Home Physical Sciences Corrosion inhibitors for AA6061 and AA6061-SiC composite in aggressive media: a review
Article Publicly Available

Corrosion inhibitors for AA6061 and AA6061-SiC composite in aggressive media: a review

  • Prakasha Shetty

    Prakasha Shetty (M.Sc., Ph.D.) is working as a professor at the Department of Chemistry, Manipal Institute of Technology, MAHE, Manipal, Karnataka, India. His major areas of research interest are corrosion inhibitors, thermoelectric materials, fluorescence materials, security ink, dye-sensitized photovoltaic cells, and packaging materials. He has guided seven Ph.D. thesis and 15 M.Tech./M.Sc. theses. Presently he is guiding six Ph.D. students. He has published over 125 papers, including six review papers in Scopus indexed journals. He has presented many research papers at international conferences held in countries like Malaysia, Thailand, Canada, UK, USA, Australia, and South Africa.

    ORCID logo EMAIL logo
Published/Copyright: August 19, 2022

Abstract

The unique features of aluminium alloy (AA6061) and its composite (AA6061-SiC composite) and their distinct advantages over aluminium metal have made them popular in many engineering applications such as automotive, aerospace, and structural components. However, aggressive media like acid, alkaline or chloride media reduces their corrosion and fatigue resistance, hence the workability of these materials. There is no evidence available in the literature about the systematic review of corrosion and inhibition of these materials in aggressive acid, alkaline and chloride media. Hence, the present review paper gains significant importance. One of the most feasible strategies for managing material corrosion is the addition of an inhibitor to an aggressive medium. A critical review of the inhibition performance of reported organic and inorganic compounds as inhibitors against the corrosion of AA6061 and AA6061-SiC composite in acid, alkaline and chloride media is summarised in this paper. A correlation between the chemical structure and inhibition of the activity of the inhibitors is discussed. The details of the types of inhibition process and the general mechanism of inhibition involved have been discussed.

1 Introduction

The deterioration of materials (metals, alloys, composites, etc.) due to their interaction with the surrounding environment is defined as corrosion. This interaction may be chemical or electrochemical, resulting in adverse effects such as material loss or property loss, plant shutdown, oil leakage due to pipeline breakage, product contamination due to metal leaching, and environmental pollution (Revie and Uhlig 2008). Corrosion is a spontaneous process that depends mainly on the nature of the material and the aggressiveness of the medium involved. It is a slow process, but the direct and indirect losses incurred are high order. Losses due to corrosion cannot be estimated only in terms of material loss, but production loss, increased maintenance cost, etc., must be considered while assessing total corrosion loss. The estimated cost of corrosion worldwide is approximately 3–5% of global GDP, as reported by the NACE survey (Hou et al. 2017; Koch et al. 2016). An estimated annual savings of about 375–875 billion USD may be achieved by implementing acceptable corrosion protection practices. These reports reveal the significance of conserving metals/alloys/composites from the destructive phenomenon of corrosion.

Generally, aluminium alloys and composites undergo corrosion in aqueous acid, alkaline and chloride media. Amid the various protective measures available to control corrosion, the usage of corrosion inhibitors is the most cost-effective and realistic method (Rozenfeld 1981). However, utilizing an efficient corrosion inhibitor in such a method is more significant. Usually, organic compounds having heteroatoms are effective corrosion inhibitors (Shetty 2020). In recent years, the development of environmental friendly corrosion inhibitors has been gaining much importance. Non-toxic, low-cost materials which show good inhibition activity are the most preferred to be used as corrosion inhibitors.

2 AA6061 and its composite with SiC

Aluminium is useful for tribological applications because of its low density and good thermal conductivity. It shows good resistance to corrosion on exposure to air because of the passive oxide film formed at the surface (Davis 1999). However, the protective film can damage in the presence of aggressive chloride, acid and alkaline media. Alloying can improve some of the basic properties of aluminium. Al alloys are used in automotive, aerospace, and marine fields due to their outstanding strength-to-weight ratio. When Al is alloyed with other elements to boost strength, its corrosion resistance property is reduced further (Esquivel and Gupta 2017). AA6061 is one of the most common heat-treatable aluminium alloys available for commercial application. This alloy is mainly composed of aluminium, magnesium, and silicon. The typical alloy composition of AA6061 is Mg (0.8–1.2 wt%); Si (0.4–0.8%); Fe (<0.7%); Cu (0.15–0.4%); Cr (0.04–0.35%); Mn (<0.15%); Zn (<0.25%); Ti (<0.15%), and Al (96–98%). Due to its high strength, lightweight, low cost, good thermal conductivity, and corrosion resistance properties, AA6061 alloy is used in different industries, especially aerospace, automotive, and marine industries (Yaqing et al. 2005). The alloy provides the requisite anticorrosion behaviour due to the protective film formation of Al2O3. However, the protective oxide film can break down in an aggressive chloride, acid, and alkaline media due to localized corrosion leading to pit formation (Davis 1999).

Metal-matrix composites (MMCs), on the other hand, are a novel type of structural material due to their lightweight, high rigidity and strength (Daniel 2014; Foltz 1999). MMCs with lower density, higher specific modulus, and specific yield strength have been obtained by reinforcing an Al alloy matrix with various particulate or fibre reinforcing materials like SiC, B4C, etc. (Daniel 2014; Fan and Nijuguna 2016). These MMCs are most suitable for widespread applications in the aerospace and automotive industry (Hihara 2005; Prasad and Asthana 2004).

MMCs are more prone to corrosion than matrix alloys because the reinforcing particles or fibres cause in-homogeneities on surfaces exposed to aggressive environments. The added reinforcing material leads to surface discontinuity in Al alloy composites, producing many active sites (Pardo et al. 2003; Rohatgi et al. 2018). It is most noticeable when the matrix is an active metal like aluminium and its alloys. The reinforcement exhibits electrical conductivity or semiconductivity when graphite or silicon carbide is the reinforcing material. In these instances, the existence of galvanic cells promotes metal matrix corrosion (Bobic et al. 2010a,b). Al alloy composites, therefore, exhibit low corrosion resistance relative to the base alloy.

3 Inhibitors of corrosion

Inhibitors are compounds applied in small amounts to control or minimize metal corrosion in an aggressive environment. Inhibitors can prevent corrosion either by reducing the attack rate or avoiding the likelihood of its occurrence, or performing both. Organic inhibitors usually protect a metal/alloy/composite from corrosion by creating a protective coating covering the surface. An inhibitor’s efficiency is determined by the environment’s aggressiveness, the nature of corroding metal, and the potential developed at the metal/solution interface. Further, the inhibitor’s chemical structure will profoundly influence its efficiency, including the number and charge density of the active adsorption centres, the size of the molecules, and the mode of adsorption. Inhibitors can be grouped as scavengers and interface inhibitors. By neutralizing the corrosive component in the medium, scavengers lower the corrosion rate. Interface inhibitors control corrosion due to the creation of a protective film by adsorption. They may be liquid or vapour phase inhibitors based on the phase of existence. They are also known as anodic, cathodic, or mixed inhibitors, depending on the control of the anodic, cathodic, or both corrosion reactions.

Anodic inhibitors polarize the corrosion potential to the positive side and reduce the anodic response, thereby controlling the corrosion. The widely used anodic inhibitors are chromates, molybdates, tungstate, and nitrites. On the other hand, cathodic inhibitors alter the corrosion potential to the negative side and regulate the reaction at the cathode, thus reducing the corrosion rate. Generally, organic compounds containing N, O, S or P can act as effective inhibitors in an acidic medium (Shetty 2020). The essential features (Rozenfeld 1981; Shetty 2020) of an effective corrosion inhibitor are

  1. It should have a large molecular size that can cover the metal’s maximum surface area to be protected

  2. It should contain multiple heteroatoms (N, O, S, etc.), π-bonds and electron releasing substituent groups in its molecular structure

  3. It should form a stable and protective layer on the metal to be protected

  4. It should be cheap, readily available and non-toxic

  5. It should be readily soluble in the corrosive medium.

4 Inhibitors for attenuation of AA6061 corrosion

4.1 In hydrochloric acid media

Schiff bases (N, N′-bis (salicylidene)-1, 4-diaminophenelyne (Inh-1a) and N, N′-bis (3-methoxy salicylidene)-1, 4-diaminophenelyne (Inh-1b)) have been investigated by weight loss (WL) method for their inhibition activity against the degradation of AA6061 in 1M hydrochloric acid (Fakrudeen et al. 2012). The inhibition efficiency (IE) of the studied Schiff baseś increased on increasing their concentration and decreasing the solution temperature and immersion time. Inh-1b demonstrated a maximum IE of 94% at 500 ppm and 30 °C. In contrast, Inh-1a at 500 ppm and 30 °C showed the highest IE of 87%. The existence of imine and hydroxyl groups in the inhibitors’ linear molecular structure (Figure 1) might have resulted in the good IE displayed by both the Schiff bases. However, the greater IE showed by Inh-1b could be because of the two more electron-donor groups (–OCH3) present in its molecular structure. The Schiff bases have followed the Freundlich isotherm model for their adsorption on the alloy. The calculated value of ∆Gads revealed the physical adsorption of inhibitors. The scanning electron microscopy (SEM) images for the inhibited specimen indicated a smoother surface than the corroded one, confirming the protective barrier formed on the inhibited sample.

Figure 1: 
						Structure of (N, N′-bis (salicylidene)-1, 4-diaminophenelyne (Inh-1a) and N, N′-bis (3-methoxy salicylidene)-1, 4 -diaminophenelyne (Inh-1b).
Figure 1:

Structure of (N, N′-bis (salicylidene)-1, 4-diaminophenelyne (Inh-1a) and N, N′-bis (3-methoxy salicylidene)-1, 4 -diaminophenelyne (Inh-1b).

Fakrudeen and Raju (2013) tested the corrosion behaviour of AA6061 in a 1M HCl medium by WL, PDP (Potentiodynamic polarization), and EIS (Electrochemical impedance spectroscopy) techniques. Schiff bases such as N, N′-bis (salicylidene)-1, 4-diaminobutane (Inh-2a), and N, N′-bis (3-methoxy salicylidene)-1, four diaminobutane (Inh-2b) have been investigated for their inhibition activity. The PDP technique revealed that both Schiff bases showed mixed-type inhibitor properties but primarily acted as cathodic inhibitors. As per the findings of the WL method, the IE increases with increased inhibitor concentration while decreasing with a rise in temperature and immersion time. Inh-2b and Inh-2a demonstrated a maximum IE of 79 and 76%, respectively, at 100 ppm inhibitor concentration. Because of two-electron donation groups (-OCH3) present in its molecule (Figure 2), Inh-2b demonstrated better performance. Both the Schiff bases underwent chemisorption on the surface of AA6061 alloy and complied with the isotherm model of Langmuir. The inhibited alloy sample’s SEM image depicted a levelled and more smother surface than the corroded sample, revealing a protective barrier formed by the inhibitor.

