Abstract
Chemical compositional simulation of enhanced oil recovery and surfactant enhanced aquifer remediation processes is a complex task that involves solving dozens of equations for all grid blocks representing a reservoir. In the present work, we perform a numerical validation of the newly developed mathematical formulation which satisfies the conservation laws of mass and energy and allows applying a sequential solution approach to solve the governing equations separately and implicitly. Through its application to the numerical experiment using a wettability alteration model and comparisons with existing chemical compositional model’s numerical results, the new model has proven to be practical, reliable and stable.
1 Introduction
Chemical flooding is a general term used for injection processes that use special chemical solutions. Micellar, alkaline, and surfactants are used to reduce surface tension between coexisting phases in the reservoir. The chemical solutions are pumped through specially distributed injection wells to mobilize oil left behind after secondary recovery or groundwater contaminants present as non-aqueous phase liquids. While chemical flooding has a larger scale of efficiency than water flooding, it is far more technical, costly and risky. Oil and environmental remediation companies use numerical simulation tools to make investment decisions and ensure successful oil recovery and groundwater remediation, respectively. Development of optimal strategies for chemical flooding enhanced oil recovery and aquifer remediation requires the application of a subsurface flow simulator that incorporates techniques for coupling geomechanics and fluid flow besides accurately representing thermal, phase equilibria and mass transfer effects. The displacement mechanisms in this type of flooding involve interfacial tension lowering and capillary desaturation. The flow and transport models describe such physicochemical phenomena as dispersion, diffusion, adsorption, chemical reaction and in situ surfactant generation. Few simulators are designed for the simulation of the subsurface multiphase flow and transportation of solute components under consideration of various chemical conversions. ECLIPSE 100, CMG IMEX, ECLIPSE 300/500, CMG STARS, GMS and UTCHEM are examples of such simulators. While ECLIPSE 100 and CMG IMEX simulators are comparable due to their similar designation, ECLIPSE 100 has more features than CMG IMEX to handle chemical flooding processes. Both of these simulators can model polymer flooding process, but if polymer viscosity is higher than 21 cP, ECLIPSE 300/500 or CMG STARS or UTCHEM should be used. The key to accuracy is modeling the complex microemulsion phase behavior. The microemulsion phase is formed above the critical micelle concentration of the surfactant. Traditionally, only UTCHEM simulator is used to handle microemulsion phase behavior. Based on the latest information, microemulsion phase model can be handled by 2013 version of CMG STARS simulator due to the cooperation between CMG and UTCHEM developers and PennSim simulator developed at The Pennsylvania State University. So, CMG STARS, UTCHEM and PennSim are better than ECLIPSE 300/500 for chemical flood simulation. Since CMG STARS is an expensive simulator, UTCHEM and PennSim are the best price/quality simulators on the market to model chemical flood. While GMS is one of the advanced software systems available for performing groundwater simulations, some UTCHEM options are not supported in GMS. An IMPEC chemical flooding simulator UTCHEM was originally developed by Pope and Nelson in 1978 and it’s been continually updated since its initial development [1], [2], [3], [4], [5], [6]. In 2007, Zhangxing Chen et al. [6] presented a numerical approach that solves both pressure and compositions implicitly. The sequential approach splits the coupled system of nonlinear governing equations of the model into individual equations and solves each of them separately and implicitly. The system of species conservation equations is solved implicitly for the overall concentration of each component. For the numerical tests carried out in their studies, the authors have observed that the sequential technique is approximately twice as fast as the IMPEC. Though the approach was claimed to be sequential and extended from the IMPEC approach used in UTCHEM model [4], the mathematical formulations for the governing equations did not undergo any change in their model. Since the overall concentration appears only in the accumulation term of the species-conservation equations, it remains unclear how the sequential approach was used to solve these equations implicitly for the overall concentration. The following balance equations are used in UTCHEM model: a) the overall compositional balance equation for each species; b) pressure (an overall mass-continuity) equation; and c) the energy balance equation. The main assumptions imposed on the model equations are as follows: (i) the rock and fluids are slightly compressible; (ii) the diffusion obeys Fick’s law; (iii) Darcy’s law applies; (iv) approximation of a local thermodynamic equilibrium state can be applied; and (v) mixing is ideal. In this work, we perform a numerical validation of the simulation tool based on the recently developed mathematical formulation [7], [8] by comparing its results on wettability alteration with those of UTCHEM simulator. The simulation tool can be applied to study problems of enhanced oil recovery and remediation of aquifers by surfactants. As the principles involved in both applications are the same, due to the availability of data for validation, laboratory experiments on wettability alteration have been modeled using the simulator based on the improved mathematical formulation. "Wettability alteration" is used in literature to address any change in the original wettability of a rock, either spontaneously or by chemical flooding methods. Castillo (2003) modeled the wettability alteration of alkali or surfactants using the effect of wettability on relative permeability and capillary pressure [9]. In this model the user can specify the initial and altered wetting conditions of the rock. This is done by specifying the water and oil relative permeabilities and water-oil capillary pressure tables for each wettability condition as inputs. Time dependent wettability alteration is modeled using an input threshold value for a tracer concentration representing the alkali or surfactant concentration in each gridblock. The injected surfactant advances in the reservoir and when its concentration is greater than a threshold value specified as an input parameter, the tables for altered wetting conditions are used. Anderson (2006) [10] used the model developed by Castillo (2003) [9] and Fathi Najafabadi (2005) [11] to study the effect of wettability on the oil recovery from naturally fractured reservoirs (NFRs) and was able to model many published core floods that involved chemically induced wettability alteration. Delshad et al. (2006) used the wettability alteration model (Fathi Najafabadi, 2005) to model an imbibition cell test published by Hirasaki and Zhang (2004) [11], [12] [13]. The matching parameters were then used to study the effect of wettability alteration in pilot scale. Fathi Najafabadi et al. (2008) used the wettability alteration model (Fathi Najafabadi, 2005) to simulate a dynamic chemical flood laboratory experiment performed on a fractured block at UT Austin [11], [14]. This experiment contained three parts: 1) waterflood, 2) alkali flood for enhancing the wettability towards more water-wet conditions and 3) alkali surfactant flood for reducing the residual oil in the matrix. All three parts of the experiment were modeled. They concluded that a small viscous gradient can improve the recovery from NFRs to a great extent and static imbibition cell tests are not representative of dynamic conditions of the reservoir. Anderson (2006) gave the modeling procedure for the imbibition cell test [10]. The match obtained by Anderson (2006) was improved in Fathi Najafabadi (2009) and later used to study the effect of matrix block size on the oil recovery [10], [15]. Yu et al. (2008) formulated a 1D mathematical