Abstract
The Au(III)-mediated oxidative cyclization of a series of 2-hydrazinylquinolines is reported. This intramolecular reaction represents a reliable way towards obtaining various 3H-1,2,4-triazolo[4,3-a]quinolin-10-ium cations. The molecular structures of three of the starting compounds (2-(1-methyl-2-(pyridin-2-ylmethylene)hydrazinyl)quinoline, 2-(1-methyl-2-(thiophen-2-ylmethylene)hydrazinyl)quinoline, 2-((2-methyl-2-(quinolin-2-yl)hydrazono)methyl)aniline) as well as of one cyclized system (3-methyl-1-(pyridin-2-yl)-3H-1,2,4-triazolo[4,3-a]quinolin-10-ium dichloridoaurate(I)) were determined by means of single-crystal X-ray diffraction.
1 Introduction
The oxidative cyclization is a common procedure for the synthesis of annulated derivatives of triazoles. This family of compounds is intensely investigated because of their potential application as fungicides or bactericides [1]. The synthesis of 1,2,4-triazolo[4,3-b]pyridazine derivatives via oxidative cyclization of pyridazine-substituted hydrazones was recently reported, using nitrobenzene as oxidant [2]. Similarly, hydrazones can also be used as starting materials for the synthesis of 1,2,4-triazolo[4,3-a]pyridine and its derivatives [3–6]. Moreover, heterocycles such as triazoloquinolines and triazolopyrazines can also be synthesized [6]. Finally, the oxidative cyclization reaction can be applied for the synthesis of 1,2,3-benzotriazoles, 1,2,3-benzotriazolium salts, and their derivatives, as was first shown more than 60 years ago for 1,2,3-triazolo[1,5-a]quinolin-10-ium and 1,2,3-triazolo[1,5-a]pyridine-8-ium salts [7]. Besides such classical organic syntheses, hydrazones with electron-rich aromatic substituents can be cyclized electrochemically by anodic oxidation, as evidenced by the synthesis of 3H-1,2,4-triazolo[4,3-a]quinolin-10-ium and 1,2,4-triazolo[4,3-a]pyridinium salts [8]. The presence of other heteroatoms such as sulfur does not prohibit the oxidative cyclization, as was shown for example in the synthesis of 1,2,4-triazolo[3,4-b]-1,3,4-thiadiazole derivatives [9].
In this paper, we describe the intramolecular cyclization of 2-hydrazinylquinolines to 3H-1,2,4-triazolo[4,3-a]quinolin-10-ium compounds mediated by [AuCl4]−. In general, Au(I) is well-known for its application in catalysis, but several transformations mediated by Au(III) have been reported, too [10]. The cyclization of 2-(1-methyl-2-(pyridin-2-ylmethylene)hydrazinyl)quinolone (2) to 3-methyl-1-(pyridin-2-yl)-3H-1,2,4-triazolo[4,3-a]quinolin-10-ium dichloridoaurate(I) (6) was confirmed by means of single-crystal X-ray diffraction analysis, by 1H NMR spectroscopy and by mass spectrometry. We furthermore show by using 1H NMR spectroscopy and mass spectrometry that the cyclization also takes place with other 2-hydrazinylquinolines. Towards this end, three additional related 2-hydrazinylquinolines were synthesized and characterized and were subsequently subjected to an oxidative cyclization.
2 Results and discussion
2.1 Synthesis and general characterization of hydrazones 2–5
The hydrazones 2–5 were synthesized in a condensation reaction from 2-(1-methylhydrazinyl)quinoline (1) and the respective aldehyde in ethanol under closely related conditions (Scheme 1).

Synthesis of hydrazones 2–5 (ethanol, reflux, 2–6 h).
The 1H NMR spectra of the resulting hydrazones (in CDCl3) show the characteristic signals of the methyl group (δ = 3.85 (2), 3.79 (3), 3.80 (4), 3.78 ppm (5)) and the Schiff base proton (δ = 7.83 (2), 7.60 (3), 7.87 (4), 8.10 ppm (5)). The high-resolution mass spectra and the elemental analyses nicely match the calculated ones.
2.2 Structural description of hydrazones 2–5
2.2.1 2-(1-Methyl-2-(pyridin-2-ylmethylene)hydrazinyl)quinoline (2)
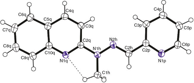
The single-crystal X-ray diffraction analysis of compound 2 revealed that the molecule crystallizes in the monoclinic space group P21/n with Z = 4. As shown in Fig. 1, the molecule is planar, which is not unexpected due to its delocalized π electron system. The nitrogen atom of the quinoline moiety is oriented towards the methyl substituent of the hydrazone, forming a weak C–H···N hydrogen bond (2.740(1) Å, 108°). All bond lengths and angles are in good agreement with typical values for related organic molecules [11].

Molecular structure of 2 in the crystal with the weak intramolecular hydrogen bond. Displacement ellipsoids are drawn at the 50% probability level, H atoms as spheres with arbitrary radii.