Figure 2: 
						Structure of N, N′-bis (salicylidene)-1, 4-diaminobutane (Inh-2a) and N, N′-bis (3- methoxy salicylidene)-1, 4-diaminobutane (Inh-2b).
Figure 2:

Structure of N, N′-bis (salicylidene)-1, 4-diaminobutane (Inh-2a) and N, N′-bis (3- methoxy salicylidene)-1, 4-diaminobutane (Inh-2b).

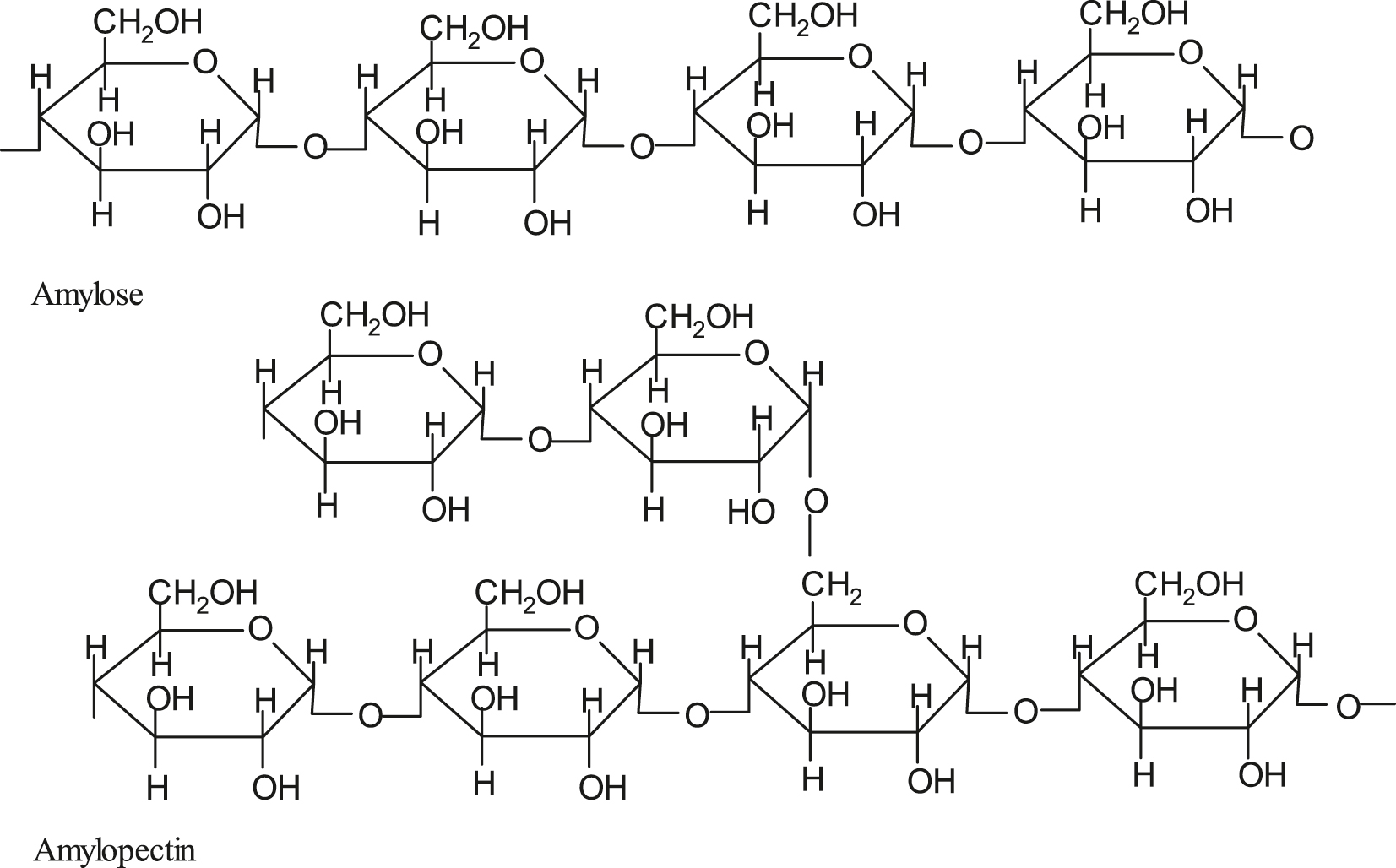
The effect of starch (Inh-3) on 6061 Al alloy corrosion in 0.25M HCl (Charitha and Rao 2015) and 0.1M HCl (Charitha and Rao 2017a) was studied by following PDP and EIS techniques. With rises in temperature and Inh-3 concentration, the IE of Inh-3 has increased. Inh-3 showed mixed-type inhibitor behaviour. Thermodynamic experiments found that Inh-3 was chemisorbed by adhering to the Langmuir adsorption isotherm. Based on PDP studies, Inh-3 exhibited an average IE of 58.93% in 0.25 M HCl and 63.44% in 0.1M HCl, respectively, at 800 ppm and 50 °C. The oxygen atoms in the hydroxyl groups (Figure 3) in Inh-3 can act as the active adsorption sites. The surface morphology studies by SEM-EDX (Energy-dispersive X-ray) revealed the deposition inhibitor layer on the alloy.

Figure 3: 
						Structure of starch (Inh-3).
Figure 3:

Structure of starch (Inh-3).

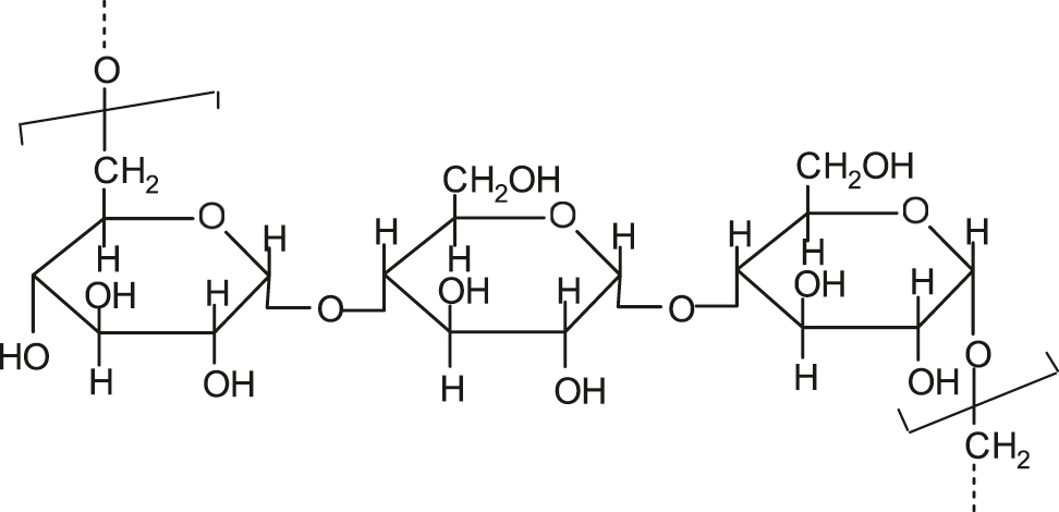
Charitha and Rao (2017b) tested biopolymer dextran (Inh-4) as an inhibitor in a 1M HCl solution on 6061 Al alloy corrosion by techniques like PDP and EIS. PDP results revealed the mixed inhibitor property of Inh-4. Thermodynamic measurements supported the physisorption of Inh-4, which followed the Langmuir isotherm model. Inhibition activity of Inh-4 improved with the increase of its concentration and decreased on the rise in the medium’s temperature. Inh-4 exhibited a reasonable IE of 77.9% by the EIS technique. In comparison, 74.6% by PDP technique at the concentration of 0.4 gL−1 and 30 °C. In Inh-4, the active adsorption sites are the hydroxyl groups’ oxygen (Figure 4). The adsorption of Inh-4 was confirmed by surface testing of the inhibited specimen by SEM and EDX (Energy-dispersive X-ray).

Figure 4: 
						Structure of dextran (Inh-4).
Figure 4:

Structure of dextran (Inh-4).

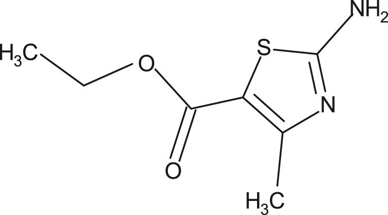
The inhibition activity of ethyl-2-amino-4-methyl-1, 3-thiazole-5-carboxylate (Inh-5) in 0.05 M HCl solution against the corrosion of AA6061 was studied by WL, PDP, and EIS methods (Raviprabha and Bhat 2019a). Inh-5 showed a mixed inhibitor activity, and with the rise in concentration and solution temperature, its efficiency improved. Thermodynamic results confirmed the chemisorption of Inh-5 at the alloy surface following the Langmuir adsorption isotherm. The surface morphology study by SEM revealed a corrosion barrier layer formed by Inh-5 on the alloy. Inh-5 showed good IE of 92.77% by EIS, 92.56% by PDP and 92.74% by WL method at 100 ppm and 50 °C. This better performance may be due to the potential stronger adsorption by sharing electron pairs on heteroatoms (N, S, and O) and π-electrons of Inh-5 with empty d- orbitals of aluminium atoms. The existence of functional groups (Figure 5), –CH3 and –NH2-play a vital role in the higher IE exhibited by Inh-5.

Figure 5: 
						Structure of ethyl-2- amino-4-methyl-1, 3-thiazole-5-carboxylate (Inh-5).
Figure 5:

Structure of ethyl-2- amino-4-methyl-1, 3-thiazole-5-carboxylate (Inh-5).

Raviprabha and Bhat (2019b) examined the inhibition activity of 5-(3-Pryridyl)-4H-1,2,4-triazole-3-thiol (Inh-6) in a 0.1 M hydrochloric acid on the AA6061 corrosion by the methods like WL, PDP, and EIS. As per the experimental results, the IE increased on increasing Inh-6 concentration and solution temperature. The highest IE of 94.1% evinced for 40 ppm of the inhibitor at 60 °C. The better performance was due to the interaction of electron pairs on N and S and π electrons of the aromatic ring (Figure 6) in Inh-6 with empty d-orbitals of Al atoms. The chemisorption of the inhibitor occurred, which followed the isotherm of Langmuir adsorption. The inhibitor studied behaved as a mixed-type by controlling metal dissolution and hydrogen liberation reactions. SEM studies verified the defensive coating of the inhibitor film formed on the alloy.

