Abstract
What determines the choice of a particular lithic solution from among the set of knowledge and skills that are part of the cultural background of a group? The Early Mesolithic of the SW Iberian Peninsula shows a high diversity of lithic solutions considering the various aspects of the manufacturing process. At each site, the group selects the most adequate solution to respond efficiently to the needs. Contemporary sites may document quite different lithic components; there are no recurring patterns. Macrolithic and microlithic technologies were adopted, depending on the site, but the selection of one rather than another seems to be independent of the function of the site. Then, what does dictate the choice? A number of factors come to mind such as environmental contingencies, purpose, ability, and ethnicity. This Early Mesolithic defining trait diverges from the pattern observed for the final Upper Palaeolithic, where the same constellation of tools is systematically represented in the archaeological record, as well as flint, even in regions where flint as a natural resource is absent. Macrolithic technologies directed towards the massive production of cutting edges and heavy-duty tools produced from medium coarse-grained rocks co-exist, in SW Iberian Early Mesolithic, with microlithic technologies focused on the production of small bladelets made from good quality chert types and transformed into tiny armatures. Although contemporaneous, each lithic solution has its own geographical identity. How should we study these distinctive productions while at the same time respecting their diversity? No analytical template is sufficiently comprehensible to enable us to understand the multitude of “memories” that lithics carry. However, some approaches can help us to overcome the impasse by letting us read the hidden histories that lie behind lithic artefacts.
1 Introduction
The production of stone tools generally displays a distinctive signature that mirrors a chrono-cultural context, although many manufacturing methods, technical procedures and tool-types were recurrent throughout Prehistory. Specificities, similarities, standardization, recurrence, and equifinality are systematically used to characterize, differentiate, and relate contemporary lithic assemblages in order to recognize the culture behind the human gesture.
During the first few millennia of the Holocene, hunter-gatherer societies of SW Iberia adopted a particular and somewhat innovative behaviour regarding the production of stone tools and weapons (Araújo, 2015). In clear contrast to the norm recognized for the preceding period, Early Mesolithic hunter-gatherers (11500–8400 cal BP) have managed their technical system in order to gain time and to overcome natural constraints, particularly those related to raw-material quality and availability. This more flexible attitude, less committed to technical rules and precepts that characterizes the Upper Palaeolithic technological system, proved to be the most appropriate strategy considering the high level of itinerancy of Early Mesolithic groups.
To illustrate the diversity of Early Mesolithic lithic productions, three assemblages were selected from the set of sites known for SW Iberia, two of which were excavated by myself and therefore under my control in terms of the selected excavation methods, the adopted information recording, the underlying scientific issues, and the timings available to perform fieldwork and the subsequent analytical studies (e.g. Araújo & Almeida, 2013; Araújo, 2011).
The scientific approach adopted in the study of these lithic collections focused above all on the specificity of each site, bearing in mind the great diversity of manufacturing processes and tools that feature the Early Mesolithic of SW Iberia.
1.1 The Sample
Toledo, Areeiro 3, and Barca do Xerez de Baixo (Figure 1) are the Early Mesolithic sites whose lithic assemblages were used to illustrate the technological diversity observed during this period (Araújo, 2016). Each site can be considered as an archetype of the same way of life that accepts different solutions and the implementation of distinct competences according to the demands of the groups and the contingencies of the surrounding environments.

The locations of Toledo, Areeiro 3, and Barca do Xerez de Baixo. The lithic assemblages recovered from these sites were used in the present paper to illustrate the technological diversity observed for the Early Mesolithic in SW Iberia.
Toledo (Figure 1, no 1) is an open-air shell midden located some 4 km from the present-day Estremadura coast, in Central Portugal. The sea and the Alcabrichel River are the most important geomorphological elements of the area. Toledo was excavated under my direction during the 1990s following preliminary tests undertaken by David Lubell and Mary Jackes in 1986–87. Faunal studies (Gabriel, 2011; Moreno García, 2011) indicate that the site was a temporary camp occupied during repeated short-term episodes with similar functions in the warmest periods of the year. Shellfish is the most important component and the one with the highest archaeological visibility. Apart from molluscs, represented by several species (Dupont, 2011), other marines and riverine taxa coming from different rocky, sandy, and muddy substrates were gathered by the inhabitants of Toledo on a daily basis. Inshore fishing, dominated by the Sparidae family (Gabriel, 2011), as well as the hunting of various species of mammals, mostly ungulates (Moreno García, 2011), were also practised by the Early Mesolithic peoples. The site also provided ephemeral domestic structures related to fire (Araújo, 2011) and some scattered human remains (Araújo, Piga, & Gonçalves, 2019).
Toledo represents the coastal facet of the early Mesolithic lifestyle, the most ubiquitous of the archaeological record of this cultural phase. With its archaeological diversity and richness, Toledo is probably the most important site of shell midden type recorded in the Early Mesolithic of SW Iberia, although it has suffered diverse disturbances in the course of time.
Areeiro 3 (Figure 1, no 2) is an open-air site located at the base of the Estremadura Limestone Massif, in Central Portugal, the most important geomorphological component of the area. The site was excavated by Nuno Bicho in the framework of preventive archaeological works in 1989. Unfortunately, Areeiro 3 did not preserve organic material, except for charcoal, due to soil acidity. Good quality flint is locally available and was the most important raw material used by the Upper Palaeolithic and the Mesolithic populations that occupied the Rio Maior area for several millennia (Figure 2). Besides stone artefacts, the site still preserved remains related to combustion areas. The studies conducted on this site also suggest that people went there regularly to perform the same activities.

