Triangular Zn3 and Ga3 units in Sr2Au6Zn3, Eu2Au6Zn3, Sr2Au6Ga3, and Eu2Au6Ga3 – structure, magnetism, 151Eu Mössbauer and 69;71Ga solid state NMR spectroscopy
Abstract
The gold-rich intermetallic compounds Sr2Au6Zn3, Eu2Au6Zn3, Sr2Au6Ga3, and Eu2Au6Ga3 were synthesized from the elements in sealed tantalum ampoules in induction or muffle furnaces. The europium compounds are reported for the first time and their structures were refined from single crystal X-ray diffractometer data: Sr2Au6Zn3 type, R3̅c, a = 837.7(1), c = 2184.5(4) pm, wR2 = 0.0293, 572 F2 values for Eu2Au6.04Zn2.96 and a = 838.1(2), c = 2191.7(5) pm, wR2 = 0.0443, 513 F2 values for Eu2Au6.07Ga2.93 with 20 variables per refinement. The structures consist of a three-dimensional gold network with a 6R stacking sequence, similar to the respective diamond polytype. The cavities of the network are filled in a ratio of 2:1 by strontium (europium) atoms and Ga3 (Zn3) triangles in an ordered manner. Sr2Au6Zn3 and Sr2Au6Ga3 are diamagnetic with room temperature susceptibilities of –3.5 × 10−4 emu mol–1. Temperature dependent susceptibility and 151Eu Mössbauer spectroscopic measurements show a stable divalent ground state for both europium compounds. Eu2Au6Zn3 and Eu2Au6Ga3 order antiferromagnetically below Néel temperatures of 16.3 and 12.1 K, respectively. Anisotropic electrical conductivity of Sr2Au6Ga3 is proven by an alignment of the crystallites in the magnetic field. Orientation-dependent 69;71Ga NMR experiments combined with quantum mechanical calculations (QM) give evidence for a highly anisotropic charge distribution of the Ga atoms.
1 Introduction
Triangular moieties of the triels Al, Ga, and In are a rare structural motif in molecular and solid state materials. Typical examples for molecular compounds are the radical (tBu3Si)4Al3˙ [1] with a slightly distorted triangle and Al–Al distances of 270, 274, and 278 pm as well as the gallanyl (SitBu3)4Ga3˙ [2], which shows a strongly distorted Ga3 triangle with Ga–Ga distances of 253 and 288 pm and thus Ga–Ga–Ga bond angles strongly differing from the ideal value of 60°. Further interesting examples are the Al3Na2 cluster (252 pm Al–Al) in Na2[(AlAr)3] (Ar = C6H3-2,6-Ph2) [3] and the cyclogallane K2[(Mes2C6H3)Ga]3 (242–243 pm Ga–Ga) [4]. Theoretical calculations along with experimental data clearly point to well-defined metalloaromatic systems for both the cycloaluminene and the cyclogallene. Recent high-level ab initio studies on the Al3– cluster anion [5] manifested the aromatic character.
Besides the molecular compounds, gallium triangles have repeatedly been observed in binary alkaline earth and rare earth gallides as a substitution on the cation position, leading to solid solutions Ca1–xGa2+3x (0.069 ≤ x ≤ 0.135 at 750 °C [6–9]), Sr1–xGa2+3x (0 ≤ x ≤ 0.056 at 400 °C) [10], Eu1–xGa2+3x [11], and Yb1–xGa2+3x (xmax = 0.18) [12]. Single crystal diffraction data along with 69;71Ga solid state NMR spectroscopic studies showed disorder of the Ga3 triangles. Similar structural behavior was observed for Ca3–xGa8+3x (x = 0.281) [6], Sr3–xGa8+3x (x = 0.15) [13], and Eu3–xGa8+3x (x = 0.15) [14].
A peculiar structural family of ternary intermetallics shows triangles of aluminum, gallium, indium, zinc, cadmium, and tin (called X in the following discussion) [15–24]. These structures show silver or gold substructures that derive from the diamond polytypes [25] and the cavities between the puckered hexagons are filled in an ordered manner by alkaline earth (or europium) atoms and the X3 triangles. Members have been observed for the compositions An–1Au2n(X3) (2 ≤ n ≤ 5) and the corresponding structure types are Ca3Au8Ga3 [16], Sr2Au6Zn3 (two modifications) [18, 19], SrAu5Al2 [20] and Ca4Au10Zn3 [23]. The only member with silver (and the first compound within this structural family) is BaAg4Al3 [15]. It is remarkable, that these structures are further examples for the rich structural chemistry of gold-rich intermetallics [26]. All these structures are superstructure variants that derive from the aristotype AlB2 [27] and they are related by a group-subgroup scheme, summarized in Fig. 1 in the Bärnighausen formalism [28–32]. The systematization of the different structure types is well documented in [21, 33]. The formation of X3 triangles is not restricted to structures with a diamond polytype substructure. Cd3 and Al3 triangles have recently been observed in the series of RE10TCd3 (RE = Y, Tb–Tm, Lu; T = Fe, Co, Ni, Ru, Rh, Pd) cadmium intermetallics [34, 35] and Er10Co1+xAl3–x (x = 0.30) [36] which crystallize with ternary ordered versions of the Co2Al5 type. The aluminide Tb2Al3Ge3 [37] is a further example for Al3 triangles, and the recently synthesized silicide Li2IrSi3 [38] contains distorted Si3 triangles with Si–Si distances of 244–258 pm. A general structural feature of all phases is the possibility of a partial mixed occupancy of the X3 triangle with transition metal atoms.
![Fig. 1: Group-subgroup relationship for the ternary structure types Ca3Au8Ga3, Sr2Au6Zn3 (two modifications), BaAg4Al3, SrAu5Al2 and Ca4Au10Zn3, starting with the aristotype AlB2. The indices for the klassengleiche (k), translationengleiche (t) and isomorphic (i) symmetry reductions and the unit cell transformations are given. Note that the monoclinic structure of Sr2Au6Zn3 [19] was not refined in the standard setting in the original work.](/document/doi/10.1515/znb-2016-0033/asset/graphic/j_znb-2016-0033_fig_001.jpg)
Group-subgroup relationship for the ternary structure types Ca3Au8Ga3, Sr2Au6Zn3 (two modifications), BaAg4Al3, SrAu5Al2 and Ca4Au10Zn3, starting with the aristotype AlB2. The indices for the klassengleiche (k), translationengleiche (t) and isomorphic (i) symmetry reductions and the unit cell transformations are given. Note that the monoclinic structure of Sr2Au6Zn3 [19] was not refined in the standard setting in the original work.
In continuation of our systematic phase analytical studies of intermetallics with triangular X3 units we now obtained the europium containing phases Eu2Au6Zn3 and Eu2Au6Ga3. Herein we report on their crystal structures, their magnetic properties and a 151Eu Mössbauer spectroscopic study. The second focus of this contribution concerns the 69;71Ga solid state NMR spectroscopic characterization of Sr2Au6Ga3, which is the first intermetallic compound showing exclusively isolated Ga3 triangles. This makes the compound very suitable for NMR spectroscopic investigations of this structural motif, as no additional contributions from other Ga environments are expected to superimpose the desired signal.