Figure 6: 
						Structure of 5-(3-pryridyl)-4H-1,2,4-triazole-3-thiol (Inh-6).
Figure 6:

Structure of 5-(3-pryridyl)-4H-1,2,4-triazole-3-thiol (Inh-6).

Inhibition activity of an ionic liquid, 1-butyl-3- methylimidazolium thiocyanate (Inh-7), was tested on corrosion of AA 6061 in 1M HCl using WL, PDP and EIS methods (Xiaohong et al. 2020). The inhibition efficiency increases on the increasing of Inh-7 concentrations while it decreases with a rise in temperature and immersion time. Inh-7 exhibited mixed inhibitor property with significant control on the cathodic reaction. SEM images showed minor surface damage on the inhibited specimen, and XPS (X-ray photoelectron spectroscopy) analysis indicated the inhibitor film formation on the alloy. EDX analysis supported the experimental results by showing the development of a film of Inh-7 on the alloy. The high contact angle (96.8° with reference to water) of the inhibited surface indicated that the protective film of Inh-7 was more hydrophobic. This evidence reveals that the surface was less prone to wetting by water in the presence of an inhibitor, which provides better protection for the alloy. Inh-7 exhibited the highest IE of 98.2 (WL), 98 (PDP) and 98.4% (EIS), respectively, at 4 mM and 30 °C. The larger molecular size of Inh-7 can cover the greater surface area of the alloy, providing better protection. The stronger interaction of the heteroatoms lone pair electrons and π bonding electrons on the aromatic ring in Inh-7 with d-orbitals of Al can lead to a coordinate bond formation. Functional groups like methyl and thiocyanate in Inh-7 (Figure 7) strengthen the alloy’s stronger adsorption. Therefore, Inh-7 evinced good inhibition activity.

Figure 7: 
						Structure of 1-butyl-3-methylimidazolium thiocyanate (Inh-7).
Figure 7:

Structure of 1-butyl-3-methylimidazolium thiocyanate (Inh-7).

Eco-friendly inhibitor glutathione reduced (Inh-8) has been tested in a 0.5 M HCl medium for its corrosion inhibitive action against AA6061 by WL and PDP methods (Nagalaxmi et al. 2020). The IE of Inh-8 improved by increasing its concentration and lowering the medium temperature. At 0.7 mM concentration and 30 °C temperature, Inh-8 displayed a relatively good IE of 87.8% (WL) and 86% (PDP), showing a mixed inhibitor behaviour. The results showed the mixed adsorption of Inh-8 on the alloy following the Langmuir isothermal model. The sharing of electron pairs by the multiple heteroatoms (N, O, and S) and π-electrons in Inh-8 with the d-orbitals of Al can result in the coordinate type of bond. The larger molecular size of Inh-8 can provide better surface coverage on the alloy surface. Further, the active sites for adsorption are the functional groups like –NH2 and –COOH (Figure 8) in Inh-8. Moreover, the corroded sample’s SEM with more pits and inhibited sample with a minimum number of holes (Figure 9) indicated the Inh-8’s adsorption on the specimen surfaces. The analysis of AFM images of the specimen also supported this.

Figure 8: 
						Structure of glutathione reduced (Inh-8).
Figure 8:

Structure of glutathione reduced (Inh-8).

Figure 9: 
						SEM images of (a) corroded and (b) inhibited sample.
Figure 9:

SEM images of (a) corroded and (b) inhibited sample.

Cysteine (Inh-9) was tested as an effective corrosion inhibitor for AA6061-T6 in a 0.5 M HCl medium. Electrochemical studies were performed by PDP and EIS methods (Kumari et al. 2020). The icorr (corrosion current density) and CR (corrosion rate) decrease on increasing Inh-9 concentration, indicating the alloy’s protection by the adsorption of Inh-9. At 0.7 mM concentration and 30 °C, cysteine evinced the moderate IE of 74.6% (by PDP) and 72.18% (by EIS), respectively and displayed mixed inhibitor activity. The double-layer capacitance (Cdl) decreased while the polarization resistance (Rp) increased on increasing Inh-9’s concentration, resulting in the reduction in CR of the alloy. The thermodynamic results revealed the mixed adsorption of Inh-9, which followed the isotherm of Langmuir adsorption. The adsorption of Inh-9 on the alloy was confirmed by surface analysis of corroded and inhibited specimens using SEM and AFM. Functional groups such as –NH2 and –OH are the proposed active sites in Inh-9 (Figure 10) for adsorption on the alloy surface. Further, the interaction of heteroatoms (N, O, and S) with surface metal can result in a coordinate bond.

Figure 10: 
						Structure of cysteine (Inh-9).
Figure 10:

Structure of cysteine (Inh-9).

4.2 In sodium hydroxide media

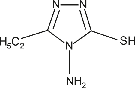
Kumari et al. (2011a) tested the inhibitive action of 3-ethyl-4-amino-mercapto-1, 2, 4-triazole (Inh-10) on AA6061corrosion in varying concentrations (0.05–0.50 M) of NaOH solutions at 303–323 K by electrochemical techniques (PDP and EIS). The electrochemical results showed that Inh-10 controlled the CR of the alloy in the NaOH medium. PDP results revealed a mixed inhibitor behaviour of Inh-10 by predominantly controlling the cathodic reaction. The IE increased on increasing Inh-10’s concentration and reducing the temperature of the medium and immersion time. The thermodynamic results indicated the physical adsorption of Inh-10 molecules on the alloy, which followed the adsorption isotherm model of Langmuir. The increase in Rp values and decrease in Cdl values on increasing Inh-10 concentration decreased the corrosion rate. Inh-10 showed a maximum IE of 43.5% by PDP, and 38.4% by EIS method in a 0.5 M solution of NaOH at 30 °C. The authors claim that inhibitor anions with higher charge density compete with OH ions preferably adsorbed at the anodic sites on the alloy. The ethyl group in Inh-10 (Figure 11) was assumed to increase the charge density on N and S atoms through hyper-conjugation/inductive effect. It results in the stronger adsorption of Inh-10 at the anodic sites of the alloy, which would typically control the anodic attack. SEM images of the corroded surface with more pits and inhibited surface with fewer pits revealed the inhibitor film formed on the inhibited alloy.

Figure 11: 
						Structure of 3-ethyl-4-amino-mercapto-1, 2, 4-triazole (Inh-10).
Figure 11:

Structure of 3-ethyl-4-amino-mercapto-1, 2, 4-triazole (Inh-10).

Kumari et al. (2011b) also evaluated the inhibitive action of 3-methyl-4-amino-5-mercapto-1, 2, 4-triazole (Inh-11) on AA6061-T6 corrosion in NaOH solution of 0.5M concentration at 30–50 °C, using PDP and EIS method. IE was found to increase with Inh-11’s concentration and decrease with a temperature rise. Inh-11 showed mixed inhibitor behaviour with predominant control over the cathodic reaction. The decrease in Cdl value indicates the adsorption of Inh-11 molecules occurs by replacing previously adsorbed water molecules at the alloy surface, thereby reducing the available active sites for further corrosion. The inhibitor’s adsorption on the alloy surface occurred through physisorption, which followed the adsorption isotherm of Langmuir. The inhibition efficiency of 62% by PDP and 56.4% by the EIS method were observed at a 50 ppm concentration of Inh-11 and 30 °C. The presence of electron-donating groups like –NH2 and –CH3 in Inh-11 (Figure 12) can improve the inhibition performance. The methyl group in Inh-11 has significantly improved IE due to the + R (resonance) and + I (inductive) effect. The authors assumed that the ionized Inh-11 molecules in the alkaline medium selectively adsorbed at the anodic sites of the alloy.

Figure 12: 
						Structure of 3-methyl-4-amino-mercapto-1, 2, 4-triazole (Inh-11).
Figure 12:

Structure of 3-methyl-4-amino-mercapto-1, 2, 4-triazole (Inh-11).

4.3 In chloride media

Rosliza et al. (2008) reported on the corrosion behaviour of AA6061 alloy in seawater containing sodium benzoate (Inh-12) as an inhibitor. The experiments were carried out in static and air circulated conditions using PDP and EIS methods. Inh-12 showed cathodic inhibitor behaviour. The electrochemical parameters observed at varied immersion periods revealed that the presence of Inh-12 drastically decreases icorr and CR. The decrease in Cdl vales, while the Rp values increased, indicated surface film formation by Inh-12 (Figure 13) on the alloy surface. The highest IE achieved after exposure to seawater for 180 days was 67.4% in the static mode, while in the air circulation mode was 64.7% after 60 days of exposure. SEM analysis indicated that the thin film developed on the specimen in static conditions was better than in circulating conditions.

Figure 13: 
						Structure of sodium benzoate (Inh-12).
Figure 13:

Structure of sodium benzoate (Inh-12).

Rosliza and Wan Nik (2010) explored the application of tapioca starch (Inh-13) as a corrosion inhibitor for AA6061 in 3% NaCl (seawater) using gravimetric, PDP, and EIS techniques. As the concentration of Inh-13 and immersion time increased, the IE increased. The PDP results indicated a mixed inhibitor activity of Inh-13 with predominant influence over anodic reaction. The maximum IE of the inhibitor obtained by the different methods is 91.91 (WL); 93.98 (PDP); 93.73% (EIS), respectively, at 1000 ppm. The oxygen atoms of the hydroxyl groups in Inh-13 can act as the active sites for adsorption. The larger molecular size of Inh-13 might have covered the maximum area of the alloy, resulting in higher IE. The adsorption of Inh-13 on the alloy occurred mainly through physisorption following the adsorption model of Langmuir.

Rosliza et al. (2010) investigated the influence of vanillin (Inh-14) as an inhibitor of AA 6061 corrosion in 3% NaCl (seawater) by PDP, LPR, and EIS techniques. Inhibition activity of Inh-14 was found to increase with its concentration. The polarization results indicated that Inh-14 acts as a mixed inhibitor. LPR and EIS studies revealed that in the presence of Inh-14, the overall resistance toward the alloy corrosion increased significantly. Inh-14 showed a maximum IE of 92.5% by PDP, 92.6% by LPR, and 92.45% by EIS methods at 1000 ppm concentration. The presence of electron-donating groups such as –OH, –OCH3, –CHO and the π-electron cloud of the aromatic ring in Inh-14 (Figure 14) may be responsible for its good IE. Langmuir’s isotherm model was followed for Inh-14’s adsorption on the alloy. The analysis of SEM and EDX supports the inhibitor’s film formation on the alloy surface.

