Home Physical Sciences Investigation on drying characteristics of high titanium slag using microwave heating
Article Open Access

Investigation on drying characteristics of high titanium slag using microwave heating

  • Xuefeng Liao

    Xuefeng Liao started his MSc at the Kunming University of Science and Technology, China, where he currently carries out research on microwave energy application and metallurgy under the supervision of Professor Jinhui Peng. He is mainly engaged in microwave heating in application of metallurgy.

    , Guo Chen

    Guo Chen is a Professor at Yunnan Minzu University. He is mainly engaged in microwave heating in application of metallurgy, chemical engineering and material science, especially in the preparation of artificial rutile from titanium slag by microwave heating.

    , Qianqian Liu

    Qianqian Liu has started her MSc at the Kunming University of Science and Technology, China, where she currently carries out research on microwave energy application and metallurgy under the supervision of Professor Jinhui Peng. She is mainly engaged in microwave heating in application of metallurgy.

    , Jin Chen

    Jin Chen is a lecturer at Kunming University of Science and Technology. She is mainly engaged in microwave heating in application of metallurgy, chemical engineering and material science, especially in the drying and calcination of titanium slag by microwave heating.

    EMAIL logo
    and Jinhui Peng

    Jinhui Peng is a PhD supervisor at Kunming University of Science and Technology, and also the president of Kunming University of Science and Technology. He is mainly engaged in microwave heating in application of metallurgy, chemical engineering and materials science. He has received many awards, among which are the State Technological Invention Award and the Natural Science Award of Kunming province.

Published/Copyright: September 17, 2016
Become an author with De Gruyter Brill

Abstract

In the present study, the moisture of high titanium slag was chosen as the research object. Taking advantage of selective heating of microwave and the specific inductive capacity of water, the drying experiment of high titanium slag using microwave heating have been carried out. The results revealed that the presence of moisture in the form of high titanium slag was adsorbed water, and the wet sample possesses excellent wave-adsorbing performance; the bed depth preferred was no larger than 10 mm, with moisture content at around 3%. The microwave drying process was divided into two stages: the constant-stage and the deceleration-stage. The optimum conditions were identified to be microwave power of 700 W, sample mass of 200 g, bed depth of 10 mm and drying time of 50 s. The dehydration extent can reach 90% and moisture content remains at 0.3% under the optimum conditions. The demonstration of microwave drying techniques can be applied effectively and efficiently into the treatment processing of drying of the raw materials of metallurgy and chemical industry with the theoretical and scientific basis.

1 Introduction

There are rich titanium resources in China, mainly composed of titanium iron ore except for a small amount of ilmenite ore (FeTiO3). Generally, the titanium smelter uses electric furnace smelting ilmenite ore to product the high titanium slag, then get the rough TiCl4 which is prepared through the chlorination of high titanium slag [1], [2], [3]. The pure TiCl4 after being refined is used in producing titanium sponge and titanium white [4], [5]. In the chloride process, the excessive moisture of high titanium slag can react with chlorine gas to form chlorine hydride, and resulting corrosion resistant equipment [6], [7]. It is difficult to lower the moisture content from 1.0–3.0% to 0.3–0.5% of the raw materials of metallurgy and chemical industry using traditional drying methods, because of large amounts of energy being consumed, long drying time and increases in drying cost [8], [9].

In the conventional thermal drying methods, heat is transferred from the outside to the inside to evaporate water from material, and the energy transfer of the original driving force is the temperature gradient [10], [11]. However, conventional methods to drying high-moisture content into low-moisture content of materials cause many problems, such as high energy consumption and environment pollution [12]. Therefore, exploration of a new technology for drying, with less field occupation, low energy consumption and high efficiency, and suitability for application in commercial scale operations, is necessary for sustainable development.

Microwave energy has many advantages over conventional heating techniques. Microwaves are electromagnetic waves that have a frequency range from around 0.3 GHz to 300 GHz with corresponding wavelengths ranging from 1 mm to 1 m. The microwave heating process does not require any heat conduction, and inside and outside of the materials can be heated at the same time [13], [14], [15], [16]. Study shows that a material’s capacity to absorb microwaves is mainly decided by its dielectric properties [17]. In the process of microwave drying, water is always preferred to absorb microwaves, and quickly turns into steam to escape, because the dielectric constant of water is greater than that of general minerals or materials [18], [19], [20]. Therefore, microwave drying with a high drying rate and short drying time is easy to automate control and improve product quality. Thus, microwave heating is taken more and more seriously in each dry area [21].

