Home Physical Sciences Mixing Behaviors of Jets in Cross-Flow for Heat Recovery of Partial Oxidation Process
Article Publicly Available

Mixing Behaviors of Jets in Cross-Flow for Heat Recovery of Partial Oxidation Process

  • Xinyu Yu , Tianwen Chen , Qi Zhang and Tiefeng Wang EMAIL logo
Published/Copyright: March 26, 2016

Abstract

In our previous work, a new technology has been proposed that the cooled synthetic gas (syngas) produced in the partial oxidation process can be used as quenching medium. The mixing of the hot product gas and cold syngas is critical to this new quenching approach. In this work, both experimental measurements and CFD simulations were conducted to study the mixing behavior of the jets in cross-flow (JICF). A mixing apparatus with four jets was set up. Methane was used as the tracing gas and the concentration distribution was measured using an FID detector. The realizable k-ε model was found to give better predictions of the experimental data among the three k-ε models. The effects of jet incident angle θ, jet velocity to mainstream velocity ratio VR and Reynolds number on the mixing behavior were investigated. The results showed that the optimum jet incident angle was 145°. For configuration with jet incident angle smaller than 130°, increasing the velocity ratio VR in the range of 1–3 improves the mixing. When the jet incident angle is larger than 130°, the optimized range of velocity ratio VR is 1.8–2.4. The Reynolds number has insignificant effect on the spatial distribution of mixedness, indicating that the optimum design parameters obtained at low Reynolds number can be used to guide the choosing of industry operating conditions with Reynolds number as high as 3.13×105–6.26×105.

1 Introduction

Acetylene is one of the most important raw materials in the organic synthesis industry. The downstream products of acetylene are quite broad because of its highly active chemical properties (Liu et al. 2011). With the depletion of crude oil, the cost of naphtha-derived olefins production is increasing and the natural gas-based acetylene industry gets a better opportunity for development (Holmen, Olsvik, and Rokstad 1995). The current technologies for acetylene production include calcium carbide process (Earl 1982), arc discharge (Bixler and Coberly 1953; Yao et al. 2001), pyrolysis (Bixler and Coberly 1953; Happel and Kramer 1967) and non-catalytic partial oxidation (POX) (Berg 1950; Elliott and McClure 1958; Wang and Zheng 2008; Russ et al. 2013), among which the POX of natural gas is the main method in the industry. In the POX process, the reacting gas must be quenched rapidly at the position where the acetylene yield is maximum to terminate further reactions that consume acetylene.

For the partial oxidation process of methane, BASF has proposed three manners for quenching, namely the water quenching process (Erwin, Werner, and Wilhelm 1960; Bachtler et al. 1995), oil quenching process (Russell 1958; Willi et al. 1966; Bachtler et al. 1995) and indirect cooling process (Stapf et al. 2002). In the water quenching process, which is currently used in the industrial reactor, the temperature of the reaction mixture decreases very rapidly from about 1,500 °C to 80–90 °C to ensure a high yield of acetylene. However, using this method the vast heat cannot be recovered because the final temperature is too low. The oil quenching process has a similar principle to the water quenching process. The aromatic oil with a high boiling point is used as the quenching medium, thus improving the final temperature to about 200–250 °C. The heat contained in the aromatic oil can be used for producing steam in a waste-heat boiler; as a result, the heat recovery efficiency in the oil quench process is higher than that in the water quenching process. However, the oil quenching process has a high operating cost and significantly complicates the separation process, and has not yet been industrialized. In the indirect heat exchange process, the quenching medium is not mixed with the reaction gas and the heat is recovered by heat exchangers. It was claimed that it takes about 0.3 s for the reacting gas to be cooled to 300 °C (Stapf et al. 2002). However, this cooling time is too long for quenching acetylene consumption reactions which have a time scale of milliseconds, thus it is not suitable for the non-catalytic partial oxidation of methane for acetylene production.

In our previous work (Wang, Li, and Wang 2012; Li 2013), a new technology has been proposed that the syngas produced in the process can be used as the direct quenching medium. By mixing the syngas of 50–100 °C with the hot reacting gas, the reacting gas can be cooled to 400–600 °C in a few milliseconds so that the acetylene consumption reactions are quickly quenched to give a high acetylene yield. The heat recovery efficiency will be much higher than that of the water quenching approach due to the higher termination temperature. According to Li’s research (2013), acetylene can keep stable for more than 2 s at 600 °C, and this time is long enough for the subsequent indirect heat exchange. The simulation of the quenching process indicates that the loss of acetylene is less than 1 %, confirming the feasibility of the syngas quenching process. Assuming a final temperature of 600 °C and heat recovery efficiency of 80 %, the recovered heat can produce eight tons of medium-pressure steam per ton of acetylene.

In the syngas quenching process, the syngas jets are vertical to the hot reacting gas flow. This kind of flow is commonly called as “jets in cross-flow” (JICF), which has been widely used in many industrial applications, for example, turbine combustion chambers (Kroll, Sowa, and Samuelsen 2000), mixing of reagents (Ktalkherman and Namyatov 2008), synthesis in chemical reactors (Samokhin et al. 2013). Past work on non-reacting JICF has been well reviewed by Mahesh (2013). A variety of experimental methods have been applied to study the mixing, mean flow and turbulence data in the JICF, such as laser Doppler velocimetry (Santiago and Dutton 1997), laser-induced fluorescence (Ben-Yakar, Mungal, and Hanson 2006), particle image velocimetry (Gutmark, Ibrahim, and Murugappan 2011), hot-wire anemometry technique (Kolar et al. 2003), hot film anemometer (Naik-Nimbalkar et al. 2011) and magnetic resonance velocimetry (Issakhanian, Elkins, and Eaton 2012). The JICF is also numerically investigated by using different computational approaches, including k-ε model (Coletti et al. 2013; Sundararaj and Selladurai 2013; Kartaev et al. 2014), SST k-ω model (Inanova et al. 2012), Reynolds stress model (Kalifa et al. 2014), detached eddy simulation (Hassan et al. 2013), large eddy simulation (Chai, Iyer, and Mahesh 2015; Esmaeili, Afshari, and Jaberi 2015) and direct numerical simulation (Muppidi and Mahesh 2008; Arora and Saha 2011).

