Abstract
It has been asserted that the development of sociolinguistic perception (including language attitudes) is protracted, with changes continuing throughout childhood, adolescence, and even into adulthood. However, this assumption of lifelong attitudinal development has primarily been explored on the basis of dialects and accents of English; whether the same is true in other contexts is unclear. In this contribution, we employ generalized additive modeling to investigate cross-sectional developmental trajectories of language attitudes among 304 German-speaking Austrian respondents across adolescence and adulthood (ages 14–84). Results underscore that language attitudes appear to remain flexible across the whole of life, and changes in language attitudes are especially pronounced among individuals in later life. Moreover, given the tenet that linguistic development is shaped by an individual’s lived experiences and reactions to life-stage specific linguistic demands, we investigate for the first time the extent to which cross-sectional changes in language attitudes are sensitive to significant life events, specifically ‘beginning a degree’, ‘entry into the workforce’, and ‘retirement’. Our findings reveal that retirement temporally coincides with particularly strong patterns of discontinuity in language attitudes. The results contribute to current issues regarding the temporal specificity of language development across the lifespan, and to outstanding questions concerning what drives this development.
1 Introduction
According to Eckert (1997: 157), “life is about change” and thus “development is lifelong” (see also, e. g., Schieffelin and Ochs 1986). Lifespan approaches to sociolinguistic development seek to understand continuities and discontinuities in growth and change over the whole of life. The basic tenet here is that various forms of (socio-)linguistic knowledge evolve at various points in our lives as our cognitive affordances continue to interact with our social environment (e. g., Dossey et al. 2020; Gerstenberg and Voeste 2015; Ghimenton et al. 2021). In this vein, an extensive body of empirical evidence has mounted suggesting that the productive sociolinguistic repertoire remains malleable throughout our lives (e. g., Beaman 2024; Buchstaller 2015; Bülow and Vergeiner 2021; Sankoff 2018; Vergeiner, Wallner et al. 2021). The few lifespan developmental studies on sociolinguistic perception (including language attitudes), likewise, highlight that sociolinguistic development is protracted, with changes continuing across childhood, adolescence, and even well into adulthood (e. g., Dossey et al. 2020; Jones et al. 2017; McCullough et al. 2019 a, 2019b). Levon et al. (2021) and Sharma et al. (2022) moreover uphold that post-adolescent shifts in the attitudinal repertoire can be age-graded, with developmental fluctuations occurring in relation to an individual’s life stage and the linguistic demands therein (e. g., different pressures to conform to language norms, particularly later in life) (see also, e. g., Buchstaller 2015; Sankoff and Blondeau 2007). Despite these initial strides in understanding lifelong development in sociolinguistic perception, we still know only very little about what, exactly, drives later-life change in the attitudinal repertoire.
In this study, we focus on Austrians’ evaluative judgements of Austro-Bavarian dialect and standard German varieties in a status-stressing setting (i. e., at the doctor’s office) and in a solidarity-stressing setting (i. e., in a bakery). The first goal is to determine which social variables and personal characteristics (gender, educational attainment, and dialect orientation), if any, are associated with differences in language attitudes at different points across the lifespan from a cross-sectional perspective. What is more, attitudinal development across the life course has primarily been explored on the basis of dialects and accents of English (in the US, e. g., Dossey et al. 2020; in the UK, e. g., Levon et al. 2021; but see Bülow et al. in press for a panel study conducted in Austria on changes in overt attitudes towards the Austrian vernacular), but it has been hypothesized that this “protracted trajectory of development in dialect perception might be expected across languages and cultures” (McCullough et al. 2019 a: 134). Thus, the second goal is to test the assumption of lifelong attitudinal development with respect to a language other than English. We therefore illustrate cross-sectional trajectories of Austrians’ evaluations of standard German and Austro-Bavarian dialect across adolescence and adulthood.[1] Finally, it has been suggested that the kind and degree of linguistic lability across the lifespan is shaped by an individual’s lived experiences and reactions to life-stage specific linguistic demands (e. g., Buchstaller 2015; Eckert 1997; Levon et al. 2021; Wirtz & Pickl 2025). From this it follows that shifts in evaluative judgements may be particularly sensitive to life-course transitions. For this reason, we explore the extent to which age-normative, ontogenetically relatively stable major life events (MLEs) (beginning a degree, entry into the workforce, retirement), which “have the potential to result in regular cyclical intraspeaker variability” (Buchstaller 2015: 485), correlate with interindividual patterns of discontinuity in language attitudes. The results contribute critically to the issue of the temporal specificity of sociolinguistic development across the lifespan, and more generally to the issue of what drives later-life change in language attitudes. We begin in the next section with an overview of research to date on the development of sociolinguistic perception and language attitudes across the lifespan. We then detail our methods and findings before concluding with a discussion of the broader implications of our results.
2 Theoretical background
2.1 Language attitudes in Bavarian-speaking Austria
Austria is a German-speaking country in which individuals have intense exposure to multiple co-existing, sociolinguistically functional standard (i. e., standard German) and non-standard (i. e., Austro-Bavarian dialect) language varieties from a young age (e. g., Kaiser 2022), and these varieties are considered two poles of a continuum (Scheutz 1985). Bavarian dialects are distinct from standard German at the level of phonology, (morpho)syntax, and lexis, and the variable use of these varieties depends on both macro-sociological and micro-situational factors such as age, gender, (in)formality, subject matter knowledge, interlocutor, and so forth (Ender and Kaiser 2009).
Typically, sociolinguistic variation can trigger attitudinal judgments about the status and solidarity of other speakers (e. g., Kaiser 2022). The dialect and standard German varieties in the Austro-Bavarian setting have been diagnosed with a “functional prestige”, and this because, as Soukup (2009: 128, italics original) argues, “there are certain things that one can and cannot do with either one of the varieties.” Much like in other constellations of co-existing standard vs. nonstandard varieties around the globe, speakers of standard varieties are generally perceived as more intelligent and professional in mainstream socially formal, distanced, and official situations; however, at least among Austrian speakers, standard language varieties are less successful when it comes to projecting likeability, emotionality, and friendliness. By contrast, Bavarian dialect speakers are perceived as more friendly, sympathetic, humorous, natural, and likeable especially in informal, local contexts (e. g., Bellamy 2012; Kaiser et al. 2019; Soukup 2009; Unterberger 2025).
