Home Mathematics Meromorphic exact solutions of the (2 + 1)-dimensional generalized Calogero-Bogoyavlenskii-Schiff equation
Article Open Access

Meromorphic exact solutions of the (2 + 1)-dimensional generalized Calogero-Bogoyavlenskii-Schiff equation

  • Najva Aminakbari , Yongyi Gu EMAIL logo and Wenjun Yuan EMAIL logo
Published/Copyright: November 21, 2020

Abstract

In this article, meromorphic exact solutions for the (2 + 1)-dimensional generalized Calogero-Bogoyavlenskii-Schiff (gCBS) equation are obtained by using the complex method. With the applications of our results, traveling wave exact solutions of the breaking soliton equation are achieved. The dynamic behaviors of exact solutions of the (2 + 1)-dimensional gCBS equation are shown by some graphs. In particular, the graphs of elliptic function solutions are comparatively rare in other literature. The idea of this study can be applied to the complex nonlinear systems of some areas of engineering.

MSC 2020: 30D35; 34A05

1 Introduction and main results

A lot of nonlinear integral equations with constant coefficients are used to explain the physical phenomena. Many researchers have studied (1 + 1) dimensional nonlinear integrable systems with constant coefficients. The analysis of higher dimensional systems is an important subject in nonlinear integrable systems. In recent years, many mathematicians and physicists studied the nonlinear integrable systems that occur in various fields such as biology, fluid dynamics, quantum and plasma physics, thermal engineering and optics. Plenty of methods have been developed for getting exact solutions to nonlinear differential equations such as the modified extended tanh method [1,2], the improved F-expansion method [3], the modified simple equation method [4], the complex method [5,6,7,8], the generalized ( G / G ) -expansion method [9,10,11], the exp ( ψ ( z ) ) -expansion method [12,13,14,15,16], the ( m + 1 / G ) -expansion method [17], the sine-Gordon expansion method [18,19,20,21,22,23,24], the extended sine-Gordon expansion method [25,26,27], the extended rational sinh-cosh method [28], the modified Kudryashov method [29] and other methods [30,31,32].

The Calogero-Bogoyavlenskii-Schiff (CBS) equation

(1.1) u t + u u y + 1 2 u x x 1 u y + 1 4 u x x y = 0 ,

where x 1 f = f d x , was obtained in two different ways by Bogoyavlenskii and Schiff [33,34,35]. Bogoyavlenskii applied the modified Lax formalism, while Schiff by reducing the self-dual Yang-Mills equation achieved the same equation [36,37,38].

The (2 + 1)-dimensional generalized Calogero-Bogoyavlenskii-Schiff (gCBS) equation [39] is the potential form of Eq. (1.1) that is given as:

(1.2) a u x t + b u x u x y + c u y u x x + u x x x y = 0 ,

where a , b , c are constants. In the past decade, several methods have been used to obtain the exact solutions of the gCBS equation, for example, Chen and Ma [40] by considering the Hirota bilinear form of the gCBS equation explicitly generated a class of lump solutions; Li and Chen [41] by using the generalized Riccati equation expansion method found some exact analytical solutions; Al-Amr [42] applied the modified simple equation method to construct the exact solutions of the gCBS equation; Wang and Yang [43] implemented the Hirota bilinear method for the construction of the quasi-periodic wave solutions in terms of theta functions; Najafi et al. [44] established the ( G / G ) -expansion method to find travelling wave solutions for the gCBS equation; and Zhang et al. [45] studied the integrability of this equation by the Painlevé test and derived its symmetry reductions.

Recently, Yuan et al. [46] have proposed an effective method named complex method to seek the exact solutions of nonlinear differential equations. The complex method is based on complex differential equations and complex analysis. More details of the complex method can be seen in [4750]. In this article, the complex method is utilized to obtain meromorphic exact solutions of the (2 + 1)-dimensional gCBS equation.

Substituting traveling wave transform

u ( x , y , t ) = U ( z ) , z = k x + l y r t ,

into Eq. (1.2), and then integrating it we get

(1.3) k 3 l U + k 2 l ( b + c ) 2 ( U ) 2 k a r U + d = 0 ,

where d is the integration constant.

If a meromorphic function ξ is a rational function of z, or an elliptic function, or a rational function of e μ z , μ , then ξ is said to belong to the class W.

Theorem 1.1

If b + c 0 , then the meromorphic solutions of Eq. (1.3) belong to the class W. Moreover, Eq. (1.3) has the following classes of solutions where c i ( i = 1 , 2 , 3 , 4 ) are the integration constants.

  1. The rational function solutions

    U r ( z ) = 12 k b + c 1 z z 0 + a r k l ( b + c ) ( z z 0 ) + c 1 ,

    where d = a 2 r 2 2 ( b + c ) l , z 0 .

  2. The simply periodic solutions

    U 1 s ( z ) = 6 k μ b + c coth μ ( z z 0 ) 2 + 3 k μ b + c ln coth μ 2 ( z z 0 ) 1 coth μ 2 ( z z 0 ) + 1 + 2 k 2 μ 2 l + a r k ( b + c ) l ( z z 0 ) + c 2

    and

    U 2 s ( z ) = 6 k μ b + c tanh μ ( z z 0 ) 2 + 3 k μ b + c ln tanh μ 2 ( z z 0 ) 1 tanh μ 2 ( z z 0 ) + 1 + 2 k 2 μ 2 l + a r k ( b + c ) l ( z z 0 ) + c 3 ,

    where d = μ 4 k 4 l 2 + a 2 r 2 2 ( b + c ) l , z 0 .

  3. The elliptic function solutions

U d ( z ) = 12 k b + c [ ζ ( z ) ζ ( z 0 ) ] + 6 k b + c ( z ) + E ( z ) F + a r k l ( b + c ) ( z z 0 ) + c 4 ,

where E 2 = 4 F 3 g 2 F g 3 , g 2 = a 2 r 2 2 b d l 2 c d l 12 k 4 l 2 , g 3 is arbitrary and z 0 .

Breaking soliton equation is given by

(1.4) u x t 4 u x u x y 2 u y u x x + u x x x y = 0 .

Theorem 1.2

The breaking soliton equation has the following forms traveling wave exact solutions where c 1 i ( i = 1 , 2 , 3 , 4 ) are the integration constants.

  1. The rational function solutions

    U 11 ( x , y , t ) = 2 k k x + l y r t x 0 r ( k x + l y r t x 0 ) 6 k l + c 11 ,

    where d = r 2 16 l .

