Abstract
The crystal structures of the trigermanides AEGe3(tI32) (AE = Ca, Sr, Ba; space group I4/mmm, for SrGe3: a = 7.7873(1), c = 12.0622(3) Å) comprise Ge2 dumbbells forming layered Ge substructures which enclose embedded AE atoms. The chemical bonding analysis by application of the electron localizability approach reveals a substantial charge transfer from the AE atoms to the germanium substructure. The bonding within the dumbbells is of the covalent two-center type. A detailed analysis of SrGe3 reveals that the interaction on the bond-opposite side of the Ge2 groups is not lone pair-like – as it would be expected from the Zintl-like interpretation of the crystal structure with anionic Ge layers separated by alkaline-earth cations – but multi-center strongly polar between the Ge2 dumbbells and the adjacent metal atoms. Similar atomic interactions are present in CaGe3 and BaGe3. The variation of the alkaline-earth metal has a merely insignificant influence on the superconducting transition temperatures in the s,p-electron compounds AEGe3.
1 Introduction
The development of high-pressure high-temperature techniques in the last decades has paved the way for the synthesis of new compounds with original compositions and unusual coordination environments. Especially phases of the p-block elements habitually adopt covalent framework patterns with metal-type electrical conductivity. Such a combination of properties in the so-called covalent metals is an advantageous scenario for phonon-driven superconductivity, but it is in contrast to the framework of the Zintl–Klemm concept. Consequently, the chemical bonding in these phases is often extra-curricular with respect to the simple yet immensely expedient 8–N rule and a thorough characterization requires elaborate quantum chemical tools. Here, we present a detailed investigation of the recently discovered compound SrGe3 and its bonding properties in the context of the homologous series AEGe3 (AE = Ca, Sr, Ba).
2 Experimental
Sample handling including preparation of the precursor and the prearrangement of the octahedral high-pressure assemblies was performed in argon-filled glove boxes (MBraun, p(H2O) < 1 ppm; p(O2) < 1 ppm). Precursor samples with nominal composition SrGe3 were prepared by arc melting of elemental Sr (Alfa Aesar 99.95%) and Ge (Chempur 99.9999%). An excess of 1% of Sr was sufficient to compensate for the mass loss during the melting process. The resulting ingots, containing a mixture of SrGe2 and Ge, were ground and the fine powders were loaded into crucibles machined from hexagonal boron nitride. Graphite tubes for resistive heating enclosed the sample containers. High pressures were generated with a Walker module using a MgO octahedron of 14 mm edge length [1]. Pressure and temperature calibration was conducted by in-situ monitoring of the resistance changes of bismuth [2] and by dedicated runs with a thermocouple prior to the experiments, respectively.
For the metallographic study, the samples were polished by using discs of micrometer-sized diamond powders in paraffin. The obtained specimens were investigated by light- and electron-optical microscopy. The chemical composition was established by using wavelength-dispersive X-ray spectroscopy (WDXS; Cameca SX 100) at 10 different points on the surface of the sample. For the quantification, Ba6Ge25 and SrGa4 were used as standards for Ge and Sr, respectively. Differential scanning calorimetry (DSC) experiments were performed with closed alumina crucibles under an argon atmosphere (Netzsch DSC 404c) at temperatures between 300 and 1200 K. For the effects, onset temperatures are given in text and figures.
Phase identification was realized by powder X-ray diffraction experiments (Huber image plate Guinier camera G670) employing CuKα1 radiation, λ = 1.540562 Å. High-temperature experiments were realized in Debye–Scherrer geometry using a STOE-STADIP-MP diffractometer equipped with a germanium monochromator and applying a heating rate of 10 K min−1 and a holding time for data acquisition of 150 min. For Rietveld refinement, high-resolution synchrotron X-ray powder diffraction data were collected on powder samples at the beamline ID22 of the ESRF using a wavelength of λ = 0.40066 Å. For full-profile crystal structure refinement and further crystallographic calculations, the program package Wincsd was used [3].
Magnetization measurements were performed with a SQUID magnetometer (MPMS XL-7, Quantum Design) in the temperature range 1.8–400 K and for fields μ0H up to 7 T. Electrical resistivity measurements were carried out between 2 and 400 K by a standard dc four-probe technique (PPMS, Quantum Design). The heat capacity was measured by a relaxation-type method (HC option, PPMS, Quantum Design) between 1.9 and 320 K and magnetic fields μ0H up to 1 T.
3 Calculation procedure
Density-functional theory calculations of the electronic structure were carried out using the FP-(L)APW+lo+LO method as implemented in the Elk code [4] within the local density approximation [5]. For the calculations, the muffin-tin radii were set to 2.2 and 2.0 Bohr (1.17 and 1.06 Å) for Sr and Ge, respectively; the plane wave cut-off of |G + k|max = 9.0/Rmt Bohr−1 (Rmt = the smallest muffin-tin radius) was used. The number of irreducible k-points for the Brillouin zone integration amounted to 128.
The chemical bonding was analyzed within the framework of the electron localizability approach employing QTAIM [6] and the electron localizability indicator (ELI) in its ELI-D representation [7, 8]. The program Dgrid [9] was used for the computation of the electron density, the topological properties of the electron density and ELI, employing a module written for the Elk code [10]. Basin evaluation and the integration of the electron density within QTAIM and ELI basins were performed numerically using a grid with a step width of 0.05 Å.
