Abstract
The chlorine functionalized dialkynylsilane (4-tBu-C6H4)(Cl)Si(C≡C-tBu)2 (3) reacted with equimolar quantities of H–AltBu2 or H–GatBu2 by hydrometallation of a C≡C triple bond and formation of mixed alkenyl-alkynylsilanes (4 and 5) in which the Si and Lewis acidic metal atoms adopt geminal positions at the α-C atoms of the alkenyl groups. Intramolecular M···Cl interactions (M=Al, Ga) afforded four-membered SiCMCl heterocycles which in comparison with 3 had significantly lengthened Si–Cl bonds. Dual hydrometallation of 3 was only observed for H–GatBu2. One Ga atom of the product (6) was coordinated by the silicon-bound Cl atom, while the second one showed an interaction with the aromatic ring of the tert-butyl-phenyl group. Treatment of the aluminium compound 4 with two equivalents of H–GatBu2 afforded a Si–H bond by Cl-H exchange and release of Cl–AltBu2. The resulting silane (7) has the Si atom and two Ga atoms bridged by the α-C atoms of two vinyl groups. The specific functionality of 4 caused a remarkable reactivity. Phenyl isocyanate reacted by the formal insertion into the Al–C(vinyl) and the activated Si–Cl bonds and resulted in the formation of a C–C bond. The product (8) has a SiC2N heterocycle with an Si–N bond and exocyclic C=C and C=O double bonds. The keto group is coordinated to a Cl–AltBu2 molecule, which was formed by the shift of the Cl atom from silicon to aluminium.
1 Introduction
Hydrometallation of donor-functionalized alkynylsilanes and –germanes with dialkylaluminium and –gallium hydrides afforded unprecedented vinylsilanes and –germanes which have a geminal arrangement of Al/Ga and Si/Ge atoms at the resulting C=C double bonds. Four-membered heterocycles MCEX with activated Si–X or Ge–X bonds (M=Al, Ga; E=Si, Ge, X=donor: NR2, Cl) resulted from an intramolecular interaction of the Lewis acidic metal atoms with the basic donor groups [1–6]. The weakening of the E–X bonds was confirmed by quantum-chemical calculations and a significant decrease of their Wiberg bond indices [2]. This situation facilitated fascinating secondary reactions such as the elimination of an imine at room temperature from a diethylaminogermane [4] or a Cl/tBu exchange between Al and Si/Ge atoms (dyotropic rearrangement) [5, 6]. Quantum-chemical calculations on both mechanisms suggested that silyl or germyl cations are formed as reactive intermediates [4–6]. The heterolytic cleavage of the relatively stable Si–Cl bond was achieved only with a doubly hydroaluminated silane and was supported by the chelating coordination of the leaving Cl atom by two Al atoms [6]. The selective insertion of heterocumulenes into activated Ge–N bonds is another important aspect of this chemistry [2]. Alkynyl groups bound to silicon or germanium were also found to act as donors towards Al and Ga atoms [7, 8]. The activation of the respective Si–C and Ge–C bonds resulted in rearrangement (1,1-carbalumination, 1,1-carbagallation) to form sila- and germacyclobutenes which exhibit interesting fluorescence properties [9–11] (for 1,1-carbaboration: see references [12–14]). The complete transfer of the donor groups from silicon or germanium to the Lewis acidic acceptor atoms (Al or Ga) could generate silyl or germyl cations, but has not yet realized experimentally. The strongest intramolecular M–X interactions (M=Al, Ga) observed so far resulted in a comparable strength of Si/Ge–X and Al–X bonds, while Ga–X bonds are usually significantly weaker. In order to achieve the transfer of the donor groups the Lewis acidity of the Group 13 atoms has to be enhanced or the Lewis acidity of the hypothetically formed silyl or germyl cations has to be reduced. Electron donating groups attached to silicon (or germanium) and a chelating coordination of the leaving group by two metal atoms may favor such a transformation. We therefore synthesized an aryl-chloro-dialkynylsilane, which had a p-tert-butylphenyl group bonded to silicon, and hoped that the +I effect of the tert-butyl group may help to further activate the Si–Cl bond.
2 Results and discussion
The starting chloro-dialkynyl-tert-butylphenylsilane (3) was synthesized in high yield (79%) by treatment of the dialkynyl-dichlorosilane 2 with one equivalent of in-situ generated p-tert-butylphenyl lithium in diethyl ether (Scheme 1). The synthesis of the dichlorosilane 2 by the reaction of SiCl4 with Li–C≡C-tBu and its NMR spectroscopic characterization have been reported previously [15]. A relatively unselective reaction afforded only a mixture of alkynylsilanes which was separated by fractional distillation. A more selective route is presented in Scheme 1. Following a literature procedure [16] we synthesized dipyrrolidyl-dichlorosilane which has two pyrrolidinyl substituents as protecting groups bound to silicon. Reaction with two equivalents of Li–C≡C-tBu afforded dialkynylsilane 1 by salt elimination in high yield. In the next step the protecting groups were removed by treatment of 1 with an ethereal solution of HCl to yield the corresponding ammonium salt and dialkynyl-dichlorosilane 2 in high purity and almost quantitative yield. The finally isolated aryl-chloro-dialkynylsilane 3 showed the expected resonances of the ethynyl C atoms in the 13C NMR spectrum at δ=77.4 and 119.1 ppm and three characteristic absorptions of C≡C stretching vibrations at 2189, 2154 and 2118 cm−1 in the IR spectrum. Determination of the molecular structure (Fig. 1) revealed a Si atom with a tetrahedral coordination (angles C–Si–C and C–Si–Cl between 107.1(1) and 111.8(1)°). The Si–C distances depend on the hybridisation of the C atoms, the shorter ones (181.4 pm on average) resulted with the alkynyl groups (185.1(1) pm with the aryl ring). The Si–Cl (205.71(6) pm) and C≡C bond lengths (120.0 pm on average) correspond to standard values. The alkynyl groups deviate only slightly from linearity with angles between 176.2(1) and 179.7(2)°.

Synthesis of the aryl-chloro-dialkynylsilane 3.

Molecular structure and numbering scheme of 3. Displacement ellipsoids are drawn at the 40% probability level. Hydrogen atoms have been omitted for clarity. Selected bond lengths (pm) and angles (deg): Si1–Cl1 205.7(1), Si1–C11 181.7(2), Si1–C21 181.0(2), Si1–C31 185.1(1), C11–C12 119.9(2), C21–C22 120.0(2); Si1–C11–C12 177.0(1), C11–C12–C13 179.7(2), Si1–C21–C22 176.2(1), C21–C22–C23 179.4(2).
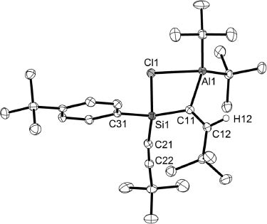
Treatment of compound 3 with one equivalent of H–AltBu2 or H–GatBu2 in n-hexane at 0°C afforded the mixed alkenyl-alkynylsilanes 4 and 5 by reduction of one of their C≡C triple bonds (Scheme 2). Recrystallization from 1,2-difluorobenzene yielded colorless crystals of both compounds in excellent yields of >87%. The chemical shifts of the ethynyl C atoms in the 13C NMR spectra (δ=78 and 123 ppm on average) and the absorptions of the C≡C stretching vibrations in the IR spectra (between 2120 and 2200 cm−1) are almost identical to those of the starting compound 3 and confirm the absence of significant bonding interactions between the Lewis acidic metal atoms and the alkynyl groups. Such interactions have been observed previously and resulted usually in an increased difference between the chemical shifts of the alkynyl C atoms and a shift of the respective IR absorptions to lower wave numbers [7, 8]. The C atoms of the ethenyl groups of 4 and 5 resonate in the expected ranges at δ=140 and 171 ppm on average. The relatively large 3JSiH coupling constants of 33.4 and 26.0 Hz are consistent with the trans-arrangement of H and Si atoms across the C=C double bonds [17] and a cis-addition of the Al–H or Ga–H bonds. The molecular structures (Fig. 2) feature central, almost planar four-membered SiCMCl heterocycles (M=Al, Ga) which result from an intramolecular interaction of the Lewis-acidic Al and Ga atoms with the Cl atoms attached to silicon. The alkynyl groups adopt terminal positions as predicted by the results of the NMR and IR spectroscopic characterization. In case of the aluminium compound 4 the Al–Cl interaction leads to a considerable lengthening of the Si–Cl bond compared to the starting compound 3 (219.8(1) versus 205.7(1) pm). The Al–Cl distance (245.6(1) pm) is in the upper range of bond lengths which are characteristic of Al–Cl–Al bridges [18–23]. A similar activation of a Si–Cl bond has recently been observed after hydroalumination of a chloro-trialkynylsilane with one equivalent of H–AltBu2 [5]. The Si-Cl distance in this product is shorter (216.0(1) pm), the Al–Cl distance longer (251.6(1) pm) than in compound 4. These observations may indicate the influence of the inductive effect of the p-tert-butyl group in 4, although other factors such as the hybridization and the hardness of the atoms bonded to silicon may be of similar importance. The weaker acceptor strength of gallium compared to aluminium results in a shorter Si–Cl bond (215.6(1) pm) and a longer M–Cl bond (M=Ga; 263.8(1) pm) in compound 5. The alkenyl groups show a cis-arrangement of Si and H atoms which is in accordance with the observed NMR data. Rearrangement to the thermodynamically favored trans-products [17] is probably prevented by the intramolecular Al–Cl bonding interaction. Such a rearrangement requires the approach of a Lewis acidic center in order to activate the C=C double bond and reduce its rotational barrier [17]. The remaining structural parameters of both molecules are unexceptional and closely related.

