Abstract
In this article, we discuss the flow and heat transfer of nanofluids over a rotating porous disk with velocity slip and temperature jump. Three types of nanoparticles – Cu, Al2O3, and CuO – are considered with water as the base fluid. The nonlinear governing equations are reduced into ordinary differential equations by Von Karman transformations and solved using homotopy analysis method (HAM), which is verified in good agreement with numerical ones. The effects of involved parameters such as porous parameter, velocity slip, temperature jump, as well as the types of nanofluids on velocity and temperature fields are presented graphically and analysed.
1 Introduction
As one of the classical problems in fluid mechanics, the fluid flow and heat transfer over a rotating disk have been studied by many researchers in theoretical disciplines. Because of numerous practical applications in many important areas, such as computer storage devices, electronic devices, and rotating machinery, such flow is also significant in the engineering processes. Von Karman [1] firstly investigated the hydrodynamic flow over an infinite rotating disk in 1921. In his study, a famous similarity transformation was proposed to reduce the governing partial differential equations into ordinary differential equations. Cochran [2] solved the steady hydrodynamic problem formulated by Von Karman, and the asymptotic solution was established. Benton [3] considered the nonsteady flow problem on the basis of Cochran’s research. Various physical features were afterwards explored [4–6]. In recent years, Shevchuk [7] studied a series of problems of convective heat and mass transfer in rotating-disk systems. Griffiths et al. [8] investigated the neutral curve for stationary disturbances in rotating disk flow for power-law fluids. Asghar et al. [9] considered the Lie group analysis of flow and heat transfer over a stretching rotating disk. Turkyilmazoglu [10] investigated the Bödewadt flow and heat transfer over a stretching stationary disk.
Attia [11] considered the steady flow and heat transfer over a rotating disk in porous medium, the effects of the porosity of the medium on velocity, and temperature fields. Rashidi et al. [12] presented the approximate analytical solutions by using the homotopy anaslysis method.
In practical applications of science and engineering, partial slip between the fluid and the moving surface may exist, for example, in the situation when the fluid is particulate such as with emulsions, suspensions, and rarefied gas. In these cases, the proper boundary condition is the partial slip. At the same time, the presence of velocity slip on the wall may cause temperature jump, which must be taken into consideration in practical applications in microscopic scale [13]. The linear slip boundary condition was first proposed by Navier [14]. Recently, Rashidi et al. [15] investigated the slip flow due to a rotating infinite disk with variable properties of the fluid. Latif [16] considered the steady laminar flow and heat transfer generated by two infinite parallel disks in the presence of velocity slip and temperature jump. Turkyilmazoglu and Senel [17] studied the traditional Von Karman swirling flow problem where the rotating disk surface admits partial slip with a uniform suction or injection.
The term “nanofluids” was introduced by Choi [18] in 1995 at the ASME Winter Annual Meeting. A nanofluid is a colloidal mixture made by adding nanoparticles (<100 nm) in a base fluid which can considerably improve the heat transfer performance of the fluid. A list of review papers on nanofluids are given in [19–23]. Sheikholeslami [24–29] investigated a series of nanofluid flow and heat transfer problems. Bachok et al. [30] studied the steady flow of an incompressible viscous fluid over a rotating disk in a nanofluid. Rashidi et al. [31] considered the electrically conducting incompressible nanofluid flowing over a porous rotating disk with an externally applied uniform vertical magnetic field. Turkyilmazoglu [32] investigated the flow and heat transfer characteristics due to a rotating disk immersed in different nanofluids.
The homotopy analysis method (HAM) introduced by Liao in 1992 [33–38], is an effective mathematical method for solving nonlinear problems. Many studies have confirmed the effectiveness of this method. In this work, we obtain the analytical solutions by using the HAM.
The study for the flow and heat transfer of a nanofluid over a rotating porous disk, so far in our opinion, is inadequate. Especially, the partial velocity slip or temperature jump on the wall may exist, as mentioned, which must be taken into consideration in practical applications in microscopic scale. In this article we investigate the flow and heat transfer of a nanofluid over a rotating porous disk with three types of nanoparticles: Cu, CuO, and Al2O3. The effects of porous parameter, velocity slip, temperature jump, and the types of nanofluid on velocity and temperature fields are also analysed.
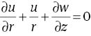
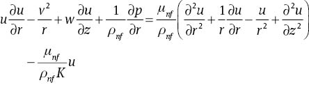
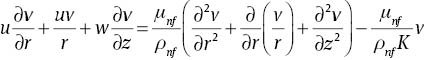
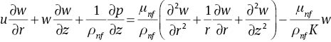
2 Formulation of the Problem
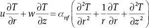
We consider here an incompressible, steady, and axially symmetric nanofluid flow over a porous rotating disk. The disk is placed at z=0 and rotates with an angular velocity Ω through a porous medium, where the Darcy model is assumed [39]. The physical model of the rotating disk is shown in Figure 1 [30]. The governing equations of the nanofluid motion and energy in cylindrical coordinates are