Naturally, language attitudes are not necessarily shared to the same degree across all individuals in a community, and they may differ systematically in relation to, for instance, social characteristics of the listener (e. g., gender, class, ethnicity). Soukup (2009), Bellamy (2012), and Unterberger (2024) identified gender-specific rating behavior among school children and young adults in Austria, in that women generally provided more positive evaluations of speakers of standard and non-standard language varieties. Moosmüller (1988) also identified class-related differences in language attitudes, such that lower-class individuals rejected the very negative characterizations of Viennese dialect supported by middle- and upper-class informants. Individual person-specific circumstances may also moderate differences in attitudinal patterns: Ender (2020), for instance, illustrated in her combined analysis of first- and second-language speakers of German that dialect proficiency positively correlated with evaluative judgements of the Austro-Bavarian dialect variety. Arguably, these proficiency-related differences may be proxies for the broader influence of an individual’s exposure to, use of, and general orientation toward different varieties on language attitudes.
Indeed, perception studies in Austria (and beyond) highlight that social variables (e.g., gender, class) alongside personal characteristics (e.g., an individual's orientation towards vernacularity or standard norms) may relate to differences in language attitudes. That said, integrative investigations exploring how the effects of these social variables and personal characteristics on sociolinguistic perception may vary across the lifespan are woefully lacking in language attitudes research in Austria. Additionally, previous samples of Austrian respondents have either been comparatively small (e. g., Kaiser et al. 2019), or have otherwise been constrained to specific age groups such as pre-primary or school-aged children (e. g., Kaiser and Kasberger 2018; Unterberger 2024) or young adults (Bellamy 2012; Soukup 2009). Increasing sample sizes and considering more diverse age brackets will help to establish how social variables and personal characteristics influence language attitudes in Austria.
2.2 Sociolinguistic development across the life course
Sociolinguistic development across the lifespan concerns differences in an individual’s sociolinguistic repertoire at different moments in time, punctuated both by chronological age and community-specific life stages (e. g., Buchstaller 2015; Sankoff 2018). Evaluative preferences, among other facets of sociolinguistic competence, continuously develop throughout childhood in relation to the (variable) linguistic input by family and friends (e. g., Kaiser 2022; McCullough et al. 2019 a, 2019 b; Nardy et al. 2013), and sociolinguistic development continues throughout adolescence (e. g., Jones et al. 2017; McCullough et al. 2019 a, 2019b). The adolescent years have long been the focus of the development of the social use of the vernacular. Eckert (1997: 163) describes these years as a “hothouse for the construction of identities” during which an individual experiences physiological, emotional, and social change (e. g., Kerswill 1996; Tagliamonte 2016), largely in reaction to the transition from their parents’ social sphere to one that they construct for themselves (e. g., Hejná and Jespersen 2022). As such, this life stage is a period of massive (linguistic) variability, and adolescent speakers therefore tend to “push the envelope of variation” (Eckert 1997: 164) by using linguistic features that distinguish them and their language use from that of their parents (e. g., Labov 2001). At the same time, it has been suggested that, in the late stages of adolescence, individuals begin to mirror adult-like performance on perception tasks such as dialect categorization and subjective indexical judgements (e. g., Jones et al. 2017; McCullough et al. 2019a). That said, there is still a great deal of variability in adolescents’ perceptions of linguistic variation. In fact, recent developmental studies on the perception of regional dialects of American English highlight that the timecourse of sociolinguistic development may extend even beyond adolescence into early adulthood, with individuals continuing to “learn about specific dialects and to integrate linguistic and socio-cultural knowledge into their perceptual systems until as old as age 30 years” (Dossey et al. 2020: 347).
The idea that the postadolescent population is subject to linguistic stability and non-development has been challenged by lifespan sociolinguists (e. g., Beaman 2024; Buchstaller 2015; Bülow and Vergeiner 2021; Sankoff 2018; Vergeiner, Wallner et al. 2021), and it is argued that the sociolinguistic repertoire remains flexible throughout the whole of life. In the perceptual domain, Dossey et al. (2020), Clopper and Wagner (2019), and McCullough et al. (2019a) showed that adults’ intelligibility, locality, and indexical judgements of regional dialects of American English gradually rise until young adulthood followed by a decline among older adults. Dossey et al. (2020) attribute the rise to ongoing development and protracted learning of both perceptual and social information, and they argue that the onset of decline may be a result of age-related cognitive decline which typically sets in during early adulthood (e. g., Salthouse 2009). Moreover, Dossey et al. (2020) found that older adults tended to provide overall more negative evaluative judgements, whereas McCullough et al. (2019b), using the same tasks, found that older adults tended to favor positive ratings. Dossey et al. (2020: 347) maintain that these conflicting results provide indications that “language attitudes among older adults are generally more variable than among other age groups,” though this variation may also be exacerbated by (undiagnosed) hearing loss among older adults. Relatedly, it has been argued that shifts in language attitudes may be age-graded: In their study on accent evaluations in England, Levon et al. (2021) found that in status-stressing contexts (i. e., interview at a corporate law firm), individuals above 45 years began to disfavor non-standard accents. They argue that “as people become more embedded in workplace norms of standard language, their evaluations of what constitutes an appropriate accent for professional employment become more rigid” (Levon et al. 2021: 368). Sharma et al. (2022) maintain on the basis of their survey of national attitudes to accent labels that individuals in midlife evince an age-graded conservative shift in the perception of global, migrant-heritage, and stigmatized varieties. That said, the opposite has also been found: For example, Bülow et al. (in press) demonstrated in their panel study of 12 speakers in Ulrichsberg (Austria) that speakers’ attitudes toward the dialect variety remained remarkably stable between the two measurement points (approximately 43 years apart). These findings, however, were based on a small sample of rural speakers and did not consider the potentially contextually situated natured of language attitudes (e. g., different perceptions of standard and non-standard varieties in status- and solidarity-stressing settings).