The momentum-flux ratio J is found to be the dominant parameter in JICF (Gutmark, Ibrahim, and Murugappan 2008, Gutmark, Ibrahim, and Murugappan 2011; Naik-Nimbalkar et al. 2011; Kalifa et al. 2014). At low J values, the mixing of jets and crossflow is not effective because of under-penetration. However, at relatively high J values, the jets over-penetrate into the crossflow and deflect the crossflow into the near-wall region; therefore the mixing is also not effective. The intensity of segregation has been widely used to quantify the quality of mixing (Kroll, Sowa, and Samuelsen 2000; Urson, Lightstone, and Thomson 2001; Sundararaj and Selladurai 2013) and recent work on optimization of J in cylindrical duct can be referred to literature (Ktalkherman, Emelkin, and Pozdnyakov 2010; Kartaev et al. 2015). Another main parameter affecting the mixing quality is the geometry of mixer, such as the number of orifices (Holdeman 1993; Giorges, Forney, and Wang 2001), orifice shape (Vranos et al. 1991; Gutmark, Ibrahim, and Murugappan 2008) and the jet incident angle (Sundararaj and Selladurai 2013). A correlation between optimum number of orifices and momentum-flux ratio for cylindrical geometry has been proposed by Holdeman (1993) and it showed reliable predictions compared with the simulation results by Urson, Lightstone, and Thomson (2001). The comparison of slanted slot and round hole on mixing using planar digital imaging by Vranos et al. (1991) showed that the mixing with slot injectors is more rapid than that with round orifices. Gutmark, Ibrahim, and Murugappan (2008) compared the penetration and spread of jets of circular, triangle and slot nozzle configurations using PIV. The slot with low ratio of the spanwise dimension to the streamwise dimension had the highest penetration and the least jet spread on the windward and leeward boundaries. The numerical research on JICF mixing in the venture-jet mixer by Sundararaj and Selladurai (2013) using standard k-ε model found that the configuration with jet injection angle larger than 90° has the mixing enhancement ability. Although the optimization of jet incident angle at different momentum-flux ratios is important for industrial design, no such literature has been found to our best knowledge.

The JICF in the syngas quenching process for the partial oxidation is quite complex, in which intensive turbulent mixing, millisecond reactions and large temperature gradient are involved and interact with one another. Experimental measurements for this process at industrial conditions are very difficult. In this work, the JICF is experimentally studied and numerically simulated by Computational Fluid Dynamics (CFD). Based on the experimental data, several turbulent and mixing models were compared. With the suitable CFD model and model parameters, the hydrodynamic and mixing behaviors of JICF were further studied by CFD simulations concerning the effect of the jet incident angle θ, jet velocity to mainstream velocity ratio VR (VR=Uj /Um) and Reynolds number of mainstream Rem. This validated model can be extended to simulate the real quenching process for partial oxidation by coupling the detailed chemistry.

2 Experimental

2.1 Experimental setup

The JICF mixing apparatus was made of transparent polymethyl methacrylate with four jets equally spanned around the main pipe. The internal diameter of the jet channel (D) was 50 mm, and the internal diameter of the main channel was 2D, as shown in Figure 1. The jet inlets were introduced 20D away from the inlet of the mainstream in order to ensure full development of the turbulent flows. The length of the main pipe downstream of the jet inlets was 12D, as shown in Figure 1. The angles between the mainstream and jets were θ=90° and 120°. The four jets configuration was selected according to the correlation proposed by Holdeman (1993) for JICF:

(1)n=π2ρj/ρmCVR

where n is the number of jets, the empirical constant C is 2.5, and VR is the velocity ratio of jet to mainstream. ρm and ρj are the densities of mainstream and jet, which are equal to each other in our experiments.

Air was used as the fluid for both the mainstream and jets. The mixing behavior was measured by the gas tracing method. Methane was used as the tracing gas and was added to the mainstream. The axial and radial profiles of the methane concentration were measured by sampling and gas chromatography with flame ionization detector (FID). The concentration of methane added to the mainstream was 500 PPM. Calibrations showed that the minimum concentration of methane that could be detected by FID was 2.5 PPM. Therefore the methane concentrations could be measured with a good accuracy.

2.2 Measuring method

Several sampling ports with a diameter of 5 mm were mounted on the wall of the mixing apparatus, through which invasive sampling was accomplished. The sampling tube with an internal diameter of 2 mm was engraved with precise scale for accurate sampling position. The tube was connected to a sampling pump. The sucking flux of the pump was 0.1 L/min, which was small enough to eliminate the deviation of sampling location in invasive measurement. The gas sample was gathered in a gas sampling bag of 0.5 L, which allowed the measurement of the time-averaged concentration.

A gas chromatograph GC-7900 with FID detector was used to measure the methane concentration of the samples. A good linear relationship between the methane concentration and the methane peak area detected by FID was obtained by calibrations for methane concentration from 2.5 to 500 PPM, as shown in Figure 2. By fitting the calibration results, the following relationship was obtained.

(2)S=4920.3fmethane,R2=0.9996

where S is the peak area of methane in μV·s and fmethane is the volume fraction of methane in PPM.

Figure 1: Schematic diagram of the experimental apparatus.
Figure 1:

Schematic diagram of the experimental apparatus.

Figure 2: Relationship between volume fraction of methane and peak area.
Figure 2:

Relationship between volume fraction of methane and peak area.

3 Computational specifications

3.1 Model description

The steady-state 3D simulations were performed with ANSYS FLUENT. The incompressible, dimensionless form of the Reynolds-averaged governing equations for continuity and momentum in Cartesian coordinates can be written as:

(3)xiρui=0
(4)xj(ρuiuj)=pxi+xj[μ(uixj+ujxi23δijulxl)]+xj(ρui'uj'¯)

Although no difference exists between the simulation results of compressible and incompressible Navier-Stokes equations under the conditions of our experiments, i. e. relatively low gas velocity and no temperature difference between the jets and mainstream, the compressible form is used in consideration that the model will be further used to simulate the quenching process, in which high gas velocities and a large temperature gradient are involved and the compressible form is needed to predict correct results. The k-ε turbulence model was used because both the computational efficiency and accuracy are acceptable for simulation of industrial apparatus. The Boussinesq approximation was used to express the Reynolds stress term (Wilcox 1993):

(5)ρuiuj=μtuixj+ujxi23ρk+μtuixiδij

where μt is the turbulent viscosity, k is the turbulent kinetic energy, and δij is the Kronecker delta. Although k-ε model performs very well in many JICF cases (Hwang and Chiang 1995; Karvin and Ahlstedt 2005; Kartaev et al. 2014, 2015), it should be noted that Boussinesq hypothesis assumes turbulent viscosity is an isotropic scalar quantity, which is not strictly true.

In the k-ε model, the rate of dissipation ε is introduced and μt is expressed as the function of k and ε:

(6)μt=ρCμk2ε

In the standard high Reynolds k-ε model, k and ε are determined from the following two transport equations:

(7)kujxj=1ρxjμ+μtσkkxjuiujujxiε
(8)εujxj=1ρxjμ+μtσεεxj+C1εεkuiujujxiC2εε2k

The default values of the empirical constants in FLUENT are those recommended by Lauder and Spalding (1972), i. e.: C1ε=1.44, C2ε=1.92, Cμ=0.09, σk=1.0, σε=1.3. Those default values were used in this work. The transport equation for k is derived from exact equations. However, the transport equation for ε in the standard k-ε model is derived using physical reasoning, which relies on phenomenological considerations and empiricism. The dissipation of turbulence kinetic energy is essentially a second-rank tensor but in the k-ε model it is assumed to be locally isotropic, meaning that small-scale behaviors are independent of direction.