model relevant for spontaneous imbibition to study the wettability alteration phenomenon [16]. In this model, mass conservation of oil, water and the wettability alteration agent combined with Darcy’s law yields 2x2 system of coupled parabolic convection-diffusion equations. The model describes the interactions between gravity and capillarity when initially oil-wet core is altered to water-wet due to the molecular diffusion of the wettability alteration agent. Numerical computations are carried out to study the basic properties of the model, role of molecular diffusion of the wettability alteration agent, balance between gravity and capillary forces and dynamic wettability alteration. Sadeqi-Moqadam et al. (2016) conducted a set of experiments to determine the zeta potential and streaming potential coupling coefficient of a crystalline granular quartz pack under different wetting conditions [17]. The electrokinetic experiments were performed for the completely water-wet and oil-wet and also partial oil-wet sand packs. The tests were conducted by various aqueous solutions having different pHs and salinities. The results demonstrate that streaming potential is measurably changed with the wetting state of the rock surface. Furthermore, the authors used bundle-of-tubes model to simulate the experiments and quantify wetting transitions. The results introduce a new method for monitoring the wettability change of porous media during dynamic injection processes. Andersen et al. (2015) presented a mathematical model for wettability alteration in fractured reservoirs [18]. The wettability alteration is described by shifting curves for relative permeability and capillary pressure from curves representing preferentially oil-wet conditions toward curves representing more-water-wet conditions. The numerical code was compared with ECLIPSE for the specific case in which a fixed wetting state was assumed. Lashgari et al. (2016) presented a dynamic wettability alteration model based on the Gibbs adsorption isotherm equation [19]. The model is conceptually and thermodynamically developed for anionic surfactants that reduce the surface tension between oil phase and rock formation based on the contact angle in a preferentially oil-wet formation. In order to apply the effect of contact angle on multiphase fluid flow in porous media, existing relative permeability and capillary pressure models are modified to become a function of contact angle to mimic the influence of wettability alteration. Ju, B. and Fan, T. (2012) developed a numerical simulator considering wettability alteration to predict oil production [20]. The simulation indicates that the wettability alteration during water flooding has strong effects on the water cut and oil recovery. It is found that the increase in water wetness during water flooding leads to a higher oil recovery and less accumulated production water at a water cut. Flovik et al. (2015) modeled the change in contact angles due to the injection of wettability altering agent in an oil-rich porous medium by a network of disordered pores transporting two immiscible fluids [21]. In this article, the authors introduced a dynamic wettability altering mechanism, where the time dependent wetting property of each pore is determined by the cumulative flow of water through it. Simulations were performed to reach steady-state for different possible alterations in the wetting angle. A thermal mathematical model of the simultaneous flow of immiscible fluids was developed and applied for simulating mechanical and chemical water control (gel/polymer treatment wettability alteration and disproportionate permeability reduction) methods [22] and [23]. One of the novelties introduced by the authors was a generalized version of the relative permeability and capillary pressure correlations to model the performance of post-treatment production taking into account gel - reservoir fluid transition zone effect. Most multiphase models reported in the literature, including the works mentioned above [16],17], [18], [19], [20], [21], [22], [23], are limited in their applicability in one way or another of the followings: 1- or 2-dimensional modeling, single species, inadequate numerical accuracy, equilibrium mass transfer, lack of modeling miscibility which occurs during surfactant flooding and simplified surfactant phase behavior and properties. The mathematical formulation developed in the scope of this work is extended from the UTCHEM model formulation for the use in chemical flooding studies that does not have these common limitations. During our model development process, it was discovered that the currently used chemical compositional model estimates the adsorption effect on the transport of a component reasonably well but it does not satisfy the species-conservation equation precisely. From now on, we will refer to the model used in the references [1], [2], [3], [4] as "currently used" chemical compositional model. The energy conservation equation in the currently used chemical compositional model does not take into account any change in pore volume due to adsorption, which leads to inconsistency between the overall compositional balance equations and the energy conservation equation. With these partial differential equations as governing equations, several simulators have been developed to model chemical compositional phenomena in petroleum reservoirs. The mathematical proof of inaccuracies in the mass and energy conservation equations used in the currently used chemical compositional model is provided in our published paper [7]. The sequential solution algorithm is not applicable to the commonly used chemical compositional model formulation in its original form. Even if the existing sequential formulations for compositional models can be applied to the chemical flooding model, they require significant changes in the current algorithm used in chemical compositional simulators. Our recent work proposed a new mathematical formulation, which accounts for the reduction in pore volume due to adsorption that satisfies the species-and energy conservation equations more precisely. The new mathematical model formulation is extended from the model formulation used in existing chemical compositional simulator, UTCHEM, while preserving the advantageous features of the previous model. Moreover, the new model formulation allows applying a sequential solution approach to solve each of the governing equations separately and implicitly. The mathematical formulation does not require overall change in the currently used algorithm. An improved chemical flooding simulator has been developed on the basis of the newly proposed mathematical formulation. One of the best features of the new simulator is that it can be used to simulate multiple processes. It has applications both in modeling chemical remediation of contaminated aquifers and enhanced oil recovery processes. In this work, we perform a numerical validation of an improved chemical compositional simulation tool based on the recently developed mathematical formulation.
2 Formulation of mathematical model
Derivation of the model equations presented in this paper is given in our previous publication [7] where we theoretically proved that the newly developed model satisfies the conservation laws of mass and energy precisely, as opposed to the existing chemical compositional model.
The mass conservation equation for the overall concentration c̃i is defined as
where ϕ is the porosity, ρi is the density of pure component i and c̃i is the overall concentration of component i. The modfied porosity ϕˆ is defined as the fraction of the bulk permeable medium occupied by pore space remaining after adsorption. The modified phase saturation Sα is dehned as the fraction of the reduced pore volume occupied by phase α. cia is the modified volume fraction of component i in phase α.
The phase flux u⃗α is the modified average pore velocity vector of phase α owing to convection and calculated from Darcy’s law
where k̿ is the permeability tensor, krα is the relative permeability of fluid phase α, μα is the dynamic viscosity of fluid phase α, pα is the pressure in fluid phase α, γα is the specihc weight of fluid phase α and z represents depth.
