Startseite Naturwissenschaften Non-linear Radiation Effects in Mixed Convection Stagnation Point Flow along a Vertically Stretching Surface
Artikel Öffentlich zugänglich

Non-linear Radiation Effects in Mixed Convection Stagnation Point Flow along a Vertically Stretching Surface

  • S. T. Hussain , Rizwan Ul Haq EMAIL logo , N. F. M. Noor und S. Nadeem
Veröffentlicht/Copyright: 23. Februar 2016
Veröffentlichen auch Sie bei De Gruyter Brill

Abstract

Present phenomenon is dedicated to analyze the combine effects of linear and non-linear Rosseland thermal radiations for stagnation point flow along a vertically stretching surface. For better variation in fluid flow and heat transfer, mixed convection is also considered to sustain this mechanism for significant influence. After incorporating these effects, the pertinent mathematical model is constructed in the form of non-linear partial differential equations and then be transformed into the system of coupled ordinary differential equations with the help of similarity transformation to be further solved numerically. Significant difference in the heat transfer enhancement can be observed through temperature profiles and tables of Nusselt number. Though histogram and isotherms plots, finally it is concluded that non-linear radiation provides better heat transfer rate at the surface of sheet as compare to the linear or absence of radiation effects.

1 Introduction

The radiations can be visible, infrared or sun light and their visibility depends upon the nature of the material emitting from these radiations. The source of energy and its technology is mostly categorized as either passive solar or active solar depending on the way to seize and distribute of solar energy or convert it into solar power. Electromagnetic emissions from a surface with temperature greater than absolute zero are known as thermal radiations. These radiations can be visible, infrared or sun light and their visibility depends upon the nature of the material emitting these radiations. Since last few decay once of the major concern in field of science and technology a prominent source of renewable energy and its technologies are mostly categorized as either passive solar or active solar depending on the way to seize and distribute of solar energy or convert it into solar power. Viskant and Grosh (1962) noted that these radiations become important factor when considering the cooling systems, hypersonic flights, combustion chambers and power plants. They discussed the thermal radiation effects for the Falkner-Skan flow by using the Rosseland approximations (Rosseland 1931). Smith (1952) was one of the earliest scientists who discussed the radiation effects for a boundary layer flow. Perdikis and Raptis (1996) discussed the heat transfer phenomenon for micropolar fluid past a flat surface by considering the linearized form of Rosseland approximation. Later on several authors citing their work used the linearized form of Rosseland approximation to discuss the boundary layer flows in the presence of thermal radiation. Recently Bataller (2008) discussed the Blasius flow in the presence of radiation effects and found that thermal radiation effect expands the temperature distribution, but this effect starts decreasing for large values of radiation parameter. Hussain et al. (2013) examined the radiation effects on the unsteady boundary layer flow of a micropolar fluid over a stretching surface. They concluded that the micropolar fluid temperature increases with an increase in the radiation parameter. Pal and Mondal (2012) investigated the radiation and chemical reaction effects on the stretching sheet flow in a Darcian porous medium. They also observed the effect of porous medium where the temperature increases with an increase in the radiation parameter. Chen (2010) produced the analytical solution for viscoelastic fluids (Walters B fluid and second grade fluid) by considering the thermal radiations. He used the linearized form of Rosseland approximation to examine the radiation effects. They found that Nusselt number decreases with an increase in the radiation parameter.

A radiation effect for the fluid flow over unsteady stretching sheet has been discussed by Aziz (2009). He concluded that radiation effects are more prominent for small values of Prandtl number while Nusselt number variation is prominent for large Prandtl number. He also discussed that radiation effects are more pronouncing for steady fluid flow as compared to unsteady fluid flow. Das, Duari, and Kundu (2014) extended the work of Aziz (2009) for the nano fluid flow by considering the Buongiorno fluid model (Buongiorno 2006). They reported that radiation parameter has similar effects in the case of nanofluid flow. Several other articles (Hayat et al. 2012, 2014; Ishak, Nazar, and Pop 2006; Mahapatra and Gupta 2001, 2002; Nazar et al. 2004; Shehzad, Alsaedi, and Hayat 2013; Shehzad, Hayat, and Alsaedi 2015; Shehzad et al. 2014) can also be referred on the use of linear Rosseland approximation to discuss the radiation effects. The linear Rosseland approximation results are valid only for small temperature differences between the plate and ambient fluid. Recently Magyari (Magyari 2010; Magyari and Pantokratoras 2011) proved that for the linear Rosseland approximation case, the problem can be governed by a single effective Prandtl number instead of different parameters. So Fang and Pantokratoras (2014) recently published a short note on the Blasius flow with the non-linear radiations. The governing equation contains three parameters Prandtl number, radiation parameter and temperature parameters instead of the single parameter (effective Prandtl number). They also stated that non-linear Rosseland approximation results are valid for small as well as large temperature difference between plate and ambient fluid. The temperature profile is S-shaped for non-linear approximation when compared to linear Rosseland approximation.

