Home Physical Sciences Ultrasound promoted green synthesis of benzofuran substituted thiazolo[3,2-b][1,2,4]triazoles
Article Publicly Available

Ultrasound promoted green synthesis of benzofuran substituted thiazolo[3,2-b][1,2,4]triazoles

  • Surender Kumar

    Surender Kumar received his PhD degree in Organic Chemistry in 2005 and is currently working as an associate professor in the Department of Chemistry, Technological Institute of Textile and Sciences, Bhiwani 127021, India. His research interests are the development of green methods of organic synthesis and phase transfer catalysis.

    EMAIL logo
    and Dinesh Kumar Sharma

    Dinesh Kumar Sharma obtained his PhD degree in Organic Chemistry in 2011 and is currently working as assistant professor in the Department of Chemistry, KLP College, Rewari 123401, India. He has published various research papers in journals of international repute. His current research is focused on the development of eco-friendly methodologies for the synthesis of organic compounds.

Published/Copyright: November 19, 2016
Become an author with De Gruyter Brill

Abstract

A highly efficient, eco-friendly and one-pot synthesis of benzofuran substituted thiazolo[3,2-b][1,2,4]triazoles was developed involving the reaction of 2-acetyl benzofurans and 5-mercapto-3-(4-chlorophenyl)-1,2,4triazole in the presence of molecular iodine under ultrasonic conditions to give 5-(benzofuran-2-yl)-acylthio-3-(4-chlorophenyl)-1,2,4triazoles, which was further cyclised using Eaton’s reagent under microwave conditions to give 5-(benzofuran-2-yl)-2-(4-chlorophenyl)thiazolo[3,2-b][1,2,4]triazoles.

1 Introduction

Benzofuran compounds are pervasive in nature mainly among the plant kingdom [1]. The naturally occurring compounds with a benzofuran moiety are generally endowed with various physiological and pharmacological properties such as being anticonvulsant [2], antiallergic [3], in vitro anti HIV [4], antitumor [5], antiinflammatory [6], antimicrobial [7] and are also used in cosmetics [8] and building blocks of optical brighteners [9]. Recently, 1,2,4triazole derivatives have also occupied a distinctive place in the field of medicinal and pharmaceutical chemistry [10], [11] as well as in industry [12]. These compounds exhibit significant properties like being antiviral [13], antifungal, antimicrobial [14], analgesic, diuretic [15], antineoplastic and antiproliferative [16], [17], [18], [19], [20], [21], [22], [23]. Previously, these compounds were synthesized involving the reaction of 2-(2-bromoacetyl benzofurans) with 5-mercapto-1,2,4triazole, but the results were not encouraging due to a longer reaction time, poor yield and also the use of hazardous chemicals [24]. Molecular bromine used for the preparation of bromo acetyl derivatives also causes serious health problems like skin disorder [25], disruption of thyroid function [26], slow neural [27] and cognitive development and DNA damage [28], [29]. It aggressively reacts with metal as it is a corrosive material and causes severe damage to our environment [30]. Keeping this in view, the synthesis of the titled compounds was taken up.

Chemists are always under pressure to develop environmentally benign procedures which avoid the use of hazardous chemicals, mainly organic solvents. In continuation of our work on development of greener and efficient routes for the synthesis of heterocyclic compounds [31], [32], we wish to report our efforts towards the synthesis of the title compounds using ultrasound and microwave irradiation, which involve, the reaction of 2-acetyl benzofuran with 3-aryl-5-mercapto-1,2,4triazole directly in the presence of molecular iodine, avoiding bromination of 2-acetyl benzofuran without using hazardous chemicals.

Simple experimental procedure, high yield, improved selectivity, shorter reaction time and avoiding use of hazardous chemicals are the main advantages of ultrasonic (US) [33] and microwave (MW) [34] based synthesis. The effect of ultrasound observed during the organic synthesis is due to the cavitation process which creates enlarged vapour cavities in irradiated liquid. Cavitation induces very high local temperature and pressure inside the cavities, leading to turbulent flow of liquid and enhanced mass transfer [35], [36], [37], [38].