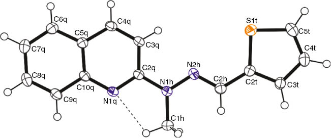
2.2.2 2-(1-Methyl-2-(thiophen-2-ylmethylene)hydrazinyl)quinoline (4)
For compound 4, the X-ray diffraction data revealed that the molecule crystallizes in the monoclinic space group Pc with Z = 2. The molecule is again planar due to the delocalized π electron system (Fig. 2). As in 2, the quinoline nitrogen atom is oriented towards the methyl group because of a hydrogen bonding interaction (2.733(3) Å, 108°) and all interatomic distances and angles agree with the typical values of related organic molecules [11].

Molecular structure of 4 in the crystal with the intramolecular hydrogen bond. Displacement ellipsoids are drawn at the 50% probability level, H atoms as spheres with arbitrary radii.
2.2.3 2-((2-Methyl-2-(quinolin-2-yl)hydrazono)methyl)aniline (5)
The hydrazone 5 crystallizes in the monoclinic space group P21/c with Z = 4. The quinoline nitrogen atom is oriented towards the methyl group, forming a weak hydrogen bond (2.769(2) Å, 106°, Fig. 3). Two additional hydrogen bonds are found in compound 5, namely N1a–H···N1q (3.078(2) Å, 168(1)°, intermolecular) and N1a–H···N2h (2.696(2) Å, 133(2)°, intramolecular). In contrast to 2 and 4, compound 5 is not planar. It rather comprises two planar moieties that are oriented at an angle of 21.87(6)° with respect to each other. Again, all bond lengths and angles agree well with the typical values for related organic molecules [11].

Molecular structure of compound 5 in the crystal with intramolecular hydrogen bonds. Displacement ellipsoids are drawn at the 50% probability level, H atoms as spheres with arbitrary radii.
2.3 Cyclization of compound 2
Reaction of compound 2 with H[AuCl4] yields 3-methyl-1-(pyridin-2-yl)-3H-1,2,4-triazolo[4,3-a]quinolin-10-ium dichloridoaurate(I) (6) in an unprecedented gold(III)-mediated cyclization reaction. The conversion of 2 with chloroauric acid and triethylamine in refluxing ethanol results in a pale yellow solid and involves a reduction of Au(III) to Au(I) (Scheme 2). The formation of product 6 includes a C–H activation of the Schiff base, finally resulting in the oxidative cyclization of the molecule.

Au(III)-mediated cyclization of various hydrazones (R = pyridin-2-yl (2, 6), furan-2-yl (3, 7), thiophen-2-yl (4, 8) or 2-aminophenyl (5, 9)).
The 1H NMR spectrum of 6 (CD3CN) shows a downfield shift of all signals compared to the spectrum of the starting compound 2 (CD3CN). For example, the characteristic resonance of the methyl group shifts by 0.53 ppm from δ = 3.82 to δ = 4.35 ppm. Moreover, the signal of the Schiff base proton of 2 (δ = 7.86 ppm) no longer exists in the spectrum of compound 6. The high-resolution mass spectrum and the elemental analysis data match the calculated values for the cyclized product. As expected, the hydrazone 2 is not converted to 6 under Au(III)-free reaction conditions.
2.4 Structural description of compound 6
The single-crystal X-ray diffraction analysis of compound 6 shows that the salt crystallizes in the monoclinic space group P21/n with Z = 4. Figure 4 shows that the cation consists of two planar aromatic systems, which are rotated with respect to each other at an angle of 45.42(7)°. The interatomic distances and angles are in the expected ranges [11]. The counterion [AuCl2]− is linear (angle: 179.29(3)°) and exhibits two (within standard deviations) identical Au–Cl distances of 2.2552(6) Å and 2.2560(6) Å. There are no aurophilic interactions between neighboring gold(I) ions.

Molecular structure of compound 6 in the crystal. Displacement ellipsoids are drawn at the 50% probability level, H atoms as spheres with arbitrary radii.
2.5 Screening of hydrazones 3–5
After having established the Au(III)-mediated cyclization of compound 2, the scope of this reaction was tested by investigating other 2-hydrazinylquinolines under the same reaction conditions. The resulting 3H-1,2,4-triazolo[4,3-a]quinolin-10-ium compounds were not isolated. Instead, the successful conversion of the respective starting compounds was confirmed by 1H NMR spectroscopy (CD3CN) and high-resolution mass spectrometry. For the screening, 2-(2-(furan-2-ylmethylene)-1-methylhydrazinyl)quinoline (3), 2-(1-methyl-2-(thiophen-2-ylmethylene)hydrazinyl)quinoline (4) and 2-((2-methyl-2-(quinolin-2-yl)hydrazono)methyl)aniline (5) were used (Scheme 2). All compounds contain one methyl group, enabling a 1H NMR-spectroscopic verification of the successful cyclization. The disappearance of the resonance due to the Schiff base hydrogen atom serves as an additional indicator. Moreover, the existence of the signal of the respective 3H-1,2,4-triazolo[4,3-a]quinolin-10-ium cation in the mass spectrum was used to evaluate the success of the cyclization.