After the publication of Fang and Pantokratoras article (Pantokratoras and Fang 2014), it is important to revisit the radiation effects on the fluid flows discussed earlier by using the linearized form of Rosseland approximation. The stretching sheet flows have been largely discussed by considering the radiation effects. These flows have important applications in the polymer extrusion, electric wire drawings and plastic sheets drawings. Sakiadis (1961) started the study of boundary layer flows over a continuous moving surface. Tsou, Sparrow, and Goldstein (1967) extended his work for heat transfer and Erickson, Fan, and Fox (1966) extended it for the mass transfer with suction and injection. A rich literature (Akbar et al. 2013; Cortell 2008; Mao et al. 2015; Nandeppanavar, Vajravelu, and Abel 2011; Qing et al. 2015; Rashidi et al. 2014; Van Deynse et al. 2015; Wang et al. 2015; Yu et al. 2013) is available on the stretching sheet flows. Recently Mukhopadhyay (2013) examined the slip and radiation effects on the boundary layer flow over an exponentially stretching sheet. She used the linearized form of thermal radiation and concluded that temperature increase with radiation parameter is due to the enhanced thermal conductivity. Yazdi, Moradi, and Dinarvand (2013) considered three nanoparticles to examine the effect of radiation parameter on the nanofluid flow over stretching sheet. They showed that for copper particles, the temperature increases with the increase in radiation parameter. Their graph shows temperature is increasing with the increase in magnetic and radiation parameters. The above mentioned studies used the linearized form of Rosseland approximation to examine the radiation effects.

The main motivation of present study is to highlight the concept of non-linear Rosseland approximation for mixed convection stagnation point flow along a vertically moving surface. Presently no extensive literature has been discussed for non-linear radiation. So the main purpose of the present study is to modify the concept of linear radiation to non-linear radiation effects on the stagnation point flow. Thus the mathematical model is constructed based on above mentioned analysis in Section 2. Methodology to solve the problem is defined in Section 3. In Section 4, comparison results are presented to verify our study with the existing literature and the graphs are plotted to discuss the effects of physical parameters. Additionally, histograms of local Nusselt number and the flow isotherms on the effects of non-linear radiation as compared to linear radiation and absence of radiation are included. Lastly, key findings of the whole analysis are described in Section 5.

2 Mathematical formulation

We consider the steady two dimensional fluid flow and heat transfer over a continuously moving surface. The surface is moved with the linear velocity Uw=cx. Moreover, we are considering the stagnation point flow with U=bx. The surface movement will cause the boundary layer formation. Considering the Cartesian coordinate system, fluid flow velocity will vary along xandy axis. Boundary layer equations governing the fluid flow are given by

Figure 1: Geometry of the problem.
Figure 1:

Geometry of the problem.

(1)ux+vy=0,
(2)uux+vuy=UdUdx+ν2uy2±gβTT,
(3)uTx+vTy=α2Ty21ρcpqry.

In above equations, ux,y and vx,y are the velocity components in the fluid flow and they are in perpendicular direction respectively. Here ν=μ/ρ is kinematic viscosity, ρ is density, μ is dynamic viscosity, g is acceleration due to gravity, β is coefficient of thermal expansion, α=k/ρcp is thermal diffusivity, k is thermal conductivity, cp is specific heat at constant pressure and qr is radiation heat flux. The corresponding boundary conditions are given by

(4)u=Uw=cx,v=0,T=Twaty=0
(5)u=U=ax,T=Taty.

The radiation heat flux can be defined by using the Rosseland approximation (Rosseland 1931)

(6)qr=43areb,

where eb is the rate of radiation emitted by each square meter of surface and ar is the Rosseland mean absorption coefficient. The term eb=σSBT4 is defined by using Stefan-Boltzmann radiation law. This law states that all objects with temperature above absolute zero emit radiations at the rate proportional to the fourth power of its absolute temperature. So σSB is the well-known Stefan-Boltzmann constant. After using these relations, Eq. (3) can be rewritten as

(7)uTx+vTy=yα+16σSBT33ρcparTy.

The above equation is highly non-linear in T. The major simplification can be done if the temperature difference between wall and fluid is small. In that case, T can be replaced by T but the obtained results will be valid only when temperature gradient within the flow is small. Introducing the following transformations in the governing equations and boundary conditions

(8)u=ψy,v=ψx,η=ycvf,fη=ψxcvf,θη=TTTwT.

