Home Physical Sciences Low temperature green synthesis of LaAlO3 using microcrystalline LaOCl and amorphous Al2O3 precursors derived from spray pyrolysis
Article Open Access

Low temperature green synthesis of LaAlO3 using microcrystalline LaOCl and amorphous Al2O3 precursors derived from spray pyrolysis

  • Zhenfeng Wang

    Zhenfeng Wang is a PhD student at Northeastern University, China. His primary research interests include rare earth chloride and aluminum chloride spray pyrolysis and preparation of rare earth oxide materials.

    , Wenyuan Wu

    Wenyuan Wu is a professor and PhD supervisor at Northeastern University. His research interests include hydrometallurgy and precious metals metallurgy technology and application.

    EMAIL logo
    , Xue Bian

    Xue Bian is an associate professor and a Master’s supervisor at Northeastern University. His research interests include rare metal metallurgical technology and application, comprehensive utilization of green technology, rare earth resources, green preparation technology, and rare earth materials.

    and Yongfu Wu

    Yongfu Wu is a PhD student at Northeastern University, China, and an associate professor and Master’s supervisor at Inner Mongolia University of Science and Technology. His research interests include rare earth metallurgy process simulation and optimization.

Published/Copyright: September 15, 2016
Become an author with De Gruyter Brill

Abstract

LaAlO3 was synthesized using microcrystalline LaOCl and amorphous Al2O3 precursors. The precursors were derived with single inorganic materials through spray pyrolysis. The precursors and derived oxide powders were characterized by differential thermal analysis, scanning electron microscopy, X-ray diffraction, and transmission electron microscopy. LaAlO3 was found to crystallize directly from microcrystalline LaOCl and amorphous Al2O3 precursors at 1073 K for 2 h in air, and the LaAlO3 product purity is more than 99.9%.

1 Introduction

LaAlO3 has attracted attention in recent years due to its varied application. LaAlO3 has a rhombohedral structure at room temperature and is usually defined as hexagonal with a=5.364 Å and c=13.11 Å [1]. It has good dielectric characteristics, including high relative permittivity (εr=23), a high quality factor (Q×f≈68,000; Q=1/tanδ; f, measuring frequency; and tanδ, dissipation factor), and a very small temperature coefficient of resonant frequency (τf=−44×10−6 K) [2], which is compatible with applications in dielectric resonators. LaAlO3 has been widely used as a substrate for depositing superconducting thin films for microwave devices because it provides a high quality factor, as well as excellent lattice and thermal expansion equal to that of Y-Ba-Cu-O and Bi-Sr-Ca-Cu-O superconductors [3], [4]. Due to its high surface area and catalytic activity, LaAlO3 has also been used to catalyze the oxidative coupling of methane. It is necessary to reduce the sintering temperatures of LaAlO3 ceramics, which are usually in the range of 1673–1873 K, to produce multilayered miniaturized devices because the LaAlO3 ceramics must be co-sintered with low-melting conductors. Lowering the sintering temperature can be achieved by using fine particle-sized homogenous powders, as well as the addition of melting glass and ceramic pigments [5], [6].

LaAlO3 is generally synthesized at temperatures >1823 K via a solid-solid reaction route (conventional mixed oxide synthesis) [7]. This method presents a number of drawbacks, such as high reaction temperature, long soaking time, large particle size, limited chemical homogeneity, and low sinterability. Various low temperature chemical routes have been tried, including the following: co-precipitation [8], [9], emulsion combustion [10], a mechanochemical route [11], citrate combustion [12], and a PVA evaporation route. The major drawback of most of these chemical routes is that they require a variety of inorganic and organic precursors, which adds significant complexity to the process. Spray pyrolysis is a green method for the decomposition of single inorganic precursors in the air. In this method, hydrogen chloride produced by exhaust gas is absorbed directly, which provides advantages including short residence time, high production efficiency, low operating cost, and minimized energy consumption. During the preparation process, atomized droplets of a precursor solution undergo evaporation and shrinkage while flowing through a high-temperature reactor. Eventually, these drop into solid particles. Because evaporation, precipitation, drying, and decomposition all occur in a dispersed phase within a single step, it is possible to control the particle properties (size, morphology, chemical composition, etc.) by controlling the process parameters (residence time and decomposition temperature) [13], [14], [15], [16], [17]. Therefore, this method provides a continuous flow process that is greener and more economical than other methods. Lux et al. accomplished the synthesis of aluminate lanthanum by spray pyrolysis with metal nitrate as the raw material [18]. The method presented here is superior to that described by Byron et al. because metal nitrates are not products from an industrial production line, and Byron et al.’s method requires higher pyrolysis and roasting temperatures of 1773 K and 1373 K, respectively.