Figure 14: 
						Structure of vanillin (Inh-14).
Figure 14:

Structure of vanillin (Inh-14).

Zhang et al. (2012) investigated the influence of ammonium molybdate ((NH3)2MnO4) (Inh-15) on the AA6061 corrosion in a 3% NaCl solution through electrochemical measurements. Inh-15 showed anodic inhibitor property and IE of 74.3% at 1 × 10−4 M and 30 °C. The electrochemical results indicated the physisorption of the Inh-15 molecule on the alloy by following the isotherm model of Langmuir. According to the authors, the MoO42− ions preferably adsorb on the alloy by replacing Cl ions, which develops a stable film and hence retard the attack of Clions. The synergistic effect of calcium gluconate (CG) improved the IE to 95.9% at a 4:1(Inh-15: CG) ratio. Inh-15 and CG mixture showed the property of a mixed inhibitor. The addition of CG promoted the Inh-15’s adsorption on the alloy surface.

Colchicine (Inh-16) was tested for its corrosion inhibition property on AA6061 in a 3.5% NaCl using PDP, EIS and CA (chronoamperometry) techniques (Pavithra et al. 2015a). Inh-16 evinced IE of 99% at 2 mM concentration. The four electron-donating –OCH3 groups in Inh-16 (Figure 14) could be responsible for its stronger adsorption on the alloy’s surface and excellent inhibition efficiency. The electron pairs on heteroatoms (N, O) and π –electrons of the phenyl and cycloheptatrienone ring in Inh-16 (Figure 15) are mainly responsible for the strong interaction with the alloy metal. Its adsorption followed the Langmuir isotherm model and occurred via a mixed adsorption process. SEM analysis showed a smoother inhibited surface than a rough corroded surface that revealed safety film formation by Inh-16 on the alloy surface.

Figure 15: 
						Structure of colchicine (Inh-16).
Figure 15:

Structure of colchicine (Inh-16).

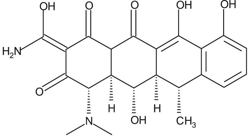
Pavithra et al. (2015b) studied the anticorrosive property of an antibiotic drug, doxycycline hydrochloride (Inh-17), on AA6061 in a 3.5% NaCl medium by PDP, EIS, and CA techniques. Inh-17 showed a moderate IE of 88% against AA6061 at 2 mM concentration. Electrochemical studies have shown that inhibition occurs through the mixed adsorption process. Inh-17 regulated AA6061 corrosion and obeyed the modified Langmuir isothermal model. The hydroxyl and amino groups in Inh-17 (Figure 16) supported its stronger adsorption on the alloy. Quantum chemical studies showed that heteroatoms and π-electrons present in molecules of Inh-17 are the active adsorption sites responsible for the action of inhibition and supported the experimental results. A good IE evinced by Inh-17 may be endorsed by its higher dipole moment and lower ∆E value.

Figure 16: 
						Structure of doxycycline hydrochloride (Inh-17).
Figure 16:

Structure of doxycycline hydrochloride (Inh-17).

Zaid et al. (2015) reported sodium metabisulfite (Na2S2O5) (Inh-18) as an environment-friendly inhibitor to control 6061 Al alloy corrosion in 5 × 10−2 M NaCl at pH of 7.2 and 25 °C. The experimental work involved PDP, cyclic and chronoamperometry polarization measurements. Inh-18 acted as a cathodic inhibitor. It evinced IE of 72.5% at 10−1 M as per the results of cyclic polarization curves. The linear and cyclic polarisation studies indicate that the polarization resistance increases sharply with Inh-18’s concentration. The inhibition process followed the physisorption of Inh-18 molecules and the isotherm model of Langmuir. SEM, EDX and XPS analysis showed the deposition of inhibitor film, which contains sulphur atoms. It indicates that S atoms in Inh-18 are the most interactive sites for the adsorption on the alloy.

5 Corrosion inhibitors for AA6061-SiC composite

5.1 In hydrochloric acid media

Nayak and Hebbar (2008) investigated the corrosion control of 6061 Al–SiC(p) composite in 0.01, 0.1, and 1N HCl media by Tafel extrapolation technique using allyl thiourea (Inh-19a) and glycyl glycine (Inh-19b) as inhibitors. The two tested compounds performed as anodic inhibitors. The T-6 treatment of the specimen has enhanced the composite’s corrosion rates, and IE was lower in aged samples. There was an improvement in IE with increased inhibitor concentration in all acidic media. IE of Inh-19a decreased with increasing temperature, indicating its physisorption on the composite surface. Whereas for Inh-19b, the temperature rise increased IE, suggesting that it underwent chemisorption. Inh-19a showed IE (%) of 71.4 (in 0.01N HCl), 76.3 (0.1N HCl) and 58.5 (1N HCl) at 500 ppm and 30 °C. The percentage IE recorded by Inh-19b was 74.9 (0.01N HCl), 75 (0.1N HCl) and 84.6 (1N HCl) at 500 ppm and 50 °C. The polar groups (–NH2 and –OH) and heteroatoms (N/S/O) may be the potential sites for adsorption displayed by the tested inhibitors (Figure 17).

Figure 17: 
						Structure of allyl thiourea (Inh-19a) and glycyl glycine (Inh-19b).
Figure 17:

Structure of allyl thiourea (Inh-19a) and glycyl glycine (Inh-19b).

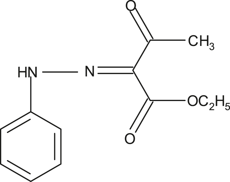
Kini et al. (2010) investigated the corrosion inhibition activity of ethyl-2-phenyl hydrozono-3-oxobutyrate (Inh-20) towards the composite, 6061Al alloy-SiC(p) in 0.1, 0.5, and 1 N HCl following WL and PDP methods. The IE has improved with a rise in inhibitor concentration and decreased temperature. Inh-20 exhibited mixed inhibitor property with major control on cathodic reaction. It evinced percentage IE of 87.4, 85.1, 81.9 (in 0.1, 0.5 and 1 N HCl, respectively by PDP)); 83.2, 85.5, 81.2 (in 0.1, 0.5 and 1N HCl respectively, by WL) at 150 ppm concentration and 30 °C temperature. Polar groups (such as >C=N–, –CH3, –OCH3), heteroatoms, and π-bonds in Inh-20 could provide multiple active sites for adsorption (Figure 18). Inh-20 molecules underwent mixed-type adsorption mainly with physisorption and followed Temkin and Langmuir, isotherm models.

Figure 18: 
						Structure of ethyl-2-phenyl hydrozono-3-oxobutyrate (Inh-20).
Figure 18:

Structure of ethyl-2-phenyl hydrozono-3-oxobutyrate (Inh-20).

The corrosion control of the composite material, Al 6061-SiC(p) in 0.5 M HCl, was examined by PDP and WL methods using propanoyl (1Z)-N-(2-hydroxyphenyl)-2-oxopropane hydrazonoate (Inh-21) as an inhibitor (Kini et al. 2011a). In the hydrochloric acid medium, Inh-21 functioned as a cathodic inhibitor of the composite. The percentage of IE has increased by increasing Inh-21’s concentration and decreasing the temperature. The inhibitor followed the adsorption isotherm model of Temkin’s and mixed adsorption mainly with physisorption. Inh-21 acted as an effective Al 6061-SiC(p) corrosion inhibitor in a 0.5 M hydrochloric acid solution. It exhibited a maximum IE (%) of 95.49 (by PDP) and 90.98 (by WL), respectively, at 6 mM and 30 °C. The high IE evinced by Inh-21 maybe because of its stronger interaction via polar groups (>C=N—, –CH3, –OH) and the π electron cloud of the aromatic ring (Figure 19).

Figure 19: 
						Structure of propanoyl(1Z)-N-(2-hydroxyphenyl)-2-oxopropane hydrazonoate (Inh-21).
Figure 19:

Structure of propanoyl(1Z)-N-(2-hydroxyphenyl)-2-oxopropane hydrazonoate (Inh-21).

Kini et al. (2011b) employed 3-Chloro-1-benzothiophene-2-carbohydrazide (Inh-22) in 0.5 and 1M HCl media as a corrosion inhibitor for 6061 Al alloy-SiC(p) composite. Experimental work was conducted using WL and PDP techniques. PDP curves indicated the mixed inhibitor behaviour of Inh-22 with major control on the cathodic reaction. The IE of Inh-22 improved by increasing its concentration and reducing the medium temperature. The inhibition mechanism occurs through the mixed adsorption of Inh-22 with predominantly physisorption following the Temkin and Langmuir adsorption models. Inh-22 displayed the percentage IE of 88.1 and 88.2 (in 0.5 and 1M HCl, respectively by PDP), 88.2 and 87.6 (in 0.5 and 1M HCl, respectively by WL) at 4.4 mM concentration and 30 °C. Heteroatoms (N, O & S) and aromatic rings (Figure 20) present in Inh-22 may be responsible for the stronger interaction with the composite surface exhibiting good inhibition performance.

Figure 20: 
						Structure of 3-chloro-1-benzothiophene-2-carbohydrazide (Inh-22).
Figure 20:

Structure of 3-chloro-1-benzothiophene-2-carbohydrazide (Inh-22).

Kini et al. (2012) studied the deterioration of the composite 6061Al alloy-15%(v)SiC(p) in HCl media (0.5 & 1M) containing propanol (1Z)-N-(2,6-dimethyl phenyl)-2-oxopropane hydrazonoate (Inh-23) as inhibitor using WL and PDP methods. Inh-23 demonstrated a good inhibition performance with a percentage IE of 95.80 in 0.5M HCl and 79.09 in 1 M HCl, respectively, by PDP. In comparison, 90.82% in 0.5M HCl and 76.24% in 1 M HCl, respectively, by WL at 4.5 mM concentration and 30 °C. The polar groups and aromatic π-electrons in Inh-23 (Figure 21) may have resulted in stronger adsorption and better inhibition activity. PDP results indicated the mixed inhibitor property of Inh-23, showing the significant influence on cathodic reactions and inhibition activity improved with rising inhibitor concentration and decreased temperature. Inhibition occurred through mixed-type adsorption with predominantly physisorption, obeying the Temkin isotherm model.

Figure 21: 
						Structure of propanol (1Z)-N-(2,6-dimethyl phenyl)-2-oxopropanehydrazonoate (Inh-23).
Figure 21:

Structure of propanol (1Z)-N-(2,6-dimethyl phenyl)-2-oxopropanehydrazonoate (Inh-23).