In the realizable k-ε model, the transport equation for k is the same as eq. (7); while the transport equation for ε is as follows:

(9)εujxj=1ρxjμ+μtσεεxj+C1SεC2ε2k+νε

where C1=max(0.43,ηη+5), η=Skε, S=2Sij. The mean strain rate is Sij=12ujxi+uixj. The transport equation for ε in the realizable k-ε model is derived from an exact equation for the transport of the mean-square vorticity fluctuation, thus it satisfies mathematical constraints on Reynold stresses and it is consistent with the physics of turbulent flows.

The eddy viscosity μt in the realizable k-ε model is still based on eq. (6). However, Cμ is no longer a constant. Instead, it is a function of the mean strain and rotation rates, the angular velocity of system rotation as well as the turbulence fields. Further details can be seen in Fluent 6.3 user’s guide (2006). In comparison, the Cμ is only a function of strain rate in the RNG k-ε model, while in the standard k-ε model it is a constant. The realizable k-ε model has been validated for a wide range of flows and has been found to be substantially better than the standard k-ε model (Kim, Choudhury, and Patel 1997; Shih et al. 1995). The application of realizable k-ε model in the JICF also shows accurate predictions compared to experimental data (Li, Huai, and Qian 2012; Kartaev et al. 2014, 2015).

A steady segregated solver with implicit formulation was used. The Species Transport Model was used to simulate the mixing of air and methane. Considering that the k-ε models are primarily valid for the flow in a region far from walls, the Non-Equilibrium Wall Functions were used to model the flow in the near-wall region.

The unstructured tetrahedral mesh was used. A second-order upwind discretization scheme was used for all the governing equations, and the PRESTO! algorithm was used for pressure discretization. The SIMPLE algorithm was used for the pressure-velocity coupling and the relaxation factors were default values which showed a good convergence. The convergence criteria for velocity, turbulent kinetic energy, turbulence dissipation rate, energy equation, air concentration and methane concentration are 10–5, 10–5, 10–5, 10–7, 10–6 and 10–6, respectively.

3.2 Boundary conditions

The boundary conditions of the inlets were set based on the measurement of velocity, temperature and composition, except that the turbulent intensity was calculated using the equation given by Fluent 6.3 user’s guide (2006):

(10)I=0.16×Re1/8

The calculation results for mainstream inlet (Rem= 3.13×104) and jet inlets (Rej=1.57×104) are 4.34 % and 4.73 %, respectively. Both of them are around 5 %; thus 5 % was used as the inlet turbulent intensity. It should be noticed that eq. (10) is only suitable for the core zone of fully developed turbulent flow in a smooth pipe. If the turbulent flow is not fully developed, the turbulent intensity should be smaller than the calculation result; while if the flow is disturbed, the turbulent intensity should be larger than the calculation result. The boundary conditions used in the calculations are listed in Table 1.

Table 1:

Boundary conditions for the calculation.

Boundary nameConditionValue
Mainstream inletReynolds number/ 1043.13–5.64
temperature/K303
methane mole fraction/PPM500
turbulent intensity/%5–15
hydraulic diameter/m0.1
Jets inletReynolds number/1041.57–2.82
temperature/K303
methane mole fraction/PPM0
turbulent intensity/%5–15
hydraulic diameter/m0.05
Outflowpressure-outlet0
Wallno-slip wall

3.3 Mesh independence test

In order for the mesh independence test, five unstructured tetrahedral meshes of 10, 8, 6, 4 and 3 mm were investigated. A case of JICF with Rem=3.13×104 and VR=1 was simulated using the standard k-ε model. Figure 3 shows the influence of the grids on the simulated axial profiles of the methane mole fraction at different radial positions. The result of 4 mm mesh is very close to that of 3 mm mesh; therefore the 4 mm mesh was used for subsequent simulations. Prism layers were created in order to meet the requirement of wall Y+ when using the wall function.

Figure 3: Effect of grid size on simulated axial profiles of methane fraction at (A) r/R=0.2 and (B) r/R=0.8.
Figure 3:

Effect of grid size on simulated axial profiles of methane fraction at (A) r/R=0.2 and (B) r/R=0.8.

3.4 Definition of mixedness

The intensity of segregation defined by Danckwerts (1952) was used to describe the mixedness of the mainstream and jets as follows:

(11)Is=σfA2fAfB=σfA2fA1fA

where fA and fB are the average volume fraction of species A and B, respectively, and σfA is the standard deviation of fA. According to eq. (11), the mixedness Is equals to 0 when the two streams A and B are completely mixed, and equals to 1 when A and B are completely separated. A smaller Is stands for a better mixing.

Some researchers (Kroll, Sowa, and Samuelsen 2000; Urson, Lightstone, and Thomson 2001) use the sample standard deviation s instead of standard deviation σ to calculate Is. The definition of s is:

(12)s=1Ai=1naifif2

where A=ai is the cross-section area, fi is the volume fraction measured at position i, and f is the cross-sectional averaged value of f.

Strictly speaking, the intensity of segregation describes the unmixedness of mixing because normally the mixedness should be 1 when mixing is complete. Therefore, Fuller et al. (1998) use 1−Is to describe the mixedness and a complete mixing is achieved when 1−Is equals to 1. However, a drawback still exists because the variables mentioned above merely reflect the overall mixing effect but could not reflect the local mixing behavior. Considering that the spatial distribution of mixedness is very important to study the JICF for quenching in the POX process, the local mixedness η was defined in this work to describe the local mixing:

(13)η=minfAfA,fBfB

where fA and fB respectively represent the mole fraction of A and B when mixing is complete. When A and B are completely mixed, η=1; when A and B are completely separated, η=0. The cross-sectional averaged mixedness ηˉ can be calculated by the area-weighted method as follows:

(14)ηˉ=1Ai=1naiηi

where A is the cross-section area, ai and ηi are respectively the cross-section area and mixedness of cell i. The mixedness for every cell and the cross-sectional averaged mixedness were calculated using user defined functions (UDF) and area-weighted average commands in FLUENT.

4 Results and discussion

4.1 Experimental results and model validation

4.1.1 Effects of sucking and intrusion on measurements

Before the measurements, the effects of sucking flux and invasive measurements on experimental data were checked. Firstly an experiment was conducted to check the effect of sucking flux on the concentration measurements. Figure 4 shows the experimental data measured at different sucking fluxes at r/R=0 and z/D=4. It can be seen that the measured results become independent of the sucking flux when the sucking flux is smaller than 0.15 L·min–1; therefore a sucking flux of 0.1 L·min–1 is used, which is small enough to eliminate the deviation caused by sucking flow.