In this study, we report an easy, inexpensive, and reliable method to synthesize LaAlO3 powders with a high surface area that are crystallized at low temperatures and sintered to near full density. The synthesized precursor and LaAlO3 powders have been characterized using powder X-ray diffraction analysis (XRD) and scanning electron microscopy (SEM/EDS). The synthetic mechanism is discussed herein.

2 Materials and methods

2.1 Microcrystalline LaOCl and amorphous Al2O3 precursor synthesis

Solutions of AlCl3·6H2O and LaCl3·7H2O (AR, >99.0%, Sinopharm Chemical Reagent Co. Ltd.) were used as precursors for the LaAlO3 powder. The La-containing solution was added to the Al-containing solution in a molar ratio of 1:1. The concentration of the precursors was 20.0 wt%. The schematic representation of the spray pyrolysis equipment (Northeastern University in Shenyang, Liaoning Province, China) is shown in Figure 1. The spray pyrolysis system consisted of a home-made atomizer, a corundum tube located inside a tubular furnace, and three cyclones as the collectors; hydrogen chloride produced by exhaust gas is absorbed directly. Droplet diffused through the high temperature zone, quickly evaporated, and underwent dehydration, and the resultant pyrolysate was collected by a filter sampler. The temperature of the tubular furnace was controlled and adjusted in the temperature range of 873–1073 K. Particle residence time in the hot zone is controlled by the flow controllers, which corresponds to a residence time of 1.0–2.0 s.

Figure 1: Schematic diagram of automated spray pyrolysis experimental device. (1) Corundum tube, (2) tubular furnace, (3) the first-stage cyclone, (4) the first stage collector, (5) the second level cyclone separator, (6) the second stage collector, (7) the third cyclone, (8) the third stage collector, (9) flow controllers, (10) tail gas absorber, (11) lifting device, (12) air compressor, (13) tank, (14) solution, (15) hose, (16) injection pipe, (17–19) water bath temperature control.
Figure 1:

Schematic diagram of automated spray pyrolysis experimental device. (1) Corundum tube, (2) tubular furnace, (3) the first-stage cyclone, (4) the first stage collector, (5) the second level cyclone separator, (6) the second stage collector, (7) the third cyclone, (8) the third stage collector, (9) flow controllers, (10) tail gas absorber, (11) lifting device, (12) air compressor, (13) tank, (14) solution, (15) hose, (16) injection pipe, (17–19) water bath temperature control.

2.2 LaAlO3 synthesis

The reaction between microcrystalline LaOCl and amorphous Al2O3 precursors was complete after roasting at 1073 K for 2 h.

2.3 Characterization of prepared particles

The products were determined by a powder XRD (X’Pert Pro, PANalytical Corporation, The Netherlands) with Cu Kα radiation (λ=0.154 nm) at 40 kV and 40 mA. The scan rate was 4° 2θ min−1, and the scan ranged from 10° to 90° 2θ. Peak positions and relative intensities were characterized by comparison with the International Centre for Diffraction Data files. DSC and TGA, respectively, using a Netzsch STA 449 F3 Jupiter apparatus (Netzsch Instruments Inc., Burlington, MA, USA) was equipped with a TASC414/4 controller. DSC/TG measurements were carried out from room temperature to 1273 K at the rate of 10 K/min with air flow. The transmission electron microscope (TEM) examinations were performed using a TEM instrument (Tecnai G220; FEI, Hillsboro, OR, USA) operating at 200 kV. The samples were collected directly onto Cu microgrids, and a droplet of suspending liquid was deposited onto a Cu microgrid and allowed to dry. SEM images were obtained on a Zeiss ULTRA plus SEM (Zeiss Ultra Plus, Zeiss, Oberkochen, Germany) equipped with energy dispersive X-ray spectroscopy (EDS), which was used to observe the SEM microstructure.