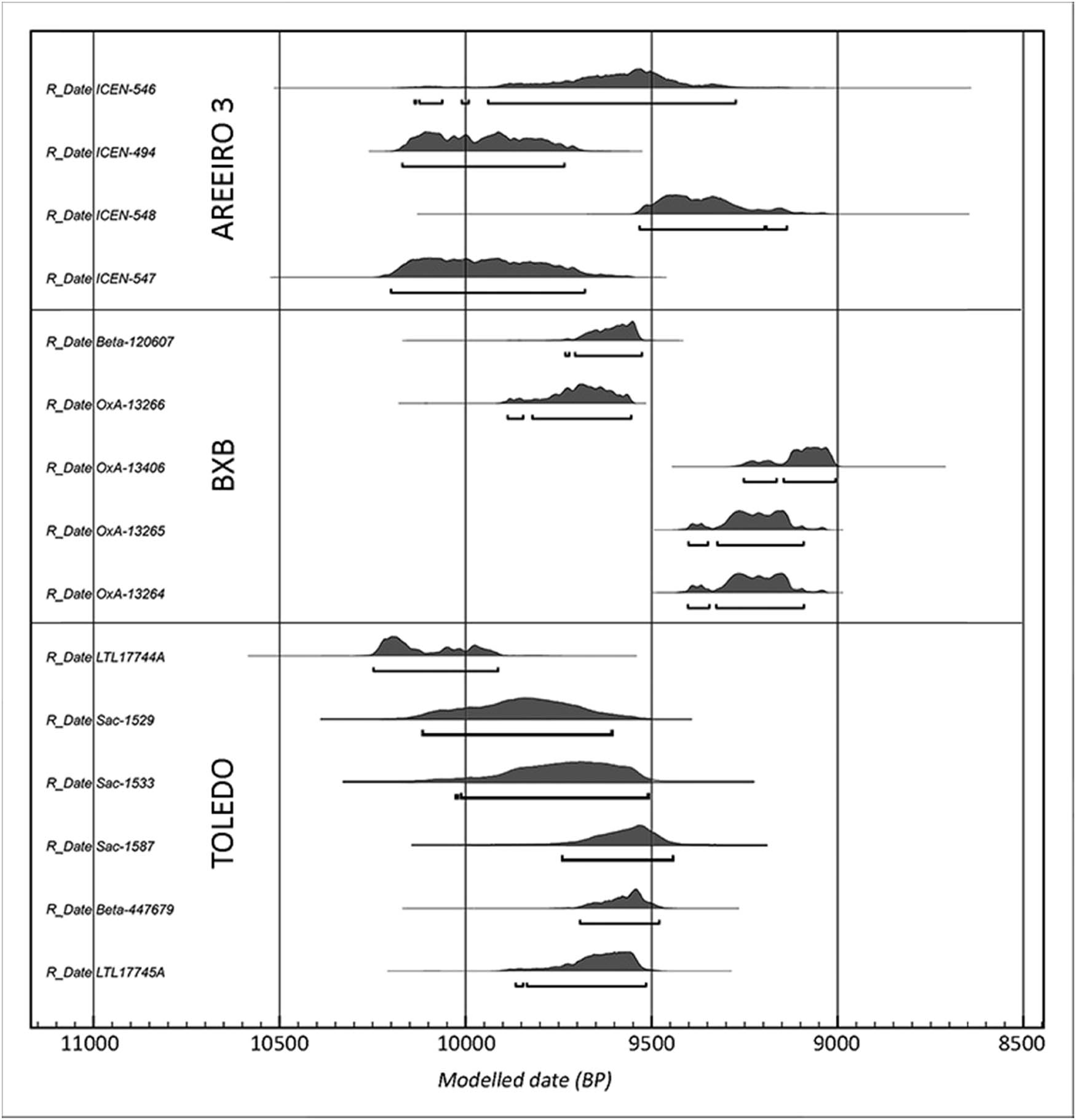
Radiocarbon dates (95.4% confidence) available for Toledo, Areeiro 3, and Barca do Xerez de Baixo. Results were calibrated with OxCal 4.4, using the atmospheric curve IntCal20 (Reimer et al., 2020). Marine samples were calibrated using the Marine20 curve (Heaton et al., 2020) and regional ΔR westcoast of 95 ± 15 14C years BP (Soares et al., 2016). The proportion of marine protein intake from the human bone sample was estimated from the measured δ13C value with an assumed uncertainty of ±10% (Arneborg et al., 1999; Richards & Hedges, 1999). The adopted endpoint values for marine (100%) and terrestrial (100%) diets in Mesolithic Atlantic Iberia determined by Cubas et al., 2018 are, respectively, −12.0 ± 0.6‰ to −20.8 ± 1.0‰.
Areeiro 3 typifies a different facet of the early Mesolithic way of life related to the exploitation of the inland limestone uplands, mainly for hunting activities.
The third early Mesolithic site studied herein is Barca do Xerez de Baixo (BXB, Figure 1, no 3), located at the right bank of the Guadiana River, in south-eastern Portugal and now submerged under the Alqueva reservoir. The Guadiana River is the most important geomorphological feature of the area. BXB was excavated in the framework of a rescue archaeological project directed by myself and Francisco Almeida (Araújo & Almeida, 2007; Araújo, Almeida, & Valente, 2009) intermittently from 1998 to 2002. BXB has preserved much of its original integrity as it will be shown later.
Similarly to Toledo and Areeiro 3, the site of BXB was most likely occupied during repeated short-term stays, as suggested by the data provided by the multidisciplinary studies carried out on the various components of the archaeological record (summarized by Araújo, 2016). Hunting and carcass processing, principally of aurochs (Bos primigenius), were regularly performed at the site, and all archaeological remains seem to be closely related to these activities.
The site mirrors a very distinctive trait of the early Mesolithic, this time related to the macrolithic industries that proliferate along the valleys of the main watercourses of southern Portugal.
The three sites are broadly contemporary; at least they have shared “spots” of time in the course of the Early Mesolithic, in conformity to the available radiocarbon dating (Figure 2). Although contemporary, each site is different. However, all differ from those created by their Final Upper Palaeolithic ancestors from the same regions in which they are located. This same pattern is repeated if other Early Mesolithic sites other than Toledo, Areeiro 3, and BXB are considered (Table 1). A better chronological framework (i.e., more absolute dating) might give a more precise idea of the timings and rhythms of occupation of each site, but it does not compromise (i.e., does not affect) the lithic production patterns that characterize each of these contexts (Araújo, 2016).
Radiocarbon dates (95.4% confidence) available for Toledo, Areeiro 3 and Barca do Xerez de Baixo. Results were calibrated with OxCal 4.4 using the atmospheric curve IntCal20 (Reimer et al., 2020). Marine samples were calibrated using the Marine20 curve (Heaton et al., 2020) and regional ΔRwestcoast of 95 ± 15 14C yrs BP (Soares, Gutierrez-Zugasti, Gonzalez-Morales, Martins, Cuenca-Solana, Bailey, 2016). The proportion of marine protein intake from the human bone sample was estimated from the measured δ13C value with an assumed uncertainty of ± 10% (Arneborg et al., 1999; Richards and Hedges, 1999). The adopted endpoint values for marine (100%) and terrestrial (100%) diets in Mesolithic Atlantic Iberia determined by Cubas, Peyroteo Stjerna, Fontanals-Coll, Llorente-Rodríguez, Lucquin, Craig, & Colonese (2018) are respectively −12.0 ± 0.6 ‰ to −20.8 ± 1.0 ‰.
| Sample 1 | Lab. no. | 14C Age BP | δ13C | Diet (% marine) | ∆R | Cal BP (95% Confidence) | Median | |
|---|---|---|---|---|---|---|---|---|
| Areeiro 3 | Charcoal | ICEN-546 | 8570 ± 130 | −24.50 | 10122–9277 | 9584 | ||
| Charcoal | ICEN-494 | 8850 ± 50 | −23.06 | 10169–9735 | 9957 | |||
| Charcoal | ICEN-548 | 8380 ± 90 | −24.59 | 9534–9135 | 9377 | |||
| Charcoal | ICEN-547 | 8860 ± 80 | −25.04 | 10198–9678 | 9957 | |||
| BXB | Charcoal | Beta-120607 | 8640 ± 50 | 9731–9527 | 9599 | |||
| Charcoal (Q. coccifera) | OxA-13266 | 8729 ± 36 | 9887–9555 | 9684 | ||||
| Charcoal (Q. coccifera) | OxA-13406 | 8150 ± 40 | 9251–9006 | 9085 | ||||
| Charcoal (E. arborea) | OxA-13265 | 8248 ± 35 | 9400–9093 | 9220 | ||||
| Charcoal (E. arborea) | OxA-13264 | 8250 ± 37 | 9403–9092 | 9225 | ||||
| Toledo | Mammal (C. capreolus) | LTL17744A | 8990 ± 65 | −22.6 ± 0.5 | 95 ± 15 | 10247–9914 | 10144 | |
| Shell (C. edule) | Sac-1529 | 9200 ± 70 | 0.00 | 95 ± 15 | 10116–9612 | 9850 | ||
| Shell (C. edule) | Sac-1533 | 9120 ± 80 | −0.19 | 95 ± 15 | 10025–9512 | 9726 | ||
| Shell (C. edule) | Sac-1587 | 9000 ± 60 | 95 ± 15 | 9739–9438 | 9564 | |||
| H. sapiens | Beta-447679 | 8730 ± 40 | −18.00 | 32 ± 10% | 95 ± 15 | 9691–9478 | 9568 | |
| Mammal (C. elaphus) | LTL17745A | 8796 ± 50 | −17.8 | 34 ± 10% | 95 ± 15 | 9881–9520 | 9629 |
The greatest distance the crow may fly between the sites is c. 170 km (Areeiro 3 – Barca do Xerez de Baixo), and the smallest distance is c. 35 km (Toledo – Areeiro 3).