  2. The simply periodic solutions

    U 12 ( x , y , t ) = k μ coth μ ( k x + l y r t x 0 ) 2 2 k 2 μ 2 l + r 6 k l ( k x + l y r t x 0 ) k μ 2 ln coth μ 2 ( k x + l y r t x 0 ) 1 coth μ 2 ( k x + l y r t x 0 ) + 1 + c 12

    and

    U 13 ( x , y , t ) = k μ tanh μ ( k x + l y r t x 0 ) 2 2 k 2 μ 2 l + r 6 k l ( k x + l y r t x 0 ) k μ 2 ln tanh μ 2 ( k x + l y r t x 0 ) 1 tanh μ 2 ( k x + l y r t x 0 ) + 1 + c 13 ,

    where d = μ 4 k 4 l 2 r 2 16 l .

  3. The elliptic function solutions

U 14 ( x , y , t ) = 2 k [ ζ ( k x + l y r t ) ζ ( x 0 ) ] k ( ( k x + l y r t ) + E ) ( k x + l y r t ) F r ( k x + l y r t x 0 ) 6 k l + c 14 ,

where E 2 = 4 F 3 g 2 F g 3 , g 2 = r 2 + 16 d l 12 k 4 l 2 and g 3 is arbitrary.

2 Preliminary theory

The constants a , b , c may differ in different places. Let m { 1 , 2 , 3 , } , r i { 0 , 1 , 2 , } , i = 0 , 1 , , m , r = ( r 0 , r 1 , , r m ) and

(2.1) M r [ V ] ( z ) i = 0 m [ V ( i ) ( z ) ] r i .

The degree of M r [ V ] is denoted by d ( r ) i = 0 m r i . The differential polynomial is given by:

P ( V , V , , V ( m ) ) r τ a r M r [ V ] ,

where τ is a finite index set, and then deg P ( V , V , , V ( m ) ) max r τ { d ( r ) } is the degree of P ( V , V , , V ( m ) ) .

Considering the following ordinary differential equation:

(2.2) P ( V , V , , V ( m ) ) = a V n + d ,

where a 0 , d are constants, and n .

Set p ,   q , and assume that meromorphic solutions v of Eq. (2.2) have at least one pole. Substituting the Laurent series

(2.3) V ( z ) = k = q β k z k , β q 0 , q > 0 ,

into Eq. (2.2), if it can determine p distinct Laurent singular parts:

k = q 1 β τ z k ,

then Eq. (2.2) is said to satisfy the weak p , q condition.

( z ) ( z , g 2 , g 3 ) is the Weierstrass elliptic function with double periods satisfying:

( ( z ) ) 2 = 4 ( z ) 3 g 2 ( z ) g 3 .

Weierstrass zeta function ζ ( z ) is a meromorphic function which satisfies

( z ) = ζ ( z ) .

These two Weierstrass functions admit the addition formulas as follows:

( z z 0 ) = ( z ) ( z 0 ) + 1 4 ( z ) + ( z 0 ) ( z ) ( z 0 ) 2 , ζ ( z z 0 ) = ζ ( z ) ζ ( z 0 ) + 1 2 ( z ) + ( z 0 ) ( z ) ( z 0 ) .

The following mth order Briot-Bouquet equation (BBEq) had been investigated by Eremenko et al. [51],

(2.4) P ( V , V ( m ) ) = j = 0 n P j ( V ) ( V ( m ) ) j = 0 ,

where P j ( V ) are the constant coefficient polynomials, and m .

Lemma 1.1

[52,53,54] Let p ,   m ,   ς ,   n , deg P ( V , V ( m ) ) < n . If a mth order BBEq,

P ( V , V ( m ) ) = a V n + d ,

satisfies the weak p , q condition, then any meromorphic solution v belongs to the class W. Suppose for some values of parameters such solution v exists, then any other meromorphic solution forms one parameter family V ( z z 0 ) , z 0 . Additionally, any elliptic solution V ( z ) with pole at origin is of the form

(2.5) V ( z ) = i = 1 ς 1 j = 2 q ( 1 ) j β i j ( j 1 ) ! d j 2 d z j 2 1 4 ( z ) + D i ( z ) B i 2 ( z ) + i = 1 ς 1 β i 1 2 ( z ) + D i ( z ) B i + j = 2 q ( 1 ) j β ς j ( j 1 ) ! d j 2 d z j 2 ( z ) + β 0 ,

where D i 2 = 4 B i 3 g 2 B i g 3 , β i j are determined by (2.3) and i = 1 ς β i 1 = 0 .

Every rational function solution has the form

(2.6) R ( z ) = i = 1 ς j = 1 q β i j ( z z i ) j + β 0 ,

and it has ς ( p ) distinct poles of multiplicity q.

Every simply periodic solution has ς ( p ) distinct poles of multiplicity q which is a rational function R ( η ) of η = e α z ( α ) ,

(2.7) R ( η ) = i = 1 ς j = 1 q β i j ( η η i ) j + β 0 .

3 Proof of main results

Proof of Theorem 1.1

Let v = U , Eq. (1.3) becomes

(3.1) k 3 l v + k 2 l ( b + c ) 2 v 2 k a r v + d = 0 .

Substitute (2.3) into Eq. (1.3) to obtain p = 1 ,   q = 2 ,   β 2 = 12 k b + c ,   β 1 = 0 ,   β 0 = a r k l ( b + c ) ,   β 1 = 0 ,   β 2 = a 2 r 2 2 b d l 2 c d l 20 l 2 k 3 ( b + c ) ,   β 3 = 0 and β 4 is arbitrary. Therefore, Eq. (3.1) is a second-order BBEq and its weak 1 , 2 condition holds. Thus, by Lemma 1.1, it is known that meromorphic solutions v of Eq. (3.1) belong to W.

From (2.5) of Lemma 1.1, the form of elliptic solutions of Eq. (3.1) is

v d 0 ( z ) = β 2 ( z ) + β 10 ,

with pole at z = 0 .

Insert v d 0 ( z ) into Eq. (3.1), then

v d 0 ( z ) = 12 k b + c ( z ) + a r k l ( b + c ) ,

where g 2 = a 2 r 2 2 b d l 2 c d l 12 k 4 l 2 and g 3 is arbitrary.

Thus, the elliptic solutions of Eq. (3.1) with arbitrary pole are

v d ( z ) = 12 k b + c ( z z 0 ) + a r k l ( b + c ) ,

where z 0 .

