Abstract
C20H12N4Cl2F6O2S, triclinic, P1̄ (no. 2), a = 8.581(3) Å, b = 10.967(4) Å, c = 13.802(5) Å, α = 106.287(4)°, β = 105.505(4)°, γ = 101.592(4)°, V = 1146.7(7) Å3, Z = 2, Rgt(F) = 0.0500, wRref(F2) = 0.1426, T = 173 K.

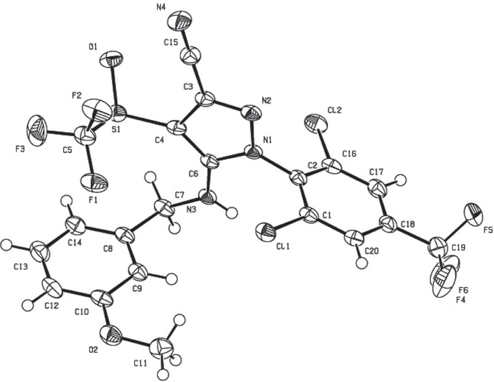
The asymmetric unit of the title crystal structure is shown in the figure. Tables 1 and 2 contain details on crystal structure and measurement conditions and a list of the atoms including atomic coordinates and displacement parameters.
Data collection and handling.
| Crystal: | Colourless block |
| Size: | 0.20 × 0.20 × 0.20 mm |
| Wavelength: | Mo Kα radiation (0.71073 Å) |
| μ: | 0.45 mm−1 |
| Diffractometer, scan mode: | CCD, φ and ω |
| θmax, completeness: | 27.5°, 99% |
| N(hkl)measured, N(hkl)unique, Rint: | 8996, 4840, 0.047 |
| Criterion for Iobs, N(hkl)gt: | Iobs > 2 σ(Iobs), 3883 |
| N(param)refined: | 348 |
| Programs: | CrysAlisPRO [1], SHELX [2], [3], Diamond [4] |
Fractional atomic coordinates and isotropic or equivalent isotropic displacement parameters (Å2).
| Atom | x | y | z | Uiso*/Ueq |
|---|---|---|---|---|
| Cl1 | 0.42976(7) | 0.64428(6) | 0.46938(5) | 0.02837(17) |
| Cl2 | 0.12755(8) | 0.22127(6) | 0.10049(5) | 0.03224(18) |
| S1 | 0.58199(7) | 0.67201(6) | 0.09013(5) | 0.02390(17) |
| F1 | 0.6659(2) | 0.88764(15) | 0.26399(13) | 0.0397(4) |
| F2 | 0.86959(19) | 0.80324(16) | 0.25479(15) | 0.0467(5) |
| F3 | 0.7904(2) | 0.90945(17) | 0.15035(16) | 0.0573(5) |
| O1 | 0.6947(2) | 0.60694(18) | 0.04333(14) | 0.0314(4) |
| O2 | 0.3537(2) | 1.07381(17) | 0.40044(15) | 0.0345(4) |
| N1 | 0.3930(2) | 0.47616(18) | 0.25036(16) | 0.0212(4) |
| N2 | 0.5489(2) | 0.4542(2) | 0.27234(17) | 0.0253(5) |
| N3 | 0.2240(2) | 0.57975(19) | 0.15852(17) | 0.0219(4) |
| H3 | 0.146(4) | 0.549(3) | 0.177(2) | 0.026* |
| N4 | 0.9221(3) | 0.5047(3) | 0.2248(2) | 0.0387(6) |
| C1 | 0.2862(3) | 0.4873(2) | 0.3982(2) | 0.0228(5) |
| C2 | 0.2757(3) | 0.4200(2) | 0.29383(19) | 0.0212(5) |
| C3 | 0.6278(3) | 0.5235(2) | 0.2263(2) | 0.0231(5) |
| C4 | 0.5278(3) | 0.5920(2) | 0.17467(19) | 0.0220(5) |
| C5 | 0.7361(3) | 0.8270(2) | 0.1972(2) | 0.0317(6) |
| C6 | 0.3725(3) | 0.5558(2) | 0.18978(18) | 0.0200(5) |
| C7 | 0.1827(3) | 0.6551(2) | 0.0879(2) | 0.0250(5) |
| H7A | 0.0581 | 0.6362 | 0.0597 | 0.030* |
| H7B | 0.2202 | 0.6240 | 0.0259 | 0.030* |
| C8 | 0.2637(3) | 0.8046(2) | 0.1430(2) | 0.0236(5) |
| C9 | 0.2717(3) | 0.8661(2) | 0.2480(2) | 0.0252(5) |
| H9 | 0.2302 | 0.8143 | 0.2857 | 0.030* |
| C10 | 0.3409(3) | 1.0042(2) | 0.2981(2) | 0.0278(5) |
| C11 | 0.2849(4) | 1.0000(3) | 0.4585(2) | 0.0374(6) |
| H11A | 0.1631 | 0.9574 | 0.4201 | 0.056* |
| H11B | 0.3036 | 1.0605 | 0.5307 | 0.056* |
| H11C | 0.3413 | 0.9316 | 0.4642 | 0.056* |
| C12 | 0.4030(3) | 1.0798(2) | 0.2425(2) | 0.0327(6) |
| H12 | 0.4516 | 1.1735 | 0.2764 | 0.039* |
| C13 | 0.3935(4) | 1.0181(3) | 0.1386(2) | 0.0348(6) |
| H13 | 0.4351 | 1.0699 | 0.1010 | 0.042* |
| C14 | 0.3236(3) | 0.8806(3) | 0.0878(2) | 0.0297(6) |
| H14 | 0.3169 | 0.8391 | 0.0158 | 0.036* |
| C15 | 0.7929(3) | 0.5144(3) | 0.2259(2) | 0.0285(5) |
| C16 | 0.1529(3) | 0.2977(2) | 0.2339(2) | 0.0241(5) |
| C17 | 0.0494(3) | 0.2382(2) | 0.2801(2) | 0.0274(5) |
| H17 | −0.0324 | 0.1536 | 0.2400 | 0.033* |
| C18 | 0.0677(3) | 0.3046(2) | 0.3860(2) | 0.0266(5) |
| C19 | −0.0419(4) | 0.2381(3) | 0.4364(3) | 0.0392(7) |
| C20 | 0.1832(3) | 0.4296(2) | 0.4452(2) | 0.0251(5) |
| H20 | 0.1915 | 0.4749 | 0.5169 | 0.030* |
| F4a | −0.0202(4) | 0.3086(3) | 0.5348(2) | 0.0628(11) |
| F5a | −0.0321(5) | 0.1164(3) | 0.4271(3) | 0.0682(10) |
| F6a | −0.2091(3) | 0.2166(3) | 0.3821(3) | 0.0687(10) |
| F4Ab | −0.135(2) | 0.2866(16) | 0.4619(16) | 0.073(4) |
| F5Ab | −0.1058(18) | 0.1210(16) | 0.3930(11) | 0.058(4) |
| F6Ab | 0.0812(14) | 0.2373(13) | 0.5368(9) | 0.060(4) |
aOccupancy: 0.826(5), bOccupancy: 0.174(5).
