Home Effect of CO2 injection into blast furnace tuyeres on the pulverized coal combustion
Article Open Access

Effect of CO2 injection into blast furnace tuyeres on the pulverized coal combustion

  • Juanjuan Jiang , Rong Zhu EMAIL logo and Shengtao Qiu
Published/Copyright: May 1, 2021

Abstract

CO2 injection into blast furnace tuyeres is a new technology to utilize CO2, aiming at expanding the way of CO2 self-absorption in the metallurgical industry. The decisive factor of whether CO2 can be mixed into a blast-furnace hot blast and the proper mixing ratio is the effect of CO2 injection on pulverized coal burnout. To investigate the effect of CO2 injection into tuyeres on pulverized coal burnout, a three-dimensional mathematical model of pulverized coal flow and combustion in the lower part of the pulverized coal injection lance-blowpipe-tuyere-raceway was established, and the effect of CO2 injection into tuyeres on pulverized coal combustion rate and outlet temperature is analyzed. The numerical simulation results show that the delay of pulverized coal combustion in the early stage is caused by the endothermic effect of the reaction of CO2 with carbon, and the burnout of pulverized coal is increased in the later stage due to the oxidation of CO2.

1 Introduction

In response to environmental changes caused by CO2 emissions, metallurgical workers have been committed to study how to use CO2 as a resource in the iron and steel industries. It has been proposed to use CO2 for iron and steel slag mineralization, which has a long-term stability and can recycle some mineral elements back to use [1,2,3,4,5,6,7]. A series of technologies for the utilization of CO2 as a resource in the steelmaking process have been creatively proposed, which not only makes use of CO2 as a resource but also benefits the steelmaking process [8,9,10,11,12,13]. To find a new way to utilize CO2 on a larger scale in the iron and steel industries, based on the oxidation of CO2, the technology of blowing CO2 into blast furnace tuyeres is put forward. CO2 reacts with carbon in the tuyeres to form twice CO, which takes part in the indirect reduction reaction in the furnace and reduces the degree of direct reduction.

In 1840, Kuangdi [14] put forward the idea of injecting pulverized coal into a blast furnace, many experts at home and abroad have been committed to the development of pulverized coal injection process [15,16,17]. After pulverized coal is injected into the tuyere of a blast furnace, some of them have to be gasified and burned instead of coke as a heating agent. The combustion of pulverized coal is carried out according to the following three processes [18]. First, the pulverized coal is heated and the volatile matter is separated, then the volatile matter is burned and degassed, and finally, the heterogeneous combustion of the char yield takes place. The accumulation of unburned pulverized coal in the blast furnace will lead to bad gas permeability, influence gas flow distribution, and change pressure distribution in the blast furnace. Therefore, it is very important to study the effect of CO2 injection on pulverized coal burnout.

Due to the high temperature and bad environment of the blast furnace, the results of experiments on the effect of CO2 injection on pulverized coal burnout are not reliable [19]. The numerical simulation method can be used to understand the specific combustion characteristics of pulverized coal. It is an important tool for studying pulverized coal combustion at home and abroad [20,21]. For many years, scholars have done a lot of research on numerical simulation of pulverized coal combustion for which accuracy has been verified [22,23,24,25]. To target the effect of CO2 injection into blast furnace tuyeres on the pulverized coal combustion, a three-dimensional mathematical model of pulverized coal flow and combustion in the lower part of the pulverized coal injection lance-blowpipe-tuyere-raceway is established by using the numerical simulation method of the computational fluid dynamics. The numerical simulation results guide the utilization of CO2 in the ironmaking process.

2 Mathematical model

2.1 Computational models

In this paper, the numerical simulation is performed using commercial computational fluid dynamics software fluent 14.0, which is used to solve the Reynolds-averaged Navier–Stokes (RANS) equation, the following is a mathematical expression of the RANS.

ρ t + X i ( ρ u i ) = 0

t ( ρ u i ) + X j ( ρ u i u j ) = p X i + X j σ i j σ i j σ i j + σ i j σ i j 2 3 σ i j σ i j σ i j + X j ( ρ u i ' u j ' ¯ )

2.2 Gas-phase turbulence model

The turbulent model used in this paper is the kε model, which includes the standard kε model (SKE), renormalization kε model (RNG), and realizable kε model (RKE). There are similar forms, which are based on the solution of k, ε transport equations. The main difference is the method of solving turbulent viscosity, the turbulent trump number, and the emergence and integration of ε formulas. RNG and RKE models are proposed to improve the flow deficit in the swirl and turbulent models. In this paper, RKE and standard wall function are used to simulate turbulent flow. The SKE is a semi-empirical model. To make the simulation result closer to the real experiment, some parameters in the SKE need to be modified, the RKE is developed to make up for the shortcomings of the SKE in some applications. Compared with the SKE, the RKE has two major differences: (1) the turbulent viscosity is different and (2) the transport equation of the dissipation rate is different. The results are in good agreement with the experimental data in previous studies [16,17]; therefore, the RKE is used to simulate the combustion of pulverized coal.