The characteristics and mechanism of heat and mass transfer of microwave drying high titanium slag were investigated. The moisture content changes and temperature changes of high titanium slag, and heat and mass transfer behavior were systematically investigated. The effects of microwave heating on the interaction of heat and mass transfer mechanism of high titanium slag were characterized using theory analysis, experimental research and characterization, and the internal heat and mass transfer model of high titanium slag in the microwave drying process was obtained.

2 Materials and methods

2.1 Materials

High titanium slag used in the work were supplied by Atlantic China Welding Consumables, Inc (Kunming City, Yunnan Province, China). The chemical compositions and the size compositions of high titanium slag are listed in Tables 1 and 2, respectively. It can be seen from Table 1 that titanium slag was characterized by approximately 72.33% of TiO2 and 17.79% of Ti2O3; it was also characterized by high impurity content: 5.26% of FeO, 2.75% of Al2O3, 2.57% of SiO2, 2.30% of MgO, 1.04% of MnO and minor amounts of S, P and C. It can be seen from Table 2 that the particle distribution of high titanium slag was uneven, mainly in the range from 96 μm to 180 μm, and more than 34% was >180 μm. The high titanium slag was analyzed for elements content in accordance with the National Standard of the People’s Republic of China (GB/T).

Table 1:

Chemical composition of high titanium slag.

TiO2Ti2O3FeOAl2O3SiO2MgOMnO
72.3317.795.262.752.572.301.04
Table 2:

Size composition of high titanium slag.

Size (μm)>180150~180120~15096~12075~9648~75<48
Content (%)34.422.88.214.2794.4

The original moisture content of high titanium slag was measured using a conventional heating method, which dried at 105°C for 24 h in a desiccator; the original moisture content was about 2.623% by comparing with the weight of raw material.

2.2 Instruments

High titanium slag was analyzed for X-ray diffraction (XRD) with an XRD analyzer (Rigaku D/Max 2200 X, Japan), and the working line was CuKα radiation (λ=1.5418 Å, 35 kv, 20 mA) over the 2θ range of 20–75° and calculated by using the Scherrer equation. Fourier transform infrared (FT-IR) spectra were carried out on an FT-IR spectrometer (Nicolet 8700, USA) using the KBr pellets method with 4000–400 cm−1 of spectral range. The angle of incidence of the IR beam was 45° and 100 scans were collected at a resolution of 4 cm−1 and averaged using the OMNIC spectroscopic software. Thermogravimetric (TG) and corresponding differential scanning calorimetry (DSC) were recorded by a thermal gravimetric analyzer (NETZSCH STA 409, Germany) with 10°C/min of heating rate, and the morphology of high titanium slag was examined by a scanning electron microscope (XL30ESEM-TMP, Philips, Holland).

The schematic diagram of microwave heating apparatus is shown in Figure 1. The apparatus typically consists of a magnetron to produce the microwaves, a waveguide to transport the microwaves, a resonance cavity to manipulate microwaves for a specific purpose, an electronic balance to record the measurements continuously, an inert gas generator to protect the sample from oxidation and a computer control system to regulate the temperature and microwave power. The inner dimensions of the multi-mode microwave resonance cavity were 260 mm in height, 420 mm in length and 260 mm in width. The output power was in the range of 0–3 kW, which was supplied by two magnetrons at 2.45 GHz frequency, and the magnetrons were cooled by water circulation. The temperature was measured by a Type K thermocouple, which was inserted into the center of the sample.

Figure 1: Schematic diagram of microwave heating apparatus.
Figure 1:

Schematic diagram of microwave heating apparatus.

Some customized ceramic crucibles of different inners were employed to satisfy experiment requirements. The packing density of the sample was 1.7332 g/cm3 and the inner diameters of the crucibles loaded with 100 g, 150 g, 200 g, 250 g and 300 g samples were 8.6 cm, 10.5 cm, 12.1 cm, 13.6 cm and 14.9 cm, respectively.

2.3 Methods

The samples were loaded into a corundum crucible and then placed inside the microwave heating apparatus. Weight loss was measured by an electronic balance, which has a precision of 0.0001 g and was recorded by the computer continuously. The effects of drying time and sample mass on the dehydration extent were investigated. The bed depth and drying surface area were not considered in this experiment, due to the characteristics of microwave heating with heat evenly.

The moisture content and dehydration extent of high titanium slag were calculated based on the following equations [11], [22], [23]:

(1)wτ=mτmgmτ×100%

where τ is drying time (s), wτ is the moisture content at the time of τ (%), mτ is the weight of sample at the time of τ (g) and mg is the weight of dried sample (g) and:

(2)ω=(1wτw0)×100%

where ω is dehydration extent (%) and w0 is the original moisture content (2.623%).