Two components of dispersion tensor k̿ia for a homogeneous isotropic permeable medium [24] are
where the subscript l refers to the spatial coordinate in the direction parallel or longitudinal to bulk flow and t is any direction perpendicular or transverse to l. Diα is the effective binary diffusion coefficient of component i in phase α [25], αlα and αtα are the longitudinal and transverse dispersivities and τ is the permeable medium tortuosity.
For biodegradation model
where ki is the reaction rate coefficient in units of inverse time and Qi represents physical sources. The overall concentration c̃i is defined as
where ĉj is the absorbed concentration of components j, ncv is the total number of volume-occupying components and np is the number of phases.
The magnitudes of the vector flux for each phase, |u⃗α|, are computed as follows:
The porosity depends on pressure due to rock compressibility. Therefore,
where ϕR is the porosity at a specific pressure ps, p1 is the water phase pressure and cr is the rock compressibility at pS. For a slightly compressible fluid, the component density can be written as:
where ρiR is the density of component i at the standard pressure pR.
is the compressibility of component i.
The pressure equation is formed by summing up the mass balances over all volume-occupying components after dividing both sides by ρiR and substituting Darcy’s law in each of the phase flux terms. By using the capillary pressure definition, the pressure equation in terms of the reference phase pressure (phase 1) will be:
where ct is the total system compressibility, p1 is the pressure of phase 1, pcα1 is the capillary pressure, z is the depth, λrαc is the relative mobility and λrTc is the total relative mobility.
The relative mobilities and total compressibility in (8) are calculated using the following equations:
The term
can be treated as a source type function.
To increase the stability and robustness in numerical modeling, on the contrary to what is commonly used in the literature, we do not neglect higher order terms in the conservation equations.
The energy conservation equation reads
where T is the temperature; CVα and Cpα are the heat capacities of phase α at constant volume and pressure, respectively; Cs is the heat capacity of the solid phase; kT is the thermal conductivity; qc is the heat source term; and qL is the heat loss to overburden and underburden formations or soil.
All equations other than the basic equations (1), (2), (8) and (13) and auxiliary relations in the recently developed model formulation, including the adsorption, chemical reaction, phase behavior and well modeling approaches, remain unchanged from the currently used chemical compositional model, details of which can be found in [4] and [7].
3 Wettability alteration model
In this section we present a brief description of the wettability alteration model. Relative permeabilities are calculated based on the Corey model as follows:
where subscript l indicates water, oil or microemulsion phase,
is the relative permeability endpoint for phase l, el is the Corey exponent of phase l and Sl is the normalized saturation of phase l. The normalized saturations are calculated as
where Sl is the saturation of phase l and Slr is the residual saturation of phase l. Residual phase saturations are modeled as follows
where
and
are residual saturations of phase l at high and low trapping numbers, respectively (given as input parameters), Tl is a positive input trapping parameter of phase l and NTl is the trapping number of phase l.
are typically zero.
The trapping number for phase l displaced by phase ĺ is obtained by a force balance on the displaced blob of phase l and is defined as follows:
where l and ĺ are the displaced and displacing fluids, respectively, Φ is the flow potential, g is the gravitational acceleration, k̿ is the permeability tensor, h is the height to a reference datum, ρl and ρpĺ are densities of the displaced and displacing fluids, respectively, and σ is the IFT.
The endpoint relative permeability enhancements caused by residual-saturation reduction of the conjugate phase as a function of the trapping number are modeled using the following correlation validated against experimental data:
where
and
represent the endpoint relative permeability of phase l at low and high trapping numbers, respectively,
and
The following equation gives the relative permeability exponents as a function of the trapping number:
where
and
The equations above are solved once for the initial reservoir wettability condition
Two sets of relative permeabilities
where ω is the interpolation scaling factor and
and
The scaling factor is either a constant user input parameter or related to the adsorbed surfactant concentration in each gridblock as follows:
where ĉsurf and Csurf represent the adsorbed and total concentration of surfactant, respectively.
The capillary pressure Pc is scaled with the oil/microemulsion and oil/water IFT (σom and σow) as follows:
where Cpc and Epc are endpoint and exponent for capillary pressure, respectively. Cpc takes into account the effect of permeability and porosity using the Leverett J-function.
The capillary pressure as a function of wettability is also modeled using linear interpolation between the initial and final wetting state capillary pressures, as follows:
4 Numerical simulation of wettability alteration processes
While we developed the mathematical formulation for chemical flooding simulation, we did not provide enough numerical evidence to support our theoretical arguments made in our previous publication [7].
For validation of the enhanced simulation model, two laboratory experiments on wettability alteration are modeled using the modified code.
The first experiment is a static imbibition cell test conducted by Hirasaki and Zhang (2004) and the second is a dynamic fracture block experiment conducted at UT Austin (Fathi et al., 2008) [13], [14]. Fathi Najafabadi (2009) gives full description of the matching procedure and obtained results for each experiment [15].
In this work, an attempt was made to match the simulation results on wettability alteration modeling with those that have been published in the literature as a validation of the newly developed chemical compositional model formulation.
4.1 Numerical simulation of wettability alteration processes in a static imbibition cell test
To validate the implemented wettability alteration model described in section 3, the laboratory alkaline/surfactant imbibition experiments reported by Hirasaki and Zhang (2004) were used [13]. For numerical study of wettability effects on oil/water relative permeability and oil capillary-desaturation curve, we used the data measured by Mohanty (1983) and Morrow et al. (1973) [26], [27]. The parameters of capillary pressure and relative permeabilities used in our simulation are listed in Table 1.
Relative Permeability and Capillary Pressure Parameters (Low Trapping Number in Matrix)
| Oil-wet | Water-wet | |||
|---|---|---|---|---|
| Oil | Water | Oil | Water | |
| Residual saturation | 0,28 | 0,12 | 0,25 | 0,12 |
| Endpoint relative permeability | 0,80 | 0,56 | 1 | 0,26 |
| Relative permeability exponent | 3,3 | 1,4 | 1,3 | 3 |
| Trapping parameters (T) | 1000 | 20000 | 1500 | 200 |
| Capillary pressure endpoint (CPC) | -15 | 7 | ||
| Capillary pressure exponent (EPC) | 6 | 2 | ||
Residual saturations, endpoint relative permeabilities and relative permeability exponents are given in Figs. 1 through 3 as functions of trapping number for different wetting conditions. Relative permeabilities calculated using Eqs. 14 through 20 with a constant wettability scaling factor of 0.5 for trapping number of 10−7 are given in Fig. 4. The capillary pressure curves calculated for water-wet and oil-wet conditions using Eq. 22 and a mixed-wet curve using the scaling factor of 0.5 in Eq. 23 are shown in Fig. 5.