2.3 Mathematical model of particle discrete term

Eulerian–Lagrangian model is widely used to describe the discrete phase, which can be used to parallel computation and discrete phase trajectory description. In this paper, pulverized coal is regarded as the discrete phase and gas phase as the continuous phase, and the concentration of pulverized coal is lower, which is in accordance with the basic premise of the discrete phase model. The equations of motion of particles in the Eulerian reference frame are derived from the equilibrium of forces acting on the particles. The effect of turbulent pulsation on particles is described by the Random Walk Model. It is noted that the motion of the discrete phase is not calculated in a fixed flow field, and the interaction between the discrete phase and the continuous phase should be considered, including momentum exchange, mass exchange, and energy exchange, its distribution law follows Newton’s second law.

d( u p ) d t = F D ( u u p ) + ( ρ p ρ ) g i ρ p + F i

F D = 18 μ ρ p d p 2 C D Re 24

Re = ρ d p u p u μ

The above formula assumes that the particle shape is spherical, where ρ is the gas density, ρ p is the pulverized coal density, u p is the pulverized coal velocity, u is the continuous phase velocity, g i is the acceleration of gravity (i direction), F i is the additional force on the pulverized coal particles in the direction i, F D(uu p) is the mass drag force on pulverized coal particles, μ is the viscosity coefficient, Re is the relative Reynolds number, and C D is the drag coefficient.

2.4 Mathematical model of pulverized coal combustion

After the pulverized coal enters the blowpipe, it is heated by a high-speed hot blast and fastly passes the blowpipe to enter the raceway zone to burn quickly. In this stage, the pulverized coal is heated and burned in four processes, as shown in Figure 1: (1) the moisture in the pulverized coal evaporates, (2) the pulverized coal is pyrolyzed to remove the volatile matter, (3) volatile combustion, and (4) char combustion. In the simulation of fluent, the above four processes are sequential, only after the previous phase has been completed, the next phase will proceed. The wet combustion model is used for the simulation of the water evaporation process. The liquid matter in the pulverized coal is set as liquid water, the percentage of liquid water is set, and the gaseous matter volatilized into the gas phase is set as water vapor.

Figure 1 
                  Basic process of pulverized coal combustion.
Figure 1

Basic process of pulverized coal combustion.

2.4.1 Devolatilization model

In the devolatilization model, the surface temperature of pulverized coal rises rapidly and the devolatilization is removed by pyrolysis after the pulverized coal and low-temperature carrier gas enter the blowpipe and contact with the hot blast. In this paper, the two-competing-reactions model is used to describe the pyrolysis process of the pulverized coal. This model can describe the pyrolysis reaction of pulverized coal under different reaction temperatures.

Raw coal K 1 α 1 V M 1 + ( 1 α 1 ) Char 1 R 1 ( low temperature )

Raw coal K 2 α 2 V M 2 + ( 1 α 2 ) Char 2 R 2 ( high temperature )

Rate of volatilization:

d V M d t = ( α 1 K 1 + α 2 K 2 ) C 0

In above formulas, where K 1 and K 2 are the devolatilization rates at different temperatures, α 1 is the chemical equivalent coefficient of reaction, α 2 = 1.25α 1 2 + 0.92α 1, C 0 is the mass of ash removal from pulverized coal, predigital factor A 1 = 3.7 × 105 s−1; activation energy E 1 = 1.48 × 108 J/mol, predigital factor A 2 = 1.46 × 1013 s−1, and activation energy E 2 = 2.5 × 108 J/mol.

2.4.2 Volatile matter combustion model

The key to the accurate simulation of turbulent combustion is the correct consideration of the relationship between turbulent flow and chemical reaction. The combustion models in FLUENT include Laminar finite-rate (FR) model, Eddy-dissipation (ED) model, and Eddy-dissipation concept (EDC) model. The effect of turbulent fluctuation is neglected in the FR, and the reaction rate is controlled by the Svante August Arrhenius expression. In the ED model, it is assumed that the rate of reaction is controlled by turbulent, so that a large number of Arrhenius chemical kinetics can be avoided; although this model is computationally small, for the real situation, only one- or two-step heat release mechanism can be used and an incorrect solution will be produced when multi-step reaction mechanism is used. The EDC model is an extension of the ED model, in the EDC model, turbulent flames can include detailed Arrhenius chemical kinetics, which is highly reliable for simulating detailed chemical reaction mechanisms, and the model requires a large amount of computation and high-computing resources.

The EDC assumes that the chemical reaction takes place on a small turbulent scale, commonly known as a fine scale and that the calculation of the components in the simulation process is done after the chemical reaction of the micro-scale has been completed. Comparing with other combustion models, the computation resources and time required by the EDC are increased geometrically. In the EDC, only the reaction rate is considered and the mixing time is ignored at the micro-scale, which is equivalent to a full stirrer. The model coupling turbulent flow and chemical reaction through turbulent parameters include turbulent kinetic energy and turbulent dissipation rate. The size of a microscale ζ and the time scale τ of a chemical reaction are defined as follows:

ξ = C ξ v ε k 2 3 / 4

τ = C τ ν ε 1 / 2

where C ξ is the volume fraction constant, 2.1377; ν is the dynamic viscosity; and C τ is the time scale constant, 0.4082.