2 Experimental
2.1 Synthesis
Starting materials for the syntheses of Sr2Au6Zn3, Eu2Au6Zn3, Sr2Au6Ga3 and Eu2Au6Ga3 were sublimed ingots of strontium (Aldrich, >99 %), europium pieces (Alfa Aesar, >99.9 %), pieces of a gold bar (Heraeus, >99.9 %), zinc granules (Merck, >99.9 %) and gallium lumps (Johnson Matthey, >99.9 %). Suitable pieces of strontium were prepared under paraffin oil (the oxidized cusp was removed mechanically), washed with n-hexane and kept in Schlenk tubes under argon prior to the reactions. Europium pieces were arc-melted [39] to buttons under argon and kept in Schlenk tubes. Argon was purified with titanium sponge (900 K), silica gel, and molecular sieves. The elements were then weighed in the ideal atomic ratio of 2:6:3 and arc-welded in small tantalum tubes under an argon pressure of ca. 800 mbar. The filled containers were subsequently placed in water-cooled sample chambers of induction furnaces (Hüttinger Elektronik, Freiburg, Germany, Typ TIG 2.5/300 or Kontron Rotomelt) [40, 41].
The annealing sequence (Hüttinger furnace) for the Sr2Au6Ga3 and Eu2Au6Zn3 samples was rapid heating to 1273 K, keeping this temperature for 3 min and subsequent cooling to 873 K at a rate of 40 K h–1. The samples were kept at 873 K for another 2 h followed by quenching through switching off the power supply of the furnace. The temperature was controlled by a Sensor Therm Methis MS09 pyrometer with an accuracy of ±30 K. The Eu2Au6Ga3 sample was annealed in the Kontron furnace: (i) rapid heating to 1300 K, (ii) 10 min at 1300 K, (iii) cooling to ambient temperature at a rate of ca. 35 K min–1.
For phase-pure synthesis, the Eu2Au6Zn3 sample was crushed, cold-pressed to a pellet and annealed for 5 d at 773 K in a sealed evacuated silica tube. The Sr2Au6Zn3 sample used for the susceptibility measurements was synthesized with the annealing sequence given in [18].
All four samples could mechanically be separated from the crucible material. There was no visible attack of the container material. The samples showed metallic luster and were stable in air over weeks.
2.2 X-ray diffraction
The purity of the polycrystalline Sr2Au6Zn3, Eu2Au6Zn3, Sr2Au6Ga3, and Eu2Au6Ga3 samples was characterized by X-ray powder diffraction using the Guinier technique: Enraf-Nonius camera, type FR 552, imaging plate detector, Fujifilm BAS-1800, CuKα1 radiation, and α-quartz (a = 491.30, c = 540.46 pm) as an internal standard. The lattice parameters (Table 1) were calculated by a least-squares routine and the correct indexing was ensured through a comparison with calculated patterns [42].
Guinier powder data of the investigated A2Au6X3 (A = Sr, Eu; X = Zn, Ga) samples.
| Compound | a (pm) | c (pm) | V (nm3) |
|---|---|---|---|
| Sr2Au6Zn3 | 841.6(2) | 2191.5(6) | 1.3444 |
| Eu2Au6Zn3 | 837.7(1) | 2184.5(4) | 1.3274 |
| Sr2Au6Ga3 | 841.9(2) | 2191.1(6) | 1.3449 |
| Eu2Au6Ga3 | 838.1(2) | 2191.7(5) | 1.3333 |
Standard deviations are given in parentheses.
Small irregularly shaped single crystals of Eu2Au6Zn3 and Eu2Au6Ga3 were selected from the crushed samples and glued to thin quartz fibers using bees wax. The crystals were studied on a Buerger camera (using white Mo radiation) to check their quality. Intensity data of Eu2Au6Ga3 were collected at room temperature on a Stoe IPDS-II image plate system (graphite monochromatized Mo radiation; λ = 71.073 pm) in oscillation mode. A numerical absorption correction was applied to the data set. The Eu2Au6Zn3 data set was measured on a Stoe StadiVari diffractometer equipped with a Mo micro focus source and a Pilatus detection system. Due to a Gaussian-shaped profile of the X-ray source scaling was applied along with a numerical absorption correction. Details of the data collections and the crystallographic parameters are summarized in Table 2.
Crystal data and structure refinement for Eu2Au6.04Zn2.96 and Eu2Au6.07Ga2.93, space group R3̅c, Z = 6.
| Empirical formula | Eu2Au6.04(1)Zn2.96(1) | Eu2Au6.07(2)Ga2.93(2) |
| Formula weight, g mol–1 | 1687.53 | 1703.88 |
| Crystal size, μm3 | 30 × 30 × 40 | 35 × 55 × 65 |
| Diffractometer type | StadiVari | IPDS-II |
| Wave length, pm | 71.073 (MoKα) | 71.073 (MoKα) |
| Unit cell dimensions (Guinier powder data) | ||
| a, pm | 837.7(1) | 838.1(2) |
| c, pm | 2184.5(4) | 2191.7(5) |
| Cell volume, nm3 | 1.3276 | 1.3333 |
| Calculated density, g cm–3 | 12.66 | 12.73 |
| Detector distance, mm | 60 | 80 |
| Transm. ratio (max/min) | – | 0.090/0.021 |
| Exposure time, sec | 30 | 360 |
| Integr. param. (A/B/EMS) | 7.6/–6.6/0.015 | 12.8/2.7/0.013 |
| Absorption coefficient, mm–1 | 121.4 | 122.3 |
| F(000), e | 4153 | 4178 |
| θ range for data collection, deg | 3–33 | 3–32 |
| Range in hkl | ±12, ±12, ±33 | ±12, ±12, ±32 |
| Total no. reflections | 10745 | 5081 |
| Independent reflections/Rint | 572/0.0582 | 513/0.0596 |
| Reflections with I > 2 σ(I)/Rσ | 531/0.0168 | 482/0.0238 |
| Data/parameters | 572/20 | 513/20 |
| Goodness-of-fit on F2 | 1.012 | 1.210 |
| R1/wR2 for I > 2 σ(I) | 0.0144/0.0290 | 0.0209/0.0435 |
| R1/wR2 (all data) | 0.0169/0.0293 | 0.0239/0.0443 |
| Extinction coefficient | 0.00042(1) | 0.00058(3) |
| Largest diff. peak/hole, e Å−3 | 1.39/–1.02 | 3.40/–1.99 |
2.3 Structure refinements
Isotypism of Eu2Au6Zn3 and Eu2Au6Ga3 with the corresponding strontium compounds [18] was already evident from the Guinier powder patterns. The systematic extinctions were compatible with space group R3̅c. The atomic positions of the strontium compounds were taken as starting values and both structures were refined using Shelxl-97 [43] (full-matrix least-squares on F2) with anisotropic atomic displacement parameters for all atoms. Refinement of the occupancy parameters revealed a small degree of Au/Zn, respectively Au/Ga mixing for the 18e sites, as previously observed also for Sr2Au6.52Zn2.48 [18] and Sr2Au6.18Al2.82 [20]. These mixed occupancies were refined as an additional variable in the final cycles. The last difference Fourier syntheses revealed no residual peaks. The refined atomic positions, displacement parameters, and interatomic distances are given in Tables 3 and 4.