Physical model of rotating disk.





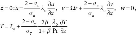
The slip boundary conditions are given by


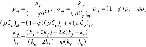
where σu is the tangential momentum accommodation coefficient, σT is the thermal accommodation coefficient, λ0 is the molecular mean free path, and β is the specific heat ratio, T is the temperature of the nanofluid, and T∞ denotes the temperature of the ambient nanofluid, K is the Darcy permeability, the pressure is P, and the pressure of the ambient nanofluid is P∞. Moreover, μnf and αnf are the dynamic viscosity and thermal diffusivity of the nanofluid, respectively, and ρnf is the density of the nanofluid. These are defined as

in which, the nanoparticle volume fraction is denoted by φ, μf is the viscosity of the fluid fraction, and ρf and ρs are the densities of the fluid and of the solid fractions, respectively. The heat capacitance of the nanofluid is given by (ρCp)nf, and knf stands for the effective thermal conductivity of the nanofluid approximated by the model given by Oztop and Abu-Nada [40], which is restricted to spherical nanoparticles only. The thermophysical properties of water and different nanoparticles are given in Table 1 [40].
Thermophysical properties of water and different nanoparticles [40].
| Physical properties | Pure water | Cu | CuO | Al2O3 |
|---|---|---|---|---|
| Cp (J/kg k) | 4179 | 385 | 531.8 | 765 |
| ρ (kg/m3) | 997.1 | 8933 | 6320 | 3970 |
| k (W/mk) | 0.613 | 400 | 76.5 | 40 |
3 Nonlinear Boundary Value Problem
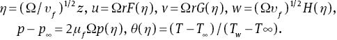
In terms of the Von Karman’s transformations,

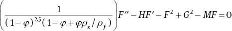
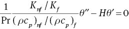
Substituting (8) in (1)–(5) and using (9), we can obtain the following ordinary differential equations:




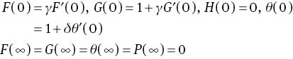
The transformed boundary conditions become

where M=μnf/KΩρnf is the porosity parameter,
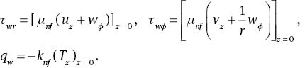
The skin friction coefficient Cf and the Nusselt number Nu are physical quantities which are introduced as

where τwr and τwϕ are the radial and transversal shear stress at the surface of the disk, respectively, and qw is the surface heat flux, which are defined as

Substituting (8) in (16) and using (15), we obtain

Re=Ωr2/υf is the local Reynolds number.
4 HAM Solution
In this section, the HAM [33–38] is used for solving the nonlinear boundary value (10)–(14). The initial approximations are selected as


The auxiliary linear operators are chosen as follows, respectively

Satisfying the following properties

where ci, i=1–7, are the arbitrary constants. The nonlinear operators are given by




where q∈[0, 1] is the embedding parameter. The zero-order deformation equations are constructed as the following forms