In this simulation, the volatiles were simulated as CH4, and a two-step chemical reaction model of methane was used (Table 1).

R 1 : CH 4 + 1.5 O 2 = CO + H 2 O

R 2 : CO + 0.5 O 2 = CO 2

Table 1

Chemical kinetics parameters

Reaction Predigital factor Activation energy (kJ/mol) Reaction index
1 5.012 × 1011 2 × 108 [CH4]0.7[O2]0.8
2 2.239 × 1012 1.7 × 108 [CO][O2]0.25

2.4.3 Char yield combustion model

After all the volatiles have been precipitated, the fixed carbon is oxidized and gasified. In general, heterogeneous reactions consist of the following basic steps:

  1. Gas molecules reach the solid surface by convection and diffusion.

  2. The gas molecules are adsorbed on the solid surface.

  3. Elementary reactions of adsorbed molecules, solid surface itself, and various chemical reactions of gaseous molecules.

  4. Desorption of product molecules on the solid surface

  5. The product molecules leave the solid surface by convection and diffusion.

For the coke reaction, four heterogeneous surface reaction models are provided by Fluent: the diffusion-limited rate model, the kinetic/diffusion-limited rate model, the intrinsic model, and the multiple surface reactions model. The diffusion-limited rate model is based on the assumption that the surface reaction process is controlled by the diffusion rate and the surface chemical kinetics rate is ignored. The kinetics/diffusion-limited rate model assumes that the surface reaction is controlled either by the diffusion rate or by the chemical kinetics rate. The intrinsic model assumes that CO2 is produced directly by the oxidation of coke and that the reaction rate is determined by both the diffusion rate and the chemical kinetics rate. The coke reaction model can only set a part of the coke reaction; in contrast, the multi-surface reaction model can set the multi-reaction of coke.

Since the variables in this model are the volume fraction of CO2 in the hot blast, the reaction between CO2 and coke cannot be neglected. In this paper, a multi-surface reaction model is used. The reaction occurring on the fixed carbon surface is as follows:

R 3 : C ( s ) + 0.5 O 2 = CO

R 4 : C ( s ) + CO 2 = 2 CO

R 5 : C ( s ) + H 2 O = CO + H 2

The reaction rate is expressed as follows:

R j , r = A p η r Y j P k r D 0 , r D 0 , r + k r

D 0 , r = C j , r [ ( T p + T g ) / 2 ] 0.75 d p

where A p is the particle surface area, m 2, η r is the effective factor, Y j is the mass fraction of component j, P is the partial pressure of the gas, Pa, K r is the chemical kinetics parameters, calculated by the Arrhenius equation, which are listed in Tables 2 and 3, D 0 , r is the diffusion rate constant, and C j , r is the molar concentration of a component j in reaction r .

Table 2

Chemical kinetics parameters

Reaction Predigital factor Activation energy (kJ/mol) Temperature coefficient
3 1.36 × 106 1.3 × 108 0.68
4 6.78 × 104 1.63 × 108 0.73
5 8.55 × 104 1.4 × 108 0.84
Table 3

Calculation of the operating mode entrance boundary condition settings

Condition f CO 2 in the hot blast (%) Hot blast mass flow (kg/s) Carrier gas flow (kg/s)
1 (Datum) 0 1.9511953 8.162 × 10−3
2 2 1.9714122 8.162 × 10−3
3 4 1.9916292 8.162 × 10−3
4 6 2.0118462 8.162 × 10−3

2.5 Radiation model

For the combustion of pulverized coal in enclosed space, the effect of thermal radiation cannot be neglected, and the radiation of pulverized coal particles, gas, and wall surface needs to be considered. The P1 radiation model is a relatively simple model, which takes up less computational resources and can take into account the radiation heat transfer between gas, wall, and particles, but its application is limited by the optical thickness and is usually suitable for the case where the optical thickness is more than 1 and the computational domain is large. In contrast, the Discrete Ordinates model (DO) is much more complex and computationally intensive, but it can be applied to all-optical thicknesses and can also simulate the radiation of discrete terms. In this paper, DO is used to describe the radiation model, the results are more accurate.

2.6 Other settings

The solver uses a steady-state pressure base solver, and the semi-implicit method for pressure linked equations (SIMPLE) is used to solve all kinds of equations in the computational model. The algorithm uses the correction relation between velocity and pressure to solve the mass conservation equation to obtain the pressure field, and the relaxation factor remains the default. The global average is used to initialize the computational domain. To improve the computational accuracy, in this paper, the discrete numerical value of the second-order upwind scheme is used to calculate the equation. The In-Situ Adaptive Tabulation (ISAT) proposed by Pope et al. is used to speed up the computation.