3 Results and discussion

The LaOCl precursor was generated from LaCl3 via pyrolysis. The Al2O3 precursor was generated from AlCl3 via pyrolysis. A mixture of LaOCl and Al2O3 was obtained via spray pyrolysis of a mixed solution of LaCl3 and AlCl3. This pyrolysis reaction can be expressed as follows:

(1)LaCl3+2AlCl3+4H2O=LaOCl+Al2O3+8HCl
(2)4LaOCl+2Al2O3+O2=4LaAlO3+2Cl2

Figure 2 shows the XRD patterns of samples obtained by spray pyrolysis. Figure 2A shows three broad diffuse peaks between diffraction angles 20° and 70°; the presence of small-shaped peaks indicates that there is a crystalline phase mixed with the primary amorphous structures. Figure 2B presents the XRD patterns of LaOCl prepared by spray pyrolysis. The LaOCl peaks are observed at 12.87°, 25.20°, 30.70°, 33.95°, 43.96°, and 56.68°. Peak broadening observed in the XRD pattern for LaOCl indicates the presence of LaOCl crystallites with an average diameter (D) of 26.6 nm. Due to the amorphous nature of aluminum oxide, the XRD pattern (Figure 2C) obtained from a mixture of Al2O3 and LaOCl precursors primarily displays LaOCl peaks. Figure 3 shows the XRD pattern for the LaAlO3 product obtained after roasting at 1073 K for 2 h. The geometry for the product is rhombohedral based upon the calculated XRD patterns.

Figure 2: X-ray diffraction patterns of amorphous Al2O3, micro crystalline LaOCl,Al2O3, and LaOCl precursors.
Figure 2:

X-ray diffraction patterns of amorphous Al2O3, micro crystalline LaOCl,Al2O3, and LaOCl precursors.

Figure 3: X-ray diffraction patterns of LaAlO3.
Figure 3:

X-ray diffraction patterns of LaAlO3.

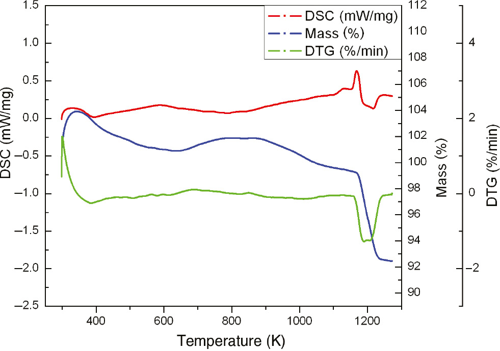
TG and DTA were measured to study the endothermic and exothermic effects of Al2O2 and LaOCl precursors, and the respective curves are shown in Figure 4. Three weight loss steps were observed in the TGA curve. The first weight loss between 300 and 500 K in the TGA curve is due to the desorption of physically absorbed water. The second sharp weight loss step between 880 and 1070 K corresponds to the crystallization processes of amorphous Al2O3 into the γ-Al2O3 crystallization processes. The third weight loss step between 1070 and 1270 K corresponds to the reaction of Al2O3 with LaOCl to generate LaAlO3. An obvious weight loss appeared at 1160 k; this is explained by an increase in temperature increasing the intensity of the reaction.

Figure 4: TGA, DTG, and DTA curves for the precursors powder.
Figure 4:

TGA, DTG, and DTA curves for the precursors powder.

Figure 5A and B shows TEM micrographs and SAED patterns of amorphous Al2O3. The diffraction pattern shows an amorphous ring, which is consistent with the conclusion that alumina crystals did not grow. The mean diameter of the nanoparticles was 20 and 100 nm for LaOCl, respectively (Figure 5C and D). From the larger size particle dark field TEM image (Figure 5D) can be found that the particles are composed of a plurality of small grain aggregates. So these values are consistent with the XRD results. The particles of Al2O3 and LaOCl synthesized by spray pyrolysis have a size distribution of 0.5–15.0 μm (Figure 5E). In Figure 5F, the dark field TEM image shows that Al2O3 and LaOCl precursor particles are composed of small grains; energy spectrum analysis of the different positions of the precursor particles, lanthanum, aluminum, chlorine, and oxygen and differences of content show that the reaction of Al2O3 and LaOCl occurs in the grain boundary.

Figure 5: TEM images and SAED patterns of the amorphous Al2O3, micro crystalline LaOCl, Al2O3, and LaOCl precursors.
Figure 5:

TEM images and SAED patterns of the amorphous Al2O3, micro crystalline LaOCl, Al2O3, and LaOCl precursors.

The SEM images and EDS patterns of the Al2O3 and LaOCl precursors are shown in Figure 6. It can be seen from the SEM images (Figure 6A) that the particles comprise hollow spheres or flake particles with a particle size distribution between 0.5 and 15.0 μm. The EDS pattern (Figure 6B) confirms the presence of La, Al, O, and Cl. Figure 6C shows that the LaAlO3 powder consists of highly porous agglomerates of round-shaped particles. The porous structure could be caused by the large volume of gases (Cl2) released during the reaction. On the other hand, the round shape of the particles might be related to the presence of precursors, which melt during the reaction process and forces LaAlO3 particles to adopt a spherical shape. This type of particle morphology had a positive influence during the pressing and sintering stage. The EDS (Figure 6D) pattern confirms the presence of La, Al, and O in the sample.