2 Materials and methods

Melting points were determined in open capillary tubes and were uncorrected. IR spectra were recorded on a Perkin-Elmer FT-IR spectrophotometer (USA). NMR spectra were recorded on a Bruker Avance (Germany) (400 MHz) instrument using tetramethyl silane (TMS) as an internal standard. Sonication was performed using an Oscar make probe sonicator (Maharashtra, India) of 20 kHz and Labsoul make ultrasonic bath (Labsoul India, Ambala, India) of 40 kHz when combined ultrasound experiments were performed and the probe was immersed in the tube which was placed in ultrasonic bath. The reaction were carried out in a Samsung microwave oven (Samsung India, New Delhi) (operating between 100 W and 750 W, Model no. G273V). All the solvents were distilled and dried according to literature procedure. All the chemicals were purchased from Merck (Mumbai, India). Etions reagent was received from Sigma-Aldrich Chemicals (New Delhi, India).

2.1 General procedure for the synthesis of 5-(benzofuran-2-yl)acylthio-3-(4-chlorophenyl)1,2,4triazoles (IIIa–IIIh)

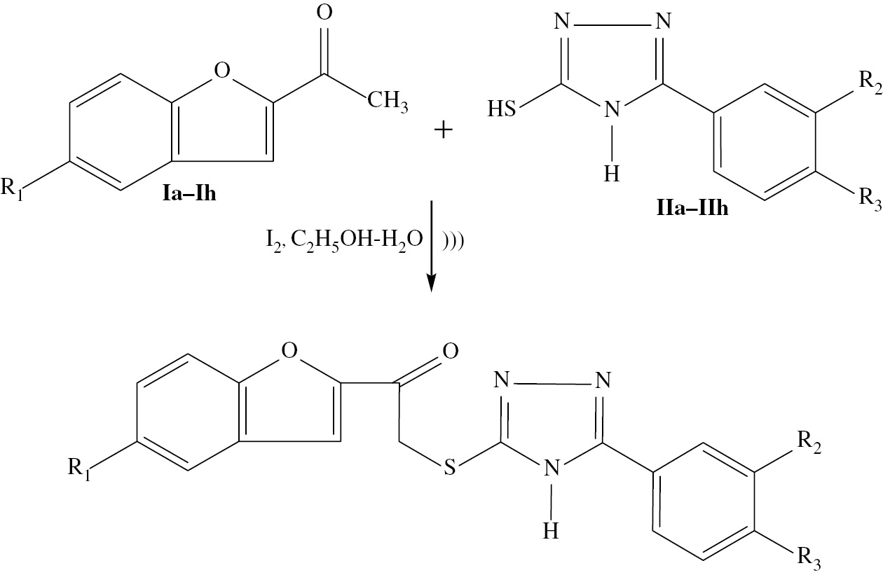
A mixture of 2-acetyl benzofuran (2.0 mmol), 5-mercapto-3-(4-chlorophenyl)-1,2,4triazole (2.0 mmol) and molecular iodine (1 mmol) in equimolar mixture of C2H5OH-H2O (1:1, 20 ml) was irradiated with dual frequency ultrasound for 45 minutes using a bath cleaner (40 kHz) and a probe (20 kHz). The progress of the reaction was checked with the help of thin layer chromatography (TLC). The solution of sodium thiosulphate (10%, 10 ml) was added to the reaction mixture to remove any excess of iodine present. The solid thus separated out was filtered under vacuum washed with water and recrystallized from dimethylformamide (DMF)-ethanol to give 5-(benzofuran-2-yl) acylthio-3-(4-chlorophenyl)-1,2,4triazole.

IIIa: IR (KBr, cm−1): 3485 (N-H), 1670 (C=O), 1612 (C=N), 1560 (C=C), 735 (C-S); 1H NMR (DMSO-d6): δ 4.75 (s, 2H, CH2), 7.42 (d, 2H, J=8.6 Hz, C3″-H, C5″-H), 7.53–7.80 (m, 6H, C3′-H, C4′-H, C5′-H, C6′-H, C7′-H, N4-H), 7.95 (d, 2H, J=8.6 Hz, C2″-H, C6″-H).

IIIb: IR (KBr, cm−1): 3325 (N-H), 1675 (C=O), 1610 (C=N), 1550 (C=C), 750 (C-S); 1H NMR (DMSO-d6): δ 4.83 (s, 2H, CH2), 7.0–7.43 (m, 4H, C4′-H, C5′-H, C6′-H, C7′-H), 7.45 (d, 2H, J=8.5 Hz, C3″-H, C5″-H), 7.55 (s, 1H, N4-H), 7.73 (s, 1H, C3′-H), 8.02 (d, 2H, J=8.5 Hz, C2″-H, C6″-H).

