Home Mathematics Homotopy cartesian squares in extriangulated categories
Article Open Access

Homotopy cartesian squares in extriangulated categories

  • Jing He , Chenbei Xie and Panyue Zhou EMAIL logo
Published/Copyright: March 31, 2023

Abstract

Let ( C , E , s ) be an extriangulated category. Given a composition of two commutative squares in C , if two commutative squares are homotopy cartesian, then their composition is also a homotopy cartesian square. This covers the result by Mac Lane [Categories for the Working Mathematician, Second edition, Graduate Texts in Mathematics, Vol. 5, Springer-Verlag, New York, 1998] for abelian categories and by Christensen and Frankland [On good morphisms of exact triangles, J. Pure Appl. Algebra 226 (2022), no. 3, 106846] for triangulated categories.

MSC 2010: 18G80; 18E10

1 Introduction

Most of homological algebra can be carried out in the setting of abelian categories, which includes all categories of modules. We recall the notations and properties of pull-back and push-out squares in an abelian category. Let A be an abelian category. Given two morphisms x : A B and b : B B in A , then a commutative diagram is as follows:

is a pull-back if and only if the sequence 0 A a x A B x , b B is left exact. Given two morphisms x : A B and a : A A , then a commutative diagram is as follows:

is a push-out if and only if the sequence A a x A B x , b B 0 is right exact. By the above properties, we obtain that a commutative diagram

is both pull-back and push-out if and only if the sequence

0 A a x A B x , b B 0

is exact.

The notion of a triangulated category was introduced by Grothendieck [1] and Verdier [2]. Having their origins in algebraic geometry and algebraic topology, triangulated categories have by now become indispensable in many different areas of mathematics. The notion of homotopy cartesian square first appeared in the study by Parshall and Scott [3] (also see [4, Definition 1.4.1]). We recall the notion here. Let C be a triangulated category with shift functor Σ . A commutative square

is called homotopy cartesian if there exists a triangle

A a x A B x , b B Σ A ,

where the morphism is called a differential of the homotopy cartesian square. We view a homotopy cartesian square as the triangulated analog of a pull-back and push-out square in an abelian category.

Recently, extriangulated categories were introduced by Nakaoka and Palu [5] by extracting those properties of Ext 1 ( , ) on exact categories and on triangulated categories that seem relevant from the point of view of cotorsion pairs. Exact categories (abelian categories are also exact categories) and triangulated categories are extriangulated categories, while there are some other examples of extriangulated categories, which are neither exact nor triangulated, see [59]. In particular, Nakaoka and Palu [5, Remark 2.18] proved that extension-closed subcategories of extriangulated categories are extriangulated categories. For example, let A be an artin algebra and K [ 1 , 0 ] ( proj A ) the category of complexes of finitely generated projective A -modules concentrated in degrees 1 and 0, with morphisms considered up to homotopy. Then K [ 1 , 0 ] ( proj A ) is an extension-closed subcategory of the bounded homotopy category K b ( proj A ) , which is neither exact nor triangulated, see [10, Example 6.2]. This construction gives extriangulated categories that are neither exact nor triangulated.

In this article, we study homotopy cartesian squares in extriangulated categories. This unifies homotopy cartesian squares in abelian categories and triangulated categories independently. Let us recall the definition of homotopy cartesian squares in an extriangulated category.

Definition 1.1

[11, Definition 3.1] Let ( C , E , s ) be an extriangulated category. Then a commutative square

is called homotopy cartesian if there exists an E -triangle

A a x A B x , b B --→ θ

The E -extension θ E ( B , A ) is called a differential of the homotopy cartesian square.

This gives a simultaneous generalization of the notions of push-out and pull-back square in abelian categories and homotopy cartesian square in triangulated categories.

The main result of this article is the following, which is a simultaneous generalization of the result of Mac Lane [12] for abelian categories and that of Christensen and Frankland [13] for triangulated categories.