Refined atomic positions and isotropic displacement parameters (pm2) of Eu2Au6.04Zn2.96 and Eu2Au6.07Ga2.93, space group R3̅c. Ueq is defined as one third of the trace of the orthogonalized Uij tensor.
| Atom | Wyck. Pos. | x | y | z | Ueq |
|---|---|---|---|---|---|
| Eu2Au6.04(1)Zn2.96(1) | |||||
| Eu | 12c | 0 | 0 | 0.09259(2) | 183(1) |
| Au | 36f | 0.36977(2) | 0.35762(3) | 0.14993(1) | 176(1) |
| Zna | 18e | 0.19337(9) | x | 1/4 | 179(3) |
| Eu2Au6.07(2)Ga2.93(2) | |||||
| Eu | 12c | 0 | 0 | 0.08961(3) | 125(1) |
| Au | 36f | 0.37264(4) | 0.35657(4) | 0.15108(1) | 126(1) |
| Gab | 18e | 0.1968(1) | x | 1/4 | 131(4) |
a98.6(3) % Zn/1.4(3) % Au; b97.6(5) % Ga/2.4(5) % Au.
Interatomic distances (pm), calculated with the powder lattice parameters of Eu2Au6.04Zn2.96 and Eu2Au6.07Ga2.93.
| Eu2Au6.04Zn2.96 | Eu2Au6.07Ga2.93 | ||||||
| Eu: | 3 | Au | 321.4(1) | Eu: | 3 | Au | 321.7(1) |
| 3 | Au | 326.6(1) | 3 | Au | 327.3(1) | ||
| 3 | Au | 329.5(1) | 3 | Au | 334.2(1) | ||
| 3 | Zn | 353.4(1) | 3 | Ga | 351.1(1) | ||
| 3 | Au | 364.5(1) | 3 | Au | 361.0(1) | ||
| Au: | 1 | Zn | 260.5(1) | Au: | 1 | Ga | 258.7(1) |
| 1 | Zn | 261.2(1) | 1 | Ga | 260.9(1) | ||
| 1 | Zn | 278.8(1) | 1 | Ga | 278.8(1) | ||
| 2 | Au | 285.0(1) | 2 | Au | 286.1(1) | ||
| 1 | Au | 293.1(1) | 1 | Au | 298.9(1) | ||
| 1 | Au | 303.1(1) | 1 | Au | 298.9(1) | ||
| 1 | Eu | 321.4(1) | 1 | Eu | 321.7(1) | ||
| 1 | Eu | 326.6(1) | 1 | Eu | 327.3(1) | ||
| 1 | Eu | 329.5(1) | 1 | Eu | 334.2(1) | ||
| 1 | Eu | 364.5(1) | 1 | Eu | 361.0(1) | ||
| Zn: | 2 | Au | 260.5(1) | Ga: | 2 | Au | 258.7(1) |
| 2 | Au | 261.2(1) | 2 | Au | 260.9(1) | ||
| 2 | Au | 278.8(1) | 2 | Au | 278.8(1) | ||
| 2 | Zn | 280.6(2) | 2 | Ga | 285.7(2) | ||
| 2 | Eu | 353.4(1) | 2 | Eu | 351.1(1) | ||
Standard deviations are given in parentheses. All distances of the first coordination spheres are listed.
Further details of the crystal structure investigation may be obtained from Fachinformationszentrum Karlsruhe, 76344 Eggenstein-Leopoldshafen, Germany (fax: +49-7247-808-666; e-mail: crysdata@fiz-karlsruhe.de, http://www.fiz-karlsruhe.de/request_for_deposited_data.html) on quoting the deposition number CSD-430836 (Eu2Au6.07Ga2.93) and CSD-430835 (Eu2Au6.04Zn2.96).
2.4 EDX data
The crystals of Eu2Au6.07Ga2.93 and Eu2Au6.04Zn2.96 studied on the diffractometer were semiquantitatively analyzed by EDX using a Zeiss EVO® MA10 scanning electron microscope in variable pressure mode. EuF3, Au, Zn and GaP were used as standards. The experimentally observed compositions (18±3 at% Eu:55±3 at% Au:27±3 at% Ga and 15±3 at% Eu:62±3 at% Au:23±3 at% Zn) were close to the ones refined from the single crystal X-ray data. The standard deviations result from the irregular surface of the crystals (conchoidal fracture). No impurity elements (especially from the container material) were detected.
2.5 Magnetic characterization
Magnetic susceptibility investigations have been performed with a Quantum Design Physical-Property-Measurement-System (PPMS) using the VSM (Vibrating Sample Magnetometer) option. The powdered samples were packed in polypropylene capsules and attached to the sample holder rod. The samples were investigated in the temperature range of 2.5–300 K with magnetic flux densities up to 80 kOe (1 kOe = 7.96 × 104 A m–1).
2.6 151Eu Mössbauer spectroscopy
The 21.53 keV transition of 151Eu with an activity of 130 MBq (2 % of the total activity of a 151Sm:EuF3 source) was used for the Mössbauer spectroscopic experiments, which were conducted in transmission geometry. The temperature of the absorber was varied with a commercial helium-flow cryostat, while the source was kept at room temperature. The samples were enclosed in small PMMA containers at a thickness corresponding to about 10 mg Eu per cm2. Fitting of the spectra was performed with the Normos-90 program system [44].
2.7 69;71Ga solid state NMR spectroscopy
NMR spectroscopic experiments were performed on a Bruker Avance III spectrometer at ambient temperature. The magnetic flux density of 9.40 T yields 69Ga and 71Ga resonance frequencies of 96.044 and 120.036 MHz, respectively. The signals were referenced to a solution of Ga(NO3)3 in D2O. All spectra were measured in a custom-made automatic tuning, matching, and goniometer (ATMG) probe [45]. It was developed in cooperation with NMR Service GmbH, Erfurt (Germany).
The sample was ground in an agate mortar, embedded in two-component glue and filled into two quartz glass tubes of 5 mm diameter. The first sample was immediately fixed in the probe and brought inside the orienting magnetic field (Bor). The glue was allowed to set there for 12 h, fixing the preferred crystallite orientation caused by magnetically induced alignment. Another sample was treated correspondingly but cured in the absence of magnetic fields. They are referred to as oriented and regular powders, respectively. Since the NMR line shapes of oriented powders are highly sensitive towards the sample orientation with respect to the direction of the external field (B0) [46–49], a series of ten orientation dependent NMR experiments was performed in steps of ten degrees.
Both regular and oriented powders were measured using a solid-echo pulse sequence with pulses of equal duration. The main transition signals spanning a frequency range of <200 kHz were investigated by single frequency excitation with hard pulses of 1.5 μs. Signals with larger frequency distributions were recorded using the frequency sweep technique. Throughout the entire frequency range individual measurements were performed in steps of 25 kHz and excitation pulses of 20 μs.
The relevant experimental quadrupole and signal shift NMR parameters were obtained by performing least-squares analysis using the SIMPSON simulation package [50].