In the 1H NMR spectra of the cyclization product of compound 3, i.e. 1-(furan-2-yl)-3-methyl-3H-1,2,4-triazolo[4,3-a]quinolin-10-ium dichloridoaurate(I) (7), the resonance of the methyl group is shifted towards lower field from 3.74 to 4.36 ppm (Δδ = 0.62 ppm). In the case of 3-methyl-1-(thiophen-2-yl)-3H-1,2,4-triazolo[4,3-a]quinolin-10-ium dichloridoaurate(I) (8), representing the cyclization product of compound 4, this downfield shift amounts to 0.58 ppm (from 3.75 to 4.33 ppm). Moreover, the product resulting from the cyclization of compound 5, i.e. 1-(2-aminophenyl)-3-methyl-3H-1,2,4-triazolo[4,3-a]quinolin-10-ium dichloridoaurate(I) (9), features a downfield shift of the methyl resonance of 0.53 ppm (from 3.81 to 4.34 ppm). In all three cases, the signal due to the Schiff base hydrogen atom (3: δ = 7.73 ppm, 4: δ = 8.05 ppm, 5: δ = 8.06 ppm) is lost after the conversion.
The high-resolution mass spectra of 7, 8 and 9 show signals at m/z = 250.0980 (7: calcd. 250.0975), 266.0755 (8: calcd. 266.0746) and 275.1290 (9: calcd. 275.1291), respectively, thereby confirming the successful cyclization. Hence, the Au(III)-mediated cyclization of 2 to 6 is not a single case but represents a general procedure for the synthesis of 1,2,4-triazolo[4,3-a]quinolin-10-ium compounds.
3 Conclusions
We have reported an unprecedented Au(III)-mediated cyclization reaction of 2-hydrazinylquinolines. The cyclization involves a C–H activation of the Schiff base and an oxidation of the quinoline. As a result, a series of 3H-1,2,4-triazolo[4,3-a]quinolin-10-ium cations are formed. For one of the heterocycles, the structure could be confirmed by single-crystal X-ray diffraction analysis. The hydrazones required as starting compounds are easily accessible from 2-(1-methylhydrazinyl)quinoline (1) and an aldehyde. Hence, this Au(III)-mediated cyclisation represents an easy access to a variety of 3H-1,2,4-triazolo[4,3-a]quinolin-10-ium cations.
4 Experimental section
All starting materials were commercially available and used as received without any further purification. The synthesis of compound 1 is described in the literature [12, 13]. The NMR-spectroscopic analyses were performed at 300 K on Bruker Avance (I) 400 and Bruker Avance (III) 400 instruments. For the interpretation of the NMR spectra, the software MestReNova V8.1.4 was used. In assignment of the NMR signals, the same atom numbering scheme was applied as in the description of the molecular structures. ESI-MS spectra were measured on an LTQ Orbitrap XL (Thermo Scientific, Bremen, Germany), and ESI-TOF MS spectra were obtained on the oa-TOF mass spectrometer MicrOTOF (Bruker Daltonik GmbH, Bremen, Germany). The elemental analyses were performed on a Vario EL III CHNS analyzer.
4.1 Synthesis of 2-(1-methyl-2-(pyridin-2-ylmethylene)hydrazinyl)quinoline (2)
Compound 1 (2.12 g, 12.2 mmol) was dissolved in ethanol (50 mL) and 2-pyridinecarboxaldehyde (1.31 g, 1.16 mL, 12.2 mmol) was added. After refluxing for 2 h and cooling, the solid was filtered off. Recrystallization from toluene gave an orange solid (50%, 1.60 g, 6.10 mmol). – 1H NMR (400 MHz, CDCl3): δ = 8.58 (d, 3JH,H = 4 Hz, 1H, H6p), 8.06 (d, 3JH,H = 8 Hz, 1H, H3p), 8.05 (d, 3JH,H = 8 Hz, 1H, H3q), 8.02 (d, 3JH,H = 8 Hz, 1H, H4q), 7.84 (d, 3JH,H = 8 Hz, 1H, H9q), 7.83 (s, 1H, H2h), 7.72 (m, 1H, H4p), 7.69 (d, 3JH,H = 8 Hz, 1H, H6q), 7.60 (m, 1H, H8q), 7.33 (m, 1H, H7q), 7.19 (m, 1H, H5p), 3.85 (s, 3H, H1h) ppm. – 13C NMR (101 MHz, CDCl3): δ = 156.0 (C2q), 155.2 (C2p), 149.2 (C6p), 146.9 (C10q), 137.4 (C4q), 136.3 (C4p), 135.4 (C2h), 129.6 (C8q), 127.4 (C9q), 127.4 (C6q), 124.8 (C5q), 123.7 (C7q), 122.6 (C5p), 119.4 (C3p), 111.4 (C3q), 29.6 (C1h) ppm. – HRMS ((+)-ESI; CHCl3/CH3OH): m/z = 263.1289 (calcd. 263.1297 for [C16H15N4]+). – Analysis for C16H14N4 (%): calcd. C 73.3, H 5.4, N 21.4; found: C 73.4, H 5.3, N 21.4.