While changes in the sociolinguistic repertoire may decelerate in post-adolescence, sociolinguistic development clearly does not come to total stagnation. This raises the question as to the overall lifespan developmental trajectories of sociolinguistic resources (including language attitudes), and what drives fluctuations therein. While developmental accounts of language attitudes exist for regional dialects and accents of English (e. g., Clopper and Wagner 2019; Dossey et al. 2020; Levon et al., 2021; McCullough et al., 2019a), only very few studies have been conducted in German-speaking areas (e. g., Bülow et al. in press). What is more, the aforementioned developmental studies focus on perceptions of different regional dialects and accents, or alternatively only on a very small sample of participants: It is, by and large, an open empirical question as to what lifespan sociolinguistic development looks like in diaglossic communities such as Bavarian-speaking Austria in which individuals have intense exposure to multiple co-existing, sociolinguistically functional standard and non-standard language varieties from a young age (e. g., Kaiser 2022).
2.3 Major life events as critical inflection points in lifespan development
MLEs, defined as “time-discrete transitions that mark the beginning or the end of a specific status,” such as a position, rank, or role (Luhmann et al. 2012: 594; see also Bühler et al. 2023), have been put forth as driving forces of change in, among diverse other fields, (developmental) sociolinguistics (e. g., Buchstaller 2015; Wirtz and Pickl 2025). From the psychology literature, we know that significant life events “often require individuals to react to the transition with a new repertoire of cognitive, emotional, and behavioral tendencies” (Bühler et al. 2023: 2). This process is thought to influence individuals’ patterns of thoughts, behaviors, and feelings and thus motivate change (e. g., Luhmann et al. 2012). A similar case can be made for the effects of MLEs on lifespan sociolinguistic development: Buchstaller (2015) argued that maneuvering certain MLEs may place specific demands on speakers regarding language use and conduct and therefore have measurable consequences on an individual’s (socio-)linguistic repertoire (see also, e. g., Eckert 1997). In what follows, we direct our attention to the three MLEs relevant for the current study: (1) the transition from secondary into tertiary education, (2) entry into the workforce, and (3) retirement.
It has been established that the transition from high school to college is an important MLE for a speaker’s adherence to or avoidance of local vernacular forms (e. g., De Decker 2006; Prichard and Tamminga 2012; Wagner 2008, 2012 b; Wirtz and Vergeiner 2025). In her panel study in Philadelphia, Wagner (2008, 2012b) emphasized that people from socio-economically privileged groups most notably reduced their use of vernacularity upon beginning college. Prichard and Tamminga (2012: 95) echoed these findings, concluding that “speakers who attend a nationally-oriented university correct away from negatively-evaluated features.” In the Austrian context, comparative analyses of attitudes and language use by school and university students illustrate that dialect use is considered acceptable in the school context, especially as a medium to foster social closeness between peers and in student-teacher relationships (e. g., Vergeiner, Buchner et al. 2021). At university, by contrast, individuals are more intensively confronted with standard language expectations, and both students and lecturers associate standard language varieties with competence, professionalism, and academic respectability (Vergeiner et al. 2019; Vergeiner, Buchner et al. 2021). These standardization pressures in the tertiary educational sector appear to catalyze a more pronounced use of and more positive attitudes towards standard language (Wirtz and Vergeiner 2025). That said, as Vergeiner (2021: e. g., 185) has shown, (self-reported) language use and attitudes towards the necessity of employing standard language may vary in relation to the degree program in which an individual is enrolled. For example, students in the natural sciences reported less frequent use of standard language as opposed to students in the humanities, which suggests that education-related standardization pressures will affect different groups in different ways. Taken together, these findings underscore that the transition from school to university is an important time for changes in the productive and attitudinal repertoire among speakers in Austria (and in other contexts), and that this transition may feasibly inspire more positive attitudes towards standard varieties, though the effects of this transition may vary depending on which program an individual enrolls in and to what extent standard ideologies are emphasized in the respective program.
An individual’s entry into economically active adulthood as a significant life-course transition holds particular relevance for patterns of postadolescent linguistic change (e. g., Eckert 1997). Specifically, the ensuing societal pressures to employ standard language in the workplace are assumed to enforce heightened linguistic conservatism during young adulthood and midlife (e. g., Eckert, 1997; Grama et al., 2023; Sankoff and Laberge 1978; Vergeiner, Wallner et al. 2021; Wagner 2012a). Wirtz et al. (2025) explored the linguistic relevance of entering the workforce among Austrians via retrospective self-reports. They found that the standardization pressures of the linguistic marketplace (i. e., a domain in which standard and non-standard forms of language are regarded as useful and desirable capital for particular economic roles, see, e. g., Bourdieu and Boltanski 1975; Sankoff and Laberge 1978) enforced a more pronounced use of and more positive attitudes towards standard language. Given this, it can be expected that transitioning into working life may motivate attitudinal trajectories that begin to favor standard language varieties.