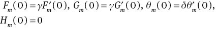
with the boundary conditions


where hH, hF, hG, and hθ denote the auxiliary nonzero parameters and HH(η), HF(η), HG(η), and Hθ(η) are the auxiliary functions.
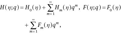
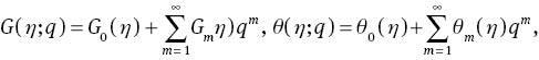
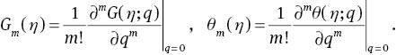
Expanding H(η;q), F(η;q), G(η;q), and θ(η;q) into Taylor series at q=0, as


where


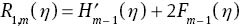
Now, we derive the high-order deformation equations as




subject to the following boundary conditions


where





Finally, the auxiliary functions are chosen as

5 Results and Discussion
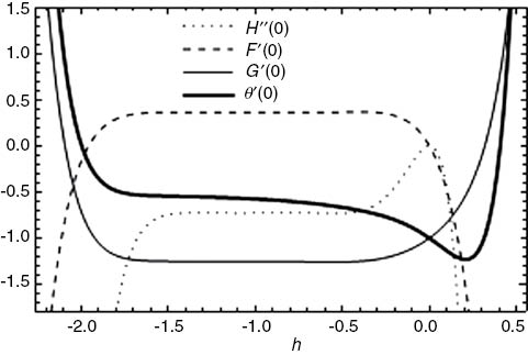
The nonlinear ordinary differential Equations (10)–(13) subjected to the boundary conditions (14) are solved analytically by HAM [33–38]. Liao [33–38] pointed out that the convergence of the HAM solutions strongly depend upon the auxiliary parameter h. By means of the h-curve, it is straightforward to choose a proper value of h to ensure the convergence of the solution series.
The h-curves of H″(0), F′(0), G′(0) and θ′(0) obtained by 10th approximation are presented in Figure 2. Moreover, the reliability of analytical results are verified with numerical ones obtained by finite difference technique [41, 42] and the results published in literatures [31] and [32], which are also shown in Table 2.

The h-curves of H″(0), F′(0), G′(0) and θ′(0) obtained by the 10th-order approximation of the HAM solution for Cu-water nanofluid, with φ=0.1, γ=0, δ=0, and M=1.
Comparison of results for F′(0), −G′(0), −H(∞) and −θ′(0), when φ=0, M=0, γ=0, δ=0 and Pr=6.2.
| Rashidi et al. [31] | Turkyilmazoglu [32] | Present | |
|---|---|---|---|
| F′(0) | 0.510186 | 0.51023262 | 0.51022941 |
| −G′(0) | 0.61589 | 0.61592201 | 0.61591990 |
| −H(∞) | 0.88447411 | 0.88446912 | |
| −θ′(0) | 0.93387794 | 0.93387285 |
5.1 Effects of Velocity Slip Parameter
Figure 3 shows the effects of velocity slip parameter γ on the radial velocity profiles distribution. It indicates that the slip parameter has a significant effect on radial velocity distributions, there is a peak for the radial velocity profiles (maximum) which decrease rapidly and moves to the disk as the slip parameter γ increase.

Effects of γ on radial velocity profiles F(η) for Cu-water nanofluid with φ=0.1, Pr=6.2 and M=0.5.
Figures 4 and 5 present the variation of the tangential and axial velocity, respectively. The results indicate that, for different values of velocity slip parameter γ, the tangential velocity decreases but the axial velocity (negative) increases with the increase in γ.

Effects of γ on tangential velocity profiles G(η) for Cu-water nanofluid with φ=0.1, Pr=6.2 and M=0.5.

Effects of γ on axial velocity profiles H(η) for Cu-water nanofluid with φ=0.1, Pr=6.2 and M=0.5.
In addition, Figures 3–5 present a comparison of the analytical results obtained by homotopy analysis method and the numerical solutions, the results are in a good agreement.
5.2 Effects of Temperature Jump Parameter
The profiles of temperature distribution for various jump parameter δ are shown in Figure 6, the results reveal that the surface temperature and thickness of the thermal boundary layer decrease with the increasing values of δ.