Capillary desaturation curves used in simulations

Endpoint relative permeabilities varying with trapping number

Relative permeability exponents varying with trapping number

Relative permeability curves for different wettability conditions at low trapping number of 10−7
The properties of the core and liquid are given in Table 2. Surfactant solution is a mixture of 0.025 weight% CS-330 (C12-3EO-sulfate) and 0.025% by weight of TDA-4PO-sulfate (C13-4PO-sulfate) added with 0.3 mole of sodium carbonate to reduce the adsorption of surfactants. The alkalinity of sodium carbonate is also a reason for the formation of surfactant. Description of the entire experimental and modeling procedure can be found in Fathi Najafabadi (2009) [15].
The properties of the core used for the absorption experiment
| Parameters | Value | Parameters | Value |
|---|---|---|---|
| Diameter (in) | 1.5 | Time in brine (days) | 8 |
| Length (in) | 3 | Oil recovery in brine (%OOIP) | 0 |
| Porosity | 24 | Surfactant | CS-330+TDA-4PO |
| Permeability (md) | 122 | Surfactant concentration (wt%) | 0.025+0.025 |
| Brine | 5.815 g/1 NaCl | Na2CO3 (Molar) | 0.3 |
| Crude oil viscosity, cp | 19 | Time in surfactant (days) | 138 |
| Initial oil saturation | 0.68 | Oil recovery in surfactant (%OOIP) | 44 |
| Aging | 24 h at 80°C | Residual oil saturation | 0.38 |
A 3D numerical model was created to simulate the experiment and validate wettability alteration model. A homogeneous Cartesian grid with 7×7×7 grid blocks was created to simulate the rock and fluids in the cell that surround the core. The middle 5×5×5 portion of the grids was given petrophysical properties representing the rock (Table 3) and the remaining gridblocks were given properties representing the imbibition cell.
The parameters of relative permeability and capillary pressure
| Properties | Oil-Wet | Water-Wet | ||
|---|---|---|---|---|
| Oil | Water | Oil | Water | |
| Residual saturation | 0.38 | 0.32 | 0.38 | 0.32 |
| Endpoint relative permeability | 0.59 | 0.23 | 1 | 0.15 |
| Relative permeability exponent | 3,3 | 2 9 | 2 | 2 |
| Trapping parameters (Tl) | 1,865 | 59,074 | 59,074 | 1,865 |
| Capillary pressure endpoint (Cpc) | -5 | 5 | ||
| Capillary pressure exponent (EPC) | 2 | 2 | ||
| Wettability scaling factor (ω) | 0.5 | |||
At first, the simulation model was run to determine the oil recovery based on the assumption that the wettability is not altered from the original oil-wet conditions. It only models the effect of surfactant on interfacial tension reduction and oil mobilization. Surfactant concentration in gridblocks comprising the oil-wet core initially increases primarily due to an effective molecular diffusion and influences the onset of oil being produced from the core, but with very little impact on final oil recovery. An effective molecular diffusion/dispersion coefficient of 6.5 × 10−5ft2/day was used in the simulation, which is the same as that used in the previous simulation studies. Based on published data of Lam and Schechter (1987) and others, the expected surfactant molecular diffusion would be several times smaller than that was simulated [28]. Therefore, the value presented here can be described as a pseudo diffusion/dispersion coefficient. The vertical cross section through the center of the model is shown in Fig. 6.

Capillary pressure curves for different wettability conditions

Initial surfactant concentration (volume fraction) for the imbibition test model. The vertical XZ cross section through the center (at Y-slice=4) of the model.
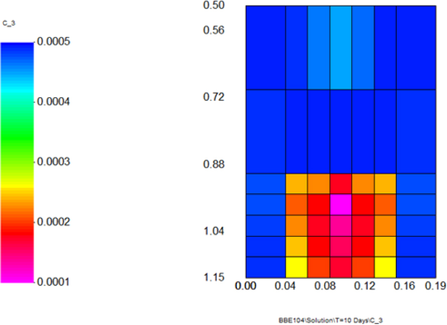
Next, the enhanced simulator was used to model combined interfacial tension reduction and wettability alteration effects of surfactant/alkali solution on oil recovery. It was assumed that the altered wettability state was water-wet with relative permeability and capillary pressure parameters as shown in Table 3. The interpolation scaling factors for this simulation were assumed to be a constant value of 0.5. The distribution of surfactant concentration and oil saturation after 10 days of imbibition are given in Figs. 7 and 8.

Surfactant concentration (volume fraction) after 10 days of imbibition. The vertical XZ cross section through the center (at Y-slice=4) of the model.

Oil saturation distribution after 10 days of imbibition. The vertical XZ cross section through the center (at Y-slice=4) of the model.
There is a good agreement between the surfactant concentration and oil saturation as shown in Figs. 7 and 8. The rock gridblocks with higher surfactant concentration have lower oil saturation. These two figures also indicate the role of gravity in the oil recovery from the core plug. The rock gridblocks in the lower parts of the core have smaller oil saturations due to gravity drainage of the oil. The result with wettability alteration gives a much better agreement with the laboratory data than the case without wettability alteration. The simulation with wettability alteration has a faster response to oil production and a higher cumulative oil recovery. This is due to the increase in oil relative permeability and initial change in capillary pressure from negative to positive during the wettability alteration process. Therefore, more surfactant solution is imbibed into the rock gridblocks displacing more oil before the interfacial tension reduction decreases the capillary pressure to zero. Alteration of the wettability towards more water-wet conditions increases oil mobility, recovery rate and its final recovery. Successful modeling of this experiment validates implementation of wettability alteration model in the modified simulation tool for the spontaneous imbibition test.
4.2 Numerical simulation of wettability alteration processes in a fractured block
The test problem for the numerical study of the wettability change due to surfactants in the fractured reservoirs in the computational grid with 31×11×3 number of nodes was examined. The Fractured Block experiment was carried out by Dr. Q. P. Nguyen and J. Zhang. The details and steps taken in modeling the fractured block experiment using the UTCHEM simulator with the wettability alteration model were described in [15].