Hydrometallation of dialkynylsilane 3.

Molecular structure and numbering scheme of 4; the structure of the gallium compound 5 is similar. Displacement ellipsoids are drawn at the 40% probability level. H atoms with the exception of the vinylic H atom H12 have been omitted for clarity. Selected bond lengths (pm) and angles (deg): Al1–Cl1 245.6(1), Al1–C11 199.2(2), Si1–Cl1 219.8(1), Si1–C11 182.7(2), Si1–C21 180.8(2), Si1–C31 184.6(2), C11–C12 134.0(3), C21–C22 120.0(3); Al1–Cl1–Si1 79.5(1), Al1–C11–Si1 102.7(1), Cl1–Al1–C11 83.0(1), Cl1–Si1–C11 94.6(1); compound 5 (the numbering of the alkenyl and alkynyl atoms is exchanged): Ga1–Cl1 263.8(1), Ga1–C21 200.3(2), Si1–Cl1 215.6(1), Si1–C21 183.4(2), Si1–C11 181.0(2), Si1–C31 185.0(2), C21–C22 133.7(3), C11–C12 119.7(3); Ga1–Cl1–Si1 78.1(1), Ga1–C21–Si1 104.9(1), Cl1–Ga1–C21 79.4(1), Cl1–Si1–C21 97.4(1).
Treatment of the bisalkyne 3 with two equivalents of H–AltBu2 did not result in the generation of a dialkenylsilane by reduction of both alkynyl groups. Instead, the monohydroalumination product 4 was detected by NMR spectroscopy as the main component in the reaction mixture after prolonged stirring at room temperature or in the heat. In contrast, dual hydrogallation was achieved in a simple reaction by stirring a 1:2 mixture of 3 and H–GatBu2 in n-hexane at room temperature over night (Scheme 2). The digallium compound 6 was isolated after recrystallization from pentafluorobenzene in 48% yield. The different behavior of the aluminium and gallium starting compounds seems to be counterintuitive with respect to the higher polarity of the Al–H compared to the Ga–H bond, but has been observed previously [6]. It may depend on the higher stability of the usually oligomeric dialkylaluminium hydrides in solution, which is caused by the larger charge separation and may hinder the addition of Al–H bonds to unsaturated compounds. The absence of C≡C stretching vibrations in the IR and of the typical resonances of ethynyl C atoms in the 13C NMR spectrum indicates the reduction of both triple bonds of 3 and the formation of the dialkenylsilane 6. Crystal structure determination (Fig. 3) confirmed the formation of a divinylsilane with a geminal arrangement of Si and Ga atoms. One Ga atom (Ga1) is bonded to the Cl atom to form an almost planar GaCSiCl heterocycle. The Si–Cl distance (215.2(1) pm) is identical to that in 5, while the Ga–Cl distance (274.0(1) pm) is lengthened which may depend on steric repulsion in this relatively crowded molecule. The second Ga atom (Ga2) shows a close interaction with the phenyl group (Ga2–C32 283 pm) which results in a deviation of Ga2 from the plane spanned by the three directly bound C atoms (C21, C24, C25) by 24 pm. Similar structural motifs have been observed previously [2, 6]. The molecular structure in the solid state with a chiral coordination sphere at the Si atom should result in different resonances for both vinyl and all gallium bound tert-butyl groups in the NMR spectra, but only one set of resonances for vinyl groups and signals of two independent Ga–CMe3 moieties were detected in solution at room temperature. These observations indicate a fast exchange process in which each Ga atom coordinates alternately to the Cl atom or the phenyl substituent. The relatively weak Ga–Cl interaction may favor the fast exchange by a low activation barrier. The expected splitting of resonances was observed upon cooling a solution of 6 to 200 K resulting in a complicated spectrum with signals of two vinylic H atoms and seven different tert-butyl groups attached to the Ga atoms, the phenyl group and the ethenyl groups.

Molecular structure and numbering scheme of 6. Displacement ellipsoids are drawn at the 40% probability level. H atoms with the exception of the vinylic H atoms H12 and H22 have been omitted for clarity. Selected bond lengths (pm) and angles (deg): Ga1–Cl1 274.01(4), Ga1–C11 200.5(1), Si1–Cl1 215.23(5), Si1–C11 184.5(1), C11–C12 133.5(2), Si1–C21 185.2(1), C21–C22 134.3(2), Si1–C31 187.8(1), Ga2–C21 200.0(1), Ga2···C32 283; Ga1–Cl1–Si1 77.2(1), Ga1–C11–Si1 106.5(1), Cl1–Ga1–C11 76.5(1), Cl1–Si1–C11 96.7(1), Si1–C21–Ga2 113.1(1).
Dual hydrometallation of 3 was only successful with H–GatBu2, while H–AltBu2 gave only partial reduction of the alkynyl groups with the formation of the mixed alkenyl-alkynylsilane 4. The facile reaction with the gallium hydride motivated us to treat the monoaluminium compound 4 with one equivalent of H–GatBu2 in order to obtain a unique dialkenylsilane containing Al and Ga atoms. However, complete consumption of 4 was only achieved when two equivalents of the hydride were added (Scheme 2). Cl–AltBu2 was identified as a by-product of the reaction by NMR spectroscopy [24]. It was removed by recrystallization from 1,2-difluorobenzene which afforded colorless crystals of compound 7 in 58% yield. The absence of resonances for ethynyl C atoms in the 13C NMR and of νC≡C in the IR spectrum confirmed the hydrometallation of both C≡C triple bonds. A singlet in the 1H NMR spectrum at δ=5.63 ppm with 29Si satellites and a large 1JSiH coupling constant of 190 Hz, and an absorption in the IR spectrum at 2116 cm−1, indicated the formation of a Si–H bond, suggesting a relatively complicated and unprecedented reaction pathway. The addition of two equivalents of H–GatBu2 resulted in hydrogallation of the remaining triple bond and the replacement of the Al by a Ga atom. The latter reaction may proceed by elimination of H–AltBu2 (retrohydroalumination) and addition of a Ga–H bond to the resulting ethynyl group. Chlorine-hydrogen exchange by the subsequent reaction of the Si–Cl moiety with dialkylaluminium hydride may yield the chloro aluminium compound Cl–AltBu2 and the silane 7 with a Si–H bond. A similar H/Cl exchange has recently been observed upon treatment of a sterically highly shielded chloro-dialkynylgermane with two equivalents of H–AltBu2 which resulted in the reduction of only one ethynyl moiety [6]. Crystal structure determination of 7 confirmed the suggested constitution (Fig. 4). A divinylsilane is formed with two Ga atoms in geminal positions to the central Si atom which is further bonded to the p-tert-butylphenyl group and a hydrogen atom. Ga1 has a close contact to two phenyl C atoms (C31: 311 pm; C36: 301 pm) which seems to preserve the kinetically favored [17] cis-configuration with Ga and H atoms on the same side of the C=C double bond. Ga2 has a weak interaction to a C–H bond (Ga2–C231 288 pm) of the vinylic tert-butyl group. Interestingly, this alkenyl group (C2x; x=1 to 3 and 31 to 33) adopts the thermodynamically favored trans-configuration. cis/trans-Isomerisation of alkenylaluminium or -gallium groups requires activation by Lewis acids [17]. Hence, the different configuration of the alkenyl groups may reflect the different strengths of the intramolecular interactions. They result in a pyramidalisation of the Ga atoms which are 18 (Ga1) and 13 pm (Ga2) above the plane of the directly bonded C atoms. Caused by the different configurations of the alkenyl groups the central Si atom has a chiral coordination sphere, which results in complicated NMR spectra already at room temperature with resonances of four different tert-butyl groups bonded to the Ga atoms. All other structural data correspond to standard values.

Molecular structure and numbering scheme of 7. Displacement ellipsoids are drawn at the 40% probability level. H atoms with the exception of the Si-bound H atom and the vinylic H atoms H12 and H22 have been omitted for clarity. Selected bond lengths (pm) and angles (deg): Ga1–C11 198.5(2), Ga2–C21 198.0(2), C11–C12 133.9(3), C21–C22 133.5(4), Si1–C11 185.4(3), Si1–C21 186.4(1), Si1–C31 188.5(3), Si1–H1 132(3), Ga1–C31 311, Ga1–C36 301, Ga2···C231 288; Ga1–C11–Si1 112.4(1), Ga2–C21–Si1 116.6(1).