Then, the solutions of Eq. (1.3)

U d ( z ) = v d ( z ) d z = 12 k b + c ( z z 0 ) + a r k l ( b + c ) d z = 12 k b + c ζ ( z z 0 ) + a r k l ( b + c ) ( z z 0 ) + c 4 = 12 k b + c [ ζ ( z ) ζ ( z 0 ) ] + 6 k b + c ( z ) + E ( z ) F + a r k l ( b + c ) ( z z 0 ) + c 4 ,

in which E 2 = 4 F 3 g 2 F g 3 , g 2 = a 2 r 2 2 b d l 2 c d l 12 k 4 l 2 , g 3 is arbitrary and c 4 is an integral constant.

By (2.6) of Lemma 1.1, it can be inferred that the indeterminate rational solutions of Eq. (3.1) with pole at z = 0 are

R 1 ( z ) = β 11 z 2 + β 12 z + β 20 .

Substituting R 1 ( z ) into Eq. (3.1) yields

k a r β 10 + 1 / 2 k 2 l b β 10 2 + 1 / 2 k 2 l c β 10 2 + d + b k 2 l β 10 β 11 + c k 2 l β 10 β 11 a k r β 11 z + k a r β 12 + k 2 l b β 12 β 10 + 1 / 2 k 2 l b β 11 2 + k 2 l c β 12 β 10 + 1 / 2 k 2 l c β 11 2 z 2 + b k 2 l β 11 β 12 + c k 2 l β 11 β 12 + 2 k 3 l β 11 z 3 + 6 l k 3 β 12 + 1 / 2 k 2 l b β 12 2 + 1 / 2 k 2 l c β 12 2 z 4 = 0 ,

then β 12 = 12 k b + c , β 11 = 0 and β 10 = a r k l ( b + c ) .

Therefore, we can determine that

R 1 ( z ) = 12 k b + c 1 z 2 + a r k l ( b + c ) ,

where d = a 2 r 2 2 ( b + c ) l .

Thus, the rational solutions of Eq. (3.1) with arbitrary pole are

v r ( z ) = 12 k b + c 1 ( z z 0 ) 2 + a r k l ( b + c ) .

Then, the solutions of Eq. (1.3)

U r ( z ) = v r ( z ) d z = 12 k b + c 1 ( z z 0 ) 2 + a r k l ( b + c ) d z = 12 k b + c 1 z z 0 + a r k l ( b + c ) ( z z 0 ) + c 1 ,

where d = a 2 r 2 2 ( b + c ) l ,   z 0 , and c 1 is an integral constant.

Let η = e μ z . Substitute w = R ( η ) into Eq. (3.1) to yield

(3.2) k 3 l μ 2 ( η R + η 2 R ) k a r R + k 2 l ( b + c ) 2 R 2 + d = 0 .

Substituting R 2 ( z ) into Eq. (3.2) gives

(3.3) R 21 ( z ) = 12 k b + c μ 2 ( η 1 ) 2 12 k b + c μ 2 ( η 1 ) + k 2 μ 2 l + a r k ( b + c ) l

and

(3.4) R 22 ( z ) = 12 k b + c μ 2 ( η + 1 ) 2 + 12 k b + c μ 2 ( η + 1 ) + k 2 μ 2 l + a r k ( b + c ) l ,

where d = μ 4 k 4 l 2 + a 2 r 2 2 ( b + c ) l .

Substituting η = e μ z into Eq. (3.3) and (3.4) yields simply periodic solutions to Eq. (3.1) with pole at z = 0

v 1 s 0 ( z ) = 12 k b + c μ 2 ( e μ z 1 ) 2 12 k b + c μ 2 ( e μ z 1 ) + k 2 μ 2 l + a r k ( b + c ) l = 12 k b + c μ 2 e μ z ( e μ z 1 ) 2 + k 2 μ 2 l + a r k ( b + c ) l = 3 k μ 2 b + c coth 2 μ z 2 + 2 k 2 μ 2 l + a r k ( b + c ) l

and

v 2 s 0 ( z ) = 12 k b + c μ 2 ( e μ z + 1 ) 2 + 12 k b + c μ 2 ( e μ z + 1 ) + k 2 μ 2 l + a r k ( b + c ) l = 12 k b + c μ 2 e μ z ( e μ z + 1 ) 2 + k 2 μ 2 l + a r k ( b + c ) l = 3 k μ 2 b + c tanh 2 μ z 2 + 2 k 2 μ 2 l + a r k ( b + c ) l ,

where d = μ 4 k 4 l 2 + a 2 r 2 2 ( b + c ) l .

Thus, simply periodic solutions of Eq. (1.3) with arbitrary pole are

U 1 s ( z ) = v 1 s ( z ) d z = 3 k μ 2 b + c coth 2 μ ( z z 0 ) 2 + 2 k 2 μ 2 l + a r k ( b + c ) l d z = 6 k μ b + c coth μ ( z z 0 ) 2 + 3 k μ b + c ln coth μ 2 ( z z 0 ) 1 coth μ 2 ( z z 0 ) + 1 + 2 k 2 μ 2 l + a r k ( b + c ) l ( z z 0 ) + c 2

and

U 2 s ( z ) = v 2 s ( z ) d z = 3 k μ 2 b + c tanh 2 μ ( z z 0 ) 2 + 2 k 2 μ 2 l + a r k ( b + c ) l d z = 6 k μ b + c tanh μ ( z z 0 ) 2 + 3 k μ b + c ln tanh μ 2 ( z z 0 ) 1 tanh μ 2 ( z z 0 ) + 1 + 2 k 2 μ 2 l + a r k ( b + c ) l ( z z 0 ) + c 3 ,

where c 2 and c 3 are the integral constants, d = μ 4 k 4 l 2 + a 2 r 2 2 ( b + c ) l , z 0 .□

Remark

Let a = 1 , b = 4 , c = 2 , then Eq. (1.2) can be converted to Eq. (1.4). Applying Theorem 1.1, and letting z = k x + l y r t , z 0 = x 0 , traveling wave exact solutions for the breaking soliton equation are obtained. Therefore, Theorem 1.2 holds.