Figure 6: SEM images and EDS patterns of the Al2O3 and LaOCl precursors, LaAlO3 product.
Figure 6:

SEM images and EDS patterns of the Al2O3 and LaOCl precursors, LaAlO3 product.

4 Conclusion

Thermodynamic calculations reveal that the initial reaction temperature of LaOCl and Al2O3 is 2244K. This synthesis method provides LaAlO3 powders from metal chlorides at remarkably low temperatures (1073 K). This method has several advantages over existing techniques: (1) with metal chloride as raw materials, the vast majority of rare earth products common to industrial production exists in the form of rare earth chloride and fluoride; (2) compared with other low temperature syntheses, spray pyrolysis is a greener method, which occurs via decomposition of single inorganic materials (metal chloride) in air; and (3) the LaAlO3 purity was more than 99.9%, as confirmed through measurements of chloride ion content.

The XRD, TEM, and SAED methods showed that the precursors synthesized by spray pyrolysis were microcrystalline LaOCl and amorphous Al2O3. These particular forms of the precursors were achieved at significantly lower reaction temperatures. Using this method, perovskite structure compounds LaCrO3 and LaCoO3 were also successfully synthesized.

Award Identifier / Grant number: 51274060

Funding statement: This work was financially supported by the National Natural Science Foundation of China (51274060).

About the authors

Zhenfeng Wang

Zhenfeng Wang is a PhD student at Northeastern University, China. His primary research interests include rare earth chloride and aluminum chloride spray pyrolysis and preparation of rare earth oxide materials.

Wenyuan Wu

Wenyuan Wu is a professor and PhD supervisor at Northeastern University. His research interests include hydrometallurgy and precious metals metallurgy technology and application.

Xue Bian

Xue Bian is an associate professor and a Master’s supervisor at Northeastern University. His research interests include rare metal metallurgical technology and application, comprehensive utilization of green technology, rare earth resources, green preparation technology, and rare earth materials.

Yongfu Wu

Yongfu Wu is a PhD student at Northeastern University, China, and an associate professor and Master’s supervisor at Inner Mongolia University of Science and Technology. His research interests include rare earth metallurgy process simulation and optimization.

Acknowledgments

This work was financially supported by the National Natural Science Foundation of China (51274060).

References

[1] Lee JJ, Park YS, Yang CS, Kim HS, Kim KH, Kang KY, Kang TW, Park SH, Lee JY. J. Cryst. Growth, 2000, 213, 33–39.10.1016/S0022-0248(00)00335-3Search in Google Scholar

[2] Cho SY, Kim IT, Hong KS. J. Mater. Res. 1999, 14, 114–119.10.1557/JMR.1999.0018Search in Google Scholar

[3] Simon RW, Platt CE, Lee AE, Lee GS, Daly KP, Wire MS, Luine JA,Urbanik M. Appl. Phys. Lett. 1988, 53, 2677–2679.10.1063/1.100543Search in Google Scholar

[4] Sandu V, Jaklovszky J, Miu D, Drägulinescu D, Grigoriu C, Bunescu MC. J. Mater. Sci. Lett. 1994, 13, 1222–1225.10.1007/BF00241019Search in Google Scholar

[5] Sahu PK, Behera SK, Pratihar SK,Bhattacharyya S. Ceram. Int. 2004, 30, 1231–1235.10.1016/j.ceramint.2003.12.075Search in Google Scholar

[6] Ianoş R, Lazău R, Borcănescu S, Băbuță R. Ceram. Int. 2014, 40, 7561–7565.10.1016/j.ceramint.2013.12.107Search in Google Scholar

[7] Li Z, Zhang S, Lee WE. J. Eur. Ceram. Soc. 2007, 27, 3201–3205.10.1016/j.jeurceramsoc.2007.01.008Search in Google Scholar

[8] Robert P, Seisenbaeva GA, Wiglusz RJ, Leszek K, Kessler VG. Inorg. Chem. 2011, 50, 2966–2974.10.1021/ic102386eSearch in Google Scholar PubMed

[9] Behera SK, Sahu PK, Pratihar SK,Bhattacharyya S. Mater. Lett. 2004, 58, 3710–3715.10.1016/j.matlet.2004.07.020Search in Google Scholar