The activation of the Si–Cl bond by the intramolecular Al–Cl interaction should result in an unusual reaction behavior of compound 4. In a preliminary experiment we therefore treated 4 with phenyl isocyanate and isolated compound 8 (Scheme 3) which was identified by crystal structure determination (Fig. 5). The unexpected and unique molecular structure of 8 features a four-membered SiC2N heterocycle and results from an insertion of the isocyanate group into the Al–C(vinyl) and the activated Si–Cl bonds of 4. The reaction course involves C–C bond formation (C11–C111) and the transfer of the Cl atom from silicon to aluminium. The resulting di(tert-butyl)aluminium chloride molecule is coordinated by the isocyanate O atom. The Si atom has a chiral coordination sphere and is additionally bonded to an exocyclic alkynyl group (C21–C22 120.1(5) pm; Si1–C21–C22 164.1(3)°) and the 4-tBu-C6H4 substituent. The ring C atom C11 in α-position to silicon is part of an alkenyl moiety (C11–C12 135.7(5) pm). The second C atom C111 is opposite to the Si atom and bonded to the exocyclic oxygen atom O1 (C111–O1 125.7(4) pm). The N atom of the ring (N1) has a planar coordination sphere (sum of the angles 359.8°) and a relatively short endocyclic distance to the keto C atom (N1–C111 134.8(4) pm) which may indicate π delocalisation in this part of the molecule. The most acute endocyclic angle was observed at the Si atom (N1–Si1–C11 74.1(1)°), the largest one at the C atom of the keto group (N1–C111–C11 103.0(3)°). A relatively large angle was interestingly detected for the group Si1–C11=C12 (146.9(3)°). The Al1–O1 distance (184.0(3) pm) corresponds to standard values, and the group Al1–O1–C111 approaches linearity (146.2(3)°) which may reflect a high ionic character of the Al–O bond. A relatively short distance between the vinylic hydrogen atom H12 and the Cl atom (273 pm; C12···Cl1 367 pm) may indicate an intramolecular C–H···Cl hydrogen bonding interaction [25]. This interaction may influence the chemical shift of H12 in the 1H NMR spectrum which was observed at an unusually low field (δ=8.81 ppm) compared to other vinylsilanes reported in this article (7.11 and 7.60 (M=Al) and 6.30 to 6.72 (M=Ga, cis only). The tert-butyl groups attached to aluminium show two different sets of resonances in the NMR spectra according to the molecular symmetry with a chiral Si atom. In the 13C NMR spectrum the carbonyl C atom resonates at δ=175.6 ppm, the alkenyl C atoms are found at δ=127.3 (C–Si) and 168.8 ppm (C–tBu), and the alkynyl group show resonances at δ=72.1 (C–Si) and 126.5 ppm (C–tBu). Two absorptions in the IR spectrum at 2199 and 2147 cm−1 are characteristic of the alkynyl group, a broad absorption at 1578 cm−1 was assigned to the overlapping C=O, C=N and C=C stretching vibrations. The unique reactivity of 4 towards phenyl isocyanate with the concomitant cleavage of the Si–Cl and Al–C(vinyl) bonds differs considerably from that of comparable amino functionalized germanes [2] which were obtained on similar routes by hydrogallation of alkynylaminogermanes and had intramolecular Ga–N interactions with an activation of the Ge–N bond and the formation of four-membered GeNGaC heterocycles. Treatment of such a compound with phenyl isocyanate resulted in the insertion of the heterocumulene into the activated Ge–N bond and the formation of six-membered heterocycles with a Ga–O bond and a new Ge–N bond to the isocyanate N atom. The Ge-vinyl-Ga backbone remained unchanged in this reaction which may depend on the lower polarity of the Ga–C(vinyl) compared to the Al–C(vinyl) bond in 4. A comparable four-membered heterocycle (PCAlN) with a P atom instead of Si or Ge atoms was obtained by hydroalumination of an amino-functionalized alkynylphosphine [26]. The product showed Al–N bond activation by an intramolecular Al–N interaction and reacted with phenyl isocyanate to afford a phosphaallene, R-P=C=C(H)-R′, as the main product by the formal release of a dialkylaluminium ureate [26]. These examples confirm impressively the excellent suitability of hydrometallation for the generation of different Si-, Ge- or P-centered compounds which contain activated E–X bonds (E=Si, Ge, P; X=donor) and show a unique reactivity in secondary reactions with the formation of a variety of unusual compounds.

Reactions of the Si–Cl compound 4 with isocyanate and cyanamide.

Molecular structure and numbering scheme of 8. Displacement ellipsoids are drawn at the 40% probability level. H atoms with the exception of the vinylic H atom H12 have been omitted for clarity. Selected bond lengths (pm) and angles (deg): Si1–C11 184.7(4), Si1–C21 179.7(4), Si1–C31 183.6(4), C11–C12 135.7(5), C11–C111 146.6(5), C111–O1 125.7(4), C21–C22 120.1(5), N1–Si1 181.0(3), N1–C111 134.8(4), Al1–O1 184.0(3), Al1–Cl1 219.3(2); C11–Si1–N1 74.1(1), Si1–N1–C111 94.0(2), N1–C111–C11 103.0(3), C111–C11–Si1 88.7(2), C11–C111–O1 131.3(3), C111–C11–C12 124.3(3), Si1–C11–C12 146.9(3), C111–O1–Al1 146.2(3).
In a previous publication we reported on the oligomerisation of cyanamides by catalytic quantities of an Al/N-based active Lewis pair [27], which was obtained by hydroalumination of an ynamine. An intramolecular Al–N donor-acceptor bond resulted in an unsaturated and strained AlC2N heterocycle, which after Al–N bond cleavage showed a reactivity similar to that of frustrated Lewis pairs [28]. As was shown by quantum chemical calculations the catalytic oligomerisation reactions are initiated by cleavage of the intramolecular Al–N bonds and a cooperative activity of the Lewis acidic Al atoms and the Lewis basic N atoms [27]. We hoped that the Al/Cl based compound reported in this article may behave similarly. However, treatment of 4 with morpholinocarbonitrile afforded only the simple adduct in which one nitrile molecule is coordinated to the Al atom via its terminal N atom (9, Scheme 3, Fig. 6). The Si–Cl bond (209.4(1) pm) adopts a terminal position and is only slightly lengthened compared to the starting compound 3. The Al–N distance (197.4(1) pm) corresponds to standard values of Al–N donor-acceptor interactions. C=C (134.3(2) pm), C≡C (120.1(2) pm) and C≡N bond lengths (114.2(2) pm are also unexceptional. The alkynyl (Si1–C22–C21 177.6(1); C22–C21–C23 177.4(2)°) and the Al–C≡N-R groups (Al1–N1–C41 172.5(1); N1–C41–N2 179.3(2)°) deviate only slightly from linearity. According to molecular symmetry with a chiral Si atom the tert-butyl groups attached to aluminium showed two sets of resonances in the NMR spectra. The 13C NMR signals of the functional groups were found in the expected ranges (C≡N: δ=110.3 ppm; C≡C: δ=83.4 and 118.9 ppm; C=C: δ=141.4 and 172.6 ppm). Absorptions in the IR spectrum between 2158 and 2268 cm−1 were assigned to the stretching vibrations of the C≡C and C≡N triple bonds.

Molecular structure and numbering scheme of 9. Displacement ellipsoids are drawn at the 40% probability level. H atoms with the exception of the vinylic H atom H12 have been omitted for clarity. Selected bond lengths (pm) and angles (deg): Si1–C11 183.1(1), Si1–C22 182.2(1), Si1–C31 186.3(2), Si1–Cl1 209.4(1), C11–C12 134.3(2), C21–C22 120.1(2), Al1–C11 200.6(1), Al1–N1 197.4(1), N1–C41 114.2(2), C41–N2 129.6(2); Si1–C11–Al1 126.6(1), C11–Al1–N1 104.7(1), Al1–N1–C41 172.5(1), N1–C41–N2 179.3(2).
In conclusion, we have synthesized a p-tert-butylphenyl substituted chloro-dialkynylsilane (3). Hydroalumination and hydrogallation yielded mixed alkenyl-alkynylsilanes (4 and 5) in which the silicon and metal atoms (M=Al, Ga) adopt a geminal arrangement at the α-C atom of the alkenyl group. A bonding interaction between the Cl atoms and the Lewis acidic metal atoms resulted in the formation of SiClMC heterocycles and an activation and considerable lengthening of the Si–Cl bonds. In accordance with the weaker Lewis acidity of Ga atoms this effect is less pronounced for the gallium compound 5. The +I effect of the para-tert-butyl group may influence the structural parameters, and we observed the longest Si–Cl and shortest Al–Cl bonds observed so far for such systems. However, the effect was less pronounced than expected. Dual hydrometallation was successful only upon treatment of 3 with two equivalents of H–GatBu2. A digalliumdivinylsilane (6) was formed in which instead of the desired dual coordination the Cl atom was coordinated to only one Ga atom, while the second Ga atom showed a short contact to the aromatic ring. Reaction of the monoaluminium compound 4 with two equivalents of H–GatBu2 gave Cl-H exchange with the formation of a Si–H group and the reduction of both alkynyl groups (7). Cl–AltBu2 was detected as a by-product. The Ga atoms showed interactions with the phenyl and a vinylic tert-butyl group. The coordination of the silicon-bound H atom was not observed which would result in a highly interesting bonding situation. Obviously the polarity of the Si–H bond and the partial charge at the H atom are too low to favor an interaction with the Lewis acidic metal atoms. Treatment of 4 with phenyl isocyanate resulted in the insertion of the isocyanate moiety into the Al–C(vinyl) and the activated Si–Cl bonds to yield an unprecedented four-membered SiC2N heterocycle with exocyclic C=O and C=C bonds. This reaction confirms the high potential of these activated species for a wide application in various secondary reactions. Different products have been isolated upon treatment of strongly related amino-functionalized silanes or germanes with phenyl isocyanates. These very promising reactions may be transferrable to other heterocumulenes, and will be investigated for 4 and 5 and related compounds in the near future.