4 Dynamic behaviors

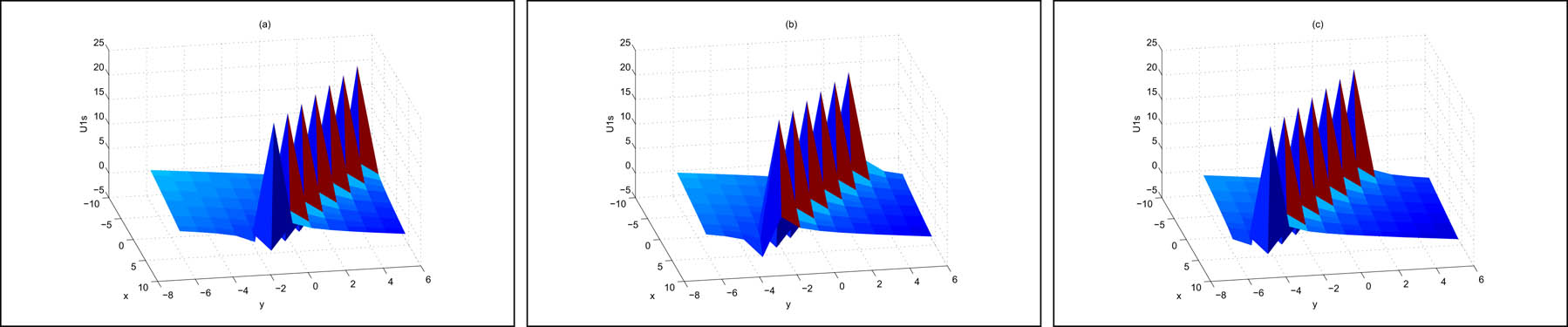
In this section, by using computer simulations, the dynamical structures of the begotten solutions are demonstrated. Figure 1 shows the rational solutions U r ( z ) of the (2 + 1)-dimensional gCBS equation, when t = 3 , t = 0 and t = 3 and by choosing parameters as a = 1 , b = 1 , c = 0.1 , k = 2 , l = 1 , r = 1 , z 0 = 0 and c 1 = 0 , the graph of solution U r ( z ) contains two components in the opposite directions. Figures 2 and 3 present simply periodic solutions U 1 s ( z ) , U 2 s ( z ) of Eq. (1.2) when t = 3 , t = 0 and t = 3 and by choosing parameters for U 1 s ( z ) , U 2 s ( z ) as a = 1 , b = 1 , c = 2 , k = 1 , l = 2 , r = 1 , z 0 = 0 , c 2 = 0 and a = 1 , b = 1 , c = 1 , k = 1 , l = 1 , r = 2 , z 0 = 0 and c 3 = 0 , respectively, the graphs contain oscillation in waves which are moving forward. Figure 4 displays Weierstrass elliptic function solutions U d ( z ) of Eq. (1.2) by choosing parameters as a = 1 , b = 2 , c = 1 , k = 0.4 , l = 1 , r = 0.26 , z 0 = 0 and c 4 = 0 and considering t = 3 , t = 0 and t = 3 , the graph illustrates that during the time, direction of oscillations of wave is changed.

Figure 1 
               The solution of the (2 + 1)-dimensional gCBS equation corresponding to 
                     
                        
                        
                           
                              
                                 U
                              
                              
                                 r
                              
                           
                           (
                           z
                           )
                        
                        {U}_{r}(z)
                     
                  , (a) 
                     
                        
                        
                           t
                           =
                           −
                           3
                        
                        t=-3
                     
                  , (b) 
                     
                        
                        
                           t
                           =
                           0
                        
                        t=0
                     
                   and (c) 
                     
                        
                        
                           t
                           =
                           3
                        
                        t=3
                     
                  .
Figure 1

The solution of the (2 + 1)-dimensional gCBS equation corresponding to U r ( z ) , (a) t = 3 , (b) t = 0 and (c) t = 3 .

Figure 2 
               The solution of the (2 + 1)-dimensional gCBS equation corresponding to 
                     
                        
                        
                           
                              
                                 U
                              
                              
                                 1
                                 s
                              
                           
                           (
                           z
                           )
                        
                        {U}_{1s}(z)
                     
                  , (a) 
                     
                        
                        
                           t
                           =
                           −
                           3
                        
                        t=-3
                     
                  , (b) 
                     
                        
                        
                           t
                           =
                           0
                        
                        t=0
                     
                   and (c) 
                     
                        
                        
                           t
                           =
                           3
                        
                        t=3
                     
                  .
Figure 2

The solution of the (2 + 1)-dimensional gCBS equation corresponding to U 1 s ( z ) , (a) t = 3 , (b) t = 0 and (c) t = 3 .

Figure 3 
               The solution of the (2 + 1)-dimensional gCBS equation corresponding to 
                     
                        
                        
                           
                              
                                 U
                              
                              
                                 2
                                 s
                              
                           
                           (
                           z
                           )
                        
                        {U}_{2s}(z)
                     
                  , (a) 
                     
                        
                        
                           t
                           =
                           −
                           3
                        
                        t=-3
                     
                  , (b) 
                     
                        
                        
                           t
                           =
                           0
                        
                        t=0
                     
                   and (c) 
                     
                        
                        
                           t
                           =
                           3
                        
                        t=3
                     
                  .
Figure 3

The solution of the (2 + 1)-dimensional gCBS equation corresponding to U 2 s ( z ) , (a) t = 3 , (b) t = 0 and (c) t = 3 .

Figure 4 
               The solution of the (2 + 1)-dimensional gCBS equation corresponding to 
                     
                        
                        
                           
                              
                                 U
                              
                              
                                 d
                              
                           
                           (
                           z
                           )
                        
                        {U}_{d}(z)
                     
                  , (a) 
                     
                        
                        
                           t
                           =
                           −
                           3
                        
                        t=-3
                     
                  , (b) 
                     
                        
                        
                           t
                           =
                           0
                        
                        t=0
                     
                   and (c) 
                     
                        
                        
                           t
                           =
                           3
                        
                        t=3
                     
                  .
Figure 4

The solution of the (2 + 1)-dimensional gCBS equation corresponding to U d ( z ) , (a) t = 3 , (b) t = 0 and (c) t = 3 .

5 Conclusions

In this article, the complex method is utilized to construct meromorphic solutions to the complex (2 + 1)-dimensional gCBS equation, then exact solutions to the (2 + 1)-dimensional gCBS equation are obtained. By the applications of our results, traveling wave exact solutions to the breaking soliton equation are achieved. To our knowledge, the solutions of this study have not been reported in former literature. The dynamic behaviors of these solutions are shown by some graphs. Figures 1–4 obviously present soliton phenomena and show that soliton interaction will contain oscillations. Figures 1–3 also display that by changing the time, the solutions of the (2 + 1)-dimensional gCBS equation continue to move forward.

The complex method is an efficient method to get the solutions of a BBEq through its undetermined forms. This method is applied to obtain the exact solutions of the (2 + 1)-dimensional gCBS equation and breaking soliton equation which enrich the studies of the mentioned equations. However, for the differential equation which is not a BBEq, how to solve it by the complex method? It will be considered in future studies.

Acknowledgments

This work was supported by the NSF of China (11901111) and the Visiting Scholar Program of Chern Institute of Mathematics.

