Abstract
Hydrogen insertion into GdFeSi induces (i) a structural transition from a tetragonal CeFeSi-type to a tetragonal ZrCuSiAs-type, (ii) an anisotropic expansion of the unit cell parameters because the a parameter decreases, whereas the c parameter increases, and (iii) a decrease in Curie temperature from 121 to 20 K. On the contrary, an amorphous ferromagnet (TC = 65 K) is obtained by mechanical grinding of GdFeSi. The three compounds (GdFeSi, GdFeSiH, and amorphous GdFeSi) were investigated by 57Fe Mössbauer spectroscopy. At 4.2 K, this study has revealed that the magnetically ordered Gd substructure produces a small transferred hyperfine magnetic field at the 57Fe nucleus.
1 Introduction
The ternary silicide GdFeSi crystallizes in the tetragonal CeFeSi-type structure and orders ferromagnetically below the Curie temperature TC = 135(2) K [1]. In other studies, this TC temperature was reported to be equal to 112 or 118 K [2, 3]. Considering this interesting TC temperature and the low cost of the constituents of this material, it was suggested that GdFeSi exhibits a magnetocaloric effect usable for magnetic refrigeration [3]. For an applied magnetic field of 9 T, the adiabatic temperature rise was ΔT = 4.5 K at TC. This modest ΔT value obtained with a high field prevents any industrial applicability for this ternary silicide.
To modify its ferromagnetic properties, we have performed hydrogenation and mechanical grinding on GdFeSi. It is well known that the application of these two treatments leads to changes in the physical properties of the compounds. For instance, the hydrogenation of the ferromagnet GdTiGe, adopting the tetragonal CeScSi-type structure, which shows structural similarities with the CeFeSi-type, leads to the formation of the paramagnetic hydride GdTiGeH [4]. That is, hydrogen insertion into GdTiGe destroys its ferromagnetic behavior. In addition, the mechanical grinding applied on the ferromagnet GdNiAl induces both its amorphization and a decrease of its TC from 57 to 29 K [5].
The effects of the hydrogenation and of the mechanical grinding on the structural and magnetic properties of GdFeSi are reported here. In addition, the materials resulting from these two techniques were investigated by 57Fe Mössbauer spectroscopy. The modifications in the hyperfine parameters of the 57Fe nuclei by the structural and magnetic transitions are discussed.
2 Experimental section
A polycrystalline sample of GdFeSi was synthesized by arc melting the pure elements (3 n as purity) in amounts equal to their stoichiometric ratio and in a purified argon atmosphere. Then, the sample was turned and melted several times to ensure complete homogenization. The weight loss during the arc-melting process was smaller than 0.5 wt%. Afterward, the ingot was annealed under vacuum at 1073 K for 1 month.
Then, parts of the ingot were heated under vacuum at 393 K for 12 h and subsequently exposed to 2 MPa of hydrogen gas at the same temperature. The amount of absorbed hydrogen was determined volumetrically by monitoring pressure changes in a calibrated volume [6]. The amount of hydrogen atoms inserted was 1.0(1) per GdFeSi formula unit. The formed hydride is stable in air.
Mechanical grinding was performed using a Fritsch Pulverisette-5 planetary mill. The device consists of a hardened-steel cylindrical container with an inner diameter of 6 cm and a volume of 80 cm3. The milling tool used consisted of six steel balls (diameter = 10 mm; weight ≅4 g). To prevent reaction with oxygen or nitrogen, 1.6 g of the pulverized and sieved (100 μm) GdFeSi sample was sealed hermetically, with an atmosphere (p = 0.1 MPa) of purified argon gas, in the hardened-steel container. The ball-to-powder weight ratio was maintained at ≅15. The powder was ground for 12 h with a rotation speed of around 300 rpm at the plateau.
X-ray powder diffraction, using a Philips 1050 diffractometer (CuKα1 radiation, λ = 1.5418 Å), was applied for the characterization of the structure type and for the phase identification of the samples before and after mechanical grinding or hydrogenation. The unit cell parameters were determined by a least-squares refinement method using silicon (5 n) as an internal standard.