Theorem 1.2

(See Theorem 3.2 for more details) Let ( C , E , s ) be an extriangulated category. Consider the following commutative diagram in C :

If the two squares (I) and (II) are homotopy cartesian in C , then the outside rectangle is a homotopy cartesian square in C .

Moreover, given differentials θ L E ( B , A ) and θ R E ( C , B ) of the left square and right square, respectively, there exists a differential θ P for the outside rectangle satisfying

θ R = x θ P a n d θ L = ( y ) θ P .

This article is organized as follows. In Section 2, we recall the definition of an extriangulated category and related notions. In Section 3, we show that, in an extriangulated category C , given a composition of two commutative squares, if both squares are homotopy cartesian, then so is the composition.

2 Preliminaries

Let us briefly recall some definitions and basic properties of extriangulated categories from [5]. We omit some details here, but the reader can find them in [5].

Let C be an additive category equipped with an additive bifunctor E : C op × C Ab , where Ab is the category of abelian groups. For any objects A , C C , an element δ E ( C , A ) is called an E -extension. For any a C ( A , A ) and c C ( C , C ) , E ( C , a ) ( δ ) E ( C , A ) and E ( c , A ) ( δ ) E ( C , A ) are simply denoted by a δ and c δ , respectively.

Definition 2.1

[5, Definition 2.3] Let ( A , δ , C ) , ( A , δ , C ) be any pair of E -extensions. A morphism

( a , c ) : ( A , δ , C ) ( A , δ , C )

of E -extensions is a pair of morphisms a C ( A , A ) and c C ( C , C ) in C , satisfying the equality a δ = c δ . Simply we denote it as ( a , c ) : δ δ .

Definition 2.2

[5, Definition 2.6] Let δ = ( A , δ , C ) , δ = ( A , δ , C ) be any pair of E -extensions. Let

C ι C C C ι C C

and

A p A A A p A A

be coproduct and product in , respectively. Since E is an additive bifunctor, we have a natural isomorphism

E ( C C , A A ) E ( C , A ) E ( C , A ) E ( C , A ) E ( C , A ) .

Let δ δ E ( C C , A A ) be the element corresponding to ( δ , 0 , 0 , δ ) through the above isomorphism. This is the unique element that satisfies

E ( ι C , p A ) ( δ δ ) = δ , E ( ι C , p A ) ( δ δ ) = 0 , E ( ι C , p A ) ( δ δ ) = 0 , E ( ι C , p A ) ( δ δ ) = δ .

Let C and E be as before.

Definition 2.3

[5, Definitions 2.7 and 2.8] Let A , C C be any pair of objects. Sequences of morphisms in C

A x B y C and A x B y C

are said to be equivalent if there exists an isomorphism b C ( B , B ) , which makes the following diagram commutative:

We denote the equivalence class of A x B y C by [ A x B y C ] .

For any A , C C , we denote 0 = [ A 1 0 A C ( 0 , 1 ) C ] .

For any two equivalence classes, we denote

[ A x B y C ] [ A x B y C ] = [ A A x x B B y y C C ] .

Definition 2.4

[5, Definition 2.9] Let s be a correspondence that associates an equivalence class s ( δ ) = [ A x B y C ] with any E -extension δ E ( C , A ) . We say that s is called a realization of E if it satisfies the following condition.

  • Let δ E ( C , A ) and δ E ( C , A ) be any pair of E -extensions, with

    s ( δ ) = [ A x B y C ] , s ( δ ) = [ A x B y C ] .

    Then, for any morphism ( a , c ) : δ δ , there exists b C ( B , B ) such that the following diagram commutes:

In this situation, we say that the triple of morphisms ( a , b , c ) realizes ( a , c ) .

Definition 2.5

[5, Definition 2.10] A realization s of E is called additive if it satisfies the following conditions.