IIIc: IR (KBr, cm−1): 3332 (N-H), 1675 (C=O), 1616 (C=N), 1550 (C=C), 750 (C-S); 1H NMR (DMSO-d6): δ 2.35 (s, 3H, CH3), 4.72 (s, 2H, CH2), 7.26–7.35 (m, 4H, C4′-H, C5′-H, C6′-H, C7′-H), 7.62 (s, 1H, N4-H), 7.63 (s, 1H, C3″-H), 7.72–7.76 (m, 3H, C4″-H, C5″-H and C6″-H), 7.78 (s, 1H, C2″-H).

IIId: IR (KBr, cm−1): 3442 (N-H), 1665 (C=O), 1617 (C=N), 1551 (C=C), 738 (C-S); 1H NMR (DMSO-d6): 3.85 (s, 3H, OCH3), 4.82 (s, 2H, CH2), 7.0 (d, 2H, J=8.6 Hz, C3″-H and C5″-H), 7.35–7.60 (m, 4H, C4′-H, C5′-H, C6′-H, C7′-H), 7.62 (s, 1H, N4-H), 7.75 (s, 1H, C3′-H), 8.02 (d, 2H, J=8.9 Hz, C2″-H, C6″-H).

IIIe: IR (KBr, cm−1): 3464 (N-H), 1675 (C=O), 1610 (C=N), 1550 (C=C), 795 (C-S); 1H NMR (DMSO-d6): δ 2.45 (s, 3H, CH3), 4.83 (s, 2H, CH2), 7.41 (d, 2H, J=8.6 Hz, C3″-H and C5″-H), 7.45–7.48 (m, 2H, C4′-H, C5′-H, C6′-H, C7′-H), 7.53 (s, 1H, N4-H), 7.15 (s, 1H, C3′-H),7.70 (s, 1H, C3′-H) 8.03 (d, 2H, J=8.6 Hz, C2″-H, C6″-H).

IIIf: IR (KBr, cm−1): 3417 (N-H), 1655 (C=O), 1602 (C=N), 1575 (C=C), 724 (C-S); 1H NMR (DMSO-d6): δ 2.56 (s, 3H, CH3), 4.82 (s, 2H, CH2), 7.0 (d, 2H, J=8.6 Hz, C3″-H, C5″-H), 7.35–7.60 (m, 3H, N4-H, C6′-H, C7′-H), 7.75 (s, 1H, C4′-H), 7.80 (s, 1H, C3′-H), 8.10 (d, 2H, J=8.6 Hz, C2″-H, C6″-H).

IIIg: IR (KBr, cm−1): 3450 (N-H), 1657 (C=O), 1620 (C=N), 1555 (C=C), 790 (C-S); 1H NMR (DMSO-d6): δ 2.37 (s, 3H, CH3), 2.45 (s, 3H, CH3), 4.85 (s, 2H, CH2); 7.30–7.40 (m, 4H, C4″-H, C5″-H, C6′-H, C7′-H), 7.53 (s, 1H, C4′-H), 7.65 (s, 1H, N4-H), 7.75 (s, 1H, C3′-H), 7.82 (d, 1H, J=7.5 Hz, C6″-H), 7.89 (s, 1H, C2″-H).

IIIh: IR (KBr, cm−1): 3440 (N-H), 1662 (C=O), 1610 (C=N), 1545 (C=C), 735 (C-S); 1H NMR (DMSO-d6): δ 2.45 (s, 3H, CH3), 3.86 (s, 3H, OCH3), 4.85 (s, 2H, CH2), 7.02 (d, 2H, J=8.9 Hz, C3″-H, C5″-H), 7.31–7.55 (m, 2H, C6′-H, C7′-H), 7.57 (s, 1H, C4′-H), 7.65 (s, 1H, N4-H), 7.75 (s, 1H, C3′-H), 8.02 (d, 2H, J=8.9 Hz, C2″-H, C6″-H).

2.2 General procedure for the synthesis of 5-(benzofuran-2-yl)-2-(4-chlorophenyl)thiazolo [3,2-b][1,2,4]triazoles (IVa–IVh)

A mixture of 5-(benzofuran-2-yl)acylthio-3-(4-chlorophenyl)-1,2,4triazoles (2.0 mmol) and Eaton’s reagent (10 ml) taken in a 20 ml loosely stoppered round bottom flask and irradiated in microwave oven at 450 W for 90 (15×6) s. The completion of the reaction was checked by TLC. Crushed ice was added to the reaction mixture and neutralized with aqueous sodium carbonate (10%). The solid thus separated out was filtered under vacuum, washed with water and recrystallized from DMF-ethanol to give 5-(benzofuran-2-yl)-2-(4-chlorophenyl)thiazolo[3,2-b][1,2,4]triazoles.