3 Results and discussion

3.1 Structural features of high titanium slag

The crystalline structures of high titanium slag before and after microwave drying were characterized by XRD and the results are shown in Figure 2. It can be seen from Figure 2A that anosovite (M3O5) and anatase TiO2 (JCPDS card No. 89-4203) were the main crystalline compounds in high titanium slag, and the M3O5 mainly composed of Ti3O5 (JCPDS card No. 82-1137), Ti2O3 (JCPDS card No. 71-1046), Fe3Ti3O10 (JCPDS card No. 43-1011), FeTi2O5 (JCPDS card No. 89-8065), MgTi2O5 (JCPDS card No. 89-6945) and other solid-solution minerals [24], [25], [26]. The strongest diffraction peak of Fe3Ti3O10 was observed at 2θ = 25.26°, and rutile TiO2 (JCPDS card No. 71-0650) diffraction peak was observed at 2θ = 40.80° and anatase TiO2 at 2θ = 48.12°. It can be seen from Figure 2B and C that the phase structures of microwave dried samples for 50 s and 90 s did not change compared with the raw materials, which also consists of anosovite, anatase TiO2 and a small amount of rutile TiO2.

Figure 2: X-ray diffraction (XRD) of high titanium slag before and after microwave drying. (A) raw materials; (B) microwave dried 50 s; (C) microwave dried 90 s.
Figure 2:

X-ray diffraction (XRD) of high titanium slag before and after microwave drying. (A) raw materials; (B) microwave dried 50 s; (C) microwave dried 90 s.

The surface chemical functional groups of high titanium slag were characterized by the FT-IR technique and the results are shown in Figure 3; absorption bands could be seen at 3426.9 cm−1, 1624.3 cm−1, 1089.5 cm−1 and 493.3 cm−1. In the region nearby 1624.3 cm−1 only absorbed water related vibrations were observed. The absorption band at 1089.5 cm−1 could be attributed to bending vibrations of O-H, and the absorption band at 3426.9 cm−1 could probably be attributed to the O-H stretching vibrations, while the stretching vibrations of octahedral metal ion in the TiO2 units give bands at 493.3 cm−1 [27], [28]. FT-IR spectrum analysis was carried out on high titanium slag to determine the conclusion that adsorbed water present on the surface of high titanium slag.

Figure 3: Fourier transform infrared (FT-IR) spectra of high titanium slag.
Figure 3:

Fourier transform infrared (FT-IR) spectra of high titanium slag.

The results of TG/DSC measurement of high titanium slag are shown in Figure 4. According to TG/DSC curves, high titanium slag has two weight change stages. The first step was a dehydration step, accompanied with an intensive mass loss process of TG curve from room temperature to 120°C. Combined with FT-IR analysis, the mass loss was attributable to the adsorbed water of the sample, which was evaporating under the microwave heating, and namely the dehydration process. The DSC curve shows an endothermic peak in the temperature range 75–100°C due to the needs of removal of adsorbed water. The water of high titanium slag is mainly in the form of adsorbed water, which exists in neutral water molecules; it does not participate in the crystal structures of minerals, but is adsorbed on the particle surface or cracks in minerals. The adsorbed water escaping from the mineral did not destroy the lattice when the temperature reached 100–120°C under normal pressure, so the entire drying process was completed under 120°C. The second stage was a process of weight gain in a temperature range from 400°C to 1100°C, which could be attributed to oxidation reactions. The weight gain ratio corresponding to this stage was 3.51% and the oxidation reductions of low-valent titanium occurred [29], [30], [31], which were the most important chemical processes in heating high titanium slag according to the following equations:

Figure 4: Thermogravimetric/differential scanning calorimetry (TG/DSC) curves of high titanium slag. (A) TG; (B) DSC.
Figure 4:

Thermogravimetric/differential scanning calorimetry (TG/DSC) curves of high titanium slag. (A) TG; (B) DSC.