The inhibition of 6061Al-15% (v)SiC(P) composite corrosion in 0.25 M HCl using starch (Inh-3) as an inhibitor was tested by PDP and EIS techniques (Charitha and Rao 2016). An appropriate mechanism for corrosion and inhibition has been proposed. Experimental findings showed a rise in IE of inhibitor on increasing the concentration of Inh-3 and medium temperature. The results revealed the chemisorption of Inh-3 molecules on the composite, following the Langmuir isotherm model. Inh-3 showed a mixed inhibitor behaviour and exhibited a maximum IE of 83.44% at 0.8 gL1concentration and 50 °C. The larger molecular size of Inh-3 provides better coverage on the composite surface. The presence of plenty of –OH groups in Inh-3 (Figure 3) may be responsible for its stronger interaction with the surface metal. The interaction of Inh-3 on the metal can result in the protective coating as revealed by SEM, EDX, AFM, and XRD (X-ray Diffraction) analysis.

The inhibition activity of a biopolymer dextran (Inh-4) was investigated against the corrosion of 6061 Al-15%(v) SiC(p) in1M HCl media (Charitha and Rao 2017c) by PDP and EIS methods. Inh-4 showed IE of 91.3% (by PDP) and 90.24% (by EIS), respectively, in 1M HCl at 0.4 gL−1 concentration and 30 °C. The large molecular size of Inh-4 and plenty of hydroxyl groups in its molecular structure (Figure 4) are the main reasons for the stronger adsorption of Inh-4 onto the composite surface. Inh-4 showed mixed inhibitor property and underwent mainly physisorption, following the isotherm model of Langmuir. The results showed that IE of Inh-4 improved with its concentration and decreased with a temperature rise. SEM images and EDX elemental mapping analysis of the inhibited and corroded specimens revealed the development of a protective coating of Inh-4 on the composite surface.

Inhibition activity of Pullan (Inh-24) on the deterioration of the composite, 6061Al-15%(v) SiC(P), was investigated in 0.025M HCl by PDP and EIS measurements (Charitha and Rao 2018a). Inh-24 showed mixed inhibitor action and a maximum IE of 89.68% (by PDP) and 88.5% (by EIS), respectively, at 1.0 gL−1 concentration and 30 °C. The large molecular size of the Inh-24 molecule leads to broader coverage of the composite surface and hence showed better inhibition activity. The existence of polar groups (–OH, –CH2OH) and heteroatoms (Figure 22) may be responsible for the better interaction of Inh-24 with the surface metal. The results obtained indicated the improvement in the performance of Inh-24 on increasing its concentration and decreasing the temperature. Evaluation of experimental results showed that Inh-24 had undergone physisorption obeying the isotherm model of Freundlich. SEM and AFM analysis revealed that the inhibited specimen exhibited better surface smoothness than the corroded specimen, confirming the inhibitor’s defensive barrier formation on the composite.

Figure 22: 
						Structure of pullan (Inh-24).
Figure 22:

Structure of pullan (Inh-24).

Insulin (Inh-25) was used to attenuate corrosion of 6061Al-15%(v) SiC(P) composite in a 0.05 M HCl medium by following PDP and EIS methods (Charitha and Rao 2018b). Inh-25 displayed mixed inhibitor properties with a maximum IE of 89% at 1 gL−1 and 30 °C. Corrosion inhibition followed physisorption and obeyed the adsorption model of Langmuir. Surface studies by SEM and AFM revealed that the inhibited surface was smoother than the corroded surface. It showed the development of a barrier film of Inh-25 at the composite body. FTIR analysis revealed the hydroxyl group interaction in Inh-25 with the surface metal, which was further confirmed by EDX analysis.

A biopolymer, pectin (Inh-26), has been tested for its corrosion control activity in 0.025 M HCl on the composite, 6061Al–15% (V) SiC(P) using PDP and EIS methods (Charitha and Rao 2020). Inh-26 showed improved inhibition activity on increasing its concentration from 0.2 to 1.0 gL−1 and a rise in temperature of the medium. The results showed that Inh-26 adsorption followed the chemisorption mechanism and isotherm model of Langmuir adsorption. The surface studies conducted using SEM and EDX techniques have revealed the development of a protective barrier by Inh-26 at the composite surface. Inh-25 displayed an efficiency of 95% at 1 gL−1 and 50 °C. The pectin’s good inhibition activity can be due to the electron pair’s interaction on the heteroatom or π-electrons with the vacant d-orbitals of Al leading to a coordinate type bond. Polar groups (–OH, –COOH) also contribute to the stronger adsorption of Inh-26 (Figure 23) on the composite surface.

Figure 23: 
						Structure of pectin (Inh-26).
Figure 23:

Structure of pectin (Inh-26).

The corrosion inhibition activity of 4-hydroxy-N′-[3-phenylprop-2-en-1-ylidene] benzohydrazide (Inh-27) was tested in 0.5 M HCl on the corrosion of 6061Al-15%(v) SiC(P) (Shetty et al. 2020). The experimental measurement was performed by following PDP and EIS methods. Inh-27 followed mixed adsorption with predominant chemisorption and Langmuir adsorption model. PDP study revealed the mixed-type inhibitor behaviour of Inh-27. Inhibiting power of Inh-27 increased by increasing its concentration and decreasing the medium temperature. Inh-27 evinced good IE of 85.7% (by PDP) and 83.1per cent (by EIS), respectively, at its additive concentration of 1 × 10−3 M and 30 °C temperature. The existence of polar group (-OH), heteroatoms (N, O), and aromatic rings in Inh-27 (Figure 24) could have provided multiple active centres for interaction with the surface metal. The protective barrier of Inh-26 molecules formed at the composite was substantiated by the inhibited specimen’s SEM, EDX, and AFM studies. The experimental findings were validated by theoretical studies’ outcomes focused on Density Functional Theory (DFT). Authors claimed that the protonated Inh-27 produced in the acid medium might be responsible for physisorption. Both the neutral and protonated Inh-27 were subjected to a DFT study. As per the Mullikan results, oxygen of –OH groups and N atoms in Inh-27 exhibited higher negative charges, and hence these atoms act as the active centres of adsorption. The lower ∆E value of the protonated Inh-27 molecule than that of the neutral molecule indicates the better inhibition activity of the former. This view is also supported by the lower chemical hardness and higher softness value of protonated inhibitor.

Figure 24: 
						Structure of 4-hydroxy-N′-[3-phenylprop-2-en-1-ylidene] benzohydrazide (Inh-27).
Figure 24:

Structure of 4-hydroxy-N′-[3-phenylprop-2-en-1-ylidene] benzohydrazide (Inh-27).

5.2 In sulphuric acid media

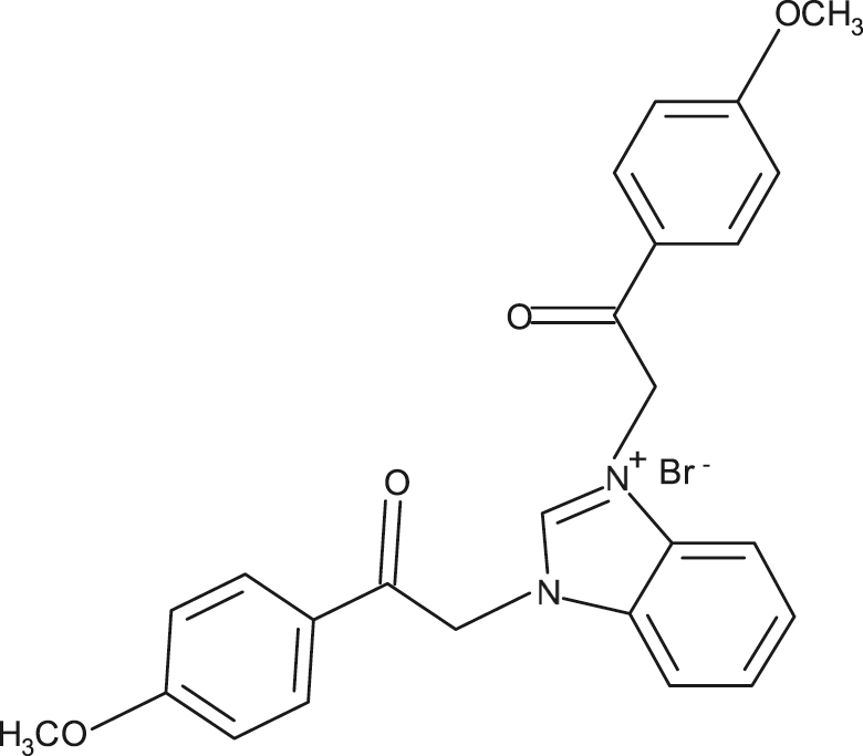
Inhibition behaviour of 1,3-bis(2-oxo-2-phenylethyl)-1H-imidazol-3-ium bromide (Inh-28) in 0.1 M H2SO4 on the 6061Al-15 vol pct. SiC(p) corrosion has been investigated by following the techniques of EIS and PDP (Shetty and Shetty 2015). The results showed that IE improved on increasing the inhibitor concentration and medium temperature. Thermodynamic parameters revealed the inhibitor’s mixed-type behaviour with predominant cathodic control. Inh-28 showed mixed adsorption behaviour with predominant chemisorption following the Temkin isotherm model. The maximum IE obtained was 96.7% (by PDP) and 94% (by EIS), respectively, at 10 mM of Inh-26 concentration and 50 °C. The active sites in the Inh-28, such as heteroatoms, and aromatic rings (Figure 25), could interact with Al atoms at the composite surface. The inhibited specimen’s SEM pictures displayed a smoother surface, revealing defensive film development by Inh-28 molecules on the composite surface compared with the corroded specimen. An EDX report further endorsed this view.

Figure 25: 
						Structure of 1, 3-bis(2-oxo-2-phenylethyl)-1H-imidazol-3-ium bromide (Inh-28).
Figure 25:

Structure of 1, 3-bis(2-oxo-2-phenylethyl)-1H-imidazol-3-ium bromide (Inh-28).

5.3 In the mixture of sulphuric acid and hydrochloric acid media

Pinto et al. (2011) tested the corrosion inhibition activity of 4-(N, N-dimethylamino) benzaldehyde thiosemicarbazone (Inh-29) in a varying mixture of HCl and H2SO4 solution on the composite, 6061Al–15 vol pct. SiC(p), using PDP and EIS methods. Inh-28 showed mixed inhibitor behaviour. Inhibition activity of Inh-29 improved by increasing its concentration while decreasing the acid concentration and temperature. The IE (%) of 90 (by PDP) and 85.5 (by EIS) are shown in 2M HCl and 1M H2SO4 mixtures, respectively, at 1000 ppm concentrations of Inh-29 and 30 °C. The molecular structure (Figure 26) of Inh-29 contains heteroatoms (N, S), aromatic rings, and polar groups (–NH2, –N(CH3)2) as the active centres, which can interact with the surface metal. Inh-29’s adsorption on the composite surface occurred via physisorption, obeying the Freundlich adsorption model. The inhibited composite specimen’s SEM picture showed a smooth surface formed due to developing a defensive barrier by the inhibitor, as verified by the EDX test.