4.2 Synthesis of 2-(2-(furan-2-ylmethylene)-1-methylhydrazinyl)quinoline (3)
Compound 1 (429 mg, 2.48 mmol) was dissolved in ethanol (5 mL) and furfural (238 mg, 205 μL, 2.50 mmol) was added. After refluxing for 3 h and cooling, the volume was halved by evaporation and the solid was filtered off. The product was obtained as a yellow solid in 73% yield (457 mg, 1.82 mmol). – 1H NMR (400 MHz, CDCl3): δ = 8.02 (d, 3JH,H = 8 Hz, 1H, H3q), 8.00 (d, 3JH,H = 8 Hz, 1H, H4q), 7.82 (d, 3JH,H = 8 Hz, 1H, H9q), 7.68 (d, 3JH,H = 8 Hz, 1H, H6q), 7.60 (s, 1H, H2h), 7.59 (m, 1H, H8q), 7.50 (m, 1H, H5f), 7.31 (m, 1H, H7q), 6.64 (m, 1H, H3f), 6.49 (m, 1H, H4f), 3.79 (s, 3H, H1h) ppm. – 13C NMR (101 MHz, CDCl3): δ = 156.2 (C2q), 151.7 (C2f), 146.9 (C10q), 142.8 (C5f), 137.4 (C4q), 129.4 (C8q), 127.4 (C6q), 127.2 (C9q), 125.1 (C2h), 124.6 (C5q), 123.4 (C7q), 111.6 (C4f), 111.5 (C3q), 109.0 (C3f), 29.2 (C1h) ppm. – HRMS ((+)-ESI-TOF; CH3OH): m/z = 252.1126 (calcd. 252.1137 for [C15H14N3O]+). – Analysis for C15H13N3O (%): calcd. C 71.7, H 5.2, N 16.7; found: C 71.5, H 5.1, N 16.9.
4.3 Synthesis of 2-(1-methyl-2-(thiophen-2-ylmethylene)hydrazinyl)quinoline (4)
Compound 1 (500 mg, 2.89 mmol) was dissolved in ethanol (5 mL) and 2-thiophenecarboxaldehyde (324 mg, 270 μL, 2.89 mmol) was added. After refluxing for 2 h and cooling, the solid was filtered off. Drying in vacuo gave a yellow solid (70%, 544 mg, 2.03 mmol). – 1H NMR (400 MHz, CDCl3): δ = 8.00 (m, 2H, H3q, H4q), 7.87 (s, 1H, H2h), 7.82 (d, 3JH,H = 8 Hz, 1H, H9q), 7.68 (d, 3JH,H = 8 Hz, 1H, H6q), 7.59 (t, 3JH,H = 8 Hz, 1H, H8q), 7.32 (t, 3JH,H = 8 Hz, 1H, H7q), 7.28 (d, 3JH,H = 4 Hz, 1H, H5t), 7.19 (d, 3JH,H = 4 Hz, 1H, H3t), 7.05 (t, 3JH,H = 4 Hz, 1H, H4t), 3.80 (s, 3H, H1h) ppm. – 13C NMR (101 MHz, CDCl3): δ = 156.0 (C2q), 146.9 (C10q), 141.9 (C2t), 137.4 (C4q), 129.4 (C8q), 129.4 (C2h), 127.4 (C6q), 127.4 (C4t), 127.2 (C9q), 126.7 (C3t), 125.6 (C5t), 124.6 (C5q), 123.3 (C7q), 111.5 (C3q), 29.4 (C1h) ppm. HRMS ((+)-ESI-TOF; CH3OH): m/z = 268.0906 (calcd. 268.0908 for [C15H14N3S]+). – Analysis for C15H13N3S (%): calcd. C 67.4, H 4.9, N 15.7; found: C 67.2, H 4.8, N 15.7.
4.4 Synthesis of 2-((2-methyl-2-(quinolin-2-yl)hydrazono)methyl)aniline (5)
2-Aminobenzaldehyde (385 mg, 3.18 mmol) was dissolved in ethanol (5 mL) at –78°C. Compound 1 (661 mg, 3.82 mmol) was dissolved in ethanol (5 mL) and the solution added at –78°C. The reaction mixture was stirred, warmed slowly to room temperature and refluxed for 6 h. The suspension was filtered and the pale yellow solid was dried in vacuo. The product was obtained in 55% yield (483 mg, 1.75 mmol). – 1H NMR (400 MHz, CDCl3): δ = 8.20 (d, 3JH,H = 8 Hz, 1H, H4q), 8.10 (s, 1H, H2h), 7.79 (d, 3JH,H = 8 Hz, 1H, H6q), 7.73 (d, 3JH,H = 8 Hz, 1H, H9q), 7.68 (d, 3JH,H = 8 Hz, 1H, H3q), 7.62 (t, 3JH,H = 8 Hz, 1H, H8q), 7.42 (d, 3JH,H = 8 Hz, 1H, H3a), 7.32 (t, 3JH,H = 8 Hz, 1H, H7q), 7.08 (t, 3JH,H = 8 Hz, 1H, H5a), 6.80 (d, 3JH,H = 8 Hz, 1H, H6a), 6.63 (t, 3JH,H = 8 Hz, 1H, H4a), 6.43 (s, 2H, H1a), 3.78 (s, 3H, H1h) ppm. – 13C NMR (101 MHz, CDCl3): δ = 155.5 (C2q), 146.5 (C10q), 146.4 (C1a), 140.1 (C2h), 137.8 (C4q), 130.8 (C3a), 129.7 (C8q), 129.1 (C5a), 127.5 (C6q), 126.5 (C9q), 123.8 (C5q), 123.0 (C7q), 117.0 (C2a), 115.6 (C4a), 115.4 (C6a), 110.2 (C3q), 29.1 (C1h) ppm. – HRMS ((+)-ESI-TOF; CH3OH): m/z = 277.1450 (calcd. 277.1453 for [C17H17N4]+). – Analysis for C17H16N4 (%): calcd. C 73.9, H 5.8, N 20.3; found: C 73.9, H 5.8, N 20.3.
