1,5-bis(4-chlorophenyl)-3-(3-methylphenyl)pentane- 1,5-dione, C48H40Cl4O4
  4. Crystal structure of (bis(1,10-phenanthroline-κ 2 N,N′))-(3,5-dinitrosalicylato-κ 2 O,O′)nickel(II), C31H18N6NiO7
  5. Crystal structure of {N,N′-bis(4-fluoro-salicylaldehyde)-3,6-dioxa-1,8-diaminooctane-κ4 O,N,N′,O′}zinc(II), C20H20F2N2O4Zn
  6. [5-Bromo-2-(2-(dimethylamino)ethyliminomethyl)phenolato-κ3 N,N′,O]-isothiocyanato-nickel(II), C12H14BrN3NiOS
  7. Crystal structure of 9-bromo-4-(6-methoxypyridin-2-yl)-5,6-dihydrobenzo[h]quinazolin- 2-amine, C18H15BrN4O
  8. The crystal structure of imidazolium nitrate, C3H5O3N3
  9. Crystal structure of diiodido-bis(6,6′-dimethoxy-2,2′-(ethane-1,2-diylbis(nitrilomethanylylidene)) diphenolato)tricadmium(II), C36H36Cd3I2N4O8
  10. Crystal structure of [diaqua-bis(2-((1H-tetrazol-1-yl)methyl)-5-carboxy-1H-imidazole-4-carboxylato-κ2 N,O) manganese(II)] dihydrate, C14H18MnN12O12
  11. Crystal structure of Diaqua[5,5′-dicarboxy-2,2′-(propane-1,3-diyl)bis(1H-imidazole-4-carboxylato-k4 O,O′,N,N′)]iron(II), C13H14FeN4O10
  12. Crystal structure of poly[dimethanol-κ1O-(µ2-(E)-2-((2-oxidobenzylidene)amino)acetato)-(µ3-(E)-2-((2-oxidobenzylidene)amino)acetato)dicadmium(II)], C20H22Cd2N2O8
  13. Crystal structure of N 2,N 6-bis(2-(((E)-quinolin-8-ylmethylene)amino)phenyl)pyridine-2,6-dicarboxamide, C39H27N7O2
  14. An I 6 2 anion in the crystal structure of theophyllinium triiodide monohydrate, C7H11I3N4O3
  15. The crystal structure of poly[6,6′-oxybis(4-(pyridin-1-ium-1-yl)-1,3,5,2,4,6-trioxatriborinan-2-olate)], [B6O9](C5H5N)2
  16. The crystal structure of (carbonato κ2 O,O′)(2-oxopyridin-1(2H)-olato-κN)tris(trimethylphosphine)rhodium(III) water solvate, C15H33NO5P3Rh
  17. The crystal structure of dibromido-bis((RS)-2-(4-chlorophenyl)-2-(1,2,4-triazol-1-ylmethyl)hexanenitrile-κ1 N)zinc(II), C30H34Br2Cl2N8Zn
  18. Synthesis and crystal structure of 3-(((7-hydroxy-3-(4-hydroxy-3,5-dinitrophenyl)-4-oxo-4H-chromen-8-yl)methyl)(nitroso)amino)propanoic acid, C19H14N4O11
  19. The crystal structure of 3-((4-chloro-N-(2-methoxyethyl)benzamido)methyl)phenyl methanesulfonate, C18H20ClNO5S
  20. Crystal structure of di([1,1′:3′,1″-terphenyl]-2′-yl)tellane, C36H26Te
  21. The crystal structure of diaqua-bis(pyrazolo[1,5-a]-pyrimidine-3-carboxylato-κ2 N,O)zinc(II), C14H12N6O6Zn
  22. Crystal structure of N′,N‴-((1E,2E)-1,2-diphenylethane-1,2-diylidene)bis(4-methylbenzohydrazide) – water – methanol (1/1/1), C31H32N4O4
  23. Crystal structure of 3-((2,4-dichlorobenzyl)thio)-5-methyl-7-(trifluoromethyl)-[1,2,4]triazolo [4,3-c]pyrimidine, C14H9Cl2F3N4S
  24. Crystal structure of 3,5,6,7-tetramethoxy-3′,4′-methylenedioxy-flavone, C20H18O8
  25. Crystal structure of catena-poly[(5,5′-dimethyl-2,2′-bipyridine-κ 2 N,N′)-(μ 3-hydrogen-1,1′,1″-(1,3,5-triazine-2,4,6-triyl)tris(piperidine-4-carboxylato)- κ 5 O:O,O′:O″,O‴)-cadmium(II)], C33H40CdN8O6
  26. The crystal structure of 3,5-bis(propan-2-yl)-1H-pyrazol-4-amine, C9H17N3