Quadrupole coupling is characterized by the largest principal axis of the electric field gradient (EFG) and the asymmetry parameter ηQ = (|VXX| – |VYY|)/|VZZ| with the principal axes defined in the sequence |VZZ| > |VXX| ≥ |VYY|. The signal shift is characterized by the isotropic shift (Δiso), the anisotropy of the signal shift (Δaniso) as well as the asymmetry parameter (ηΔ) [46]. For the sake of simplicity, the principal axis systems (PAS) for both interactions were assumed to coincide.
The powder averaging for the simulation of regular powder signals was performed using the Repulsion method [51]. The crystal files for oriented powders were created considering the EFG tensor orientation of the Ga atoms obtained by quantum mechanical (QM) calculations and an alignment of the crystallites with their c axis parallel to the external magnetic field.
2.8 Quantum mechanical calculations
All electron first principle calculations were performed with density functional theory (DFT). The main component of the electric field gradient (EFG) tensor VZZ, the asymmetry parameter ηQ as well as the tensor orientations with respect to the crystal frame were calculated using the full-potential Linearized Augmented Plane Wave plus local orbital (LAPW + lo) method implemented in Wien2k [52]. The atomic-sphere radii RMT were chosen as 2.31 a.u. for Ga and 2.50 a.u. for both Sr and Au. The separation energy for core and valence states was set to the default value of –6.0 Ry. The plane-wave cut-off, defined as RMT × Kmax, was set to a value of 6. The PBE exchange-correlation functional was employed within the generalized gradient approximation (GGA).
The lattice parameters used for the calculations were adopted from the X-ray diffraction experiments. EFG calculations were performed with full symmetry (space group R3̅c) and without any symmetry restraints (space group P1). 8 × 8 × 8 and 10 × 10 × 3 k grids were employed for the space groups R3̅c and P1, respectively.
3 Results and discussion
3.1 Crystal chemistry
The structural chemistry of the prototype Sr2Au6Zn3 [18] and several isotypic compounds [17, 19–21] has been discussed in detail in the original contributions. Herein we focus only briefly on the crystal chemical details of Eu2Au6Zn3. As already mentioned in the introduction, all these structures derive from the aristotype AlB2 and the gold atoms build a three-dimensional substructure that consists of puckered hexagons. The Au–Au distances in Eu2Au6Zn3 range from 285 to 303 pm, close to the Au–Au distance of 288 pm in fcc gold [53]. The cavities within this network (which correspond to the Al sites of the aristotype) are filled in an ordered manner by europium atoms and Zn3 triangles in 2:1 ratio. The local coordination is presented in Fig. 2. The different geometry of the Zn3 triangles as compared to the spherical europium atoms leads to significant distortions within the gold substructure. This is readily evident from the course of the Eu–Au distances which range from 321 to 365 pm. In EuAu2 [54], a slightly puckered AlB2 variant with KHg2 type structure, the europium coordination is more regular with 6 × 321 and 6 × 339 pm Eu–Au.

Coordination of the europium atoms (top) and the Zn3 triangles (bottom) in the structure of Eu2Au6Zn3. Relevant interatomic distances are given.
The Zn3 triangles in Eu2Au6Zn3 show Zn–Zn distances of 281 pm, which compare well with the distances in hcp zinc of 6 × 266 and 6 × 291 pm [53]. The triangles bind to the surrounding gold network through Au–Zn interactions. The Au–Zn distances range from 261 to 279 pm, slightly longer than the sum of the covalent radii [55] for Zn + Au of 259 pm. In view of the Au–Zn distances in CeAu4Zn2 (272 pm [56]) and EuAuZn (271–283 pm [57]), we can assume significant Au–Zn bonding in Eu2Au6Zn3. Chemical bonding in these phases is addressed in more detail by 69;71Ga solid state NMR spectroscopy in combination with QM calculations on the diamagnetic representative Sr2Au6Ga3 (vide infra).
3.2 Magnetic properties and 151Eu Mössbauer spectroscopy
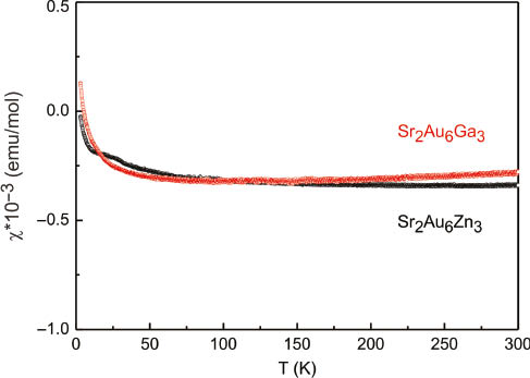
The magnetic behavior of the earlier reported strontium compounds Sr2Au6Ga3 and Sr2Au6Zn3 [18] was studied first. The temperature dependence of the magnetic susceptibility is shown in Fig. 3. Both samples show negative susceptibilities down to 10 K. The slight increase of the susceptibilities in the low-temperature regime is due to traces of paramagnetic impurities. Above 100 K we observe almost constant susceptibilities with a room temperature value of ca. –3.5 × 10–4 emu mol–1, at first sight pointing to diamagnetism. Electronic structure calculations [17, 19] showed a small residual density-of-states at the Fermi level for different valence electron counts. This is compatible with metallic behavior. The Pauli contribution to the total susceptibility is small and overcompensated by the stronger intrinsic diamagnetism, leading to overall negative susceptibility values.

Temperature dependence of the magnetic susceptibility of Sr2Au6Ga3 and Sr2Au6Zn3 measured at 10 kOe.
The temperature dependence of the magnetic susceptibility of Eu2Au6Zn3 is presented in Fig. 4. Eu2Au6Zn3 shows Curie–Weiss behavior in the temperature range from 22 to 300 K. A fit of this range results in a paramagnetic Curie temperature of θP = 8.2(5) K and an experimental magnetic moment of μeff = 7.56(1) μB Eu atom–1, slightly lower than the theoretical value of 7.94 μB of the free Eu2+ ion. The positive value of θP indicates ferromagnetic interactions in the paramagnetic range and the experimental magnetic moment points to a stable divalent state for the europium atoms. The low-temperature behavior was studied in more detail by zero-field-cooling (ZFC) and field-cooling (FC) measurements at an external field strength of 100 Oe (inset of Fig. 4). The europium magnetic moments show antiferromagnetic ordering below a Néel temperature of TN = 16.3(2) K. The magnetization behavior of Eu2Au6Zn3 was studied through magnetization isotherms at 3, 14, 25, and 50 K (Fig. 4, bottom). At 50 K, well above the magnetic ordering temperature, we observe a linear increase of the magnetization with increasing field, usually observed for a paramagnetic material. The isotherm at 25 K already shows a weak curvature, indicating saturation effects. This becomes more pronounced in the 14 K isotherm, slightly below the Néel temperature. The 3 K isotherm shows a pronounced metamagnetic transition at a critical field of ca. 25 kOe, clearly manifesting the antiferromagnetic ground state. The saturation moment at 3 K and 80 kOe is 6.4(1) μB per Eu atom, close to the theoretical saturation magnetization of 7 μB according to g × J. Thus almost all europium moments are aligned in parallel. The slight reduction of the moment in the ordered state might be a consequence of the polycrystalline character of the sample and has frequently been observed for related europium intermetallics, e.g. 6.0 μB in EuAuGe [58] and 5.9 μB in EuAuIn [59].