Source of material
All chemicals were of analytical grade, which were obtained from commercial suppliers and used directly without further purification (Shanghai Guoyao Chemical Reagent Co., Ltd.). Doubly distilled water was used throughout all experiments. The synthesis of the target product involves two steps. Firstly, to a 10 mL toluene solution of fipronil (4.37 g, 10 mmol), we added a 12 mmol m-methoxybenzaldehyde in toluene (35 mL) and 4 Å molecular sieves (2.0 g). Furthermore p-toluene sulfonic acid (0.2 g) was added as a catalyst followed by ultrasonic stirring for 0.5 h, the reaction mixture was reacted at about 120 °C for 8 h. The resulting solution was cooled to room temperature, and the filtrate was washed with saturated sodium carbonate solution (30 mL), water and saturated brine, respectively, and then dried over MgSO4. The filtrate was concentrated by rotary evaporation, and adsorbed on activated silica gel. The crude product was obtained by column chromatography on silica gel with Vethyl acetate/Vpetroleum ether (1:8) as the eluent, which was dried under vacuum to give the compound (1) 1-(2,6-dichloro-4-trifluoromethyl-phenyl)-5-[(3-methoxy-benzylidene)-amino]-4-trifluoromethanesulfinyl-1H-pyrazole-3-carbonitrile. Yield: 2.90 g (66.4%), 1H NMR (CDCl3, 400 MHz, ppm) δ 3.79(s, 3H), 7.14(s, 1H), 7.27 (s, 1H), 7.37 (s, 2H), 7.75 (s, 1H), 7.83 (s, 1H), 8.85 (s, 1H). IR (KBr, ν, cm−1) : 3075 (Ar-H), 2251 (–C≡N), 1599 (—C≡N), 1575, 1545, 1507 (benzene ring skeleton vibration), 1315 (C—F), 789, 685 (C—H). MS (FAB): m/e, 553 (M+).
In the second step, to a solution of 1-(2,6-dichloro-4-trifluoromethyl-phenyl)-5-[(3-methoxy-benzylidene)-amino]-4-trifluoromethanesulfinyl-1H-pyrazole-3-carbonitrile (1.65 g, 3 mmol), NaBH4 in CH2Cl2 (25 mL) was added an stirred for 4 h. The filtrate was concentrated by rotary evaporation, and adsorbed on activated silica gel (2.0 g), the crude product was obtained by column chromatography on silica gel with ethyl acetate, which was dried under vacuum to give the title compound. Yield: 1.22 g (74.1%), 1H NMR (CDCl3, 400 MHz, ppm) δ 3.75 (s, 3H), 4.11 (d, J = 8.4 Hz, 2H), 6.44 (s, 1H), 6.51 (s, 2H), 6.76 (d, J = 8.7 Hz, 1H), 7.12 (s, 1H), 7.55 (s, 1H), 7.61 (s, 1H). IR(KBr, ν, cm−1) : 3321 (Ar—H), 3045 (Ar—H), 2256 (—C≡N), 1586, 1545, 1496 (benzene ring skeleton vibration), 1316 (C—F), 769, 655 (aromatic ring C—H). MS (FAB): m/e, 556 (M+).
After allowing the Vethyl acetate/Vpetroleum ether (1:4) solution to stand in air for 15 days, transparent colorless cubic crystals were formed by slow evaporation of the solvent. The crystals of the title compound were isolated, washed with light petroleum and dried in vacuum (yield 70.4%).
Experimental details
All H atoms were placed in geometrically idealized positions and constrained to ride on their parent atoms with C—H distances in the range 0.93−0.98 Å, and with Uiso(H) = 1.2 Ueq for aryl H atoms and 1.5 Ueq for the methyl H atoms. All H atoms in the methyl group were allowed to rotate to best fit the experimental electron density. The CF3 group was refined with a disorder model. Atom F4, F5 and F6 of the CF3 moiety were found to be disordered over three positions (F4/F4A, F5/F5A and F6/F6A) and split into two positions with occupancies of 0.604 and 0.396 and refined anisotropically.
Comment
Schiff base reduction derivatives are important chemical reagents, which act as a foundational role of antibacterial, anti-oxidation, anti-tumor and have a wide range of applications in the fields of catalysis, biochemistry, functional materials, medicine and other research areas [5]. Some Schiff base reduction derivatives have a strong coordination effect [6]. Recently, such compounds are identified as potential components in the luminescent materials. Phenylpyrazole derivatives are a class of nitrogen-containing heterocyclic compounds with broad biological activity [7]. In the field of medicine, such compounds can reduce inflammation and analgesia [8] and in the field of pesticides, they can be used as herbicides and pesticides [9]. Furthermore, from the perspective of the molecular structure, the phenylpyrazole heterocycle can form a conjugated system with high fluorescence quantum yield and intramolecular charge transfer characteristics.
The crystal structure of the title compound consists of a fipronil sub structure and a m-methoxybenzaldehyde moiety, and is bridged with C—N bond 1.464(3) Å formed by N3—C7. The bridge angle C7—N3—C6 is 124.9(2)°. In the crystal structure the 1,3-dichloro-5-(trifluoromethyl)benzene rings are not coplanar to the plane of the pyrazole ring [10]. The two heterocyclic rings make a dihedral angle of C6—N1—C2 127.65(18)°. The N1—C2 bond distance is 1.425(3) Å, which is the single bond connecting pyrazole ring to 2,6-dichloro-4-trifluoromethylphenyl. The mean plane of C4-S1-C5 is slightly twisted out of pyrazole ring with a dihedral angle of 97.29(12)°. The aryl moieties of 1,3-dichloro-5-(trifluoromethyl)benzene, pyrazole and m-methoxybenzene are not in the same plane [11]. The C4—S1, S1—O1 and C10—O2 bond distance are 1.746(2) Å, 1.4879(18) Å and 1.368(3) Å respectively. The N4—C15 bond distance is 1.139(3) Å.
