Abstract
This paper introduces health effects in an endogenous growth model with environmental concerns. To highlight the importance of health effects, we examine the time allocation of households in regard to leisure, labor, and health care, which play a crucial role in affecting the impacts of public abatement and emission taxation. We not only show that the health effect modifies the conventional consequences of environmental policy, but also thoroughly compare the effectiveness of these two distinct environmental policies. We also conduct transition and welfare analyses in a dynamic optimizing model which offers novel policy implications, given that the literature on health effects is silent on these issues.
Acknowledgments
We would like to thank Managing Editor Arpad Abraham and two anonymous referees for their helpful suggestions and insightful comments on an earlier version of this paper. We would also like to express gratitude for the financial support provided by the National Science Council, Taiwan. Shieh and Chen would like to express their appreciation for the financial support provided by the Thematic Research Program-Sustainability Science, (Grant / Award Number: ‘AS-102-SS-A15’) Academia Sinica, Taiwan. Any remaining errors are, of course, our own responsibility.
Appendix
The Exact Derivatives of (13)
The Proof of Proposition 1
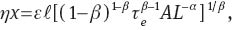
We first prove the existence and uniqueness of the BGP equilibrium. From (15), we obtain: S*=g((1–β)/φτe)/δS>0. Substituting S* into (14) with
By applying the fixed point theorem, the above equation tells us that since Lx=–1/Ωx<0, we must have a unique x*, which satisfies the BGP equilibrium.
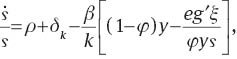
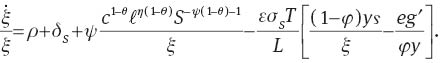
The transitional dynamics of the system can be expressed by means of a phase diagram. It is clear from (13)–(15), that the slopes of loci
implying that the
This indicates that the dynamic system exhibits a saddle-path stability in which one root is stable and the other is unstable. Since there is a jump variable x in this dynamic system, the dynamic system will display a unique perfect-foresight equilibrium. Specifically, we can further obtain the general solution for (xt, St):

The Comparative Statics of (16a) and Proofs of Propositions 2 and 3
From (13) to (15) with
where Δ=δS[βθx*(ℓ*+L*)–εℓ*ϑ]/Θ<0, ϑ=(1–θ)δk+ρ and Φ=(1–β)g′. On the other hand, the comparative statics concerning public abatement are given by:
If the household’s time allocation is exogenously fixed (and the health effect is then absent), the impacts of emission taxation and public abatement are given by:
The Proof of Proposition 4
Let







By comparing (9a) with (A1) and (A2), we learn that λ=ς. As a result, utilizing (4a), (9c), (A2) and (A5) immediately leads to: φo=1–β>0. Moreover, substituting (4c), (A2)–(A6) into (A7) with
The Comparative Statics if Health Care is not only Time-Consuming but also Resource-Consuming
Given (6a) and (8a), the dynamic system can be summarized by the following four instantaneous relationships and two differentiating equations:






In the steady state,
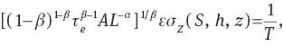
Using (7), (6a), (8a), (15), and (A8)–(A13) with Z=zk, w=ε{[(1–β)/τe]1–βAL–α}1/βk and y={[(1–β)/τe]1–βALε}1/βk, we can obtain the following comparative statics:
where
References
Aiyagari, S. R., J. C. Lawrence, and M. Eichenbaum. 1992. “The Output, Employment, and Interest Rate Effects of Government Consumption.” Journal of Monetary Economics 30: 73–86.10.1016/0304-3932(92)90045-4Suche in Google Scholar
Ballard, C. L., and S. G. Medema. 1993. “The Marginal Efficiency Effects of Taxes and Subsidies in the Presence of Externalities.” Journal of Public Economics 52: 199–216.10.1016/0047-2727(93)90020-TSuche in Google Scholar