Eu2Au6Ga3 shows very similar magnetic behavior. The experimental magnetic moment of 7.98 μB Eu atom–1 underlines the divalent nature of europium and the paramagnetic Curie temperature is also positive (13.7(5) K). The gallide shows a slightly lower Néel temperature of TN = 12.1(1) K. The saturation magnetization at 3 K and 80 kOe is 6.9(1) μB Eu atom–1.

Magnetic properties of Eu2Au6Zn3. (top) Temperature dependence of the magnetic susceptibility (χ and χ−1 data) measured at 10 kOe. The low-temperature behavior in zero-field-cooling and field-cooling mode (100 Oe data) is given in the inset; (bottom) magnetization isotherms at 3, 14, 25, and 50 K.
In addition to the magnetic data we also characterized Eu2Au6Zn3 and Eu2Au6Ga3 through their 151Eu Mössbauer spectra (Fig. 5). The 78 K spectra of both compounds show signals with isomer shifts of δ = –10.28(2) mm s–1 (Eu2Au6Zn3) and –10.69 mm s–1 (Eu2Au6Ga3), clearly pointing to divalent europium. In comparison with many other intermetallic europium compounds [60], the isomer shifts are indicative of almost fully ionized europium. The zinc compound shows a small second signal around 0 mm s–1. This corresponds to a small Eu(III) impurity phase, most likely resulting from surface oxidation, and was included as a Lorentzian curve in the fit.

Experimental and simulated 151Eu Mössbauer spectra of Eu2Au6Zn3 and Eu2Au6Ga3 at 78 and 5 K.
The quadrupole splitting parameters of ΔEQ = 4.2(2) mm s–1 (Eu2Au6Zn3) and 4.0(3) mm s–1 (Eu2Au6Ga3) reflect the non-cubic site symmetry of the europium atoms. These values are in good agreement with the ΔEQ values of EuAgZn (4.4 mm s–1 [61]) and EuAuZn (3.9 mm s–1 [57]) which show similar europium coordination. The experimentally observed line width parameters of 2.2(1) mm s–1 (Eu2Au6Zn3) and 2.1(1) mm s–1 (Eu2Au6Ga3) are in the usual range.
The low-temperature behavior was exemplarily studied for the gallium compound. At 5 K, in the antiferromagnetically ordered regime, we observe full magnetic hyperfine field splitting with a large hyperfine field of 25.0(1) T. The latter value manifests complete magnetic ordering [60].
3.3 69;71Ga solid state NMR spectroscopy and quantum mechanical calculations
In order to investigate the peculiar Ga bonding situation in the Ga3 units, Sr2Au6Ga3 was chosen for 69;71Ga solid state NMR spectroscopy. Both nuclei possess a nuclear spin I = 3/2 and are therefore sensitive towards quadrupole coupling. The interaction of the nuclear quadrupole moment and the electric field gradient (EFG) is a measure for the anisotropic charge distribution at the nuclear sites [62, 63]. Thus it is well suited for the investigation of chemical bonding in intermetallic compounds [46, 49, 64]. The EFG of the Ga atoms is dominated by the p-like valence electrons as shown for the di- and tetragallides of the alkaline earth metals [47, 48].
69;71Ga-NMR spectroscopic experiments on a regular powder of randomly distributed crystallites show line shapes typical for atoms located on crystallographic sites of low symmetry, in agreement with the .2 point symmetry of the Ga atoms in the crystals. The signals result mainly from second order quadrupole coupling as indicated by their large frequency distributions (Fig. 6, left).

Left: 69Ga (top) and 71Ga (bottom) NMR signals of a regular powder. Right: Angle-dependent 69Ga measurements of an oriented powder. χ is the angle between the magnetic fields used for alignment of the crystallites and the NMR measurements. Black lines represent the experimental data. Each dot symbolizes an individual sweep measurement; simulations are shown in gray.
Magnetically induced alignment of the crystallites results in characteristic, orientation dependent NMR signals (Fig. 6, right). The alignment of the crystallites in a magnetic field is in agreement with the anisotropic electrical conductivity of Sr2Au6Ga3 [46]. In addition to NMR experiments a quantum mechanical (QM) approach was pursued in order to determine the EFG tensor orientations and their corresponding eigenvalues. These are required for a quantitative analysis of the orientation dependent experiments.
The QM calculated quadrupole coupling parameters are in good agreement with those obtained by simultaneous least-squares analysis of the entire experimental data (Table 5, and section 2.7 69;71Ga solid state NMR spectroscopy). They are almost identical for calculations with and without symmetry restraints. The difference between experimental and QM values is <8 % for VZZ and negligible for ηQ, being in perfect agreement with our previous observations obtained for the di- and tetragallides of the alkaline earth metals [47, 48]. It is significantly smaller than the typical confidence interval for calculations of quadrupole coupling parameters of about ±15 % for VZZ and ±0.1 for ηQ [47].
Experimental and calculated (for space groups R3̅c and P1) quadrupole- and signal shift NMR parameters.
| Experimental | calc. – R3̅c | calc. – P1 | |
|---|---|---|---|
| VZZ, × 1021 V m–2 | 5.1(1) | –4,73 | –4.77 |
| ηQ | 0.80(10) | 0.80 | 0.81 |
| Δiso, ppm | 2085(50) | – | – |
| Δaniso, ppm | 84(20) | – | – |
The asymmetry parameter of the signal shift (ηΔ) was set to zero. Note that the sign of Vzz is accessible by QM calculations only.
The negative sign of VZZ indicates an elongated, prolate charge distribution of the Ga atoms. The large asymmetry parameter suggests an electron distribution far off from axial symmetry, in good agreement with the low Ga site symmetry. The large isotropic signal shift of more than 2000 ppm is considerably outside the regime of chemical shifts of Ga atoms typically found in nonmagnetic insulators (±700 ppm) [65]. Consequently, the isotropic signal shift is dominated by the Knight shift induced through the conduction electrons in Sr2Au6Ga3. Comparing the bonding situation in Sr2Au6Ga3 with previous studies, the EFG and NMR signal shift are in the region found for the four-bonded rather than the five-bonded Ga atoms in alkaline earth metal tetragallides or the corresponding three-bonded Ga atoms in the digallides [47, 48].
Fig. 7 shows the EFG tensor orientation of a Ga atom with respect to its closest neighboring atoms. VZZ, representing the largest contribution of the anisotropic charge distribution, points almost into the middle of two neighboring gold atoms with distances of 259.1 and 279.9 pm. It is tilted by about 31° with respect to the c axis of the unit cell. VXX aims right towards the geometric center of the Ga3 triangle as required by the presence of a twofold rotation axis along the diagonal of the ab plane of the unit cell. In a first approximation, the smallest principal axis VYY points towards a gold atom at a distance of 261.9 pm. Currently, ongoing analyses of the band structure of Sr2Au6Ga3 will hopefully show whether the orientation of the Ga EFG is related to Ga–Au and/or Ga–Sr interactions.

Ga3 triangle and its corresponding EFG tensor orientation. The surrounding atoms, the EFG tensor, and the main directions are shown for one gallium atom. The principal axes are defined as: |VZZ| > |VXX| ≥ |VYY|.