IVa: IR (KBr, cm−1): 1602 (C=N), 1506 (C=C), 1470, 1170 (C-N), 724 (C-S); 1H NMR (DMSO-d6): δ 7.10–7.35 (m, 4H, C4′-H, C5′-H, C6′-H, C7′-H), 7.40 (d, 2H, J=8.6 Hz, C3″-H, C5″-H), 7.44 (s, 1H, C3′-H), 7.80 (s, 1H, C6-H), 8.15 (d, 2H, J=8.6 Hz, C2″-H, C6″-H).

IVb: IR (KBr, cm−1): 1608 (C=N), 1554 (C=C), 1446, 1166 (C-N), 751 (C-S); 1H NMR (DMSO-d6): δ 7.22–7.35 (m, 4H, C4′-H, C5′-H, C6′-H, C7′-H), 7.40 (d, 2H, J=8.6 Hz, C3″-H, C5″-H), 7.64 (s, 1H, C3′-H), 7.90 (s, 1H, C6-H), 8.15 (d, 2H, J=8.6Hz, C2″-H, C6″-H).

IVc: IR (KBr, cm−1): 1610 (C=N), 1550 (C=C), 1461, 1165 (C-N), 742 (C-S); 1H NMR (DMSO-d6): δ 2.45 (s, 3H, CH3), 7.25–7.55 (m, 6H, C4′-H, C5′-H, C6′-H, C7′-H, C4″-H, C5″-H), 7.71 (s, 1H, C3′-H), 8.02 (s, 1H, C6-H), 8.10 (d, 1H, J=8.6 Hz, C6″-H), 8.12 (s, 1H, C2″-H).

IVd: IR (KBr, cm−1): 1613 (C=N), 1508 (C=C), 1471, 1175 (C-N), 737 (C-S); 1H NMR (DMSO-d6): δ 3.85 (s, 3H, OCH3), 7.02 (d, 2H, J=8.8 Hz, C3″-H, C5″-H), 7.26–7.55 (m, 4H, C4′-H, C5′-H, C6′-H, C7′-H), 7.60 (s, 1H, C3′-H), 7.93 (s, 1H, C6-H), 8.20 (d, 2H, J=8.8 Hz, C2″-H, C6″-H).

IVe: IR (KBr, cm−1): 1605 (C=N), 1506 (C=C), 1470, 1140 (C-N), 730 (C-S); 1H NMR (DMSO-d6): δ 2.12 (s, 3H, CH3), 7.16–7.30 (m, 2H, C6′-H, C7′-H), 7.32 (s, 1H, C4′-H), 7.42 (d, 2H, J=8.6Hz, C3″-H, C5″-H), 7.65 (s, 1H, C3′-H), 7.90 (s, 1H, C3-H), 8.16 (d, 2H, J=8.6 Hz, C2″-H, C6″-H).

IVf: IR (KBr, cm−1): 1611 (C=N), 1513 (C=C), 1465, 1175 (C-N), 731 (C-S); 1H NMR (DMSO-d6): δ 2.40 (s, 3H, CH3), 6.95 (d, 2H, J=8.5 Hz, C3″-H, C5″-H), 7.12–7.38 (m, 3H, C4′-H, C6′-H, C7′-H), 7.42 (s, 1H, C3′-H), 7.85 (s, 1H, C6-H), 8.05 (d, 2H, J=8.5Hz, C2″-H, C6″-H).

IVg: IR (KBr, cm−1): 1615 (C=N), 1506 (C=C), 1452, 1124 (C-N), 728 (C-S); 1H NMR (DMSO-d6): δ 2.47 (s, 3H, CH3), 2.51 (s, 3H, CH3), 7.20–7.46 (m, 4H, C6′-H, C7′-H, C4′v-H, C5′v-H), 7.46 (s, 1H, C4′-H), 7.55 (s, 1H, C3′-H), 7.95 (s, 1H, C6-H), 8.12 (d, 1H, J=8.9 Hz, C6″-H); 8.12 (s, 1H, C2″-H).