Effects of δ on temperature profiles θ(η) for Cu-water nanofluid, with φ=0.1, Pr=6.2 and M=0.5.
The temperature jump parameter has also special effects on the local Nusselt number, it can be seen from Figure 12 that the local Nusselt number decreases with the increase in temperature jump parameter δ.
5.3 Effects of Porosity Parameter
Figures 7–10 demonstrate the effect of porosity parameter M on the velocity components in radial, tangential, and axial directions and temperature distribution. It is seen that the velocity profiles in the radial, tangential, and axial directions decrease with the increasing M, whereas the increasing M increases the thermal boundary layer thickness.

Effects of M on radial velocity profiles F(η) for Cu-water nanofluid, with φ=0.1, Pr=6.2 and γ=0.

Effects of M on tangential velocity profiles G(η) for Cu-water nanofluid, with φ=0.1, Pr=6.2 and γ=0.

Effects of M on axial velocity profiles H(η) for Cu-water nanofluid, with φ=0.1, Pr=6.2 and γ=0.

Effects of M on temperature profiles θ(η) for Cu-water nanofluid, with φ=0.1, Pr=6.2 and δ=0.
5.4 Effects of Types of Nanoparticles
The analytical results for the skin friction coefficient Re1/2Cf and the local Nusselt number Re−1/2 Nu, for a wide range of the nanoparticle volume fraction and three different types of nanoparticles in the presence of velocity slip and temperature jump are presented in Figures 11 and 12. It is found that the values of the skin friction coefficient and the local Nusselt number are both increase nearly linearly with the nanoparticle volume fraction. The Cu-nanofluid has the largest skin friction coefficient and heat transfer rate due to its largest thermal conductivity value. On the contrary, Al2O3-nanofluid has the lowest ones. Figure 11 indicates that the increase of velocity slip parameter γ leads to reduce the values of the skin friction coefficient. It also can be seen from Figure 12 that the local Nusselt number decreases with the increasing temperature jump parameter δ.

Variation of the skin friction coefficient with φ for different nanoparticles and velocity slip, with Pr=6.2 and M=0.5.