Figure 26: 
						Structure of 4-(N, N-dimethyl amino) benzaldehyde thiosemicarbazone (Inh-29).
Figure 26:

Structure of 4-(N, N-dimethyl amino) benzaldehyde thiosemicarbazone (Inh-29).

Corrosion inhibition activity of 1,3-bis[2-(4-methoxyphenyl)-2-oxoethyl]-1H-benzimidazol-3-ium bromide (Inh-30), has been evaluated on the composite, 6061Al-15 vol pct. SiC (P) in 0.1 M HCl and 0.1 M H2SO4 through EIS and PDP methods (Shetty and Shetty 2016). Inh-30 underwent mixed adsorption, mainly with chemisorption, following the isotherm model of Langmuir. The IE of 97.6% (EIS) and 98.3% (PDP) in 0.1M HCl, while 98.7 (EIS) and 98.8% (PDP) are obtained at 0.5 mM of Inh-30 and 40 °C. Polarization results revealed the mixed type inhibitor behaviour of Inh-30 in both the acid medium with main control over the cathodic reaction. SEM, EDX, and elemental mapping analysis results validated the experimental finding with visual and qualitative support. Its macro-molecular nature and donor atoms such as N and O in its molecular structure may have resulted in the increased adsorption of Inh-30. Three aromatic rings and two polar groups (–OCH3) in Inh-30 can act as active sites for stronger interaction with the surface metal (Figure 27).

Figure 27: 
						Structure of 1,3-bis[2-(4-methoxyphenyl)-2-oxoethyl]-1Hbenzimidazol-3-ium bromide (Inh-30).
Figure 27:

Structure of 1,3-bis[2-(4-methoxyphenyl)-2-oxoethyl]-1Hbenzimidazol-3-ium bromide (Inh-30).

5.4 In alkaline media

Kumari et al. (2014) investigated the influence of 4-amino-5-(4-nitrophenyl)-4H-1,2,4-triazole-3-thiol (Inh-31) on the corrosion of the composite, 6061Al-15 vol pct. SiC(p) in varying concentrations of NaOH solutions (0.05–0.5 M) at 30–45 °C. Experiments were conducted using PDP and EIS techniques. Improvement in IE was observed with the increase in Inh-31 concentration and decrease in medium temperature. Inh-31 showed a cathodic inhibitor behaviour and a maximum IE of 75.6% at 50 ppm and 30 °C temperature. The corrosion inhibition occurred by physisorption of Inh-31 molecules at the composite surface following the isotherm model of Langmuir. The decrease in Cdl values and increase in Rp values reveal Inh-31’s adsorption at the composite surface, controlling the corrosion rate. The presence of polar group (–NH2), heteroatoms and aromatic ring in the structure of Inh-31 (Figure 28) may be responsible for its inhibition performance. The electron-withdrawing substituent -NO2 might have reduced the inhibition performance of Inh-31 (Figure 28).

Figure 28: 
						Structure of 4-amino-5-(4-nitrophenyl)-4H-1,2,4-triazole-3-thiol (Inh-31).
Figure 28:

Structure of 4-amino-5-(4-nitrophenyl)-4H-1,2,4-triazole-3-thiol (Inh-31).

6 The mechanism of corrosion and its inhibition

6.1 In hydrochloric acid media

According to the literature (El-Awady et al. 1993), the deterioration of Al in the hydrochloric acid medium follows a general mechanism. On this basis, the anodic reaction is as indicated below:

(1)Al+ClAlClads
(2)AlClads+ClAlCl2++3e

The cathode reaction involves the evaluation of hydrogen gas as per the steps:

(3)H++eHads
(4)Hads+HadsH2

Based on the above corrosion reactions, one can predict a suitable inhibition mechanism for AA6061alloy/AA6061-SiC composite corrosion in the HCl medium. Generally, organic inhibitors adsorb on the alloy/composite through physisorption, chemisorption, or mixed adsorption. They can easily undergo protonation in an acidic medium. An electrostatic attraction can take place between the protonated inhibitor (Inh-Hx)x+ and AlClads species, which can prevent AlClads from oxidizing to AlCl2+ (Eq. (2)). The protonated inhibitor molecules can readily adsorb at the cathodic sites in preference to hydrogen ions. Electrostatic attraction of the charged inhibitor species (like protonated species) towards the oppositely charged alloy/composite surface can lead to physisorption (Figure 29). Chemisorption can occur by interacting electron-pairs of hetero-atoms and π-bonds of benzene rings in an inhibitor with Al atoms at the surface (Al-Turkustani et al. 2010; Hackerman et al. 1966).

Figure 29: 
						Mechanism of corrosion inhibition in HCl medium.
Figure 29:

Mechanism of corrosion inhibition in HCl medium.

6.2 In sulphuric acid media

In the presence of diluted sulphuric acid, the protective oxide film can partially dissolve because of the interaction between the hydrated film of Al2O3 and bisulphate ions producing Al2(SO4)3(H2O)n complex (Equations (5) and (6)) (Arellanes-Lozada et al. 2014). Since this complex is readily soluble in the aqueous medium, it can gradually be removed from the metal surface, exposing new sites for further interaction with SO42− or HSO4 ions.

(5)4Al+nH2O+3O22Al2O3(H2O)n
(6)Al2O3(H2O)n+3HSO4+3H+Al2(SO4)3(H2O)n+3H2O

The presence of an inhibitor (Inh) can change the anodic reactions. Al2[(SO4)3(H2O)n complex on the composite surface can also adsorb HSO4/SO42− ions from the medium and subsequently attract the protonated inhibitor (Inh-Hx)x+ (Figure 30). It results in physisorption. The electron-pair interaction of heteroatoms in the inhibitor molecules may lead to chemisorption (Figure 30).

Figure 30: 
						Mechanism of corrosion inhibition in sulphuric acid medium.
Figure 30:

Mechanism of corrosion inhibition in sulphuric acid medium.

6.3 In sodium hydroxide media

Pyun and Moon (2000) described that the dissolution of aluminium in an alkaline medium takes place first by the formation of a hydroxide film as a result of the migration of OH ions through the surface oxide layer (Eq. (7)) and then its disintegrates.

(7)Al+3OHAl(OH)3+3e

The hydroxide ions attack the aluminium hydroxide layer, causing it to disintegrate chemically and form soluble aluminate ions (Eq. (8)).

(8)Al(OH)3+OHAl(OH)4

The sum of Eqs. (7) and (8) represent the partial anodic dissolution reaction (Eq. (9)) for aluminium in an alkaline medium.

(9)Al+4OHAl(OH)4+3e

Similarly, the partial cathodic reactions may be the reduction of oxygen and/or water, as indicated by Eqs. (10) and (11), respectively.

(10)3/4O2+3/2H2O+3e3OH
(11)3H2O+3e3/2H2+3OH

The net corrosion reaction can be represented as the sum of Eqs. (9) and (10):

(12)Al+OH+3/4O2+3/2H2OAl(OH)4

and/or by the sum of Eqs. (9) and (11):

(13)Al+3H2O+OH3/2H2+Al(OH)4

In the case of Inh-10 and Inh-11, the authors (Kumari et al. 2011a,b) have assumed that inhibition occurs through the preferential adsorption of high charge density inhibitor anions in competition with OH ions at the anodic sites (Figure 31). In addition, inhibitor molecules can replace the previously adsorbed water molecules on the alloy/composite, controlling the evolution of hydrogen at the cathodic sites (Figure 31).

Figure 31: 
						Mechanism of corrosion inhibition in sodium hydroxide medium.
Figure 31:

Mechanism of corrosion inhibition in sodium hydroxide medium.

6.4 In chloride media

Aluminium undergoes pitting corrosion in a 3.5% NaCl medium (Seawater), resulting in the depletion of the oxide layer. The passive film adsorbs the chloride ions. Then, in the oxide lattice, the adsorbed chloride ions can react with Al3+ion, which results in the formation of oxychloride complexes, Al(OH)2Cl2, as shown in Eq. (16) (Pavithra et al. 2015a; Sherif 2011). The oxychloride complex decreases the oxide film stability and intensifies the aluminium dissolution rate.

(14)AlAl3++3e
(15)Al3++4ClAlCl4

or

(16)Al3++2Cl+2OHAl(OH)2Cl2

Several researchers explained the mechanism of pitting corrosion in Al in different ways (Foley and Nguyen 1982; Hunkeler et al. 1987; Sato 1995; Szklarska-Smialowska 1999). Some authors indicated that AlCl4 formed within the pits diffuse into the bulk solution and contributes to corrosion by pitting (Equations (14) and (15)). However, other researchers emphasize that in the oxide lattice, the adsorbed Cl ions can react with Al3+ ions forming Al(OH)2Cl2 complex (Eq. (16)). The complex so formed decreases the stability of oxide film and increases the deterioration of alloy. The protonated inhibitor can interact with oppositely charged metal surfaces resulting in physisorption (Figure 32).

Figure 32: 
						Mechanism of corrosion inhibition in sodium chloride medium.
Figure 32:

Mechanism of corrosion inhibition in sodium chloride medium.

On the other hand, the added inhibitor can adsorb on the alloy surface via its active sites and prevent the formation of Al(OH)2Cl2 on the oxide film. Consequently, the inhibitor reduces the chloride ion aggressiveness and protects the alloy from undergoing pitting corrosion. The inhibitor can also adsorb on the alloy through the donor-acceptor type interaction of heteroatoms and π-bonds of benzene rings with the empty d-orbital of Al atoms at the alloy surface. As a result, the inhibitor can adsorb on alloy surface via these active sites, preventing the formation of oxychloride complexes and inhibiting metal dissolution reactions.

7 Conclusions

This review paper summarised the applications of different organic and inorganic compounds showing potential inhibition activity against the corrosion of AA6061 and AA6061-SiC composite in aggressive media like hydrochloric acid, sulphuric acid, sodium hydroxide, seawater. The Schiff bases, biopolymers, drugs, thiazoles, triazoles, amino acid derivatives, thiosemicarbazones and benzoates are the reported organic inhibitors. Meta bisulphites and molybdates are the reported inorganic inhibitors. The experimental works are performed using WL, PDP, and EIS techniques. The majority of the inhibitors exhibited mixed-type behaviour. Inhibition of corrosion of AA6061 and its composite with SiC occurred through physisorption, chemisorption, or both. The reported inhibitor compounds resulted in a stable film at the alloy/composite surface. Most researchers performed surface morphology studies of the inhabited and corroded samples using SEM, EDX, AFM, or FTIR to confirm the adsorption of the inhibitor molecules. The possible correlation of the inhibition performance with the chemical structure of inhibitor molecules was discussed. Inhibitors with electron-donating groups, heteroatoms (N, O, S), and π-electron systems (such as aromatic rings) have exhibited good inhibition efficiency. Some researchers confirmed their experimental results through theoretical studies using Density functional theory (DFT). The corrosion mechanism for AA6061 alloy and its composite with SiC were discussed with the possible inhibition process.