Figure 4: Effect of sucking flux on concentration measurements at r/R=0, z/D=4 (θ=90°, Rem=3.13×104, VR=1).
Figure 4:

Effect of sucking flux on concentration measurements at r/R=0, z/D=4 (θ=90°, Rem=3.13×104, VR=1).

Furthermore, the effect of invasive measurement on the experimental data was analyzed by CFD simulations. The simulation domain is the same as the mixing apparatus except that a sampling tube is placed in the mixing apparatus. The top of the sampling tube is set at r/R=0 and z/D=4 and it is simulated as a pressure-outlet. The lateral surface of the sampling tube is simulated as wall. With a sucking flux of 0.1 L·min–1 and an internal diameter of 2 mm, the velocity component along the sampling tube is calculated to be 0.53 m·s–1. By adjusting the pressure at the pressure-outlet of the sampling tube, the velocity component mentioned above is achieved; thus the invasive measurement is simulated. The simulated methane mole fraction at r/R=0 and z/D=4 is 1.5 PPM higher than the simulated methane mole fraction without sampling tube in the mixing apparatus. This difference is smaller than the standard deviation of the measured methane mole fraction at this sampling point (8 PPM). Thus the sampling tube would not cause a significant deviation of measurements.

4.1.2 Effect of turbulence models and model parameters

The simulation results with different k-ε models were firstly compared with the experimental data for model validation. Each sampling point was measured three times and the standard deviation of each point is shown in Figures. It can be seen that most of the standard deviations are within ±8 PPM, showing a good reliability of the experimental data. Figure 5 shows that the mixing rates predicted by the standard k-ε model and realizable k-ε model are much larger than that predicted by the RNG k-ε model. Among these three k-ε models, the realizable k-ε model has the best agreement with the experimental data. The main reason is that the realizable k-ε model is more suitable for high Reynolds number flow, rotational flow and pipe flow, and in this work the Reynolds number in the mixing zone is higher than 60000, which is large enough to use the high Re turbulent models.

Figure 5: Comparison of axial methane mole fraction profiles of measurements and simulations with different k-ε models at (A) r/R=0.2 and (B) r/R=0.6 (Rem=3.13×104, VR=1, I=10 %).
Figure 5:

Comparison of axial methane mole fraction profiles of measurements and simulations with different k-ε models at (A) r/R=0.2 and (B) r/R=0.6 (Rem=3.13×104, VR=1, I=10 %).

With the realizable k-ε model, the effect of model parameters was further studied to improve the predictions. The primary value of inlet turbulent intensity used in the simulation was 5 %, which was estimated by eq. (10). Figure 6 shows that the simulated mixing with 5% inlet turbulent intensity is less intensive than the experimental results. The common approaches to enhance the mixing in simulations include increasing the inlet turbulent intensity and changing the value of the turbulent Schmidt number (Galezzo et al. 2011). The former approach was used since the turbulent intensity should be higher than the calculated value using eq. (10), as in our experiments both the mainstream and jets flowed through bellow tubes before entering the mixing apparatus. The axial profiles of the methane mole fraction simulated with inlet turbulent intensity of 5 %, 10 % and 15 % were compared. Figure 6 shows that the simulation results with inlet turbulent intensity of 10 % agree better with experimental data. The results also show that with the increase of turbulent intensity, the mixing between the mainstream and jets becomes more intensive. However, it is difficult to judge the value of inlet turbulent intensity only based on the simulation results and further measurements of inlet velocity fluctuation are needed.

Figure 6: Comparison of measured and simulated axial profiles of methane fraction with different inlet turbulent intensities at (A) r/R=0 and (B) r/R=0.2 (Rem =3.13×104, VR=1, realizable k-ε model).
Figure 6:

Comparison of measured and simulated axial profiles of methane fraction with different inlet turbulent intensities at (A) r/R=0 and (B) r/R=0.2 (Rem =3.13×104, VR=1, realizable k-ε model).

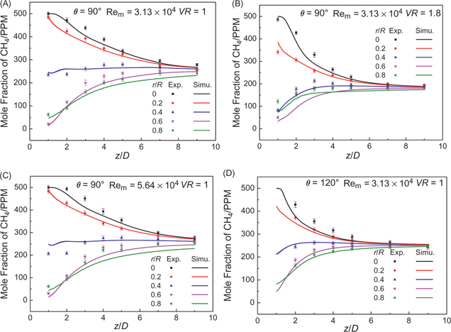
4.1.3 Model validation with different VR, θ and Rem

The model and parameters were further validated by comparing simulation results with experimental data measured at different VR, θ and Rem. Figure 7(A) and 7(B) show the comparison of the measured and simulated axial profiles of methane mole fraction at different radical positions with VR of 1 and 1.8. As we can see, the overall agreement of the simulations and experiments is satisfactory, confirming that using the realizable k-ε model is a computational efficient way to predict the mixing in JICF in the present work.

Figure 7: Comparison of measured and simulated axial methane mole fraction profiles at different radical positions for: (A) θ=90°, Rem=3.13×104 and VR=1, (B) θ=90°, Rem =3.13×104 and VR=1.8, (C) θ=90°, Rem=5.64×104 and VR=1 and (D) θ=120°, Rem=3.13×104 and VR=1.
Figure 7:

Comparison of measured and simulated axial methane mole fraction profiles at different radical positions for: (A) θ=90°, Rem=3.13×104 and VR=1, (B) θ=90°, Rem =3.13×104 and VR=1.8, (C) θ=90°, Rem=5.64×104 and VR=1 and (D) θ=120°, Rem=3.13×104 and VR=1.

Further study on the effect of gas velocity on mixing is needed because the Reynolds number of mainstream of experiments mentioned above is only 3.13×104, while a Reynolds number of 3.13×105–6.26×105 will be used in the syngas quenching process. Limited by the flux of Roots blower in our lab, the highest Reynolds number of the mainstream could be achieved was 5.64×104. Figure 7(C) shows the measured and simulated methane concentration profiles at Rem=5.64×104 and VR=1, which are quite like the profiles at Rem=3.13×104 and VR=1 shown in Figure 7(A). The good agreement between experimental and simulation data at both Rem=3.13×104 and Rem=5.64×104 confirms that the simulation results by realizable k-ε model could be used to study the effect of gas velocities.

A mixing apparatus with jet incident angle θ=120° was also built for further model validation. Figure 7(D) shows the comparison of the measured and simulated axial profiles at θ=120° and VR=1. The overall agreement of the simulations and experiments is acceptable, indicating that the realizable k-ε model has good predictions of the effect of jet incident angles on the mixing behaviors.