Upon disassociation from the standardization pressures of economically active adulthood after retirement, speakers may revive vernacular variants they had once suppressed during their time in the workforce (e. g., Buchstaller 2006; Buchstaller et al. 2017; Downes 1998; Vergeiner, Wallner et al. 2021). Mechler and Buchstaller (2019), for example, identified an increase in vernacularity for three working-class speakers past retirement, whereas two socioeconomic risers preserved the standardizing effect of the linguistic market and thus exhibited an ongoing retrenchment toward the standard. Grama et al. (2023) moreover argued that differences in lifespan sociolinguistic trajectories may be occupationally niched, and not all individuals change in the same way, at the same rate, or in the same direction as a result of retirement (e. g., they found that only professional educators demonstrated a U-curve in their lifespan sociolinguistic development). In the Austrian context, Bülow and Vergeiner’s (2021) and Vergeiner, Waller’s et al. (2021) panel studies measuring individual-level language change across the life course have identified patterns consistent with the idea that the disengagement from the standard-language expectant workplace upon retirement may bring about an increase in vernacularity. Wirtz et al. (2025) put the hypothesis of a post-retirement increase in vernacularity to the test in their analysis of Austrian’s retrospective perceptions of MLE-related language change in adulthood, and they provided further evidence that retirement – at least, among Austrians – is associated with increased vernacularity and more negative attitudes towards the standard language. Wirtz and Pickl (2025: 105) argued that these post-retirement negative attitudes towards standard language may be “an expression of [retired individuals’] newfound avoidance of the prescriptive pressures of the linguistic marketplace which long governed their language use during young adulthood and midlife.” Thus, it is reasonable to assume that retirement may coincide with more negative attitudes towards standard language varieties and, at the same time, more positive attitudes towards dialect varieties.
On the whole, the aforementioned studies illustrate that MLEs indeed represent critical timepoints around which sociolinguistic development can be subject to (rapid) discontinuity. That said, the timecourse associated with these changes in the sociolinguistic repertoire is unclear. It has been argued in sociology and developmental psychology that the MLE retirement, for example, is a gradual and multi-faceted adjustment process that begins even before the actual retirement date and extends beyond it (e. g., Atchley 1976; Shultz and Wang 2011). The same idea has been expressed from a sociolinguistic perspective as concerns individual-level language change: Prichard and Tamminga (2012: 95, italics original), for instance, questioned whether the identified correction away from negatively-evaluated features among those who attend a nationally-oriented university “occurs only after enrollment, or whether it might begin earlier, in fact being driven by the speaker’s aspirations of upwards mobility” (see also Grama et al. 2023). In order to address this issue regarding the temporal specificity of the influence of MLEs on individual-level language change, cross-sectional developmental designs such as the current study which include participants before and after experiencing a specific MLE can be particularly beneficial.
3 This study
3.1 Research questions
The main goals of this article are to analyze, from a cross-sectional perspective, the development of language attitudes and the potential predictors of individuals’ attitudes towards (non-)standard varieties among Austrian respondents. To this end, the following research questions will be addressed:
RQ1. To what extent do social variables and personal characteristics (dialect standard profile, gender, and educational attainment) correlate with language attitudes towards standard and dialect varieties at different stages in the life course?
RQ2. What do the developmental trajectories of socio-indexical evaluative judgements of standard German and Austro-Bavarian dialect look like across adolescence and adulthood among Austrian listeners?
RQ3. To what extent do MLEs (i. e., beginning a degree, entry into the workforce, retirement) temporally coincide with interindividual discontinuities in attitudinal trajectories across adolescence and adulthood?
The data, the materials, and the analysis report containing additional information on the statistical procedures can be accessed on the Open Science Framework (OSF): https://osf.io/uynwf/.
3.2 Participants
In total, 304 Austrian respondents completed the experiment (conducted in the year 2024), all of whom reported speaking German as a first language. We focus on individuals from Bavarian-speaking dialect regions in order to ensure that respondents shared similar non-standard varieties with those employed in the stimuli.
The current sample can be classified as a convenience sample (i. e., a non-random sampling method where participants are selected based on ease of availability and accessibility). Figure 1 illustrates the distribution of participants across chronological ages. The sample was comparatively balanced in terms of educational attainment (higher education degree versus no higher education degree: n = 183 versus n = 121), but not in relation to gender (women: 208, men: 95, non-binary: 1). Similarly, there is an unequal distribution of participants across provinces, such that Salzburg (n = 240) and Upper Austria (n = 41) are overrepresented compared to Vienna (n = 16), Lower Austria (n = 5), Styria, and Burgenland (n = 1, respectively). These sampling discrepancies, especially in gender and regional distribution, are typical drawbacks of crowdsourcing methods (e. g., Leeman et al. 2019).

Distribution of participants across chronological ages
The online experiment was advertised through several universities in Salzburg and Upper Austria, and through a regional Austrian news outlets (i. e., Salzburger Nachrichten).
3.3 Tasks and procedure
The test battery detailed below comprised a single survey coded in Limesurvey and lasted approximately 10 to 15 minutes. The aim of the questionnaire was to investigate individuals’ language attitudes towards standard German and the Austro-Bavarian vernacular, and how these attitudes vary (from a cross-sectional perspective) across the lifespan and across significant life-course transitions. Before beginning the survey, participants were informed that (a) participation was entirely voluntary, (b) the survey was anonymous and thus no information provided could be traced back to any individuals, (c) they could withdraw their consent and delete their answers at any time during the procedure, and (d) the data collected would be used purely for scientific purposes. Participants who agreed to these terms then began the survey.
3.3.1 Matched-guise task
Participants completed a computerized matched-guise task (Lambert et al. 1960), which, according to inter alia Kircher and Zipp (2022: 14), is an indirect language attitude method that taps into individuals’ “more private reactions” about a group (e. g., speakers of dialect and standard varieties). The task targeted participants’ judgements of Austrian standard German and Austro-Bavarian dialect varieties. In order to ensure comparability with previous attitude studies in Austria, we employed the same stimuli used in Ender et al. (2017), Kaiser et al. (2019), and Ender (2020). However, we restrict ourselves to women to avoid potential confounding effects of gender stereotypes (e. g., Trudgill 1974) or differences in how listeners evaluate dialect use between men and women. What is more, given that much of the previous research (e. g., Wirtz and Vergeiner 2025; Wirtz et al. 2025; Vergeiner et al. 2019; Vergeiner, Buchner et al. 2021) on how MLEs affect language attitudes has relied on direct methods (e. g., interviews) – which are useful to capture overt attitudes towards linguistic varieties – the matched-guise technique allows us to provide complementary findings concerning how MLEs may affect individual’s privately held attitudes towards different language varieties.