(3)2Ti2O3+O2=4TiO2
(4)2Ti3O5+O2=6TiO2

The DSC curve shows two obvious exothermic peaks at temperatures of 578°C and 850°C, respectively. The exothermic peak at 578°C indicates the decomposition reaction of Fe3Ti3O10 as shown in Eq. (5) and the anatase TiO2 transforms to rutile TiO2 characterized by the exothermic DSC peak at 850°C, as shown in Eq. (6):

(5)Fe3Ti3O10=3TiO2(Anatase)+Fe3O4
(6)TiO2(Anatase)TiO2(Rutile)

The size compositions and scanning electron microscopy were employed to observe the change of morphology (macrostructure and microstructure) of high titanium slag before and after microwave drying and the results are shown in Figure 5. The size compositions of the sample did not change after being microwave dried for 50 s, the particles continued to be coarse, and more than 46.1% was in the range from 96 μm to 180 μm. It could be seen from Figure 5A and B that the primary particles have a tighter and smoother surface morphology, with more small pits and striations appearing on the high titanium slag surface. According to Figure 5C–F, the surface morphology of microwave dried samples for 50 s and 90 s, and the raw sample were virtually identical, and show the same structure of smooth and dense.

Figure 5: Scanning electron microscopy (SEM) of high titanium slag before and after microwave drying. (A), (B) raw materials; (C), (D) microwave dried 50 s; (E), (F) microwave dried 90 s.
Figure 5:

Scanning electron microscopy (SEM) of high titanium slag before and after microwave drying. (A), (B) raw materials; (C), (D) microwave dried 50 s; (E), (F) microwave dried 90 s.

3.2 Dielectric properties of high titanium slag

The complex permittivity (ε) of material is an important parameter to describe the microwave absorption characteristics in the microwave heating process. Complex permittivity (ε) can be expressed as a real part (ε′) and an imaginary part (ε″) [32]. The real part of the relative permittivity is known as the dielectric constant that characterizes the ability of the material to store electromagnetic energy within its structure, and the imaginary part as dielectric loss factor, which reflects the ability of the material to convert the stored electromagnetic energy into thermal energy. The complex permittivity can be expressed as Eq. (7):

(7)ε=εjε

The water molecule was the typical electric dipoles, which has the highest dielectric constant of 78.5. The dielectric constant of dry high titanium slag was only 10.98, and a mixture of both shows a higher dielectric constant. The variation of dielectric constant and dielectric loss factor of high titanium slag with moisture content is shown in Figure 6. It could be seen that the dielectric constant of high titanium slag increased from 10.98 to 77.89, with increasing the moisture content from 0% to 5% at room temperature. When the moisture content was 5%, the dielectric constant attained its maximum, then gradually decreased with the increase of moisture content. This was probably because the interaction between ions and water molecules on the surface of the particles restrains the rotation of water molecules and reduces the polarization ability of water molecules in the change of the electric field. The dielectric loss factor had the same change trend with the dielectric constant, which attained its maximum 19.03 with a moisture content of 5%.

Figure 6: Variation of dielectric constant of high titanium slag with moisture content.
Figure 6:

Variation of dielectric constant of high titanium slag with moisture content.

Penetration depth (Dp) is defined as the distance from the material surface where the absorbed electric field (e) falls to 1/e of the electric field at the surface [33]. Dp is given by the following equation:

(8)Dp=λ02π(2ε)1/2{[1+(εε)2]1/21}1/2

where λ is the wavelength, λ=12.24 cm in 2.45 GHz.

The penetration depth of high titanium slag could be calculated by Eq. (8), based on the measured results of dielectric properties. The variation of penetration depth of high titanium slag with moisture content is shown in Figure 7. It could be seen that the penetration depth sharply reduced with a moisture content increase from 0% to 5%, and then kept to a value of about 10 mm. The moisture content of high titanium slag was generally about 3%, corresponding to the penetration depth of 10 mm. Therefore, the bed depth of high titanium slag prefer no larger than this value in microwave drying.

Figure 7: Variation of penetration depth of high titanium slag with moisture content.
Figure 7:

Variation of penetration depth of high titanium slag with moisture content.

The temperature increasing characteristics of different moisture content of high titanium slag are different from each other in the microwave field. High titanium slag with different moisture state affects the heating behavior under a microwave power of 700 W, bed depth of 10 mm were shown in Figure 8, respectively. The relationships between the temperature (Tm) with 200 g dry slag and 200 g wet slag are illustrated and the empirical formulas of Tm and time are shown in Eqs. (9) and (10):

Figure 8: Heating rate curves of dry and wet high titanium slag in microwave field.
Figure 8:

Heating rate curves of dry and wet high titanium slag in microwave field.

(9)Tm,dry=20.291+0.4781X+0.0296X20.0001X3
(10)Tm,wet=15.69+1.1141X+0.0288X20.0002X3

The results show that the average heating rates of dry and wet high titanium slag were 2.42°C/min and 2.52°C/min, respectively. It can be seen from Figure 8 that the wet sample shows a faster apparent heating rate than the dry sample; the result indicates that the wet sample possess excellent wave-adsorbing performance and is identical to the above analysis.