1.2 Analytical Procedures
Although each site has different occupation episodes in the course of the Early Mesolithic (most of which lack fine stratigraphic and chronological resolution), the diachronic issue is not considered herein. It is however important to highlight that the lithic solutions implemented by the Early Mesolithic groups at each site were basically the same through time considering the various aspects that characterize the lithic production cycle (Araújo, 2016).
The studies of the lithic assemblages followed the technological perspective, based on the chaîne opératoire concept and with respect to (i) the specificity of each site and its characteristics, (ii) all the archaeological components represented therein, and (iii) their taphonomic context. The analysis will be more reliable and useful if conducted in the framework of this perspective.
As already mentioned, the three sites mirror three distinct behavioural patterns, each representing other contemporaneous sites displaying the same use of space and the available local resources. Because they are all different regarding lithic compositions – from raw materials to manufacturing methods and types of tools produced – distinct analytical approaches were adopted to answer the questions and problems raised by each site.
In Toledo, the analytical procedure implemented to attain the organization of the technological system and to understand the objectives of the knapping activities was based on the mental reconstruction of the production process (Pelegrin, 1995). To do this, I considered a number of morphological, technical, and metric attributes. The great diversity of the siliceous materials, often within the same nodule, the high level of fragmentation of the industry and the absence of recurrent patterns made the application of the refitting method impossible. The mental reconstruction of the knapping sequences of blanks and tools through the reading of their essential characters was the chosen approach, which also made it possible to understand the technical identity of certain groups of artefacts such as short endscrapers and splintered pieces that characterize the lithic production at the site (Araújo, 2016).
A number of important aspects of the industry emerged from the very beginning: the generally small size of the knapped material; the low quality of raw materials, particularly of the siliceous rocks; a little refined or sophisticated production and a rather low transformation rate. These characteristics illustrate extremely well the Toledo lithic assemblage as well as other contemporary shell-midden sites scattered along the western coast of the Iberian Peninsula.
The lithic collection at Areeiro 3 contrasts with the one described for Toledo in a number of different aspects. The analytical approach has favoured the armature component made on bladelets of good quality flint through the application of carinated schemes. As in Toledo, all the lithic products resulting from knapping activities are also represented. But contrary to what was done in the shell midden site, where the whole lithic assemblage was studied, the technological analysis of the Areeiro industry only focused upon the complete debitage blanks (including re-sharpening material), the cores, and the most important formal tools present within the lithic series. This approach was determined by the characteristics of the lithic assemblage, clearly dominated by very small and standardized armatures (this entire component was studied), and aimed to answer the most important question raised by close observation of the artefacts: how were the thin and tiny bladelets produced and for what purpose? While in Toledo it was difficult to understand, considering the heterogeneity of the lithic collection (in terms of size, shapes, raw-materials, technical features, etc.), what the purpose of the stone knapping was, in Areeiro 3, the explicitness of the goals seemed obvious from the very beginning as I shall demonstrate later. The high degree of homogeneity of the flint types used, although some variability occurs, above all the small size of bladelets and armatures as well as their modes of production did not facilitate the refitting method either. Thus, the approach was also based on the mental reconstruction of the production cycle through the observation of various technical, morphological, and dimensional parameters across all the technological groups. The microlithic component was entirely analysed using a low-power microscope due to the small size of the pieces and the character of the retouching.
The procedure at Barca do Xerez de Baixo favoured lithic refitting as the easiest and most direct means of assessing the objectives of the debitage actions and the manufacturing modes and techniques implemented by the knappers to obtain blanks and tools. The high potential for the application of the method relied on the high degree of preservation of the site, allowing a more comprehensive and accurate picture of the Barca technological system. The most distinctive feature of the lithic collection is its macrolithic character, being in fact the most representative site of Southern Iberia where this type of production is exclusive or largely dominant. In order to assess all the lithic variability present at Barca, the lithic analysis also included the observation and quantification of several morphometric and technical attributes for each reconstructed element, as well as for the rest of the material.
Use-wear analyses were performed on the three lithic collections to determine tool function. The results were variable and mainly conditioned by (i) the characteristics and quality of raw materials in Toledo; (ii) the impact of sediments on the surfaces and edges of the knapped material in Areeiro 3, and (iii) the very expedient use of the material in Barca do Xerez.
1.3 Patterns of Lithic Production
The principal purpose of knapping in Toledo was the manufacture of flakes from raw-materials available a few kilometres south of the site, mainly poor-quality siliceous rocks (58%). These materials are available in small volumes, irregular in shape and texture, only allowing the production of small blanks since the beginning of the debitage (Figure 3). The reduction process is very expedient and versatile and lacks any stylistic concern, elaborated procedures, and standardization both in terms of reduction strategies and tool types. The produced blanks demonstrate what it was possible to achieve taking into account the natural constraints faced by the Toledo people when confronted by the various accidents that systematically occur due to the poor quality of the siliceous materials (Figure 4).

Toledo: the low-quality siliceous materials used to produce the small and non-standardized flakes, the most common type of blank recovered at the shell midden site. Photo, J. P. Ruas.

Toledo: cores made of siliceous and quartzite raw materials from which the small and non-standardized flakes were manufactured. Photo, J. P. Ruas.
There does not appear to have been any pre-defined management of the volumes, but a continuous adjustment of the flintknappers to its contingencies throughout the reduction process. This fact however did not compromise the knapping objectives. And to confirm this assessment is the way in which these Mesolithic groups solved (or bypassed) the problem of their hunting-fishing implements for food procurement. In effect, the apparent lack of this tool component within the lithic collection was one of the most intriguing aspects of the technological system represented at the Toledo shell midden. Except for some flakes that were later transformed (3.8%) by retouching into multi-functional tools of domestic character like the denticulates, notches, scrapers, and perforators, there are no other artefacts in the collection that could have assumed the function of hunting-fishing weapons. However, the identification of several scaled pieces (pièces esquillées) exploited as bipolar cores seemed to fill this apparent void, corroborating the main purpose of the knapping activities: the production of small-sized blanks, i.e., barbs, to work in the framework of composite tools and weapons, thus overcoming the limitations inherent in the local raw-materials (considering both the size and texture quality). Although use-wear analyses proved to be unproductive regarding this possible functioning, I believe that this constitutes the most parsimonious explanation for what is observed.
To emphasize once more the successful and versatile character of the lithic manufacturing strategies implemented at Toledo – which is also devoid of any stylistic concern – is the way in which artefacts were reconverted throughout their life-cycle (having fulfilled different roles) to respond to the immediate needs as demonstrated by use-wear studies (Igreja, 2011) (Figure 5).

Toledo: artefacts used as tools (confirmed by use-wear analyses) and as splintered pieces (used as cores). Photo, J. P. Ruas.
Quartzite (21%), quartz (15%), and other coarse-grained lithic varieties (6%) are locally available as rolled pebbles and were also used to produce flakes.