The packing of the title compound is partially facilitated by Y—X⋯π interactions. The two most prominent such interactions are given in the Y-X⋯Cg (Pi-Ring) interactions table (Cg1 represents the centroid of ring N1/N2/C4/C2/C3, Cg2 that of C7/C12/C11/C10/C9/C8). The first of these interactions, C8—Cl(2)⋯C(g)1π which acts in centrosymmetric pairs between two molecules, connects the molecules to infinite chains along the c axis of the unit cell. The second slightly weaker type of C19—F6A⋯C(g)2π interaction connects these chains with each other. There are no classical intermolecular hydrogen bonds.
The bioactivities of the title compound and phenylpyrazole insecticide (fipronil) against the 3rd instar larvae of Plutella xylostella were determined by the leaf disc-dipping assay. Leaves of Chinese cabbage grown in the greenhouse were collected, and discs (5 cm diameter) were punched from each leaf. The compounds were dissolved in acetone and suspended in distilled water containing Triton X-100. Leaf discs were dipped in each test solution for 30 s and allowed to dry for 2 h. The treated leaf discs were placed into Petri dishes (10 cm diameter). Then, ten Plutella xylostella larvae were introduced into each dish. Doubly distilled water containing acetone-Triton X-100 solution was used as the control. Petri dishes were kept in incubator at 25 °C and 85% relative humidity under a photoperiod of 16:8 h light: dark. All treatments were replicated three times. Mortalities were determined 24 h after treatment. The death rate of each treatment group was confirmed. LC50 value was calculated by the SPSS. Bioactivity results showed that the activities of the title compounds against Plutella xylostella after 24 h is 14.34 mg⋅L−1 better than that of fipronil 27.24 mg⋅L−1. This approach proposes a novel insight to provide a great number of novel phenylpyrazole fluorescent insecticide by a general green method.
The absorption and photoluminescence spectra of the title compound in CH2Cl2 solution were investigated. In the absorption spectrum, intense absorptions are observed in the ultraviolet region near 210 nm and 275 nm, belonging to the conjugated absorption peak of benzene ring and pyrazole ring. The conjugated structure with the pyrazole ring, results in a red shift in UV absorption and a medium-intensity absorption peak at 320-387 nm. Its UV absorption is mainly attributed to the p-π* transition of the conjugated system. The fluorescence spectrum of the title compound shows a strong peak at 445 nm. Finally it should be mentioned that phenylpyrazole heterocycle compounds are good candidates to design and develop new fluorescent pesticides, which lays a foundation for the natural degradation and fluorescence detection of pesticide residues.
Funding source: National Natural Science Foundation of China
Award Identifier / Grant number: 20702064
Award Identifier / Grant number: 21177161
Award Identifier / Grant number: 31402137
Funding statement: The authors thank the Natural Science Foundation of Hubei province for Distinguished Young Scholars (No.2013CFA034); National Natural Science Foundation of China (grant No. 20702064, 21177161 and 31402137); the Program for Excellent Talents in Hubei Province (RCJH15001); the Opening Project of Key Laboratory of Green Catalysis of Sichuan Institutes of High Education (LYZ1107) and the Fundamental Research Funds for the Central University, South-Central University for Nationalities (CZP17077).
References
1. Oxford Diffraction: CrysAlisPRO. Oxford Diffraction Ltd Abingdon, Oxfordshire, England (2006).Search in Google Scholar
2. Sheldrick, G. M.: SHELXT – integrated space-group and crystal-structure determination. Acta Crystallogr. A71 (2015) 3–8.10.1107/S2053273314026370Search in Google Scholar PubMed PubMed Central
3. Sheldrick, G. M.: Crystal structure refinement with SHELXL. Acta Crystallogr. C71 (2015) 3–8.10.1107/S2053229614024218Search in Google Scholar PubMed PubMed Central
4. Brandenburg, K.: DIAMOND. Visual Crystal Structure Information System. Ver. 4.0. Crystal Impact, Bonn, Germany (2015).Search in Google Scholar
5. Abu-Dief, A. M.; Mohamed, I. M. A.: A review on versatile applications of transition metal complexes incorporating Schiff bases. Beni-suef Univ. J. Basic Appl. Sci. 4 (2015) 119–133.10.1016/j.bjbas.2015.05.004Search in Google Scholar PubMed PubMed Central
6. Andruh, M.: The exceptionally rich coordination chemistry generated by Schiff-base ligands derived from o-vanillin. Dalton Trans. 44 (2015) 16633–16653.10.1039/C5DT02661JSearch in Google Scholar PubMed
7. Kornev, A. N.; Sushev, V. V.; Panova, Y. S.; Zolotareva, N. V.; Baranov, E. V.; Fukin, G. K.: Phenylpyrazole-based hypervalent phosphorus compounds: from positional isomerism to stacking interactions. Eur. J. Inorg. Chem. 2015 (2015) 2057–2066.10.1002/ejic.201500102Search in Google Scholar
8. Bekhit, A. A.; Abdel-Aziem, T.: Design, synthesis and biological evaluation of some pyrazole derivatives as anti-inflammatory-antimicrobial agents. Bioorg. Med. Chem. 46 (2004) 1935–1945.10.1016/j.bmc.2004.01.037Search in Google Scholar PubMed
9. Jiang, D. X.; Lu, X. L.; Hu, S.; Zhang, X. B.; Xu, H.: A new derivative of fipronil: effect of adding a glycinyl group to the 5-amine of pyrazole on phloem mobility and insecticidal activity. Pestic. Biochem. Physiol. 95 (2009) 126–130.10.1016/j.pestbp.2009.07.012Search in Google Scholar
10. Li, X. C.; Lim, W. T.; Kim, S. H.; Son, Y. A.: Crystal structure of 4-formylphenyl-diphenylamine, C19H15NO. Z. Kristallogr. NCS 224 (2009) 459–460.10.1524/ncrs.2009.0200Search in Google Scholar
11. Qi, Y. Y.; Zhang. S. X.: Crystal structure of 4,4′-bipyridine-chloroacetic acid (1:2), C10H8N2⋅2 C2H3ClO2, C14H14Cl2N2O4. Z. Kristallogr. NCS 228 (2013) 341–342.10.1524/ncrs.2013.0167Search in Google Scholar
© 2019 Lianqing Chen et al., published by De Gruyter, Berlin/Boston
This work is licensed under the Creative Commons Attribution 4.0 Public License.