Barro, R. J., and X. Sala-i-Martin. 2004. Economic Growth. 2nd ed. New York: McGraw-Hill.Suche in Google Scholar
Blanchard, O. J., and R. Perotti. 2002. “An Empirical Characterization of the Dynamic Effects of Changes in Government Spending and Taxes on Output.” Quarterly Journal of Economics 117: 1329–1368.10.1162/003355302320935043Suche in Google Scholar
Bloom, D., D. Canning, and J. Sevilla. 2001. Economic Growth and the Demographic Transition. NBER Working Papers 8685, National Bureau of Economic Research.10.3386/w8685Suche in Google Scholar
Bosi, S., and L. Ragot. 2013. “On the Optimal Control of Pollution in a Human Capital Growth Model.” Mathematical Economics Letters 1: 9–15.10.1515/mel-2013-0009Suche in Google Scholar
Bovenberg, A. L., and R. A. de Mooij. 1997. “Environmental Tax Reform and Endogenous Growth.” Journal of Public Economics 63: 207–237.10.1016/S0047-2727(96)01596-4Suche in Google Scholar
Bovenberg, A. L., and B. J. Heijdra. 2002. “Environmental Abatement and Intergenerational Distribution.” Environmental and Resource Economics 23: 45–84.10.1023/A:1020236812676Suche in Google Scholar
Bovenberg, A. L., and S. Smulders. 1996. “Transitional Impacts of Environmental Policy in an Endogenous Growth Model.” International Economic Review 37: 861–893.10.2307/2527315Suche in Google Scholar
Burtraw, D., A. Krupnick, E. Mansur, D. Austin, and D. Farrell. 1998. “The Costs and Benefits of Reducing Air Pollutants Related to Acid Rain.” Contemporary Economic Policy 16: 379–400.10.1111/j.1465-7287.1998.tb00527.xSuche in Google Scholar
Chang, J. J., J. H. Chen, J. Y. Shieh, and C. C. Lai. 2009. “Optimal Tax Policy, Market Imperfections, and Environmental Externalities in a Dynamic Optimizing Macro Model.” Journal of Public Economic Theory 11: 623–651.10.1111/j.1467-9779.2009.01423.xSuche in Google Scholar
Elbasha, E. H., and T. L. Roe. 1996. “On Endogenous Growth: The Implications of Environmental Externalities.” Journal of Environmental Economics and Management 31: 240–268.10.1006/jeem.1996.0043Suche in Google Scholar
Fatás, A., and I. Mihov. 2001. “The Effects of Fiscal Policy on Consumption and Employment: Theory and Evidence.” INSEAD, mimeo.Suche in Google Scholar
Grossman, M. 1972. “On the Concept of Health Capital and the Demand for Health.” Journal of Political Economy 80: 223–255.10.1086/259880Suche in Google Scholar
Gutiérrez, M. 2008. “Dynamic Inefficiency in an Overlapping Generation Economy with Pollution and Health Cost.” Journal of Public Economic Theory 10: 563–594.10.1111/j.1467-9779.2008.00377.xSuche in Google Scholar
Hansen, A. C., and H. K. Selte. 2000. “Air Pollution and Sick-leaves.” Environmental and Resource Economics 16: 31–50.10.1023/A:1008318004154Suche in Google Scholar
Hausmann, J. A., B. Ostro, and D. A. Wise. 1984. Air Pollution and Lost Work. NBER Working Papers 1263, National Bureau of Economic Research.10.3386/w1263Suche in Google Scholar
Hettich, F. 1998. “Growth Effects of a Revenue-neutral Environmental Tax Reform.” Journal of Economics 67: 287–316.10.1007/BF01234647Suche in Google Scholar
Howitt, P. 2005. “Health, Human Capital and Economic Growth: A Schumpeterian Perspective.” In Health and Economic Growth, edited by G. López-Casasnovas, B. Rivera, and L. Currais. MIT Press.Suche in Google Scholar
Huang, C. H., and D. Cai. 1994. “Constant Returns Endogenous Growth with Pollution Control.” Environmental and Resource Economics 4: 383–400.10.1007/BF00692231Suche in Google Scholar
Knowles, S., and D. P. Owen. 1995. “Health Capital and Cross-country Variation in Income per Capita in the Mankiw-Romer-Weil Model.” Economics Letters 48: 99–106.10.1016/0165-1765(94)00577-OSuche in Google Scholar
Krautkraemer, J. 1985. “Optimal Growth, Resource Amenities and the Preservation of Natural Environments.” Review of Economic Studies 52: 153–170.10.2307/2297476Suche in Google Scholar