Some of the flakes were subsequently transformed (3.8%) by retouching into so-called domestic/multi-functional tools such as denticulates, notches, scrapers, and perforators.
Hunting, fishing, gathering, cooking, manufacturing, and other activities developed by the Toledo groups need to be understood in a broader context and related to the behaviour of Early Mesolithic societies as I shall demonstrate later (Araújo, 2016).
At Areeiro 3, the main goal of knapping was the manufacture of small standardized bladelets for subsequent transformation (with a minimum effort in terms of transformation rate by retouch) into armatures for use as barbs (of Dufour type, which Zilhão, (1997) calls Areeiro bladelets). These barbs formed composite tools and weapons (Figures 6 and 7; Araújo, 2016). The knappers managed and exploited the flint volumes with a certain model in mind. Bladelet blanks were produced from the very beginning with the desired size and shape (i.e., very close to the defined template), with retouching merely to make minor adjustments here and there when necessary. Good-quality flint is a locally available raw material, and flintknappers have been able to take advantage of its presence.

Areeiro 3: the Areeiro bladelets produced from carinated cores to be used as barbs for composite tools. Photo J. P. Ruas.

Areeiro 3: Areeiro bladelets. Photo J. P. Ruas.
To produce the small Areeiro bladelets, the knappers chose a non-prismatic exploitation strategy already implemented in the Rio Maior area during the Upper Palaeolithic (e.g. Almeida, 2001; Bicho, 2000; Zilhão, 1997): the manufacturing of thick blanks, the flakes, that were subsequently converted in volumes to be exploited as bladelet cores, giving rise to carinated and thick-nosed forms once abandoned (Araújo, 2016; Bicho, 2000).
The carinated and thick-nosed reduction method turned out to be the most adequate to produce the thin, small, and slightly curved standardized bladelets identified at Areeiro 3 site with a minimum investment in terms of volume preparation and maintenance, although some remains related to these technical actions are represented.
Once the bladelets were produced, some specific adjustments were made if necessary, in order to improve the shape. These small retouches are generally very short (of bordage type), marginal or may combine both in the same piece (sometimes on the same edge), can be partial or total, direct or inverse, but the transformation is generally minimal in most cases. The aim was to adjust and/or improve what the blank-making process did not entirely attain in terms of bladelet size and shape according to the requirements of the flintknappers. It can be said that there was a clear convergence between the initial idea and the final product (Figures 8 and 9).

Areeiro 3: cores of carinated endscraper type from which blanks for the Areeiro armatures were produced. Photo, J. P. Ruas; drawing, F. Boto.

Areeiro 3: cores of carinated and thick-nosed type from which blanks for the Areeiro armatures were produced. Drawing, F. Boto.
A small set of backed bladelets was also documented at Areeiro 3. These barbs are more robust than the Areeiro type, which meets the blank preferably selected for their production: the burin spalls (Figure 10). As observed in the Areeiro bladelets, these backed armatures are also mostly pointed (when the distal part is preserved).

Areeiro 3: backed bladelets made from burin spalls. Photo, J. P. Ruas.
In addition to the production of the standardized bladelets through non-prismatic technologies to be used as barbs for composite tools and weapons, the site also yielded other types of tools intentionally modified by retouching – generally labelled as domestic tools based on lithic artefact morphology. These tools (endscrapers, perforators, denticulates and notches, and flakes with partial retouches) were produced on thinner, smaller, and mostly non-cortical flakes (thick ones were reserved for bladelet cores) detached in the later stages of the reduction sequence.
Unfortunately, use-wear analyses on Areeiro 3 material did not produce concrete results, mostly due to the chemical and mechanical alterations of artefact surfaces and edges, as well as the poor development of the use-wear polishes (Igreja, pers.com). None of the fragmented armatures presents the typical impact fractures, nor any other type of stigma derived from their use as projectile elements. However, the absence of these diagnostic markers does not mean that the functional purpose behind the production of armatures is not related to hunting activities.
Areeiro 3 is the exception that proves the rule regarding Early Mesolithic technological behaviour, making the bridge with the Upper Palaeolithic way of doing represented at several sites of the Rio Maior basin, particularly those dated to the late Pleistocene (Bicho, 2000; Gameiro, 2012; Zilhão, 1997). Important differences exist however between these sites and Areeiro 3. These differences involve multiple aspects of human behaviour.
As in Toledo, quartzite and other coarse-grained kinds of stone as well as quartz were also exploited at Areeiro 3 to produce flakes and heavy-duty tools, although in much lower proportions compared to flint.
The technological patterns described earlier for Toledo and Areeiro 3 find no parallel at Barca do Xerez de Baixo. The excellent degree of preservation of this open-air site allowed us to understand the intentions behind the knapper’s gesture by applying the refitting method. And the main purpose of knapping was the massive production of flakes from locally available quartzite (46.4%), quartz (51.6%) and a heterogeneous set of siliceous materials (1.9%), clearly dominated by jasper, which was used raw or slightly retouched (0.40%). A very low percentage (0.1%) of other coarse-grained rocks was also exploited at Barca to produce flakes. These stone types have a ubiquitous distribution in the area and appear as cobbles with diverse knapping qualities. Quartzite is the most important raw-material – considering the purposes of the knapping activities – but its quality does not seem to have been a concern for the Barca people, as all types of textures and grains were exploited regardless of the greater or lesser suitability of the stones for knapping.
The lack of selection of finer-grained quartzite (which does exist around the site) confirms the very expedient character that illustrates the knapping operations developed at Barca.
The production strategy was almost exclusively guided by cobble thickness (Figure 11), in a uniform and repeated movement that reduces the cobble along its longest axis (i.e., going backwards), generating blanks mostly with lateral and distal cortices. Debitage is essentially unidirectional and restricted to a single flaked surface. It corresponds to the technological norm, adapted to the most common type of cobble found in the gravels and sands of the Guadiana River.

Barca do Xerez de Baixo: cobble thickness guided the production of flakes at the site. Photo, J. P. Ruas.
The main strategy described earlier, however, did not limit the productivity of the Barca industry. In fact, as can be seen in Figure 12, the number of flakes produced within the reduction process of QZI-001 volume is 25 (at least), although the number of negatives still visible on the flaking surface of the abandoned core is only 6. The average number of flakes produced by the core (based on the aforementioned criteria) is 6 for quartzite and 5 for quartz.

Barca do Xerez de Baixo: reconstructions of quartzite volumes used to produce flakes, the desired end-products. Photo, J. P. Ruas.
Flakes are mainly short and wide, still cortical, having frequently hinged terminations and irregular or concavo-convex edges; many were broken during the debitage process (the proportion of Siret flakes is extremely high for both quartzite and quartz) and the trapezoidal section predominates.
A few flakes (0.40% = 152 specimens) were converted into formal tools through intentional retouching, which is generally short and partial, forming notched, denticulated and irregular outlines. Any pattern was detected concerning the various traits of retouching. A very interesting aspect suggested by the technological analyses (especially by refitting) and later confirmed by use-wear concerns the different functions performed by certain volumes throughout their life cycle. QZI-001 (Figure 12), for instance, was used as a flake core, as a massive tool (the core itself) and as a hard hammer. QZI-160 and QZI-094 (Figure 13) were also used as flake cores, but at a certain point in their reduction process, the cores were used for tasks requiring more robust and massive tools such as the processing and acquisition of wood and other hard materials (like bone). The voids observed between the core platform edge and the subsequent detaching flakes were precisely created by the use of those edges as tools, according to the use-wear study (Igreja, 2013).