The accuracy of the calculated tensor orientation is confirmed by the good agreement between the experimental and the simulated orientation dependent 69;71Ga NMR signals. The characteristic signal evolution is extremely sensitive with respect to the orientation of the EFG. A maximum uncertainty of ±5° results from a conservative estimation of the agreement of measured and simulated NMR signals. According to the evaluation of QM calculations and orientation dependent NMR experiments the c axis turned out to align parallel to the external magnetic field and is thus the axis of highest Fermi velocity of the electrons.
4 Conclusions
The intermetallics Sr2Au6Zn3, Eu2Au6Zn3, Sr2Au6Ga3, and Eu2Au6Ga3 are new members of a structural family with Zn3 and Ga3 triangles embedded in an auride substructure that is related to the 6R stacking sequence of the diamond polytypes. 151Eu Mössbauer spectra show divalent europium, manifesting the close relationship with the alkaline earth elements. The magnetic ground states are antiferromagnetic with Néel temperatures of 16.3 (Eu2Au6Zn3) and 12.1 (Eu2Au6Ga3) K. A solid state NMR spectroscopic characterization of the Ga3 triangles through orientation dependent 69;71Ga spectra nicely manifests a highly anisotropic distribution of the electron density at the gallium atoms.
Dedicated to: Professor Wolfgang Jeitschko on the occasion of his 80th birthday.
Acknowledgments
This work was supported by the Deutsche Forschungsgemeinschaft. We thank Dipl.-Ing. U. Ch. Rodewald for collecting the single crystal diffraction data. B.G. and O.N. are indebted to the Fonds der Chemischen Industrie and the NRW Forschungsschule Molecules and Materials – A Common Design Principle for PhD fellowships. A.K. and F.H. gratefully acknowledge financial support of the Excellence Initiative of the German federal and state governments.
References
[1] N. Wiberg, T. Blank, W. Kaim, B. Schwederski, G. Linti, Eur. J. Inorg. Chem. 2000, 1475.10.1002/1099-0682(200007)2000:7<1475::AID-EJIC1475>3.0.CO;2-NSearch in Google Scholar
[2] N. Wiberg, T. Blank, K. Amelunxen, H. Nöth, J. Knizek, T. Habereder, W. Kaim, M. Wanner, Eur. J. Inorg. Chem. 2001, 1719.10.1002/1099-0682(200107)2001:7<1719::AID-EJIC1719>3.0.CO;2-QSearch in Google Scholar
[3] R. J. Wright, M. Brynda, P. P. Power, Angew. Chem. Int. Ed. 2006, 45, 5953.10.1002/anie.200601925Search in Google Scholar
[4] X.-W. Li, Y. Xie, P. R. Schreiner, K. D. Gripper, R. Chad Crittendon, C. F. Campana, H. F. Schaefer, G. H. Robinson, Organometallics1996, 15, 3798.10.1021/om9605084Search in Google Scholar
[5] J. M. Mercero, E. Matito, F. Ruipérez, I. Infante, X. Lopez, J. M. Ugalde, Chem. Eur. J. 2015, 21, 9610.10.1002/chem.201501350Search in Google Scholar
[6] O. Pecher, NMR-Spektroskopie an intermetallischen Phasen in den Systemen EA-Al-Ga mit EA = Ca, Sr und Ba, Dissertation, RWTH Aachen University, Aachen (Germany) 2013.Search in Google Scholar
[7] O. Pecher, F. Haarmann, Z. Anorg. Allg. Chem. 2008, 634, 2069.10.1002/zaac.200870121Search in Google Scholar
[8] O. Pecher, F. Haarmann, Z. Anorg. Allg. Chem. 2012, 638, 1622.10.1002/zaac.201204111Search in Google Scholar
[9] G. Bruzzone, M. L. Fornasini, F. Merlo, J. Less-Common Met. 1989, 154, 67.10.1016/0022-5088(89)90171-9Search in Google Scholar
[10] F. Haarmann, Yu. Prots, Z. Anorg. Allg. Chem. 2006, 632, 2135.10.1002/zaac.200670118Search in Google Scholar
[11] O. Sichevych, R. Raumlau, R. Giedigkeit, M. Schmidt, R. Niewa, Yu. Grin, Abstracts 13th Int. Conf. Solid Compounds of Transition Elements, Stresa, Italy, O-132000.Search in Google Scholar
[12] C. Cirafici, M. L. Fornasini, J. Less-Common Met. 1990, 163, 331.10.1016/0022-5088(90)90599-FSearch in Google Scholar
[13] F. Haarmann, Yu. Prots, S. Göbel, H. G. von Schnering, Z. Kristallogr. NCS2006, 221, 257.10.1524/ncrs.2006.0063Search in Google Scholar
[14] O. Sichevych, Yu. Prots, Yu. Grin, Z. Kristallogr. NCS2006, 221, 265.10.1524/ncrs.2006.0067Search in Google Scholar
[15] G. Cordier, C. Röhr, J. Less-Common Met. 1991, 170, 333.10.1016/0022-5088(91)90337-4Search in Google Scholar
[16] D. Kußmann, R.-D. Hoffmann, R. Pöttgen, Z. Anorg. Allg. Chem.2001, 627, 2053.10.1002/1521-3749(200109)627:9<2053::AID-ZAAC2053>3.0.CO;2-VSearch in Google Scholar
[17] Q. Lin, T. Mishra, J. D. Corbett, J. Am. Chem. Soc.2013, 135, 11023.10.1021/ja401378qSearch in Google Scholar
[18] B. Gerke, R.-D. Hoffmann, R. Pöttgen, Z. Anorg. Allg. Chem.2013, 639, 2444.10.1002/zaac.201300366Search in Google Scholar
[19] T. Mishra, Q. Lin, J. D. Corbett, Inorg. Chem.2013, 52, 13623.10.1021/ic402145kSearch in Google Scholar
[20] B. Gerke, R. Pöttgen, Z. Naturforsch.2014, 69b, 121.10.5560/znb.2014-3300Search in Google Scholar
[21] A. Palasyuk, Yu. Grin, G. J. Miller, J. Am. Chem. Soc.2014, 136, 3108.10.1021/ja411150eSearch in Google Scholar
[22] S. Seidel, R.-D. Hoffmann, R. Pöttgen, Monatsh. Chem.2014, 145, 1043.10.1007/s00706-014-1205-xSearch in Google Scholar
[23] B. Gerke, R.-D. Hoffmann, R. Pöttgen, Z. Anorg. Allg. Chem.2015, 641, 2174.10.1002/zaac.201500533Search in Google Scholar
[24] V. Smetana, S. Steinberg, N. Card, A.-V. Mudring, G. J. Miller, Inorg. Chem.2015, 54, 1010.10.1021/ic502402ySearch in Google Scholar PubMed
[25] P. D. Ownby, X. Yang, J. Liu, J. Am. Ceram. Soc. 1992, 75, 1876.10.1111/j.1151-2916.1992.tb07211.xSearch in Google Scholar
[26] J. D. Corbett, Inorg. Chem. 2010, 49, 13.10.1021/ic901305gSearch in Google Scholar PubMed
[27] R.-D. Hoffmann, R. Pöttgen, Z. Kristallogr. 2001, 216, 127.10.1524/zkri.216.3.127.20327Search in Google Scholar
[28] H. Bärnighausen, Commun. Math. Chem. 1980, 9, 139.Search in Google Scholar