Lucas, R. E. 1988. “On the Mechanics of Economic Development.” Journal of Monetary Economics 22: 3–42.10.1016/0304-3932(88)90168-7Suche in Google Scholar
Muller, N. Z., and R. Mendelsohn. 2007. “Measuring the Damages of Air Pollution in the United States.” Journal of Environmental Economics and Management 54: 1–14.10.1016/j.jeem.2006.12.002Suche in Google Scholar
Mushkin, S. J. 1962. “Health as an Investment.” Journal of Political Economy 70: S129–S157.10.1086/258730Suche in Google Scholar
Muysken, J., H. I. Yetkiner, and T. Ziesemer. 2003. “Health, Labour Productivity and Growth.” In Growth Theory and Growth Policy, edited by H. Hagemann and S. Seiter. London and New York: Routledge Press.Suche in Google Scholar
OECD. 2008. OECD Environmental Outlook to 2030. Organisation for Economic Co-operation and Development, Paris.Suche in Google Scholar
Ostro, B. 1983. “The Effects of Air Pollution on Work Loss and Morbidity.” Journal of Environmental Economics and Management 10: 371–382.10.1016/0095-0696(83)90006-2Suche in Google Scholar
Ostro, B. 1987. “Air Pollution and Morbidity Revisited: A Specification Test.” Journal of Environmental Economics and Management 14: 87–98.10.1016/0095-0696(87)90008-8Suche in Google Scholar
Ostro, B. 1994. Estimating the Health Effects of Air Pollutants: A Method with an Application to Jakarta. Policy Research Working Paper 1301, World Bank, Policy Research Department, Washington.Suche in Google Scholar
Ostro, B., and S. Rothschild. 1989. “Air Pollution and Acute Respiratory Morbidity: An Observation Study of Multiple Pollutants.” Environmental Research 50: 238–247.10.1016/S0013-9351(89)80004-0Suche in Google Scholar
Oueslati, W. 2002. “Environmental Policy in an Endogenous Growth Model with Human Capital and Endogenous Labor Supply.” Economic Modelling 19: 487–507.10.1016/S0264-9993(01)00074-8Suche in Google Scholar
Palivos, T., and D. Varvarigos. 2014. Pollution Abatement as a Source of Stabilisation and Long-run Growth. mimeo.Suche in Google Scholar
Pautrel, X. 2008. “Reconsidering the Impact of Pollution on Long-run Growth when Pollution Influences Health and Agents have a Finite-lifetime.” Environmental and Resource Economics 40: 37–52.10.1007/s10640-007-9139-ySuche in Google Scholar
Pautrel, X. 2009. “Pollution and Life Expectancy: How Environmental Policy Can Promote Growth.” Ecological Economics 68: 1040–1051.10.1016/j.ecolecon.2008.07.011Suche in Google Scholar
Raffin, N. 2012. “Children’s Environmental Health, Education and Economic Development.” Canadian Journal of Economics 45: 996–1022.10.1111/j.1540-5982.2012.01724.xSuche in Google Scholar
Ricci, F. 2007. “Channels of Transmission of Environmental Policy to Economic Growth: A Survey of the Theory.” Ecological Economics 60: 688–699.10.1016/j.ecolecon.2006.11.014Suche in Google Scholar
Romer, P. M. 1986. “Increasing Returns and Long-run Growth.” Journal of Political Economy 94: 1002–1037.10.1086/261420Suche in Google Scholar
Russell, L. B., Y. Ibuka, and K. G. Abraham. 2007. “Health-related Activities in the American Time Use Survey.” Medical care 45: 680–685.10.1097/MLR.0b013e3180455782Suche in Google Scholar
Schultz, T. W. 1961. “Investment in Human Capital.” American Economic Review 51: 1–17.Suche in Google Scholar
Schwartz, J., and R. Repetto. 2000. “Nonseparable Utility and the Double Dividend Debate: Considering the Tax-interaction Effect.” Environmental and Resource Economics 15: 149–157.10.1023/A:1008314717413Suche in Google Scholar
Strauss, J., and D. Thomas. 1998. “Health, Nutrition, and Economic Development.” Journal of Economic Literature 36: 766–817.Suche in Google Scholar
USEPA. 1996. “The Benefits and Costs of the Clean Air Act, 1970–1990.” United States Environmental Protection Agency.Suche in Google Scholar