The guises each comprised a short greeting sequence of approximately 15 seconds. Two greeting sequences were recorded in an Austrian standard German variety, and two in an Austro-Bavarian dialect variety. The greeting sequences also reflected different contextual conditions: One speaker played the role of a bread saleswoman, the other a (woman) doctor. This was done in order to contextualize the stimuli, since “contextual embedding is crucial for the robust identification of attitudes to accents” (Levon et al. 2021: 376). In other words, such a design allows us to capture potential differences in evaluative judgements in a status-stressing (i. e., doctor stimuli) versus in a solidarity-stressing (i. e., salesperson stimuli) setting. As is typical of matched-guise designs, the same speaker provided the salesperson stimuli in both a standard German and dialect variety, and the other speaker provided the doctor stimuli in both varieties (i. e., a total of four stimuli by two speakers). The listeners, however, were not informed that the same speaker was recorded in both varieties, and participants were exclusively asked to judge the respective speaker. Below, we provide an orthographic transcription of the doctor guise, which illustrates the distinct differences between varieties (for a more thorough overview of distinguishing Austro-Bavarian dialect features, see, e. g., Zehetner 1985; see OSF for both guises):
Standard German: Grüß Gott! Ich bin die Frau Doktor Müller. Ich hab Sie schon husten gehört. Das klingt ja gar nicht gut. Es geht momentan eine hartnäckige Grippe herum. Gut, dass Sie vorbei kommen. Nehmen Sie doch bitte Platz, dann können Sie mir genau sagen, was für Beschwerden Sie sonst noch haben.
Dialect: Griaß God! I bin die Frau Doktor Müller. I hob Sie scho huastn gheart. Des klingt jo goar ned guad. Es geht grod a hortnäckige Gripp um. Guad, dass hear kemman. Nehmens bitte Plotz, dann kennans ma genau sogn, wos für Beschwerden, dass sunst no hom.
English translation: Hello! I’m Dr. Müller. I already heard you coughing. That doesn’t sound good at all. A persistent cold is going around. Good that you came. Take a seat, then you can tell me exactly what symptoms you’ve been having.
On each trial of the matched-guise task, listeners were presented with one stimulus and then asked to rate the stimulus speaker on four scales, presented in random order (see the list below). Participants were required to listen to each stimulus at least once, with the opportunity to replay it as often as they desired, and to provide their responses before moving to the next stimulus. Responses to each stimulus speaker were selected on 11-point slider scales (0–10):[2]
Subjective indexical elements of status: “How intelligent do you find this person?” (not at all intelligent – very intelligent)
Subjective indexical element of solidarity: “How friendly do you find this person?” (not at all friendly – very friendly)
Professionalism: “How professional do you find this person?” (not at all professional – very professional)
General impression of the doctor or salesperson: “How much would you like to be treated by this doctor” or “How much would you like to be served by this salesperson” (not at all – very much)
Each participant heard all four guises. Presentation of the four stimuli was randomized, as was the presentation of the four scales on what participants rated the respective speaker. There was no time limit on this task.
3.3.2 Dialect standard profile (DSP)
Steiner et al. (2023) designed the DSP as a single index measuring an individual’s varietal dominance. Specifically, the index tapped into respondents’ standard- and dialect-orientation on the basis of usage- and identity-related factors as measured by three subscales (i. e., varietal use, dialect identity, and overt attitudes towards standard German). At the beginning of the questionnaire, participants reported on their current status (i. e., school student, university student, in the workforce, or retired). All participants responded to items regarding their use of standard German, dialect, and other languages with family, friends, with oneself, and while shopping (e. g., the item targeting varietal use with friends: “How often do you use these languages in an average week among friends?”). Items pertaining to varietal use with coworkers, university colleagues, and/or schoolmates were only presented if the respective context was plausible based on their current status (e. g., school students were not asked about their varietal use with coworkers). Participants indicated the percent of time spent speaking the respective varieties or languages (i. e., standard language, dialect, other languages) in a certain context, ranging from never (0 %) to always (100 %), and responses for each context were required to sum up to 100 %. Two other subscales targeted identity-related factors, specifically dialect identity (e. g., “I like it when people from other regions notice which dialect I speak.”) and overt attitudes towards standard German (e. g., “Standard German is a foreign language for me.”), and responses were provided on a 10-point slider scale. A numeric index was then computed,[3] which ranged from -10 (standard-dominant) to +10 (dialect-dominant).
3.3.3 Major life events
Participants were asked both about MLEs they had already experienced and about ones they are likely to experience in the future. Again, we focus in this study on highly anticable MLEs, namely beginning a degree, entering the workforce, and transitioning into retirement. First, participants were asked to report which of the three MLEs they had already experienced (if any), and then to provide the approximate month and year of the MLE(s). Following, participants were asked to identify, of the three MLEs, which one they are very likely to experience next in the coming approximately five years (single forced choice, and participants could indicate ‘none of the above’). Participants then provided the approximate month and year at which they are likely to experience the MLE.
3.3.4 Biodata
At the end of the survey, participants provided information on additional relevant biodata: Gender (man, woman, gender diverse), age (continuous), and educational attainment (binarily coded, no higher education vs. higher education).[4]
3.4 Data analysis
To address RQ1 concerning the interindividual effects of the social variables and personal characteristics (i. e., DSP, gender, and educational attainment), we computed Bayesian linear mixed-effects models using the brms R package (Bürkner 2017). The DSP (continuous, ranging from -10 to +10), gender (sum coded, -0.5 = men, 0.5 = women), and educational attainment (sum coded, -0.5 = no higher education, 0.5 = higher education) were defined as fixed effects. The fixed effects were entered in interaction with stimulus variety (standard German and Austro-Bavarian dialect) and age (continuous, z-scored), the latter of which functions as a moderator variable in order to determine whether the effects of the three fixed effects vary across age groups. A separate model was computed for each contextual condition (i. e., status-stressing [doctor] and solidarity-stressing [salesperson]) and indexical domain (friendliness, intelligence, professionalism, and overall judgements), resulting in a total of eight models. We also included random intercepts for each individual to control for participant-related idiosyncrasy (for additional computational information, see the analysis report on OSF).