3 Experimental section
All procedures were carried out under an atmosphere of purified argon in dried solvents (n-pentane, n-hexane with LiAlH4; Et2O and toluene with Na/benzophenone; 1,2 difluorobenzene and pentafluorobenzene with molecular sieves). NMR spectra were recorded in C6D6 at ambient probe temperature using the following Bruker instruments: Avance I (1H, 400.13; 13C, 100.62; 29Si, 79.49 MHz) or Avance III (1H, 400.03; 13C, 100.59; 29Si 79.47 MHz) and referenced internally to residual solvent resonances (chemical shift data in δ). 13C NMR spectra were all proton-decoupled. IR spectra were recorded of Nujol mulls between CsI plates on a Shimadzu Prestige 21 spectrometer. H–AltBu2 [29], H–GatBu2 [29] and (C4H8N)2SiCl2 [16] were obtained according to literature procedures. The assignment of NMR spectra is based on HMBC, HSQC and DEPT135 data.
3.1 (H8C4N)2Si(C≡C-tBu)2 (1)
A solution of nBuLi in n-hexane (26 mL, 41.6 mmol, 1.6 m) was added dropwise (10 min) at –78°C to a solution of Me3C–C≡C–H (5.10 mL, 3.41 g, 41.6 mmol) in Et2O (110 mL). The mixture was stirred for 1 h, the cooling bath was removed, and the suspension was allowed to warm to room temperature overnight. The mixture was treated with Et2O (total volume of the suspension ~230 mL) and added dropwise (2 h) at room temperature to a solution of (C4H8N)2SiCl2 (3 mL, 3.63 g, 15.2 mmol) in Et2O (100 mL). The mixture was stirred for 5 d at room temperature, all volatiles were removed in vacuo, and the residue was treated with n-pentane (50 mL). The suspension was filtered and the solid washed twice with n-pentane (25 mL). The combined filtrates were concentrated and stored at –15 to –30°C to yield (C4H8N)2Si(C≡C-tBu)21 as a colorless solid. Yield: 3.78 g (75%). M. p. (argon, sealed capillary): 79°C. – IR (CsI, paraffin): ν=2197 vs, 2155 vs ν(C≡C); 1455 vs, 1377 vs (paraffin); 1360 vs, 1346 vs, 1290 m, 1254 s δ(CH3); 1202 m, 1119 s, 1084 s, 1007 vs, 937 vs, 910 s, 874 w, 771 vs ν(CC), ν(CN); 723 sh m (paraffin); 689 vw, 579 vs, 538 vs, 442 s, 413 s cm−1ν(SiN), ν(SiC), δ(CC). – 1H NMR (400.13 MHz, C6D6, 300 K): δ=3.31 (m, 8 H, NCH2), 1.66 (m, 8 H, NCH2CH2), 1.14 ppm (s, 18 H, C≡C–CMe3). – 13C NMR (100.6 MHz, C6D6, 300 K): δ=114.8 (C≡C–CMe3), 79.6 (C≡C–CMe3), 46.9 (NCH2), 30.9 (CMe3), 28.3 (CMe3), 27.1 ppm (NCH2CH2). – 29Si NMR (79.49 MHz, C6D6, 300 K): δ=–59.4 ppm. – MS (EI; 30 eV; 298 K): m/z (%)=330 (78) [M]+, 315 (7) [M–CH3]+, 273 (25) [M–CMe3]+, 259 (100) [M–C4H8NH]+. – C20H34N2Si (330.59): calcd. C 72.7, H 10.4, N 8.5; found C 72.4, H 10.3, N 8.5.
3.2 Cl2Si(C≡C-tBu)2 (2)
A solution of (C4H8N)2Si(C≡C-tBu)2 (1, 0.91 g, 2.75 mmol) in n-hexane (25 mL) was treated at room temperature with a solution of HCl·Et2O (12.1 mL, 12.1 mmol, 1.0 m in Et2O). The immediately formed suspension was stirred overnight. Et2O was removed in vacuo at 0°C, and (C4H8NH2)Cl was separated by filtration. The ammonium salt was washed with n-hexane (15 mL). The combined filtrate was concentrated and stored at –30°C to yield Cl2Si(C≡C-tBu)2, 2, as a colorless solid. Yield: 0.64 g (89%). M. p. (argon, sealed capillary): 65°C. – IR (CsI, paraffin): ν=2201 vs, 2162 vs ν(C≡C); 1576 vw, 1558 vw; 1458 vs, 1364 vs (paraffin); 1302 vw, 1254 vs δ(CH3); 1202 vs, 1117 m, 1084 m, 1030 w, 962 vs, 847 vw, 783 vs, 772 vs ν(CC); 719 s (paraffin); 694 w, 582 vs, 559 vs, 463 vs cm−1ν(SiCl), ν(SiC), δ(CC). – 1H NMR (400.13 MHz, C6D6, 300 K) [15]: δ=0.94 ppm (s, 18 H, C≡C–CMe3). – 13C NMR (100.6 MHz, C6D6, 300 K): δ=120.0 (C≡C–CMe3), 77.0 (C≡C–CMe3), 29.7 (CMe3), 28.3 ppm (CMe3). – 29Si NMR (79.49 MHz, C6D6, 300 K): δ=–47.6 ppm. – MS (EI; 30 eV; 298 K): m/z (%)=260 (1) [M]+, 245 (64) [M–CH3]+, 225 (6) [M–Cl]+, 203 (21) [M–CMe3]+. – C12H18Cl2Si (261.27): calcd. C 55.2, H 6.9; found C 55.7, H 7.1.
3.3 (4-tBu-C6H4)(Cl)Si(C≡C-tBu)2 (3)
A solution of nBuLi (2.20 mL, 3.52 mmol, 1.6 m in n-hexane) was added dropwise over a period of 30 min to a solution of 4-tBu-C6H4-Br (0.75 g, 3.52 mmol) in Et2O (50 mL) at –78°C. The mixture was allowed to warm to room temperature and stirred for 3 h. This mixture was then added dropwise to a solution of Cl2Si(C≡C-tBu)2 (0.92 g, 3.52 mmol) in Et2O (50 mL). The mixture was warmed to room temperature and stirred overnight. The solvent was removed in vacuo, and the residue was extracted with n-hexane (50 mL). Removing the precipitated LiCl by filtration and concentrating the filtrate in vacuum yielded compound 3 as colorless crystals upon cooling to 2°C. Yield: 1.00 g (79%). M. p. (argon, sealed capillary): 121°C. – IR (CsI, paraffin): ν=2189 m, 2154 s, 2118 sh ν(C≡C); 1931 w, 1821 w, 1674 w, 1597 m, 1578 m, 1558 vw, 1547 m (phenyl); 1458 vs, 1377 vs (paraffin); 1364 vs, 1310 m, 1250 vs δ(CH3); 1200 s, 1155 m, 1138 s, 1115 m, 1090 s, 1028 m, 1015 m, 982 w, 947 s, 932 s, 843 m, 826 s, 770 s, 743 s ν(CC); 723 m (paraffin); 637 w, 600 s, 577 vs, 556 s, 513 s, 438 m, 424 m cm−1ν(SiC), ν(SiCl), δ(CC). – 1H NMR (400.13 MHz, C6D6, 300 K): δ=8.08 (d, 3JHH=8.2 Hz, 2 H, o-H), 7.31 (d, 3JHH=8.2 Hz, 2 H, m-H), 1.15 (s, 9 H, Ph-CMe3), 1.06 ppm (s, 18 H, C≡C–CMe3). – 13C NMR (100.6 MHz, C6D6, 300 K): δ=154.3 (p-C), 134.4 (o-C), 130.1 (ipso-C), 125.6 (m-C), 119.1 (C≡C–CMe3), 77.4 (C≡C–CMe3), 34.8 (Ph-CMe3), 31.1 (Ph-CMe3), 30.2 (C≡C–CMe3), 28.5 ppm (C≡C–CMe3). – 29Si NMR (79.49 MHz, C6D6, 300 K): δ=–42.7 ppm. – MS (EI; 30 eV; 298 K): m/z (%)=358 (16) [M]+, 343 (100) [M–CH3]+, 301 (13) [M–CMe3]+, 277 (3) [M–CCCMe3]+, 225 (10) [M–C6H4CMe3]+. – C22H31ClSi (359.03): calcd. C 73.6, H 8.7; found C 73.7, H 8.8.