3.3 Drying characteristic of high titanium slag under microwave heating

In this experiment, 200 g of high titanium slag was employed under the experimental conditions with microwave power of 700 W and bed depth of 10 mm. The samples achieve the experimental demand when the moisture content is below 0.3%. The related data of drying high titanium slag under microwave heating is shown in Table 3 and the curve of effects of drying time on the moisture content and dehydration extent are shown in Figures 9 and 10, respectively.

Table 3:

The related data of drying high titanium slag under microwave heating.

Drying time τ/SWeight of sample mτ/gMoisture content wτ/%Dehydration extent ω/%Drying intensity N/%*S−1
02002.6230/
10199.6562.4516.5570.245
20198.8142.03022.6080.102
30198.2581.75233.2060.058
40196.1860.71672.7030.018
50195.3300.28889.0200.006
60195.0320.13994.7010.002
Figure 9: Effects of microwave drying time on the moisture content of high titanium slag (microwave power: 700 W; bed depth: 10 mm; sample mass: 200 g).
Figure 9:

Effects of microwave drying time on the moisture content of high titanium slag (microwave power: 700 W; bed depth: 10 mm; sample mass: 200 g).

Figure 10: Effects of microwave drying time on dehydration extent of high titanium slag (microwave power: 700 W; bed depth: 10 mm; sample mass: 200 g).
Figure 10:

Effects of microwave drying time on dehydration extent of high titanium slag (microwave power: 700 W; bed depth: 10 mm; sample mass: 200 g).

It is seen in Figure 9 that the moisture content of samples decreased gradually from about 2.62%–0.14%, with increasing microwave drying time from 0 s to 60 s. Then, the moisture content of high titanium slag tends to finally be constant. There was much adsorbed water removal in the range from 30 s to 40 s of microwave drying time and the dewatering effect was best in this time. The moisture content was <0.3% when the drying time was about 50 s, and achieved the purpose of the experiment already. It can be seen in Figure 10 that microwave drying time has a significant effect on dehydration extent, and with drying time increasing, dehydration extent of high titanium slag obviously improved. Dehydration extent increase became more rapid when the drying time range was 30–40 s; it could reach 72.68% and this process can be considered as the evaporation process of adsorbed water. Dehydration extent reached 89.03% when the drying time was around 50 s, and the dehydration extent had no significant changes when drying continued. Therefore, 50 s of drying time is chosen as the optimum time of high titanium slag for microwave drying.

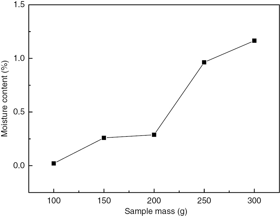
The effects of sample mass on the dewatering of high titanium slag were investigated. The drying experiments are conducted with different sample mass (100 g, 150 g, 200 g, 250 g and 300 g) under microwave power of 700 W, bed depth of 10 mm and drying time of 50 s, and the results are shown in Figures 11 and 12 , respectively. Results in Figure 11 indicate that the moisture content of the sample increases gradually from about 0.02%–1.16% with increasing sample mass from 100 g to 300 g. The moisture content changes rapidly when the material amounts to more than 200 g, and it maintains an upward trend. The obtained results illustrated in Figure 12 show that the dehydration extent of high titanium slag is maintained at over 90% when sample mass is below 200 g. The dehydration extent has a clear downward trend when the mass of the sample is over 200 g. Dehydration extent was only 63.26% when sample mass was around 250 g. Therefore, in the experience, the sample mass is controlled by 200 g, dehydration extent can reach 90% and moisture content remains under 0.3%; these results will exceed the experimental demand.

Figure 11: Effects of sample mass on moisture content of high titanium slag under microwave drying (microwave power: 700 W; bed depth: 10 mm; drying time: 50 s).
Figure 11:

Effects of sample mass on moisture content of high titanium slag under microwave drying (microwave power: 700 W; bed depth: 10 mm; drying time: 50 s).

Figure 12: Effects of sample mass on dehydration extent of high titanium slag under microwave drying (microwave power: 700 W; bed depth: 10 mm; drying time: 50 s).
Figure 12:

Effects of sample mass on dehydration extent of high titanium slag under microwave drying (microwave power: 700 W; bed depth: 10 mm; drying time: 50 s).