The criterion of convergence is (1) mass conservation, the difference of mass flow of all import and export components in the computational domain is less than 10−8 kg/s; (2) the residual error of energy equation is less than 10−6, the residual error of other variables is less than 10−5; and (3) set exit section CO gas volume fraction and temperature detection section, exit section temperature and CO gas volume fraction with iteration changes less than 1 K and 10−3.

3 Geometry and operating conditions

3.1 Computational domain

The geometric model (3D) of this study is based on the design and operation parameters of a 2,749 m3 blast furnace. The CO2 injection ratio is defined as CO2 enrichment rate ( f CO 2 ) which is the volume fraction of CO2 in the hot blast.

Figure 2 is a geometric model of the pulverized coal injection lance-blowpipe-tuyere-raceway, the pulverized coal injection lance with a diameter of 17.12 mm, an angle of 10° with the axis of the model and an extension of 150 mm, blowpipe with a diameter of 180 mm and a length of 65 mm, tuyere with a length of 135 mm, the diameter from 180 to 150 mm, and the raceway is designed as a 3° divergent tube which can effectively avoid the gas circulation, and the research focuses on the flow and combustion behavior of pulverized coal in the horizontal jet region under the raceway zone of the blast furnace. According to the geometrical symmetry of the model, the middle axis plane YZ is set as the symmetry plane, and only 1/2 area of the model is simulated, which can save computing resources and time. A schematic diagram of the computational domain and grid of the model is shown in Figure 3; it also shows the computational domain grid established by ICEM CFD.

Figure 2 
                  A sketch of a geometric model (mm).
Figure 2

A sketch of a geometric model (mm).

Figure 3 
                  Schematic diagram of computational domain and grid of the model.
Figure 3

Schematic diagram of computational domain and grid of the model.

3.2 Boundary conditions

The temperature of the carrier gas (N2) of pulverized coal is fixed at 45°C, the pulverized coal and carrier gas enter from the left side entrance of the pulverized coal injection lance and the entrance is set as mass flow entrance; the hot blast uses oxygen-enriched air, which contains CO2 and water vapor, and its temperature is fixed at 1,200°C, the hot blast enters from the blowpipe and is set as mass flow entrance; the raceway of the blast outlet is in a high-pressure state, the outlet is set as the pressure outlet and the pressure is set as 350 kPa; and the wall surface of the pulverized coal injection lance, blowpipe, and tuyere is set as the adiabatic wall surface. Considering the hot coke around the raceway, the wall surface temperature of the raceway is set as 2273.15 K. The variables in the whole model calculation are f CO 2 in the hot blast, which are 0, 2, 4, and 6%, respectively. The specific parameters of inlet conditions are listed in Table 3. The mass flux of the hot blast in the table increases with the increase of f CO 2 in the hot blast because CO2 gas has replaced air, the relative molecular mass of CO2 is larger than that of air, and the mass flow rate increases when the volume flow rate of the hot blast is constant. The mass flux of pulverized coal is 1,250 kg/h, which is constant. The particle size distribution of pulverized coal is shown in Figure 4.

Figure 4 
                  Particle size distribution of the pulverized coal.
Figure 4

Particle size distribution of the pulverized coal.

3.3 Model validation

To verify the reliability and the independence of the model, three meshes were selected, specifically, the encrypted mesh (1,000,000 mesh), the normal mesh (630,000 mesh), and the bold mesh 300,000 mesh); the model is used to calculate the pulverized coal burnout rate under different oxygen mass fractions in the blast. When the oxygen mass fraction in blast increases from 25 to 30%, the predecessors [26,27] found that the burnout rate increases by approximately 4.5%. The simulation results show that when the oxygen mass fraction in blast increases from 25 to 30%, the burnout rate specifically increases by 4.2, 4.18, 4.12%; it was found that the calculated results of the three grids were close to the literature results. Therefore, considering the availability and computational efficiency of the grid, it was more suitable to select the common grid as the simulation. In addition, the simulation results show that the peak value of gas temperature on the axis decreases with the increase of f CO 2 . The same phenomenon was found in the study by Zhang et al. [28] (Figure 5).

Figure 5 
                  Effect of oxygen mass fraction in the hot blast on pulverized coal burnout: (a) the results of this paper (the common grid) and (b) literature results.
Figure 5

Effect of oxygen mass fraction in the hot blast on pulverized coal burnout: (a) the results of this paper (the common grid) and (b) literature results.

4 Results and discussion

4.1 Effect on the temperature field

As shown in Figure 6, there are two high-temperature zones in the YZ plane temperature field of the furnace. The location of the upper high-temperature zone is earlier than that of the lower high-temperature zone. The main reason is that the smaller pulverized coal is accumulated in the upper part of the furnace due to segregation, the combustion process is faster and the position of heat release is earlier. With the increase of f CO 2 in the hot blast, the overall temperature field in the furnace does not change much, and the high-temperature zones in the furnace are similar, but the two high-temperature zones gradually become thinner and the exit cross-section temperature decreases because of the heat absorption of CO2 in the hot blast reacts with carbon.