3.4 (4-tBu-C6H4)(tBu-C≡C)(Cl)-Si[C(AltBu2)=CH-tBu] (4)
A solution of 3 (0.97 g, 2.70 mmol) in n-hexane (20 mL) was added at 0°C to a solution of H–AltBu2 (0.38 g, 2.70 mmol) in n-hexane (10 mL). The mixture was allowed to warm to room temperature and stirred overnight. The solvent was removed in vacuo and the residue recrystallized from 1,2-difluorobenzene (–30°C) to yield compound 4 as a colorless solid. Yield: 1.29 g (87%; based on 4·0.4C6F2H4). M. p. (argon, sealed capillary): 81°C. – IR (CsI, paraffin): ν=2203 m, 2156 s, 2124 sh vw ν(C≡C); 1921 vw, 1597 s, 1570 vs, 1549 sh, 1508 w ν(C=C), Ph; 1466 vs, 1400 s, 1375 vs (paraffin); 1306 m, 1267 m, 1254 s δ(CH3); 1202 s, 1171 m, 1153 m, 1134 s, 1115 m, 1090 s, 1028 w, 1001 w, 945 m, 901 vw, 889 w, 841 w, 824 m, 810 s, 797 m, 773 m, 746 m ν(CC); 719 s (paraffin); 677 m (phenyl); 637 vw, 600 m, 557 m, 540 sh w, 500 w, 478 m, 467 m, 432 m cm−1ν(AlC), ν(SiC), ν(SiCl), δ(CC). – 1H NMR (400.13 MHz, C6D6, 300 K): δ=8.04 (d, 3JHH=8.0 Hz, 2 H, o-H), 7.30 (d, 3JHH=8.0 Hz, 2 H, m-H), 7.11 (s, 3JSiH=33.4 Hz, C=CH), 1.41 and 1.35 (each s, 9 H, AlCMe3), 1.14 (s, 9 H, C≡C–CMe3), 1.11 (s, 9 H, Ph-CMe3), 1.03 ppm (s, 9 H, C=CH–CMe3). – 13C NMR (100.6 MHz, C6D6, 300 K): δ=173.1 (C=CH), 155.0 (p-C), 138.2 (br. C=CH), 134.6 (o-C), 131.3 (ipso-C), 125.8 (m-C), 123.5 (C≡C–CMe3), 77.9 (C≡C–CMe3), 40.3 (C=C–CMe3), 34.9 (Ph-CMe3), 31.1 (Ph-CMe3), 30.6 and 30.4 (AlCMe3), 30.1 (C≡C–CMe3), 29.2 (C=C–CMe3), 28.7 (C≡C–CMe3), 17.7 and 17.3 ppm (br. AlCMe3). – 29Si NMR (79.49 MHz, C6D6, 300 K): δ=–5.0 ppm. – MS (EI; 20 eV; 353 K): m/z (%)=443 (18) [M–CMe3]+. – C30H50AlClSi·(0.4C6H4F2) (546.89, the incorporated solvent equivalent was determined by 1H NMR spectroscopy): calcd. C 71.2, H 9.5; found C 70.8, H 9.6.
3.5 (4-tBu-C6H4)(tBu-C≡C)(Cl)-Si[C(GatBu2)=CH-tBu] (5)
A solution of 3 (0.25 g, 0.70 mmol) in n-hexane (10 mL) was added at 0°C to a solution of H–GatBu2 (0.129 g, 0.70 mmol) in n-hexane (20 mL). The mixture was allowed to warm to room temperature and stirred overnight. The solvent was removed in vacuo and the residue recrystallized from 1,2-difluorobenzene (–45°C) to yield compound 5 as a colorless solid. Yield: 0.34 g (89%). M. p. (argon, sealed capillary): 97°C. – IR (CsI, paraffin): ν=2197 m, 2155 s ν(C≡C); 1599 m, 1566 m, 1547 vw ν(C=C), Ph; 1462 vs, 1379 s (paraffin); 1362 s, 1310 vw, 1252 s δ(CH3); 1200 w, 1175 vw, 1088 m, 1016 w, 943 m, 905 vw, 885 vw, 841 vw, 824 m, 799 m, 772 m, 746 w, 708 m ν(CC), (paraffin); 669 m (phenyl); 596 m, 559 m, 500 vw, 471 m, 432 m, 419 w cm−1ν(GaC), ν(SiC), ν(SiCl), δ(CC). – 1H NMR (400.13 MHz, C6D6, 300 K): δ=8.05 (d, 3JHH=6.8 Hz, 2 H, o-H), 7.32 (d, 3JHH=6.8 Hz, 2 H, m-H), 6.72 (s br., 3JSiH=26.0 Hz, C=CH), 1.45 and 1.40 (each s, 9 H, GaCMe3), 1.16 (s, 9 H, C≡C–CMe3), 1.13 (s, 9 H, Ph-CMe3), 1.07 ppm (s, 9 H, C=CH–CMe3). – 13C NMR (100.6 MHz, C6D6, 300 K): δ=168.8 (C=CH), 154.2 (p-C), 142.3 (br. C=CH), 134.4 (o-C), 132.8 (ipso-C), 125.6 (m-C), 122.0 (C≡C–CMe3), 78.9 (C≡C–CMe3), 40.0 (C=C–CMe3), 34.8 (Ph-CMe3), 31.1 (Ph-CMe3), 30.8 and 30.6 (GaCMe3), 30.3 (C≡C–CMe3), 29.6 (C=C–CMe3), 28.7 (C≡C–CMe3), 27.8 and 27.4 ppm (br. GaCMe3). – 29Si NMR (79.49 MHz, C6D6, 300 K): δ=–15.0 ppm. – MS (EI; 20 eV; 323 K): m/z (%)=487 (100) [M–CMe3]+. – C30H50ClGaSi (543.99): calcd. C 66.2, H 9.3; found C 66.2, H 9.3.
3.6 (4-tBu-C6H4)(Cl)Si[C(GatBu2)=CH-tBu]2 (6)
A solution of 3 (1.55 g, 4.32 mmol) in n-hexane (50 mL) was added at 0°C to a solution of H–GatBu2 (1.60 g, 8.66 mmol) in n-hexane (50 mL). The mixture was allowed to warm to room temperature and stirred overnight. The solvent was removed in vacuo and the residue recrystallized from pentafluorobenzene (–30°C) to yield compound 6 as a colorless solid. Yield: 1.50 g (48%). M. p. (argon, sealed capillary): 151°C. – IR (CsI, paraffin): ν=1692 w, 1580 s, 1562 vs, 1526 sh w ν(C=C), Ph; 1460 vs, 1402 s, 1377 vs (paraffin); 1321 m, 1306 s, 1267 m, 1252 s δ(CH3); 1200 s, 1169 s, 1130 s, 1084 s, 1016 sh m, 970 w, 953 w, 939 w, 905 vw, 885 w, 841 vw, 827 w, 806 m, 785 w, 764 w ν(CC); 721 s (paraffin); 673 w (phenyl); 625 vw, 592 vw, 563 w, 515 m, 457 m cm−1ν(GaC), ν(SiC), ν(SiCl), δ(CC). – 1H NMR (400.13 MHz, C6D6, 300 K): δ=7.80 (d, 3JHH=7.9 Hz, 2 H, o-H), 7.42 (d, 3JHH=7.9 Hz, 2 H, m-H), 6.44 (s, 3JSiH=29.5 Hz, C=CH), 1.41 (s, 18 H, GaCMe3), 1.24 (s, 18 H, C=C(H)–CMe3), 1.16 (s, 9 H, Ph-CMe3), 0.89 ppm (s, 18 H, GaCMe3). – 1H NMR (400.13 MHz, C6D6, 200 K): δ=7.75 (s br., 2 H, o-H), 7.37 (s br., 2 H, m-H), 6.54 and 6.30 (each s, 1 H, C=CH), 1.50, 1.49, 1.27, 1.21, 1.15, 1.12 and 0.77 ppm (each s, 9 H, CMe3). – 13C NMR (100.6 MHz, C6D6, 300 K): δ=163.2 (C=CH), 154.2 (p-C), 146.9 (br., C=CH), 140.1 (ipso-C), 132.0 (o-C), 128.1 (m-C), 39.2 (C=C–CMe3), 34.8 (Ph-CMe3), 31.4 (GaCMe3), 31.0 (Ph-CMe3), 30.7 (GaCMe3), 29.8 (C=C–CMe3), 29.0 ppm (br. GaCMe3). – 29Si NMR (79.49 MHz, C6D6, 300 K): δ=–1.0 ppm. – MS (EI; 25 eV; 323 K): m/z (%)=670 (12) [M–HCMe3]+. – C38H69ClGa2Si (728.95): calcd. C 62.6, H 9.5; found C 62.3, H 9.4.
3.7 (4-tBu-C6H4)(H)Si[C(GatBu2)=CH-tBu]2 (7)
A solution of 3 (0.19 g, 0.529 mmol) in toluene (10 mL) was added at room temperature to a solution of H–AltBu2 (0.074 g, 0.521 mmol) in toluene (20 mL). The mixture was stirred overnight to yield a solution of compound 4 which was treated at room temperature with a solution of H–GatBu2 (0.19 g, 1.03 mmol) in toluene (20 mL). The mixture was stirred overnight to yield compound 7 and Cl–AltBu2 [24]. Compound 7 was isolated in a pure form by removing the solvent in vacuo and recrystallizing the residue from 1,2-difluorobenzene (–45°C). Yield: 0.21 g (58%). M. p. (argon, sealed capillary): 127°C. – IR (CsI, paraffin): ν=2116 s ν(Si–H); 1921 w, 1817 vw, 1769 vw, 1676 vw, 1595 s, 1557 s, 1531 sh, 1508 m ν(C=C), Ph; 1454 vs, 1375 vs (paraffin); 1333 s, 1310 m, 1269 s, 1252 s δ(CH3); 1198 s, 1171 m, 1132 w, 1086 s, 1013 m, 1005 m, 970 w, 939 m, 905 s, 887 s, 845 vs, 827 s, 806 s, 797 s, 773 s, 745 s, 733 s ν(CC); 720 s (paraffin); 708 s, 635 s (phenyl); 565 s, 519 m, 496 w, 473 s, 459 m, 447 m, 428 w, 417 w cm−1ν(GaC), ν(SiC), δ(CC). – 1H NMR (400.13 MHz, C6D6, 300 K): δ=7.59 (d, 3JHH=7.8 Hz, 3JSiH=5 Hz, 2 H, o-H), 7.38 (d, 3JHH=7.8 Hz, 2 H, m-H), 7.18 [s, 3JSiH=15 Hz, 1 H, C=CH (trans H-Ga)], 6.62 [s, 3JSiH=24 Hz, 1 H, C=CH (cis H-Ga)], 5.63 (s, 9H, 1JSiH=190 Hz, 1 H, SiH), 1.33 [s, 9 H, C=C–GaCMe3 (trans H-Ga)], 1.25 [s, 9 H, C=C–GaCMe3 (cis H-Ga)], 1.25 [s, 9 H, C=C–CMe3 (cis H-Ga)], 1.18 (s, 9 H, Ph-CMe3), 1.14 [s br., 9 H, C=C–GaCMe3 (cis H-Ga)], 0.99 [s, 9 H, C=C–CMe3 (trans H-Ga)], 0.97 ppm [s, 9 H, C=C–GaCMe3 (trans H-Ga)]. – 13C NMR (100.6 MHz, C6D6, 300 K): δ=165.7 [C=CH (trans)], 163.9 [C=CH (cis)], 153.7 (p-C), 142.6 [C=CH (trans)], 142.3 [C=CH (cis)], 140.1 (ipso-C), 133.1 (o-C), 127.7 (m-C), 40.4 [C=C–CMe3 (cis)], 37.4 [C=C–CMe3 (trans)], 34.7 (Ph-CMe3), 31.2 (Ph-CMe3), 30.8 [br., C=C–GaCMe3 (cis)], 30.9 [C=C–GaCMe3 (trans)], 30.1 [C=C–GaCMe3 (cis)], 29.8 [C=C–GaCMe3 (trans)], 29.7 [C=C–CMe3 (cis)], 29.6 [C=C–GaCMe3 (cis)], the second expected resonance of these groups was not observed, 27.9 and 27.4 ppm [C=C–GaCMe3 (trans)]. – 29Si NMR (79.49 MHz, C6D6, 300 K): δ=–29.4 ppm. – MS (EI; 20 eV; 298 K): m/z (%)=637 (12) [M–CMe3]+, 453 (100) [M–HGa(CMe3)2–CMe3]+. – C38H70Ga2Si (694.50): calcd. C 65.7, H 10.2; found C 65.3, H 10.0.