Hence we get

(9)f+fff2+r2±λθ=0
(10)θ+Prfθ+Nr3(1θr)[((1θr)θ+θr)4]''=0,
(11)f0=0,f0=1,f=r=a/c,
(12)θ0=1,θ=0,

where

(13)Nr=4σSBTw3/kar,θrˆ=T/Tw,λ=Grx/Rex

The value of θr is the ratio of ambient fluid temperature to temperature at wall and it is noticeable that it can be greater than or less than one. In such cases when θr is equal to one, there is no temperature difference between the wall and the ambient fluid. The constant λ0 in the equation (9) is the buoyancy parameter with Grx=gβTwTx3/ν2 is the local Grashof number and Rex=Uwx/ν is the local Reynolds number, so the system will be in thermal equilibrium. The definition of θr is somewhat different from (Hayat et al. 2012) due to difference in the temperature transformations. Physical quantities of interest are the skin friction coefficient and the local Nusselt number

(14)cf=τwρUw2/2,Nu=x(qw+qr)kTwT,

where τw=μuyy=0 and qw=kTyy=0. Using transformation (8) and Re=Uwxν, we have

(15)12CfRex1/2=f(0),
(16)Rex1/2Nu=43(Nr1θrθ0+θr)3+1θ0

3 Methodology

Equations (9) and (10) combined with the boundary conditions (11) and (12) are solved numerically using a Runge-Kutta (RK) method of order fourth-fifth along with the shooting technique. The step size is taken as Δη=0.01 and the convergence criteria is set at 10–6. The asymptotic boundary conditions given by Eq. (12) were replaced by using a value of similarity variable ηmax=12 as follows:

(17)fηmax=andθηmax=0.

The choice of ηmax= 12 ensures that all numerical solutions approached the asymptotic values correctly. Further detail of the methodology is described in the books by Na (1979) and Cebeci and Bradshaw (1984).

4 Results and discussion

In this section, comparisons between present results with solutions by different authors are listed in Tables 1 and 2. Good agreements are achieved in these findings. The variations of the flow local Nusselt number in the absence of radiation, with linear radiation and with non-linear radiation are also tabulated in Table 3. It is found that the local Nusselt number is escalated by multiplying the values of the buoyancy parameter λ for assisting flow, the thermal radiation parameter Nr and the ratio of the fluid temperature θr. Besides we will discuss the effects of the aforementioned significant parameters including the stagnation parameter r towards the velocity and temperature profiles of assisting and opposing components of the mixed convective stagnation point flow. The variations of local skin friction and local Nusselt number towards the buoyancy parameter λ along with the influence of some other contributing parameters are also demonstrated graphically for both driven flows.

Table 1:

Comparison for skin friction coefficient and local Nusselt number when Nr=M=θr=λ=0.

rCfRex1/2NuxRex1/2 (When Pr=1.5)
Mahapatra and Gupta (2001, 2002)Nazar, Amin, Filip and Pop, (2004)Ishak, Nazar, and Pop (2006)PresentMahapatra and Gupta (2001, 2002)Present
0.1–0.9694–0.9694–0.9694–0.9694–0.777–0.7768
0.2–0.9181–0.9181–0.9181–0.9181–0.797–0.7971
0.5–0.6673–0.6673–0.6673–0.6673–0.863–0.8648
2.02.01752.01762.01752.0175–1.171–1.1781
3.04.72934.72964.72944.7293–1.341–1.3519
Table 2:

Comparison for skin friction coefficient and local Nusselt number when Nr=M=θr=0 and λ=r=1.

PrAssisting flowOpposing flow
CfRex1/2NuxRex1/2CfRex1/2NuxRex1/2
Ishak, Nazar, and Pop (2006)PresentIshak, Nazar, and Pop (2006)PresentIshak, Nazar, and Pop (2006)PresentIshak, Nazar, and Pop (2006)Present
0.720.36450.36441.09311.0931–0.3852–0.38531.02931.0293
6.80.18040.18043.29023.2902–0.1832–0.18323.24663.2467
200.11750.11755.62305.6230–0.1183–0.11835.59235.5924
400.08730.08757.94637.9463–0.0876–0.08777.92277.9229
600.07290.07319.73279.7327–0.0731–0.07319.71269.7125
800.06400.064111.241311.2413–0.0642–0.064011.223511.2236
Table 3:

Variation of local Nusselt number when r=0.5 and Pr=6.2.