References

[1] M. A. Shallal, H. N. Jabbar, and K. K. Ali, Analytic solution for the space-time fractional Klein-Gordon and coupled conformable Boussinesq equations, Results Phys. 8 (2018), 372–378.10.1016/j.rinp.2017.12.051Search in Google Scholar

[2] R. I. Nuruddeen, K. S. Aboodh, and K. K. Ali, Analytical investigation of soliton solutions to three quantum Zakharov-Kuznetsov equations, Commun. Theor. Phys. 70 (2018), 405–412.10.1088/0253-6102/70/4/405Search in Google Scholar

[3] M. S. Islam, K. Khan, M. A. Akbar, and A. Mastroberardino, A note on improved F-expansion method combined with Riccati equation applied to nonlinear evolution equations, R. Soc. Open Sci. 1 (2014), 140038.10.1098/rsos.140038Search in Google Scholar

[4] A. J. M. Jawad, M. D. Petkovic, and A. Biswas, Modified simple equation method for nonlinear evolution equations, Appl. Math. Comput. 217 (2010), 869–877.10.1016/j.amc.2010.06.030Search in Google Scholar

[5] Y. Gu, X. Zheng, and F. Meng, Painlevé analysis and abundant meromorphic solutions of a class of nonlinear algebraic differential equations, Math. Problems Eng. 2019 (2019), 9210725.10.1155/2019/9210725Search in Google Scholar

[6] Y. Gu, N. Aminakbari, W. Yuan, and Y. Wu, Meromorphic solutions of a class of algebraic differential equations related to Painlevé equation III, Houston J. Math. 43 (2017), 1045–1055.Search in Google Scholar

[7] Y. Gu, W. Yuan, N. Aminakbari, and Q. Jiang, Exact solutions of the Vakhnenko-Parkes equation with complex method, J. Funct. Spaces 2017 (2017), 6521357.10.1155/2017/6521357Search in Google Scholar

[8] W. J. Yuan, W. L. Xiong, J. M. Lin, Y. H. Wu, All meromorphic solutions of an auxiliary ordinary differential equation and its applications, Acta Math. Sci. 35 (2015), 1241–1250.10.1016/S0252-9602(15)30052-7Search in Google Scholar

[9] M. Islam, K. Khan, M. Akbar, and M. Salam, Exact traveling wave solutions of modified KdV-Zakharov-Kuznetsov equation and viscous Burgers equation, SpringerPlus 3 (2014), 105.10.1186/2193-1801-3-105Search in Google Scholar PubMed PubMed Central

[10] K. Khan, M. A. Akbar, and H. Koppelaar, Study of coupled nonlinear partial differential equations for finding exact analytical solutions, R. Soc. Open Sci. 2 (2015), 140406.10.1098/rsos.140406Search in Google Scholar PubMed PubMed Central

[11] H. Roshid, M. F. Hoque, and M. A. Akbar, New extended (G′/G)-expansion method for traveling wave solutions of nonlinear partial differential equations (NPDEs) in mathematical physics, Ita. J. Pure Appl. Math. 33 (2014), 175–190.Search in Google Scholar

[12] Y. Gu and F. Meng, Searching for analytical solutions of the (2 + 1)-dimensional KP equation by two different systematic methods, Complexity 2019 (2019), 9314693.10.1155/2019/9314693Search in Google Scholar

[13] Y. Gu and Y. Kong, Two different systematic techniques to seek analytical solutions of the higher-order modified Boussinesq equation, IEEE Access 7 (2019), 96818–96826.10.1109/ACCESS.2019.2929682Search in Google Scholar

[14] H. Roshid and M. Rahman, The exp(–ϕ(ξ))-expansion method with application in the (1 + 1)-dimensional classical Boussinesq equations, Results Phys. 4 (2014), 150–155.10.1016/j.rinp.2014.07.006Search in Google Scholar

[15] N. Kadkhoda and H. Jafari, Analytical solutions of the Gerdjikov-Ivanov equation by using exp(–ϕ(ξ))-expansion method, Optik 139 (2017), 72–76.10.1016/j.ijleo.2017.03.078Search in Google Scholar

[16] W. Gao, H. F. Ismael, A. M. Husien, H. Bulut, and H. M. Baskonus, Optical soliton solutions of the cubic-quartic nonlinear Schrödinger and resonant nonlinear Schrödinger equation with the parabolic law, Appl. Sci. 10 (2020), 219.10.3390/app10010219Search in Google Scholar

[17] H. Durur, E. Ilhan, and H. Bulut, Novel complex wave solutions of the (2 + 1)-dimensional hyperbolic nonlinear Schrödinger equation, Fractal Fract. 4 (2020), 41, 10.3390/fractalfract4030041.Search in Google Scholar

[18] W. Gao, M. Senel, G. Yel, H. M. Baskonus, and B. Senel, New complex wave patterns to the electrical transmission line model arising in network system, AIMS Math. 5 (2020), 1881–1892.10.3934/math.2020125Search in Google Scholar

[19] W. Gao, G. Yel, H. M. Baskonus, and C. Cattani, Complex solitons in the conformable (2 + 1)-dimensional Ablowitz-Kaup-Newell-Segur equation, AIMS Math. 5 (2020), 507–521.10.3934/math.2020034Search in Google Scholar

[20] G. Yel, H. M. Baskonus, and W. Gao, New dark-bright soliton in the shallow water wave model, AIMS Math. 5 (2020), 4027–4044.10.3934/math.2020259Search in Google Scholar

[21] J. L. G. Guirao, H. M. Baskonus, and A. Kumar, Regarding new wave patterns of the newly extended nonlinear (2 + 1)-dimensional Boussinesq equation with fourth order, Mathematics 8 (2020), 341, 10.3390/math8030341.Search in Google Scholar

[22] H. M. Baskonus, T. A. Sulaiman, and H. Bulut, New solitary wave solutions to the (2 + 1)-dimensional Calogero-Bogoyavlenskii-Schiff and the Kadomtsev-Petviashvili hierarchy equations, Indian J. Phys. 91 (2017), 327–336.10.1007/s12648-016-0926-6Search in Google Scholar

[23] H. M. Baskonus, T. A. Sulaiman, and H. Bulut, On the novel wave behaviors to the coupled nonlinear Maccari’s system with complex structure, Optik 131 (2017), 1036–1043.10.1016/j.ijleo.2016.10.135Search in Google Scholar

[24] H. Bulut, T. A. Sulaiman, H. M. Baskonus, and T. Aktürk, On the bright and singular optical solitons to the (2 + 1)-dimensional NLS and the Hirota equations, Opt. Quant. Electron. 50 (2018), 134, 10.1007/s11082-018-1411-6.Search in Google Scholar