For RQs 2 and 3 as concerns age- and MLE-related developmental patterns, we employed generalized additive modeling (GAM) using the mgcv R package (Wood 2006) in order to sketch out evaluative judgement trajectories, and results were plotted using the itsadug package (van Rij et al. 2016). We fitted separate smooths to the two stimulus varieties for each contextual condition and indexical domain, again resulting in a total of eight models. Difference smooths, that is visual methods for significance testing, were used in order to determine the extent to which the varietal trajectories were different in each contextual condition and indexical domain. GAMs employ smoothers in order to ‘sketch’ the general trend of the data while leaving out some of the irregularities of the actual data. Smoothers are therefore well suited to give a broad impression of the general trajectory of development in sociolinguistic perception based on the available cross-sectional data. What is more, GAMs can capture complex nonlinear trajectories without a priori information about their height and shape, and nonlinear patterns will only be identified over simpler linear ones if there is substantial support for nonlinearity in the data.
4 Results
Figure 2 presents the raw interindividual judgement patterns of standard German and Austro-Bavarian dialect across contextual conditions and indexical domains (see the analysis report on OSF for the numeric descriptive statistics). The pattern across varieties, contextual conditions, and indexical domains broadly corresponds to what we would anticipate from prior language attitudes research in Austria: Speakers of a standard German variety are judged as more intelligent and professional in a status-stressing context (i. e., the doctor guise) than are speakers of the dialect variety, and the dialect variety receives higher ratings in terms of friendliness and overall preference in a solidarity-stressing context (i. e., the salesperson guise) compared to standard German. As the individual responses illustrate, however, respondents provided overall high evaluations of both varieties across contextual conditions and indexical domains.
In what follows, the results will be presented in three parts corresponding to the three research questions.

Descriptive data of the evaluative judgements across contextual conditions and indexical domains Note. The boxplots indicate the median and respective quartiles, and the rhombus represents the mean.
4.1 Predictors of evaluative judgements (RQ1)
In order to explore the extent to which social variables and personal characteristics (i. e., DSP, gender, and educational attainment) correlate with differences in respondents’ evaluations, we built a Bayesian linear mixed-effects model (for the numeric model estimates and full conditional effects plots, see the analysis report on OSF). Importantly, this first analysis is not developmental in nature. Instead, it seeks to uncover interindividual constraints on language attitudes (controlling for the potentially moderating role of age) among a large and age-diverse sample of Austrian respondents – an endeavor which has not been possible in previous language attitudes research in Austria due to the small sample sizes or samples limited to specific age groups. Analyses employing age as a temporal window into lifespan developmental patterns are provided in the next two sections.
Simple effects analyses (for the numerical results, see the analysis report on OSF) revealed a generally positive effect of the DSP on respondents’ dialect evaluations across contextual conditions and indexical domains. In other words, the more pronounced an individual’s orientation towards the dialect variety, the more positive ratings they attribute to non-standard varieties. This effect was most common among midlife adults, though it was observed among both younger and older individuals, as well.
In contrast, gender was not a particularly strong predictor for differences in evaluative judgements. In the few cases where it was significant (e. g., see the middle panels in Figure 3), women tended to provide generally higher judgements. Importantly, differences were primarily observed among younger women, and the gender effect largely disappeared among older adults.

Age-moderated effects of social variables and personal characteristics on friendliness judgements
The effects of educational attainment were limited to young and midlife adults, diminishing entirely for older adults (see the bottom panels in Figure 3). Young and middle-aged individuals with a higher education degree provided higher judgements in general.
4.2 Developmental trajectories of evaluative judgements (RQ2)
Under a process-oriented lens, we now inspect the developmental trajectories of respondents’ evaluative behavior across contextual conditions and indexical domains. The top two panels in each facet of Figure 4 present the results of the GAM with respect to friendliness (Figure 4a), intelligence (Figure 4b), professionalism (Figure 4c), and overall preference (Figure 4d) judgements. The blue and red smooths illustrate the age-related trajectories of dialect and standard German ratings, respectively.
In the status-stressing context (i. e., the doctor guise), the evaluative judgements of standard German appear comparatively stable across adolescence and adulthood. In the solidarity-stressing setting (i. e., the salesperson guise), the standard German ratings on all indexical domains except professionalism were subject to a very minimal positive linear increase until the age of 60, after which the evaluations of the standard German variety stagnated (see the red lines on the upper right panels in each facet of Figure 4).
Conversely, the dialect ratings were subject to steeper slopes and greater fluctuations suggestive of more dynamic trajectories across the lifespan, at least from a cross-sectional perspective. The overarching pattern here reflects a gradual decline in dialect ratings (i. e., more negative evaluations of the dialect variety) during later midlife and older adulthood. This trend is especially pronounced in the status-stressing guises. In fact, in two cases, we even observe a sort of reversal in varietal trajectories: Here, the pattern where the dialect variety is attributed more positive evaluations in terms of friendliness and overall preference in the status-stressing context reverses in later life (i. e., > 60).
The bottom two panels in each facet of Figure 4 provide the estimated differences between the dialect and standard German ratings in relation to age. This visual method of significance testing shows us when and in what ways the varietal trajectories differ. When the standard German and dialect trajectories in a respective contextual condition and indexical domain are significantly different from one another, there is a green line on the x-axis and vertical dotted lines.
Throughout the majority of the adolescent and adult life course, the dialect and standard German rating trajectories differ significantly, as the bottom panels in each facet of Figure 4 illustrate. When the varietal trajectories do overlap (meaning the standard German and dialect varieties are rated similarly), these points of convergence are often temporally constrained to young adulthood and/or midlife, and they are particularly prominent in the status-stressing guises. The major exception to this observation is participants’ intelligence judgements of the salesperson, where the varietal judgements are subject to nearly the same developmental course suggesting that intelligence judgements in solidarity-stressing settings are rather independent of the language variety an individual employs (see Figure 4b).