IVh: IR (KBr, cm−1): 1613 (C=N), 1510 (C=C), 1475, 1167 (C-N), 735 (C-S); 1H NMR (DMSO-d6): δ 2.43 (s, 3H, CH3), 3.82 (s, 3H, OCH3), 6.95 (d, 2H, J=8.6 Hz, C3″-H, C5″-H), 7.12–7.40 (m, 3H, C4′-H, C6′-H, C7′-H), 7.45 (s, 1H, C3′-H), 7.80 (s, 1H, C6-H), 8.10 (d, 2H, J=8.8 Hz, C2″-H, C6″-H).

3 Results and discussion

The synthesis of 5-(benzofuran-2-yl)-acylthio-3-(4-chlorophenyl)-1,2,4triazole was achieved by the reaction of 2-acetyl benzofuran [39] and 5-mercapto-3-(4-chlorophenyl)-1,2,4triazole [40] and iodine in equimolar mixture of C2H5OH-H2O (1:1) under dual frequency ultrasonication. The mixture was irradiated with dual frequency ultrasound using a bath cleaner (40 kHz) and a probe (20 kHz) for 45 min. The progress of the reaction was checked by TLC. The formation of the above mentioned compound was evidenced by comparison of the melting point 229–231°C with literature melting point (230–231°C) [24], appearance of a singlet at δ 4.75 due to CH2 proton, a doublet at δ 7.42 due to two aromatic C3″-H and C5″-H and multiplet at δ 7.53–7.80 for six protons C3′-H, C4′-H, C5′-H, C6′-H, C7′-H and N4-H, and a doublet at δ 7.95 due to two aromatic protons (C2-H and C6″-H ) in its 1H NMR, and in IR it showed absorption at 3485 cm−1, 1670 cm−1, 1612 cm−1, 1560 cm−1, 735 cm−1 which were assigned to -NH, -C=O, -C=C, -C=N, -C-S stretching, respectively. Based upon this data, it was revealed that the compound obtained was 5-(benzofuran-2-yl)-acylthio-3-(4-chlorophenyl)-1,2,4triazole. Using the above conditions, various 3-aryl-5-benzofuran-2-yl-acylthio-1,2,4triozoles were prepared (IIIa–IIIh, Scheme 1, Table 1) in very high yield (82–87%).

Scheme 1: Synthesis of 5-(benzofuran-2-yl) acylthio-3-(4-chlorophenyl)1,2,4triazoles (IIIa–IIIh).
Scheme 1:

Synthesis of 5-(benzofuran-2-yl) acylthio-3-(4-chlorophenyl)1,2,4triazoles (IIIa–IIIh).

Table 1:

Synthesis of 5-(benzofuran-2-yl) acylthio-3-(4-chlorophenyl)-1,2,4triazoles.

CompoundR1R2R3Yield (%)Melting point (°C)Literature melting point (°C) [24]
IIIaHHCl86229–231230–231
IIIbHHBr85216–217219–220
IIIcHCH3H86217215–216
IIIdHHOCH384218220–221
IIIeCH3HCl82232–233235–236
IIIfCH3HBr85215214–215
IIIgCH3CH3H84207–208210–211
IIIhCH3HOCH387225226–227

Cavitation is the origin of sonochemistry. When ultrasound passes through a liquid it produces bubbles; these bubbles can undergo a violent collapse which generates very high temperature and pressure, which leads to fragmentation of molecule and produces short lived and highly reactive species locally. These short lived reactive chemical species are returned to bulk liquid at room temperature, thus reacting with other species. High yield may be due to multi frequency sonication which increases the reaction rate and yield of product. Multi frequency irradiation can disturb and break the surface continuity of a solution in a stronger way as compared to single frequency ultrasound, which results in enhancement of mass transfer and cavitation in solution.

Further, 5-(benzofuran-2-yl)-acylthio-3-(4-chlorophenyl)-1,2,4triazole was then cyclized using Eaton’s reagent under microwave irradiation and the reaction was found to be completed in 90 s. After working up the compound thus obtained has an m. pt of 214–215°C (literature m. pt. 215–216°C) [24] and in its IR, it showed absorption at 1602 cm−1, 1506 cm−1, 1470 cm−1and 1170 cm−1, 724 cm−1 which were assigned to -NH, -C=O, -C=N, -C-S stretching. In its 1H NMR, it exhibited a multiplet at δ 7.10–7.35 due to four protons (C4′-H, C5′-H, C6′-H, C7′-H), a doublet at δ 7.40 due to two aromatic protons (C3″-H and C5″-H), two singlets for one proton each at δ 7.44 and δ 7.80 due to C3′-H, C6′-H protons and a doublet at δ 8.15 due to two aromatic protons (C2″-H and C6″-H). Based upon the data obtained, it was revealed that the compound formed was 5-(benzofuran-2-yl)-2-(4-chlorophenyl)thiazolo[3,2-b][1,2,4]triazole (Scheme 2, Table 2).