Articles in the same Issue
- Frontmatter
- Crystal structure of (E)-2-(1-((2-aminophenyl)imino)ethyl)-5-fluorophenol, C14H13FN2O
- Crystal structure of (E)-2-(1-((2-aminophenyl)imino)ethyl)-4,6-dichlorophenol, C14H12Cl2N2O
- The crystal structure of (E)-1-(4-methoxyphenyl)-3-(2-nitrophenyl)triaz-1-ene C8H8N2O4
- Crystal structure of (E)-2-(((6-bromopyridin-2-yl)methylene)amino)-3′,6′-bis(ethylamino)-2′,7′-dimethylspiro[isoindoline-1,9′-xanthen]-3-one—methanol (1:1), C32H30N5O2Br ⋅ CH4O
- Crystal structure of 2,4-pentanedione bis(2,4-dinitrophenylhydrazone), C17H16N8O8
- Crystal structure of sodium morpholine-4-carbodithioate, (C5H12NNaO3S2)
- Crystal structure of 1,1′-(hexane-1,6-diyl)bis(3-ethyl-1H-imidazol-3-ium) bis(hexafluorido phosphate), C16H28F12N4P2
- Crystal structure of 5-(4-chlorophenyl)-3-(4-fluorophenyl)-1-phenyl-4,5-dihydro-1H-pyrazole, C21H16ClFN2
- Crystal structure of catena-poly[diaqua-bis(3-carboxy-5-methoxybenzoato-κO)-(1,2-bis(imidazol-1-yl)ethane-κ2N:N′)cobalt(II)], C26H28CoN4O12, [Co(C9H6O5)2(H2O)2(C8H10N4)]
- The crystal structure of 3-cyclohexyl-1,5-dioxaspiro[5.5]undecane-2,4-dione, C15H22O4
- Crystal structure of (2,4-dimethoxybenzyl)triphenylphosphonium trifluoroacetate — trifluoroacetic acid (1/1), C31H27F6O6P
- Crystal structure of 4-tert-butyl-1-(2,6-dimethylphenyl)-1H-1,2,3-triazole, C14H19N3
- Crystal structure of 1,1′-methylenebis(4-tert-butylpyridinium) tetrachloridocobaltate(II) – dichloromethane (1:1), C20H30Cl6CoN2
- Crystal structure of (4,4′-(ethane-1,2-diylbis((nitrilo)(2-furylmethylylidene)))bis(3-methyl-1-phenyl-1H-pyrazol-5-olato-κ4N,N′,O,O′))-nickel(II)), C32H26N6NiO4
- Synthesis and crystal structure of bis{((E)-((4-((E)-1-(benzyloxyimino)ethyl)phenyl)imino)methyl)-2-phenolato-κ2N,O}copper(II), C44H38CuN4O4
- Crystal structure of catena-poly[diaqua-bis(3,5-dichloropyridine-4-carboxylato-κ1O)-bis(μ2-4,4′-bipyridine-κ2N:N′)cobalt(II)], C22H16Cl4CoN4O6
- The crystal structure of 2-(4-chloro-2,6-dinitrophenyl)-1-(4-chloro-3,5-dinitrophenyl)diazene 1-oxide, C12H4Cl2N6O9
- The crystal structure of 3-(1H-benzo[d]imidazol-2-yl)-7-chloro-1-cyclopropyl-6-fluoro-1,4-dihydroquinolin — dimethylsulfoxide (1/1), C21H19ClFN3O2S
- The crystal structure of dichlorido-bis(1-butyl-1H-imidazole-κN)zinc(II), C14H24Cl2ZnN4
- (Z)-N-tert-butyl-1-(2-(3,5-dichlorobenzamido)phenyl) methanimine oxide, C18H18Cl2N2O2
- Crystal structure of diaqua-bis(3-carboxy-5-bromoisophthalato-κO)-bis(1-(3-(1H-benzo[d]imidazol-1-yl)propyl)-1H-benzo[d]imidazol-3-ium-κN)nickel(II) bis(3-carboxy-5-bromoisophthalate), C66H54Br4N8NiO18
- Crystal structure of poly[aqua(μ2-5-methoxyisophthalato-κ2O,O′:O′′)-(1,2-bis(imidazol-1′-yl)ethane-κ2N:N′)cobalt(II), C34H36Co2N8O12
- Crystal structure of poly[diaqua-bis(μ2-1-(4-(1H-imidazol-1-yl)benzyl)-1H-1,2,4-triazole-κ2N:N′)manganese(II)] terephthalate tetrahydrate, MnC32H38N10O10
- Crystal structure of the fluorescent fipronil derivative 5,5′-(methylenebis(azanediyl))bis(1-(2,6-dichloro-4-(trifluoromethyl)phenyl)-4-((trifluoromethyl)sulfinyl)-1H-pyrazole-3-carbonitrile), C25H6N8O2Cl4F12S2
- Crystal structure of the phosphorescent complex diethyldithiophosphonato-κ2S,S′-bis(2-phenylpyridinato-κ2C,N)iridium(III), C26H26N2O2PS2Ir
- The crystal structure of 4,10-diethoxy-6H,12H-6,12-epoxydibenzo[b,f][1,5]dioxocine, C18H18O5
- Crystal structure of dichlorido-bis(N-benzyl-2-(quinolin-8-yloxy)acetamide-κ2N,O)copper(II) — ethyl acetate (1/1), C38H36N4O6Cl2Cu
- Synthesis and crystal structure of bis{4-methyl-2-((E)-((4-((E)-1-(benzyloxyimino)ethyl)phenyl)imino)methyl)phenolato-κ3N,O,O}copper(II), C92H84Cu2N8O8
- The crystal structure of 1,3,5-trinitro-4,6-diazidobenzene, C6HN9O6
- Crystal structure 1-cinnamyl-2-((Z)-styryl)-1H-benzo[d]imidazole — methanol (1/1), C24H20N2 ⋅ CH4O
- The crystal structure of poly[m2-aqua-tetraaqua-bis(m9-4-formylbenzene-1,3-disulfonato)tetrasodium(I) hydrate, C14H18O19S4Na4
- Crystal structure of 2-((2,8-bis(trifluoromethyl)quinolin-4-yl)(hydroxy)methyl)piperidin-1-ium trifluoroacetate, [C17H17F6N2O][C2F3O2]