  27. Crystal structure of [(1,4,7,10-tetraoxacyclododecane-κ 4 O,O′,O″, O‴)-tris(nitrato-κ 2 O,O′)gadolinium(III)], C8H16N3O13Gd
  28. The crystal structure of 2,2′-((pyridine-2,6-diylbis(methylene))bis(sulfanediyl))-bis(4,5-dihydro-1H-imidazol-3-ium) bromide, C13H19Br2N5S2
  29. Crystal structure of E-2-chloro-N′-(1-(5-chloro-2-hydroxyphenyl)propylidene)benzohydrazide, C16H14Cl2N2O2
  30. Crystal structure of 3-(adamantan-1-yl)-4-methyl-5-{[(4-nitrophenyl)methyl]sulfanyl}-4H-1,2,4-triazole, C20H24N4O2S
  31. The crystal structure of dimethanol-κ1O-(5,10,15,20-tetrakis(4-nitrophenyl)porphyrin-21,23-diido-κ4 O,O′,O″,O′″)manganese(III) trans-dicyanido-κ1C-bis(acetylacetonato-κ2 O,O′)ruthenium(III), C58H46N10O14RuMn
  32. The crystal structure of nitroxyl-κ N-{hydridotris(3-trifluoromethyl-5-methylpyrazolyl-1-yl-κN 3)borato}nickel(II), C15H13BF9N7NiO
  33. The crystal structure of [(2,2′-bipyridine-κ2 N,N)-bis(6-phenylpyridine-2-carboxylato- κ2 N,O)nickel(II)] monohydrate, C34H26N4O5Ni
  34. The crystal structure of 5-(2-fluoro-3-methoxyphenyl)-1-(2-fluoro-6-(trifluoromethyl)benzyl)-6-methylpyrimidine-2,4(1H,3H)-dione, C20H15F5N2O3
  35. The crystal structure of ethyl 2,3,5-trifluoro-4-(4-oxo-3,4-dihydropyridin-1(2H)-yl)benzoate, C14H12F3NO3
  36. [2,2′-{Ethane-1,2-diylbis[(azanylylidene)methanylylidene]}bis(3-bromo-2-hydroxyphenyl)]iron(III) nitrate, C20H12Br2CuN2O2
  37. The crystal structure of 1-(2-iodophenyl)-4-phenyl-1H-1,2,3-triazole, C14H10IN3
  38. Synthesis and crystal structure of 2-(2-oxo-2-(thiophen-2-yl)ethyl)-4H-chromen-4-one, C15H10O3S
  39. {6,6′-((1E,1′E)-((2,2-dimethylpropane-1,3-diyl)bis(azaneylylidene))bis(methaneylylidene))bis(2-bromo-4-chlorophenolate)-κ4N,N′,O,O′}copper(II), C19H16Br2Cl2CuN2O2
  40. The crystal structure of N′-[bis(2-hydroxyphenyl)methylidene]pyridine-4-carbohydrazide, C19H15N3O3
  41. Crystal structure of 2-chloro-6-formylphenolato-κ2O,O′-(6,6′-(((2,2-dimethylpropane-1,3-diyl)bis(azaneylylidene))bis(methaneylylidene))bis(2-chlorophenolato)κ4 N,N,O,O′)cobalt(III), C26H22Cl3CoN2O4
  42. The crystal structure of tetrakis(6-phenylpyridine-2-carboxylate-κ 2 N,O)-bis(μ2-6-phenylpyridine-2-carboxylate-κ 2 O:O′)-bis(μ2-6-phenylpyridine-2-carboxylate-κ 3N,O:O)tetralead(II) C48H32N4O8Pb2
  43. The crystal structure of 3,7-dihydroxy-9-methoxy-4a-methyl-4aH-benzo[c] chromene-2,6-dione —dichloromethane (1/1), C16H14Cl2O6
  44. The crystal structure of (Z)-6-(((5-chloro-2-hydroxyphenyl)amino)methylene)- 4-nitrocyclohexa, C13H9ClN2O4
  45. Crystal structure of dichlorido-tetra((E)-(RS)-1-(2,4-dichlorophenyl)-4,4-dimethyl-2-(1,2,4-triazol-1-yl)pent-1-en-3-ol-κ1 N)zinc(II), C60H68O4N12Cl10Zn
  46. The crystal structure of 4-(2-bromoethoxy)-2-hydroxybenzaldehyde, C9H9BrO3
  47. The crystal structure of 5-azido-1-methyl-4-nitroimidazole, C4H4O2N6
  48. Crystal structure of dibromido-tetra((E)-(RS)-1-(2,4-dichlorophenyl)-4,4-dimethyl-2-(1,2,4-triazol-1-yl)pent-1-en-3-ol-κ 1 N)zinc(II), C60H68O4N12Br2Cl8Zn