  1. For any A , C C , the split E -extension 0 E ( C , A ) satisfies s ( 0 ) = 0 .

  2. For any pair of E -extensions δ E ( C , A ) and δ E ( C , A ) , s ( δ δ ) = s ( δ ) s ( δ ) holds.

Definition 2.6

[5, Definition 2.12] Let C be an additive category. An extriangulated category is a triple ( C , E , s ) satisfying the following axioms:

  1. E : C op × C Ab is an additive bifunctor.

  2. s is an additive realization of E .

  3. Let δ E ( C , A ) and δ E ( C , A ) be any pair of E -extensions that are realized as follows:

    s ( δ ) = [ A x B y C ] , s ( δ ) = [ A x B y C ] .

    For any commutative square in C , there exists a morphism ( a , c ) : δ δ satisfying c y = y b .

  4. Dual of (ET3).

  5. Let ( A , δ , D ) and ( B , δ , F ) be E -extensions realized by

    A f B f and B g C g F ,

    respectively. Then there exists an object E C , a commutative diagram in C , and an E -extension δ E ( E , A ) realized by A h C h E , which satisfy the following compatibilities:

    1. D d E e F realizes f δ ,

    2. d δ = δ ,

    3. f δ = e δ .

  6. Dual of (ET4).

We collect the following terminology from [5].

Definition 2.7

[5, Definitions 2.15 and 2.19] Let ( C , E , s ) be an extriangulated category.

  1. A sequence A x B y C is called a conflation if it realizes some E -extension δ E ( C , A ) . In this case, x is called an inflation and y is called a deflation.

  2. If a conflation A x B y C realizes δ E ( C , A ) , we call the pair ( A x B y C , δ ) an E -triangle, and write it as follows:

    A x B y C --→ δ

    We usually do not write this “ δ ” if it is not used in the argument.

  3. Let A x B y C --→ δ and A x B y C --→ δ be any pair of E -triangles. If a triplet ( a , b , c ) realizes ( a , c ) : δ δ , then we write it as

and call ( a , b , c ) a morphism of E -triangles.

3 Proof of the main result

First, we prove the following crucial lemma.

Lemma 3.1

Let ( C , E , s ) be an extriangulated category.

(1) Consider a homotopy cartesian square

with a differential θ E ( B , A ) such that the bottom row is an E -triangle in C . Then, the square extends to a morphism of E -triangles of the form ( a , b , 1 ) , as illustrated in the following diagram:

satisfying θ = ( y ) ( δ ) .

(2) Consider a homotopy cartesian square

with a differential θ E ( B , A ) such that the top row is an E -triangle in C . Then, the squares extend to a morphism of E -triangles of the form ( a , b , 1 ) , as illustrated in the following diagram:

satisfying θ = ( y ) ( δ ) .

Proof

(1) Since the square

is homotopy cartesian, there exists an E -triangle: A a x A B x , b B --→ θ . By the dual of [5, Proposition 3.17], we obtain the following commutative diagram made of E -triangles:

which satisfies θ = ( y ) ( δ ) and a x ( δ ) + 1 0 δ = 0 . From the diagram, we have y = y b . By equality a x ( δ ) + 1 0 δ = 0 , we have a δ = δ . Thus, we obtain the following morphism of E -triangles:

This completes the proof.

(2) The proof is similar to (1).□

We now prove our main result.

Theorem 3.2

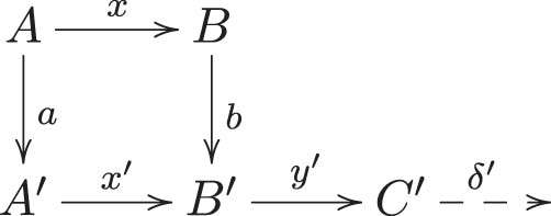
Let ( C , E , s ) be an extriangulated category. Consider the following commutative diagram: (3.1)

If the two squares (I) and (II) are homotopy cartesian in C , then the outside rectangle is also homotopy cartesian in C .