For band structure and COHP calculations, the TB-LMTO-ASA program was used [11]. The Barth–Hedin exchange-correlation potential [12] was employed for the DFT calculations. Due to the almost close-packed nature of the crystal structure, addition of empty spheres was not necessary. The following radii of the atomic spheres were applied for the calculations on SrGe3: r(Sr1) = 2.350 Å, r(Sr2) = 2.290 Å, r(Ge1) = 1.466 Å, r(Ge1) = 1.464 Å. A basis set containing Sr(5s,4d) and Ge(4s,4p) orbitals was employed for a self-consistent calculation with Sr(5p,4f) and Ge(4d) functions being downfolded.
4 Results and discussion
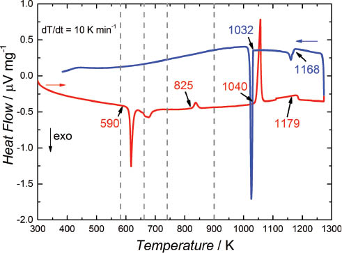
The tI32 modifications of trigermanides AEGe3 (AE = Ca, Sr, Ba) are accessible by means of high-pressure high-temperature synthesis [13–15]. To give an example, SrGe3 is found to be the majority phase of binary mixtures Sr:Ge with a molar ratio of 1:3 which are reacted in the pressure range between 8(1) and 15(2) GPa before quenching. The metallographic inspection in conjunction with WDXS analysis confirmed the composition. Differential scanning calorimetry measurements at ambient pressure (Fig. 1) show an exothermal effect with an onset temperature of 590 K reflecting the decomposition of the metastable phase SrGe3. This assignment is supported by an in-situ X-ray powder diffraction study (Fig. 2) revealing first traces of the decomposition products at 580 K. The pattern at 660 K shows only elemental germanium and SrGe2 (hP3) [16] (space group P3̅m1, a = 4.1168(7) and c = 5.1510(9) Å at room temperature, a = 4.1324(5) and c = 5.1874(7) Å at 670 K, and a = 4.1375(4) and c = 5.1972(6) Å at 740 K).

Differential scanning calorimetry measurement of SrGe3 at ambient pressure. With increasing temperature, the decomposition of the metastable high-pressure phase SrGe3 into the products SrGe2 and Ge shows in an exothermic peak at 590 K (onset temperature). The dashed lines refer to the temperatures of the in-situ X-ray diffraction experiments shown in Fig. 2.

In-situ high-temperature X-ray diffraction measurements on SrGe3. The temperatures of the diffraction measurements correspond to those indicated in the DSC diagram shown in Fig. 1.
Although SrGe2(hP3) is commonly labeled a high-pressure phase [16], its transformation shows in an endothermic effect which is in contrast to the stability fields of the reported compounds [17]. Thus, the accepted phase diagram needs a reconsideration of this aspect. In agreement with the latest version of the published thermodynamic equilibria, the sharp exothermic peak at 1040 K is assigned to the eutectic temperature (SrGe2 + Ge, 1030 K), and the broad one at 1179 K is attributed to the liquidus (1200 K) [17].
Refinement of the crystal structure of SrGe3 with high-resolution powder X-ray diffraction data measured at a synchrotron source (Table 1, Fig. 3) yields atomic coordinates and interatomic distances (Tables 2 and 3) which are in good agreement with the recent single-crystal structure data [14]. The tI32 modification of the trigermanides AEGe3 (AE = Ca, Sr, Ba) may be described as a stacking of two types of segments along the [001] direction. The first one contains only alkaline earth atoms, the second one is formed by Ge2 dumbbells in two orientations – parallel (Ge2)2 and perpendicular (Ge1)2 to [001] (Fig. 3). Both types of Ge atoms are five-coordinated (1+4) by other germanium atoms so that classical electron counting rules do not apply. Moreover, in addition to the five Ge neighbors, the germanium atoms have close alkaline earth neighbors, i.e. both Ge atoms have four strontium atoms at relatively short distances between 3.334 and 3.588 Å in SrGe3 (Table 3).
Data collection, structure refinement and crystallographic information for SrGe3.
| Composition | SrGe3 | 
| Space group, Pearson symbol | I4/mmm (no. 139), tI32 | 
| Unit cell parameters | |
| a/Å | 7.7873(1) | 
| c/Å | 12.0622(3) | 
| V/Å3 | 731.47(4) | 
| Formula units, Z | 8 | 
| Calc. density/g cm−3 | 5.55 | 
| Diffractometer | ESRF ID22, Debye–Scherrer geometry | 
| Glass capillary ∅ = 0.5 mm | |
| 9 detectors stage, step width 2θ = 0.002° | |
| Radiation | Synchrotron, λ = 0.40066 Å | 
| Measurement range | 1° ≤ 2θ ≤ 32° | 
| 0 ≤ h ≤ 11; 0 ≤ k ≤ 11; 0 ≤ l ≤ 18 | |
| Measured points/reflections | 15 500/427 | 
| Refined parameters structure/profile | 8/33 | 
| R(P)/R(F)/GoF | 0.10/0.05/1.73 | 

(top) Rietveld refinement of the crystal structure of SrGe3 by means of X-ray diffraction data and (bottom) the refined model of the atomic arrangement.