4.5 Synthesis of 3-methyl-1-(pyridin-2-yl)-3H-1,2,4-triazolo[4,3-a]quinolin-10-ium dichloridoaurate(I) (6)
The hydrazone 2 (77 mg, 0.29 mmol) was suspended in ethanol (15 mL) and triethylamine (30 mg, 40 μL, 0.30 mmol) was added. A solution of H[AuCl4] · 3H2O (100 mg, 0.254 mmol) in ethanol (7.5 mL) was added and refluxed for 24 h. The pale yellow precipitate was filtered off, washed with ethanol (3 × 0.5 mL) and dried. The filtrate was left at room temperature for slow evaporation. After a few days, pale yellow crystals were obtained. The product was obtained in an overall yield of 52% (70 mg, 0.13 mmol). – 1H NMR (400 MHz, CD3CN): δ = 8.91 (d, 3JH,H = 8 Hz, 1H, H6p), 8.55 (d, 3JH,H = 8 Hz, 1H, H4q), 8.22 (d, 3JH,H = 8 Hz, 1H, H6q), 8.19 (t, 3JH,H = 8 Hz, 1H, H4p), 7.99 (d, 3JH,H = 8 Hz, 1H, H3p), 7.96 (d, 3JH,H = 8 Hz, 1H, H3q), 7.83 (t, 3JH,H = 8 Hz, 1H, H7q), 7.81 (t, 3JH,H = 8 Hz, 1H, H5p), 7.75 (t, 3JH,H = 8 Hz, 1H, H8q), 7.67 (d, 3JH,H = 8 Hz, 1H, H9q), 4.35 (s, 3H, H1h) ppm. – 13C NMR (101 MHz, CD3CN): δ = 151.9 (C6p), 148.0 (C2h), 145.8 (C2p), 145.5 (C2q), 141.2 (C4q), 139.7 (C4p), 133.6 (C8q), 131.8 (C6q), 131.5 (C10q), 130.2 (C7q), 128.3 (C5p), 127.9 (C3p), 125.6 (C5q), 119.3 (C9q), 108.5 (C3q), 38.3 (C1h) ppm. – 15N NMR (41 MHz, CD3CN): δ = 299.6 (N2h), 190.6 (N1h), 183.1 (N1q) ppm. – HRMS ((+)-ESI-TOF; CH3OH): m/z = 261.1134 (calcd. 261.1140 for [C16H13N4]+). – Analysis for C16H13AuCl2N4 (%): calcd. C 36.3, H 2.5, N 10.6; found: C 36.2, H 2.5, N 10.6.
4.6 Screening of hydrazones 7–9
The respective hydrazone (3–5) (0.30 mmol) was suspended in ethanol (15 mL), and triethylamine (30 mg, 40 μL, 0.30 mmol) was added. A solution of H[AuCl4] · 3H2O (100 mg, 0.254 mmol) in ethanol (7.5 mL) was added and the reaction mixture was refluxed for 24 h. The pale yellow precipitation was filtered off, washed with ethanol (3 × 0.5 mL) and dried. The solid was analyzed by 1H NMR spectroscopy and high-resolution mass spectrometry.
4.6.1 1-(Furan-2-yl)-3-methyl-3H-1,2,4-triazolo[4,3-a]quinolin-10-ium dichloridoaurate(I) (7)
1H NMR (400 MHz, CD3CN): δ = 8.60 (d, 3JH,H = 10 Hz, 1H), 8.26 (d, 3JH,H = 8 Hz, 1H), 8.08 – 8.04 (m, 2H), 7.91 – 7.85 (m, 2H), 7.44 (d, 3JH,H = 8 Hz, 1H), 7.31 (d, 3JH,H = 4 Hz, 1H), 6.92 – 6.90 (m, 1H), 4.36 (s, 3H) ppm. – HRMS ((+)-ESI-TOF; CH3OH): m/z = 250.0980 ([C15H12N3O]+, calcd. 250.0975).