Moreover, given the differentials θ L E ( B , A ) and θ R E ( C , B ) for the left-hand and right-hand squares, respectively, there exists a differential θ P for the outside rectangle satisfying

θ R = x θ P a n d θ L = ( y ) θ P .

Proof

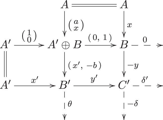
Suppose we are given differentials θ L E ( B , A ) and θ R E ( C , B ) for the left-hand and right-hand squares, respectively. Since the square (I) is homotopy cartesian, there exists an E -triangle

A a x A B x , b B --→ θ L

with the differential θ L E ( B , A ) . We have the following commutative diagram, all of whose vertical morphisms are isomorphisms, with the first and the third column being identities:

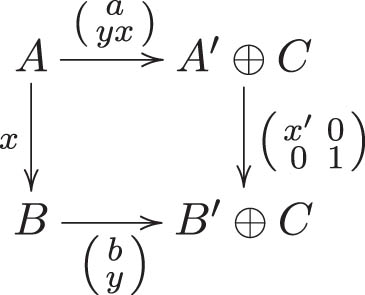
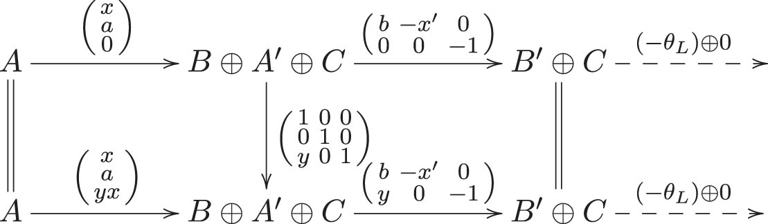
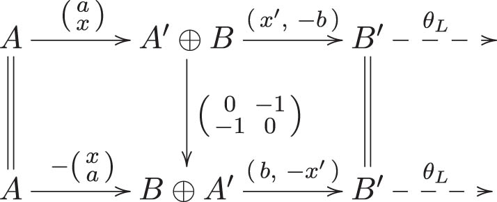
We have the E -triangle A x a B A b , x B --→ θ L . It follows that

A x a B A b , x B --→ θ L

is an E -triangle. Note that the sequence 0 C 1 C --→ 0 is the E -triangle, we obtain that

A x a 0 B A C b x 0 0 0 1 B C --→ ( θ L ) 0

is also an E -triangle. We have the following commutative diagram, all of whose vertical morphisms are isomorphisms, with the first and the third column being identities:

We have the E -triangle

A x a y x B A C b x 0 y 0 1 B C --→ ( θ L ) 0

This shows that the square

is homotopy cartesian.

Recall that we have the following E -triangle:

B b y B C y , c C --→ θ R

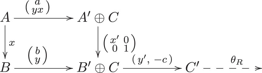
with the differential θ R E ( C , B ) . By applying Lemma 3.1 to the following diagram

we obtain the following morphism of E -triangles (3.2)

satisfying ( θ L ) 0 = ( y , c ) ( θ P ) .

The top row in (3.2) shows that the outside rectangle in (3.1) is homotopy cartesian.

Since (3.2) is a morphism of E -triangles, we have θ R = x θ P .

By the equality ( θ L ) 0 = ( y , c ) ( θ P ) , we have θ L = ( y ) θ P .

This completes the proof.□

Theorem 3.3

Let ( C , E , s ) be an extriangulated category. Consider the following commutative diagram:

If the total rectangle and the right-hand square are homotopy cartesian squares in C with given differentials θ P E ( C , A ) and θ R E ( C , B ) , respectively, then there exists a morphism x : A B such that the left-hand square is also homotopy cartesian with a differential θ L = ( y ) θ P and that we have θ R = x θ P .