3.8 Reaction of 4 with phenyl isocyanate; synthesis of 8
Compound 4 was generated in situ by treatment of a solution of H–AltBu2 (0.099 g, 0.70 mmol) in n-hexane (20 mL) with a solution of 3 (0.25 g, 0.70 mmol) in n-hexane (10 mL) at 0°C. The mixture was warmed to room temperature and stirred for 30 min. When PhNCO (75 μL, 0.083 g, 0.70 mmol) was added, the color of the solution turned yellow and after 2 d at 50°C an orange solution was obtained. The mixture was concentrated and stored at 2°C to yield compound 8 as a yellow solid. Yield: 0.27 g (62%). M. p. (argon, sealed capillary): 144°C. – IR (CsI, paraffin): ν=2199 w, 2147 m ν(C≡C); 1967 vw, 1884 vw, 1711 vw, 1653 m, 1578 vs, 1557 s, 1539 sh ν(C=C), Ph; 1450 vs, 1375 vs (paraffin); 1308 s, 1267 s, 1252 s δ(CH3); 1202 s, 1190 s, 1169 s, 1157 s, 1136 s, 1105 m, 1088 s, 1043 m, 1026 m, 1001 m, 961 m, 945 m, 918 m, 903 w, 853 vw, 827 m, 812 m, 783 m, 762 s, 750 s ν(CC), ν(CN); 721 s (paraffin); 683 m (phenyl); 638 w, 625 m, 592 m, 559 m, 538 w, 523 vw, 492 vw, 461 w, 440 w cm−1ν(AlC), ν(AlO), ν(SiC), ν(AlCl), ν(SiN), δ(CC). – 1H NMR (400.13 MHz, C6D6, 300 K): δ=8.81 (s, 3JSiH=18.8 Hz, 1 H, C=CH), 7.87 [d, 3JHH=7.8 Hz, 2 H, o-H(C6H4CMe3)], 7.62 [d, 3JHH=8.0 Hz, 2 H, o-H (NPh)], 7.28 [d, 3JHH=7.8 Hz, 2 H, m-H(C6H4CMe3)], 6.93 [pseudo-t, 3JHH=7.8 Hz, 2 H, m-H(NPh)], 6.74 [t, 3JHH=7.4 Hz, 2 H, p-H(NPh)], 1.50 and 1.48 (each s, 9 H, AlCMe3), 1.07 (s, 9 H, Ph-CMe3), 1.04 (s, 9 H, C≡C–CMe3), 1.01 ppm (s, 9H, C=C(H)–CMe3). – 13C NMR (100.6 MHz, C6D6, 300 K): δ=175.6 (CO), 168.8 (C=CH), 157.0 [p-C(C6H4CMe3)], 136.7 [ipso-C(NPh)], 135.6 [o-C(C6H4CMe3)], 129.7 [m-C(NPh)], 127.7 [p-C(NPh)], 127.3 (C=CH), 126.6 [m-C(C6H4CMe3)], 126.5 (C≡C–CMe3), 123.5 [ipso-C(C6H4CMe3)], 122.3 [o-C(NPh)], 72.1 (C≡C–CMe3), 36.7 (C=CH–CMe3), 35.0 (Ph-CMe3), 30.9 (Ph-CMe3), 30.94 and 30.89 (AlCMe3), 29.9 (C≡C–CMe3), 28.8 (C≡C–CMe3), 28.5 (C=CH–CMe3), 16.8 and 16.6 ppm (br., AlCMe3). – 29Si NMR (79.49 MHz, C6D6, 300 K): δ=–25.6 ppm. – MS (EI; 20 eV; 363 K): m/z (%)=562 (12) [M–CMe3]+, 443 (100) [M–(Me3C)2AlCl]+. – C37H55AlClNOSi (620.37): calcd. C 71.6, H 8.9; found C 71.3, H 8.9.
3.9 (4-tBu-C6H4)(Cl)Si[C(AltBu2)=CH-tBu(NC–NC4H8O)] 9
Compound 4 was generated in situ by the reaction of a solution of H–AltBu2 (0.059 g, 0.415 mmol) in n-hexane (20 mL) with a solution of 3 (0.150 g, 0.418 mmol) in n-hexane (10 mL) at 0°C. The mixture was allowed to warm to room temperature and stirred overnight. NC–NC4H8O (42 μL, 0.047 g, 0.419 mmol) was added, and the mixture was stirred overnight. The solution was concentrated and stored at room temperature to yield compound 9 as a yellow solid. Yield: 0.21 g (83%). M. p. (argon, sealed capillary): 140°C. – IR (CsI, paraffin): ν=2268 m ν(C≡N); 2220 m, 2158 m ν(C≡C); 1730 vw, 1578 s, 1555 s ν(C=C), Ph; 1443 vs, 1402 m, 1375 vs (paraffin); 1300 m, 1242 s δ(CH3); 1202 m, 1165 m, 1153 m, 1117 m, 1090 m, 1067 m, 1026 sh w, 1001 w, 984 w, 937 v, 918 w, 868 vw, 847 vw, 812 w, 766 w ν(CC), ν(CN); 719 m (paraffin); 662 w, 637 vw, 596 w, 561 w, 525 w, 490 w, 434 vw cm−1ν(AlC), ν(AlN), ν(SiCl), ν(SiC), δ(CC). – 1H NMR (400.13 MHz, C6D6, 300 K): δ=8.13 (d, 3JHH=8.3 Hz, 2 H, o-H), 7.60 (s, 3JSiH=32.8 Hz, 1 H, C=CH), 7.31 (d, 3JHH=8.3 Hz, 2 H, m-H), 2.74 (s br., 4 H, CH2O), 2.14 (s br., 4 H, NCH2), 1.51 (s, 18 H, Al–CMe3), 1.42 (s, 9 H, C=C(H)–CMe3), 1.17 (s, 9 H, C≡C–CMe3), 1.12 ppm (Ph-CMe3). – 13C NMR (100.6 MHz, C6D6, 300 K): δ=172.6 (C=CH), 152.9 (p-C), 141.4 (C=CH), 136.5 (ipso-C), 134.8 (o-C), 125.0 (m-C), 118.9 (C≡C–CMe3), 110.3 (CN), 83.4 (C≡C–CMe3), 64.8 (CH2O), 47.1 (NCH2), 39.5 (C=C–CMe3), 34.7 (Ph-CMe3), 32.7 and 32.5 (AlCMe3), 31.4 (C=C–CMe3), 31.2 (Ph-CMe3), 30.5 (C≡C–CMe3), 28.6 (C≡C–CMe3), 16.4 ppm (br., AlCMe3). – 29Si NMR (79.49 MHz, C6D6, 300 K): δ=–22.0 ppm. – MS (EI; 25 eV; 313 K): m/z (%)=443 (100) [M–CMe3–(N≡C–NC4H8O)]+. – C35H58AlClN2OSi (613.38): calcd. C 68.5, H 9.5; found C 68.4, H 9.6.