Magnetization measurements were performed using a superconducting quantum interference device magnetometer in the temperature range 4.2–300 K.
The 57Fe Mössbauer spectra were recorded in transmission geometry using a constant acceleration Halder-type spectrometer with a room-temperature 57Co source (Rh matrix). The velocity scale was calibrated using a pure Fe metal foil. The sample holders with polycrystalline absorbers containing about 10 mg/cm2 Fe were placed into a liquid helium cryostat to collect the 57Fe Mössbauer spectra in the temperature range 4.2–293 K. Refinement of the Mössbauer hyperfine parameters (δ isomer shift, Δ quadrupole splitting, ε quadrupole shift, H hyperfine field, Γ signal line width, and relative areas) was performed using homemade programs. A preliminary calculation allowed the determination of experimental hyperfine parameters for the various Fe sites. A second and more accurate analysis of the spectra involved quadrupole splitting or hyperfine field distribution, P(Δ) or P(H), using the method of Hesse and Rubartsch [7]. This method is often used for disordered compounds with significant distribution of local environments, which gives rise to strong line broadening and line shapes differing from a Lorentzian profile. For this calculation, the value of the half-height width Γ was fixed between 0.25 and 0.30 mm/s and the isomer shifts were fixed at values determined from the first calculations.
3 Results and discussion
The X-ray diffraction (XRD) powder pattern of the GdFeSi sample has been fully indexed on the basis of a tetragonal unit cell with the CeFeSi-type structure (space group, P4/nmm) (Fig. 1). No parasitic phase has been detected by this analysis. The unit cell parameters deduced from this investigation, a = 4.007(2) and c = 6.806(3) Å, agree with those previously reported [1]. The analysis of the diffraction pattern of the hydride GdFeSiH has indicated that it crystallizes in the tetragonal ZrCuSiAs-type structure derived from that of CeFeSi (GdFeSi) [8, 9]; the unit cell parameters are a = 3.904(2) and c = 7.511(3) Å. A similar structural transition CeFeSi-type → ZrCuSiAs-type was previously observed during the hydrogenation of CeFeSi or the deuteration of CeCoGe [8]. The investigation of the deuteride CeCoGeD by neutron powder diffraction reveals that D atoms fill the pseudo-tetrahedral interstices [Ce4]. By analogy, the structure of the hydride GdFeSiH can be described by stacking along the c-axis of the two layers formed by [Gd4Fe4] antiprisms containing Si atoms and separated by one layer of pseudo-tetrahedral [Gd4] units accommodating H atoms (Fig. 2).

X-ray powder diffractograms of GdFeSi and its hydride (CuKα1 radiation). The Miller indices are indicated for the pattern concerning GdFeSi, and the arrows show the shifts of the (003) and (200) peaks during the hydrogenation of the ternary silicide.

Schematic representation of the GdFeSiH structure (white, black, and gray circles for Gd, Fe, and Si atoms, respectively; small black circles for H atoms).
The hydrogenation of GdFeSi causes a pronounced anisotropic expansion of the unit cell; the a parameter decreases from 4.007 to 3.904 Å (–2.6%), whereas the c parameter increases strongly from 6.806 to 7.511 Å (10.4%). That is, the insertion of hydrogen into GdFeSi involves an expansion of the unit cell volume from 109.3 to 114.5 Å3 (+4.8%). This hydrogenation induces changes in the values of the dGd–Gd interatomic distances; those forming the [Gd4Fe4] antiprisms decrease from 4.007 to 3.904 Å, whereas the four others existing in the [Gd4] pseudo-tetrahedra increase from 3.702 to 3.797 Å.
Figure 3 presents the XRD powder patterns of the initial GdFeSi sample before and after the mechanical grinding. After this treatment, no XRD lines are observed; only a very broad and diffuse diffraction peak centered around 2θ ≅ 35° is visible, which is characteristic of an amorphous material.