Although Figure 7 illustrates that the realizable k-ε model is able to predict concentration profiles in JICF, the agreement of the predicted and measured concentrations at the leeward side of the jets (i. e. r/R=0.6 and 0.8) is not as good as that at the windward side of the jets (i. e. r/R=0 and 0.2) in all four conditions shown in Figure 7. This phenomenon is also confirmed by Galeazzo et al. (2011). The reason for deviation of the simulations at the leeward side is because the simulations using k-ε model predict lower levels of Reynolds flux than the measurements. Consequently, the mixing at the leeward side of jets in measurements is more intensive than that in simulations.

4.2 Effect of velocity ratio

The gas densities of the mainstream and jets were kept constant in this work, thus the momentum-flux ratio J was proportional to the square of velocity ratio VR. Figure 7(A) and 7(B) show that with the increase of velocity ratio, the radial profile of the methane concentration becomes more uniform, indicating the mixing is enhanced.

Figure 8 shows the pseudo-color image of the spatial distribution of methane concentration in the plane through the central lines of the mainstream and jets. With the increase of VR, the jets penetrate deeper in the mainstream. No over-penetration is observed in the VR range of 1–1.8, and a further simulation with VR of 3 still shows no over-penetration. This indicates we can simply use the value of mixedness to optimize mixing in the VR range of 1–3 since in this case the mixing effect would monotonically change with the mixedness. It should be noted that Holdeman et al. (1997) and Holdeman, Liscinsky, and Bain (1999) found that if the VR was big enough to cause over-penetration, lower intensity of segregation (higher mixedness) could be obtained but actually over-penetration did cause an unfavorable effect on mixing.

Figure 8: Comparison of spatial distributions of methane concentration (in PPM) at different VR values (θ=90°).
Figure 8:

Comparison of spatial distributions of methane concentration (in PPM) at different VR values (θ=90°).

Figure 9 shows the pseudo-color image of the profile of local mixedness η in the plane through the central lines of the mainstream and jets. The results show that the jets initially mix with the mainstream at the windward side, and then the mixing zone expands to the near-wall region and the mainstream center. The increase of the velocity ratio VR enhances the jet penetration and reduces the length of unmixed core of mainstream, thus enhances the mixing. The ratio of velocities also significantly affects the profile of the cross-sectional averaged mixedness ηˉ. In addition, this effect strongly depends on the jet incident angle, as discussed later in Section 4.3.

Figure 9: Comparison of spatial distributions of η at different VR values (θ=90°).
Figure 9:

Comparison of spatial distributions of η at different VR values (θ=90°).

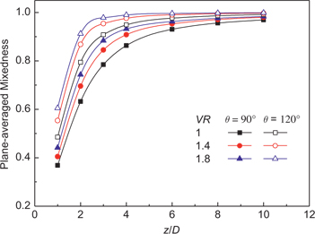
4.3 Effect of jet incident angle

The agreement between simulations and experiments allowed us to use the simulation results for studying the η spatial distribution. Figure 10 shows the cross-sectional averaged mixedness ηˉ at different axial positions with different VR and jet incident angles. Similar to the θ=90° configuration, the θ=120° configuration shows enhanced mixing with the increase of velocity ratio. Moreover, the ηˉ value in the θ=120° configuration is higher than that in the θ=90° for the same velocity ratio, indicating that the mixing can be enhanced by adjusting the jet incident angle.

Figure 10: Effect of θ on cross-sectional averaged mixedness at different VR values.
Figure 10:

Effect of θ on cross-sectional averaged mixedness at different VR values.

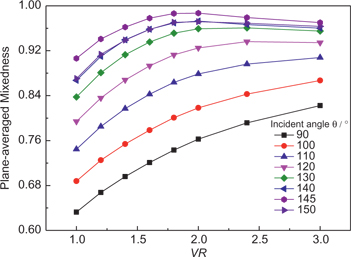
Compared with the mixedness at the outlet, the mixing in the first few milliseconds, namely the initial mixing is more important for syngas quenching process to avoid acetylene consumption. An incident angle larger than 90° provides a velocity component against the mainstream, and the jets are more intensively sheared and broken up by the mainstream, thus the initial mixing is more rapid. However, because the velocity component perpendicular to the mainstream is smaller at a larger jet incident angle for the same jet inlet velocity, an inappropriate jet incident angle will lead to a decreased mixing efficiency at the main channel center. The plane at z/D=2 was selected and the cross-sectional averaged mixedness ηˉ was studied as a function of the velocity ratio VR and jet incident angle θ. The results are shown in Figure 11. It can be seen that at a small jet incident angle, the mixedness ηˉ monotonically increases with increasing velocity ratio in the VR range of 1–3. However, the tendency becomes different at larger jet incident angles. At jet incident angles larger than 120°, the mixedness ηˉ first increases and then decreases with the increase of velocity ratio, and the optimized velocity ratio is in the range of 1.8–2.4. Figure 11 also shows that the configuration with θ=145° gives the best mixing among the studied jet incident angles in the velocity range of 1–3. These simulation results are in consistent with the experimental data given by Fitzgerald and Holley (1981), which showed that 150° injection produced the most rapid mixing in the angle range of 90°–150°.

Figure 11: Effect of VR on cross-sectional averaged mixedness at different θ values (Axial position z/D=2, Rem =3.13×104).
Figure 11:

Effect of VR on cross-sectional averaged mixedness at different θ values (Axial position z/D=2, Rem =3.13×104).

4.4 Effect of Reynolds number

Further study on the effect of gas velocity on mixing is needed because the highest mainstream Reynolds number of experiments we conducted is only 5.64×104, while a Reynolds number of 3.13×105–6.26×105 will be used in the syngas quenching process. The good agreement between experimental and simulation data at both Rem=3.13×104 and Rem=5.64×104 allowed us to use simulation to study mixing behavior at higher mainstream Reynolds number. Figure 12 shows the cross-sectional averaged mixedness ηˉ at different axial positions and Rem of 6.26×104, 1.88×105, 3.13×105 and 6.26×105. Other operating parameters are θ=145° and VR=2. The profiles of ηˉ are similar for the four mainstream Reynolds numbers, indicating that the mixedness only slightly depends on the mainstream Reynolds number at a fixed velocity ratio VR. This is consistent with the works of Smith, Talpallikar, and Holdeman (1991) and Holdeman et al. (1997), who reported that the primary independent flow variables in the mixing of confined circular jets in a straight duct are jet-to-mainstream mass-flow ratio and momentum-flux ratio. At constant momentum-flux ratio, variation in Reynolds number has only a second-order effect on mixing. Since neither of mass-flow ratio nor momentum-flux ratio was changed in our simulations, the change of mixedness distribution should be insignificant.

Figure 12: Effect of Rem on cross-sectional averaged mixedness at different axial positions (VR=2, θ=145°).
Figure 12:

Effect of Rem on cross-sectional averaged mixedness at different axial positions (VR=2, θ=145°).