A numerical experiment was designed to get a better understanding of the mechanisms occurring in the flow of fluids such as alkali and surfactant in naturally fractured formations. Alkali agent was used as a wettability modifier and surfactant solution was used to lower the interfacial tension and enhance oil recovery by oil emulsification (Fathi et al., 2008) [14]. A 3D discrete fracture model consisting of 6 fractures was used (Fig. 9).

The computational domain and pressure distribution resolved with 31×11×3 (X×Y×Z) grid points
Two of these fractures are parallel and four are perpendicular to the flow direction. The end caps were modeled as fractures and the injection and production wells were placed in these openings to model the same conditions as in the experiment. The matrix gridblock size was 1/3″ × l/3″ ×l/3″. Fracture aperture was 1 mm (0.039370"). Fracture gridblocks were assumed to have a porosity of 1 as opposed to 0.298 for matrix blocks (based on laboratory material balance). A uniform and isotropic matrix permeability of 3.36 × 10−14m2 (34 md) was used based on laboratory measurements. A uniform initial saturation was assumed based on the measured values. Table 4 summarizes the base case simulation parameters.
Simulation input parameters for base case model of fracture block experiment
| Simulation Parameters | Matrix | Fracture |
|---|---|---|
| Grid | 31 × 11 × 3 | |
| Grid size (m) | 0.0085 | 0.001 |
| Porosity | 0.298 | 1 |
| Permeability (m2) | 3.36 × 10–13 | 1.97 × 10–10 |
| Initial water saturation | 0.14 | 0.99 |
| Flow rate (m3/day) | 5.66 × 10–6 | |
Oil recovery was measured for the three different fluid injection steps. Injection of 4.8 wt% NaCl solution at 5 ml/hr resulted in an ultimate recovery of about 15% OOIP. During the first few hours of waterflood, no oil was produced from the setup. This delay was due to the volume of the tube connecting the fracture block setup to the sample collection unit. This was not properly communicated to the modeling group at the time of modeling of the experiment. Next, water containing 1 wt% sodium metaborate (NaBO2) and 3.8 wt% NaCl injected at the same rate mobilized additional 15% OOIP. The producing oil cut was reduced to zero at the end of the alkaline flood. A mixture of alkali/surfactant was then injected at the same flow rate, rendering incremental recovery of 6% OOIP. The surfactant solution contained 1.5 wt% PetroStep® S-1 and 0.5 wt% PetroStep® S-2, 2 wt% secondary butanol as co-solvent, 1 wt% sodium metaborate and 3.8 wt% NaCl. This surfactant formulation formed a microemulsion with the crude oil which exhibits an IFT of 0.0008 mN/m. It is important to note that the pressure gradient was around 0.8 psi/ft throughout the experiment. This pressure gradient corresponds to the pressure difference at the inlet and outlet of the setup.
The result of this model for the range of 0 - 4 PV for average pressure in the form of integral curve is shown in Figure 10.

Average pressure vs. injected pore volume
Model results were compared with validated and published chemical compositional model results to demonstrate that the chemical compositional model equations were solved accurately. New simulator successfully provided well-correlated data when compared with the validated and published results (see Fig. 11).

Comparison of oil recovery curves simulated using the currently used and the newly developed chemical compositional models for the waterflood and alkali flood part of the fractured block experiment
As it can be seen from the above numerical analysis, the new and currently used formulation results are very much the same. In this work, through its application to the above-mentioned numerical experiments and comparisons with existing chemical compositional model’s numerical results, the newly developed formulation has proven to be practical and reliable. The main mechanism for oil recovery from fractured carbonate reservoirs is a combination of viscous, gravity and capillary forces. Capillary pressure and relative permeability curves are the main petrophysical properties affected by the wettability alteration. The capillary pressure shift towards positive values (more water-wet conditions) and the shift of relative permeability curves towards more ideal straight line water-wet conditions are a good indication of an efficient chemical EOR process. These processes can be modeled in the newly developed simulator for modeling chemical EOR processes.
Residual oil saturation does not decrease significantly due to small trapping number in gridblocks during chemical process. This process can be simulated by the alkali option in the new simulator with no effect on IFT and residual oil saturation.
5 Conclusion
The new chemical compositional model formulation was validated against existing chemical compositional simulator for imbibition test data using matrix carbonate rocks and coreflood cell tests. Numerical oil recovery findings for imbibitions and coreflood cell tests are in good agreement with observed results in UTCHEM.
Through its application to the numerical experiment using a wettability alteration model and comparisons with existing chemical compositional model’s numerical results, the new formulation has proven to be practical, reliable and more stable.
Test cases’ results of water and alkaline floods in a 3D fractured block were successfully compared with corresponding results from UTCHEM simulator. Very good match between the currently used chemical compositional model and the new model formulations’ results was obtained.
Acknowledgement
This research work was financially supported by the Ministry of Education and Science of the Republic of Kazakhstan under grants No. 1735/GF4 and No. 0128/GF4.