Scheme 2: Synthesis of 5-(benzofuran-2-yl)-2-(4-chlorophenyl)thiazolo[3,2-b][ 1,2,4]triazoles (IVa–IVh).
Scheme 2:

Synthesis of 5-(benzofuran-2-yl)-2-(4-chlorophenyl)thiazolo[3,2-b][ 1,2,4]triazoles (IVa–IVh).

Table 2:

Synthesis of 5-(benzofuran-2-yl)-2-(4-chlorophenyl)thiazolo[3,2-b][1,2,4]triazoles.

CompoundR1R2R3Yield (%)Melting point (°C)Literature melting point (°C) [24]
IVaHHCl80214–215215–216
IVbHHBr82187–188190–191
IVcHCH3H80176175–176
IVdHHOCH378193195–196
IVeCH3HCl80225–226227–228
IVfCH3HBr78188191–192
IVgCH3CH3H76173–174175–176
IVhCH3HOCH384182180–181

4 Conclusions

In summary, we developed a one pot, mild and highly efficient procedure for the synthesis of benzofuran substituted thiazolo[3,2-b][1,2,4]triazoles avoiding the use of toxic solvent. The synergistic effect of the combination of 40 kHz US bath and 20 kHz US probe reduces the reaction time and improves the yield. Our sonochemical method has several advantages over the existing method including improved yield, cleaner reaction, simple work up and short reaction time, which makes it an efficient and environmentally benign strategy for the synthesis of benzofuran substituted thiazolo[3,2-b][1,2,4]triazoles.

About the authors

Surender Kumar

Surender Kumar received his PhD degree in Organic Chemistry in 2005 and is currently working as an associate professor in the Department of Chemistry, Technological Institute of Textile and Sciences, Bhiwani 127021, India. His research interests are the development of green methods of organic synthesis and phase transfer catalysis.

Dinesh Kumar Sharma

Dinesh Kumar Sharma obtained his PhD degree in Organic Chemistry in 2011 and is currently working as assistant professor in the Department of Chemistry, KLP College, Rewari 123401, India. He has published various research papers in journals of international repute. His current research is focused on the development of eco-friendly methodologies for the synthesis of organic compounds.

Acknowledgements

The authors are thankful to University Grant Commission, New Delhi, for providing financial support and to the authorities of The Technological Institute of Textile and Sciences, Bhiwani for providing research facilities.

References

[1] Nizami SA, Gurumurthy M, Chatterjee S, Pand D. J. Adv. Pharm. Res. 2010, 1, 26–35.Search in Google Scholar

[2] Urzua A, Rezende MC, Mascayano C, Vásquez L. Molecules 2008, 13, 882–891.10.3390/molecules13040822Search in Google Scholar

[3] Aruna Kumar DB, Prakash GK, Kumarasamy MN, Nandheswarappa BP, Sheringara BS, Mahadevan KM. Indian J. Chem. 2007, 46B, 336–343.Search in Google Scholar

[4] Nalan GK, Kadriya B, Yagmur T, Umit U, Seref D. Eur. J. Med. Chem. 2006, 41, 651–656.10.1016/j.ejmech.2005.12.013Search in Google Scholar

[5] Hayakawa I, Shioya R, Agatsuma T, Furukawa H, Naruto S, Sugano Y. Bioorg. Med. Chem. Lett. 2004, 14, 455–458.10.1016/j.bmcl.2003.10.039Search in Google Scholar

[6] Galal SA, Abd EA, Abdullah MM, EL-Diwani HI. Bioorg. Med. Chem. Lett. 2009, 19, 2420–2428.10.1016/j.bmcl.2009.03.069Search in Google Scholar

[7] Santana L, Teijeira M, Uriarte E, Teran C, Liñares B, Villar R, Laguna R, Cano E. Eur. J. Pharm. Sci. 1999, 7, 161–166.10.1016/S0928-0987(98)00019-0Search in Google Scholar