X-ray powder diffractogram of GdFeSi before and after mechanical grinding (milling) for 12 h at 300 rpm.
Figure 4 compares the temperature dependence of the magnetization M of GdFeSi and its hydride. These curves M = f(T) characterize a ferromagnetic behavior for the two compounds. For GdFeSi, TC = 121(1) K. This value, which corresponds to the minimum of the derivative curve dM/dT = f(T), is close to those reported previously in references [2] (i.e. 112 K) and [3] (i.e. 118 K). On the contrary, the hydride GdFeSiH exhibits a much lower Curie temperature, TC = 20(1) K. A similar decrease in the ferromagnetic properties induced by hydrogenation was recently reported by us in the GdTiGe → GdTiGeH conversion; the first compound shows a high TC temperature (380(1) K), whereas the hydride is a paramagnet above 4 K [4]. This drastic change in ferromagnetic properties was explained using electronic structure calculations. It has been shown that the insertion of hydrogen into GdTiGe induces a decrease in the number of electrons nF at the Fermi level and affects essentially the itinerant states. At this stage, it is important to remember that nF plays a role in the indirect Ruderman-Kittel-Kasuya-Yosida magnetic interactions responsible of the magnetic properties of compounds based on rare earth. The decrease in TC observed currently in the GdFeSi → GdFeSiH conversion suggests that the hydrogenation of GdFeSi also diminishes the nF value.

Temperature dependence of the magnetization, measured under an applied field of 0.05 T, for GdFeSi and its hydride.
The magnetization M of the milled GdFeSi sample tends to saturate at low temperature and decreases noticeably around TC = 65(1) K (defined as the temperature where the curve M = f(T) exhibits an inflection point, Fig. 5). That is, the mechanical grinding, which induces an atomic disorder, decreases the ferromagnetic properties of GdFeSi as observed for GdNiAl [5]. Also, it is interesting to note that the large and slow increase of M with decreasing temperature is characteristic of a structurally disordered phase and is usually attributed to the ferromagnetic ordering of the clusters constituting the amorphous matrix [10].

Temperature dependence of the magnetization, measured under an applied field of 0.05 T, for GdFeSi before and after milling.
The room temperature 57Fe Mössbauer spectrum of GdFeSi can be described as the sum of two non-magnetically ordered components (Fig. 6a): one ascribed to the main phase GdFeSi and the other to a secondary phase (impurity) GdFe2Si2. This last ternary compound is in equilibrium with GdFeSi in the Gd-Fe-Si system [11]. Hyperfine parameters determined at room temperature are presented in Table 1. The relative proportion of the two Mössbauer signatures (67% GdFeSi/33% GdFe2Si2) clearly contradicts the XRD analysis or the magnetic properties that did not reveal the presence of an additional phase as impurity. Actually, the apparent asymmetry of the spectrum (Fig. 6a) is due to a strong texture effect that was also evidenced for REFeSi compounds (RE = rare earth) [12]. To avoid texture effects, Mössbauer spectroscopic measurements were performed at the so-called magic angle (θ = 54.7° relative to the texture axis) for which the intensities of the observed γ-ray nuclear transitions π (±1/2 → ±3/2) and σ (±1/2 → ±1/2) are equal [13]. Indeed, at the magic angle, the Mössbauer spectrum of GdFeSi is more symmetric (Fig. 6b), and the relative proportion of the two quadrupole doublets becomes more accurate (92% GdFeSi/8% GdFe2Si2) and in better agreement with the results of XRD and the magnetic properties.
57Fe Mössbauer hyperfine parameters determined from the analysis of the room temperature spectra presented in Fig. 6.
| θ (deg) | Site | δ (mm/s) | Γ (mm/s) | Δ (mm/s) | % | Assignment |
|---|---|---|---|---|---|---|
| 0 | 1 | 0.17(1) | 0.24(1) | 0.31(1) | 67 | GdFeSi |
| 2 | 0.14(1) | 0.36(2) | 0.00(4) | 33 | GdFe2Si2 | |
| 54.7 | 1 | 0.17(1) | 0.26(3) | 0.29(1) | 92 | GdFeSi |
| 2 | 0.16(6) | 0.21(6) | 0.00(4) | 8 | GdFe2Si2 |

57Fe Mössbauer absorption spectra of GdFeSi measured at 293 K. The squares represent experimental values, whereas the lines are fits to the data.