Variation of the Nusselt number with φ for different nanoparticles and temperature jump, with Pr=6.2 and M=0.5.
6 Conclusions
In this article we investigate the flow and heat transfer of nanofluid over a rotating porous disk with three types of nanoparticles: Cu, CuO, and Al2O3. The nonlinear governing equations are transformed into ordinary differential equations by Von Karman transformations and then solved by using the homotopy analysis method (HAM). The effects of physical parameters such as porosity parameter, velocity slip, temperature jump, and the types of nanofluid on velocity and temperature fields transport characteristics are analysed.
Acknowledgments
The work of the authors is supported by the National Natural Science Foundations of China (Numbers 51276014, 51476191).
References
[1] T. Kármán, Z. Angew. Math. Mech. 1, 233 (1921).Search in Google Scholar
[2] W. G. Cochran, Math. Proc. Camb. Phil. Soc. 30, 365 (1934).Search in Google Scholar
[3] E. R. Benton, J. Fluid Mech. 24, 781 (1966).Search in Google Scholar
[4] H. K. Kuiken, J. Fluid Mech. 47, 789 (1971).Search in Google Scholar
[5] R. J. Lingwood, J. Fluid Mech. 299, 17 (1995).Search in Google Scholar
[6] H. A. Attia and A. L. Aboul-Hassan, Appl. Math. Model. 25, 1089 (2001).Search in Google Scholar
[7] I. V. Shevchuk, in: Lecture Notes in Applied and Computational Mechanics (Eds. F. Pfeiffer and P. Wriggers), vol. 45, Springer, 2009, p. 11.Search in Google Scholar
[8] P. T. Griffiths, S. J. Garrett, and S. O. Stephen, J. Non-Newton. Fluid Mech. 213, 73 (2014).Search in Google Scholar
[9] S. Asghar, M. Jalil, M. Hussan, and M. Turkyilmazoglu, Int. J. Heat Mass Trans. 69, 140 (2014).Search in Google Scholar
[10] M. Turkyilmazoglu, Int. J. Mech. Sci. 90, 246 (2015).Search in Google Scholar
[11] H. A. Attia, Nonlinear Anal.–Model. Contr. 14, 21 (2009).Search in Google Scholar
[12] M. M. Rashidi, S. A. Mohimanian Pour, T. Hayat, and S. Obaidat, Comput. Fluids 54, 1 (2012).10.1016/j.compfluid.2011.08.001Search in Google Scholar
[13] C. Hong and Y. Asako, Int. J. Heat Mass Trans. 53, 3075 (2010).Search in Google Scholar
[14] C. Navier, Mémoires de l’Académie Royale des Sciences de l’Institut de France 6, 389 (1823).Search in Google Scholar
[15] M. M. Rashidi, N. Kavyani, and S. Abelman, Int. J. Heat Mass Trans. 70, 892 (2014).Search in Google Scholar
[16] L. M. Jiji and P. Ganatos, Int. J. Heat Fluid Flow 31, 702 (2010).10.1016/j.ijheatfluidflow.2010.02.008Search in Google Scholar
[17] M. Turkyilmazoglu and P. Senel, Int. J. Therm. Sci. 63, 146 (2013).Search in Google Scholar
[18] S. Chol, ASME-Publications-Fed 231, 99 (1995).10.1016/0300-483X(95)90058-RSearch in Google Scholar
[19] C. Pang, J. W. Lee, and Y. T. Kang, Int. J. Therm. Sci. 87, 49 (2015).Search in Google Scholar
[20] M. Lomascolo, G. Colangelo, M. Milanese, and A. de Risi, Renew. Sust. Energ. Rev. 43, 1182 (2015).Search in Google Scholar
[21] J. Sarkar, P. Ghosh, and A. Adil, Renew. Sust. Energ. Rev. 43, 164 (2015).Search in Google Scholar
[22] R. Kamatchi and S. Venkatachalapathy, Int. J. Therm. Sci. 87, 228 (2015).Search in Google Scholar
[23] M. Bahiraei and M. Hangi, J. Magn. Magn. Mater. 374, 125 (2015).Search in Google Scholar
[24] M. S. Kandelousi, Eur. Phys. J. Plus 129, 1 (2014).10.1140/epjp/i2014-14248-2Search in Google Scholar
[25] M. Sheikholeslami and D. D. Ganji, Comp. Meth. Appl. Mech. Eng. 283, 651 (2015).Search in Google Scholar
[26] M. S. Kandelousi, Phys. Lett. A378.45, 3331 (2014).Search in Google Scholar
[27] M. Sheikholeslami, J. Brazilian Soc. Mech. Sci. Eng. 1 (2014). doi: 10.1007/s40430-014-0242-z.10.1007/s40430-014-0242-zSearch in Google Scholar
[28] M. Sheikholeslami and D. D. Ganji, Energy 75, 400 (2014).10.1016/j.energy.2014.07.089Search in Google Scholar
[29] M. Sheikholeslami, M. Gorji-Bandpay, and D. D. Ganji, Int. Commun. Heat Mass Trans. 39, 978 (2012).Search in Google Scholar