It should be pointed out that increasing Reynolds number results in two opposing phenomena: one is the decrease in the residence time of gas in the mixing apparatus, causing a decrease in the mixing time of jets and mainstream; and the other is the increase in turbulent viscosity. Since the mixing process is caused by jet spreading, i. e. the entrainment of surrounding fluid by jets due to turbulent viscosity (Kandakure et al. 2009), the increase of turbulent viscosity leads to more intensive mixing. Those two opposing phenomena counterbalance and the spatial distribution of mixedness is almost independent of the Reynolds number. The independence on the Reynolds number suggests that the results obtained at a relatively low Reynolds number are also valuable for the design of a syngas quenching process operated at a high Reynolds number up to 6.26×105.

5 Conclusions

The mixing behaviors of JICF were studied by both experiments and CFD simulations. The methane tracing method using GC and FID is efficient for studying mixing behaviors in the JICF. The good agreements of measurements and simulations with different Um and Uj values showed that the realizable k-ε turbulence model can reliably simulate the mixing in the JICF. The jet incident angle has a significant effect on the mixing in JICF, and the optimum jet incident angle for mixing is 145°. Increasing Reynolds number with a fixed velocity ratio only has a slight effect on the spatial distribution of mixedness, indicating that the optimum design parameters obtained at a lower Reynolds number are valuable for the design of a syngas quenching process operated at a higher Reynolds number.

Funding statement: Funding: The authors gratefully acknowledge the financial supports by the National Natural Science Foundation of China (No. 21276135) and by the Project of Chinese Ministry of Education (No. 113004A).

Nomenclature

ai

cross-section area of cell i, m2

A

cross-section area (=ai), m2

D

internal diameter of the jet channel (=0.05m)

f

volume fraction

I

turbulent intensity

Is

intensity of segregation

J

momentum-flux ratio

k

turbulent kinetic energy, m2/s2

n

number of jets

p

pressure, Pa

r

radial position, m

R

radius of the main channel (=0.05m)

Re

Reynolds number

s

sample standard deviation

S

peak area of methane, μV·s

U

gas velocity, m·s–1

VR

velocity ratio of jet to mainstream (= Uj/Um)

z

axial position, m

δij

Kronecker delta

ε

rate of dissipation, m2/s3

η

local mixedness

θ

jet incident angle, o

μ

molecular viscosity, kg·m–1·s–1

μt

turbulent viscosity, kg·m–1·s–1

ρ

density, kg·m–3

σ

standard deviation

Subscripts

m

mainstream

j

jet

References

1. Arora, P., Saha, A.K., 2011. Three-dimensional Numerical Study of Flow and Species Transport in an Elevated Jet in Crossflow. Int. J. Heat Mass Transfer 54, 92–105.10.1016/j.ijheatmasstransfer.2010.07.068Search in Google Scholar

2. Bachtler, M., Schnur, R.R., Passler, P., Scheidsteger, O., Kastenhuber, W., Schlindwein, G., Konig, R., 1995. Process for the Production of Acetylene and Synthesis Gas. U.S. Patent 5824834.Search in Google Scholar

3. Ben-Yakar, A., Mungal, M.G., Hanson, R.K., 2006. Time Evolution and Mixing Characteristics of Hydrogen and Ethylene Transverse Jets in Supersonic Crossflows. Phys. Fluids 18, 1131–1151.10.1063/1.2139684Search in Google Scholar

4. Berg, C.H.O., 1950. Process and Apparatus for Acetylene Production. U.S. Patent 2679540.Search in Google Scholar

5. Bixler, G.H., Coberly, C.W., 1953. Wulff Process Acetylene. Ind. Eng. Chem. 45, 2596–2606.10.1021/ie50528a018Search in Google Scholar

6. Chai, X., Iyer, P.S., Mahesh, K., 2015. Numerical Study of High Speed Jets in Crossflow. J. Fluid Mech. 785, 152–188.10.1017/jfm.2015.612Search in Google Scholar

7. Coletti, F., Benson, M.J., Ling, J., Elkins, C.J., Eaton, J.K., 2013. Turbulent Transport in an Inclined Jet in Crossflow. Int. J. Heat Fluid Flow 43, 149–160.10.1016/j.ijheatfluidflow.2013.06.001Search in Google Scholar

8. Danckwerts, P.V., 1952. The Definition and Measurement of Some Characteristics of Mixtures. Appl. Sci. Res., Sect. A 3, 279–296.10.1016/B978-0-08-026250-5.50050-2Search in Google Scholar

9. Earl, G.K., 1982. Calcium Carbide/Water Acetylene Gas Generator. U.S. Patent 4444159.Search in Google Scholar

10. Elliott, J., McClure, H.H., 1958. Production of Acetylene by the Partial Oxidation of Hydrocarbons. U.S. Patent 2945074.Search in Google Scholar

11. Erwin, L., Werner, A., Wilhelm, S.F., 1960. Production of Acetylene by Partial Oxidation of Hydrocarbons and Apparatus Therefor. U.S. Patent 2966533.Search in Google Scholar

12. Esmaeili, M., Afshari, A., Jaberi, F.A., 2015. Turbulent Mixing in Non-Isothermal Jet in Crossflow. Int. J. Heat Mass Transfer 89, 1239–1257.10.1016/j.ijheatmasstransfer.2015.05.055Search in Google Scholar

13. Fitzgerald, S.D., Holly, E.R., 1981. Jet Injections for Optimum Mixing in Pipe Flow. J. Hydraul. Div., Am. Soc. Civ. Eng. 107, 1179–1195.10.1061/JYCEAJ.0005741Search in Google Scholar

14. Fluent, 2006. Fluent 6.3 User’s Guide, Fluent Inc., Lebanon, New Hampshire.Search in Google Scholar

15. Fuller, R.P., Wu, P.K., Nejad, A.S., Schetz, J., 1998. Comparison of Physical and Aerodynamic Ramps as Fuel Injectors in Supersonic Flow. J. Propul. Power 14, 135–145.10.2514/2.5278Search in Google Scholar

16. Galezzo. F.C.C., Donnert, G., Habisreuther, P., Zarzalis, N., Valdes, R.J., Krebs, W., 2011. Measurement and Simulations of Turbulent Mixing in a Jet in Crossflow. J. Eng. Gas Turbines Power 133, 061504–1.10.1115/GT2010-22709Search in Google Scholar

17. Giorges, A.T.G., Forney, L.J., Wang, X., 2001. Numerical Study of Multi-jet Mixing. Chem. Eng. Res. Des. 79, 515–522.10.1205/02638760152424280Search in Google Scholar

18. Gutmark, E.J., Ibrahim, I.M., Murugappan, S., 2008. Circular and Noncircular Subsonic Jets in Cross Flow. Phys. Fluids 20, 075110.10.1063/1.2946444Search in Google Scholar