The 57Fe Mössbauer spectra of the GdFeSi sample recorded at room temperature before and after hydrogenation or mechanical treatment are presented in Fig. 7, and the associated hyperfine parameters are gathered in Table 2. The room temperature spectrum of GdFeSiH is described by a quadrupole doublet with a value of quadrupole splitting (Δ) close to zero. The associated Fe site can then be considered as discrete and more regular or symmetric than in GdFeSi. The slight variation of the isomer shift value may be related to an increase in the Gd–Fe bond length (higher ionicity) consistent with an increase in the c parameter observed by XRD upon insertion of hydrogen atoms within [Gd4] units. On the contrary, the milled GdFeSi sample exhibits a very different Mössbauer spectrum (Fig. 7) that is characterized by higher values of both quadrupole splitting and line width. The spectrum was analyzed with two quadrupole splitting distributions (Dist. 1 and Dist. 2, see Table 2), indicating that the Fe environments in the milled compound are more disordered and distorted than in the initial sample. This result is in good agreement with the XRD analysis that has clearly revealed a milling-induced amorphization of GdFeSi crystals (Fig. 3).

57Fe Mössbauer spectra recorded at room temperature (293 K) and at 4.2 K before and after hydrogenation or milling of GdFeSi. The squares represent experimental values, whereas the lines are fits to the data.
57Fe Mössbauer hyperfine parameters determined from the analysis of the room temperature spectra of GdFeSi before and after hydrogenation or milling (Fig. 7).
| T = 293 K | Site/Dist. | δ (mm/s) | Γ (mm/s) | Δ (mm/s) | % |
|---|---|---|---|---|---|
| GdFeSi | Site 1 | 0.17(1) | 0.26(3) | 0.29(1) | 92 |
| Site 2 | 0.16(6) | 0.21(6) | 0.00(4) | 8 | |
| GdFeSiH | Dist. 1 | 0.19 | 0.28 | 0.02 | 100 |
| Milled GdFeSi | Dist. 1 | 0.17 | 0.25 | 0.56 | 75 |
| Dist. 2 | 0.19 | 0.30 | 0.25 | 25 |
At 4.2 K, all three materials are magnetically ordered (Fig. 7). The refinement of the 57Fe Mössbauer hyperfine parameters (involving two hyperfine magnetic field distributions, Table 3) has provided a good fit of the experimental data. The observed magnetic orderings and the low values of associated hyperfine fields suggest that the surrounding magnetically ordered Gd substructure may produce a small transferred hyperfine magnetic field at the 57Fe nucleus.
57Fe Mössbauer hyperfine parameters determined from the analysis (involving hyperfine magnetic field distributions) of the low temperature spectra of GdFeSi before and after hydrogenation or milling (Fig. 8).
| T = 4.2 K | Dist. | Δ (mm/s) | Γ (mm/s) | ε (mm/s) | Ha (T) | Distribution width (T) | % |
|---|---|---|---|---|---|---|---|
| GdFeSi | 1 | 0.28 | 0.30 | 0.001 | 1.6 | 0.6–3.0 | 87 |
| 2 | 0.31 | 0.25 | –0.100 | 1.0 | 0.0–1.5 | 13 | |
| GdFeSiH | 1 | 0.30 | 0.30 | 0.001 | 4.3 | 2.0–17 | 88 |
| 2 | 0.31 | 0.25 | –0.100 | 2.8 | 2.1–3.6 | 12 | |
| Milled GdFeSi | 1 | 0.28 | 0.30 | 0.001 | 10.1 | 0.0–25 | 88 |
| 2 | 0.31 | 0.30 | –0.100 | 2.8 | 2.0–3.6 | 12 |
aMean value of hyperfine field distribution.