Barca do Xerez de Baixo: these quartzite refittings illustrate cases in which the gaps between the core and the reassembled blank seem to indicate the use of the core as a tool, a hypothesis later confirmed by use-wear analyses, in both cases for woodworking materials. Drawing, K. Monigal; macro and micro photos, M. A. Igreja.
Use-wear analyses have also shown that retouched and unretouched flakes were used for animal (hide, meat, and bone), wood, and mineral working (Igreja, 2013) applying distinct cinematics (scraping, cutting, percussion), although the expedient nature of usage did not facilitate the formation of well-developed microwear traces on their surfaces and edges.
Again, what implements were used for hunting, in a site where Bos primigenius seems to have been the most important prey species caught by the Barca hunters?
No candidates have been identified to act as hunting weapons. Apart from the few elongated pieces produced from quartz crystal (Figure 14), the site only provided flakes (mostly unretouched), heavy-duty tools and remains related to their manufacturing process. Excluding any situations or facts that may have led to the non-detection of this component at the Barca site, we must admit that there may have been other hunting strategies, techniques, and methods (e.g., fire, snare trappings) that were not recorded archaeologically, but which were part of the practices and knowledge of the Barca groups. Although only found in small numbers, the Late Upper Palaeolithic sites excavated in the same geographical region systematically document armatures made of flint from long-distant sources (Gameiro, 2012; Gameiro et al., 2020).

Barca do Xerez de Baixo: the few elongated blanks found at the site made from small volumes of hyaline quartz. Photo, J. P. Ruas.
Three sites, three different lithic solutions, and three distinct ways of using locally available raw materials – how can we interpret this diversity in the context of the Early Mesolithic of SW Iberia?
2 Concluding Remarks
As mentioned before, the main purpose of this essay was to present a general picture illustrating the variability of lithic solutions found in the Early Mesolithic of SW Iberia. I have described the most important characteristics of three lithic assemblages recovered from contemporary sites located in distinct geographical areas, focusing on the most peculiar and distinctive traits that individualize each of the technological behaviours. Toledo, Areeiro 3, and Barca do Xerez de Baixo are probably the most important among the set of Early Mesolithic sites known to date for SW Iberia. They constitute three major references to ways of being and doing that are very specific to this time. The choice could have been made for other sites with the same result: in each one, the group selects the most suitable strategy to meet the goals. The raw material is not a dilemma to this flexible system, in which time is actually a determining factor.
The three sites were occupied in the framework of regular Early Mesolithic passages by groups that have used the surrounding environments in their quest for food and raw materials. At each site, the groups used their knowledge and skill to generate the most suitable technical solution to accomplish the various daily activities with a minimum investment in time. Time (or not wasting time) seems to have determined much of the behaviour of these early Holocene communities, contrasting with the attitude of their ancestors. Versatility seems to have been the most efficient and adequate response to this constraint, allowing for a wider range of choices. This flexibility regarding the use of raw materials, the technical solutions adopted and the kind of tools produced (all depending on the circumstances of each place) are the main features and peculiar traits of Early Mesolithic societies in SW Iberia. It has no parallels with the preceding and succeeding populations of the Upper Palaeolithic and the Late Mesolithic, where the norms seem to have conditioned their technological systems. In fact, there is a strictness of precepts and demands that we do not observe in Early Mesolithic lithic productions.
Faced with the absence of recurrent patterns, how can we study, interpret, and above all compare lithic assemblages that are so different from one another? Changing the perspective and adapting the scale, which was the strategy followed when studying Toledo, Areeiro, and Barca lithic industries, i.e., by respecting their specificities and adopting distinct analytical approaches.
In Toledo, the mental reconstruction of the production cycle through the analyses of various technical features present on the surfaces and edges of the knapped artefacts was essential for understanding the strategies employed by the Mesolithic people to meet their needs and to cope with natural constraints.
In Areeiro 3, where similar good quality flint is very abundant, the small bladelets were carefully studied through a binocular microscope in order to understand what the artisans had in mind (the ideal model for their blanks and barbs).
At Barca, the extremely good preservation of the site enabled us to spend some time refitting pieces. By following this strategy, we were able to understand the whole production process that occurred at the site.
Technological approach, use-wear analyses, knowledge of the raw material, and the use of means that facilitate the reading and interpretation of objects (from microscope to photography) were all combined in order to obtain a more accurate picture of the production processes for the Early Mesolithic in SW Iberia.
Acknowledgments
The author thanks Simon Davis for the English improvement and the two reviewers for their valuable suggestions and comments.
-
Conflict of interest: Author states no conflict of interest.
References
Almeida, F. (2001). Cores, tools, or both? Methodological contribution for the study of carinated lithic elements. In M. Hays & P. Thacker (Eds.), Questioning the answers: Resolving fundamental problems of the Early Upper Paleolithic (pp. 91–98). Oxford, United Kingdom: Archaeopress.Search in Google Scholar
Araújo, A. C. (Ed.). (2011). O concheiro de Toledo no contexto do Mesolítico Inicial do litoral da Estremadura (Trabalhos de Arqueologia 51). Lisboa, Portugal: Igespar.Search in Google Scholar
Araújo, A. C. (2015). A few steps backwards … in search of the origins of the Late Mesolithic. In N. Bicho, C. Detry, T. D. Price, & E. Cunha (Eds.), Muge 150th: The 150th Anniversary of the discovery of Mesolithic shellmiddens (Vol. 2, pp. 1–15). Newcastle Upon Tyne, United Kingdom: Cambridge Scholars Publishing.Search in Google Scholar
Araújo, A. C. (2016). Une histoire des premières communautés mésolithiques au Portugal. Oxford, United Kingdom: British Archaeological Reports International Series 2782.10.30861/9781407314532Search in Google Scholar
Araújo, A. C., & Almeida, F. (2007). Inland insights into the macrolithic puzzle: The case of Barca do Xerez de Baixo. In N. F. Bicho (Ed.), From the Mediterranean basin to the Portuguese Atlantic shore. Papers in Honor of Anthony Marks (Promontoria Monográfica, 7, pp. 185–208). Faro, Portugal: Universidade Do Algarve.Search in Google Scholar
Araújo, A. C., & Almeida, F. (Eds.). (2013). Barca do Xerez de Baixo: Um testemunho invulgar das últimas comunidades de caçadores-recolectores do Alentejo interior (Memórias de Odiana 2ª Série). Beja, Portugal: EDIA.Search in Google Scholar
Araújo, A. C., Almeida, F., & Valente, M. J. (2009). Macrolithic industries of the Portuguese Mesolithic: A human adaptive response. In S. Mccartan, R. Schulting, G. Warren, & P. Woodman (Eds.), Mesolithic Horizons, Papers presented at the 7th International Conference on the Mesolithic in Europe (Vol. 2, pp. 779–787). Oxford, United Kingdom: Oxbow Books.Search in Google Scholar
Araújo, A. C., Piga, G., & Gonçalves, D. (2019). Fragmentary bodies or fragmentary perceptions? Mortuary practices of early mesolithic communities in South-western Iberia (c. 11,200–8500 cal BP). Journal of Archaeological Science: Reports, 28(102052). doi: 10.1016/j.jasrep.2019.102052.Search in Google Scholar