Atomic coordinates and displacement parameters of SrGe3.
| Atom | Site | x | y | z | Biso | 
|---|---|---|---|---|---|
| Sr1 | 4e | 0 | 0 | 0.1709(3) | 0.94(7) | 
| Sr2 | 4d | 1/2 | 0 | ¼ | 0.74(7) | 
| Ge1 | 8i | 0.3370(4) | 0 | 0 | 0.90(6) | 
| Ge2 | 16m | 0.3177(2) | x | 0.1050(2) | 1.34(5) | 
Selected interatomic distances d and their multiplicity m in the given coordination sphere for SrGe3.
| Atoms | m | d/Å | Atoms | m | d/Å | 
|---|---|---|---|---|---|
| Sr1–Ge1 | 4 × | 3.337(3) | Ge1–Ge1 | 1 × | 2.539(4) | 
| Sr1–Ge2 | 4 × | 3.367(3) | Ge1–Ge2 | 4 × | 2.784(2) | 
| Sr1–Ge2 | 4 × | 3.588(2) | Ge1–Sr1 | 2 × | 3.337(3) | 
| Ge1–Sr2 | 2 × | 3.272(1) | |||
| Ge2–Ge2 | 1 × | 2.533(3) | |||
| Sr2–Ge1 | 4 × | 3.272(1) | Ge2–Ge1 | 2 × | 2.784(2) | 
| Sr2–Ge2 | 8 × | 3.346(2) | Ge2–Ge2 | 2 × | 2.839(2) | 
| Ge2–Sr1 | 1 × | 3.367(3) | |||
| Ge2–Sr1 | 1 × | 3.588(2) | |||
| Ge2–Sr2 | 2 × | 3.346(2) | 
The topology of the germanium substructure in the compound SrGe3 is in fundamental contrast to the bonding properties of other members of the binary system Sr–Ge. These are electron-precise Zintl phases obeying the 8–N rule. Established varieties are isolated Ge4− units in Sr2Ge and Sr5Ge3 [18, 19], (1b)Ge3− dumbbells in Sr5Ge3 and Sr7Ge6 [19, 20], (2b)Ge2− chains in Sr7Ge6 and SrGe [20, 21], layers of (3b)Ge1− in the high-pressure phase [16] or isolated (3b)Ge1− tetrahedra in SrGe2 [22]. A network of (3b)Ge− and (4b)Ge0 is formed in SrGe5.5 [23]. The situation in SrGe3 is more complex, and this motivated an analysis of the bonding organization by quantum chemical tools.
Crystal orbital Hamilton population (COHP) and integrated values at EF (iCOHP, Fig. 4) were computed for the bonds Ge1–Ge1 (2.538 Å), Ge1–Ge2 (2.784 Å), Ge2–Ge2 (2.534 Å) and Ge2–Ge2 (2.839 Å). The –COHP for the Ge1–Ge1 interaction is optimized at the Fermi level indicating a covalent bond, while the Ge2–Ge2 COHP reaches zero at energies slightly higher than EF, opening the possibility to fill these states by additional electrons. Positive –COHP values for both dumbbells together with high iCOHP indicate a strong covalent interaction. The longer Ge–Ge contacts show negative –COHP at EF, i.e. partially filled antibonding states. Accordingly, the calculated high iCOHP values indicate weak interactions.

Crystal orbital Hamilton population for the bonds Ge1–Ge1 (dumbbell), Ge2–Ge2 (dumbbell), Ge1–Ge2 (long) and Ge2–Ge2 (long) and the integrated COHP for each bond in SrGe3.
The topological analysis of the electron density reveals a number of bond critical points (BCPs). The position of those within the Ge2 units and their local bonding indicators (high values of the electron density and negative values of the density Laplacian) suggest covalent bonds within the dumbbells. Slightly reduced but still high values of the electron density combined with positive values of the density Laplacian for the intermolecular contacts Ge1–Ge2 and Ge2–Ge2 indicate weaker Ge–Ge interactions in this part of the crystal structure. Further decrease of the electron density combined with an increase of its Laplacian at the Sr–Ge and inter-layer Ge–Ge BCPs reflect further reduction of the interaction in comparison to the Ge–Ge bonds within the Ge layers. Similar characteristics were found for the Ge–Ge interactions in CaGe3 and BaGe3 (Table 4).