[29] U. Müller, Z. Anorg. Allg. Chem. 2004, 630, 1519.10.1002/zaac.200400250Search in Google Scholar
[30] U. Müller in International Tables for Crystallography, Vol. A1, Symmetry relations between space groups, 2nd ed., (Eds.: H. Wondratschek, U. Müller), John Wiley & sons, Ltd, Chichester, 2010, p. 44.10.1107/97809553602060000795Search in Google Scholar
[31] U. Müller, Symmetriebeziehungen zwischen verwandten Kristallstrukturen, Vieweg + Teubner Verlag, Wiesbaden, 2012.10.1007/978-3-8348-8342-1Search in Google Scholar
[32] R. Pöttgen, Z. Anorg. Allg. Chem. 2014, 640, 869.10.1002/zaac.201400023Search in Google Scholar
[33] B. Gerke, Struktur und Eigenschaften intermetallischer Zink- und Aluminiumverbindungen sowie Mössbauer-spektroskopische Untersuchungen, Dissertation, Universität Münster, Münster (Germany) 2015.Search in Google Scholar
[34] M. Johnscher, T. Block, R. Pöttgen, Z. Anorg. Allg. Chem. 2015, 641, 369.10.1002/zaac.201400475Search in Google Scholar
[35] O. Niehaus, M. Johnscher, T. Block, B. Gerke, R. Pöttgen, Z. Naturforsch. 2016, 71b, 57.10.1515/znb-2015-0145Search in Google Scholar
[36] N. Nasri, M. Pasturel, V. Dorcet, B. Belgacem, R. Ben Hassen, O. Tougait, J. Alloys Compd. 2015, 650, 528.10.1016/j.jallcom.2015.07.277Search in Google Scholar
[37] R. Gladyshevskii, Yu. Lutsyshyn, R. Černý, K. Cenzual, Z. Anorg. Allg. Chem. 2014, 640, 2512.10.1002/zaac.201400320Search in Google Scholar
[38] D. Hirai, R. Kawakami, O. V. Magdysyuk, R. E. Dinnebier, A. Yaresko, H. Takagi, J. Phys. Soc. Jpn. 2014, 83, 103703.10.7566/JPSJ.83.103703Search in Google Scholar
[39] R. Pöttgen, Th. Gulden, A. Simon, GIT Labor-Fachzeitschrift1999, 43, 133.Search in Google Scholar
[40] D. Kußmann, R.-D. Hoffmann, R. Pöttgen, Z. Anorg. Allg. Chem. 1998, 624, 1727.10.1002/(SICI)1521-3749(1998110)624:11<1727::AID-ZAAC1727>3.0.CO;2-0Search in Google Scholar
[41] R. Pöttgen, A. Lang, R.-D. Hoffmann, B. Künnen, G. Kotzyba, R. Müllmann, B. D. Mosel, C. Rosenhahn, Z. Kristallogr. 1999, 214, 143.10.1524/zkri.1999.214.3.143Search in Google Scholar
[42] K. Yvon, W. Jeitschko, E. Parthé, J. Appl. Crystallogr.1977, 10, 73.10.1107/S0021889877012898Search in Google Scholar
[43] G. M. Sheldrick, Acta Crystallogr. A2008, 64, 112.10.1107/S0108767307043930Search in Google Scholar
[44] R. A. Brand, Normos Mössbauer fitting Program, Universität Duisburg, Duisburg (Germany) 2007.Search in Google Scholar
[45] O. Pecher, F. Haarmann, Z. Kristallogr.2012, (Suppl.), 32, 24.Search in Google Scholar
[46] F. Haarmann in Enzyclopedia of Magnetic Resonance, (Eds.: R. K. Harris, R. E. Wasylishen), John Wiley & Sons, Ltd, Chichester, 2011.Search in Google Scholar
[47] F. Haarmann, K. Koch, D. Grüner, W. Schnelle, O. Pecher, R. Cardoso-Gil, H. Borrmann, H. Rosner, Yu. Grin, Chem. Eur. J.2009, 15, 1673.10.1002/chem.200801131Search in Google Scholar
[48] F. Haarmann, K. Koch, P. Jeglič, O. Pecher, H. Rosner, Yu. Grin, Chem. Eur. J.2011, 17, 7560.10.1002/chem.201003486Search in Google Scholar
[49] O. Pecher, B. Mausolf, K. Lamberts, D. Oligschläger, C. Niewieszol (née Merkens), U. Englert, F. Haarmann, Chem. Eur. J.2015, 21, 13971.10.1002/chem.201501910Search in Google Scholar PubMed
[50] M. Bak, J. T. Rasmussen, N. C. Nielsen, J. Magn. Reson.2000, 147, 296.10.1006/jmre.2000.2179Search in Google Scholar PubMed
[51] M. Bak, N. C. Nielsen, J. Magn. Reson.1997, 125, 132.10.1006/jmre.1996.1087Search in Google Scholar PubMed
[52] P. Blaha, K. Schwarz, G. K. H. Madsen, D. Kvasnicka, J. Luitz, Wien2k, An Augmented Plane Wave Plus Local Orbitals Program for Calculating Crystal Properties, Vienna University of Technology, Vienna (Austria) 2001.Search in Google Scholar
[53] J. Donohue, The Structures of the Elements, Wiley, New York, 1974.Search in Google Scholar
[54] A. Iandelli, A. Palenzona, J. Less-Common Met. 1968, 15, 272.Search in Google Scholar
[55] J. Emsley, The Elements, Oxford University Press, Oxford, 1999.Search in Google Scholar
[56] B. Gerke, O. Niehaus, R.-D. Hoffmann, R. Pöttgen, Z. Anorg. Allg. Chem. 2013, 639, 2575.10.1002/zaac.201300260Search in Google Scholar
[57] T. Mishra, W. Hermes, T. Harmening, M. Eul, R. Pöttgen, J. Solid State Chem. 2009, 182, 2417.10.1016/j.jssc.2009.06.034Search in Google Scholar
[58] R. Pöttgen, J. Mater. Chem. 1995, 5, 505.10.1039/JM9950500505Search in Google Scholar
[59] R. Pöttgen, J. Mater. Chem. 1996, 6, 63.10.1039/JM9960600063Search in Google Scholar
[60] R. Pöttgen, D. Johrendt, Chem. Mater. 2000, 12, 875.10.1021/cm991183vSearch in Google Scholar
[61] B. Gerke, U. Ch. Rodewald, O. Niehaus, R. Pöttgen, J. Solid State Chem. 2013, 203, 114.10.1016/j.jssc.2013.04.023Search in Google Scholar
[62] A. Abragam, Principles of Nuclear Magnetism, Oxford University Press, Oxford, New York, 1961.10.1063/1.3057238Search in Google Scholar
[63] C. P. Slichter, Principles of Magnetic Resonance, 3rd enlarged and updated edition, Springer-Verlag, Berlin, Heidelberg, New York, 1990.10.1007/978-3-662-09441-9Search in Google Scholar
[64] F. Haarmann, M. Armbrüster, Yu. Grin, Chem. Mater.2007, 19, 1147.10.1021/cm062313kSearch in Google Scholar
[65] J. Mason, Multinuclear NMR, Kluwer Academic, Milton Keynes, 1987.10.1007/978-1-4613-1783-8Search in Google Scholar
©2016 by De Gruyter
Articles in the same Issue
- Frontmatter
- In this Issue
- Preface
- Congratulations to Wolfgang Jeitschko
- Review
- Prediction and clarification of structures of (bio)molecules on surfaces
- NaGe6As6: Insertion of sodium into the layered semiconductor germanium arsenide GeAs
- Synthesis, structures, and properties of Mn(II) and Cd(II) thiocyanato coordination compounds with 2,5-dimethylpyrazine as co-ligand