3.4 Drying kinetics of high titanium slag

A series of experiments were performed to study the relationship between dehydration extent among various dominant factors during the drying process, and drying intensity is one of the important parameters in the drying kinetics research. There were many definitions of drying intensity, according to the actual situation to select the appropriate method of calculation [34], [35]. In this experiment, Eq. (11) was used to calculate drying intensity:

(11)N=dwτdτ

where N is the drying intensity (%/s) and wτ is the moisture content at the time τ (%).

The drying intensity of high titanium slag under microwave heating is calculated in Table 3 and the drying intensity curve of high titanium slag is shown in Figure 13. Generally, the drying process is considered to be divided into three stages: acceleration-stages (also known as preheating), constant-stages (also known as constant velocity) and deceleration-stages (can be divided into first and second deceleration) [22], [36]. It can be seen from the drying rate curves in Figure 9 that the drying process of high titanium slag was divided into two stages; constant-phases and deceleration-stages. Acceleration-stages do not appear in the whole drying process, which was by microwave heating and which has the characteristics of heating at the same time. The heating methods of conventional drying were heat conduction, convection, radiation heat transfer, etc. Since the heat source is on the outside of material, the temperature rises are controlled by the process of outside to inside, and it also requires energy transmission. This process was limited by Fourier’s law, and the material was a poor conductor of heat and thermal resistance was bigger, so the acceleration-stages were longer and the total drying time was longer. The major advantages of microwave heating were the selective heating and rapid transient heat transfer, namely the acceleration-stages could be neglected in the process of drying. Therefore, it can be seen from Figure 13 that the acceleration-stages do not appear in the microwave drying process of high titanium slag, and this also explains why the microwave heating drying time was shorter than the conventional drying.

Figure 13: The drying intensity curve of high titanium slag under microwave drying.
Figure 13:

The drying intensity curve of high titanium slag under microwave drying.

4 Conclusion

The presence of the moisture in the form of high titanium slag was adsorbed water, and the removal temperature was about 100°C. Dielectric properties and heating behavior of high titanium slag with different moisture content were investigated; the results show that the wet sample possesses excellent wave-adsorbing performance and the preferred bed depth is no larger than 10 mm when moisture content is 3%. High titanium slag dewatering effect was proportional to the microwave drying time, and was inversely proportional to the sample mass. According to the drying kinetics of high titanium slag, the microwave drying process of high titanium slag was divided into two stages; constant-stages and deceleration-stages. Results showed that the optimum conditions for microwave drying high titanium slag were as follows: microwave power was 700 W, sample mass was 200 g, bed depth was 10 mm and drying time was 50 s. Under the optimal conditions, dehydration extent can reach 90% and moisture content remains under 0.3%, which exceeds the demand of production processes for high titanium slag.

About the authors

Xuefeng Liao

Xuefeng Liao started his MSc at the Kunming University of Science and Technology, China, where he currently carries out research on microwave energy application and metallurgy under the supervision of Professor Jinhui Peng. He is mainly engaged in microwave heating in application of metallurgy.

Guo Chen

Guo Chen is a Professor at Yunnan Minzu University. He is mainly engaged in microwave heating in application of metallurgy, chemical engineering and material science, especially in the preparation of artificial rutile from titanium slag by microwave heating.

Qianqian Liu

Qianqian Liu has started her MSc at the Kunming University of Science and Technology, China, where she currently carries out research on microwave energy application and metallurgy under the supervision of Professor Jinhui Peng. She is mainly engaged in microwave heating in application of metallurgy.

Jin Chen

Jin Chen is a lecturer at Kunming University of Science and Technology. She is mainly engaged in microwave heating in application of metallurgy, chemical engineering and material science, especially in the drying and calcination of titanium slag by microwave heating.

Jinhui Peng

Jinhui Peng is a PhD supervisor at Kunming University of Science and Technology, and also the president of Kunming University of Science and Technology. He is mainly engaged in microwave heating in application of metallurgy, chemical engineering and materials science. He has received many awards, among which are the State Technological Invention Award and the Natural Science Award of Kunming province.

Acknowledgments

The authors acknowledge financial support from: National Scientific Foundation of China (nos.: 51504110, 51404114), Specialized Research Fund for the Doctoral Program of Higher Education (no.: 20125314120014), and the Applied Foundation Fund of Yunnan Province of China (no.: 2012FD015).