3.10 Crystallographic data
Crystals suitable for X-ray crystallography were obtained by crystallization from n-hexane (3, 2°C), 1,2-difluorobenzene (4, –30°C; 5 and 7, –45°C), pentafluorobenzene (6, –30°C) or directly from the reaction mixtures (8, +2°C; 9, r. t.). Intensity data was collected on a Bruker D8 Venture diffractometer with multilayer optics and MoKα radiation. The collection method involved ω scans. Data reduction was carried out using the program Saint+ [30, 31]. The crystal structures were solved by Direct Methods using Shelxtl [32–34]. Non-hydrogen atoms were first refined isotropically followed by anisotropic refinement by full matrix least-squares calculations based on F2 using Shelxtl. Hydrogen atoms (with the exception of the silicon bound atom H1) were positioned geometrically and allowed to ride on their respective parent atoms. A tert-butyl group of 3 was disordered (C37 attached to the phenyl group); the atoms were refined on split positions (0.86:0.14). The isotypic compounds 4 and 5 crystallize with two molecules of 1,2-difluorobenzene per formula unit, which were localized on inversion centers with disordered fluorine atoms. One solvent molecule showed a further disorder with all atoms refined on split positions. 6 has two disordered tert-butyl groups, methyl groups were refined on split positions (C24, 0.64:0.07:0.29; C37, 0.56:0.44). Compound 7 was refined as an inversion twin. 8 has a disordered tert-butyl group (C23, 0.55:0.45), 9 has two disordered tert-butyl groups (C23, 0.18:0.82; C37, 0.86:0.14). The morpholine ring of 9 is disordered over two positions (0.71:0.29). Further crystallographic data are summarized in Table 1.
Crystal data and structure refinement for compounds 3 to 9.
| 3 | 4·C6F2H4 | 5·C6F2H4 | 6 | 7 | 8 | 9 | |
|---|---|---|---|---|---|---|---|
| Crystal data | |||||||
| Empirical formula | C22H31ClSi | C36H54AlClF2Si | C36H54ClF2GaSi | C38H69ClGa2Si | C38H70Ga2Si | C37H55AlClNOSi | C35H58AlClN2OSi |
| Mr | 359.01 | 615.31 | 658.05 | 728.91 | 694.47 | 620.34 | 613.35 |
| Crystal system | triclinic | triclinic | triclinic | triclinic | orthorhombic | monoclinic | triclinic |
| Space group | P1̅ | P1̅ | P1̅ | P1̅ | P212121a | P21b | P1̅ |
| a, pm | 964.4(2) | 1028.12(7) | 1029.45(6) | 1232.54(5) | 1068.06(9) | 1201.2(1) | 1038.29(6) |
| b, pm | 1003.5(2) | 1346.05(9) | 1351.49(8) | 1244.14(5) | 1542.2(1) | 1083.3(1) | 1378.99(8) |
| c, pm | 1154.3(2) | 1372.5(1) | 1382.31(8) | 1461.32(6) | 2559.8(2) | 1486.5(1) | 1461.35(9) |
| α, deg | 98.785(4) | 98.590(2) | 97.884(2) | 108.535(1) | 90 | 90 | 90.988(2) |
| β, deg | 97.318(4) | 97.172(2) | 97.273(2) | 91.350(1) | 90 | 97.768(2) | 105.818(2) |
| γ, deg | 99.739(4) | 98.597(2) | 98.808(2) | 90.684(1) | 90 | 90 | 105.471(2) |
| V, ×10−30 m3 | 1074.6(3) | 1835.8(2) | 1861.0(2) | 2123.6(2) | 4216.4(6) | 1916.6(3) | 1931.0(2) |
| ρcalcd, gcm−3 | 1.11 | 1.11 | 1.17 | 1.14 | 1.09 | 1.08 | 1.06 |
| Z | 2 | 2 | 2 | 2 | 4 | 2 | 2 |
| F(000), e | 388 | 664 | 700 | 780 | 1496 | 672 | 668 |
| μ, mm−1 | 0.24 | 0.19 | 0.88 | 1.38 | 1.33 | 0.18 | 0.18 |
| Data collection | |||||||
| T, K | 153 | 100 | 153 | 153 | 153 | 153 | 153 |
| Measured reflections | 9599 | 23176 | 28226 | 33467 | 67284 | 23307 | 30751 |
| Unique reflections/Rint | 5120/0.020 | 8638/0.046 | 10758/0.039 | 12370/0.019 | 12414/0.038 | 10953/0.039 | 11216/0.026 |
| Reflections I>2 σ(I) | 4292 | 5731 | 8533 | 10420 | 11132 | 7428 | 8263 |
| Refinement | |||||||
| Refined parameters | 257 | 449 | 437 | 482 | 396 | 425 | 496 |
| Final Rc [I>2 σ(I)] | 0.0400 | 0.0581 | 0.0470 | 0.0296 | 0.0319 | 0.0608 | 0.0463 |
| Final wR2d (all data) | 0.1126 | 0.1249 | 0.1363 | 0.0755 | 0.0758 | 0.1421 | 0.1287 |
| Δρfin (max/min), e Å−3 | 0.490/–0.262 | 0.451/–0.308 | 1.134/–0.705 | 0.423/–0.266 | 0.597/–0.251 | 0.579/–0.340 | 0.427/–0.257 |
aAbsolute structure parameter: 0.36(1); refined as an inversion twin; babsolute structure parameter: –0.18(3); cR1=Σ||Fo|–|Fc||/Σ|Fo|; dwR2={Σw(Fo2–Fc2)2/ΣwFo2}1/2.
CCDC 1443714 (3) to 1443720 (9) contain the supplementary crystallographic data for this paper. This data can be obtained free of charge from The Cambridge Crystallographic Data Centre viawww.ccdc.cam.ac.uk/data_request/cif.
Dedicated to: Professor Wolfgang Jeitschko on the occasion of his 80th birthday.
Acknowledgments
We are grateful to the Deutsche Forschungsgemeinschaft for generous financial support.
References
[1] Si–NR2: W. Uhl, J. Bohnemann, B. Kappelt, A. Hepp, M. Layh, Dalton Trans.2014, 43, 14386.10.1039/C4DT00922CSearch in Google Scholar
[2] Ge–NR2: W. Uhl, J. Tannert, M. Layh, A. Hepp, S. Grimme, T. Risthaus, Organometallics2013, 32, 6770.10.1021/om400543vSearch in Google Scholar
[3] Ge–NR2: W. Uhl, J. Tannert, Z. Naturforsch.2015, 70b, 115.10.1515/znb-2014-0221Search in Google Scholar
[4] Ge–NR2: W. Uhl, J. Tannert, C. Honacker, M. Layh, Z.-W. Qu, T. Risthaus, S. Grimme, Chem. Eur. J.2015, 21, 2638.10.1002/chem.201405989Search in Google Scholar PubMed
[5] Si–Cl: W. Uhl, J. Bohnemann, M. Layh, E.-U. Würthwein, Chem. Eur. J.2014, 20, 8771.10.1002/chem.201402713Search in Google Scholar PubMed
[6] Ge–Cl: C. Honacker, Z.-W. Qu, J. Tannert, M. Layh, A. Hepp, S. Grimme, W. Uhl, Dalton Trans.2016, DOI: 10.1039/c5dt03918e.10.1039/c5dt03918eSearch in Google Scholar PubMed
[7] W. Uhl, S. Pelties, M. Rohling, J. Tannert, Eur. J. Inorg. Chem.2014, 2809; cited references.10.1002/ejic.201402132Search in Google Scholar
[8] W. Uhl, J. Bohnemann, B. Kappelt, K. Malessa, M. Rohling, J. Tannert, M. Layh, A. Hepp, Z. Naturforsch.2014, 69b, 1333.10.5560/znb.2014-4151Search in Google Scholar
[9] W. Uhl, D. Heller, J. Kösters, E.-U. Würthwein, N. Ghavtadze, Eur. J. Inorg. Chem.2012, 1359.10.1002/ejic.201100890Search in Google Scholar
[10] W. Uhl, M. Rohling, E.-U. Würthwein, N. Ghavtadze, K. Bergander, Organometallics, 2010, 29, 5236.10.1021/om100359kSearch in Google Scholar
[11] W. Uhl, S. Pelties, J. Tannert, B. J. Ravoo and E.-U. Würthwein, Chem. Eur. J., 2015, 21, 2629.10.1002/chem.201405739Search in Google Scholar
[12] B. Wrackmeyer, E. Khan, R. Kempe, Appl. Organomet. Chem.2007, 21, 39.10.1002/aoc.1155Search in Google Scholar
[13] B. Wrackmeyer, E. Khan, R. Kempe, Appl. Organomet. Chem.2008, 22, 383.10.1002/aoc.1411Search in Google Scholar
[14] E. Khan, R. Kempe, B. Wrackmeyer, Appl. Organomet. Chem.2009, 23, 124.10.1002/aoc.1482Search in Google Scholar
[15] B. Wrackmeyer, E. Khan, S. Bayer, O. L. Tok, E. V. Klimkina, W. Milius, R. Kempe, Z. Naturforsch.2010, 65b, 725.10.1515/znb-2010-0609Search in Google Scholar
[16] J. Heinicke, S. Mantey, A. Oprea, M. K. Kindermann, P. G. Jones, Heteroatom Chem.1999, 10, 605.10.1002/(SICI)1098-1071(1999)10:7<605::AID-HC14>3.0.CO;2-TSearch in Google Scholar
[17] W. Uhl, H. R. Bock, M. Claesener, M. Layh, I. Tiesmeyer, E.-U. Würthwein, Chem. Eur. J.2008, 14, 11557.10.1002/chem.200801257Search in Google Scholar
[18] P. Henke, H. Schnöckel, Chem. Eur. J.2009, 15, 13391.10.1002/chem.200901838Search in Google Scholar
[19] A. Del Grosso, R. G. Pritchard, C. A. Muryn, M. J. Ingleson, Organometallics2010, 29, 241.10.1021/om900893gSearch in Google Scholar
[20] A. Hernán-Gómez, A. Martin, M. Mena, C. Santamaria, Inorg. Chem.2010, 49, 8401.10.1021/ic100912pSearch in Google Scholar
[21] K. Albahili, S. Gambarotta, R. Duchateau, Organometallics2011, 30, 4655.10.1021/om200505aSearch in Google Scholar
[22] I. Thapa, S. Gambarotta, I. Korobkov, R. Duchateau, S. V. Kulangara, R. Chevalier, Organometallics2010, 29, 4080.10.1021/om1006006Search in Google Scholar
[23] M. Ohashi, M. Ikawa, S. Ogoshi, Organometallics2011, 30, 2765.10.1021/om2001603Search in Google Scholar