Lifespan trajectories of and varietal differences in (a) friendliness judgements, (b) intelligence judgements, (c) professionalism judgements, and (d) overall preference judgements.
4.3 Significant life events as inflection points for evaluative judgement trajectories (RQ3)
Given the tenet that lifespan linguistic development is shaped by an individual’s lived experiences and reactions to life-stage specific linguistic demands (e. g., Buchstaller 2015; Eckert 1997; Levon et al. 2021; Wirtz and Pickl 2025), we suspect that shifts in evaluative judgements may be particularly sensitive to life-course transitions, which we operationalize as the MLEs beginning a degree, entry into the workforce, and transitioning into retirement.
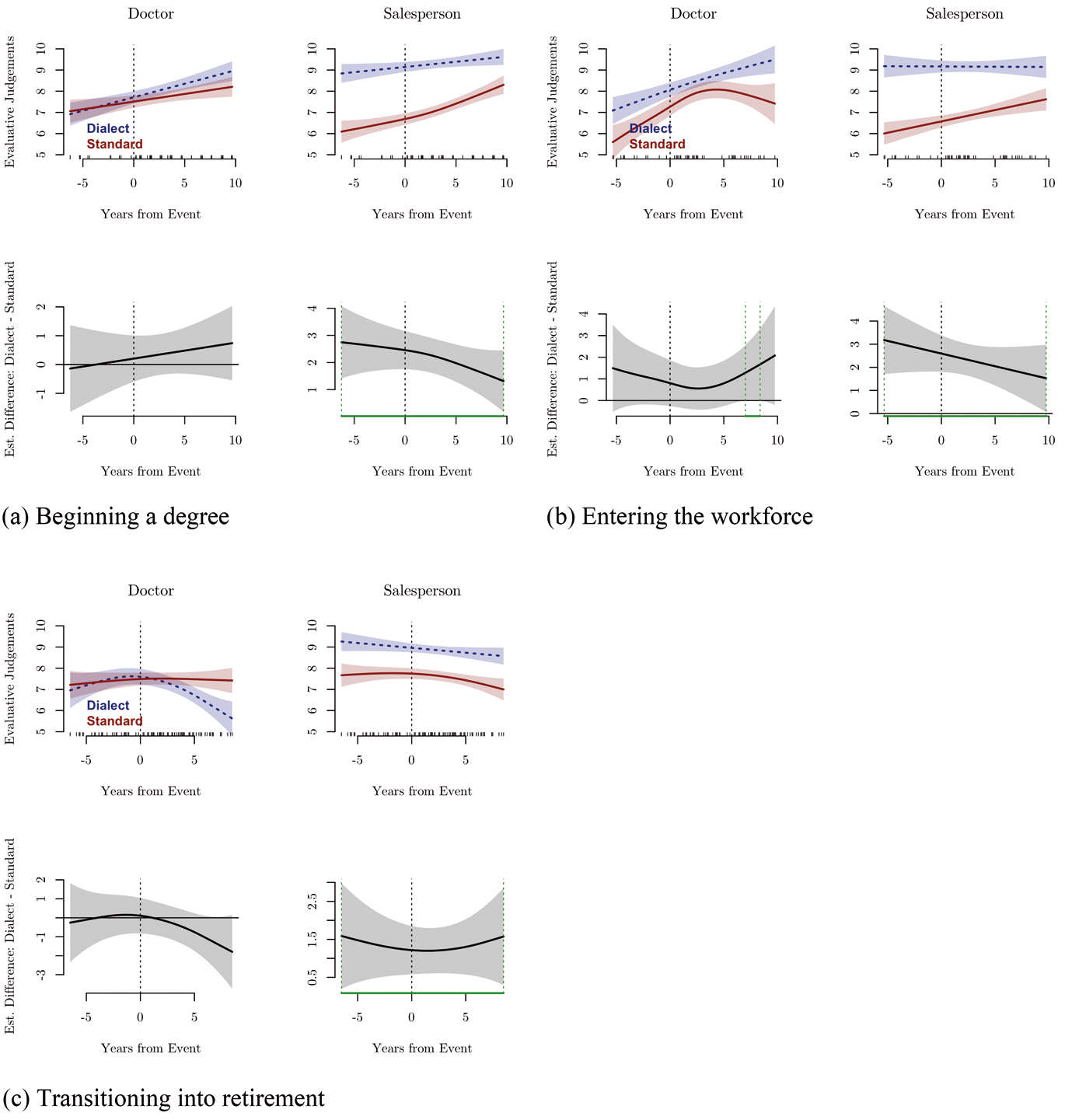
We focus on a timecourse of 10 years before and after a respective event. In so doing, we seek to establish whether attitudinal changes begin to set in before the actual occurrence of an MLE as a sort of preparatory process (e. g., Prichard and Tamminga 2012), or whether MLE-related shifts in attitudes are only observable after the fact. Figure 5 illustrates the reported time points of the MLEs. The value 0 represents the point of occurrence of the respective MLE. Negative values indicate the time in years until participants expect to experience the MLE. Positive values indicate the time in years that have passed since respondents experienced the MLE. The number of respondents expecting to experience the MLE versus those who have already experienced the MLE is reported on the left side of each panel.

Distribution of the timecourse of MLEs
In order to trace MLE-related developmental patterns, we again employed GAMs. We entered a non-linear smooth for the length in years from the respective MLE (as shown in Figure 7). Smooths for the two stimulus varieties were fitted (as in the previous section) in order to trace the development of standard German and dialect evaluations, and visual methods for significance testing were again used in order to determine the extent to which the varietal trajectories in a select contextual condition and indexical domain differed.