[10] Chandradass J, Kim KH. J. Alloys Compd. 2009, 481, L31–L34.10.1016/j.jallcom.2009.03.072Search in Google Scholar

[11] Zhang Q,Saito F. J. Am. Ceram. Soc. 2000, 83, 439–441.10.1111/j.1151-2916.2000.tb01215.xSearch in Google Scholar

[12] Adak AK,Pramanik P. Mater. Lett. 1997, 30, 269–273.10.1016/S0167-577X(96)00207-8Search in Google Scholar

[13] Castañeda L, Alonso JC, Ortiz A, Andrade E, Saniger JM, Bañuelos JG. Mater. Chem. Phys. 2003, 77, 938–944.10.1016/S0254-0584(02)00193-1Search in Google Scholar

[14] Fukui T, Ohara S, Naito M, Nogi K. J. Eur. Ceram. Soc. 2003, 23, 2963–2967.10.1016/S0955-2219(03)00311-XSearch in Google Scholar

[15] Ibáñez RL, Barrado JRR, Martín F, Brucker F, Leinen D. Surf. Coat. Technol. 2004, s188–189, 675–83.10.1016/j.surfcoat.2004.07.002Search in Google Scholar

[16] Martín MI, Rabanal ME, Gómez LS, Torralba JM, Milosevic O. J. Eur. Ceram. Soc. 2008, 28, 2487–2494.10.1016/j.jeurceramsoc.2008.03.019Search in Google Scholar

[17] Vallet-Regí M, Rodríguez-Lorenzo LM, Ragel CV, Salinas AJ, González-Calbet JM. Solid State Ionics 1997, 101, 197–203.10.1016/S0167-2738(97)00337-8Search in Google Scholar

[18] Lux BC, Clark RD, Salazar A, Sveum LK, Krebs MA. J. Am. Ceram. Soc. 1993, 76, 2669–2672.10.1111/j.1151-2916.1993.tb03998.xSearch in Google Scholar

Received: 2016-4-18
Accepted: 2016-8-4
Published Online: 2016-9-15
Published in Print: 2017-2-1

©2017 Walter de Gruyter GmbH, Berlin/Boston

This article is distributed under the terms of the Creative Commons Attribution Non-Commercial License, which permits unrestricted non-commercial use, distribution, and reproduction in any medium, provided the original work is properly cited.

Articles in the same Issue

  1. Frontmatter
  2. In this issue
  3. Review
  4. Biomass processing into ethanol: pretreatment, enzymatic hydrolysis, fermentation, rheology, and mixing
  5. Original articles
  6. Shora (Capparis petiolaris) fruit mediated green synthesis and application of silver nanoparticles
  7. Hydrothermal green synthesis of silver nanoparticles using Pelargonium/Geranium leaf extract and evaluation of their antifungal activity
  8. Green synthesis of gold nanoparticles using quail egg yolk and investigation of potential application areas
  9. Low temperature green synthesis of LaAlO3 using microcrystalline LaOCl and amorphous Al2O3 precursors derived from spray pyrolysis
  10. Intensification of enzyme catalysed synthesis of hexyl acetate using sonication
  11. The development and numerical simulation of a plasma microreactor dedicated to chemical synthesis
  12. Ultrasound promoted green synthesis of benzofuran substituted thiazolo[3,2-b][1,2,4]triazoles
  13. Solventless synthesis of solketal with commercially available sulfonic acid based ion exchange resins and their catalytic performance
  14. Investigation on the conversion of rapeseed oil via supercritical ethanol condition in the presence of a heterogeneous catalyst
  15. Investigation on drying characteristics of high titanium slag using microwave heating
  16. Effects of waste eggshells and SiC addition in the synthesis of aluminum hybrid green metal matrix composite
  17. Conference announcements
  18. 4th International Conference Implementation of Microreactor Technology in Biotechnology (IMTB 2017), Bled, Slovenia, April 23–26, 2017
  19. 7th Advances in Microfluidics & Nanofluidics (AMN)/9th International Symposium on Microchemistry and Microsystems (ISMM)/5th Asia-Pacific Chemical and Biological Microfluidic Conference (APCBM)/8th Australia New Zealand Nano-Microfluidics Symposium (ANZNMF) (Hobart, Australia, June 26–29, 2017)
  20. Book review
  21. Alternative energy sources for green chemistry
Downloaded on 30.12.2025 from https://www.degruyterbrill.com/document/doi/10.1515/gps-2016-0087/html
Scroll to top button