[30] N. Bachok, A. Ishak, and I. Pop, Physica B: Cond. Matter 406, 1767 (2011).10.1016/j.physb.2011.02.024Search in Google Scholar
[31] M. M. Rashidi, S. Abelman, and N. Freidooni Mehr, Int. J. Heat Mass Trans. 62, 515 (2013).Search in Google Scholar
[32] M. Turkyilmazoglu, Comp. Fluids 94, 139 (2014).10.1016/j.compfluid.2014.02.009Search in Google Scholar
[33] S. J. Liao, Int. J. Non-Linear Mech. 30, 371 (1995).Search in Google Scholar
[34] S. J. Liao, Eng. Anal. Bound. Elem. 20, 91 (1997).Search in Google Scholar
[35] L. Shijun, Appl. Math. Mech. 19, 957 (1998).Search in Google Scholar
[36] S. Liao, Beyond Perturbation: Introduction to the Homotopy Analysis Method, CRC Press, Boca Raton, 2003.Search in Google Scholar
[37] S. Liao, Appl. Math. Comp. 147, 499 (2004).Search in Google Scholar
[38] S. Liao, Commun. Nonlinear Sci. Num. Simu. 14, 983 (2009).Search in Google Scholar
[39] A. R. Khaled and K. Vafai, Int. J. Heat Mass Trans. 46, 4989 (2003).Search in Google Scholar
[40] H. F. Oztop and E. Abu-Nada, Int. J. Heat Fluid Flow 29, 1326 (2008).10.1016/j.ijheatfluidflow.2008.04.009Search in Google Scholar
[41] W. A. Khan and A. Aziz, Int. J. Therm. Sci. 50, 1207 (2011).Search in Google Scholar
[42] A. Aziz and W. A. Khan, Int. J. Therm. Sci. 52, 83 (2012).Search in Google Scholar
©2015 by De Gruyter
Articles in the same Issue
- Frontmatter
- Spectrum and Green’s Function of a Many-Interval Sturm–Liouville Problem
- On a (3+1)-dimensional Boiti–Leon–Manna–Pempinelli Equation
- Inclined Magnetic Field Effect in Stratified Stagnation Point Flow Over an Inclined Cylinder
- Interaction between Barium Oxide and Barium Containing Chloride Melt
- Boundary-Layer Flow of Walters’ B Fluid with Newtonian Heating
- A Class of Boundary Value Problems Arising in Mathematical Physics: A Green’s Function Fixed-point Iteration Method
- Flow and Heat Transfer of Nanofluids Over a Rotating Porous Disk with Velocity Slip and Temperature Jump
- Soliton Solutions, Bäcklund Transformation and Lax Pair for Coupled Burgers System via Bell Polynomials
- Higher-Order Rogue Waves for a Fifth-Order Dispersive Nonlinear Schrödinger Equation in an Optical Fibre
- Solving Fractional Partial Differential Equations with Variable Coefficients by the Reconstruction of Variational Iteration Method
- A Direct Comparison between the Negative and Positive Effects of Throughflow on the Thermal Convection in an Anisotropy and Symmetry Porous Medium
- Corrigendum
- Corrigendum to: Kaluza-Klein Cosmological Model, Strange Quark Matter, and Time-Varying Lambda
Articles in the same Issue
- Frontmatter
- Spectrum and Green’s Function of a Many-Interval Sturm–Liouville Problem
- On a (3+1)-dimensional Boiti–Leon–Manna–Pempinelli Equation
- Inclined Magnetic Field Effect in Stratified Stagnation Point Flow Over an Inclined Cylinder
- Interaction between Barium Oxide and Barium Containing Chloride Melt
- Boundary-Layer Flow of Walters’ B Fluid with Newtonian Heating
- A Class of Boundary Value Problems Arising in Mathematical Physics: A Green’s Function Fixed-point Iteration Method
- Flow and Heat Transfer of Nanofluids Over a Rotating Porous Disk with Velocity Slip and Temperature Jump
- Soliton Solutions, Bäcklund Transformation and Lax Pair for Coupled Burgers System via Bell Polynomials
- Higher-Order Rogue Waves for a Fifth-Order Dispersive Nonlinear Schrödinger Equation in an Optical Fibre
- Solving Fractional Partial Differential Equations with Variable Coefficients by the Reconstruction of Variational Iteration Method
- A Direct Comparison between the Negative and Positive Effects of Throughflow on the Thermal Convection in an Anisotropy and Symmetry Porous Medium
- Corrigendum
- Corrigendum to: Kaluza-Klein Cosmological Model, Strange Quark Matter, and Time-Varying Lambda