Abbreviations

Gads

Standard free energy of adsorption

AFM

Atomic force microscopy

CA

Chronoamperometry

DFT

Density functional theory

EDX

Energy-dispersive X-ray

EIS

Electrochemical impedance spectroscopy

IE

Inhibition efficiency

Inh

Inhibitor

[Inh-Hx]x+

Protonated inhibitor

MMC

Metal matrix composite

PDP

Potentiodynamic polarisation

SEM

Scanning electron microscopy

WL

Weight loss

XPS

X-ray photoelectrons

XRD

X-ray diffraction analysis


Corresponding author: Prakasha Shetty, Department of Chemistry, Manipal Institute of Technology, Manipal Academy of Higher Education, Manipal576104, Karnataka, India, E-mail:

About the author

Prakasha Shetty

Prakasha Shetty (M.Sc., Ph.D.) is working as a professor at the Department of Chemistry, Manipal Institute of Technology, MAHE, Manipal, Karnataka, India. His major areas of research interest are corrosion inhibitors, thermoelectric materials, fluorescence materials, security ink, dye-sensitized photovoltaic cells, and packaging materials. He has guided seven Ph.D. thesis and 15 M.Tech./M.Sc. theses. Presently he is guiding six Ph.D. students. He has published over 125 papers, including six review papers in Scopus indexed journals. He has presented many research papers at international conferences held in countries like Malaysia, Thailand, Canada, UK, USA, Australia, and South Africa.

  1. Author contributions: The author has accepted responsibility for the entire content of this submitted manuscript and approved submission.

  2. Research funding: This research did not receive any specific grant from funding agencies in the public, commercial, or not-for-profit sectors.

  3. Conflicts of interest: The author declares that he has no conflicts of interest regarding this article.

References

Al-Turkustani, A.M., Arab, S.T., and Al-Dahiri, R.H. (2010). Aloe plant extract environmentally friendly inhibitor on the corrosion of aluminium in hydrochloric acid in absence and presence of iodide ions. Mod. Appl. Sci. 495: 105–124.10.5539/mas.v4n5p105Search in Google Scholar

Arellanes-Lozada, P., Olivares-Xometl, O., Guzmán-Lucero, D., Likhanova, N.V., Domínguez-Aguilar, M.A., Lijanova, I.V., and Arce-Estrada, E. (2014). The inhibition of aluminium corrosion in sulfuric acid by poly(1-vinyl-3-alkyl-imidazolium hexafluoro phosphate). Materials 7: 5711–5734, https://doi.org/10.3390/ma7085711.Search in Google Scholar PubMed PubMed Central

Bobic, B., Mitrovic, S., Bobic, M., and Bobic, I. (2010a). Corrosion of metal-matrix composites with aluminium alloy substrate. Tribol. Ind. 32: 3–11.Search in Google Scholar

Bobic, B., Mitrovic, S., Babic, M., and Bobic, I. (2010b). Corrosion of metal-matrix composites with aluminium alloy substrate. McGraw-Hill, New York.Search in Google Scholar

Charitha, B.P. and Rao, P. (2015). Eco friendly biopolymer as green inhibitor for corrosion control of 6061-aluminium alloy in hydrochloric acid medium. Int. J. ChemTech Res. 8: 330–342.Search in Google Scholar

Charitha, B.P. and Rao, P. (2016). Protection of 6061 Al-15%(v) SiC(P) composite from corrosion by a biopolymer and surface morphology studies. Protect. Met. Phys. Chem. Surface 52: 704–713.10.1134/S2070205116040079Search in Google Scholar

Charitha, B.P. and Rao, P. (2017a). Starch as an ecofriendly green inhibitor for corrosion control of 6061-Al alloy. J. Mater. Environ. Sci. 8: 78–89.Search in Google Scholar

Charitha, B.P. and Rao, P. (2017b). Electrochemical and adsorption studies for the corrosion control of 6061 Al alloy using eco-friendly inhibitor. Surf. Eng. Appl. Electrochem. 53: 551–559, https://doi.org/10.3103/s1068375517060035.Search in Google Scholar

Charitha, B.P. and Rao, P. (2017c). An ecofriendly approach for corrosion control of 6061 Al-15%(v) SiC(P) composite and its base alloy. Chin. J. Chem. Eng. 25: 363–372.10.1016/j.cjche.2016.08.007Search in Google Scholar

Charitha, B.P. and Rao, P. (2018a). Pullulan as a potent green inhibitor for corrosion mitigation of aluminium composite: electrochemical and surface studies. Int. J. Biol. Macromol. 112: 461–472, https://doi.org/10.1016/j.ijbiomac.2018.01.218.Search in Google Scholar PubMed

Charitha, B.P. and Rao, P. (2018b). Environmentally benign green inhibitor to attenuate acid corrosion of 6061aluminum-15%(v) SiC(P) composite. J. Ind. Eng. Chem. 58: 357–368.10.1016/j.jiec.2017.09.049Search in Google Scholar

Charitha, B.P. and Rao, P. (2020). Pectin as a potential green inhibitor for corrosion control of 6061Al–15%(V) SiC(P) composite in acid medium: electrochemical and surface studies. J. Fail. Anal. Prev. 20: 1684–1696.10.1007/s11668-020-00973-zSearch in Google Scholar

Daniel, D. (2014). Composite materials: design and applications, 3rd ed. NY: CRC Press.Search in Google Scholar

Davis, J.R. (1999). Corrosion of aluminium and aluminium alloys, 1st ed. OH: ASM International, Materials Park.10.31399/asm.tb.caaa.9781627082990Search in Google Scholar

El-Awady, A.A., Abd-El-Nabey, B.A., and Aziz, S.G. (1993). Thermodynamic and kinetic factors in chloride ion pitting and nitrogen donor ligand inhibition of aluminium metal corrosion in aggressive acid media. J. Chem. Soc. Faraday. Trans. 89: 795–802, https://doi.org/10.1039/ft9938900795.Search in Google Scholar

Esquivel, J. and Gupta, R.K. (2017). Corrosion behavior and hardness of Al–M (M: Mo, Si, Ti, Cr) alloys. Acta Metall. Sin. (Engl. Lett.) 30: 333–341, https://doi.org/10.1007/s40195-017-0550-2.Search in Google Scholar

Fan, J. and Njuguna, J. (2016). An introduction to lightweight composite materials and their use in transport structures. In: Njuguna, J. (Ed.), Lightweight composite structures in transport-design, manufacturing, analysis and performance. Woodhead Publishing, Elsevier Ltd, UK, pp. 3–34.10.1016/B978-1-78242-325-6.00001-3Search in Google Scholar

Fakrudeen, S.P., Anand Murthy, H.C., and Bheema Raju, V. (2012). Corrosion inhibition of AA6061 alloy in hydrochloric acid media by Schiff base compounds. J. Chil. Chem. Soc. 57: 1364–1371, https://doi.org/10.4067/s0717-97072012000400007.Search in Google Scholar

Fakrudeen, S.P. and Raju, V.B. (2013). Electrochemical behaviour of AA6061 alloy in 1M hydrochloric acid using Schiff base compounds as corrosion inhibitors. J. Mater. Environ. Sci. 4: 326–337.Search in Google Scholar

Foley, R.T. and Nguyen, T.H. (1982). The chemical nature of aluminium corrosion: V. Energy transfer in aluminium dissolution. J. Electrochem. Soc. 129: 464–467, https://doi.org/10.1149/1.2123881.Search in Google Scholar

Foltz, J.W. (1999). Properties and selection: nonferrous alloys and special purpose materials. In: Davis, J.W. (Ed.), Metal-matrix composites, Vol. 2. ASM International, Materials Park, OH, pp. 903–912.10.31399/asm.hb.v02.a0001101Search in Google Scholar

Hackerman, N., Jr Snavely, E.S., and Jr Payne, J.S. (1966). Effect of anions on corrosion inhibition by organic compounds. J. Electrochem. Soc. 113: 671–686, https://doi.org/10.1149/1.2424089.Search in Google Scholar

Hihara, L.H. (2005). Corrosion: materials. In: Cramer, S.D. and Covino, B.S.Jr. (Eds.), Corrosion of metal-matrix composites, Vol. 13B. ASM International, Materials Park, OH, pp. 526–542.10.31399/asm.hb.v13b.a0003839Search in Google Scholar

Hou, B., Li, X., Ma, X., Du, C., Zhang, D., Zheng, M., Xu, W., Lu, D., and Ma, F. (2017). The cost of corrosion in China. npj Mater. Degrad. 1: 1–10, https://doi.org/10.1038/s41529-017-0005-2.Search in Google Scholar

Hunkeler, F., Frankel, G.S., and Bohni, H. (1987). Technical note: on the mechanism of localized corrosion. Corrosion (NACE) 43: 89–191, https://doi.org/10.5006/1.3583134.Search in Google Scholar

Kini, U.A., Shetty, P., Shetty, S.D., Isloor, A.M., and Herle, R. (2010). The inhibition action of ethyl-2-phenyl hydrozono-3-oxobutyrate on the corrosion of 6061 Al alloy/SiCp composite in hydrochloric acid medium. J. Chil. Chem. Soc. 55: 56–60, https://doi.org/10.4067/s0717-97072010000100014.Search in Google Scholar

Kini, U.A., Shetty, P., Shetty, S.D., and Isloor, A.M. (2011a). Corrosion inhibition of Al6061- SiCp composite in 0.5 M hydrochloric acid. In: IPCBEE, Vol. 10. IACSIT Press, Singapore, pp. 127–132.Search in Google Scholar

Kini, U.A., Shetty, P., Shetty, S.D., and Isloor, A.M. (2011b). Corrosion inhibition of 6061 aluminium alloy/SiCp composite in hydrochloric acid medium using 3-chloro-1-benzothiophene-2-carbohydrazide. Indian J. Chem. Technol. 18: 439–445.10.1109/ICMET.2010.5598494Search in Google Scholar