Proof

Since the total rectangle and the right-hand square are homotopy cartesian squares in C with given differentials θ P E ( C , A ) and θ R E ( C , B ) , respectively, we have two E -triangles

A a u A C y x , c C --→ θ P

and

B b y B C y , c C --→ θ R

Consider the following commutative diagram

By [5, Proposition 3.17], there exists an E -triangle

A t B A s B --→ ω

which makes the above diagram commutative in C and satisfies the following properties:

  1. t ( θ P ) = θ R 0 , ( )

  2. a u ( ω ) = 0 0 ,

  3. ( 1 , 0 , x ) ( ω ) + ( y , c , 0 ) ( θ P ) = 0 . ( )

By the square (III) is commutative, we obtain that s is equal to ( b , x ) . By the square (IV) is commutative, we have that t is of the form x a and b x = x a . It follows that

A a x B A b , x B --→ ω

is also an E -triangle in C . Put θ L = ω , which shows that the left-hand square is homotopy cartesian with the differential θ L .

By the equality ( ) , we have θ R = x θ P . By the equality ( ) , we have θ L = ( y ) θ P .

This completes the proof.□

Acknowledgments

The authors would like to thank the referee for reading the article carefully and for many suggestions on mathematics and English expressions. In particular, we are also very grateful to the reviewer for pointing out that Theorem 3.3 is correct and giving a sketch of a proof.

  1. Funding information: This work was supported by the National Natural Science Foundation of China (Grant No. 11901190).

  2. Author contributions: All authors contributed equally to each part of this work and read and approved the final manuscript.

  3. Conflict of interest: The authors declare that they have no competing interest.

  4. Data availability statement: Data sharing is not applicable to this article as no datasets were generated or analyzed during this study.

References

[1] A. Grothendieck, Sur quelques points d’algèbre homologique, Tohoku Math. J. 9 (1957), no. 2, 119–221, DOI: https://doi.org/10.2748/tmj/1178244839.10.2748/tmj/1178244839Search in Google Scholar

[2] J. Verdier, Des catégories dérivées des catégories abéliennes, With a preface by Luc Illusie, Edited and with a note by Georges Maltsiniotis, Astérisque No. 239, 1996.Search in Google Scholar

[3] B. J. Parshall and L. L. Scott, Derived categories, quasi-hereditary algebras, and algebraic groups, Carlton University Mathematical Notes 3 (1988), 1–104.Search in Google Scholar

[4] A. Neeman, Triangulated categories, Annals of Mathematics Studies, Vol. 148, Princeton University Press, Princeton, 2001.10.1515/9781400837212Search in Google Scholar

[5] H. Nakaoka and Y. Palu, Extriangulated categories, Hovey twin cotorsion pairs and model structures, Cah. Topol. Géom. Différ. Catég. 60 (2019), no. 2, 117–193.Search in Google Scholar

[6] P. Zhou and B. Zhu, Triangulated quotient categories revisited, J. Algebra 502 (2018), 196–232, DOI: https://doi.org/10.1016/j.jalgebra.2018.01.031.10.1016/j.jalgebra.2018.01.031Search in Google Scholar

[7] J. Hu, D. Zhang, and P. Zhou, Proper classes and Gorensteinness in extriangulated categories, J. Algebra 551 (2020), 23–60, DOI: https://doi.org/10.1016/j.jalgebra.2019.12.028.10.1016/j.jalgebra.2019.12.028Search in Google Scholar

[8] B. Zhu and X. Zhuang, Tilting subcategories in extriangulated categories, Front. Math. China 15 (2020), no. 1, 225–253, DOI: https://doi.org/10.1007/s11464-020-0811-7.10.1007/s11464-020-0811-7Search in Google Scholar

[9] H. Nakaoka and Y. Palu, External Triangulation of the Homotopy Category of Exact Quasi-category, arXiv:2004.02479, 2020, DOI: https://doi.org/10.48550/arXiv.2004.02479.Search in Google Scholar

[10] O. Iyama, H. Nakaoka, and Y. Palu, Auslander-Reiten Theory in Extriangulated Categories, arXiv.1805.03776, 2018, DOI: https://doi.org/10.48550/arXiv.1805.03776.Search in Google Scholar