Topological parameters of the electron density ρ(r) and its Laplacian ∇2ρ(r) at the bond critical points (BCPs) for compounds AEGe3 (AE = Ca, Sr, Ba).
| BCP | Compound | ρ(r)/e Å−3 | ∇2ρ(r)/e Å−5 | ε | 
|---|---|---|---|---|
| Ge1–Ge1 dimer | CaGe3 | 0.4278 | –0.3904 | 0.23 | 
| SrGe3 | 0.4407 | –0.5157 | 0.19 | |
| BaGe3 | 0.4582 | –0.6675 | 0.16 | |
| Ge2–Ge2 dimer | CaGe3 | 0.3799 | –0.0010 | 0.07 | 
| SrGe3 | 0.4265 | –0.3470 | 0.06 | |
| BaGe3 | 0.4420 | –0.4964 | 0.05 | |
| Ge1–Ge2 | CaGe3 | 0.2801 | 0.5856 | 0.41 | 
| SrGe3 | 0.2706 | 0.6049 | 0.52 | |
| BaGe3 | 0.2645 | 0.6073 | 0.56 | |
| Ge2–Ge2 | CaGe3 | 0.2618 | 0.4796 | 0.06 | 
| SrGe3 | 0.2537 | 0.4555 | 0.08 | |
| BaGe3 | 0.2544 | 0.4193 | 0.08 | |
| AE2–Ge1 | CaGe3 | 0.1208 | 1.0387 | 0.32 | 
| SrGe3 | 0.1113 | 0.9326 | 0.25 | |
| BaGe3 | 0.1100 | 0.7928 | 0.20 | |
| AE1–Ge1 | CaGe3 | 0.1093 | 0.8459 | 0.01 | 
| SrGe3 | 0.1032 | 0.7760 | 0.05 | |
| BaGe3 | 0.1080 | 0.6892 | 0.11 | |
| AE2–Ge2 | CaGe3 | 0.1026 | 0.8772 | 1.01 | 
| SrGe3 | 0.0992 | 0.8001 | 0.63 | |
| BaGe3 | 0.1059 | 0.7278 | 0.37 | |
| AE1–Ge2 | CaGe3 | 0.1012 | 0.8772 | 0.54 | 
| SrGe3 | 0.0918 | 0.7615 | 0.47 | |
| BaGe3 | 0.0911 | 0.6531 | 0.36 | |
| Ge2–Ge2 interlayer | CaGe3 | 0.1255 | 0.4410 | 0.17 | 
| SrGe3 | 0.0823 | 0.2892 | 0.17 | |
| BaGe3 | 0.0601 | 0.1976 | 0.25 | |
| Ba1–Ge2 | BaGe3 | 0.0823 | 0.5591 | 1.62 | 
The ellipticity ε is defined as (λa/λb) – 1 with the semi-major λa and the semi-minor λb being perpendicular to the interaction path and |λa| ≥ |λb|.
The electron density within the QTAIM atomic basins of the compounds AEGe3 (AE = Ca, Sr, Ba) was integrated to yield the total population. The following subtraction from the atomic number reveals the effective charges of the AE species (Table 5). The decreasing effective positive charge of the alkaline earth atoms with growing atomic number is in clear contradiction with the increasing difference of the electronegativities. This observation suggests an additional interaction of the alkaline earth metals with the germanium substructure. Details of this interplay are analyzed by means of the electron localizability approach.
Volumes of the atomic basins (VM and VGe in Å3), charge transfer (in units of electrons) and Pauling electronegativity (χM–χGe) of the high-pressure phases AEGe3 (AE = Ca, Sr, Ba).
| Compound | VM1 | VM2 | VGe1 | VGe2 | M1 → Ge | M2 → Ge | χM–χGe | 
|---|---|---|---|---|---|---|---|
| CaGe3 | 14.9 | 14.1 | 22.9 | 23.2 | 1.33 | 1.29 | –1.01 | 
| SrGe3 | 20.2 | 19.3 | 23.4 | 24.1 | 1.32 | 1.28 | –1.06 | 
| BaGe3 | 27.9 | 26.8 | 22.9 | 23.9 | 1.16 | 1.12 | –1.12 | 
The distribution of the electron localizability indicator ELI-D (Fig. 5) reveals the absence of the last (5th) shell of strontium indicating a substantial charge transfer to the germanium substructure. Moreover, a non-spherical distribution of the ELI-D in the penultimate shell indicates the participation of these electrons in the interactions of the valence region [24].
Maxima of ELI-D on the dumbbell contacts Ge1–Ge1 and Ge2–Ge2 confirm the covalent nature of these interactions. The attractors on the bond-opposite sides of the Ge2 dumbbells in SrGe3 are split and shifted away from the Ge–Ge axis. This situation is in contrast to the finding for the non-interacting (free) Ge2 molecule with a single ELI-D attractor on each side of the dumbbell which is located exactly on the axis of the molecule representing a lone pair-like distribution [25]. In solid SrGe3, one attractor on each side of the Ge1–Ge1 dumbbell remains right on the Ge–Ge axis visualizing three-center Ge1–Sr1–Sr1 interactions; two others are shifted towards the Ge1–Sr1 contact and represent Ge1–Sr1–Sr2 bonding. All these attractors are located close to the Ge nuclei suggesting highly polar interactions. The intersection analysis (cf. contributions in Table 5) shows a small contribution of the Sr2 and even Ge2 atoms to the basin of this bond indicating a multi-center interaction. In case of the (Ge2)2 dumbbell, each of the attractors on the bond opposite side splits up into two fragments shifting towards the tetrahedron of the four-center Ge2–Sr1–Sr1–Sr2 interaction. Intersection analysis shows that the main contribution to the basin of this attractor originates from the Ge2 atoms. These findings reveal the strongly polar nature of the Ge–Ge interactions on the outer side of the Ge dumbbells. Assigning all basin populations around each dumbbell to the germanium atoms yields 10.8 electrons for the Ge1–Ge1 and 8.6 electrons for the Ge2–Ge2 dumbbells. The total electron balance in such an ionic representation would be given as [Sr+2]2[(Ge1–Ge1)−2.8][(Ge2–Ge2)−0.6]2. The analysis indicates that the Ge2 dumbbells adopt significantly different charges despite similar Ge–Ge distances. For this charge differentiation, the dissimilar Sr environments of the Ge dumbbells seem to play an important role. However, the interactions on the outer regions of the dumbbells are not purely ionic but rather polar covalent so that the actual charge transfer is less and the effective charges of the strontium cation and the germanium dumbbells are smaller.