- Synthesis, structure and electronic configuration of [Rh6Te8(PPh3)6]·4C6H6
- Room temperature synthesis, crystal structure and selected properties of the new compound [Mn2(bipy)4SbS4](ClO4)
- The isotypic family of the diarsenates MM′As2O7 (M = Sr, Ba; M′ = Cd, Hg)
- RE3Au5Zn (RE = Y, Sm, Gd–Ho) – A new structure type with five- and six-membered rings as building units in a gold network
- Influence of hydrogenation and mechanical grinding on the structural and ferromagnetic properties of GdFeSi
- Two new ternary chalcogenides Ba2ZnQ3 (Q = Se, Te) with chains of ZnQ4 tetrahedra: syntheses, crystal structure, and optical and electronic properties
- Neutron powder diffraction and theory-aided structure refinement of rubidium and cesium ureate
- High-pressure investigations of lanthanoid oxoarsenates: I. Single crystals of scheelite-type Ln[AsO4] phases with Ln = La–Nd from monazite-type precursors
- Bi2Fe4O9: Structural changes from nano- to micro-crystalline state
- New transition metal oxide fluorides with ReO3-type structure
- Synthesis, photophysical characterization and DFT studies on fluorine-free deep-blue emitting Pt(II) complexes
- Structural studies of CaAl12O19, SrAl12O19, La2/3+δ Al12–δO19, and CaAl10NiTiO19 with the hibonite structure; indications of an unusual type of ferroelectricity
- Synthesis and crystal structure of new K and Rb selenido/tellurido ferrate cluster compounds
- Crystal structures and hydrogenation properties of palladium-rich compounds with elements from groups 12–16
- Hydroalumination and hydrogallation of an aryl-chloro-dialkynylsilane: Si–Cl bond activation by intramolecular Al–Cl and Ga–Cl interactions
- V18P9C2: a complex phosphide carbide
- Gold(III)-mediated cyclization of 2-hydrazinylquinolines
- RE2B8O15 (RE = La, Pr, Nd) – syntheses of three new rare earth borates isotypic to Ce2B8O15
- Substitution of W5+ in monophosphate tungsten bronzes by combinations Mn+/W6+
- On new ternary equiatomic scandium transition metal aluminum compounds ScTAl with T = Cr, Ru, Ag, Re, Pt, and Au
- Triangular Zn3 and Ga3 units in Sr2Au6Zn3, Eu2Au6Zn3, Sr2Au6Ga3, and Eu2Au6Ga3 – structure, magnetism, 151Eu Mössbauer and 69;71Ga solid state NMR spectroscopy
- The crystal structure of Cs2S2O3·H2O
- Trigermanides AEGe3 (AE = Ca, Sr, Ba): chemical bonding and superconductivity
- The coloring problem in the solid-state metal boride carbide ScB2C2: a theoretical analysis
- Synthesis and structure determinantion of the first lead arsenide phosphide Pb2AsxP14–x (x ~ 3.7)
- The new barium compound Ba4Al7+x: formation and crystal structure
Articles in the same Issue
- Frontmatter
- In this Issue
- Preface
- Congratulations to Wolfgang Jeitschko
- Review
- Prediction and clarification of structures of (bio)molecules on surfaces
- NaGe6As6: Insertion of sodium into the layered semiconductor germanium arsenide GeAs
- Synthesis, structures, and properties of Mn(II) and Cd(II) thiocyanato coordination compounds with 2,5-dimethylpyrazine as co-ligand
- Synthesis, structure and electronic configuration of [Rh6Te8(PPh3)6]·4C6H6
- Room temperature synthesis, crystal structure and selected properties of the new compound [Mn2(bipy)4SbS4](ClO4)
- The isotypic family of the diarsenates MM′As2O7 (M = Sr, Ba; M′ = Cd, Hg)
- RE3Au5Zn (RE = Y, Sm, Gd–Ho) – A new structure type with five- and six-membered rings as building units in a gold network
- Influence of hydrogenation and mechanical grinding on the structural and ferromagnetic properties of GdFeSi
- Two new ternary chalcogenides Ba2ZnQ3 (Q = Se, Te) with chains of ZnQ4 tetrahedra: syntheses, crystal structure, and optical and electronic properties
- Neutron powder diffraction and theory-aided structure refinement of rubidium and cesium ureate
- High-pressure investigations of lanthanoid oxoarsenates: I. Single crystals of scheelite-type Ln[AsO4] phases with Ln = La–Nd from monazite-type precursors
- Bi2Fe4O9: Structural changes from nano- to micro-crystalline state
- New transition metal oxide fluorides with ReO3-type structure
- Synthesis, photophysical characterization and DFT studies on fluorine-free deep-blue emitting Pt(II) complexes
- Structural studies of CaAl12O19, SrAl12O19, La2/3+δ Al12–δO19, and CaAl10NiTiO19 with the hibonite structure; indications of an unusual type of ferroelectricity
- Synthesis and crystal structure of new K and Rb selenido/tellurido ferrate cluster compounds
- Crystal structures and hydrogenation properties of palladium-rich compounds with elements from groups 12–16
- Hydroalumination and hydrogallation of an aryl-chloro-dialkynylsilane: Si–Cl bond activation by intramolecular Al–Cl and Ga–Cl interactions
- V18P9C2: a complex phosphide carbide
- Gold(III)-mediated cyclization of 2-hydrazinylquinolines
- RE2B8O15 (RE = La, Pr, Nd) – syntheses of three new rare earth borates isotypic to Ce2B8O15
- Substitution of W5+ in monophosphate tungsten bronzes by combinations Mn+/W6+
- On new ternary equiatomic scandium transition metal aluminum compounds ScTAl with T = Cr, Ru, Ag, Re, Pt, and Au
- Triangular Zn3 and Ga3 units in Sr2Au6Zn3, Eu2Au6Zn3, Sr2Au6Ga3, and Eu2Au6Ga3 – structure, magnetism, 151Eu Mössbauer and 69;71Ga solid state NMR spectroscopy
- The crystal structure of Cs2S2O3·H2O
- Trigermanides AEGe3 (AE = Ca, Sr, Ba): chemical bonding and superconductivity
- The coloring problem in the solid-state metal boride carbide ScB2C2: a theoretical analysis
- Synthesis and structure determinantion of the first lead arsenide phosphide Pb2AsxP14–x (x ~ 3.7)
- The new barium compound Ba4Al7+x: formation and crystal structure