Figure 6 
                  Distribution of temperature field on YZ plane in a furnace with different 
                        
                           
                           
                              
                                 
                                    f
                                 
                                 
                                    
                                       
                                          CO
                                       
                                       
                                          2
                                       
                                    
                                 
                              
                           
                           {f}_{{\text{CO}}_{2}}
                        
                      in the hot blast.
Figure 6

Distribution of temperature field on YZ plane in a furnace with different f CO 2 in the hot blast.

Figure 7 is the curve of the temperature on the axis of the furnace under different f CO 2 in the hot blast. It is divided into four stages. In the first stage, because of the heating of the hot blast, the temperature on the axis of the furnace began to rise; in the second stage, the temperature increases rapidly to the highest temperature, which is caused by the combustion of pulverized coal with smaller particle size; in the third stage, the temperature begins to drop, this is due to the heat absorbed by the temperature rise of a large number of pulverized coal and devolatilization are greater than the volatile matter and char yield combustion heat release; in the fourth stage, this is due to the outside axis of the char yield and volatile matter combustion heat release greater than the temperature rise of pulverized coal and devolatilization the heat absorption. With the increase of f CO 2 in the hot blast, the peak value of gas temperature on axis decreases and moves back, the peak value drops because of the heat absorption of CO2 in the hot blast reacts with carbon. In the early stage of pulverized coal combustion, pulverized coal heating, and volatilization are mainly produced, which are highly affected by temperature. The delay of pulverized coal combustion is caused by the endothermic reaction of CO2 with carbon, and the delay is more obvious with the increase of f CO 2 .

Figure 7 
                  The temperature curve on the axis of the furnace under different 
                        
                           
                           
                              
                                 
                                    f
                                 
                                 
                                    
                                       
                                          CO
                                       
                                       
                                          2
                                       
                                    
                                 
                              
                           
                           {f}_{{\text{CO}}_{2}}
                        
                      in the hot blast.
Figure 7

The temperature curve on the axis of the furnace under different f CO 2 in the hot blast.

4.2 Effect on the volume fraction of CO2

Figure 8 shows the distribution of the volume fraction of CO2 in the YZ plane of the furnace under different f CO 2 in the hot blast. The concentration of CO2 in the central region of the pulverized coal jet is relatively low. This shows that CO2 reacts with carbon mainly in the central region of the pulverized coal jet. The higher CO2 concentration in the outer region of pulverized coal jet is due to the combustion of volatile matter and char yield, which is consistent with the temperature distribution in the furnace.

Figure 8 
                  Distribution of YZ plane CO2 volume fraction in a furnace with a different 
                        
                           
                           
                              
                                 
                                    f
                                 
                                 
                                    
                                       
                                          CO
                                       
                                       
                                          2
                                       
                                    
                                 
                              
                           
                           {f}_{{\text{CO}}_{2}}
                        
                      rate in the hot blast.
Figure 8

Distribution of YZ plane CO2 volume fraction in a furnace with a different f CO 2 rate in the hot blast.

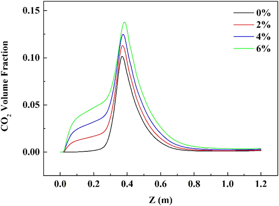
Figure 9 shows the change curve of CO2 volume fraction on the axis of the furnace under different f CO 2 in the hot blast. Overall, the change of CO2 volume fraction can be divided into three stages. The first stage is a slow-rising stage, which stage is mainly due to the diffusion of CO2 gas along the axis in the surrounding hot blast; the second stage is the stage of sharp rise which is caused by the combustion of pulverized coal with smaller particle size; and in the third stage, the volume fraction of CO2 drops to zero because of the lower concentration of O2 on the central axis and all of the CO2 react with carbon.

Figure 9 
                  The change curve of CO2 volume fraction on the axis of the furnace under different 
                        
                           
                           
                              
                                 
                                    f
                                 
                                 
                                    
                                       
                                          CO
                                       
                                       
                                          2
                                       
                                    
                                 
                              
                           
                           {f}_{{\text{CO}}_{2}}
                        
                      in the hot blast.
Figure 9

The change curve of CO2 volume fraction on the axis of the furnace under different f CO 2 in the hot blast.

4.3 Analysis of the burnout of pulverized coal

In the evaluation of pulverized coal combustion performance, pulverized coal burnout is a non-dimensional physical quantity to evaluate the quality of pulverized coal combustion, which is essentially the gasification rate of combustible in pulverized coal. The value of burnout reflects the gasification degree of pulverized coal in the process of motion. The burnout of pulverized coal can objectively measure the burnout characteristics of pulverized coal and can be used as an evaluation index to judge the performance of pulverized coal combustion in the raceway of a blast furnace. Burnout is defined as the mass change of a particle due to evaporation of water, devolatilization, and combustion of volatile matter and char yield, the formula is as follows:

Burnout = 1 m a , 0 m a / ( 1 m a , 0 )

where m a , 0 is the initial ash content in the pulverized coal and m a is the ash content in pulverized coal.