References

[1] Bulatovic S, Wyslouzil DM. Miner. Eng. 1999, 12, 1407–1417.10.1016/S0892-6875(99)00130-2Search in Google Scholar

[2] Chen G, Chen J, Peng JH. Metal. Int. 2011, 16, 24–28.10.1002/chin.199316300Search in Google Scholar

[3] Chen G, Song Z, Chen J, Peng JH, Srinivasakannan C. J. Alloys Compd. 2013, 577, 610–614.10.1016/j.jallcom.2013.06.038Search in Google Scholar

[4] Zheng H, Ito H, Okabe TH. Mater. Trans. 2007, 48, 2244–2251.10.2320/matertrans.MER2007115Search in Google Scholar

[5] Biswas SK, Ghorai TK, Pramanik P. Int. J. Appl. Ceram. Technol. 2009, 6, 479–484.10.1111/j.1744-7402.2009.02376.xSearch in Google Scholar

[6] Chen G, Chen J, Srinivasakannan C, Peng JH. Appl. Surf. Sci. 2012, 258, 3068–3073.10.1016/j.apsusc.2011.11.039Search in Google Scholar

[7] Delogu F. J. Alloys Compd. 2009, 468, 22–27.10.1016/j.jallcom.2008.01.035Search in Google Scholar

[8] Zhang ZY. Light Met. 2014, 2, 50–53.10.1117/1.OE.53.4.045105Search in Google Scholar

[9] Jia DH, Afzal MT. Drying Technol. 2007, 25, 449–454.10.1080/07373930601183843Search in Google Scholar

[10] Al-Harahsheh M, Kingman SW. Hydrometallurgy 2004, 73, 189–203.10.1016/j.hydromet.2003.10.006Search in Google Scholar

[11] Agieszak N, Adam F, Alicjaz K, Anna S, Anita B. J. Food Eng. 2009, 94, 14–20.10.1016/j.jfoodeng.2009.02.025Search in Google Scholar

[12] Soysal Y. Biosyst. Eng. 2004, 89, 167–173.10.1016/j.biosystemseng.2004.07.008Search in Google Scholar

[13] Chen G, Chen J, Srinivasakannan C, Peng JH, Wan RD. Trans. Nonferrous Met. Soc. China 2010, 20, 198–204.10.1016/S1003-6326(10)60039-8Search in Google Scholar

[14] Vereš J, Šepelák V, Hredzák S. Miner. Process. Extr. Metall. 2015, 124, 1–8.10.1179/1743285514Y.0000000069Search in Google Scholar

[15] Vereš J, Lovás M, Jakabský S, Šepelák V, Hredzák S. Hydrometallurgy 2012, 129, 67–73.10.1016/j.hydromet.2012.09.008Search in Google Scholar

[16] Koleinia SMJ, Baranib K, Rezaeib B. Miner. Process. Extr. Metall. Rev. 2012, 33, 159–169.10.1080/08827508.2011.562947Search in Google Scholar

[17] Zuo YG, Zhang LB, Liu BG, Peng JH, Li J, Ma AY. Mater. Rev. 2013, 27, 91–101.Search in Google Scholar

[18] Saito Y, Kawahira K, Yoshikawa N, Todoroki H, Taniguchi S. ISIJ Int. 2011, 51, 878–883.10.2355/isijinternational.51.878Search in Google Scholar

[19] Pickles CA. Can. Metall. Q. 2005, 44, 397–407.10.1179/cmq.2005.44.3.397Search in Google Scholar

[20] Vereš J, Jakabský S, Lovás M. Acta Montan. Slovaca. 2011, 16, 185–191.Search in Google Scholar

[21] Vereš J, Jakabský S, Lovás M, Hredzák S. Acta Montan. Slovaca. 2010, 15, 204–211.Search in Google Scholar

[22] Li Y, Lei Y, Zhang LB, Peng JH, Li CL. Trans. Nonferrous Met. Soc. China 2011, 21, 202–207.10.1016/S1003-6326(11)60700-0Search in Google Scholar

[23] Ganesapillai M, Regupathi I, Murugesan T. Drying Technol. 2008, 26, 963–978.10.1080/07373930802142978Search in Google Scholar

[24] Afifi MA, Abdel-Aziz MM, Yahia IS, Fadel M, Wahab LA. J. Alloys Compd. 2008, 455, 92–97.10.1016/j.jallcom.2007.01.156Search in Google Scholar

[25] Chen G, Chen J, Peng JH, Srinivasakannan C. J. Alloys Compd. 2011, 509, 244–247.10.1016/j.jallcom.2011.08.080Search in Google Scholar

[26] de Villiers JPR, Göske J, Tuling A. Miner. Process. Extr. Metall. 2005, 114, 73–79.10.1179/037195505X49741Search in Google Scholar