The Mössbauer signature denoted by Dist. 2 (Table 3) was ascribed to the minor impurity GdFe2Si2. It is reasonable to assume that the main phase (GdFeSi or GdFeSiH) and the secondary phase (GdFe2Si2) have different Lamb-Mössbauer f factors, which can explain the observed difference between their relative proportions determined from the Mössbauer spectra recorded at room temperature and 4.2 K (Tables 2 and 3). Thus, the relative percentages of each phase are more accurately estimated at low temperature (4.2 K) and appear very similar for all the analyzed samples (88% GdFeSi/12% GdFe2Si2).
The hyperfine field distribution Dist. 1 describes the magnetically ordered main component of the three analyzed samples. The Mössbauer spectra recorded at 4.2 K (Fig. 7) clearly show that the mechanical treatment or the hydrogenation induce a drastic change in the magnetic properties of the initial compound, GdFeSi. Furthermore, a higher mean value and a larger width of the hyperfine magnetic field distributions were observed for the milled sample (10 and 25 T, respectively; Table 3). Indeed, the transferred magnetic field at the Fe nucleus may be more intense for this amorphous compound, which presents shorter Gd–Fe interatomic distances compared to GdFeSi or GdFeSiH.
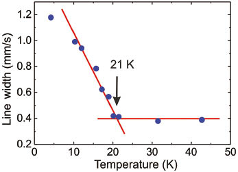
The 57Fe Mössbauer spectra of GdFeSiH were recorded at various temperatures from 43 K down to 4.2 K (Fig. 8). In the temperature range of magnetic ordering, the Mössbauer spectrum can be described as the sum of two magnetically split sextuplets associated with GdFeSiH and GdFe2Si2 phases (Table 3). The temperature dependence of the apparent width (full width at half maximum) of the Mössbauer spectrum (Fig. 9) can thus be related, as a first approximation, to the variation of the highest magnetic hyperfine field (assigned to the GdFeSiH compound) with temperature. The magnetic ordering temperature of GdFeSiH was estimated as TC = 21(1) K, in good agreement with the value of TC determined from magnetization measurements (Fig. 4).

Thermal evolution of the 57Fe Mössbauer spectrum of GdFeSiH. The squares represent experimental values, whereas the lines are fits to the data.

Temperature dependence of the apparent line width of the 57Fe Mössbauer spectrum of GdFeSiH.
Dedicated to: Professor Wolfgang Jeitschko on the occasion of his 80th birthday.
References
[1] R. Welter, G. Venturini, B. Malaman, J. Alloys Compd.1992, 189, 49.10.1016/0925-8388(92)90045-BSuche in Google Scholar
[2] S. A. Nikitin, T. I. Ivanova, I. G. Makhro, Yu. A. Tskhadadze, N. F. Vedernikov, Phys. Solid State1997, 39, 284.10.1134/1.1129800Suche in Google Scholar
[3] M. Napoletano, F. Canepa, P. Manfrinetti, F. Merlo, J. Mater. Chem. 2000, 10, 1663.10.1039/a910204nSuche in Google Scholar
[4] E. Gaudin, S. F. Matar, R. Pöttgen, M. Eul, B. Chevalier, Inorg. Chem.2011, 50, 11046.10.1021/ic201579rSuche in Google Scholar
[5] B. Chevalier, J.-L. Bobet, J. Sanchez Marcos, J. Rodriguez Fernandez, J. C. Gomez Sal, Appl. Phys. A2005, 80, 601.10.1007/s00339-003-2239-9Suche in Google Scholar
[6] J.-L. Bobet, S. Pechev, B. Chevalier, B. Darriet, J. Alloys Compd.1998, 267, 136.10.1016/S0925-8388(97)00565-3Suche in Google Scholar
[7] J. Hesse, A. Rubartsch, J. Phys. E Sci. Instrum.1974, 7, 526.10.1088/0022-3735/7/7/012Suche in Google Scholar