θrNrEffects NuxRex1/2
Assisting flowOpposing flow
λ=0λ=0.5λ=1λ=0λ=0.5λ=1
00Absence of radiation1.8580781.8728721.8870491.8580781.8425921.826322
01Linear radiation2.2541632.2791132.3026932.2541632.2276182.199187
053.3096593.3836243.450323.3096593.2260133.128616
0104.1981824.3410544.4643854.1981824.0253963.798588
0.2510Non-linear radiation4.5589994.7349644.8843424.5589994.3399024.032483
0.5105.0290135.2489575.4323955.0290134.7459114.309840
1.51011.1561011.3051011.4464611.156110.9983410.83040

In the context of stagnation flow model, buoyancy parameter represents a dispersive force which is caused by the pressure difference between the tip of a flow body and depth or length of the flow column as it collides with a static surface. Generally when the buoyancy parameter, in this case, λ increases, the rate of amount of displaced fluid will be greater which may provokes the velocity of the flow to be higher as depicted in Figure 2(a). Furthermore it is shown in Figure 2(b) that the flow speed can be amplified with a slight rise in the stagnation parameter r which possibly attributed by enhanced stagnation pressure on the boundary surface. On the other hand, increasing the buoyancy parameter λ and the stagnation parameter r leads to reduction in the flow temperature as evidenced in Figure 3. This phenomenon is concurrently caused by augmentation in velocity which suggests more heat can be transferred from the flow to surroundings thus cooling down the flow.

Figure 2: Velocity profiles when θr=1.5,Pr=6.2,Nr=0.5${\theta _r} = 1.5, Pr = 6.2, Nr = 0.5$ while (a) λ$\it \lambda $(r=1)$r = 1)$ and (b) r$r$ (λ=0.5)$\lambda = 0.5)$ are varied.
Figure 2:

Velocity profiles when θr=1.5,Pr=6.2,Nr=0.5 while (a) λ(r=1) and (b) r (λ=0.5) are varied.

Figure 3: Temperature profiles when θr=1.5,Pr=6.2,Nr=0.5${\theta _r} = 1.5, Pr = 6.2, Nr = 0.5$ while (a)λ$ \lambda $ (r=0.5$r = 0.5$) and (b) r$r$ (λ=0.5$\lambda = 0.5$) are varied.
Figure 3:

Temperature profiles when θr=1.5,Pr=6.2,Nr=0.5 while (a)λ (r=0.5) and (b) r (λ=0.5) are varied.

The effects of thermal radiation parameter Nr and the ratio of ambient temperature towards wall temperature θr in the flow velocity and temperature distributions are captured in Figures 4 and 5 respectively. Since Nr represents thermal dissipation via electromagnetic emissions, the flow main energy is converted to electromagnetic energy that fosters the internal kinetic movements and collisions between the fluid molecules. Therefore with advancement in the thermal radiation value Nr, the flow slows down in Figure 4(a) but the internal conductivity of the fluid directs the fluid flow to be hotter as displayed in Figure 5(a). Apparently as the value of θr becomes greater, the temperature gradient also amplifies provided other variables in the system remain unaltered. Thus the flow temperature declines rapidly with an increase in θr as configured in Figure 5(b). Falling off temperature suggests loosing of energy in the boundary layer flow. As a result, the flow velocity decays accordingly with θr in Figure 4(b). It is learnt here that except for the stagnation parameter r, the buoyancy parameter λ, the thermal radiation Nr and the temperature ratio θr exhibit symmetrical effects to the velocity profiles occupying both directions of assisting and opposing flows.

Figure 4: Velocity profiles when r=1,Pr=6.2,λ=0.5$r = 1, Pr = 6.2, \lambda = 0.5$ while (a) Nr$Nr $(θr=1.5${\theta _r} = 1.5$) and (b) θr${\theta _r}$ (Nr=0.5$Nr = 0.5$) are varied.
Figure 4:

Velocity profiles when r=1,Pr=6.2,λ=0.5 while (a) Nr(θr=1.5) and (b) θr (Nr=0.5) are varied.

Figure 5: Temperature profiles when r=1,Pr=6.2,λ=0.5$r = 1, Pr = 6.2, \lambda = 0.5$ while (a) Nr$Nr$ (θr=1.5${\theta _r} = 1.5$) and (b) θr${\theta _r}$ (Nr=0.5$Nr = 0.5$) are varied.
Figure 5:

Temperature profiles when r=1,Pr=6.2,λ=0.5 while (a) Nr (θr=1.5) and (b) θr (Nr=0.5) are varied.

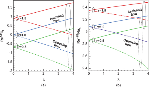
Further impacts of the stagnation parameter r and the buoyancy parameter λ are analyzed in the graphical scatterings of the flow local skin friction and local Nusselt number in Figure 6. Based on Newton’s law, an addition of force in one direction impinges on addition of force in other direction to synchronize the existing forces. Since the flow travels faster under greater control of r and λ as verified in Figure 2, then the skin friction countering the flow direction also increases as shown in Figure 6(a). Hence, the local Nusselt number (Figure 6(b)) which denotes the rate of heat transferred to surroundings ascends in consequence with the waning flow temperature in Figure 3(b).

Figure 6: Profiles of (a) local skin friction and (b) local Nusselt number when and r$r$ is varied.
Figure 6:

Profiles of (a) local skin friction and (b) local Nusselt number when and r is varied.