[24] W. Uhl, J. Wagner, D. Fenske, G. Baum, Z. Anorg. Allg. Chem.1992, 612, 25.10.1002/zaac.19926120106Search in Google Scholar
[25] A. Kovacs, Z. Varga, Coord. Chem. Rev.2006, 250, 710.10.1016/j.ccr.2005.04.031Search in Google Scholar
[26] H. Klöcker, M. Layh, A. Hepp, W. Uhl, Dalton Trans.2016, 45, 2031.10.1039/C5DT02825FSearch in Google Scholar
[27] T. Holtrichter-Rößmann, J. Isermann, C. Rösener, B. Cramer, C.-G. Daniliuc, J. Kösters, M. Letzel, E.-U. Würthwein, W. Uhl, Angew. Chem. Int. Ed.2013, 52, 7135.10.1002/anie.201301970Search in Google Scholar
[28] G. Erker, D. W. Stephan (Eds.), Frustrated Lewis Pairs, Vol. I and II, Topics in Current Chemistry, Springer, Heidelberg (Germany) 2013.10.1007/978-3-642-37759-4Search in Google Scholar
[29] W. Uhl, L. Cuypers, R. Graupner, J. Molter, A. Vester, B. Neumüller, Z. Anorg. Allg. Chem.2001, 627, 607.10.1002/1521-3749(200104)627:4<607::AID-ZAAC607>3.0.CO;2-0Search in Google Scholar
[30] Saint+ (version 6.02), includes Xprep and Sadabs, Bruker Analytical X-ray Instruments Inc., Madison, Wisconsin (USA) 1999.Search in Google Scholar
[31] G. M. Sheldrick, Sadabs, University of Göttingen, Göttingen (Germany) 1996.Search in Google Scholar
[32] Shelxtl-Plus (rel. 4.1); Siemens Analytical X-ray Instruments Inc., Madison, Wisconsin (USA) 1990.Search in Google Scholar
[33] G. M. Sheldrick, Shelxl-97, Program for the Refinement of Structures; Universität Göttingen, Göttingen (Germany) 1997.Search in Google Scholar
[34] G. M. Sheldrick, Acta Crystallogr.2008, A64, 112.10.1107/S0108767307043930Search in Google Scholar
©2016 by De Gruyter
Articles in the same Issue
- Frontmatter
- In this Issue
- Preface
- Congratulations to Wolfgang Jeitschko
- Review
- Prediction and clarification of structures of (bio)molecules on surfaces
- NaGe6As6: Insertion of sodium into the layered semiconductor germanium arsenide GeAs
- Synthesis, structures, and properties of Mn(II) and Cd(II) thiocyanato coordination compounds with 2,5-dimethylpyrazine as co-ligand
- Synthesis, structure and electronic configuration of [Rh6Te8(PPh3)6]·4C6H6
- Room temperature synthesis, crystal structure and selected properties of the new compound [Mn2(bipy)4SbS4](ClO4)
- The isotypic family of the diarsenates MM′As2O7 (M = Sr, Ba; M′ = Cd, Hg)
- RE3Au5Zn (RE = Y, Sm, Gd–Ho) – A new structure type with five- and six-membered rings as building units in a gold network
- Influence of hydrogenation and mechanical grinding on the structural and ferromagnetic properties of GdFeSi
- Two new ternary chalcogenides Ba2ZnQ3 (Q = Se, Te) with chains of ZnQ4 tetrahedra: syntheses, crystal structure, and optical and electronic properties
- Neutron powder diffraction and theory-aided structure refinement of rubidium and cesium ureate
- High-pressure investigations of lanthanoid oxoarsenates: I. Single crystals of scheelite-type Ln[AsO4] phases with Ln = La–Nd from monazite-type precursors
- Bi2Fe4O9: Structural changes from nano- to micro-crystalline state
- New transition metal oxide fluorides with ReO3-type structure
- Synthesis, photophysical characterization and DFT studies on fluorine-free deep-blue emitting Pt(II) complexes
- Structural studies of CaAl12O19, SrAl12O19, La2/3+δ Al12–δO19, and CaAl10NiTiO19 with the hibonite structure; indications of an unusual type of ferroelectricity
- Synthesis and crystal structure of new K and Rb selenido/tellurido ferrate cluster compounds
- Crystal structures and hydrogenation properties of palladium-rich compounds with elements from groups 12–16
- Hydroalumination and hydrogallation of an aryl-chloro-dialkynylsilane: Si–Cl bond activation by intramolecular Al–Cl and Ga–Cl interactions
- V18P9C2: a complex phosphide carbide
- Gold(III)-mediated cyclization of 2-hydrazinylquinolines
- RE2B8O15 (RE = La, Pr, Nd) – syntheses of three new rare earth borates isotypic to Ce2B8O15
- Substitution of W5+ in monophosphate tungsten bronzes by combinations Mn+/W6+
- On new ternary equiatomic scandium transition metal aluminum compounds ScTAl with T = Cr, Ru, Ag, Re, Pt, and Au
- Triangular Zn3 and Ga3 units in Sr2Au6Zn3, Eu2Au6Zn3, Sr2Au6Ga3, and Eu2Au6Ga3 – structure, magnetism, 151Eu Mössbauer and 69;71Ga solid state NMR spectroscopy
- The crystal structure of Cs2S2O3·H2O
- Trigermanides AEGe3 (AE = Ca, Sr, Ba): chemical bonding and superconductivity
- The coloring problem in the solid-state metal boride carbide ScB2C2: a theoretical analysis
- Synthesis and structure determinantion of the first lead arsenide phosphide Pb2AsxP14–x (x ~ 3.7)
- The new barium compound Ba4Al7+x: formation and crystal structure
Articles in the same Issue
- Frontmatter
- In this Issue
- Preface
- Congratulations to Wolfgang Jeitschko
- Review
- Prediction and clarification of structures of (bio)molecules on surfaces
- NaGe6As6: Insertion of sodium into the layered semiconductor germanium arsenide GeAs
- Synthesis, structures, and properties of Mn(II) and Cd(II) thiocyanato coordination compounds with 2,5-dimethylpyrazine as co-ligand
- Synthesis, structure and electronic configuration of [Rh6Te8(PPh3)6]·4C6H6
- Room temperature synthesis, crystal structure and selected properties of the new compound [Mn2(bipy)4SbS4](ClO4)
- The isotypic family of the diarsenates MM′As2O7 (M = Sr, Ba; M′ = Cd, Hg)
- RE3Au5Zn (RE = Y, Sm, Gd–Ho) – A new structure type with five- and six-membered rings as building units in a gold network
- Influence of hydrogenation and mechanical grinding on the structural and ferromagnetic properties of GdFeSi
- Two new ternary chalcogenides Ba2ZnQ3 (Q = Se, Te) with chains of ZnQ4 tetrahedra: syntheses, crystal structure, and optical and electronic properties
- Neutron powder diffraction and theory-aided structure refinement of rubidium and cesium ureate
- High-pressure investigations of lanthanoid oxoarsenates: I. Single crystals of scheelite-type Ln[AsO4] phases with Ln = La–Nd from monazite-type precursors
- Bi2Fe4O9: Structural changes from nano- to micro-crystalline state
- New transition metal oxide fluorides with ReO3-type structure
- Synthesis, photophysical characterization and DFT studies on fluorine-free deep-blue emitting Pt(II) complexes
- Structural studies of CaAl12O19, SrAl12O19, La2/3+δ Al12–δO19, and CaAl10NiTiO19 with the hibonite structure; indications of an unusual type of ferroelectricity
- Synthesis and crystal structure of new K and Rb selenido/tellurido ferrate cluster compounds
- Crystal structures and hydrogenation properties of palladium-rich compounds with elements from groups 12–16
- Hydroalumination and hydrogallation of an aryl-chloro-dialkynylsilane: Si–Cl bond activation by intramolecular Al–Cl and Ga–Cl interactions
- V18P9C2: a complex phosphide carbide
- Gold(III)-mediated cyclization of 2-hydrazinylquinolines
- RE2B8O15 (RE = La, Pr, Nd) – syntheses of three new rare earth borates isotypic to Ce2B8O15
- Substitution of W5+ in monophosphate tungsten bronzes by combinations Mn+/W6+
- On new ternary equiatomic scandium transition metal aluminum compounds ScTAl with T = Cr, Ru, Ag, Re, Pt, and Au
- Triangular Zn3 and Ga3 units in Sr2Au6Zn3, Eu2Au6Zn3, Sr2Au6Ga3, and Eu2Au6Ga3 – structure, magnetism, 151Eu Mössbauer and 69;71Ga solid state NMR spectroscopy
- The crystal structure of Cs2S2O3·H2O
- Trigermanides AEGe3 (AE = Ca, Sr, Ba): chemical bonding and superconductivity
- The coloring problem in the solid-state metal boride carbide ScB2C2: a theoretical analysis
- Synthesis and structure determinantion of the first lead arsenide phosphide Pb2AsxP14–x (x ~ 3.7)
- The new barium compound Ba4Al7+x: formation and crystal structure