The organization of the chemical bonding in the other AEGe3 compounds is strikingly similar (Table 6) although there are some differences in the regions between the Ge2 dumbbells. Two different three-center interactions (Ge1–Sr1–Sr1 and Ge1–Sr1–Sr2) are found for the Ge1 dumbbell in SrGe3. The corresponding Ge1–Ca1–Ca2 interaction in CaGe3 is characterized by a weak attractor. In BaGe3, the attractor on the bond-opposite side of (Ge2)2 is not split and consequently represents a five-center Ge2–(Ba1)2–(Ba2)2 interaction.
Population of the ELI-D valence basins (in electrons) and main contribution to the lone pair basins calculated for compounds AEGe3 (AE = Ca, Sr and Ba).
| ELI-D Basin | CaGe3 | SrGe3 | BaGe3 | 
|---|---|---|---|
| Ge1–Ge1 short | 2.1 | 2.2 | 2.2 | 
| Ge2–Ge2 short | 1.7 | 1.9 | 2.0 | 
| Ge2–Ge2 long | 0.5 | 0.5 | 0.7 | 
| Basins on the bond-opposite side of (Ge1)2 | 4.7 | 4.4 | 4.1 | 
| Basins on the bond-opposite side of (Ge2)2 | 3.0 | 3.1 | 2.9 | 
| Contributions to the basins on the bond-opposite side of (Ge1)2 | 0.78 Ge1 | 0.81 Ge1 | 0.82 Ge1 | 
| 0.13 Ge2 | 0.10 Ge2 | 0.10 Ge2 | |
| 0.06 Ca1 | 0.06 Sr1 | 0.06 Ba1 | |
| 0.03 Ca2 | 0.03 Sr2 | 0.03 Ba2 | |
| Contribution to the basins on the bond-opposite side of (Ge2)2 | 0.91 Ge2 | 0.89 Ge2 | 0.88 Ge2 | 
| 0.06 Ca2 | 0.06 Sr2 | 0.06 Ba2 | |
| 0.04 Ca1 | 0.05 Sr1 | 0.05 Ba1 | 
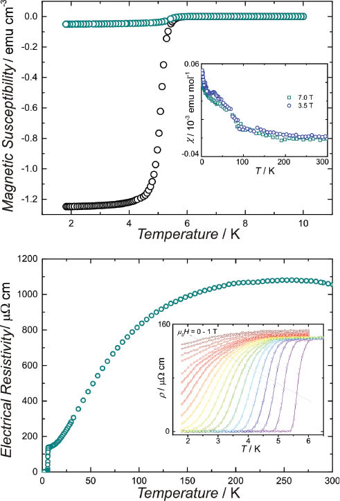
Magnetic susceptibility data indicate that SrGe3 is moderately diamagnetic in the normal state (≈ –30 × 10−6 emu mol−1). The onset of strong diamagnetism at 5.3 K is attributed to superconductivity (Fig. 6). While magnetic shielding (after zero-field cooling) is complete, the Meissner effect (field cooling) reaches only 5% of –1/4π. Such a small flux expulsion is typical for a type II superconductor with strong pinning of flux lines. Electrical resistivity measurements (Fig. 7) are hampered by grain boundaries since the resistance ρ(T) saturates for temperatures above ≈ 200 K with a value of ~ 1 mΩ cm. However, values close to zero due to superconductivity occur below 5.4 K. The residual resistance ratio of ≈ 8 is in line with the fair sample quality.

Electron localizability indicator in SrGe3: Distribution in the plane at x = 0.5 (left) and isosurface with Y = 1.175 (right). The populations for the attractors are given (obtained by integration within the respective ELI-D basins) together with the contribution of the atoms in each attractor (determined by intersecting the respective ELI basin with the QTAIM basins). For the bonding attractors within the dumbbells, only two atoms contribute to the basin.

Magnetic susceptibility (top) and electrical resistivity (bottom) of SrGe3 at temperatures between 1.8 and 300 K illustrating the superconducting transition. The insert in the lower figure shows the field dependence of the resistivity in the region of the superconducting transition in the range from 0 to 1 T.

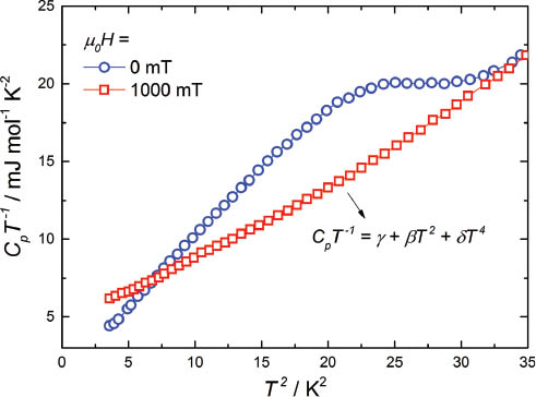
Low-temperature specific heat data of SrGe3 in the representation CpT−1 vs. T2. Blue and red symbols indicate measurements in the region of the superconducting transition and in an overcritical field, respectively.