Arneborg, J., Heinemeier, J., Lynnerup, N., Nielsen, H., Rud, N., & Sveinbjörnsdóttir, Á. (1999). Change of diet of the greenland vikings determined from stable carbon isotope analysis and 14C dating of their bones. Radiocarbon, 41(2), 157–168. doi: 10.1017/S0033822200019512.Search in Google Scholar
Bicho, N. F. (2000). Technological change in the Final Upper Paleolithic of Rio Maior. Tomar, Portugal: Instituto Politécnico (Arkeos 8).Search in Google Scholar
Cubas, M., Peyroteo Stjerna, R., Fontanals-Coll, M., Llorente-Rodríguez, L., Lucquin, A., Craig, O. E., & Colonese, A. C. (2018). Long-term dietary change in Atlantic and Mediterranean Iberia with the introduction of agriculture: A stable isotope perspective. Archaeological and Anthropological Sciences, 11, 3825–3836. doi: 10.1007/s12520-018-0752-1.Search in Google Scholar
Dupont, C. (2011). Les invertébrés marins du “concheiro” de Toledo (Lourinhã, Portugal). In A. C. Araújo (Ed.), O concheiro de Toledo no contexto do Mesolítico Inicial do litoral da Estremadura (Trabalhos de Arqueologia 51, pp. 185–227). Lisboa, Portugal: Igespar.Search in Google Scholar
Gabriel, S. (2011). A exploração dos recursos ictícos. In A. C. Araújo (Ed.), O concheiro de Toledo no contexto do Mesolítico inicial do litoral da Estremadura (Trabalhos de Arqueologia 51, pp. 127–144). Lisboa, Portugal: Igespar.Search in Google Scholar
Gameiro, C. (2012). La variabilité régionale des industries lithiques de la fin du Paléolithique supérieur au Portugal. (Unpublished doctoral thesis). Université de Paris 1, France.Search in Google Scholar
Gameiro, C., Aubry, T., Almeida, F., Dimuccio, L., Gabriel, S., Gaspar, R., … Xavier, P. (2020). Archaeology of the Pleistocene-Holocene transition in Portugal: Synthesis and prospects. Quaternary International, 564, 113–137. doi: 10.1016/j.quaint.2020.03.018.Search in Google Scholar
Heaton, T., Köhler, P., Butzin, M., Bard, E., Reimer, R., Austin, W, … Skinner, L. (2020). Marine20 – The marine radiocarbon age calibration curve (0–55,000 cal BP). Radiocarbon, 62(4), 779–820. doi: 10.1017/RDC.2020.68.Search in Google Scholar
Igreja, M. A. (2011). Análise traceológica de artefactos líticos de Toledo: Contributo à resolução de questões tipo-tecnológicas, In A. C. Araújo (Ed.), O concheiro de Toledo no contexto do Mesolítico Inicial do litoral da Estremadura (Trabalhos de Arqueologia 51, pp. 91–97). Lisboa: Igespar.Search in Google Scholar
Igreja, M. A. (2013). Estudo traceológico: Vestígios de uso resultantes da função e do modo de funcionamento de artefactos líticos da Barca do Xerez de Baixo. In A. C. Araújo & F. Almeida (Eds.), Barca do Xerez de Baixo: Um testemunho invulgar das últimas comunidades de caçadores-recolectores do Alentejo interior (Memórias de Odiana 2ª Série, pp. 307–323). Beja, Portugal: EDIA.Search in Google Scholar
Moreno García, M. (2011). Exploração de recursos faunísticos de origem terrestre. In A. C. Araújo (Ed.), O concheiro de Toledo no contexto do Mesolítico inicial do litoral da Estremadura (Trabalhos de Arqueologia 51, pp. 99–124). Lisboa, Portugal: Igespar.Search in Google Scholar
Pelegrin, J. (1995). Technologie lithique: Le Châtelperronien de Roc-de-Combe (Lot) et de la Côte (Dordogne). Paris: CNRS.Search in Google Scholar
Reimer, P., Austin, W., Bard, E., Bayliss, A., Blackwell, P., Bronk Ramsey, C., … Talamo, S. (2020). The IntCal20 Northern Hemisphere Radiocarbon Age Calibration Curve (0–55 cal kBP). Radiocarbon, 62(4), 725–757. doi: 10.1017/RDC.2020.41.Search in Google Scholar
Richards, M. P., & Hedges, R. E. M. (1999). Stable isotope evidence for similarities in the types of marine foods used by Late Mesolithic humans at sites along the Atlantic coast of Europe. Journal of Archaeological Science, 26(6), 717–722. doi: 10.1006/jasc.1998.0387.Search in Google Scholar
Soares, A. M., Gutierrez-Zugasti, I., Gonzalez-Morales, M., Martins, J. M., Cuenca-Solana, D., & Bailey, G. (2016). Marine radiocarbon reservoir effect in Late Pleistocene and Early Holocene coastal waters off Northern Iberia. Radiocarbon, 58(4), 869–883. doi: 10.1017/RDC.2016.71.Search in Google Scholar
Zilhão, J. (1997). O Paleolítico Superior da Estremadura Portuguesa. Lisboa, Portugal: Colibri.Search in Google Scholar
© 2022 the author(s), published by De Gruyter
This work is licensed under the Creative Commons Attribution 4.0 International License.
Articles in the same Issue
- Editorial
- Editorial: Open Archaeology in Challenging Times
- Regular Articles
- Caves, Senses, and Ritual Flows in the Iberian Iron Age: The Territory of Edeta
- Tutankhamun’s Polychrome Wooden Shawabtis: Preliminary Investigation for Pigments and Gilding Characterization and Indirect Dating of Previous Restorations by the Combined Use of Imaging and Spectroscopic Techniques
- When TikTok Discovered the Human Remains Trade: A Case Study
- Nuraghi as Ritual Monuments in the Sardinian Bronze and Iron Ages (circa 1700–700 BC)
- A Pilot Study in Archaeological Metal Detector Geophysical Survey
- A Blocked-Out Capital from Berenike (Egyptian Red Sea Coast)
- The Winery in Context: The Workshop Complex at Ambarçay, Diyarbakır (SE Turkey)
- Tracing Maize History in Northern Iroquoia Through Radiocarbon Date Summed Probability Distributions
- Faunal Remains Associated with Human Cremations: The Chalcolithic Pits 16 and 40 from the Perdigões Ditched Enclosures (Reguengos de Monsaraz, Portugal)
- A Multi-Method Study of a Chalcolithic Kiln in the Bora Plain (Iraqi Kurdistan): The Evidence From Excavation, Micromorphological and Pyrotechnological Analyses
- Potters’ Mobility Contributed to the Emergence of the Bell Beaker Phenomenon in Third Millennium BCE Alpine Switzerland: A Diachronic Technology Study of Domestic and Funerary Traditions
- From Foragers to Fisher-Farmers: How the Neolithisation Process Affected Coastal Fisheries in Scandinavia
- Enigmatic Bones: A Few Archaeological, Bioanthropological, and Historical Considerations Regarding an Atypical Deposit of Skeletonized Human Remains Unearthed in Khirbat al-Dusaq (Southern Jordan)
- Who Was Buried at the Petit-Chasseur Site? The Contribution of Archaeometric Analyses of Final Neolithic and Bell Beaker Domestic Pottery to the Understanding of the Megalith-Erecting Society of the Upper Rhône Valley (Switzerland, 3300–2200 BC)
- Erratum
- Erratum to “Britain In or Out of Europe During the Late Mesolithic? A New Perspective of the Mesolithic–Neolithic Transition”
- Review Article
- Archaeological Practices and Societal Challenges
- Special Issue Published in Cooperation with Meso’2020 – Tenth International Conference on the Mesolithic in Europe, edited by Thomas Perrin, Benjamin Marquebielle, Sylvie Philibert, and Nicolas Valdeyron - Part I
- Animal Teeth and Mesolithic Society
- A Matter of Scale: Responses to Landscape Changes in the Oslo Fjord, Norway, in the Mesolithic
- Chipped Stone Assemblage of the Layer B of the Kamyana Mohyla 1 Site (South-Eastern Ukraine) and the Issue of Kukrek in the North Meotic Steppe Region
- Rediscovered Mesolithic Rock Art Collection from Kamyana Mohyla Complex in Eastern Ukraine
- Mesolithic Montology
- A Little Mystery, Mythology, and Romance: How the “Pigmy Flint” Got Its Name
- Preliminary Results and Research Perspectives on the Submerged Stone Age Sites in Storstrømmen, Denmark
- Techniques and Ideas. Zigzag Motif, Barbed Line, and Shaded Band in the Meso-Neolithic Bone Assemblage at Zamostje 2, Volga-Oka Region (Russia)
- Modelling Foraging Cultures According to Nature? An Old and Unfortunately Forgotten Anthropological Discussion
- Mesolithic and Chalcolithic Mandibular Morphology: Using Geometric Morphometrics to Reconstruct Incomplete Specimens and Analyse Morphology
- Britain In or Out of Europe During the Late Mesolithic? A New Perspective of the Mesolithic–Neolithic Transition
- Non-Spatial Data and Modelling Multiscale Systems in Archaeology
- Living in the Mountains. Late Mesolithic/Early Neolithic Settlement in Northwest Portugal: Rock Shelter 1 of Vale de Cerdeira (Vieira do Minho)
- Enculturating Coastal Environments in the Middle Mesolithic (8300–6300 cal BCE) – Site Variability, Human–Environment Relations, and Mobility Patterns in Northern Vestfold, SE-Norway
- Why Mesolithic Populations Started Eating Crabs on the European Atlantic Façade Only Over the Past 15 Years?