  49. Crystal structure of tetrasodium-bis(μ 2-oxido)-hexafluoro-didioxo-molybdenum(V), Na2(Mo2O4F6)
  50. Crystal structure of (E)-N′-(2-chloro-6-hydroxybenzylidene)-4- hydroxybenzohydrazide-water (1/1), C14H13Cl1N2O4
  51. Crystal structure of (E)-N-(4-morpholinophenyl)-1-(quinolin-2-yl)methanimine, C20H19N3O
  52. The crystal structure of catena-poly[(1,10-phenanthroline-κ2 N,N′)-(μ3-2-hydroxybenzene-1,3-dicarboxylato-κ5 O,O′:O″,O‴:O‴)cadmium(II)], C20H12CdN2O5
  53. The crystal structure of 2,6-di-tert-butyl-4-(4-(methylthio)benzylidene)cyclohexa-2,5-dien-1-one, C22H28OS
  54. La3.65Mg30Sb1.07 as a disordered derivative of Th2Ni17-type structure
  55. Crystal structure of (E)-N-(4-morpholinophenyl)-1-(quinoxalin-2-yl)methanimine, C19H18N4O
  56. The crystal structure of 2,2′-(1,2-phenylenebis(methylene))bis(1,3-dimethylisothiouronium) bromide, C14H24Br2N4S2
  57. Crystal structure of tetraaqua-bis[4-(1H-1,2,4-triazol-1-yl)benzoato-κ1 N]zinc(II), C18H20ZnN6O8
  58. Crystal structure of bis(tricarbonyl)-{(S)-(tert-butoxycarbonyl)(1-methoxy-1-oxo-3-sulfido-k2 S:S′-propan-2-yl)amido-k2N:N′}diiron(I) (Fe—Fe), C15H15Fe2NO10S
  59. Crystal structure of (E)-3-((4-chlorophenyl)thio)-4-hydroxypent-3-en-2-one, C11H11ClO2S
  60. The crystal structure of (E)-3′,6′-bis(diethylamino)-2-((5-(diethylamino)-2-hydroxybenzylidene)amino)spiro[isoindoline-1,9′-xanthen]-3-one, C39H45N5O3
  61. The crystal structure of 2-(4-methoxynaphthalen-1-yl)-4H-chromen-4-one, C20H14O3
  62. The crystal structure of trans-dichlorido-(ethylenediamine-κ 2 N,N′)-bis(triphenylphosphine-κ 1 P)ruthenium(II), C38H38Cl2N2P2Ru
  63. The double polymeric chain of catena-poly[(μ2-6-bromopyridine-3-carboxylato-κ2 O,O′) (6-bromopyridine-3-carboxylato-κ2 O,O′) (μ2-1,2-bis(4-pyridyl)ethylene-κ2 N:N′)cobalt(II)], C24H16CoBr2N4O4
  64. The crystal structure of tert-butyl 2-(4-(12-bromo [2.2]paracyclophanyl)carbamoyl)pyrrolidine-1-carboxylate, C26H31BrN2O3
  65. The crystal structure of (Z)-2-(2,3-dimethoxybenzylidene)naphtho[1,2-b]furan-3(2H)-one, C21H16O4
  66. Crystal structure of 2-hydroxy-1-tosylindolin-3-yl- 2-naphthoate, C26H21N1S1O5
  67. The crystal structure of 1-methyl-N-(1-methyl-1H-imidazole-2-carbonyl)-1H-imidazole-2-carboxamide, C10H11N5O2
  68. The crystal structure of (E)-2-((5-bromo-2-hydroxybenzylidene)amino)-3′,6′-bis(ethylamino)-2′, 7′-dimethylspiro[isoindoline-1,9′-xanthen]-3-one, C33H31BrN4O3
  69. The crystal structure of dimethanol-5,15-diphenylporphyrin-21,23-diido-κ4 N,Nʹ,Nʺ,Nʹʺ-manganese(III) trans-dicyanido-bis(acetylacetonato-κ2O,Oʹ)ruthenium(III), C46H42N6O6RuMn
  70. Crystal structure of 1,4,8,11-tetraazacyclotetradecane-1,8-diium bis(3,5-dicarboxybenzoate), C28H36N4O12
  71. Bifurcated halogen bonds in the crystal structure of 2,2′-bi(1,8-naphthyridine)—1,4-diiodotetrafluorobenzene (1/1), C22H10F4I2N4
Downloaded on 10.11.2025 from https://www.degruyterbrill.com/document/doi/10.1515/ncrs-2022-0339/html?srsltid=AfmBOorP9P52fbeCdmbZS3KMg6fQqtx5Imimh9VWmR0ZHlkOuE9iWtey
Scroll to top button