[8] Leung AY, Foster S. Encyclopedia of Common Natural Ingredients Used in Food Drug & Cosmetics, John Wiley & Sons: New York, 1996.Search in Google Scholar

[9] Rani R, Makrandi JK. Indian J. Chem. 2009, 48B, 1614–1617.Search in Google Scholar

[10] Maddila S, Pagadala R, Jonnalagadda SB. Lett. Org. Chem. 2013, 10, 693–714.10.2174/157017861010131126115448Search in Google Scholar

[11] Sharma J, Ahmad S, Shamsher AM. J. Chem. Pharm. Res. 2012, 4, 5157–5164.Search in Google Scholar

[12] Antonijevic MM, Petrovic MB. Int. J. Electrochem. Sci. 2008, 3, 1–28.10.1016/S1452-3981(23)15441-1Search in Google Scholar

[13] Wang P, Holleckes L, Krzysztof W, Paterson PE, Whitaker T. J. Med. Chem. 2004, 47, 6100–6103.10.1021/jm0401210Search in Google Scholar PubMed

[14] Zoumpoulakis P, Camoutsis C, Pairas G. Bioorg. Med. Chem. 2012, 20, 1569–1583.10.1016/j.bmc.2011.12.031Search in Google Scholar PubMed

[15] Srivastava SK, Srivastava S, Srivastava SD. Indian J. Chem. 2002, 41B, 1937–1945.Search in Google Scholar

[16] Celik G, Khloya P, Vullo D, Supuran CT, Sharma PK. Bioorg. Med. Chem. 2014, 22, 1873–1882.10.1016/j.bmc.2014.01.055Search in Google Scholar PubMed

[17] Popiołek L, Rzymowska J, Kosikowska U, Hordyjewska A, Wujec M, Malm A. J. Enz. Inhib. Med. Chem. 2014, 29, 786–795.10.3109/14756366.2013.855926Search in Google Scholar PubMed

[18] Nagesh HN, Suresh N, Prakash GVSB, Gupta S, Rao JV, Sekhar KVGC. Med. Chem. Res. 2015, 24, 523–532.10.1007/s00044-014-1142-6Search in Google Scholar

[19] Ahmed N, Konduru NK, Ahmad S, Owais M. Eur. J. Med. Chem. 2014, 82, 552–564.10.1016/j.ejmech.2014.06.009Search in Google Scholar PubMed

[20] Revelant G, Gadais C, Mathieu V, Kirsch G, Hesse S. Bioorg. Med. Chem. Lett. 2014, 24, 2724–2727.10.1016/j.bmcl.2014.04.043Search in Google Scholar PubMed

[21] Pertino MW, Verdugo V, Theoduloz C, Hirschmann GS. Molecules 2014, 19, 2523–2535.10.3390/molecules19022523Search in Google Scholar PubMed PubMed Central

[22] Kumar BNP, Mohana KN, Mallesha L. J. Fluorine Chem. 2013, 156, 15–20.10.1016/j.jfluchem.2013.08.008Search in Google Scholar

[23] Abdel-Aziz M, Abuo-Rahma GEDAA, Beshr EAM, Ali TFS. Bioorg. Med. Chem. 2013, 21, 3839–3849.10.1016/j.bmc.2013.04.022Search in Google Scholar PubMed

[24] Jakhar K, Makrandi JK. Indian J. Chem. 2012, 51B, 531–536.Search in Google Scholar

[25] Cohen AD, Cagnano E, Vardy DA. Dermatology 2001, 202, 52–53.10.1159/000051587Search in Google Scholar PubMed

[26] Allain P, Berre S, Krari N, Laine P, Barbot N, Rohmer V, Bigorgne JC. J. Clin. Pathol. 1993, 46, 456–458.10.1136/jcp.46.5.456Search in Google Scholar PubMed PubMed Central

[27] Herbstman JB, Sjödin A, Kurzon M, Lederman SA, Jones RS, Rauh V, Needham LL, Tang D, Niedzwiecki M, Wang RY, Perera F. Environ. Health Perspect. 2010, 118, 712–719.10.1289/ehp.0901340Search in Google Scholar PubMed PubMed Central

[28] Fonnum F, Mariussen E. J. Neurochem. 2009, 111, 1327–1347.10.1111/j.1471-4159.2009.06427.xSearch in Google Scholar PubMed

[29] Kawanishi S, Murata M. Toxicology 2006, 221, 172–178.10.1016/j.tox.2006.01.002Search in Google Scholar PubMed