References
[1] Pope, G. A. and Nelson, R. C., 1978. A Chemical Flooding Compositional Simulator, Soc. Pet. Eng. J., 18, 339-354.10.2118/6725-PASearch in Google Scholar
[2] Saad, N., 1989. Field Scale Studies With a 3-D Chemical Flooding Simulator, Ph.D. dissertation, The University of Texas at Austin.Search in Google Scholar
[3] Delshad, M., Pope, G. A. and Sepehrnoori, K., 1996. A Compositional Simulator for Modeling Surfactant Enhanced Aquifer Remediation, Journal of Contaminant Hydrology, 23, 303-327.10.1016/0169-7722(95)00106-9Search in Google Scholar
[4] Delshad, M., Pope, G.A., Sepehrnoori, K., 2000. UTCHEM Version-9.0, Technical Documentation, Center for Petroleum and Geosystems Engineering. The University of Texas at Austin, Texas.Search in Google Scholar
[5] Chen, Z., Huan, G., and Ma, Y., 2006. Computational methods for multiphase flows in porous media. Philadelphia: Society for Industrial and Applied Mathematics.10.1137/1.9780898718942Search in Google Scholar
[6] Chen, Z., Ma, Y., and Chen, G., 2007. A sequential numerical chemical compositional simulator. Transport in Porous Media 68, 389-411.10.1007/s11242-006-9050-ySearch in Google Scholar
[7] Bekbauov, B. E., Kaltayev, A., Berdyshev, A., 2015. A New Mathematical Formulation of the Governing Equations for the Chemical Compositional Simulation // arXiv:1512.08170 [physics.fludyn].Search in Google Scholar
[8] Bekbauov, B., Berdyshev, A. and Baishemirov, Zh., 2016. Numerical Simulation of Chemical Enhanced Oil Recovery Processes // In: A. Kononov et al. (eds.): DOOR 2016, published online on the CEUR web site http://ceur-ws.org with ISSN 16130073. Vol-1623, 28-34.Search in Google Scholar
[9] Castillo, C. L., 2003. Modeling Wettability Alteration Using a Chemical Compositional Simulator, UTCHEM, Masters report, University of Texas at Austin.Search in Google Scholar
[10] Anderson, G. A., 2006. Simulation of Chemical Flood Enhanced Oil Recovery Processes Including the Effects of Reservoir Wettability, Master’s Thesis, The University of Texas at Austin.Search in Google Scholar
[11] Fathi Najafabadi, N., 2005. Modeling Wettability Alteration in Naturally Fractured Reservoirs, Master’s Thesis, The University of Texas at Austin.Search in Google Scholar
[12] Delshad, M., Fathi Najafabadi, N., Anderson, G. A, Pope, G. A., and Sepehrnoori, K., 2006. Modeling Wettability Alteration in Naturally Fractured Reservoirs, Paper SPE 100081, presented at the SPE/DOE Symposium on Improved Oil Recovery, Tulsa, Oklahoma, April, 22-26.10.2118/100081-MSSearch in Google Scholar
[13] Hirasaki, G. and Zhang, D.L. Surface Chemistry of Oil Recovery from Fractured, Oil-Wet, Carbonate Formation. SPE J. 2004. 9 (2): 151-162. SPE-88365-PA.10.2118/88365-PASearch in Google Scholar
[14] Fathi Najafabadi, N., Delshad, M., Sepehrnoori, K., Nguyen, Q. P., and Zhang, 2008. Chemical Flooding of Fractured Carbonates Using Wettability Modifiers, presented at SPE Symposium on Improved Oil Recovery, Tulsa, Oklahoma, 19-23. Paper SPE 113369,10.2118/113369-MSSearch in Google Scholar
[15] Fathi Najafabadi, N., 2009. Modeling Chemical EOR Processes Using IMPEC and Fully Implicit Reservoir Simulators. Dissertation, University of Texas at Austin.Search in Google Scholar
[16] Yu, L., Kleppe, H., Kaarstad, T. and Skjaeveland, S. M., 2008. Modelling of wettability alteration processes in carbonate oil reservoirs // Networks and heterogeneous media, Volume 3, Number 1, pp. 149-183.10.3934/nhm.2008.3.149Search in Google Scholar
[17] Sadeqi-Moqadam, M., Riahi, S., Bahramian, A., 2016. Monitoring wettability alteration of porous media by streaming potential measurements: Experimental and modeling investigation // Colloids and Surfaces A: Physicochemical and Engineering Aspects. Volume 497, Pages 182-193.10.1016/j.colsurfa.2016.03.004Search in Google Scholar
[18] Andersen, P. Ø., Evje, S., Kleppe, H., Skjæveland, S. M., 2015. A Model for Wettability Alteration in Fractured Reservoirs // SPE Journal, SPE-174555-PA, Volume 20, Issue 06. P. 15.10.2523/IPTC-16957-MSSearch in Google Scholar
[19] Lashgari, H., Xu, Y., Sepehrnoori, K., 2016. Modeling Dynamic Wettability Alteration Effect Based on Contact Angle // SPE-179665-MS, SPE Improved Oil Recovery Conference, At Tulsa, Oklahoma, USA.10.2118/179665-MSSearch in Google Scholar
[20] Ju, B. and Fan, T., 2012. Wettability Alteration and Its Effects on Production in Water Flooding// Petroleum Science and Technology, Volume 30 - Issue 16, Pages 1692-1703.10.1080/10916466.2011.639589Search in Google Scholar
[21] Flovik, V., Sinha, S. and Hansen, A., 2015. Dynamic Wettability Alteration in Immiscible Two-phase Flow in Porous Media: Effect on Transport Properties and Critical Slowing Down. Front. Phys. 3:86. 10.3389/fphy.2015.00086.Search in Google Scholar
[22] Bekbauov, B. E., Kaltayev, A., Wojtanowicz, A. K., and Panfilov, M. Numerical Modeling of the Effects of Disproportionate Permeability Reduction Water-Shutoff Treatments on Water Coning // Journal of Energy Resources Technology – March 2013 – Volume 135, Issue 1, 011101 (10 pages) http://dx.doi.org/10.1115Z1.4007913.10.1115/1.4007913Search in Google Scholar
[23] Bekbauov, B. E., Kaltayev, A., Nagy, S. Three-Dimensional Thermal Petroleum Filtration Study of Water Coning // Archives of Mining Sciences. - Cracow, Poland, 2010. - Vol. 55, No 1. - P. 201-215.Search in Google Scholar
[24] Bear, J., 1972. Dynamics of Fluids in Porous Media, Dover, New York.Search in Google Scholar
[25] Bird, R. B., Stewart, W. E., and Lightfoot, E. N., 2002. Transport Phenomena, 2nd edition, John Wiley and Sons, New York.Search in Google Scholar
[26] Mohanty, K. K., 1983. Multiphase Flow in Porous Media: III. Oil Mobilization, Transverse Dispersion, and Wettability paper SPE 12127 presented at the SPE Annual Technical Conference and Exhibition, San Francisco, CA October 5-8.10.2118/12127-MSSearch in Google Scholar
[27] Morrow, N. R., Cram, P. J., and McCaffery, F. G., 1973. Displacement Studies in Dolomite with Wettability Control by Octanoic Acid. SPE J. 13 (4): 221-232; Trans., AIME, 255. SPE-3993-PA.10.2118/3993-PASearch in Google Scholar
[28] Lam, A. and Schechter, R. S., 1987. The Theory of Diffusion in Microemulsion. J. of Colloid and Interface Science 120 (1): 56-63.10.1016/0021-9797(87)90322-5Search in Google Scholar
© 2017 Bakhbergen Bekbauov et al.
This work is licensed under the Creative Commons Attribution-NonCommercial-NoDerivatives 4.0 License.