[11] J. He, Extensions of covariantly finite subcategories revisited, Czechoslovak Math. J. 69 (144) (2019), no. 2, 403–415, DOI: https://doi.org/10.21136/CMJ.2018.0338-17.10.21136/CMJ.2018.0338-17Search in Google Scholar

[12] S. Mac Lane, Categories for the working mathematician, Second Edition, Graduate Texts in Mathematics, Vol. 5, Springer-Verlag, New York, 1998.Search in Google Scholar

[13] J. D. Christensen and M. Frankland, On good morphisms of exact triangles, J. Pure Appl. Algebra 226 (2022), no. 3, 106846, DOI: https://doi.org/10.1016/j.jpaa.2021.106846.10.1016/j.jpaa.2021.106846Search in Google Scholar

Received: 2022-07-10
Revised: 2023-02-23
Accepted: 2023-03-01
Published Online: 2023-03-31

© 2023 the author(s), published by De Gruyter

This work is licensed under the Creative Commons Attribution 4.0 International License.

Articles in the same Issue

  1. Special Issue on Future Directions of Further Developments in Mathematics
  2. What will the mathematics of tomorrow look like?
  3. On H 2-solutions for a Camassa-Holm type equation
  4. Classical solutions to Cauchy problems for parabolic–elliptic systems of Keller-Segel type
  5. Control of multi-agent systems: Results, open problems, and applications
  6. Logical perspectives on the foundations of probability
  7. Subharmonic solutions for a class of predator-prey models with degenerate weights in periodic environments
  8. A non-smooth Brezis-Oswald uniqueness result
  9. Luenberger compensator theory for heat-Kelvin-Voigt-damped-structure interaction models with interface/boundary feedback controls
  10. Special Issue on Fractional Problems with Variable-Order or Variable Exponents (Part II)
  11. Positive solution for a nonlocal problem with strong singular nonlinearity
  12. Analysis of solutions for the fractional differential equation with Hadamard-type
  13. Hilfer proportional nonlocal fractional integro-multipoint boundary value problems
  14. A comprehensive review on fractional-order optimal control problem and its solution
  15. The θ-derivative as unifying framework of a class of derivatives
  16. Review Articles
  17. On the use of L-functionals in regression models
  18. Minimal-time problems for linear control systems on homogeneous spaces of low-dimensional solvable nonnilpotent Lie groups
  19. Regular Articles
  20. Existence and multiplicity of solutions for a new p(x)-Kirchhoff problem with variable exponents
  21. An extension of the Hermite-Hadamard inequality for a power of a convex function
  22. Existence and multiplicity of solutions for a fourth-order differential system with instantaneous and non-instantaneous impulses
  23. Relay fusion frames in Banach spaces
  24. Refined ratio monotonicity of the coordinator polynomials of the root lattice of type Bn
  25. On the uniqueness of limit cycles for generalized Liénard systems
  26. A derivative-Hilbert operator acting on Dirichlet spaces
  27. Scheduling equal-length jobs with arbitrary sizes on uniform parallel batch machines
  28. Solutions to a modified gauged Schrödinger equation with Choquard type nonlinearity
  29. A symbolic approach to multiple Hurwitz zeta values at non-positive integers
  30. Some results on the value distribution of differential polynomials
  31. Lucas non-Wieferich primes in arithmetic progressions and the abc conjecture
  32. Scattering properties of Sturm-Liouville equations with sign-alternating weight and transmission condition at turning point
  33. Some results for a p(x)-Kirchhoff type variation-inequality problems in non-divergence form
  34. Homotopy cartesian squares in extriangulated categories
  35. A unified perspective on some autocorrelation measures in different fields: A note
  36. Total Roman domination on the digraphs
  37. Well-posedness for bilevel vector equilibrium problems with variable domination structures
  38. Binet's second formula, Hermite's generalization, and two related identities
  39. Non-solid cone b-metric spaces over Banach algebras and fixed point results of contractions with vector-valued coefficients
  40. Multidimensional sampling-Kantorovich operators in BV-spaces
  41. A self-adaptive inertial extragradient method for a class of split pseudomonotone variational inequality problems