- “Ain’t No Mountain High Enough” – Mesolithic Colonisation Processes and Landscape Usage of the Inner-Alpine Region Kleinwalsertal (Prov. Vorarlberg, Western Austria)
- Mesolithic Freshwater Fishing: A Zooarchaeological Case Study
- Consumers, not Contributors? The Study of the Mesolithic and the Study of Hunter-Gatherers
- Fish Processing in the Iron Gates Region During the Transitional and Early Neolithic Period: An Integrated Approach
- Hunting for Hide. Investigating an Other-Than-Food Relationship Between Stone Age Hunters and Wild Animals in Northern Europe
- Changing the Perspective, Adapting the Scale: Macro- and Microlithic Technologies of the Early Mesolithic in the SW Iberian Peninsula
- Fallen and Lost into the Abyss? A Mesolithic Human Skull from Sima Hedionda IV (Casares, Málaga, Iberian Peninsula)
- Evolutionary Dynamics of Armatures in Southern France in the Late Mesolithic and Early Neolithic
- Combining Agent-Based Modelling and Geographical Information Systems to Create a New Approach for Modelling Movement Dynamics: A Case Study of Mesolithic Orkney
- Pioneer Archaeologists and the Influence of Their Scientific Relationships on Mesolithic Studies in North Iberia
- Neolithisation in the Northern French Alps: First Results of the Lithic Study of the Industries of La Grande Rivoire Rockshelter (Isère, France)
- Late Mesolithic Individuals of the Danube Iron Gates Origin on the Dnipro River Rapids (Ukraine)? Archaeological and Bioarchaeological Records
- Special Issue on THE EARLY NEOLITHIC OF EUROPE, edited by F. Borrell, I. Clemente, M. Cubas, J. J. Ibáñez, N. Mazzucco, A. Nieto-Espinet, M. Portillo, S. Valenzuela-Lamas, & X. Terradas - Part II
- Early Neolithic Large Blades from Crno Vrilo (Dalmatia, Croatia): Preliminary Techno-Functional Analysis
- The Neolithic Flint Quarry of Pozarrate (Treviño, Northern Spain)
- From Anatolia to Algarve: Assessing the Early Stages of Neolithisation Processes in Europe
- What is New in the Neolithic? – A Special Issue Dedicated to Lech Czerniak, edited by Joanna Pyzel, Katarzyna Inga Michalak & Marek Z. Barański
- What is New in the Neolithic? – Celebrating the Academic Achievements of Lech Czerniak in Honour of His 70th Birthday
- Do We Finally Know What the Neolithic Is?
- Intermarine Area Archaeology and its Contribution to Studies of Prehistoric Europe
- Households and Hamlets of the Brześć Kujawski Group
- Exploiting Sheep and Goats at the Late Lengyel Settlement in Racot 18
- Colonists and Natives. The Beginning of the Eneolithic in the Middle Warta Catchment. 4500–3500 BC
- Is It Just the Location? Visibility Analyses of the West Pomeranian Megaliths of the Funnel Beaker Culture
- An Integrated Zooarchaeological and Micromorphological Perspective on Midden Taphonomy at Late Neolithic Çatalhöyük
- The Neolithic Sequence of the Middle Dunajec River Basin (Polish Western Carpathians) and Its Peculiarities
- Great Transformation on a Microscale: The Targowisko Settlement Region
- Special Issue on Digital Methods and Typology, edited by Gianpiero Di Maida, Christian Horn & Stefanie Schaefer-Di Maida
- Digital Methods and Typology: New Horizons
- Critique of Lithic Reason
- Unsupervised Classification of Neolithic Pottery From the Northern Alpine Space Using t-SNE and HDBSCAN
- A Boat Is a Boat Is a Boat…Unless It Is a Horse – Rethinking the Role of Typology
- Quantifying Patterns in Mortuary Practices: An Application of Factor Analysis and Cluster Analysis to Data From the Taosi Site, China
- Reexamining Ceramic Standardization During Agricultural Transition: A Geometric Morphometric Investigation of Initial – Early Yayoi Earthenware, Japan
- Statistical Analysis of Morphometric Data for Pottery Formal Classification: Variables, Procedures, and Digital Experiences of Medieval and Postmedieval Greyware Clustering in Catalonia (Twelfth–Nineteenth Centuries AD)
Articles in the same Issue
- Editorial
- Editorial: Open Archaeology in Challenging Times
- Regular Articles
- Caves, Senses, and Ritual Flows in the Iberian Iron Age: The Territory of Edeta
- Tutankhamun’s Polychrome Wooden Shawabtis: Preliminary Investigation for Pigments and Gilding Characterization and Indirect Dating of Previous Restorations by the Combined Use of Imaging and Spectroscopic Techniques
- When TikTok Discovered the Human Remains Trade: A Case Study
- Nuraghi as Ritual Monuments in the Sardinian Bronze and Iron Ages (circa 1700–700 BC)
- A Pilot Study in Archaeological Metal Detector Geophysical Survey
- A Blocked-Out Capital from Berenike (Egyptian Red Sea Coast)
- The Winery in Context: The Workshop Complex at Ambarçay, Diyarbakır (SE Turkey)
- Tracing Maize History in Northern Iroquoia Through Radiocarbon Date Summed Probability Distributions
- Faunal Remains Associated with Human Cremations: The Chalcolithic Pits 16 and 40 from the Perdigões Ditched Enclosures (Reguengos de Monsaraz, Portugal)
- A Multi-Method Study of a Chalcolithic Kiln in the Bora Plain (Iraqi Kurdistan): The Evidence From Excavation, Micromorphological and Pyrotechnological Analyses
- Potters’ Mobility Contributed to the Emergence of the Bell Beaker Phenomenon in Third Millennium BCE Alpine Switzerland: A Diachronic Technology Study of Domestic and Funerary Traditions
- From Foragers to Fisher-Farmers: How the Neolithisation Process Affected Coastal Fisheries in Scandinavia
- Enigmatic Bones: A Few Archaeological, Bioanthropological, and Historical Considerations Regarding an Atypical Deposit of Skeletonized Human Remains Unearthed in Khirbat al-Dusaq (Southern Jordan)
- Who Was Buried at the Petit-Chasseur Site? The Contribution of Archaeometric Analyses of Final Neolithic and Bell Beaker Domestic Pottery to the Understanding of the Megalith-Erecting Society of the Upper Rhône Valley (Switzerland, 3300–2200 BC)
- Erratum