Articles in the same Issue
- Regular Articles
- The Differential Pressure Signal De-noised by Domain Transform Combined with Wavelet Threshold
- Regular Articles
- Robot-operated quality control station based on the UTT method
- Regular Articles
- Regression Models and Fuzzy Logic Prediction of TBM Penetration Rate
- Regular Articles
- Numerical study of chemically reacting unsteady Casson fluid flow past a stretching surface with cross diffusion and thermal radiation
- Regular Articles
- Experimental comparison between R409A and R437A performance in a heat pump unit
- Regular Articles
- Rapid prediction of damage on a struck ship accounting for side impact scenario models
- Regular Articles
- Implementation of Non-Destructive Evaluation and Process Monitoring in DLP-based Additive Manufacturing
- Regular Articles
- Air purification in industrial plants producing automotive rubber components in terms of energy efficiency
- Regular Articles
- On cyclic yield strength in definition of limits for characterisation of fatigue and creep behaviour
- Regular Articles
- Development of an operation strategy for hydrogen production using solar PV energy based on fluid dynamic aspects
- Regular Articles
- An exponential-related function for decision-making in engineering and management
- Regular Articles
- Usability Prediction & Ranking of SDLC Models Using Fuzzy Hierarchical Usability Model
- Regular Articles
- Exact Soliton and Kink Solutions for New (3+1)-Dimensional Nonlinear Modified Equations of Wave Propagation
- Regular Articles
- Entropy generation analysis and effects of slip conditions on micropolar fluid flow due to a rotating disk
- Regular Articles
- Application of the mode-shape expansion based on model order reduction methods to a composite structure
- Regular Articles
- A Combinatory Index based Optimal Reallocation of Generators in the presence of SVC using Krill Herd Algorithm
- Regular Articles
- Quality assessment of compost prepared with municipal solid waste
- Regular Articles
- Influence of polymer fibers on rheological properties of cement mortars
- Regular Articles
- Degradation of flood embankments – Results of observation of the destruction mechanism and comparison with a numerical model
- Regular Articles
- Mechanical Design of Innovative Electromagnetic Linear Actuators for Marine Applications
- Regular Articles
- Influence of addition of calcium sulfate dihydrate on drying of autoclaved aerated concrete
- Regular Articles
- Analysis of Microstrip Line Fed Patch Antenna for Wireless Communications
- Regular Articles
- PEMFC for aeronautic applications: A review on the durability aspects
- Regular Articles
- Laser marking as environment technology
- Regular Articles
- Influence of grain size distribution on dynamic shear modulus of sands
- Regular Articles
- Field evaluation of reflective insulation in south east Asia
- Regular Articles
- Effects of different production technologies on mechanical and metallurgical properties of precious metal denture alloys
- Regular Articles
- Mathematical description of tooth flank surface of globoidal worm gear with straight axial tooth profile
- Regular Articles
- Earth-based construction material field tests characterization in the Alto Douro Wine Region
- Regular Articles
- Experimental and Mathematical Modeling for Prediction of Tool Wear on the Machining of Aluminium 6061 Alloy by High Speed Steel Tools
- Special Issue on Current Topics, Trends and Applications in Logistics
- 10.1515/eng-2017-0001
- Special Issue on Current Topics, Trends and Applications in Logistics
- The Methodology of Selecting the Transport Mode for Companies on the Slovak Transport Market
- Special Issue on Current Topics, Trends and Applications in Logistics
- Determinants of Distribution Logistics in the Construction Industry
- Special Issue on Current Topics, Trends and Applications in Logistics
- Management of Customer Service in Terms of Logistics Information Systems
- Special Issue on Current Topics, Trends and Applications in Logistics
- The Use of Simulation Models in Solving the Problems of Merging two Plants of the Company
- Special Issue on Current Topics, Trends and Applications in Logistics
- Applying the Heuristic to the Risk Assessment within the Automotive Industry Supply Chain
- Special Issue on Current Topics, Trends and Applications in Logistics
- Modeling the Supply Process Using the Application of Selected Methods of Operational Analysis
- Special Issue on Current Topics, Trends and Applications in Logistics
- Possibilities of Using Transport Terminals in South Bohemian Region
- Special Issue on Current Topics, Trends and Applications in Logistics
- Comparison of the Temperature Conditions in the Transport of Perishable Foodstuff
- Special Issue on Current Topics, Trends and Applications in Logistics
- E-commerce and its Impact on Logistics Requirements
- Topical Issue Modern Manufacturing Technologies
- Wear-dependent specific coefficients in a mechanistic model for turning of nickel-based superalloy with ceramic tools
- Topical Issue Modern Manufacturing Technologies
- Effects of cutting parameters on machinability characteristics of Ni-based superalloys: a review
- Topical Issue Desktop Grids for High Performance Computing
- Task Scheduling in Desktop Grids: Open Problems
- Topical Issue Desktop Grids for High Performance Computing
- A Volunteer Computing Project for Solving Geoacoustic Inversion Problems
- Topical Issue Desktop Grids for High Performance Computing
- Improving “tail” computations in a BOINC-based Desktop Grid
- Topical Issue Desktop Grids for High Performance Computing
- LHC@Home: a BOINC-based volunteer computing infrastructure for physics studies at CERN
- Topical Issue Desktop Grids for High Performance Computing
- Comparison of Decisions Quality of Heuristic Methods with Limited Depth-First Search Techniques in the Graph Shortest Path Problem
- Topical Issue Desktop Grids for High Performance Computing
- Using Volunteer Computing to Study Some Features of Diagonal Latin Squares
- Topical Issue on Mathematical Modelling in Applied Sciences, II
- A polynomial algorithm for packing unit squares in a hypograph of a piecewise linear function
- Topical Issue on Mathematical Modelling in Applied Sciences, II
- Numerical Validation of Chemical Compositional Model for Wettability Alteration Processes
- Topical Issue on Mathematical Modelling in Applied Sciences, II
- Innovative intelligent technology of distance learning for visually impaired people
- Topical Issue on Mathematical Modelling in Applied Sciences, II
- Implementation and verification of global optimization benchmark problems
- Topical Issue on Mathematical Modelling in Applied Sciences, II
- On a program manifold’s stability of one contour automatic control systems
- Topical Issue on Mathematical Modelling in Applied Sciences, II
- Multi-agent grid system Agent-GRID with dynamic load balancing of cluster nodes