[8] B. Chevalier, M. Pasturel, J.-L. Bobet, O. Isnard, Solid State Commun.2005, 134, 529.10.1016/j.ssc.2005.02.040Suche in Google Scholar
[9] B. Chevalier, S. Tencé, E. Gaudin, S. F. Matar, J.-L. Bobet, J. Alloys Compd.2009, 480, 43.10.1016/j.jallcom.2008.09.183Suche in Google Scholar
[10] C. Mayer, S. Gorsse, G. Ballon, R. Caballero-Flores, V. Franco, B. Chevalier, J. Appl. Phys.2011, 110, 05392.10.1063/1.3632983Suche in Google Scholar
[11] O. I. Bodak, E. I. Gladyshevskii, V. I. Yarovets, V. N. Davydov, T. V. Ilchuk, Inorg. Mater.1978, 5, 366.Suche in Google Scholar
[12] R. Welter, PhD Thesis, Université Henri Poincaré, Nancy, France, 1994.Suche in Google Scholar
[13] D. L. Nagy, Appl. Phys.1978, 17, 269.10.1007/BF00886955Suche in Google Scholar
©2016 by De Gruyter
Artikel in diesem Heft
- Frontmatter
- In this Issue
- Preface
- Congratulations to Wolfgang Jeitschko
- Review
- Prediction and clarification of structures of (bio)molecules on surfaces
- NaGe6As6: Insertion of sodium into the layered semiconductor germanium arsenide GeAs
- Synthesis, structures, and properties of Mn(II) and Cd(II) thiocyanato coordination compounds with 2,5-dimethylpyrazine as co-ligand
- Synthesis, structure and electronic configuration of [Rh6Te8(PPh3)6]·4C6H6
- Room temperature synthesis, crystal structure and selected properties of the new compound [Mn2(bipy)4SbS4](ClO4)
- The isotypic family of the diarsenates MM′As2O7 (M = Sr, Ba; M′ = Cd, Hg)
- RE3Au5Zn (RE = Y, Sm, Gd–Ho) – A new structure type with five- and six-membered rings as building units in a gold network
- Influence of hydrogenation and mechanical grinding on the structural and ferromagnetic properties of GdFeSi
- Two new ternary chalcogenides Ba2ZnQ3 (Q = Se, Te) with chains of ZnQ4 tetrahedra: syntheses, crystal structure, and optical and electronic properties
- Neutron powder diffraction and theory-aided structure refinement of rubidium and cesium ureate
- High-pressure investigations of lanthanoid oxoarsenates: I. Single crystals of scheelite-type Ln[AsO4] phases with Ln = La–Nd from monazite-type precursors
- Bi2Fe4O9: Structural changes from nano- to micro-crystalline state
- New transition metal oxide fluorides with ReO3-type structure
- Synthesis, photophysical characterization and DFT studies on fluorine-free deep-blue emitting Pt(II) complexes
- Structural studies of CaAl12O19, SrAl12O19, La2/3+δ Al12–δO19, and CaAl10NiTiO19 with the hibonite structure; indications of an unusual type of ferroelectricity
- Synthesis and crystal structure of new K and Rb selenido/tellurido ferrate cluster compounds
- Crystal structures and hydrogenation properties of palladium-rich compounds with elements from groups 12–16
- Hydroalumination and hydrogallation of an aryl-chloro-dialkynylsilane: Si–Cl bond activation by intramolecular Al–Cl and Ga–Cl interactions
- V18P9C2: a complex phosphide carbide
- Gold(III)-mediated cyclization of 2-hydrazinylquinolines
- RE2B8O15 (RE = La, Pr, Nd) – syntheses of three new rare earth borates isotypic to Ce2B8O15
- Substitution of W5+ in monophosphate tungsten bronzes by combinations Mn+/W6+
- On new ternary equiatomic scandium transition metal aluminum compounds ScTAl with T = Cr, Ru, Ag, Re, Pt, and Au
- Triangular Zn3 and Ga3 units in Sr2Au6Zn3, Eu2Au6Zn3, Sr2Au6Ga3, and Eu2Au6Ga3 – structure, magnetism, 151Eu Mössbauer and 69;71Ga solid state NMR spectroscopy