4.6.2 3-Methyl-1-(thiophen-2-yl)-3H-1,2,4-triazolo[4,3-a]quinolin-10-ium dichloridoaurate(I) (8)
1H NMR (400 MHz, CD3CN): δ = 8.54 (d, 3JH,H = 10 Hz, 1H), 8.23 (d, 3JH,H = 8 Hz, 1H), 8.05 (d, 3JH,H = 6 Hz, 1H), 7.95 (d, 3JH,H = 10 Hz, 1H), 7.85 – 7.76 (m, 2H), 7.73 (d, 3JH,H = 4 Hz, 1H), 6.67 (d, 3JH,H = 8 Hz, 1H), 7.45 – 7.44 (m, 1H), 4.33 (s, 3H) ppm. – HRMS ((+)-ESI-TOF; CH3OH): m/z = 266.0755 ([C15H12N3S]+, calcd. 266.0752).
4.6.3 1-(2-Aminophenyl)-3-methyl-3H-1,2,4-triazolo[4,3-a]quinolin-10-ium dichloridoaurate(I) (9)
1H NMR (400 MHz, CD3CN): δ = 8.51 (d, 3JH,H = 8 Hz, 1H), 8.20 (d, 3JH,H = 8 Hz, 1H), 7.96 (d, 3JH,H = 10 Hz, 1H), 7.82 – 7.78 (m, 2H), 7.75 (d, 3JH,H = 4 Hz, 1H), 7.54 (t, 3JH,H = 6 Hz, 1H), 7.35 (d, 3JH,H = 8 Hz, 1H), 6.99 (d, 3JH,H = 6 Hz, 1H), 6.93 (t, 3JH,H = 8 Hz, 1H), 4.34 (s, 3H) ppm. – HRMS ((+)-ESI; CH3OH): m/z = 275.1290 (calcd. 275.1291 for [C17H15N4]+).
4.7 Crystal structure determinations
Single-crystal X-ray diffraction data were collected with graphite-monochromated MoKα radiation (λ = 0.71073 Å) on a Bruker Quazar diffractometer (2 and 6) and a Bruker D8 Venture diffractometer (4 and 5). The structures were solved by Direct Methods and refined by full-matrix least-squares on F2 by using the Shelxtl and Shelxl-97 programs [14]. Relevant crystallographic data are listed in Table 1.
Crystallographic data and data collection and refinement details for compound 2 and 4–6.
| 2 | 4 | 5 | 6 | |
|---|---|---|---|---|
| Empirical formula | C16H14N4 | C15H13N3S | C17H16N4 | C16H13AuCl2N4 |
| Formula weight | 262.31 | 267.34 | 276.34 | 529.17 |
| Crystal system | monoclinic | monoclinic | monoclinic | monoclinic |
| Space group | P21/n | Pc | P21/c | P21/n |
| a, Å | 4.8772(2) | 14.9394(8) | 10.9227(5) | 7.7088(2) |
| b, Å | 21.835(1) | 3.9787(2) | 8.8828(4) | 14.4171(4) |
| c, Å | 12.1652(6) | 11.2090(6) | 14.1507(6) | 14.9632(4) |
| β, deg | 93.257(1) | 107.882(2) | 94.641(1) | 102.116(1) |
| V, Å3 | 1293.4(1) | 634.07(6) | 1368.5(2) | 1625.94(8) |
| Z | 4 | 2 | 4 | 4 |
| ρcalcd, g cm−3 | 1.35 | 1.40 | 1.34 | 2.16 |
| μ(MoKα), mm−1 | 0.1 | 0.2 | 0.1 | 9.4 |
| Crystal size, mm3 | 0.13 × 0.17 × 0.18 | 0.15 × 0.23 × 0.34 | 0.06 × 0.24 × 0.26 | 0.08 × 0.19 × 0.42 |
| Temperature (K) | 153(2) | 153(2) | 100(2) | 152(2) |
| θ range, deg | 3.26–28.69 | 2.87–30.05 | 2.71–28.36 | 3.12–30.03 |
| hkl range | –5:6, –29:28, –15:16 | –21:20, –5:5, –15:15 | –14:14, –11:11, –18:18 | –10:10, –20:20, –21:21 |
| Total/unique data/Rint | 9559/3308/0.023 | 6163/3213/0.018 | 18626/3401/0.037 | 27588/4737/0.046 |
| Observed data [I > 2 σ(I)] | 2633 | 3110 | 2524 | 4479 |
| Nref/Npar | 3308/182 | 3213/173 | 3401/197 | 4737/209 |
| R1/wR2 [I > 2 σ(I)]a | 0.0454/0.1208 | 0.0308/0.0787 | 0.0437/0.1104 | 0.0195/0.0494 |
| R1/wR2 (all data)a | 0.0575/0.1296 | 0.0321/0.0795 | 0.0660/0.1212 | 0.0210/0.0501 |
| x(Flack) | – | –0.03(3) | – | – |
| S | 1.048 | 1.104 | 1.046 | 1.056 |
| Min./max. residual density, e Å−3 | 0.29/–0.20 | 0.23/–0.28 | 0.33/–0.22 | 1.5/–1.3 |
aR1 = Σ||Fo| – |Fc||/Σ|Fo|; wR2 = [Σw(Fo2 – Fc2)2/Σw(Fo2)2]1/2.