Next the bearings of the buoyancy parameter λ along the Prandtl number Pr and the radiation parameter Nr towards the local Nusselt number are presented in Figure 7. The values of Pr=3.97, Pr=6.2 and Pr=14.2 are specifically chosen to typify three base fluids i.e. acetone, water and ethanol respectively. It is found that by elevating the Prandtl number, the local Nusselt number is sloping up. Physical justification behind this occurrence may lies in the definition of Prandtl number being the ratio of viscous diffusivity against thermal conductivity. Rising of Pr indicates reduction in thermal conductivity which implies the internal ability of the flow to hold the energy is weakening as inversely proportional to the heat flux as observed in Figure 7(a). Apparently, the impulse of the radiation parameter Nr towards the local Nusselt number is quite eccentric. Based on Figures 4(a) and 5(a), it is understood that the flow experiences vanishing momentum in the movement but growing temperature at the same time due to supplement of internal kinetic collisions between fluid molecules when Nr inclines. Yet this incidence does not obstruct the spreading rate of heat transport from the flow to the vicinity as revealed in Figure 7(b).

Figure 7: Profiles of local Nusselt number when r=0.5,θr=1.5$r = 0.5, {\theta _r} = 1.5$ while (a) Pr$Pr $(Nr=0.5$Nr = 0.5$) and (b) Nr$Nr$ (Pr=6.2$Pr = 6.2$) are varied.
Figure 7:

Profiles of local Nusselt number when r=0.5,θr=1.5 while (a) Pr(Nr=0.5) and (b) Nr (Pr=6.2) are varied.

Eminent impact of non-linear thermal radiation towards the local Nusselt number as compared to the effects of linear radiation and absence of radiation can better be perceived from the following histograms in Figure 8 (assisting flows) and Figure 9 (opposing flows) respectively. Through these figures, it can be observed that in the absence of radiation effect there is no variation in the local Nusselt number however by incorporating the linear radiation effect, the local Nusselt number is gradually increasing with an increase in the value of the linear radiation parameter Nr. Moreover, the variation in the local Nusselt number is rapidly increasing by incorporating the combined effects of both linear and non-linear radiation parameters. To analyze the fluid flow behavior, stream lines are plotted in Figure 10 within the restricted domain. These stream lines are plotted for two different cases (a) in the absence of stagnation point and (b) in the presence of stagnation point. Since stagnation parameterris ratio of stagnation point a to the stretching sheet c so in the absence of stagnation provides more dominant effects of stretching at the fluid. However, fluid is about to stagnant at the free stream when the effects of stagnation point are more dominant as compare to stretching sheet. After analyzing the behavior of fluid flow, isotherms are plotted in Figure 11 for three different cases (absence of radiation, linear radiation and non-linear radiation). It is finally concluded that significant difference in the variation of thermal contour lines is based on radiation effect and high heat transfer has been achieved in the case of non-linear thermal radiation.

Figure 8: Variation of local Nusselt number due to non-linear radiation effects as compared to linear radiation and absence of radiation for assisting flows.
Figure 8:

Variation of local Nusselt number due to non-linear radiation effects as compared to linear radiation and absence of radiation for assisting flows.

Figure 9: Variation of local Nusselt number due to non-linear radiation effects as compared to linear radiation and absence of radiation for opposing flows.
Figure 9:

Variation of local Nusselt number due to non-linear radiation effects as compared to linear radiation and absence of radiation for opposing flows.

Figure 10: Variation of stream lines when (a) r=0$r = 0$ (b) r=0.5$r = 0.5$.
Figure 10:

Variation of stream lines when (a) r=0 (b) r=0.5.

Figure 11: The flow isotherms due to non-linear radiation effects as compared to linear radiation and absence of radiation.
Figure 11:

The flow isotherms due to non-linear radiation effects as compared to linear radiation and absence of radiation.

5 Conclusion

The mixed convection of a thermal radiative stagnation point flow on a vertically stretching sheet is investigated in this study. This problem is solved numerically using the shooting technique with Runge-Kutta method of fourth-fifth order. The following conclusions are drawn:

  1. Both the buoyancy and stagnation parameters tend to increase the velocity distributions and to decrease the temperature distributions simultaneously.

  2. The effects of thermal radiation parameter to the model is fully opposite with the buoyancy and stagnation parameters due to growing internal kinetics movement of fluid molecules as the flow thermal energy is converted to electromagnetic emissions.

  3. Symmetrical patterns for assisting and opposing flows in the velocity profiles can be spotted for all examined parameters excluding the stagnation parameter r.

  4. Higher ratio of ambient temperature towards wall temperature caused both the velocity and temperature profiles to decline.