- The crystal structure of Cs2S2O3·H2O
- Trigermanides AEGe3 (AE = Ca, Sr, Ba): chemical bonding and superconductivity
- The coloring problem in the solid-state metal boride carbide ScB2C2: a theoretical analysis
- Synthesis and structure determinantion of the first lead arsenide phosphide Pb2AsxP14–x (x ~ 3.7)
- The new barium compound Ba4Al7+x: formation and crystal structure
Artikel in diesem Heft
- Frontmatter
- In this Issue
- Preface
- Congratulations to Wolfgang Jeitschko
- Review
- Prediction and clarification of structures of (bio)molecules on surfaces
- NaGe6As6: Insertion of sodium into the layered semiconductor germanium arsenide GeAs
- Synthesis, structures, and properties of Mn(II) and Cd(II) thiocyanato coordination compounds with 2,5-dimethylpyrazine as co-ligand
- Synthesis, structure and electronic configuration of [Rh6Te8(PPh3)6]·4C6H6
- Room temperature synthesis, crystal structure and selected properties of the new compound [Mn2(bipy)4SbS4](ClO4)
- The isotypic family of the diarsenates MM′As2O7 (M = Sr, Ba; M′ = Cd, Hg)
- RE3Au5Zn (RE = Y, Sm, Gd–Ho) – A new structure type with five- and six-membered rings as building units in a gold network
- Influence of hydrogenation and mechanical grinding on the structural and ferromagnetic properties of GdFeSi
- Two new ternary chalcogenides Ba2ZnQ3 (Q = Se, Te) with chains of ZnQ4 tetrahedra: syntheses, crystal structure, and optical and electronic properties
- Neutron powder diffraction and theory-aided structure refinement of rubidium and cesium ureate
- High-pressure investigations of lanthanoid oxoarsenates: I. Single crystals of scheelite-type Ln[AsO4] phases with Ln = La–Nd from monazite-type precursors
- Bi2Fe4O9: Structural changes from nano- to micro-crystalline state
- New transition metal oxide fluorides with ReO3-type structure
- Synthesis, photophysical characterization and DFT studies on fluorine-free deep-blue emitting Pt(II) complexes
- Structural studies of CaAl12O19, SrAl12O19, La2/3+δ Al12–δO19, and CaAl10NiTiO19 with the hibonite structure; indications of an unusual type of ferroelectricity
- Synthesis and crystal structure of new K and Rb selenido/tellurido ferrate cluster compounds
- Crystal structures and hydrogenation properties of palladium-rich compounds with elements from groups 12–16
- Hydroalumination and hydrogallation of an aryl-chloro-dialkynylsilane: Si–Cl bond activation by intramolecular Al–Cl and Ga–Cl interactions
- V18P9C2: a complex phosphide carbide
- Gold(III)-mediated cyclization of 2-hydrazinylquinolines
- RE2B8O15 (RE = La, Pr, Nd) – syntheses of three new rare earth borates isotypic to Ce2B8O15
- Substitution of W5+ in monophosphate tungsten bronzes by combinations Mn+/W6+
- On new ternary equiatomic scandium transition metal aluminum compounds ScTAl with T = Cr, Ru, Ag, Re, Pt, and Au
- Triangular Zn3 and Ga3 units in Sr2Au6Zn3, Eu2Au6Zn3, Sr2Au6Ga3, and Eu2Au6Ga3 – structure, magnetism, 151Eu Mössbauer and 69;71Ga solid state NMR spectroscopy
- The crystal structure of Cs2S2O3·H2O
- Trigermanides AEGe3 (AE = Ca, Sr, Ba): chemical bonding and superconductivity
- The coloring problem in the solid-state metal boride carbide ScB2C2: a theoretical analysis
- Synthesis and structure determinantion of the first lead arsenide phosphide Pb2AsxP14–x (x ~ 3.7)
- The new barium compound Ba4Al7+x: formation and crystal structure