CCDC 1446274 (2), 1446275 (4), 1446276 (5) and 1446277 (6) contain the supplementary crystallographic data for this paper. These data can be obtained free of charge from The Cambridge Crystallographic Data Centre via www.ccdc.cam.ac.uk/data_request/cif.
Dedicated to: Professor Wolfgang Jeitschko on the occasion of his 80th birthday.
References
[1] A. K. Sadana, Y. Mirza, K. R. Aneja, O. Prakash, Eur. J. Med. Chem.2003, 38, 533.10.1016/S0223-5234(03)00061-8Search in Google Scholar
[2] Z. Arghiani, S. M. Seyedi, M. Bakavoli, H. Eshghi, J. Heterocycl. Chem.2015, 52, 1099.10.1002/jhet.2207Search in Google Scholar
[3] G. Jones, Adv. Heterocycl. Chem.2002, 83, 1.10.1016/S0065-2725(02)83003-3Search in Google Scholar
[4] O. R. Thiel, M. M. Achmatowicz, A. Reichelt, R. D. Larsen, Angew. Chem. Int. Ed.2010, 49, 8395.10.1002/anie.201001999Search in Google Scholar PubMed
[5] O. R. Thiel, M. M. Achmatowicz, Org. Synth.2013, 90, 287.10.15227/orgsyn.090.0287Search in Google Scholar
[6] R. Srinivasan, J. Sembian Ruso, N. S. Nagarajan, R. Senthil Kumaran, G. Manickam, J. Heterocycl. Chem.2015; DOI: 10.1002/jhet.2331.10.1002/jhet.2331Search in Google Scholar
[7] R. Kuhn, W. Münzing, Chem. Ber.1952, 85, 29.10.1002/cber.19520850107Search in Google Scholar
[8] E. Gunic, I. Tabakovic, J. Org. Chem.1988, 53, 5081.10.1021/jo00256a033Search in Google Scholar
[9] A. R. Sayed, Tetrahedron Lett.2010, 51, 4490.10.1016/j.tetlet.2010.06.060Search in Google Scholar
[10] H. Schmidbaur, A. Schier, Arab. J. Sci. Eng.2012, 37, 1187.10.1007/s13369-012-0313-3Search in Google Scholar
[11] F. H. Allen, O. Kennard, D. G. Watson, L. Brammer, A. G. Orpen, R. Taylor, J. Chem. Soc., Perkin Trans. II1987, S1.10.1039/p298700000s1Search in Google Scholar
[12] A. Kotschy, G. Hajós, A. Messmer, G. Jones, Tetrahedron1996, 52, 1399.10.1016/0040-4020(95)00966-3Search in Google Scholar
[13] C. Radunsky, J. Kösters, M. C. Letzel, S. Yogendra, C. Schwickert, S. Manck, B. Sarkar, R. Pöttgen, J. J. Weigand, J. Neugebauer, J. Müller, Eur. J. Inorg. Chem.2015, 4006.10.1002/ejic.201500556Search in Google Scholar
[14] G. M. Sheldrick, Acta Crystallogr.2008, A64, 112.10.1107/S0108767307043930Search in Google Scholar PubMed
©2016 by De Gruyter
Articles in the same Issue
- Frontmatter
- In this Issue
- Preface
- Congratulations to Wolfgang Jeitschko
- Review
- Prediction and clarification of structures of (bio)molecules on surfaces
- NaGe6As6: Insertion of sodium into the layered semiconductor germanium arsenide GeAs
- Synthesis, structures, and properties of Mn(II) and Cd(II) thiocyanato coordination compounds with 2,5-dimethylpyrazine as co-ligand
- Synthesis, structure and electronic configuration of [Rh6Te8(PPh3)6]·4C6H6
- Room temperature synthesis, crystal structure and selected properties of the new compound [Mn2(bipy)4SbS4](ClO4)
- The isotypic family of the diarsenates MM′As2O7 (M = Sr, Ba; M′ = Cd, Hg)
- RE3Au5Zn (RE = Y, Sm, Gd–Ho) – A new structure type with five- and six-membered rings as building units in a gold network
- Influence of hydrogenation and mechanical grinding on the structural and ferromagnetic properties of GdFeSi
- Two new ternary chalcogenides Ba2ZnQ3 (Q = Se, Te) with chains of ZnQ4 tetrahedra: syntheses, crystal structure, and optical and electronic properties
- Neutron powder diffraction and theory-aided structure refinement of rubidium and cesium ureate
- High-pressure investigations of lanthanoid oxoarsenates: I. Single crystals of scheelite-type Ln[AsO4] phases with Ln = La–Nd from monazite-type precursors
- Bi2Fe4O9: Structural changes from nano- to micro-crystalline state
- New transition metal oxide fluorides with ReO3-type structure
- Synthesis, photophysical characterization and DFT studies on fluorine-free deep-blue emitting Pt(II) complexes
- Structural studies of CaAl12O19, SrAl12O19, La2/3+δ Al12–δO19, and CaAl10NiTiO19 with the hibonite structure; indications of an unusual type of ferroelectricity
- Synthesis and crystal structure of new K and Rb selenido/tellurido ferrate cluster compounds
- Crystal structures and hydrogenation properties of palladium-rich compounds with elements from groups 12–16