19. Gutmark, E.J., Ibrahim, I.M., Murugappan, S., 2011. Dynamics of Single and Twin Circular Jets in Cross Flow. Exp. Fluids 50, 653–663.10.1007/s00348-010-0965-2Search in Google Scholar

20. Happel, J., Kramer, L., 1967. Acetylene and Hydrogen from the Pyrolysis of Methane. Ind. Eng. Chem. 59, 39–50.10.1021/ie50685a008Search in Google Scholar

21. Hassan, E., Boles, J., Aono, H., Davis, D., Wei, S., 2013. Supersonic Jet and Crossflow Interaction: Computational Modeling. Prog. Aeronaut. Sci. 57, 1–24.10.1016/j.paerosci.2012.06.002Search in Google Scholar

22. Holdeman, J.D., 1993. Mixing of Multiple Jets with a Subsonic Crossflow. Prog. Energy Combust. Sci. 19, 31–70.10.1016/0360-1285(93)90021-6Search in Google Scholar

23. Holdeman, J.D., Liscinsky, D.S., Bain, D.B., 1999. Mixing of Multiple Jets with a Confined Subsonic Crossflow: Part II–Opposed Rows of Orifices in Rectangular Ducts. J. Eng. Gas Turbines Power 121, 551–562.10.1115/97-GT-439Search in Google Scholar

24. Holdeman, J.D., Liscinsky, D.S., Oechsle, V.L., Samuelsen, G.S., Smith, C.E., 1997. Mixing of Multiple Jets with a Confined Subsonic Crossflow: Part I–Cylindrical Duct. J. Eng. Gas Turbines Power119, 852–862.10.1115/1.2817065Search in Google Scholar

25. Holmen, A., Olsvik, O., Rokstad, O.A., 1995. Pyrolysis of Natural Gas: Chemistry and Process Concepts. Fuel Process. Technol. 42, 249–267.10.1016/0378-3820(94)00109-7Search in Google Scholar

26. Hwang, R.R., Chiang, T.P., 1995. Numerical Simulation of Vertical Forced Plume in a Crossflow of Stably Stratified Fluid. J. Fluids Eng. 117, 696–705.10.1115/1.2817325Search in Google Scholar

27. Issakhanian, E., Elkins, C.J., Eaton, J.K., 2012. In-Hole and Mainflow Velocity Measurements of Low-Momentum Jets in Crossflow Emanating from Short Holes. Exp. Fluids 53, 1765–1778.10.1007/s00348-012-1397-ySearch in Google Scholar

28. Ivanova, E., Noll, B., Aigner, M., Ivanova, E., Noll, B., Aigner, M., 2012. A Numerical Study on the Turbulent Schmidt Numbers in a Jet in Crossflow. ASME Turbo Expo 2012: Turbine Technical Conference and Exposition (Vol. 135, pp. 949–960). American Society of Mechanical Engineers.10.1115/GT2012-69294Search in Google Scholar

29. Kalifa, R.B., Habli, S., Saïd, N.M., Bournot, H., Palec, G.L., 2014. Numerical and Experimental Study of a Jet in a Crossflow for Different Velocity Ratio. J. Braz. Soc. Mech. Sci. Eng. 36, 743–762.10.1007/s40430-014-0129-zSearch in Google Scholar

30. Kandakure, M.T., Patkar, V.C., Patwardhan, A.W., Patwardhan, J.A., 2009. Mixing with Jets in Cross-flow. Ind. Eng. Chem. Res. 48, 6820–6829.10.1021/ie801863aSearch in Google Scholar

31. Kartaev, E.V., Emel’Kin, V.А., Ktalkherman M.G., Kuz’Min, V.I., Aul’Chenko, S.М., Vashenko, S.P., 2014. Analysis of Mixing of Impinging Radial Jets with Crossflow in the Regime of Counter Flow Jet Formation. Chem. Eng. Sci. 119, 1–9.10.1016/j.ces.2014.07.062Search in Google Scholar

32. Kartaev, E.V., Emelkin, V.А., Ktalkherman, M.G., Aulchenko, S.М., Vashenko, S.P., Kuzmin, V.I., 2015. Formation of Counter Flow Jet Resulting from Impingement of Multiple Jets Radially Injected in a Crossflow. Exp. Therm. Fluid Sci. 68, 310–321.10.1016/j.expthermflusci.2015.05.009Search in Google Scholar

33. Karvinen, A., Ahlstedt, H., 2005. Comparison of Turbulence Models in Case of Jet in Crossflow using Commercial CFD Code. Eng. Turbul. Modell. Exp. 6, 399–408.10.1016/B978-008044544-1/50038-8Search in Google Scholar

34. Kim S.E., Choudhury D., Patel B., 1997. Computations of Complex Turbulent Flows Using the Commercial Code FLUENT. In Proceedings of the ICASE/ LaRC/ AFOSR. Symposium on Modeling Complex Turbulent Flows, Hampton, Virginia.Search in Google Scholar

35. Kolar, V., Takao, H., Todoroki, T., Savory, E., Okamoto, S., Toy, N., 2003. Vorticity Transport within Twin Jets in Crossflow. Exp. Therm. Fluid Sci. 27, 563–571.10.1016/S0894-1777(02)00270-4Search in Google Scholar

36. Kroll, J.T., Sowa, W.A., Samuelsen, G.S., 2000. Optimization of Orifice Geometry for Crossflow Mixing in a Cylindrical Duct. J. Propul. Power 16, 929–938.10.2514/2.5669Search in Google Scholar

37. Ktalkherman, M.G., Emelkin, V.A., Pozdnyakov, B.A., 2010. Influence of the Geometrical and Gasdynamic Parameters of a Mixer on the Mixing of Radial Jets Colliding with a Crossflow. J. Eng. Phys. Thermophys. 83, 539–548.10.1007/s10891-010-0375-6Search in Google Scholar

38. Ktalkherman, M.G., Namyatov, I.G., 2008. Pyrolysis of Hydrocarbons in a Heat-carrier Flow with Fast Mixing of the Components. Combust. Explos. Shock Waves 44, 529–534.10.1007/s10573-008-0081-2Search in Google Scholar

39. Launder, B.E., Spalding, D.B., 1972. Lectures in Mathematical Models of Turbulence, Academic Press, London.Search in Google Scholar

40. Li, Q., (Ph.D. Thesis) 2013. Non-Catalytic Partial Oxidation of Methane to Produce Acetylene and Synthesis Gas, Tsinghua University. (in Chinese)Search in Google Scholar

41. Li, Z.W., Huai, W.X., Qian, Z.D., 2012. Study on the Flow Field and Concentration Characteristics of the Multiple Tandem Jets in Crossflow. Sci. China Technol Sci. 55, 2778–2788.10.1007/s11431-012-4964-9Search in Google Scholar