The specific heat Cp(T) of SrGe3 reaches a value of 103 J mol−1 K−1 ≈ 3nR at room temperature (n = 4 corresponding to the number of atoms per formula unit, R is the molar gas constant). A significantly broadened anomaly due to superconductivity shows at low temperature (Fig. 7). By the usual entropy conserving construction the midpoint Tc = 5.2 K and the idealized “jump height” ΔCp = 6.6 mJ mol−1 K−2 are obtained. The normal-state specific heat at μ0H = 1 T in the representation Cp/T vs. T2 does not follow a straight line. Therefore, it is modelled by the equation Cp = γT + βT3 + δT5, in which γT is the electronic specific heat and βT3 + δT5 are the first two terms of the harmonic lattice approximation. From least-squares fits to the experimental data of SrGe3, the Sommerfeld coefficient γ = 5.04 mJ mol−1 K−2 and β equivalent to the initial Debye temperature θD = 287 K were determined. The reduced specific heat jump, ΔCp/γTc ≈ 1.3, indicates weak electron-phonon coupling close to the BCS limit (ΔCp/γTc = 1.43) for SrGe3, which is in apparent contrast to the finding for the isostructural compound CaGe3 with ΔC/γTc ≈ 1.6. However, the transition temperatures Tc for the isostructural series AEGe3(tI32) (M = Ca, Sr, and Ba; Table 7) show little variation in total. This finding indicates the substantial similarity of the alkaline-earth trigermanides in superconductivity. In contrast, an earlier investigation on analogous trisilicides MSi3 (M = Ca, Y, Lu [26]) revealed significant differences of the critical temperatures which are assigned to pronounced variations of the density of states at EF.
Superconducting parameters estimated from specific heat measurements and band structure calculations of compounds AEGe3 (AE = Ca, Sr, Ba) in the tI32 modification.
| Parameter | CaGe3 | SrGe3 | BaGe3 | 
|---|---|---|---|
| Tc/K (from χ) | 6.8 | 5.3 | 6.5 | 
| Tc/K (from Cp) | 6.6 | 5.2 | 5.6 | 
| γ/mJ mol−1 K−2 | 6.31 | 5.04 | 6.32 | 
| Tc/K (from ρ) | 6.2 | 5.7 | 6.8 | 
| θD/K | 330 | 287 | 266 | 
| N(EF)/states eV−1 per f. u. (from band structure) | 1.49 | 1.90 | 1.85 | 
| λep | 0.72 | 0.70 | 0.74 | 
| ΔCp/γTc | 1.6 | 1.2 | 1.0 | 
| μ0Hc2/mT | 290 | 300 | 315 | 
5 Summary
Analysis of the chemical bonding in the trigermanides AEGe3(tI32) (AE = Ca, Sr, Ba) applying the quantum chemical techniques of QTAIM and electron localizability reveals unexpectedly moderate charge transfer from the alkaline-earth cations to the germanium substructure with effective QTAIM charges of the AE atoms between +1.12 and +1.33. The main reason for the reduction of the effective charges is the formation of polar multi-center interactions between the Ge and the AE atoms on the bond-opposite sides of the Ge2 dumbbells. These diatomic species are the main covalent units in the germanium substructure of compounds AEGe3 in the tI32 modification.
Dedicated to: Professor Wolfgang Jeitschko on the occasion of his 80th birthday.
Acknowledgments:
We thank Susann Leipe for backing high-pressure syntheses, Dr. Andy Fitch (ID22 at the ESRF, Grenoble) as well as Cevriye Koz for synchrotron X-ray powder diffraction. We gratefully acknowledge the help of Marcus Schmidt and Vicky Süß for DTA/DSC characterization, the support of Monika Eckert and Sylvia Kostmann for metallographic investigations as well as the assistance of Ralf Koban for physical property measurements.