  5. The local skin frictions of this stagnation flow are raised by escalating the buoyancy and stagnation parameters.

  6. The buoyancy parameter affects the temperature profile with adverse directions of assisting and opposing flows while causing the local Nusselt number to incline under influence of rising values of the stagnation and thermal radiation parameters, the ratio of fluid temperature θr and also the Prandtl number.

  7. The variation of local Nusselt number is highly affected by the combined effects of both linear and non-linear thermal radiations based on the histograms.

  8. The isotherms of the flow are significantly dominated by the non-linear thermal radiation effect.

References

1. Akbar, N.S., Nadeem, S., Ul Haq, R., Khan, Z.H., 2013. Radiation Effects on MHD Stagnation Point Flow of Nano Fluid Towards a Stretching Surface with Convective Boundary condition. Chinese J. Aeronaut. 26, 1389–1397.10.1016/j.cja.2013.10.008Suche in Google Scholar

2. Bataller, R.C., 2008. Radiation Effects in the Blasius Flow. Appl. Math. Comput. 198, 333–338.10.1016/j.amc.2007.08.037Suche in Google Scholar

3. Buongiorno, J., 2006. Convective Transport in Nanofluids. J. Heat Transf. 128, 240–250.10.1115/1.2150834Suche in Google Scholar

4. Cebeci, T., Bradshaw, P., 1984. Physical and Computational Aspects of Convective Heat Transfer, Springer-Verlag, New York.10.1007/978-3-662-02411-9Suche in Google Scholar

5. Chen, C.H., 2010. On the Analytic Solution of MHD Flow and Heat Transfer for Two Types of Viscoelastic Fluid Over a Stretching Sheet with Energy Dissipation, Internal Heat Source and Thermal Radiation. Int. J. Heat Mass Transf. 53, 4264–4273.10.1016/j.ijheatmasstransfer.2010.05.053Suche in Google Scholar

6. Cortell, R., 2008. Effects of Viscous Dissipation and Radiation on the Thermal Boundary Layer Over a Nonlinearly Stretching Sheet. Phys. Lett. A 372, 631–636.10.1016/j.physleta.2007.08.005Suche in Google Scholar

7. Das, K., Duari, P.R., Kundu, P.K., 2014. Nanofluid Flow Over an Unsteady Stretching Surface in Presence of Thermal Radiation. Alexandria Eng J. http://dx.doi.org/10.1016/j.aej.2014.05.002.10.1016/j.aej.2014.05.002Suche in Google Scholar

8. El-Aziz, M.A., 2009. Radiation Effect on the Flow and Heat Transfer Over an Unsteady Stretching Sheet. Int. Commun. Heat Mass Transf. 36, 521–524.10.1016/j.icheatmasstransfer.2009.01.016Suche in Google Scholar

9. Erickson, L.E., Fan, L.T., Fox, V.G., 1966. Heat and Mass Transfer in the Laminar Boundary Layer Flow of a Moving Flat Surface with Constant Surface Velocity and Temperature Focusing on the Effects of Suction/Injection. Ind. Eng. Chem. 5, 19–25.10.1021/i160017a004Suche in Google Scholar

10. Hayat, T., Shehzad, S.A., Qasim, M., Obaidat, S., 2012. Radiative Flow of Jeffery Fluid in a Porous Medium with Power Law Heat Flux and Heat Source. Nucl. Eng. Des. 243, 15–19.10.1016/j.nucengdes.2011.11.005Suche in Google Scholar

11. Hussain, M., Ashraf, M., Nadeem, S., Khan, M., 2013. Radiation Effects on the Thermal Boundary Layer Flow of a Micropolar Fluid Towards a Permeable Stretching Sheet. J. Franklin Inst. 350, 194–210.10.1016/j.jfranklin.2012.07.005Suche in Google Scholar

12. Hussain, T., Shehzad, S.A., Hayat, T., Alsaedi, A., Al-Solamy, F., et al., 2014. Radiative Hydromagnetic Flow of Jeffrey Nanofluid by an Exponentially Stretching Sheet. PLoS ONE 9, e103719. doi: 10.1371/journal.pone.0103719.Suche in Google Scholar PubMed PubMed Central

13. Ishak, A., Nazar, R., Pop, I., 2006. Mixed Convection Boundary Layers in the Stagnation-Point Flow Towards a Stretching Vertical Sheet. Meccanica 41, 509–518.10.1007/s11012-006-0009-4Suche in Google Scholar

14. Magyari, E., 2010. Comment on Mixed Convection Boundary Layer Flow Over a Horizontal Plate with Thermal Radiation. Heat Mass Transf. 46, 809–810. doi:10.1007/s00231-010-0639-x.Suche in Google Scholar

15. Magyari, E., Pantokratoras, A., 2011. Note on the Effect of Thermal Radiation in the Linearized Rosseland Approximation on the Heat Transfer Characteristics of Various Boundary Layerflows. Int. Commun. Heat Mass Transf. 38, 554–556.10.1016/j.icheatmasstransfer.2011.03.006Suche in Google Scholar