As can be seen from Figure 10, with the increase f CO 2 in the hot blast, the burnout of pulverized coal increases, this is mainly because, with the increase f CO 2 in the hot blast, the oxidation of the hot blast increases, and CO2 gas can participate in the combustion reaction of char yield.

Figure 10 
                  Pulverized coal burnout of outlet section under different 
                        
                           
                           
                              
                                 
                                    f
                                 
                                 
                                    
                                       
                                          CO
                                       
                                       
                                          2
                                       
                                    
                                 
                              
                           
                           {f}_{{\text{CO}}_{2}}
                        
                      in the hot blast.
Figure 10

Pulverized coal burnout of outlet section under different f CO 2 in the hot blast.

5 Conclusions

To find a new way to use CO2 as a resource in the metallurgical industry on a larger scale, the effect of CO2 mixed in the hot blast on the combustion behavior of pulverized coal was studied, a three-dimensional mathematical model of pulverized coal flow and combustion in the lower part of the pulverized coal injection lance-blowpipe-tuyere-raceway was established. The conclusions are as follows: follows:

  1. With the increase of f CO 2 in the hot blast, the overall temperature field in the furnace does not change much, and the high-temperature zones in the furnace are approximately similar, but the two high-temperature zones gradually become thinner. The heat absorption of the CO2 in the hot blast reacts with carbon results in the decrease of the exit cross-section temperature.

  2. The concentration of CO2 in the central region of the pulverized coal jet is relatively low, which indicates that CO2 reacts with carbon mainly in the central region of the pulverized coal jet. The concentration of CO2 on the central axis tends to zero at the exit, because the concentration of O2 is relatively low, all of the CO2 gas reacts with carbon.

  3. In the early stage of pulverized coal combustion, the delay of pulverized coal combustion is caused by the endothermic reaction of CO2 with carbon, and the delay is more obvious with the increase of f CO 2 . In the later stage of pulverized coal combustion, the burnout of pulverized coal increases because of the increased oxidation of hot blasts.

  1. Funding information: Authors state no funding involved.

  2. Author contributions: The corresponding author is responsible for ensuring that the descriptions are accurate and agreed by all authors. The first author is responsible for the topic selection, the formulation of the research plan, the real-time research process, the data collection and processing, and the drafting and revision of the paper. The last author provides some key suggestions for the writing of this paper.

  3. Conflict of interest: Authors state no conflict of interest.

  4. Data availability statement: The raw/processed data required to reproduce these findings cannot be shared at this time as the data also forms part of an ongoing study.

References

[1] Boxun, H., G. Curtis, and L. S. Steven. Thermal, electrochemical, and photochemical conversion of CO2 to fuels and value-added products. Journal of CO2 Utilization, Vol. 1, 2013, pp. 18–27.10.1016/j.jcou.2013.03.004Search in Google Scholar

[2] Mahoutian, M., Z. Ghouleh, and Y. Shao. Carbon dioxide activated ladle slag binder. Construction and Building Materials, Vol. 66, 2014, pp. 214–221.10.1016/j.conbuildmat.2014.05.063Search in Google Scholar

[3] Huijgen, W. J. J., G. J. Ruijg, R. N. J. Comans, and G. J. Witkamp. Energy consumption and net CO2 sequestration of aqueous mineral carbonation. Industrial and Engineering Chemistry Research, Vol. 45, 2006, pp. 9184–9194.10.1021/ie060636kSearch in Google Scholar

[4] Zevenhoven, R., S. Eloneva, and S. Teir. Chemical fixation of CO2 in carbonates: routes to valuable products and long-term storage. Catalysis Today, Vol. 115, 2006, pp. 73–79.10.1016/j.cattod.2006.02.020Search in Google Scholar

[5] Weizao, L., A. Tahani, X. Chunbao, and L. Chun. Synthesis of sole gismondine-type zeolite from blast furnace slag during CO2 mineralization process. Journal of Environmental Chemical Engineering, Vol. 9, 2020, pp. 1046–1052.10.1016/j.jece.2020.104652Search in Google Scholar

[6] Han, Z., J. Gao, X. Yuan, and Y. Zhong. Microwave roasting of blast furnace slag for carbon dioxide mineralization and energy analysis. RSC Advances, Vol. 10, 2020, pp. 17836–17844.10.1039/D0RA02846KSearch in Google Scholar PubMed PubMed Central

[7] Yi, Z., T. Wang, and R. Guo. Sustainable building material from CO2 mineralization slag: aggregate for concretes and effect of CO2 curing. Journal of CO2 Utilization, Vol. 40, 2020, id. 101196.10.1016/j.jcou.2020.101196Search in Google Scholar

[8] Zhizheng, L., Z. Rong, and M. Guohong. Laboratory investigation into reduction the production of dust in basic oxygen steelmaking. Ironmaking and Steelmaking, Vol. 40, 2017, pp. 601–608.10.1080/03019233.2016.1223906Search in Google Scholar

[9] Baochen, H., W. Guangsheng, and Z. Rong. Utilization of carbon dioxide injection in BOF–RH steelmaking process. Journal of CO2 Utilization, Vol. 34, 2019, pp. 53–62.10.1016/j.jcou.2019.05.038Search in Google Scholar