References
[1] D. Walker, M. A. Carpenter, C. M. Hitch, Am. Mineral.1990, 75, 1020.Search in Google Scholar
[2] D. A. Young, Phase Diagrams of the Elements, UC Press, Berkeley, 1991.10.1525/9780520911482Search in Google Scholar
[3] L. Akselrud, Yu. Grin, J. Appl. Crystallogr.2014, 47, 803.10.1107/S1600576714001058Search in Google Scholar
[4] http://elk.sourceforge.net (accessed March 2016).Search in Google Scholar
[5] J. P. Perdew, Y. Wang, Phys. Rev. B1992, 45, 13244.10.1103/PhysRevB.45.13244Search in Google Scholar
[6] R. F. W. Bader, Atoms in Molecules: A Quantum Theory, Oxford University Press, Oxford, 1999.Search in Google Scholar
[7] M. Kohout, Int. J. Quantum Chem.2004, 97, 651.10.1002/qua.10768Search in Google Scholar
[8] M. Kohout, Faraday Discuss.2007, 135, 43.10.1039/B605951CSearch in Google Scholar
[9] M. Kohout, Dgrid (version 4.6e), Radebeul (Germany) 2011.Search in Google Scholar
[10] A. I. Baranov, M. Kohout, J. Phys. Chem. Solids2010, 71, 1350.10.1016/j.jpcs.2010.06.005Search in Google Scholar
[11] O. Jepsen, A. Burkhardt, O. K. Andersen, Tb-lmto-asa (version 47), Max-Planck-Institut für Festkörperforschung, Stuttgart (Germany) 2000; http://www2.fkf.mpg.de/andersen/LMTODOC/LMTODOC.html (accessed March 2016).Search in Google Scholar
[12] U. Barth, L. Hedin, J. Phys. C1972, 5, 1629.10.1088/0022-3719/5/13/012Search in Google Scholar
[13] W. Schnelle, A. Ormeci, A. Wosylus, K. Meier, Yu. Grin, U. Schwarz, Inorg. Chem.2012, 51, 5509.10.1021/ic300576aSearch in Google Scholar PubMed
[14] T. Nishikawa, H. Fukuoka, K. Inumaru. Inorg. Chem.2015, 54, 7433.10.1021/acs.inorgchem.5b00989Search in Google Scholar PubMed
[15] R. Castillo, A. I. Baranov, U. Burkhardt, R. Cardoso-Gil, W. Schnelle, M. Bobnar, U. Schwarz, Inorganic Chemistry, in pressSearch in Google Scholar
[16] A. Palenzona, M. Pani. J. Alloys Compd.2005, 402, 136.10.1016/j.jallcom.2005.04.189Search in Google Scholar
[17] B. Eisenmann, H. Schäfer, K. Turban, Z. Naturforsch.1975, 30b, 677.10.1515/znb-1975-9-1005Search in Google Scholar
[18] R. Nesper, F. Zürcher, Z. Kristallogr. NCS1999, 214, 21.10.1515/ncrs-1999-0114Search in Google Scholar
[19] L. Siggelkow, V. Hlukhyy, T. F. Fässler, J. Solid State Chem.2012, 191, 76.10.1016/j.jssc.2012.03.008Search in Google Scholar
[20] W. Rieger, E. Parthé, Acta Crystallogr.1967, 22, 919.10.1107/S0365110X67001793Search in Google Scholar
[21] J. Evers, G. Oehlinger, A. Weiss, Z. Naturforsch.1979, 34b, 524.10.1515/znb-1979-0332Search in Google Scholar
[22] A. Betz, H. Schäfer, A. Weiss, R. Wulf, Z. Naturforsch.1968, 23b, 878.10.1515/znb-1968-0624Search in Google Scholar
[23] H. Fukuoka, S. Yamanaka, Inorg. Chem.2005, 44, 1460.10.1021/ic0485615Search in Google Scholar PubMed
[24] F. R. Wagner, V. Bezugly, M. Kohout, Yu. Grin, Chem. Eur. J.2007, 13, 5724.10.1002/chem.200700013Search in Google Scholar PubMed
[25] M. Kohout, F. R. Wagner, Yu. Grin, Theor. Chem. Acc.2002, 108, 150.10.1007/s00214-002-0370-xSearch in Google Scholar
[26] U. Schwarz, A. Wosylus, H. Rosner, W. Schnelle, A. Ormeci, K. Meier, A. Baranov, M. Nicklas, S. Leipe, C. J. Müller, Yu. Grin, J. Am. Chem. Soc.2012, 134, 13558.10.1021/ja3055194Search in Google Scholar PubMed
©2016 by De Gruyter
Articles in the same Issue
- Frontmatter
- In this Issue
- Preface
- Congratulations to Wolfgang Jeitschko
- Review
- Prediction and clarification of structures of (bio)molecules on surfaces
- NaGe6As6: Insertion of sodium into the layered semiconductor germanium arsenide GeAs
- Synthesis, structures, and properties of Mn(II) and Cd(II) thiocyanato coordination compounds with 2,5-dimethylpyrazine as co-ligand
- Synthesis, structure and electronic configuration of [Rh6Te8(PPh3)6]·4C6H6
- Room temperature synthesis, crystal structure and selected properties of the new compound [Mn2(bipy)4SbS4](ClO4)
- The isotypic family of the diarsenates MM′As2O7 (M = Sr, Ba; M′ = Cd, Hg)
- RE3Au5Zn (RE = Y, Sm, Gd–Ho) – A new structure type with five- and six-membered rings as building units in a gold network
- Influence of hydrogenation and mechanical grinding on the structural and ferromagnetic properties of GdFeSi
- Two new ternary chalcogenides Ba2ZnQ3 (Q = Se, Te) with chains of ZnQ4 tetrahedra: syntheses, crystal structure, and optical and electronic properties
- Neutron powder diffraction and theory-aided structure refinement of rubidium and cesium ureate
- High-pressure investigations of lanthanoid oxoarsenates: I. Single crystals of scheelite-type Ln[AsO4] phases with Ln = La–Nd from monazite-type precursors
- Bi2Fe4O9: Structural changes from nano- to micro-crystalline state