[25] T. A. Sulaiman, H. Bulut, and S. S. Atas, Optical solitons to the fractional Schrödinger-Hirota equation, Appl. Math. Nonlinear Sci. 4 (2019), 535–542.10.2478/AMNS.2019.2.00050Search in Google Scholar

[26] T. A. Sulaiman, Three-component coupled nonlinear Schrödinger equation: optical soliton and modulation instability analysis, Phys. Scri. 95 (2020), 065201.10.1088/1402-4896/ab7c77Search in Google Scholar

[27] H. Rezazadeh, D. Kumar, T. A. Sulaiman, and H. Bulut, New complex hyperbolic and trigonometric solutions for the generalized conformable fractional gardner equation, Modern Phys. Lett. B 33 (2019), 1950196.10.1142/S0217984919501963Search in Google Scholar

[28] T. A. Sulaiman and H. Bulut, Boussinesq equations: M-fractional solitary wave solutions and convergence analysis, J. Ocean Eng. Sci. 4 (2019), 1–6.10.1016/j.joes.2018.12.001Search in Google Scholar

[29] T. A. Sulaiman and H. Bulut, Optical solitons and modulation instability analysis of the (1 + 1)-dimensional coupled nonlinear Schrödinger equation, Comm. Theor. Phys. 72 (2020), 025003.10.1088/1572-9494/ab617eSearch in Google Scholar

[30] T. A. Sulaiman, M. Yavuz, H. Bulut, and H. M. Baskonus, Investigation of the fractional coupled viscous Burgers equation involving Mittag-Leffler kernel, Physica A: Stat. Mech. Appl. 527 (2019), 121126.10.1016/j.physa.2019.121126Search in Google Scholar

[31] M. Yavuz, T. A. Sulaiman, F. Usta, and H. Bulut, Analysis and numerical computations of the fractional regularized long-wave equation with damping term, Math. Methods Appl. Sci. (2020), 10.1002/mma.6343.Search in Google Scholar

[32] Y. Gu, C. Wu, X. Yao, and W. Yuan, Characterizations of all real solutions for the KdV equation and WR, Appl. Math. Lett. 107 (2020), 106446.10.1016/j.aml.2020.106446Search in Google Scholar

[33] A. M. Wazwaz, New solutions of distinct physical structures to high-dimensional nonlinear evolution equations, Appl. Math. Comput. 196 (2008), 363–370.10.1016/j.amc.2007.06.002Search in Google Scholar

[34] Y. Peng, New types of localized coherent structures in the Bogoyavlenskii-Schiff equation, Int. J. Theor. Phys. 45 (2006), 1779–1783.10.1007/s10773-006-9139-7Search in Google Scholar

[35] M. S. Bruzón, M. L. Gandarias, C. Muriel, J. Ramírez, S. Saez, and F. R. Romero, The Calogero-Bogoyavlenskii-Schiff equation in (2 + 1)-dimensions, Theor. Math. Phys. 137 (2003), 1367–1377.10.1023/A:1026040319977Search in Google Scholar

[36] Y. Peng, New types of localized coherent structures in the Bogoyavlenskii-Schiff equation, Int. J. Theor. Phys. 45 (2006), 1779.10.1007/s10773-006-9139-7Search in Google Scholar

[37] T. Kobayashi, The Painlevé test and reducibility to the canonical forms for higher-dimensional soliton equations with variable-Coefficients, SIGMA Symmetry Integrability Geom. Methods Appl. 2 (2006), 1, 10.3842/sigma.2006.063.Search in Google Scholar

[38] M. S. Bruzón, M. L. Gandarias, C. Muriel, J. Ramírez, and F. R. Romero, Traveling wave solutions of the Schwarz-Korteweg-de Vries equation in 2 + 1 dimensions and the Ablowitz-Kaup-Newell-Segur equation through symmetry reductions, Theor. Math. Phys. 137 (2003), 1378–1389.10.1023/A:1026092304047Search in Google Scholar

[39] B. Huang and S. Xie, Searching for traveling wave solutions of nonlinear evolution equations in mathematical physics, Adv. Differ. Equ. 2018 (2018), 29.10.1186/s13662-017-1441-6Search in Google Scholar

[40] S. T. Chen and W. X. Ma, Lump solutions of a generalized Calogero-Bogoyavlenskii-Schiff equation, Comput. Math. Appl. 76 (2018), 1680–1685.10.1016/j.camwa.2018.07.019Search in Google Scholar

[41] B. Li and Y. Chen, Exact analytical solutions of the generalized Calogero-Bogoyavlenskii-Schiff equation using symbolic computation, Czechoslovak J. Phys. 54 (2004), 517–528.10.1023/B:CJOP.0000024955.75594.8cSearch in Google Scholar

[42] M. O. Al-Amr, Exact solutions of the generalized (2 + 1)-dimensional nonlinear evolution equations via the modified simple equation method, Comput. Math. Appl. 69 (2015), 390–397.10.1016/j.camwa.2014.12.011Search in Google Scholar

[43] J. M. Wang and X. Yang, Quasi-periodic wave solutions for the (2 + 1)-dimensional generalized Calogero-Bogoyavlenskii-Schiff (CBS) equation, Nonlinear Anal. 75 (2012), 2256–2261.10.1016/j.na.2011.10.024Search in Google Scholar

[44] M. Najafi, M. Najafi, and S. Arbabi, New application of (G′/G)-expansion method for generalized (2 + 1)-dimensional nonlinear evolution equations, Int. J. Eng. Math. 2013 (2013), 1–5.10.1155/2013/746910Search in Google Scholar

[45] Z. H. Ping, C. Yong, and L. Biao, Infinitely many symmetries and symmetry reduction of the (2 + 1)-dimensional generalized Calogero-Bogoyavlenskii-Schiff equation, Act. Phys. Sin. 58 (2009), 7393–7396.10.7498/aps.58.7393Search in Google Scholar

[46] W. Yuan, Y. Li, and J. Lin, Meromorphic solutions of an auxiliary ordinary differential equation using complex method, Math. Meth. Appl. Sci. 36 (2013), 1776–1782.10.1002/mma.2723Search in Google Scholar

[47] W. Yuan, F. Meng, Y. Huang, and Y. Wu, All traveling wave exact solutions of the variant Boussinesq equations, Appl. Math. Comput. 268 (2015), 865–872.10.1016/j.amc.2015.06.088Search in Google Scholar