Articles in the same Issue
- Regular Articles
- The Differential Pressure Signal De-noised by Domain Transform Combined with Wavelet Threshold
- Regular Articles
- Robot-operated quality control station based on the UTT method
- Regular Articles
- Regression Models and Fuzzy Logic Prediction of TBM Penetration Rate
- Regular Articles
- Numerical study of chemically reacting unsteady Casson fluid flow past a stretching surface with cross diffusion and thermal radiation
- Regular Articles
- Experimental comparison between R409A and R437A performance in a heat pump unit
- Regular Articles
- Rapid prediction of damage on a struck ship accounting for side impact scenario models
- Regular Articles
- Implementation of Non-Destructive Evaluation and Process Monitoring in DLP-based Additive Manufacturing
- Regular Articles
- Air purification in industrial plants producing automotive rubber components in terms of energy efficiency
- Regular Articles
- On cyclic yield strength in definition of limits for characterisation of fatigue and creep behaviour
- Regular Articles
- Development of an operation strategy for hydrogen production using solar PV energy based on fluid dynamic aspects
- Regular Articles
- An exponential-related function for decision-making in engineering and management
- Regular Articles
- Usability Prediction & Ranking of SDLC Models Using Fuzzy Hierarchical Usability Model
- Regular Articles
- Exact Soliton and Kink Solutions for New (3+1)-Dimensional Nonlinear Modified Equations of Wave Propagation
- Regular Articles
- Entropy generation analysis and effects of slip conditions on micropolar fluid flow due to a rotating disk
- Regular Articles
- Application of the mode-shape expansion based on model order reduction methods to a composite structure
- Regular Articles
- A Combinatory Index based Optimal Reallocation of Generators in the presence of SVC using Krill Herd Algorithm
- Regular Articles
- Quality assessment of compost prepared with municipal solid waste
- Regular Articles
- Influence of polymer fibers on rheological properties of cement mortars
- Regular Articles
- Degradation of flood embankments – Results of observation of the destruction mechanism and comparison with a numerical model
- Regular Articles
- Mechanical Design of Innovative Electromagnetic Linear Actuators for Marine Applications
- Regular Articles
- Influence of addition of calcium sulfate dihydrate on drying of autoclaved aerated concrete
- Regular Articles
- Analysis of Microstrip Line Fed Patch Antenna for Wireless Communications
- Regular Articles
- PEMFC for aeronautic applications: A review on the durability aspects
- Regular Articles
- Laser marking as environment technology
- Regular Articles
- Influence of grain size distribution on dynamic shear modulus of sands
- Regular Articles
- Field evaluation of reflective insulation in south east Asia
- Regular Articles
- Effects of different production technologies on mechanical and metallurgical properties of precious metal denture alloys
- Regular Articles
- Mathematical description of tooth flank surface of globoidal worm gear with straight axial tooth profile
- Regular Articles
- Earth-based construction material field tests characterization in the Alto Douro Wine Region
- Regular Articles
- Experimental and Mathematical Modeling for Prediction of Tool Wear on the Machining of Aluminium 6061 Alloy by High Speed Steel Tools
- Special Issue on Current Topics, Trends and Applications in Logistics
- 10.1515/eng-2017-0001
- Special Issue on Current Topics, Trends and Applications in Logistics
- The Methodology of Selecting the Transport Mode for Companies on the Slovak Transport Market
- Special Issue on Current Topics, Trends and Applications in Logistics
- Determinants of Distribution Logistics in the Construction Industry
- Special Issue on Current Topics, Trends and Applications in Logistics
- Management of Customer Service in Terms of Logistics Information Systems
- Special Issue on Current Topics, Trends and Applications in Logistics
- The Use of Simulation Models in Solving the Problems of Merging two Plants of the Company
- Special Issue on Current Topics, Trends and Applications in Logistics
- Applying the Heuristic to the Risk Assessment within the Automotive Industry Supply Chain
- Special Issue on Current Topics, Trends and Applications in Logistics
- Modeling the Supply Process Using the Application of Selected Methods of Operational Analysis
- Special Issue on Current Topics, Trends and Applications in Logistics
- Possibilities of Using Transport Terminals in South Bohemian Region
- Special Issue on Current Topics, Trends and Applications in Logistics
- Comparison of the Temperature Conditions in the Transport of Perishable Foodstuff
- Special Issue on Current Topics, Trends and Applications in Logistics
- E-commerce and its Impact on Logistics Requirements
- Topical Issue Modern Manufacturing Technologies
- Wear-dependent specific coefficients in a mechanistic model for turning of nickel-based superalloy with ceramic tools
- Topical Issue Modern Manufacturing Technologies
- Effects of cutting parameters on machinability characteristics of Ni-based superalloys: a review
- Topical Issue Desktop Grids for High Performance Computing
- Task Scheduling in Desktop Grids: Open Problems
- Topical Issue Desktop Grids for High Performance Computing
- A Volunteer Computing Project for Solving Geoacoustic Inversion Problems
- Topical Issue Desktop Grids for High Performance Computing
- Improving “tail” computations in a BOINC-based Desktop Grid
- Topical Issue Desktop Grids for High Performance Computing
- LHC@Home: a BOINC-based volunteer computing infrastructure for physics studies at CERN
- Topical Issue Desktop Grids for High Performance Computing
- Comparison of Decisions Quality of Heuristic Methods with Limited Depth-First Search Techniques in the Graph Shortest Path Problem
- Topical Issue Desktop Grids for High Performance Computing
- Using Volunteer Computing to Study Some Features of Diagonal Latin Squares
- Topical Issue on Mathematical Modelling in Applied Sciences, II
- A polynomial algorithm for packing unit squares in a hypograph of a piecewise linear function
- Topical Issue on Mathematical Modelling in Applied Sciences, II
- Numerical Validation of Chemical Compositional Model for Wettability Alteration Processes
- Topical Issue on Mathematical Modelling in Applied Sciences, II
- Innovative intelligent technology of distance learning for visually impaired people
- Topical Issue on Mathematical Modelling in Applied Sciences, II
- Implementation and verification of global optimization benchmark problems
- Topical Issue on Mathematical Modelling in Applied Sciences, II
- On a program manifold’s stability of one contour automatic control systems
- Topical Issue on Mathematical Modelling in Applied Sciences, II
- Multi-agent grid system Agent-GRID with dynamic load balancing of cluster nodes