[27] Ma HL, Yang JY, Dai Y, Zhang YB, Lu B, Ma GH. Appl. Surf. Sci. 2007, 253, 7497–7500.10.1016/j.apsusc.2007.03.047Search in Google Scholar

[28] Zhao W, Chen J, Chang XD, Guo SH, Srinivasakannan C, Chen G, Peng JH. Appl. Surf. Sci. 2014, 300, 171–177.10.1016/j.apsusc.2014.02.038Search in Google Scholar

[29] Pistorius PC. Scand. J. Metall. 2002, 31, 120–125.10.1034/j.1600-0692.2002.310206.xSearch in Google Scholar

[30] Bessingera D, Geldenhuisb JMA, Pistoriusb PC, Mulabac A, Hearned G. J. Non-Cryst. Solids 2001, 282, 132–142.10.1016/S0022-3093(01)00336-2Search in Google Scholar

[31] Chen G, Song Z, Chen J, Srinivasakannan C, Peng JH. J. Alloys Compd. 2013, 579, 612–616.10.1016/j.jallcom.2013.07.112Search in Google Scholar

[32] Liu CH, Zhang LB, Peng JH. Trans. Nonferrous Met. Soc. China 2013, 23, 3462–3469.10.1016/S1003-6326(13)62889-7Search in Google Scholar

[33] Kingman SW. Int. Mater. Rev. 2006, 51, 1–12.10.1179/174328006X79472Search in Google Scholar

[34] Giri SK, Prasad S. J. Food Eng. 2007, 78, 512–521.10.1016/j.jfoodeng.2005.10.021Search in Google Scholar

[35] Oliveira IM, Seshadri V, Mansur MB. Can. J. Chem. Eng. 2004, 82, 956–967.10.1002/cjce.5450820511Search in Google Scholar

[36] Deng C, Lin X, Xu YJ, Xiao GS, Tang DB, Wu JJ, Zhang Y. Sci. Technol. Food Ind. 2013, 34, 121–125.Search in Google Scholar

Received: 2015-10-20
Accepted: 2016-5-25
Published Online: 2016-9-17
Published in Print: 2017-2-1

©2017 Walter de Gruyter GmbH, Berlin/Boston

This article is distributed under the terms of the Creative Commons Attribution Non-Commercial License, which permits unrestricted non-commercial use, distribution, and reproduction in any medium, provided the original work is properly cited.

Articles in the same Issue

  1. Frontmatter
  2. In this issue
  3. Review
  4. Biomass processing into ethanol: pretreatment, enzymatic hydrolysis, fermentation, rheology, and mixing
  5. Original articles
  6. Shora (Capparis petiolaris) fruit mediated green synthesis and application of silver nanoparticles
  7. Hydrothermal green synthesis of silver nanoparticles using Pelargonium/Geranium leaf extract and evaluation of their antifungal activity
  8. Green synthesis of gold nanoparticles using quail egg yolk and investigation of potential application areas
  9. Low temperature green synthesis of LaAlO3 using microcrystalline LaOCl and amorphous Al2O3 precursors derived from spray pyrolysis
  10. Intensification of enzyme catalysed synthesis of hexyl acetate using sonication
  11. The development and numerical simulation of a plasma microreactor dedicated to chemical synthesis
  12. Ultrasound promoted green synthesis of benzofuran substituted thiazolo[3,2-b][1,2,4]triazoles
  13. Solventless synthesis of solketal with commercially available sulfonic acid based ion exchange resins and their catalytic performance
  14. Investigation on the conversion of rapeseed oil via supercritical ethanol condition in the presence of a heterogeneous catalyst
  15. Investigation on drying characteristics of high titanium slag using microwave heating
  16. Effects of waste eggshells and SiC addition in the synthesis of aluminum hybrid green metal matrix composite
  17. Conference announcements
  18. 4th International Conference Implementation of Microreactor Technology in Biotechnology (IMTB 2017), Bled, Slovenia, April 23–26, 2017
  19. 7th Advances in Microfluidics & Nanofluidics (AMN)/9th International Symposium on Microchemistry and Microsystems (ISMM)/5th Asia-Pacific Chemical and Biological Microfluidic Conference (APCBM)/8th Australia New Zealand Nano-Microfluidics Symposium (ANZNMF) (Hobart, Australia, June 26–29, 2017)
  20. Book review
  21. Alternative energy sources for green chemistry
Downloaded on 31.12.2025 from https://www.degruyterbrill.com/document/doi/10.1515/gps-2015-0114/html
Scroll to top button