[48] Y. Gu and J. Qi, Symmetry reduction and exact solutions of two higher-dimensional nonlinear evolution equations, J. Inequal. Appl. 2017 (2017), 314.10.1186/s13660-017-1587-5Search in Google Scholar PubMed PubMed Central

[49] Y. Gu, W. Yuan, N. Aminakbari, and J. Lin, Meromorphic solutions of some algebraic differential equations related Painlevé equation IV and its applications, Math. Meth. Appl. Sci. 41 (2018), 3832–3840.10.1002/mma.4869Search in Google Scholar

[50] Y. Gu, B. Deng, and J. Lin, Exact traveling wave solutions to the (2 + 1)-dimensional Jaulent-Miodek equation, Adv. Math. Phys. 2018 (2018), 5971646.Search in Google Scholar

[51] A. Eremenko, L. Liao, and T. W. Ng, Meromorphic solutions of higher order Briot-Bouquet differential equations, Math. Proc. Cambridge Philos. Soc. 146 (2009), 197–206.10.1017/S030500410800176XSearch in Google Scholar

[52] S. Lang, Elliptic Functions, 2nd edn, Springer, New York, 1987.10.1007/978-1-4612-4752-4Search in Google Scholar

[53] N. Kudryashov, Meromorphic solutions of nonlinear ordinary differential equations, Commun. Nonlinear Sci. Numer. Simul. 15 (2010), 2778–2790.10.1016/j.cnsns.2009.11.013Search in Google Scholar

[54] W. Yuan, Y. Shang, Y. Huang, and H. Wang, The representation of meromorphic solutions to certain ordinary differential equations and its applications, Sci. Sin. Math. 43 (2013), 563–575.10.1360/012012-159Search in Google Scholar

Received: 2019-11-20
Revised: 2020-09-25
Accepted: 2020-10-14
Published Online: 2020-11-21

© 2020 Najva Aminakbari et al., published by De Gruyter

This work is licensed under the Creative Commons Attribution 4.0 International License.