- New transition metal oxide fluorides with ReO3-type structure
- Synthesis, photophysical characterization and DFT studies on fluorine-free deep-blue emitting Pt(II) complexes
- Structural studies of CaAl12O19, SrAl12O19, La2/3+δ Al12–δO19, and CaAl10NiTiO19 with the hibonite structure; indications of an unusual type of ferroelectricity
- Synthesis and crystal structure of new K and Rb selenido/tellurido ferrate cluster compounds
- Crystal structures and hydrogenation properties of palladium-rich compounds with elements from groups 12–16
- Hydroalumination and hydrogallation of an aryl-chloro-dialkynylsilane: Si–Cl bond activation by intramolecular Al–Cl and Ga–Cl interactions
- V18P9C2: a complex phosphide carbide
- Gold(III)-mediated cyclization of 2-hydrazinylquinolines
- RE2B8O15 (RE = La, Pr, Nd) – syntheses of three new rare earth borates isotypic to Ce2B8O15
- Substitution of W5+ in monophosphate tungsten bronzes by combinations Mn+/W6+
- On new ternary equiatomic scandium transition metal aluminum compounds ScTAl with T = Cr, Ru, Ag, Re, Pt, and Au
- Triangular Zn3 and Ga3 units in Sr2Au6Zn3, Eu2Au6Zn3, Sr2Au6Ga3, and Eu2Au6Ga3 – structure, magnetism, 151Eu Mössbauer and 69;71Ga solid state NMR spectroscopy
- The crystal structure of Cs2S2O3·H2O
- Trigermanides AEGe3 (AE = Ca, Sr, Ba): chemical bonding and superconductivity
- The coloring problem in the solid-state metal boride carbide ScB2C2: a theoretical analysis
- Synthesis and structure determinantion of the first lead arsenide phosphide Pb2AsxP14–x (x ~ 3.7)
- The new barium compound Ba4Al7+x: formation and crystal structure
Articles in the same Issue
- Frontmatter
- In this Issue
- Preface
- Congratulations to Wolfgang Jeitschko
- Review
- Prediction and clarification of structures of (bio)molecules on surfaces
- NaGe6As6: Insertion of sodium into the layered semiconductor germanium arsenide GeAs
- Synthesis, structures, and properties of Mn(II) and Cd(II) thiocyanato coordination compounds with 2,5-dimethylpyrazine as co-ligand
- Synthesis, structure and electronic configuration of [Rh6Te8(PPh3)6]·4C6H6
- Room temperature synthesis, crystal structure and selected properties of the new compound [Mn2(bipy)4SbS4](ClO4)
- The isotypic family of the diarsenates MM′As2O7 (M = Sr, Ba; M′ = Cd, Hg)
- RE3Au5Zn (RE = Y, Sm, Gd–Ho) – A new structure type with five- and six-membered rings as building units in a gold network
- Influence of hydrogenation and mechanical grinding on the structural and ferromagnetic properties of GdFeSi
- Two new ternary chalcogenides Ba2ZnQ3 (Q = Se, Te) with chains of ZnQ4 tetrahedra: syntheses, crystal structure, and optical and electronic properties
- Neutron powder diffraction and theory-aided structure refinement of rubidium and cesium ureate
- High-pressure investigations of lanthanoid oxoarsenates: I. Single crystals of scheelite-type Ln[AsO4] phases with Ln = La–Nd from monazite-type precursors
- Bi2Fe4O9: Structural changes from nano- to micro-crystalline state
- New transition metal oxide fluorides with ReO3-type structure
- Synthesis, photophysical characterization and DFT studies on fluorine-free deep-blue emitting Pt(II) complexes
- Structural studies of CaAl12O19, SrAl12O19, La2/3+δ Al12–δO19, and CaAl10NiTiO19 with the hibonite structure; indications of an unusual type of ferroelectricity
- Synthesis and crystal structure of new K and Rb selenido/tellurido ferrate cluster compounds
- Crystal structures and hydrogenation properties of palladium-rich compounds with elements from groups 12–16
- Hydroalumination and hydrogallation of an aryl-chloro-dialkynylsilane: Si–Cl bond activation by intramolecular Al–Cl and Ga–Cl interactions
- V18P9C2: a complex phosphide carbide
- Gold(III)-mediated cyclization of 2-hydrazinylquinolines
- RE2B8O15 (RE = La, Pr, Nd) – syntheses of three new rare earth borates isotypic to Ce2B8O15
- Substitution of W5+ in monophosphate tungsten bronzes by combinations Mn+/W6+
- On new ternary equiatomic scandium transition metal aluminum compounds ScTAl with T = Cr, Ru, Ag, Re, Pt, and Au
- Triangular Zn3 and Ga3 units in Sr2Au6Zn3, Eu2Au6Zn3, Sr2Au6Ga3, and Eu2Au6Ga3 – structure, magnetism, 151Eu Mössbauer and 69;71Ga solid state NMR spectroscopy
- The crystal structure of Cs2S2O3·H2O
- Trigermanides AEGe3 (AE = Ca, Sr, Ba): chemical bonding and superconductivity
- The coloring problem in the solid-state metal boride carbide ScB2C2: a theoretical analysis
- Synthesis and structure determinantion of the first lead arsenide phosphide Pb2AsxP14–x (x ~ 3.7)
- The new barium compound Ba4Al7+x: formation and crystal structure