  42. Convergence properties for coordinatewise asymptotically negatively associated random vectors in Hilbert space
  43. Relating the super domination and 2-domination numbers in cactus graphs
  44. Compatibility of the method of brackets with classical integration rules
  45. On the inverse Collatz-Sinogowitz irregularity problem
  46. Positive solutions for boundary value problems of a class of second-order differential equation system
  47. Global analysis and control for a vector-borne epidemic model with multi-edge infection on complex networks
  48. Nonexistence of global solutions to Klein-Gordon equations with variable coefficients power-type nonlinearities
  49. On 2r-ideals in commutative rings with zero-divisors
  50. A comparison of some confidence intervals for a binomial proportion based on a shrinkage estimator
  51. The construction of nuclei for normal constituents of Bπ-characters
  52. Weak solution of non-Newtonian polytropic variational inequality in fresh agricultural product supply chain problem
  53. Mean square exponential stability of stochastic function differential equations in the G-framework
  54. Commutators of Hardy-Littlewood operators on p-adic function spaces with variable exponents
  55. Solitons for the coupled matrix nonlinear Schrödinger-type equations and the related Schrödinger flow
  56. The dual index and dual core generalized inverse
  57. Study on Birkhoff orthogonality and symmetry of matrix operators
  58. Uniqueness theorems of the Hahn difference operator of entire function with a Picard exceptional value
  59. Estimates for certain class of rough generalized Marcinkiewicz functions along submanifolds
  60. On semigroups of transformations that preserve a double direction equivalence
  61. Positive solutions for discrete Minkowski curvature systems of the Lane-Emden type
  62. A multigrid discretization scheme based on the shifted inverse iteration for the Steklov eigenvalue problem in inverse scattering
  63. Existence and nonexistence of solutions for elliptic problems with multiple critical exponents
  64. Interpolation inequalities in generalized Orlicz-Sobolev spaces and applications
  65. General Randić indices of a graph and its line graph
  66. On functional reproducing kernels
  67. On the Waring-Goldbach problem for two squares and four cubes
  68. Singular moduli of rth Roots of modular functions
  69. Classification of self-adjoint domains of odd-order differential operators with matrix theory
  70. On the convergence, stability and data dependence results of the JK iteration process in Banach spaces
  71. Hardy spaces associated with some anisotropic mixed-norm Herz spaces and their applications
  72. Remarks on hyponormal Toeplitz operators with nonharmonic symbols
  73. Complete decomposition of the generalized quaternion groups
  74. Injective and coherent endomorphism rings relative to some matrices
  75. Finite spectrum of fourth-order boundary value problems with boundary and transmission conditions dependent on the spectral parameter
  76. Continued fractions related to a group of linear fractional transformations
  77. Multiplicity of solutions for a class of critical Schrödinger-Poisson systems on the Heisenberg group
  78. Approximate controllability for a stochastic elastic system with structural damping and infinite delay
  79. On extremal cacti with respect to the first degree-based entropy
  80. Compression with wildcards: All exact or all minimal hitting sets
  81. Existence and multiplicity of solutions for a class of p-Kirchhoff-type equation RN
  82. Geometric classifications of k-almost Ricci solitons admitting paracontact metrices
  83. Positive periodic solutions for discrete time-delay hematopoiesis model with impulses
  84. On Hermite-Hadamard-type inequalities for systems of partial differential inequalities in the plane
  85. Existence of solutions for semilinear retarded equations with non-instantaneous impulses, non-local conditions, and infinite delay
  86. On the quadratic residues and their distribution properties
  87. On average theta functions of certain quadratic forms as sums of Eisenstein series
  88. Connected component of positive solutions for one-dimensional p-Laplacian problem with a singular weight
  89. Some identities of degenerate harmonic and degenerate hyperharmonic numbers arising from umbral calculus