- Hydroalumination and hydrogallation of an aryl-chloro-dialkynylsilane: Si–Cl bond activation by intramolecular Al–Cl and Ga–Cl interactions
- V18P9C2: a complex phosphide carbide
- Gold(III)-mediated cyclization of 2-hydrazinylquinolines
- RE2B8O15 (RE = La, Pr, Nd) – syntheses of three new rare earth borates isotypic to Ce2B8O15
- Substitution of W5+ in monophosphate tungsten bronzes by combinations Mn+/W6+
- On new ternary equiatomic scandium transition metal aluminum compounds ScTAl with T = Cr, Ru, Ag, Re, Pt, and Au
- Triangular Zn3 and Ga3 units in Sr2Au6Zn3, Eu2Au6Zn3, Sr2Au6Ga3, and Eu2Au6Ga3 – structure, magnetism, 151Eu Mössbauer and 69;71Ga solid state NMR spectroscopy
- The crystal structure of Cs2S2O3·H2O
- Trigermanides AEGe3 (AE = Ca, Sr, Ba): chemical bonding and superconductivity
- The coloring problem in the solid-state metal boride carbide ScB2C2: a theoretical analysis
- Synthesis and structure determinantion of the first lead arsenide phosphide Pb2AsxP14–x (x ~ 3.7)
- The new barium compound Ba4Al7+x: formation and crystal structure
Articles in the same Issue
- Frontmatter
- In this Issue
- Preface
- Congratulations to Wolfgang Jeitschko
- Review
- Prediction and clarification of structures of (bio)molecules on surfaces
- NaGe6As6: Insertion of sodium into the layered semiconductor germanium arsenide GeAs
- Synthesis, structures, and properties of Mn(II) and Cd(II) thiocyanato coordination compounds with 2,5-dimethylpyrazine as co-ligand
- Synthesis, structure and electronic configuration of [Rh6Te8(PPh3)6]·4C6H6
- Room temperature synthesis, crystal structure and selected properties of the new compound [Mn2(bipy)4SbS4](ClO4)
- The isotypic family of the diarsenates MM′As2O7 (M = Sr, Ba; M′ = Cd, Hg)
- RE3Au5Zn (RE = Y, Sm, Gd–Ho) – A new structure type with five- and six-membered rings as building units in a gold network
- Influence of hydrogenation and mechanical grinding on the structural and ferromagnetic properties of GdFeSi
- Two new ternary chalcogenides Ba2ZnQ3 (Q = Se, Te) with chains of ZnQ4 tetrahedra: syntheses, crystal structure, and optical and electronic properties
- Neutron powder diffraction and theory-aided structure refinement of rubidium and cesium ureate
- High-pressure investigations of lanthanoid oxoarsenates: I. Single crystals of scheelite-type Ln[AsO4] phases with Ln = La–Nd from monazite-type precursors
- Bi2Fe4O9: Structural changes from nano- to micro-crystalline state
- New transition metal oxide fluorides with ReO3-type structure
- Synthesis, photophysical characterization and DFT studies on fluorine-free deep-blue emitting Pt(II) complexes
- Structural studies of CaAl12O19, SrAl12O19, La2/3+δ Al12–δO19, and CaAl10NiTiO19 with the hibonite structure; indications of an unusual type of ferroelectricity
- Synthesis and crystal structure of new K and Rb selenido/tellurido ferrate cluster compounds
- Crystal structures and hydrogenation properties of palladium-rich compounds with elements from groups 12–16
- Hydroalumination and hydrogallation of an aryl-chloro-dialkynylsilane: Si–Cl bond activation by intramolecular Al–Cl and Ga–Cl interactions
- V18P9C2: a complex phosphide carbide
- Gold(III)-mediated cyclization of 2-hydrazinylquinolines
- RE2B8O15 (RE = La, Pr, Nd) – syntheses of three new rare earth borates isotypic to Ce2B8O15
- Substitution of W5+ in monophosphate tungsten bronzes by combinations Mn+/W6+
- On new ternary equiatomic scandium transition metal aluminum compounds ScTAl with T = Cr, Ru, Ag, Re, Pt, and Au
- Triangular Zn3 and Ga3 units in Sr2Au6Zn3, Eu2Au6Zn3, Sr2Au6Ga3, and Eu2Au6Ga3 – structure, magnetism, 151Eu Mössbauer and 69;71Ga solid state NMR spectroscopy
- The crystal structure of Cs2S2O3·H2O
- Trigermanides AEGe3 (AE = Ca, Sr, Ba): chemical bonding and superconductivity
- The coloring problem in the solid-state metal boride carbide ScB2C2: a theoretical analysis
- Synthesis and structure determinantion of the first lead arsenide phosphide Pb2AsxP14–x (x ~ 3.7)
- The new barium compound Ba4Al7+x: formation and crystal structure