42. Liu, Y., Wang, T., Li, Q., Wang, D., 2011. A study of Acetylene Production by Methane Flaming in a Partial oxidation Reactor. Chin. J. Chem. Eng. 19, 424–433.10.1016/S1004-9541(11)60002-5Search in Google Scholar

43. Mahesh, K., 2013. The Interaction of Jets with Crossflow. Annu. Rev. Fluid Mech. 45, 379–407.10.1146/annurev-fluid-120710-101115Search in Google Scholar

44. Muppidi, S., Mahesh, K., 2008. Direct Numerical Simulation of Passive Scalar Transport in Transverse Jets. J. Fluid Mech. 598, 335–6010.1017/S0022112007000055Search in Google Scholar

45. Naik-Nimbalkar, V.S., Suryawanshi, A.D., Patwardhan, A.W., Banerjee, I., Padmakumar, G., Vaidyanathan, G., 2011. Twin Jets in Cross-flow. Chem. Eng. Sci. 66, 2616–2626.10.1016/j.ces.2011.03.018Search in Google Scholar

46. Russ, M., Grossschmidt, D., Renze, P., Vicari, M., Neuhauser, H., Ehrhardt, K.R., Weichert, C., 2013. Process and Apparatus for Preparing Acetylene and Synthesis Gas. U.S. Patent 8506924.Search in Google Scholar

47. Russell, J.G., 1958. Oil Quench Process for Partial Oxidation of Hydrocarbon gases. U.S. Patent 3022148.Search in Google Scholar

48. Samokhin, A.V., Alekseev, N.V., Kornev, S.A., Sinaiskii, M.A., Blagoveschenskiy, Y.V., Kolesnikov, A.V., 2013. Tungsten Carbide and Vanadium Carbide Nanopowders Synthesis in DC Plasma Reactor. Plasma Chem. Plasma Process 33, 605–61610.1007/s11090-013-9445-9Search in Google Scholar

49. Santiago, J.G., Dutton, J.C., 1997. Velocity Measurements of a Jet Injected into a Supersonic Crossflow. J. Propul. Power 13, 264–273.10.2514/2.5158Search in Google Scholar

50. Shih T.H., Liou W.W., Shabbir A., Yang Z., Zhu J., 1995. A New k-ε Eddy-Viscosity Model for High Reynolds Number Turbulent Flows – Model Development and Validation. Comput. Fluids 24, 227–238.10.1016/0045-7930(94)00032-TSearch in Google Scholar

51. Smith, C.E., Talpallikar, M.V., Holdeman, J.D., 1991. A CFD Study of Jet Mixing in Reduced Flow Areas for Lower Combustor Emissions. AIAA Pap. 90–2460.10.2514/6.1991-2460Search in Google Scholar

52. Stapf, D., Passler, P., Bachtler, M., Scheidsteger, O., Bartenbach, B., 2002. Preparation of Acetylene and Synthesis gas. U.S. Patent 6365792.Search in Google Scholar

53. Sundararaj, S., Selladurai, V., 2013. Flow and Mixing Pattern of Transverse Turbulent Jet in Venturi-Jet Mixer. Arabian J. Sci. Eng. 38, 3563–3573.10.1007/s13369-013-0643-9Search in Google Scholar

54. Urson, H., Lightstone, M.F., Thomson, M.J., 2001. A Numerical Study of Jets in a Reacting Crossflow. Numer. Heat Transfer Part A 40, 689–714.10.1080/104077801753289800Search in Google Scholar

55. Vranos, A., Liscinsky, D.S., True, B., Holdeman J.D., 1991. Experimental Study of Cross-Stream Mixing in a Cylindrical Duct. In AIAA, SAE, ASME, and ASEE, 27th Joint Propulsion Conference.10.2514/6.1991-2459Search in Google Scholar

56. Wang, T., Li, Q., Wang, D., 2012. Method and device for quenching and heat recovery in partial oxidation process of natural gas. CN Patent CN102329189A. (in Chinese)Search in Google Scholar

57. Wang, Z., Zheng, D., 2008. Energy Analysis and Retrofitting of Natural Gas-based Acetylene Process. Chin. J. Chem. Eng. 16, 812–818.10.1016/S1004-9541(08)60161-5Search in Google Scholar

58. Wilcox, D.C., 1993. Turbulence Modeling for CFD, DCW Industries Inc., La Canada, California.Search in Google Scholar

59. Willi, D., Otto, F., Erich, K., Ferdinand, M., Walter, T., 1966. Production of Acetylene. U.S. Patent 3242225.Search in Google Scholar

60. Yao, S., Suzuki, E., Meng, N., Nakayama, A., 2001. A High-efficiency Reactor for the Pulsed Plasma Conversion of Methane. Plasma Chem. Plasma Process. 22, 225–237.10.1023/A:1014843425384Search in Google Scholar

Published Online: 2016-3-26
Published in Print: 2017-1-1

©2017 by De Gruyter

Articles in the same Issue

  1. Bubble Trajectory in a Bubble Column Reactor using Combined Image Processing and Artificial Neural Network
  2. Non-linear Radiation Effects in Mixed Convection Stagnation Point Flow along a Vertically Stretching Surface
  3. Mixing Behaviors of Jets in Cross-Flow for Heat Recovery of Partial Oxidation Process
  4. Selective Hydrogenation of 4’,4”(5”)-Di-Tert-Butyldibenzo-18-Crown-6 Ether over Rh/γ-Al2O3 Nanocatalyst
  5. Titania-Loaded Coal Char as Catalyst in Oxidation of Styrene with Aqueous Hydrogen Peroxide
  6. A Study of the Soft-Sphere Model in Eulerian-Lagrangian Simulation of Gas-Liquid Flow
  7. Conceptual Approach in Multi-Objective Optimization of Packed Bed Membrane Reactor for Ethylene Epoxidation Using Real-coded Non-Dominating Sorting Genetic Algorithm NSGA-II
  8. Kinetics of Extraction of Tributyl phosphate (TBP) from Aqueous Feed in Single Stage Air-sparged Mixing Unit
  9. Viscous Dissipation Effects in Water Driven Carbon Nanotubes along a Stream Wise and Cross Flow Direction
  10. Evaluation of Mixing and Mixing Rate in a Multiple Spouted Bed by Image Processing Technique
  11. A Parametric Study of Biodiesel Production Under Ultrasounds
  12. Numerical Study of MHD Viscoelastic Fluid Flow with Binary Chemical Reaction and Arrhenius Activation Energy
  13. CFD Analysis and Design Optimization in a Curved Blade Impeller
  14. Bio-Oil Heavy Fraction as a Feedstock for Hydrogen Generation via Chemical Looping Process: Reactor Design and Hydrodynamic Analysis
  15. Upgrading of Heavy Oil in Supercritical Water using an Iron based Multicomponent Catalyst
Downloaded on 30.1.2026 from https://www.degruyterbrill.com/document/doi/10.1515/ijcre-2015-0188/html
Scroll to top button