Kini, U.A., Shetty, P., Shetty, S.D., Isloor, A.M., and Herle, R. (2012). Propanol (1Z)-N-(2,6-dimethyl phenyl)-2-oxopropanehydrazonoate as inhibitor for corrosion of 6061 Al alloy-15%(v)SiC(p) composite in hydrochloric acid media. IIUM Eng. J. 13: 121–129.10.31436/iiumej.v13i2.146Search in Google Scholar

Koch, G., Vamey, J., Thompson, N., Moghissi, O., Gould, M., and Payer, J. (2016). International measures of prevention, application, and economics of corrosion technologies study. ACE International, Houston, TX.Search in Google Scholar

Kumari, P.D.R., Nayak, J., and Shetty, A.N. (2011a). 3-ethyl-4-amino-5-mercapto-1,2,4-triazole as corrosion inhibitor for 6061-alloy in sodium hydroxide solution. Port. Electrochim. Acta 29: 445–462, https://doi.org/10.4152/pea.201106445.Search in Google Scholar

Kumari, P.D.R., Nayak, J., and Shetty, A.N. (2011b). 3-Methyl-4-amino-5-mercapto-1,2,4-triazole as corrosion inhibitor for 6061 Al alloy in 0.5 M sodium hydroxide solution. J. Coating Technol. Res. 8: 685–695, https://doi.org/10.1007/s11998-011-9341-2.Search in Google Scholar

Kumari, P.D.R., Nayak, J., and Shetty, A.N. (2014). Corrosion inhibition of 6061 Al-15 vol. pct. SiC(p) composite in sodium hydroxide solution by 4-amino-5-(4-nitrophenyl)-4H-1,2,4-triazole-3-thiol. Procedia Mater. Sci. 5: 181–187, https://doi.org/10.1016/j.mspro.2014.07.256.Search in Google Scholar

Kumari, P.P., Shetty, P., Nagalaxmi, and Dhanya, S. (2020). Effect of cysteine as environmentally friendly inhibitor on AA6061-T6 corrosion in 0.5 M HCl: electrochemical and surface studies. Surf. Eng. Appl. Electrochem. 56: 624–634.10.3103/S1068375520050087Search in Google Scholar

Nagalaxmi, Shetty, P., and Kumari, P.P. (2020). Inhibitive action of glutathione reduced on the deterioration of AA6061 in 0.5M HCl. Tribol. Ind. 42: 214–224, https://doi.org/10.24874/ti.785.10.19.02.Search in Google Scholar

Nayak, J. and Hebbar, K.R. (2008). Corrosion inhibition of T-6 treated 6061 Al–SiC(p) composite in hydrochloric acid. Trans. Indian Inst. Met. 61: 221–224, https://doi.org/10.1007/s12666-008-0006-5.Search in Google Scholar

Pardo, A., Merino, M.C., Lopez, M.D., Viejo, F., Carboneras, M., and Merino, S. (2003). Influence of reinforcement grade and matrix composition on corrosion resistance of cast aluminium matrix composites (A3xx.x/SiC(p)) in a humid environment. Mater. Corros. 54: 311–317, https://doi.org/10.1002/maco.200390070.Search in Google Scholar

Prasad, S.V. and Asthana, R. (2004). Aluminium metal-matrix composites for automotive applications: tribological considerations. Tribol. Lett. 17: 445–453, https://doi.org/10.1023/b:tril.0000044492.91991.f3.10.1023/B:TRIL.0000044492.91991.f3Search in Google Scholar

Pinto, G.M., Nayak, J., and Shetty, A.N. (2011). Corrosion inhibition of 6061 Al–15 vol. pct. SiC(p) composite and its base alloy in a mixture of sulphuric acid and hydrochloric acid by 4-(N, N-dimethyl amino) benzaldehyde thiosemicarbazone. Mater. Chem. Phys. 125: 628–640, https://doi.org/10.1016/j.matchemphys.2010.10.006.Search in Google Scholar

Pavithra, M.K., Venkatesha, T.V., Kumar, P.M.K., and Rao, N.S.A. (2015a). Outstanding inhibitive effect of colchicine on aluminium alloy 6061 corrosion. J. Electrochem. Sci. Eng. 5: 197–208, https://doi.org/10.5599/jese.185.Search in Google Scholar

Pavithra, M.K., Venkatesha, T.V., Kumar, P.M.K., and Rao, N.S.A. (2015b). Substantial enhancement in the anticorrosivity of aluminium alloy 6061 by doxycycline hydrochloride drug. J. Electrochem. Sci. Eng. 5: 115–127, https://doi.org/10.5599/jese.181.Search in Google Scholar

Pyun, S.I. and Moon, S.M. (2000). Corrosion mechanism of pure aluminium in aqueous alkaline solution. J. Solid State Electrochem. 4: 267–272, https://doi.org/10.1007/s100080050203.Search in Google Scholar

Raviprabha, K. and Bhat, R.S. (2019a). Inhibition effects of ethyl-2-amino-4-methyl-1,3-thiazole-5-carboxylate on the corrosion of AA6061 alloy in hydrochloric acid media. J. Fail. Anal. Prev. 19: 1464–1474, https://doi.org/10.1007/s11668-019-00744-5.Search in Google Scholar

Raviprabha, K. and Bhat, R.S. (2019b). 5-(3-pryridyl)-4H-1,2,4-triazole-3-thiol as potential corrosion inhibitor for AA6061 aluminium alloy in 0.1 M hydrochloric acid solution. Surf. Eng. Appl. Electrochem. 55: 723–733, https://doi.org/10.3103/s1068375519060103.Search in Google Scholar

Revie, R.W. and Uhlig, H.H. (2008). Corrosion and corrosion control – an introduction to corrosion science and engineering, 4th ed. New Jersey: John Wiley & Sons.10.1002/9780470277270Search in Google Scholar

Rohatgi, P.K., Xiang, C., and Gupta, N. (2018). Aqueous corrosion of metal matrix composites. In: Beaumont, P.W.R. and Zweben, C.H. (Eds.), Comprehensive composite materials II, 4. NYU Scholars, Elsevier, USA, pp. 287–312.10.1016/B978-0-12-803581-8.09985-9Search in Google Scholar

Rozenfeld, I.L. (1981). Corrosion inhibitors. McGraw-Hill Inc., New York.Search in Google Scholar

Rosliza, R. and Wan Nik, W.B. (2010). Improvement of corrosion resistance of AA6061 alloy by tapioca starch in seawater. Curr. Appl. Phys. 10: 221–229, https://doi.org/10.1016/j.cap.2009.05.027.Search in Google Scholar

Rosliza, R., Senin, H.B., and Wan Nik, W.B. (2008). Electrochemical properties and corrosion inhibition of AA6061 in tropical seawater. Colloids Surf. A 312: 185–189, https://doi.org/10.1016/j.colsurfa.2007.06.061.Search in Google Scholar

Rosliza, R., Noraaini, A., and Wan Nik, W.B. (2010). Study on the effect of vanillin on the corrosion inhibition of aluminium alloy. J. Appl. Electrochem. 40: 833–840, https://doi.org/10.1007/s10800-009-0066-1.Search in Google Scholar

Sato, N. (1995). The stability of localized corrosion. Corrosion Sci. 37: 1947–1967, https://doi.org/10.1016/0010-938x(95)00076-v.Search in Google Scholar

Sherif, E.-S.M. (2011). Corrosion and corrosion inhibition of aluminium in Arabian Gulf seawater and sodium chloride solutions by 3-amino-5-mercapto-1,2,4-triazole. Int. J. Electrochem. Sci. 6: 1479–1492.10.1016/S1452-3981(23)15087-5Search in Google Scholar

Shetty, P. (2020). Schiff bases: an overview of their corrosion inhibition activity in acid media against mild steel. Chem. Eng. Commun. 207: 985–1029, https://doi.org/10.1080/00986445.2019.1630387.Search in Google Scholar

Shetty, S.K. and Shetty, A.N. (2015). Ionic liquid as an effective corrosion inhibitor on 6061 Al-15vol. pct. SiC(p) composite in 0.1 M H2SO4 medium – an ecofriendly approach. Can. Chem. Trans. 3: 41–64.10.13179/canchemtrans.2015.03.01.0160Search in Google Scholar

Shetty, S.K. and Shetty, A.N. (2016). Eco-friendly benzimidazolium based ionic liquid as a corrosion inhibitor for aluminium alloy composite in acidic media. J. Mol. Liq. 225: 426–438.10.1016/j.molliq.2016.11.037Search in Google Scholar

Shetty, D., Kumari, P.P., Rao, S.A., and Shetty, P. (2020). Anticorrosion behaviour of a hydrazide derivative on 6061 Al-15%(v) SiC(P) composite in acid medium: experimental and theoretical calculations. J. Bio- Tribo-Corros. 59: 1–15.10.1007/s40735-020-00356-9Search in Google Scholar

Szklarska-Smialowska, Z. (1999). Pitting corrosion of aluminium. Corrosion Sci. 41: 1743–1767, https://doi.org/10.1016/s0010-938x(99)00012-8.Search in Google Scholar

Xiaohong, W., Huang, A., Dongquan, L., Mohd, T., Hao, L., and Yuanhua, L. (2020). Imidazolium-based ionic liquid as efficient corrosion inhibitor for AA 6061 alloy in HCl solution. Materials 13: 4672.10.3390/ma13204672Search in Google Scholar PubMed PubMed Central

Yaqing, X., Shuisheng, X., Jingan, L., and Tao, W. (2005). Practical directory of aluminium alloys technology. Metallurgical Industry Press, Beijing, China.Search in Google Scholar

Zaid, B., Maddache, N., Saidi, D., Souami, N., Bacha, N., and Si Ahmed, A. (2015). Electrochemical evaluation of sodium metabisulfite as environmentally friendly inhibitor for corrosion of aluminium alloy 6061 in a chloride solution. J. Alloys Compd. 629: 188–196, https://doi.org/10.1016/j.jallcom.2015.01.003.Search in Google Scholar

Zhang, D.Q., Jin, X., Xie, B., Joo, H.G., Gao, L.X., and Lee, K.Y. (2012). Corrosion inhibition of ammonium molybdate for AA6061 alloy in NaCl solution and its synergistic effect with calcium gluconate. Surf. Interface Anal. 44: 78–83, https://doi.org/10.1002/sia.3774.Search in Google Scholar

Received: 2021-10-11
Accepted: 2022-06-18
Published Online: 2022-08-19
Published in Print: 2022-12-16

© 2022 Walter de Gruyter GmbH, Berlin/Boston

Downloaded on 28.12.2025 from https://www.degruyterbrill.com/document/doi/10.1515/corrrev-2021-0084/html
Scroll to top button