[10] Ming, L., Z. Rong, and Y. Lingzhi. High efficiency dephosphorization by mixed injection during steelmaking process. Steel Research International, Vol. 90, 2019, id. 1800454.10.1002/srin.201800454Search in Google Scholar

[11] Yunling, G., W. Haijuan, and Z. Rong. Study on experiment and mechanism of bottom blowing CO2 during the LF refining process. Steel Research International, Vol. 85, 2014, pp. 589–598.10.1002/srin.201300106Search in Google Scholar

[12] Baochen, H., Z. Rong, and Z. Yiqiang. Research on selective oxidation of carbon and aluminum with introduction of CO2 in RH refining of low-carbon steel process. Metallurgical and Materials Transactions, B, Vol. 49B, 2018, pp. 3544–3551.10.1007/s11663-018-1417-2Search in Google Scholar

[13] Wei, G., R. Zhu, and T. Tang. Study on the impact characteristics of submerged CO2 and O2 mixed injection (S-COMI) in EAF steelmaking. Metallurgical and Materials Transactions, B, Vol. 50, 2019, pp. 1077–1090.10.1007/s11663-018-1482-6Search in Google Scholar

[14] Kuangdi, X. Low carbon economy and iron and steel industry. Iron and steel, Vol. 3, 2010, pp. 1–12.Search in Google Scholar

[15] Agrawal, A., R. K. Tiwari, and S. Kumar. Technological advancements in evaluating the performance of the pulverized coal injection through tuyeres in blast furnace. Metallurgical Research and Technology, Vol. 117, 2020, pp. 611–633.10.1051/metal/2020068Search in Google Scholar

[16] Semenov, Y. S., V. V. Horupakha, and I. Shumelchik. Measures for preventing disruption in the blast furnace operation under use of pulverized coal. Steel in Translation, Vol. 50, 2020, pp. 100–106.10.3103/S0967091220020096Search in Google Scholar

[17] Kawashima, T., A. Murao, and N. Yamamoto. Prediction of pulverized coal combustion behavior around tuyere by using LES and extended CPD model. ISIJ International, Vol. 60, 2020, pp. 905–914.10.2355/isijinternational.ISIJINT-2019-633Search in Google Scholar

[18] Yanjuan, J. Coal injection technology for blast furnace. Metallurgical Industry Press, Beijing, 2005.Search in Google Scholar

[19] Adrian, M. and R. Allan. Injection of pulverized coal and natural gas into blast furnaces for iron-making: lance positioning and design. ISIJ International, Vol. 55, 2015, pp. 1377–1383.10.2355/isijinternational.55.1377Search in Google Scholar

[20] Ishii, K. Advanced pulverized coal injection technology and blast furnace operation. Pergamon, Oxford, UK, 2000.Search in Google Scholar

[21] Yagi, J. Mathematical modeling of the flow of four fluids in a packed bed. ISIJ International, Vol. 33, 1993, pp. 619–639.10.2355/isijinternational.33.619Search in Google Scholar

[22] Du, S. W., C. P. Yeh, and W. H. Chen. Burning characteristics of pulverized coal within blast furnace raceway at various injection operations and ways of oxygen enrichment. Fuel, Vol. 143, 2015, pp. 98–106.10.1016/j.fuel.2014.11.038Search in Google Scholar

[23] Rangarajan, D., T. Shiozawa, and Y. Shen. Influence of operating parameters on raceway properties in a model blast furnace using a two-fluid model. Industrial and Engineering Chemistry Research, Vol. 53, 2014, pp. 4983–4990.10.1021/ie301936rSearch in Google Scholar

[24] Guo, B., P. Zulli, and H. Rogers. Three-dimensional simulation of flow and combustion for pulverised coal injection. ISIJ International, Vol. 45, 2005, pp. 1272–1281.10.2355/isijinternational.45.1272Search in Google Scholar

[25] Wijayanta, A. T., M. S. Alam, and K. Nakaso. Combustibility of biochar injected into the raceway of a blast furnace. Fuel Processing Technology, Vol. 117, 2013, pp. 53–59.10.1016/j.fuproc.2013.01.012Search in Google Scholar

[26] Yansong, S., D. Maldonado, and G. Baoyu. Computational fluid dynamics study of pulverized coal combustion in blast furnace raceway. Industrial and Engineering Chemistry Research, Vol. 48, 2009, pp. 10314–10323.10.1021/ie900853dSearch in Google Scholar

[27] Yansong, S., G. Baoyu, Y. Aibing, and Z. Paul. Model study of the effects of coal properties and blast conditions on pulverized coal combustion. ISIJ International, Vol. 49, 2009, pp. 819–826.10.2355/isijinternational.49.819Search in Google Scholar

[28] Zhang, S., Q. Xue, and J. Liu. Numerical simulation of pulverized coal combustion in the raceway of an oxygen blast furnace. Chinese Journal of Engineering, Vol. 37, 2015, pp. 638–647.Search in Google Scholar

Received: 2020-12-30
Revised: 2021-03-06
Accepted: 2021-03-16
Published Online: 2021-05-01

© 2021 Juanjuan Jiang et al., published by De Gruyter

This work is licensed under the Creative Commons Attribution 4.0 International License.