Articles in the same Issue

  1. Regular Articles
  2. Non-occurrence of the Lavrentiev phenomenon for a class of convex nonautonomous Lagrangians
  3. Strong and weak convergence of Ishikawa iterations for best proximity pairs
  4. Curve and surface construction based on the generalized toric-Bernstein basis functions
  5. The non-negative spectrum of a digraph
  6. Bounds on F-index of tricyclic graphs with fixed pendant vertices
  7. Crank-Nicolson orthogonal spline collocation method combined with WSGI difference scheme for the two-dimensional time-fractional diffusion-wave equation
  8. Hardy’s inequalities and integral operators on Herz-Morrey spaces
  9. The 2-pebbling property of squares of paths and Graham’s conjecture
  10. Existence conditions for periodic solutions of second-order neutral delay differential equations with piecewise constant arguments
  11. Orthogonal polynomials for exponential weights x2α(1 – x2)2ρe–2Q(x) on [0, 1)
  12. Rough sets based on fuzzy ideals in distributive lattices
  13. On more general forms of proportional fractional operators
  14. The hyperbolic polygons of type (ϵ, n) and Möbius transformations
  15. Tripled best proximity point in complete metric spaces
  16. Metric completions, the Heine-Borel property, and approachability
  17. Functional identities on upper triangular matrix rings
  18. Uniqueness on entire functions and their nth order exact differences with two shared values
  19. The adaptive finite element method for the Steklov eigenvalue problem in inverse scattering
  20. Existence of a common solution to systems of integral equations via fixed point results
  21. Fixed point results for multivalued mappings of Ćirić type via F-contractions on quasi metric spaces
  22. Some inequalities on the spectral radius of nonnegative tensors
  23. Some results in cone metric spaces with applications in homotopy theory
  24. On the Malcev products of some classes of epigroups, I
  25. Self-injectivity of semigroup algebras
  26. Cauchy matrix and Liouville formula of quaternion impulsive dynamic equations on time scales
  27. On the symmetrized s-divergence
  28. On multivalued Suzuki-type θ-contractions and related applications
  29. Approximation operators based on preconcepts
  30. Two types of hypergeometric degenerate Cauchy numbers
  31. The molecular characterization of anisotropic Herz-type Hardy spaces with two variable exponents
  32. Discussions on the almost 𝒵-contraction
  33. On a predator-prey system interaction under fluctuating water level with nonselective harvesting
  34. On split involutive regular BiHom-Lie superalgebras
  35. Weighted CBMO estimates for commutators of matrix Hausdorff operator on the Heisenberg group
  36. Inverse Sturm-Liouville problem with analytical functions in the boundary condition
  37. The L-ordered L-semihypergroups
  38. Global structure of sign-changing solutions for discrete Dirichlet problems
  39. Analysis of F-contractions in function weighted metric spaces with an application
  40. On finite dual Cayley graphs
  41. Left and right inverse eigenpairs problem with a submatrix constraint for the generalized centrosymmetric matrix
  42. Controllability of fractional stochastic evolution equations with nonlocal conditions and noncompact semigroups
  43. Levinson-type inequalities via new Green functions and Montgomery identity
  44. The core inverse and constrained matrix approximation problem
  45. A pair of equations in unlike powers of primes and powers of 2
  46. Miscellaneous equalities for idempotent matrices with applications
  47. B-maximal commutators, commutators of B-singular integral operators and B-Riesz potentials on B-Morrey spaces
  48. Rate of convergence of uniform transport processes to a Brownian sheet
  49. Curves in the Lorentz-Minkowski plane with curvature depending on their position
  50. Sequential change-point detection in a multinomial logistic regression model
  51. Tiny zero-sum sequences over some special groups
  52. A boundedness result for Marcinkiewicz integral operator
  53. On a functional equation that has the quadratic-multiplicative property
  54. The spectrum generated by s-numbers and pre-quasi normed Orlicz-Cesáro mean sequence spaces
  55. Positive coincidence points for a class of nonlinear operators and their applications to matrix equations
  56. Asymptotic relations for the products of elements of some positive sequences
  57. Jordan {g,h}-derivations on triangular algebras
  58. A systolic inequality with remainder in the real projective plane
  59. A new characterization of L2(p2)
  60. Nonlinear boundary value problems for mixed-type fractional equations and Ulam-Hyers stability
  61. Asymptotic normality and mean consistency of LS estimators in the errors-in-variables model with dependent errors
  62. Some non-commuting solutions of the Yang-Baxter-like matrix equation
  63. General (p,q)-mixed projection bodies
  64. An extension of the method of brackets. Part 2
  65. A new approach in the context of ordered incomplete partial b-metric spaces
  66. Sharper existence and uniqueness results for solutions to fourth-order boundary value problems and elastic beam analysis
  67. Remark on subgroup intersection graph of finite abelian groups
  68. Detectable sensation of a stochastic smoking model
  69. Almost Kenmotsu 3-h-manifolds with transversely Killing-type Ricci operators
  70. Some inequalities for star duality of the radial Blaschke-Minkowski homomorphisms
  71. Results on nonlocal stochastic integro-differential equations driven by a fractional Brownian motion
  72. On surrounding quasi-contractions on non-triangular metric spaces
  73. SEMT valuation and strength of subdivided star of K 1,4
  74. Weak solutions and optimal controls of stochastic fractional reaction-diffusion systems
  75. Gradient estimates for a weighted nonlinear parabolic equation and applications
  76. On the equivalence of three-dimensional differential systems
  77. Free nonunitary Rota-Baxter family algebras and typed leaf-spaced decorated planar rooted forests
  78. The prime and maximal spectra and the reticulation of residuated lattices with applications to De Morgan residuated lattices
  79. Explicit determinantal formula for a class of banded matrices
  80. Dynamics of a diffusive delayed competition and cooperation system
  81. Error term of the mean value theorem for binary Egyptian fractions
  82. The integral part of a nonlinear form with a square, a cube and a biquadrate
  83. Meromorphic solutions of certain nonlinear difference equations
  84. Characterizations for the potential operators on Carleson curves in local generalized Morrey spaces
  85. Some integral curves with a new frame
  86. Meromorphic exact solutions of the (2 + 1)-dimensional generalized Calogero-Bogoyavlenskii-Schiff equation
  87. Towards a homological generalization of the direct summand theorem
  88. A standard form in (some) free fields: How to construct minimal linear representations
  89. On the determination of the number of positive and negative polynomial zeros and their isolation
  90. Perturbation of the one-dimensional time-independent Schrödinger equation with a rectangular potential barrier
  91. Simply connected topological spaces of weighted composition operators
  92. Generalized derivatives and optimization problems for n-dimensional fuzzy-number-valued functions
  93. A study of uniformities on the space of uniformly continuous mappings
  94. The strong nil-cleanness of semigroup rings
  95. On an equivalence between regular ordered Γ-semigroups and regular ordered semigroups
  96. Evolution of the first eigenvalue of the Laplace operator and the p-Laplace operator under a forced mean curvature flow
  97. Noetherian properties in composite generalized power series rings
  98. Inequalities for the generalized trigonometric and hyperbolic functions
  99. Blow-up analyses in nonlocal reaction diffusion equations with time-dependent coefficients under Neumann boundary conditions
  100. A new characterization of a proper type B semigroup
  101. Constructions of pseudorandom binary lattices using cyclotomic classes in finite fields
  102. Estimates of entropy numbers in probabilistic setting
  103. Ramsey numbers of partial order graphs (comparability graphs) and implications in ring theory
  104. S-shaped connected component of positive solutions for second-order discrete Neumann boundary value problems
  105. The logarithmic mean of two convex functionals
  106. A modified Tikhonov regularization method based on Hermite expansion for solving the Cauchy problem of the Laplace equation
  107. Approximation properties of tensor norms and operator ideals for Banach spaces
  108. A multi-power and multi-splitting inner-outer iteration for PageRank computation
  109. The edge-regular complete maps
  110. Ramanujan’s function k(τ)=r(τ)r2(2τ) and its modularity
  111. Finite groups with some weakly pronormal subgroups
  112. A new refinement of Jensen’s inequality with applications in information theory
  113. Skew-symmetric and essentially unitary operators via Berezin symbols
  114. The limit Riemann solutions to nonisentropic Chaplygin Euler equations
  115. On singularities of real algebraic sets and applications to kinematics
  116. Results on analytic functions defined by Laplace-Stieltjes transforms with perfect ϕ-type
  117. New (p, q)-estimates for different types of integral inequalities via (α, m)-convex mappings
  118. Boundary value problems of Hilfer-type fractional integro-differential equations and inclusions with nonlocal integro-multipoint boundary conditions
  119. Boundary layer analysis for a 2-D Keller-Segel model
  120. On some extensions of Gauss’ work and applications
  121. A study on strongly convex hyper S-subposets in hyper S-posets
  122. On the Gevrey ultradifferentiability of weak solutions of an abstract evolution equation with a scalar type spectral operator on the real axis
  123. Special Issue on Graph Theory (GWGT 2019), Part II
  124. On applications of bipartite graph associated with algebraic structures
  125. Further new results on strong resolving partitions for graphs
  126. The second out-neighborhood for local tournaments
  127. On the N-spectrum of oriented graphs
  128. The H-force sets of the graphs satisfying the condition of Ore’s theorem
  129. Bipartite graphs with close domination and k-domination numbers
  130. On the sandpile model of modified wheels II
  131. Connected even factors in k-tree
  132. On triangular matroids induced by n3-configurations
  133. The domination number of round digraphs
  134. Special Issue on Variational/Hemivariational Inequalities
  135. A new blow-up criterion for the Nabc family of Camassa-Holm type equation with both dissipation and dispersion
  136. On the finite approximate controllability for Hilfer fractional evolution systems with nonlocal conditions
  137. On the well-posedness of differential quasi-variational-hemivariational inequalities
  138. An efficient approach for the numerical solution of fifth-order KdV equations
  139. Generalized fractional integral inequalities of Hermite-Hadamard-type for a convex function
  140. Karush-Kuhn-Tucker optimality conditions for a class of robust optimization problems with an interval-valued objective function
  141. An equivalent quasinorm for the Lipschitz space of noncommutative martingales
  142. Optimal control of a viscous generalized θ-type dispersive equation with weak dissipation
  143. Special Issue on Problems, Methods and Applications of Nonlinear analysis
  144. Generalized Picone inequalities and their applications to (p,q)-Laplace equations
  145. Positive solutions for parametric (p(z),q(z))-equations
  146. Revisiting the sub- and super-solution method for the classical radial solutions of the mean curvature equation
  147. (p,Q) systems with critical singular exponential nonlinearities in the Heisenberg group
  148. Quasilinear Dirichlet problems with competing operators and convection
  149. Hyers-Ulam-Rassias stability of (m, n)-Jordan derivations
  150. Special Issue on Evolution Equations, Theory and Applications
  151. Instantaneous blow-up of solutions to the Cauchy problem for the fractional Khokhlov-Zabolotskaya equation
  152. Three classes of decomposable distributions
Downloaded on 29.1.2026 from https://www.degruyterbrill.com/document/doi/10.1515/math-2020-0099/html
Scroll to top button