- The crystal structure of bis(ferrocenecarboxylato-κ2O,O′)bis[4-(dimethylamino)pyridine-κN]copper(II) — acetonitrile(1/2), C40H44CuO4Fe2N6
- Crystal structure of poly[di-μ2-aqua)-diaqua-bis(μ6-4,4′,4′′-(benzene-1,3,5-triyltris(oxy))tribenzoato-κ6O1:O2:O3:O3:O5:O6)tricadmium(II)] dihydrate, C54H42Cd3O24
- The crystal structure of dichlorido(1,3-bis(2,6-diisopropyl-phenyl)-1H-3λ4-imidazol-2-yl)(3-phenyl-pyridine-κN)palladium(IV), C38H45N3Cl2Pd
- The crystal structure of 2-chloro-4-(prop-2-yn-1-yloxy)-6-phenyl-1,3,5-triazine, C12H8ClN3O
- The crystal structure of 2,6-di-tert-butyl-4-(phenyl(phenylsulfonyl)methyl)phenol, C27H32O3S
- Crystal structure of bis{μ2-bis{(((((1-methoxyimino)ethyl)phenyl)imino)methyl)-2-phenolato-κ3N,O:O}copper(II)}, C68H68Cu2N8O8
- Crystal structure of catena-poly[tetraaqua-bis(μ2-2-(4-carboxylatophenoxy)benzoato-κ2O:O′)-pentakis(pyridine-κ1N)dinickel(II)], C53H47N5Ni2O13
- Synthesis and crystal structure of 1-(2,6-dichloro-4-trifluoromethyl-phenyl)-5-(3-methoxy-benzylamino)-4-trifluoromethanesulfinyl-1H-pyrazole-3-carbonitrile, C20H12N4Cl2F6O2S
- Redetermination of the crystal structure of bis(μ2-di-ethyldithiocarbamato-κ3S,S′:S;κ3S:S: S′)-hexacarbonyl-di-rhenium(I), C16H20N2O6Re2S4
- The crystal structure of (E)-N′-((2-hydroxynaphthalen-1-yl)methylene)-2-phenylacetohydrazide, C19H16O2N2
- Crystal structure of 6-hydroxy-4,8,11b-trimethyltetradecayhdro-8,11-epoxy-6a,9-methanocyclohepta[a]naphthalene-4-carboxylic acid – methanol (1/1), C20H30O4
- The crystal structure of aqua-bis(3-acetyl-2-oxo-2H-chromen-4-olato-κ2O,O′)zinc(II) monohydrate, C22H18O10Zn
- Crystal structure of poly[bis(μ2-4-bromoisophthalate-κ2O:O′)-tris(μ2-1-(3-((1H-1,2,4-triazol-1-yl)methyl)benzyl)-1H-1,2,4-triazole-κ2N:N′)dicobalt(II)] monohydrate, C26H23CoN9O5Br
- A cyclic I102− anion in the layered crystal structure of theophyllinium pentaiodide, C7H9I5N4O2
- Crystal structure of catena-poly[diaqua-bis(μ2-4-((4-(pyridin-2-ylmethoxy)phenyl)diazenyl)benzoato-κ3O,O′:N)cadmium(III)], Cd(C19H14O3N3)2(H2O)
- Crystal structure of catena-poly[(μ2-4,4′-bipyridyl-κN,N′)-bis(O,O′-dimethyldithiophosphato-κS)-zinc(II)], {C14H20N2O4P2S4Zn}n
- Crystal structure of 3-amino-2-hydroxy-6-methoxybenzamide hydrate, C16H22N4O7
- Crystal structure of hemikis(cyclohexane-1,4-diammonium) (pyridine-2-carboxylate), [C6H16N2]0.5[C6H4NO2]
- Crystal structure of 2-chloro-4-(prop-2-yn-1-yloxy)-6-(thiophen-2-yl)-1,3,5-triazine, C10H6ClN3OS
- The crystal structure of 3-butyl-1-methyl-1H-imidazol-3-ium catena-poly[tris(μ2-bromido-κ2Br:Br)lead(II)], C8H15Br3N2Pb
- Crystal structure of 3-(5-amino-1H-1,2,4-triazol-3-yl)-1-(piperidin-1-yl)propan-1-one, C10H17N5O
- Crystal structure of aqua-2,2′,2′′-(((nitrilo-κN-tris(ethane-2,1-diyl))tris(azanylylidene-κ3N′,N′′,N′′′))tris(methanylylidene))tris(4-chlorophenolato-κ3O,O′,O′′)neodymium(III), C27H26Cl3N4NdO4
- Crystal structure of dichlorido-(μ2-2,2′-(diazene-1,2-diyl)bis(benzen-1-ido)-κ2C:C′)dimercury(II), C12H8Cl2Hg2N2
- Crystal structure of (3E,5E)-3,5-bis(4-cyanobenzylidene)-1-((4-fluorophenyl)sulfonyl)piperidin-4-one, C27H18FN3O3S
- Crystal structure of dichlorido(pyridine-κN)(2,4,6-tri-2-pyridyl-1,3,5-triazine-κ3N2,N1,N6)nickel(II), C23H17Cl2N7Ni
- Redetermination of the crystal structure of tetrakis(4-chlorobenzyl)tin(IV), C28H24Cl4Sn
- The crystal structure of 2,6-bis(pyridin-1-ium-3-ylmethyl)hexahydro-4,8-ethenopyrrolo-[3,4-f] isoindole-1,3,5,7-tetrone tetrachloridocuprate(II) monohydrate, C24H24Cl4CuN4O5
- Crystal structure of cyclo-[octaaqua-tetrakis(μ2-5,5′-(1H-imidazole-4,5-diyl)bis(tetrazol-2-ido)-κ4N,N′,N′′,N′′′)tetramagnesium(II)], C20H24N40O8Mg4
- The crystal structure of a matrine derivative, 13-(4-Cl-pyrrole)-matrine, C18H26ClN4O
- Crystal structure of (dibenzyl sulphoxide-κO)bis(2-chlorobenzyl-κC1)dichloridotin(IV), C28H26Cl4OSSn
- Crystal structure of catena-poly[(μ2-azido-κ2N:N)(μ2-4-cyanobenzoato-κ2O:O′)-(μ2-methanol-κ2O:O)copper(II)], C9H8CuN4O3
- Crystal structure of 1,1′-dibenzyl-3,3′-dicyano-1,1′,4,4′-tetrahydro-4,4′-bipyridine, C26H22N4