  90. Mean ergodic theorems for a sequence of nonexpansive mappings in complete CAT(0) spaces and its applications
  91. On some spaces via topological ideals
  92. Linear maps preserving equivalence or asymptotic equivalence on Banach space
  93. Well-posedness and stability analysis for Timoshenko beam system with Coleman-Gurtin's and Gurtin-Pipkin's thermal laws
  94. On a class of stochastic differential equations driven by the generalized stochastic mixed variational inequalities
  95. Entire solutions of two certain Fermat-type ordinary differential equations
  96. Generalized Lie n-derivations on arbitrary triangular algebras
  97. Markov decision processes approximation with coupled dynamics via Markov deterministic control systems
  98. Notes on pseudodifferential operators commutators and Lipschitz functions
  99. On Graham partitions twisted by the Legendre symbol
  100. Strong limit of processes constructed from a renewal process
  101. Construction of analytical solutions to systems of two stochastic differential equations
  102. Two-distance vertex-distinguishing index of sparse graphs
  103. Regularity and abundance on semigroups of partial transformations with invariant set
  104. Liouville theorems for Kirchhoff-type parabolic equations and system on the Heisenberg group
  105. Spin(8,C)-Higgs pairs over a compact Riemann surface
  106. Properties of locally semi-compact Ir-topological groups
  107. Transcendental entire solutions of several complex product-type nonlinear partial differential equations in ℂ2
  108. Ordering stability of Nash equilibria for a class of differential games
  109. A new reverse half-discrete Hilbert-type inequality with one partial sum involving one derivative function of higher order
  110. About a dubious proof of a correct result about closed Newton Cotes error formulas
  111. Ricci ϕ-invariance on almost cosymplectic three-manifolds
  112. Schur-power convexity of integral mean for convex functions on the coordinates
  113. A characterization of a ∼ admissible congruence on a weakly type B semigroup
  114. On Bohr's inequality for special subclasses of stable starlike harmonic mappings
  115. Properties of meromorphic solutions of first-order differential-difference equations
  116. A double-phase eigenvalue problem with large exponents
  117. On the number of perfect matchings in random polygonal chains
  118. Evolutoids and pedaloids of frontals on timelike surfaces
  119. A series expansion of a logarithmic expression and a decreasing property of the ratio of two logarithmic expressions containing cosine
  120. The 𝔪-WG° inverse in the Minkowski space
  121. Stability result for Lord Shulman swelling porous thermo-elastic soils with distributed delay term
  122. Approximate solvability method for nonlocal impulsive evolution equation
  123. Construction of a functional by a given second-order Ito stochastic equation
  124. Global well-posedness of initial-boundary value problem of fifth-order KdV equation posed on finite interval
  125. On pomonoid of partial transformations of a poset
  126. New fractional integral inequalities via Euler's beta function
  127. An efficient Legendre-Galerkin approximation for the fourth-order equation with singular potential and SSP boundary condition
  128. Eigenfunctions in Finsler Gaussian solitons
  129. On a blow-up criterion for solution of 3D fractional Navier-Stokes-Coriolis equations in Lei-Lin-Gevrey spaces
  130. Some estimates for commutators of sharp maximal function on the p-adic Lebesgue spaces
  131. A preconditioned iterative method for coupled fractional partial differential equation in European option pricing
  132. A digital Jordan surface theorem with respect to a graph connectedness
  133. A quasi-boundary value regularization method for the spherically symmetric backward heat conduction problem
  134. The structure fault tolerance of burnt pancake networks
  135. Average value of the divisor class numbers of real cubic function fields
  136. Uniqueness of exponential polynomials
  137. An application of Hayashi's inequality in numerical integration
Downloaded on 19.2.2026 from https://www.degruyterbrill.com/document/doi/10.1515/math-2022-0570/html
Scroll to top button