Articles in the same Issue

  1. Research Articles
  2. Fused deposition modeling of poly(ether ether ketone) scaffolds
  3. Investigation of the microstructure evolution in TP347HFG austenitic steel at 700°C and its characterization method
  4. Hot deformation behavior and processing maps of 9Cr3W3Co oxide dispersion-strengthened steel
  5. Evolution of physicochemical properties of quick lime at converter-smelting temperature
  6. Influence of phase distribution of converter slag microzones on the occurrence of P
  7. Investigation on ultrasonic assisted friction stir welding of aluminum/steel dissimilar alloys
  8. Analysis of oxide scale thickness and pores position of HCM12A steel in supercritical water
  9. Behavior of MnS inclusions during homogenization process in low-alloyed steel FAS3420H
  10. Preparation and cutting performance of nano-scaled Al2O3-coated micro-textured cutting tool prepared by atomic layer deposition
  11. Prediction of hot metal temperature based on data mining
  12. Effect of TiO2 content in slag on Ti content in molten steel
  13. Performance evaluation of titanium-based metal nitride coatings and die lifetime prediction in a cold extrusion process
  14. Effect of different drilling techniques on high-cycle fatigue behavior of nickel-based single-crystal superalloy with film cooling hole
  15. Effect of CO2 injection into blast furnace tuyeres on the pulverized coal combustion
  16. Microstructure and properties of Co–Al porous intermetallics fabricated by thermal explosion reaction
  17. Evolution regularity of temperature field of active heat insulation roadway considering thermal insulation spraying and grouting: A case study of Zhujidong Coal Mine, China
  18. Evolution of reduction process from tungsten oxide to ultrafine tungsten powder via hydrogen
  19. A thermodynamic assessment of precipitation, growth, and control of MnS inclusion in U75V heavy rail steel
  20. Effect of basicity on the reduction swelling properties of iron ore briquettes
  21. Effect of Cr and Al alloying on the oxidation resistance of a Ti5Si3-incorporated MoSiBTiC alloy
  22. Microstructure and mechanical properties of 2060 Al–Li alloy welded by alternating current cold metal transfer with high-frequency pulse current
  23. Effects of composition and strain rate on hot ductility of Cr–Mo-alloy steel in the two-phase region
  24. Effect of K and Na on reduction swelling performance of oxidized roasted briquettes
  25. Dephosphorization mechanism and phase change in the reduction of converter slag
  26. Parametric investigation and optimization for CO2 laser cladding of AlFeCoCrNiCu powder on AISI 316
  27. Optimization of heat transfer and pressure drop of the channel flow with baffle
  28. Quantitative analysis of microstructure and mechanical properties of Nb–V microalloyed high-strength seismic reinforcement with different Nb additions
  29. Visualization of the damage evolution for Ti–3Al–2Mo–2Zr alloy during a uniaxial tensile process using a microvoids proliferation damage model
  30. Research on high-temperature mechanical properties of wellhead and downhole tool steel in offshore multi-round thermal recovery
  31. Dephosphorization behavior of reduced iron and the properties of high-P-containing slag
  32. Jet characteristics of CO2–O2 mixed injection using a dual-parameter oxygen lance nozzle for different smelting periods
  33. Effects of ball milling on powder particle boundaries and properties of ODS copper
  34. Heat transfer behavior in ultrahigh-speed continuous casting mold
  35. Solidification microstructure characteristics of Cu–Pb alloy by ECP treatment
  36. Luminescence properties of Eu2+ and Sm3+ co-doped in KBaPO4
  37. Research on high-temperature oxidation resistance, hot forming ability, and microstructure of Al–Si–Cu coating for 22MnB5 steel
  38. The differential analysis for temperature distribution diagnostics of arc current-carrying region in sheet slanting tungsten electrode inert gas welding with the electrostatic probe
  39. Reactions at the molten flux-weld pool interface in submerged arc welding
  40. The effect of liquid crystalline graphene oxide compared with non-liquid crystalline graphene oxide on the rheological properties of polyacrylonitrile solution
  41. Study on manganese volatilization behavior of Fe–Mn–C–Al twinning-induced plasticity steel
  42. Physical modeling of bubble behaviors in molten steel under high pressure
  43. Rapid Communication
  44. The new concept of thermal barrier coatings with Pt + Pd/Zr/Hf-modified aluminide bond coat and ceramic layer formed by PS-PVD method
  45. Topical Issue on Science and Technology of Solar Energy
  46. Solution growth of chalcopyrite Cu(In1−xGax)Se2 single crystals for high open-circuit voltage photovoltaic device
  47. Copper-based kesterite thin films for photoelectrochemical water splitting
Downloaded on 27.10.2025 from https://www.degruyterbrill.com/document/doi/10.1515/htmp-2021-0018/html
Scroll to top button