- Crystal structure of (2-bromobenzyl)((1-bromonaphthalen-2-yl)methyl)sulfane, C18H14Br2S
- Crystal structure of 2-(4-ammoniocyclohexyl)-3-(pyridin-2-yl)imidazo[1,5-a]pyridin-2-ium 2-[(2-carboxylatophenyl)disulfanyl]benzoate dihydrate, [C18H22N4][C14H8O4S2] ⋅ 2H2O
- Crystal structure of (E)-N-((3R,5S,10S, 13S,14S,17S)-17-((S)-1-(dimethylamino)ethyl)-10,13-dimethylhexadecahydro-1H-cyclopenta[a]phenanthren-3-yl)-2-methylbut-2-enamide – water – methanol (1/1/1), C29H54N2O3
- Crystal structure of methyl 2-(4-(3-(2,4-difluorophenyl)pyrazolo[1,5-a]pyrimidin-6-yl)phenyl)acetate, C21H15F2N3O2
- Crystal structure of poly[triaqua-(μ4-benzene-1,3,5-tricarboxylato-κ5O1,O2:O3:O4:O5)-(μ2-5-(3-pyridyl)tetrazolato-κ2N1:N3)dizinc(II)], C15H13N5O9Zn2
- Crystal structure of N-(3-methylphenyl)(propan-2-yloxy)carbothioamide, C11H15NOS
- Crystal structure of poly[(μ2-1,3-bis(imidazol-1-ylmethyl)benzene-κ2N:N′)(nitrato-κ1O)cadmium(II)] — water (2/1), C28H32CdN10O7
- Crystal structure of 4-phenyl-2,4-dihydro-3H-1,2,4-triazole-3-thione, C8H7N3S
- Crystal structure of benzyltrichloridobis(1H-pyrazole-κ2N)tin(IV), C13H15Cl3N4Sn
- Crystal structure of chlorido-4-fluorobenzyl-bis(2-methylquinolin-8-olato-κ2N,O)tin(IV), C27H22ClFN2O2Sn
- Crystal structure of tetrakis(O,O′-diisopropyldithiophosphato-κ2S,S′)-(μ2-1,2-bis(4-pyridylmethylene)hydrazine-κ2N:N′)zinc(II), C36H66N4O8P4S8Zn2
- Crystal structure of tetrabutylammonium 4,4-oxydibenzoate – boric acid – water (1/2/6) C46H98B2N2O17
- Redetermination of the crystal structure of catena-poly[[tribenzyltin(IV)]-(μ2-pyridine-4-carboxylato-κ2N:O)], C27H25NO2Sn
- The synthysis and crystal structure of cyclohexyl 5-amino-1-(2,6-dichloro-4-(trifluoromethyl)phenyl)-4-((trifluoromethyl)sulfinyl)-1H-pyrazole-3-carboxylate, C18H15N3Cl2F6O3S
- The crystal structure of 5,7-bis(2-hydroxyethoxy)-2-phenyl-4H-chromen-4-one, C19H18O6
- Synthesis and crystal structure of (±)-Ethyl 5′-(difluoromethyl)-2-oxo-4′,5′-dihydrospiro[indoline-3,3′-pyrazole]-4′-carboxylate, C14H13F2N3O3
Articles in the same Issue
- Frontmatter
- Crystal structure of (E)-2-(1-((2-aminophenyl)imino)ethyl)-5-fluorophenol, C14H13FN2O
- Crystal structure of (E)-2-(1-((2-aminophenyl)imino)ethyl)-4,6-dichlorophenol, C14H12Cl2N2O
- The crystal structure of (E)-1-(4-methoxyphenyl)-3-(2-nitrophenyl)triaz-1-ene C8H8N2O4
- Crystal structure of (E)-2-(((6-bromopyridin-2-yl)methylene)amino)-3′,6′-bis(ethylamino)-2′,7′-dimethylspiro[isoindoline-1,9′-xanthen]-3-one—methanol (1:1), C32H30N5O2Br ⋅ CH4O
- Crystal structure of 2,4-pentanedione bis(2,4-dinitrophenylhydrazone), C17H16N8O8
- Crystal structure of sodium morpholine-4-carbodithioate, (C5H12NNaO3S2)
- Crystal structure of 1,1′-(hexane-1,6-diyl)bis(3-ethyl-1H-imidazol-3-ium) bis(hexafluorido phosphate), C16H28F12N4P2
- Crystal structure of 5-(4-chlorophenyl)-3-(4-fluorophenyl)-1-phenyl-4,5-dihydro-1H-pyrazole, C21H16ClFN2
- Crystal structure of catena-poly[diaqua-bis(3-carboxy-5-methoxybenzoato-κO)-(1,2-bis(imidazol-1-yl)ethane-κ2N:N′)cobalt(II)], C26H28CoN4O12, [Co(C9H6O5)2(H2O)2(C8H10N4)]
- The crystal structure of 3-cyclohexyl-1,5-dioxaspiro[5.5]undecane-2,4-dione, C15H22O4
- Crystal structure of (2,4-dimethoxybenzyl)triphenylphosphonium trifluoroacetate — trifluoroacetic acid (1/1), C31H27F6O6P
- Crystal structure of 4-tert-butyl-1-(2,6-dimethylphenyl)-1H-1,2,3-triazole, C14H19N3
- Crystal structure of 1,1′-methylenebis(4-tert-butylpyridinium) tetrachloridocobaltate(II) – dichloromethane (1:1), C20H30Cl6CoN2
- Crystal structure of (4,4′-(ethane-1,2-diylbis((nitrilo)(2-furylmethylylidene)))bis(3-methyl-1-phenyl-1H-pyrazol-5-olato-κ4N,N′,O,O′))-nickel(II)), C32H26N6NiO4
- Synthesis and crystal structure of bis{((E)-((4-((E)-1-(benzyloxyimino)ethyl)phenyl)imino)methyl)-2-phenolato-κ2N,O}copper(II), C44H38CuN4O4
- Crystal structure of catena-poly[diaqua-bis(3,5-dichloropyridine-4-carboxylato-κ1O)-bis(μ2-4,4′-bipyridine-κ2N:N′)cobalt(II)], C22H16Cl4CoN4O6
- The crystal structure of 2-(4-chloro-2,6-dinitrophenyl)-1-(4-chloro-3,5-dinitrophenyl)diazene 1-oxide, C12H4Cl2N6O9