[30] Hernas A, Chmiela B, Bszczucka-lasota B. J. Achiev. Mater. Manuf. Eng. 2012, 54, 58–66.Search in Google Scholar

[31] Kumar S. Chem. Sci. Trans. 2015, 4, 258–262.10.4028/www.scientific.net/AMR.1119.258Search in Google Scholar

[32] Kumar D, Kumar S, Makrandi JK. Green Chem. Lett. Rev. 2015, 8, 21–25.10.1080/17518253.2015.1058975Search in Google Scholar

[33] Ravichandran S, Karthikeyan E. Int. J. ChemTech Res. 2011, 3, 466–470.Search in Google Scholar

[34] Cravotto G, Cintas P. Chem. Soc. Rev. 2006, 35,180–196.10.1039/B503848KSearch in Google Scholar

[35] Cravotto G, Fokin VV, Garella D, Binello A, Boffa L, Barge A. J. Comb. Chem. 2010, 12, 13–15.10.1021/cc900150dSearch in Google Scholar PubMed PubMed Central

[36] Pizzuti L, Martins PLG., Ribeiro BA, Quina FH, Pinto F, Flores AFC, Venzke D, Pereira CMP. Ultrason. Sonochem. 2010, 17, 34–37.10.1016/j.ultsonch.2009.06.013Search in Google Scholar PubMed

[37] Fu Z, Shao H. Ultrason. Sonochem. 2011, 18, 520–526.10.1016/j.ultsonch.2010.09.007Search in Google Scholar PubMed

[38] Liu Q, Ai H, Li Z. Ultrason. Sonochem. 2011, 18, 477–479.10.1016/j.ultsonch.2010.09.003Search in Google Scholar PubMed

[39] Elliot ED. J. Am. Chem. Soc. 1951, 73, 754.10.1021/ja01146a075Search in Google Scholar

[40] Dhaka KS, Mohan J, Chadha VK, Pujari HK. Indian J. Chem. 1974, 12, 485–489.Search in Google Scholar

Received: 2016-5-28
Accepted: 2016-9-30
Published Online: 2016-11-19
Published in Print: 2017-2-1

©2017 Walter de Gruyter GmbH, Berlin/Boston

Articles in the same Issue

  1. Frontmatter
  2. In this issue
  3. Review
  4. Biomass processing into ethanol: pretreatment, enzymatic hydrolysis, fermentation, rheology, and mixing
  5. Original articles
  6. Shora (Capparis petiolaris) fruit mediated green synthesis and application of silver nanoparticles
  7. Hydrothermal green synthesis of silver nanoparticles using Pelargonium/Geranium leaf extract and evaluation of their antifungal activity
  8. Green synthesis of gold nanoparticles using quail egg yolk and investigation of potential application areas
  9. Low temperature green synthesis of LaAlO3 using microcrystalline LaOCl and amorphous Al2O3 precursors derived from spray pyrolysis
  10. Intensification of enzyme catalysed synthesis of hexyl acetate using sonication
  11. The development and numerical simulation of a plasma microreactor dedicated to chemical synthesis
  12. Ultrasound promoted green synthesis of benzofuran substituted thiazolo[3,2-b][1,2,4]triazoles
  13. Solventless synthesis of solketal with commercially available sulfonic acid based ion exchange resins and their catalytic performance
  14. Investigation on the conversion of rapeseed oil via supercritical ethanol condition in the presence of a heterogeneous catalyst
  15. Investigation on drying characteristics of high titanium slag using microwave heating
  16. Effects of waste eggshells and SiC addition in the synthesis of aluminum hybrid green metal matrix composite
  17. Conference announcements
  18. 4th International Conference Implementation of Microreactor Technology in Biotechnology (IMTB 2017), Bled, Slovenia, April 23–26, 2017
  19. 7th Advances in Microfluidics & Nanofluidics (AMN)/9th International Symposium on Microchemistry and Microsystems (ISMM)/5th Asia-Pacific Chemical and Biological Microfluidic Conference (APCBM)/8th Australia New Zealand Nano-Microfluidics Symposium (ANZNMF) (Hobart, Australia, June 26–29, 2017)
  20. Book review
  21. Alternative energy sources for green chemistry
Downloaded on 4.3.2026 from https://www.degruyterbrill.com/document/doi/10.1515/gps-2016-0099/html
Scroll to top button