16. Mahapatra, T.R., Gupta, A.S., 2001. Magnetohydrodynamic Stagnation-Point Flow Towards a Stretching Sheet. Acta Mech. 152, 191–196.10.1007/BF01176953Suche in Google Scholar

17. Mahapatra, T.R., Gupta, A.S., 2002. Heat Transfer in Stagnation-Point Flow Towards a Stretching Sheet. Heat Mass Transf. 38, 517–521.10.1007/s002310100215Suche in Google Scholar

18. Mao, Y., Li, Z., Feng, K., Guo, X., Zhou, Z., Dong, J., Wu, Y., 2015. Preparation, Characterization and Wear Behavior of Carbon Coated Magnesium Alloy with Electroless Plating Nickel Interlayer. Appl. Surf. Sci. 327, 100–106.10.1016/j.apsusc.2014.11.151Suche in Google Scholar

19. Mukhopadhyay, S., 2013. Slip Effects on MHD Boundary Layer Flow Over an Exponentially Stretching Sheet with Suction/Blowing and Thermal Radiation. Ain. Shams. Eng. J. 4, 485–491.10.1016/j.asej.2012.10.007Suche in Google Scholar

20. Na, T.Y., 1979. Computational Methods in Engineering Boundary Value Problem, Academic Press, New York.Suche in Google Scholar

21. Nandeppanavar, M.M., Vajravelu, K., Abel, M.S., 2011. Heat Transfer in MHD Viscoelastic Boundary Layer Flow Over a Stretching Sheet with Thermal Radiation and Non-Uniform Heat Source/Sink. Commun. Nonlinear Sci. Numer. Simulat. 16, 3578–3590.10.1016/j.cnsns.2010.12.033Suche in Google Scholar

22. Nazar, R., Amin, N., Filip, D., Pop, I., 2004. Unsteady Boundary Layer Flow in the Region of the Stagnation Point on a Stretching Sheet. Int. J. Eng. Sci. 42, 1241–1253.10.1016/j.ijengsci.2003.12.002Suche in Google Scholar

23. Pal, D., Mondal, H., 2012. Influence of Chemical Reaction and Thermal Radiation on Mixed Convection Heat and Mass Transfer over a Stretching Sheet in Darcian Porous Medium with Soret and Dufour Effects. Energ. Convers. Manage. 62, 102–108.10.1016/j.enconman.2012.03.017Suche in Google Scholar

24. Pantokratoras, A., Fang, T., 2014. Blasius Flow with Non-Linear Rosseland Thermal Radiation. Meccanica. June 2014, 49, 1539–1545. doi: 10.1007/s11012-014-9911-3.Suche in Google Scholar

25. Perdikis, C., Raptis, A., 1996. Heat Transfer of a Micropolar Fluid by the Presence of Radiation. Heat Mass Tranf. 31, 381–382.10.1007/BF02172582Suche in Google Scholar

26. Qing, Z., Haixia, L., Huali, Li., Yu, L., Huayong, Z., Tianduo, Li., 2015. Solvothermal Synthesis and Photocatalytic Properties of NiO Ultrathin Nanosheets with Porous Structure. Appl. Surf. Sci.328, 525–530.10.1016/j.apsusc.2014.12.077Suche in Google Scholar

27. Rashidi, M.M., Rostami, B., Freioonimehr, N., Abbasbandy, S., 2014. Free Convective Heat and Mass Transfer for MHD Fluid Flow Over a Permeable Vertical Stretching Sheet in the Presence of the Radiation and Buoyancy Effects. Ain. Shams. Eng. J. 5, 901–912.10.1016/j.asej.2014.02.007Suche in Google Scholar

28. Rosseland, S., 1931. Astrophysikaud atom-theoretischegrundlagen, Springer, Berlin, pp. 41–44.Suche in Google Scholar

29. Sakiadis, B.C., 1961. Boundary Layer Behavior on Continuous Solid Flat Surfaces. Am. Inst. Chem. Eng. J. 7, 26–28.10.1002/aic.690070108Suche in Google Scholar

30. Shehzad, S.A., Alsaedi, T., Hayat, T., 2013. Influence of Thermophoresis and Joule Heating on the Radiative Flow of Jeffrey Fluid with Mixed Convection. Braz. J. Chem. Eng. 30, 897–908. doi: 10.1590/s0104-66322013000400021.Suche in Google Scholar

31. Shehzad, S.A., Hayat, T., Alsaedi, A., 2015. Influence of Convective Heat and Mass Conditions in MHD Flow of Nanofluid. Bull.Pol. Acad. Sci. Techn. Sci.63, 465–474.10.1515/bpasts-2015-0053Suche in Google Scholar