- The crystal structure of 3-(1H-benzo[d]imidazol-2-yl)-7-chloro-1-cyclopropyl-6-fluoro-1,4-dihydroquinolin — dimethylsulfoxide (1/1), C21H19ClFN3O2S
- The crystal structure of dichlorido-bis(1-butyl-1H-imidazole-κN)zinc(II), C14H24Cl2ZnN4
- (Z)-N-tert-butyl-1-(2-(3,5-dichlorobenzamido)phenyl) methanimine oxide, C18H18Cl2N2O2
- Crystal structure of diaqua-bis(3-carboxy-5-bromoisophthalato-κO)-bis(1-(3-(1H-benzo[d]imidazol-1-yl)propyl)-1H-benzo[d]imidazol-3-ium-κN)nickel(II) bis(3-carboxy-5-bromoisophthalate), C66H54Br4N8NiO18
- Crystal structure of poly[aqua(μ2-5-methoxyisophthalato-κ2O,O′:O′′)-(1,2-bis(imidazol-1′-yl)ethane-κ2N:N′)cobalt(II), C34H36Co2N8O12
- Crystal structure of poly[diaqua-bis(μ2-1-(4-(1H-imidazol-1-yl)benzyl)-1H-1,2,4-triazole-κ2N:N′)manganese(II)] terephthalate tetrahydrate, MnC32H38N10O10
- Crystal structure of the fluorescent fipronil derivative 5,5′-(methylenebis(azanediyl))bis(1-(2,6-dichloro-4-(trifluoromethyl)phenyl)-4-((trifluoromethyl)sulfinyl)-1H-pyrazole-3-carbonitrile), C25H6N8O2Cl4F12S2
- Crystal structure of the phosphorescent complex diethyldithiophosphonato-κ2S,S′-bis(2-phenylpyridinato-κ2C,N)iridium(III), C26H26N2O2PS2Ir
- The crystal structure of 4,10-diethoxy-6H,12H-6,12-epoxydibenzo[b,f][1,5]dioxocine, C18H18O5
- Crystal structure of dichlorido-bis(N-benzyl-2-(quinolin-8-yloxy)acetamide-κ2N,O)copper(II) — ethyl acetate (1/1), C38H36N4O6Cl2Cu
- Synthesis and crystal structure of bis{4-methyl-2-((E)-((4-((E)-1-(benzyloxyimino)ethyl)phenyl)imino)methyl)phenolato-κ3N,O,O}copper(II), C92H84Cu2N8O8
- The crystal structure of 1,3,5-trinitro-4,6-diazidobenzene, C6HN9O6
- Crystal structure 1-cinnamyl-2-((Z)-styryl)-1H-benzo[d]imidazole — methanol (1/1), C24H20N2 ⋅ CH4O
- The crystal structure of poly[m2-aqua-tetraaqua-bis(m9-4-formylbenzene-1,3-disulfonato)tetrasodium(I) hydrate, C14H18O19S4Na4
- Crystal structure of 2-((2,8-bis(trifluoromethyl)quinolin-4-yl)(hydroxy)methyl)piperidin-1-ium trifluoroacetate, [C17H17F6N2O][C2F3O2]
- The crystal structure of bis(ferrocenecarboxylato-κ2O,O′)bis[4-(dimethylamino)pyridine-κN]copper(II) — acetonitrile(1/2), C40H44CuO4Fe2N6
- Crystal structure of poly[di-μ2-aqua)-diaqua-bis(μ6-4,4′,4′′-(benzene-1,3,5-triyltris(oxy))tribenzoato-κ6O1:O2:O3:O3:O5:O6)tricadmium(II)] dihydrate, C54H42Cd3O24
- The crystal structure of dichlorido(1,3-bis(2,6-diisopropyl-phenyl)-1H-3λ4-imidazol-2-yl)(3-phenyl-pyridine-κN)palladium(IV), C38H45N3Cl2Pd
- The crystal structure of 2-chloro-4-(prop-2-yn-1-yloxy)-6-phenyl-1,3,5-triazine, C12H8ClN3O
- The crystal structure of 2,6-di-tert-butyl-4-(phenyl(phenylsulfonyl)methyl)phenol, C27H32O3S
- Crystal structure of bis{μ2-bis{(((((1-methoxyimino)ethyl)phenyl)imino)methyl)-2-phenolato-κ3N,O:O}copper(II)}, C68H68Cu2N8O8
- Crystal structure of catena-poly[tetraaqua-bis(μ2-2-(4-carboxylatophenoxy)benzoato-κ2O:O′)-pentakis(pyridine-κ1N)dinickel(II)], C53H47N5Ni2O13
- Synthesis and crystal structure of 1-(2,6-dichloro-4-trifluoromethyl-phenyl)-5-(3-methoxy-benzylamino)-4-trifluoromethanesulfinyl-1H-pyrazole-3-carbonitrile, C20H12N4Cl2F6O2S
- Redetermination of the crystal structure of bis(μ2-di-ethyldithiocarbamato-κ3S,S′:S;κ3S:S: S′)-hexacarbonyl-di-rhenium(I), C16H20N2O6Re2S4
- The crystal structure of (E)-N′-((2-hydroxynaphthalen-1-yl)methylene)-2-phenylacetohydrazide, C19H16O2N2
- Crystal structure of 6-hydroxy-4,8,11b-trimethyltetradecayhdro-8,11-epoxy-6a,9-methanocyclohepta[a]naphthalene-4-carboxylic acid – methanol (1/1), C20H30O4
- The crystal structure of aqua-bis(3-acetyl-2-oxo-2H-chromen-4-olato-κ2O,O′)zinc(II) monohydrate, C22H18O10Zn
- Crystal structure of poly[bis(μ2-4-bromoisophthalate-κ2O:O′)-tris(μ2-1-(3-((1H-1,2,4-triazol-1-yl)methyl)benzyl)-1H-1,2,4-triazole-κ2N:N′)dicobalt(II)] monohydrate, C26H23CoN9O5Br
- A cyclic I102− anion in the layered crystal structure of theophyllinium pentaiodide, C7H9I5N4O2
- Crystal structure of catena-poly[diaqua-bis(μ2-4-((4-(pyridin-2-ylmethoxy)phenyl)diazenyl)benzoato-κ3O,O′:N)cadmium(III)], Cd(C19H14O3N3)2(H2O)