- Erratum to “Britain In or Out of Europe During the Late Mesolithic? A New Perspective of the Mesolithic–Neolithic Transition”
- Review Article
- Archaeological Practices and Societal Challenges
- Special Issue Published in Cooperation with Meso’2020 – Tenth International Conference on the Mesolithic in Europe, edited by Thomas Perrin, Benjamin Marquebielle, Sylvie Philibert, and Nicolas Valdeyron - Part I
- Animal Teeth and Mesolithic Society
- A Matter of Scale: Responses to Landscape Changes in the Oslo Fjord, Norway, in the Mesolithic
- Chipped Stone Assemblage of the Layer B of the Kamyana Mohyla 1 Site (South-Eastern Ukraine) and the Issue of Kukrek in the North Meotic Steppe Region
- Rediscovered Mesolithic Rock Art Collection from Kamyana Mohyla Complex in Eastern Ukraine
- Mesolithic Montology
- A Little Mystery, Mythology, and Romance: How the “Pigmy Flint” Got Its Name
- Preliminary Results and Research Perspectives on the Submerged Stone Age Sites in Storstrømmen, Denmark
- Techniques and Ideas. Zigzag Motif, Barbed Line, and Shaded Band in the Meso-Neolithic Bone Assemblage at Zamostje 2, Volga-Oka Region (Russia)
- Modelling Foraging Cultures According to Nature? An Old and Unfortunately Forgotten Anthropological Discussion
- Mesolithic and Chalcolithic Mandibular Morphology: Using Geometric Morphometrics to Reconstruct Incomplete Specimens and Analyse Morphology
- Britain In or Out of Europe During the Late Mesolithic? A New Perspective of the Mesolithic–Neolithic Transition
- Non-Spatial Data and Modelling Multiscale Systems in Archaeology
- Living in the Mountains. Late Mesolithic/Early Neolithic Settlement in Northwest Portugal: Rock Shelter 1 of Vale de Cerdeira (Vieira do Minho)
- Enculturating Coastal Environments in the Middle Mesolithic (8300–6300 cal BCE) – Site Variability, Human–Environment Relations, and Mobility Patterns in Northern Vestfold, SE-Norway
- Why Mesolithic Populations Started Eating Crabs on the European Atlantic Façade Only Over the Past 15 Years?
- “Ain’t No Mountain High Enough” – Mesolithic Colonisation Processes and Landscape Usage of the Inner-Alpine Region Kleinwalsertal (Prov. Vorarlberg, Western Austria)
- Mesolithic Freshwater Fishing: A Zooarchaeological Case Study
- Consumers, not Contributors? The Study of the Mesolithic and the Study of Hunter-Gatherers
- Fish Processing in the Iron Gates Region During the Transitional and Early Neolithic Period: An Integrated Approach
- Hunting for Hide. Investigating an Other-Than-Food Relationship Between Stone Age Hunters and Wild Animals in Northern Europe
- Changing the Perspective, Adapting the Scale: Macro- and Microlithic Technologies of the Early Mesolithic in the SW Iberian Peninsula
- Fallen and Lost into the Abyss? A Mesolithic Human Skull from Sima Hedionda IV (Casares, Málaga, Iberian Peninsula)
- Evolutionary Dynamics of Armatures in Southern France in the Late Mesolithic and Early Neolithic
- Combining Agent-Based Modelling and Geographical Information Systems to Create a New Approach for Modelling Movement Dynamics: A Case Study of Mesolithic Orkney
- Pioneer Archaeologists and the Influence of Their Scientific Relationships on Mesolithic Studies in North Iberia
- Neolithisation in the Northern French Alps: First Results of the Lithic Study of the Industries of La Grande Rivoire Rockshelter (Isère, France)
- Late Mesolithic Individuals of the Danube Iron Gates Origin on the Dnipro River Rapids (Ukraine)? Archaeological and Bioarchaeological Records
- Special Issue on THE EARLY NEOLITHIC OF EUROPE, edited by F. Borrell, I. Clemente, M. Cubas, J. J. Ibáñez, N. Mazzucco, A. Nieto-Espinet, M. Portillo, S. Valenzuela-Lamas, & X. Terradas - Part II
- Early Neolithic Large Blades from Crno Vrilo (Dalmatia, Croatia): Preliminary Techno-Functional Analysis
- The Neolithic Flint Quarry of Pozarrate (Treviño, Northern Spain)
- From Anatolia to Algarve: Assessing the Early Stages of Neolithisation Processes in Europe
- What is New in the Neolithic? – A Special Issue Dedicated to Lech Czerniak, edited by Joanna Pyzel, Katarzyna Inga Michalak & Marek Z. Barański
- What is New in the Neolithic? – Celebrating the Academic Achievements of Lech Czerniak in Honour of His 70th Birthday
- Do We Finally Know What the Neolithic Is?
- Intermarine Area Archaeology and its Contribution to Studies of Prehistoric Europe
- Households and Hamlets of the Brześć Kujawski Group
- Exploiting Sheep and Goats at the Late Lengyel Settlement in Racot 18
- Colonists and Natives. The Beginning of the Eneolithic in the Middle Warta Catchment. 4500–3500 BC
- Is It Just the Location? Visibility Analyses of the West Pomeranian Megaliths of the Funnel Beaker Culture
- An Integrated Zooarchaeological and Micromorphological Perspective on Midden Taphonomy at Late Neolithic Çatalhöyük
- The Neolithic Sequence of the Middle Dunajec River Basin (Polish Western Carpathians) and Its Peculiarities
- Great Transformation on a Microscale: The Targowisko Settlement Region
- Special Issue on Digital Methods and Typology, edited by Gianpiero Di Maida, Christian Horn & Stefanie Schaefer-Di Maida
- Digital Methods and Typology: New Horizons
- Critique of Lithic Reason
- Unsupervised Classification of Neolithic Pottery From the Northern Alpine Space Using t-SNE and HDBSCAN
- A Boat Is a Boat Is a Boat…Unless It Is a Horse – Rethinking the Role of Typology
- Quantifying Patterns in Mortuary Practices: An Application of Factor Analysis and Cluster Analysis to Data From the Taosi Site, China
- Reexamining Ceramic Standardization During Agricultural Transition: A Geometric Morphometric Investigation of Initial – Early Yayoi Earthenware, Japan
- Statistical Analysis of Morphometric Data for Pottery Formal Classification: Variables, Procedures, and Digital Experiences of Medieval and Postmedieval Greyware Clustering in Catalonia (Twelfth–Nineteenth Centuries AD)