van Ewijk, C., and S. van Wijnbergen. 1995. “Can Abatement Overcome the Conflict between the Environment and Economic Growth?” De Economist 143: 197–216.10.1007/BF01384535Suche in Google Scholar
van Zon, A. H., and J. Muysken. 2001. “Health, Education and Endogenous Growth.” Journal of Health Economics 20: 169–185.10.1016/S0167-6296(00)00072-2Suche in Google Scholar
WHO. 1983. Health Education in Self-care: Possibilities and Limitations. Report of Scientific Consultation. WHO: Geneva.Suche in Google Scholar
WHO. 1998. The Role of the Pharmacist in Self-care and Self-medication. Report of the 4th WHO Consultative Group on the Role of the Pharmacist. WHO: Geneva.Suche in Google Scholar
WHO. 2001. Macroeconomics and Health: Investing in Health for Economic Development. WHO: Geneva.Suche in Google Scholar
Williams, III R. C. 2003. “Health Effects and Optimal Environmental Taxes.” Journal of Public Economics 87: 323–335.10.1016/S0047-2727(01)00153-0Suche in Google Scholar
World Bank. 1993. World Development Report 1993: Investing in Health. New York: Oxford University Press.Suche in Google Scholar
Xepapadeas, A. 2005. “Economic Growth and the Environment.” In Handbook of Environmental Economics, edited by K. G. Mäler and J. R. Vincent, 1219–1271. Vol. 3. Amsterdam: Elsevier Publishers Press.10.1016/S1574-0099(05)03023-8Suche in Google Scholar
Zuidema, T., and A. Nentjes. 1997. “Health Damage of Air Pollution: An Estimate of a Dose-response Relationship for the Netherlands.” Environmental and Resource Economics 9: 291–308.10.1007/BF02441401Suche in Google Scholar
©2015 by De Gruyter
Artikel in diesem Heft
- Frontmatter
- Advances
- Consumption composition and macroeconomic dynamics
- Evaluating linear approximations in a two-country model with occasionally binding borrowing constraints
- Contributions
- The bank lending channel and monetary policy rules for Eurozone banks: further extensions
- Investment lags and macroeconomic dynamics
- The zero lower bound: frequency, duration, and numerical convergence
- What drives endogenous growth in the United States?
- Environmental policy and economic growth: the macroeconomic implications of the health effect
- US household deleveraging following the Great Recession – a model-based estimate of equilibrium debt
- Price-level instability and international monetary policy coordination
- Households forming macroeconomic expectations: inattentive behavior with social learning
- Topics
- Complementarity and transition to modern economic growth
- Trend inflation and monetary policy rules: determinacy analysis in New Keynesian model with capital accumulation
- Discussions
- Preface to “Reflections on Macroeconometric Modeling” by Ray C. Fair
- Reflections on macroeconometric modeling
Artikel in diesem Heft
- Frontmatter
- Advances
- Consumption composition and macroeconomic dynamics
- Evaluating linear approximations in a two-country model with occasionally binding borrowing constraints
- Contributions
- The bank lending channel and monetary policy rules for Eurozone banks: further extensions
- Investment lags and macroeconomic dynamics
- The zero lower bound: frequency, duration, and numerical convergence
- What drives endogenous growth in the United States?
- Environmental policy and economic growth: the macroeconomic implications of the health effect
- US household deleveraging following the Great Recession – a model-based estimate of equilibrium debt
- Price-level instability and international monetary policy coordination
- Households forming macroeconomic expectations: inattentive behavior with social learning
- Topics
- Complementarity and transition to modern economic growth
- Trend inflation and monetary policy rules: determinacy analysis in New Keynesian model with capital accumulation
- Discussions
- Preface to “Reflections on Macroeconometric Modeling” by Ray C. Fair
- Reflections on macroeconometric modeling