- Crystal structure of catena-poly[(μ2-4,4′-bipyridyl-κN,N′)-bis(O,O′-dimethyldithiophosphato-κS)-zinc(II)], {C14H20N2O4P2S4Zn}n
- Crystal structure of 3-amino-2-hydroxy-6-methoxybenzamide hydrate, C16H22N4O7
- Crystal structure of hemikis(cyclohexane-1,4-diammonium) (pyridine-2-carboxylate), [C6H16N2]0.5[C6H4NO2]
- Crystal structure of 2-chloro-4-(prop-2-yn-1-yloxy)-6-(thiophen-2-yl)-1,3,5-triazine, C10H6ClN3OS
- The crystal structure of 3-butyl-1-methyl-1H-imidazol-3-ium catena-poly[tris(μ2-bromido-κ2Br:Br)lead(II)], C8H15Br3N2Pb
- Crystal structure of 3-(5-amino-1H-1,2,4-triazol-3-yl)-1-(piperidin-1-yl)propan-1-one, C10H17N5O
- Crystal structure of aqua-2,2′,2′′-(((nitrilo-κN-tris(ethane-2,1-diyl))tris(azanylylidene-κ3N′,N′′,N′′′))tris(methanylylidene))tris(4-chlorophenolato-κ3O,O′,O′′)neodymium(III), C27H26Cl3N4NdO4
- Crystal structure of dichlorido-(μ2-2,2′-(diazene-1,2-diyl)bis(benzen-1-ido)-κ2C:C′)dimercury(II), C12H8Cl2Hg2N2
- Crystal structure of (3E,5E)-3,5-bis(4-cyanobenzylidene)-1-((4-fluorophenyl)sulfonyl)piperidin-4-one, C27H18FN3O3S
- Crystal structure of dichlorido(pyridine-κN)(2,4,6-tri-2-pyridyl-1,3,5-triazine-κ3N2,N1,N6)nickel(II), C23H17Cl2N7Ni
- Redetermination of the crystal structure of tetrakis(4-chlorobenzyl)tin(IV), C28H24Cl4Sn
- The crystal structure of 2,6-bis(pyridin-1-ium-3-ylmethyl)hexahydro-4,8-ethenopyrrolo-[3,4-f] isoindole-1,3,5,7-tetrone tetrachloridocuprate(II) monohydrate, C24H24Cl4CuN4O5
- Crystal structure of cyclo-[octaaqua-tetrakis(μ2-5,5′-(1H-imidazole-4,5-diyl)bis(tetrazol-2-ido)-κ4N,N′,N′′,N′′′)tetramagnesium(II)], C20H24N40O8Mg4
- The crystal structure of a matrine derivative, 13-(4-Cl-pyrrole)-matrine, C18H26ClN4O
- Crystal structure of (dibenzyl sulphoxide-κO)bis(2-chlorobenzyl-κC1)dichloridotin(IV), C28H26Cl4OSSn
- Crystal structure of catena-poly[(μ2-azido-κ2N:N)(μ2-4-cyanobenzoato-κ2O:O′)-(μ2-methanol-κ2O:O)copper(II)], C9H8CuN4O3
- Crystal structure of 1,1′-dibenzyl-3,3′-dicyano-1,1′,4,4′-tetrahydro-4,4′-bipyridine, C26H22N4
- Crystal structure of (2-bromobenzyl)((1-bromonaphthalen-2-yl)methyl)sulfane, C18H14Br2S
- Crystal structure of 2-(4-ammoniocyclohexyl)-3-(pyridin-2-yl)imidazo[1,5-a]pyridin-2-ium 2-[(2-carboxylatophenyl)disulfanyl]benzoate dihydrate, [C18H22N4][C14H8O4S2] ⋅ 2H2O
- Crystal structure of (E)-N-((3R,5S,10S, 13S,14S,17S)-17-((S)-1-(dimethylamino)ethyl)-10,13-dimethylhexadecahydro-1H-cyclopenta[a]phenanthren-3-yl)-2-methylbut-2-enamide – water – methanol (1/1/1), C29H54N2O3
- Crystal structure of methyl 2-(4-(3-(2,4-difluorophenyl)pyrazolo[1,5-a]pyrimidin-6-yl)phenyl)acetate, C21H15F2N3O2
- Crystal structure of poly[triaqua-(μ4-benzene-1,3,5-tricarboxylato-κ5O1,O2:O3:O4:O5)-(μ2-5-(3-pyridyl)tetrazolato-κ2N1:N3)dizinc(II)], C15H13N5O9Zn2
- Crystal structure of N-(3-methylphenyl)(propan-2-yloxy)carbothioamide, C11H15NOS
- Crystal structure of poly[(μ2-1,3-bis(imidazol-1-ylmethyl)benzene-κ2N:N′)(nitrato-κ1O)cadmium(II)] — water (2/1), C28H32CdN10O7
- Crystal structure of 4-phenyl-2,4-dihydro-3H-1,2,4-triazole-3-thione, C8H7N3S
- Crystal structure of benzyltrichloridobis(1H-pyrazole-κ2N)tin(IV), C13H15Cl3N4Sn
- Crystal structure of chlorido-4-fluorobenzyl-bis(2-methylquinolin-8-olato-κ2N,O)tin(IV), C27H22ClFN2O2Sn
- Crystal structure of tetrakis(O,O′-diisopropyldithiophosphato-κ2S,S′)-(μ2-1,2-bis(4-pyridylmethylene)hydrazine-κ2N:N′)zinc(II), C36H66N4O8P4S8Zn2
- Crystal structure of tetrabutylammonium 4,4-oxydibenzoate – boric acid – water (1/2/6) C46H98B2N2O17
- Redetermination of the crystal structure of catena-poly[[tribenzyltin(IV)]-(μ2-pyridine-4-carboxylato-κ2N:O)], C27H25NO2Sn
- The synthysis and crystal structure of cyclohexyl 5-amino-1-(2,6-dichloro-4-(trifluoromethyl)phenyl)-4-((trifluoromethyl)sulfinyl)-1H-pyrazole-3-carboxylate, C18H15N3Cl2F6O3S
- The crystal structure of 5,7-bis(2-hydroxyethoxy)-2-phenyl-4H-chromen-4-one, C19H18O6
- Synthesis and crystal structure of (±)-Ethyl 5′-(difluoromethyl)-2-oxo-4′,5′-dihydrospiro[indoline-3,3′-pyrazole]-4′-carboxylate, C14H13F2N3O3