32. Shehzad, S.A., Hayat, T., Alsaedi, A., Obid, M.A., 2014. Nonlinear Thermal Radiation in Three-Dimensional Flow of Jeffrey Nanofluid: A Model for Solar Energy. Appl. Math. Comput. 248, 273–286.10.1016/j.amc.2014.09.091Suche in Google Scholar

33. Smith, W.J., 1952. Effect of Gas Radiation in the Boundary Layer on Aerodynamic Heat Transfer. J. Aero. Sci. 20, 579.10.2514/8.2740Suche in Google Scholar

34. Tsou, F.K., Sparrow, E.M., Goldstein, R.J., 1967. Flow and Heat Transfer in the Boundary Layer on a Continuous Moving Surface. Int. J. Heat Mass Transf. 10, 219–235.10.1016/0017-9310(67)90100-7Suche in Google Scholar

35. Van Deynse, A., Cools, P., Leys, C., De Geyter, N., Morent, R., 2015. Surface Activation of Polyethylene with an Argon Atmospheric Pressure Plasma Jet: Influence of Applied Power and Flow Rate. Appl. Surf. Sci. 328, 269–278.10.1016/j.apsusc.2014.12.075Suche in Google Scholar

36. Viskanta, R., Grosh, R.J., 1962. Boundary Layer in Thermal Radiation Absorbing and Emitting mEdia. Int. J. Heat Mass Transf. 5, 795–806.10.1016/0017-9310(62)90180-1Suche in Google Scholar

37. Wang, R., Zhang, C., Liu, X., Xie, Q., Yan, P., Shao, T., 15 February 2015. Microsecond Pulse Driven Ar/CF4 Plasma Jet for Polymethylmethacrylate Surface Modification at Atmospheric Pressure. Appl. Surf. Sci.328, 509–515.10.1016/j.apsusc.2014.12.076Suche in Google Scholar

38. Yazdi, M.E., Moradi, A., Dinarvand, S., 2013. Radiation Effects on MHD Stagnation-Point Flow in a Nanofluid. Res. J. Appl. Sci. Eng. Tech. 5, 5201–5208.10.19026/rjaset.5.4265Suche in Google Scholar

39. Yu, X., Huo, Y., Yang, J., Chang, S., Ma, Y., Huang, W., 2013. Reduced Graphene Oxide Supported Au Nanoparticles as an Efficient Catalyst for Aerobic Oxidation of Benzyl Alcohol. Appl. Surf. Sci.280, 450–455.10.1016/j.apsusc.2013.05.008Suche in Google Scholar

Published Online: 2016-2-23
Published in Print: 2017-1-1

©2017 by De Gruyter

Artikel in diesem Heft

  1. Bubble Trajectory in a Bubble Column Reactor using Combined Image Processing and Artificial Neural Network
  2. Non-linear Radiation Effects in Mixed Convection Stagnation Point Flow along a Vertically Stretching Surface
  3. Mixing Behaviors of Jets in Cross-Flow for Heat Recovery of Partial Oxidation Process
  4. Selective Hydrogenation of 4’,4”(5”)-Di-Tert-Butyldibenzo-18-Crown-6 Ether over Rh/γ-Al2O3 Nanocatalyst
  5. Titania-Loaded Coal Char as Catalyst in Oxidation of Styrene with Aqueous Hydrogen Peroxide
  6. A Study of the Soft-Sphere Model in Eulerian-Lagrangian Simulation of Gas-Liquid Flow
  7. Conceptual Approach in Multi-Objective Optimization of Packed Bed Membrane Reactor for Ethylene Epoxidation Using Real-coded Non-Dominating Sorting Genetic Algorithm NSGA-II
  8. Kinetics of Extraction of Tributyl phosphate (TBP) from Aqueous Feed in Single Stage Air-sparged Mixing Unit
  9. Viscous Dissipation Effects in Water Driven Carbon Nanotubes along a Stream Wise and Cross Flow Direction
  10. Evaluation of Mixing and Mixing Rate in a Multiple Spouted Bed by Image Processing Technique
  11. A Parametric Study of Biodiesel Production Under Ultrasounds
  12. Numerical Study of MHD Viscoelastic Fluid Flow with Binary Chemical Reaction and Arrhenius Activation Energy
  13. CFD Analysis and Design Optimization in a Curved Blade Impeller
  14. Bio-Oil Heavy Fraction as a Feedstock for Hydrogen Generation via Chemical Looping Process: Reactor Design and Hydrodynamic Analysis
  15. Upgrading of Heavy Oil in Supercritical Water using an Iron based Multicomponent Catalyst
Heruntergeladen am 30.1.2026 von https://www.degruyterbrill.com/document/doi/10.1515/ijcre-2015-0177/html
Button zum nach oben scrollen