In general, the analysis of development in language attitudes in relation to MLEs revealed comparatively linear or otherwise flat trajectories, as Figure 6 exemplifies (see the analysis report for the other indexical domains), especially with respect to beginning a degree and entering the workforce (Figure 6 a and 6b). While the linear trajectories suggest continuous shifts in the attitudinal repertoire, the flat patterns are indicative of comparative stability even in the face of substantial shifts in an individual’s life biography. This is not to say that there were no periods of interindividual discontinuity in the evaluative trajectories, however.

Trajectories of and varietal differences in overall preference judgements in relation to the three MLEs
We found that retirement in particular temporally coincided with trajectorial bends in language attitudes. In the status-stressing context, specifically, retired individuals’ dialect evaluations evinced rapid decline across all indexical domains apart from intelligence (see, e. g., Figure 6c). We found no similar patterns in the solidarity-stressing context. In fact, in the case of respondents’ professionalism judgements, we identified a reverse pattern, such that retired individuals’ evaluations of standard German were subject to decline after retirement (see the upper right panel of Supplementary Figure 26 in the Analysis Report on OSF).
5 Discussion
The aim of this study was to investigate interindividual constraints on language attitudes towards standard German and the Austro-Bavarian dialect among German-speaking Austrians, and to elucidate, from a cross-sectional perspective, development and (dis-)continuities in sociolinguistic perception across the lifespan. Interindividually, our findings broadly corroborate previous research in Austria (e. g., Bellamy 2012; Soukup 2009; Kaiser et al. 2019), and long-attested language attitudes research more generally (e. g., Cheyne 1970; Zahn and Hopper 1985), that standard varieties are associated with status and prestige, while talkers who share a listener’s non-standard variety are attributed higher solidarity. We also explored the issue of contextual embedding on language attitudes (i. e., doctor versus salesperson guises), and we established that speakers of standard varieties are judged as more intelligent in professional status-stressing contexts, and the dialect variety receives higher friendliness and overall preference ratings in solidarity-stressing settings. This underscores prior work from linguistics and psychology that (language) attitudes are contextually situated (Gawronski et al. 2014; Levon and Ye 2020), and thus “the evaluation of a behavior in one context does not necessarily apply in another” (Levon et al. 2021: 361). At the same time, while these findings point in the direction of what Soukup (2009: 128, italics original) considers “functional prestige”, in that “there are certain things that one can and cannot do with either one of the varieties,” this concept needs to be applied with care. Soukup (2009: 128) suggests, for instance, that “one cannot use dialect in such a context to project intelligence, education, politeness, seriousness, and refinement.” As our results show, however, the evaluative judgements are generally high, and patterns of variety-specific evaluative downgrading tend to be a difference in the degree of preference rather than in the direction of preference (for a discussion of this, see also Dragojevic et al. 2021). That being said, we can nonetheless maintain that, at least interindividually, dialect does not project intelligence or professionalism as well as does the standard variety in status-stressing settings, and in solidarity-stressing contexts, the standard variety is likely to elicit slightly more negative judgements compared to the dialect.
Importantly, while these overall trends may hold interindividually, they do not necessarily hold when considering the role of social characteristics of the respondents and individual differences, nor are these attitudinal patterns entirely stable across the lifespan. In what follows, we address the (in-)stability of evaluative judgements in relation to these issues.
5.1 Interindividual constraints on language attitudes
Previous samples in language attitudes research in Austria have either been comparatively small (e. g., Kaiser et al. 2019), or have otherwise been constrained to specific age groups such as children (e. g., Kaiser and Kasberger 2018) or young adults (Bellamy 2012; Soukup 2009). For this reason, it has not been possible to make statements about how social characteristics of respondents correlate with differences in language attitudes among Austrians in the Austro-Bavarian setting at different stages in the lifespan. Drawing on a comparatively large sample size including respondents from more diverse age brackets, our first goal was to uncover interindividual constraints on response patterns, incorporating the potentially moderating role of age.
On the whole, we found that the three predictor variables (DSP, educational attainment, and gender) were all predictive of differences in language attitudes, though to different extents. The DSP and educational attainment evinced the strongest effects, such that general orientation towards the dialect variety relates to more positive attitudes towards non-standard language and higher educational attainment is associated with more positive ratings of the standard language (in line with, e. g., Ender 2020; Vergeiner et al. 2019; Vergeiner, Buchner et al. 2021; Wirtz and Vergeiner 2025). In the rare case where gender differences were significant, women provide more positive judgements than men when evaluating our women guises (Bellamy 2012; Soukup 2009; Unterberger 2024). The caveat is that these predictors were moderated by age. For example, the DSP was particularly predictive among midlife adults, while the effects of educational attainment and gender were primarily constrained to adolescents and young adults. These temporally limited effects, especially the disappearance of education and gender effects among midlife and older adults, are perhaps reflecting an age-related diversification of social networks and/or in linguistic experiences (e. g., exposure to linguistic diversity, lengthy participation in the linguistic marketplace) which may diminish attitudinal biases otherwise linked to education and gender (e. g., Coupland 2004; Labov 2001; Wagner 2012). This finding is also confluent with the idea that younger individuals are especially susceptible to peer-driven social pressures (e. g., Eckert 2000), many of which being socially stratified (e. g., by gender or socio-economic status), as well as with the view in psychology that there appears to be a decline in affective variability as a function of age (e. g., Röcke and Brose 2013), suggesting processes of age-grading as potential rationales behind the disappearance of socially stratified attitudinal patterns. In any case, these findings demonstrate that the effects of social variables and personal characteristics are transient in nature (at least, in the Austro-Bavarian context), and correlational evidence from select age brackets of a population (e. g., children, young adults) may not transfer to other age groups.
5.2 Lifespan developmental trajectories in sociolinguistic perception
Dragojevic (2017: 11) emphasizes that “because language attitudes are learned, they are inherently prone to change,” and McCullough et al. (2019b: 1094) further maintain that “only by examining [sociolinguistic, MW] abilities across an extended age range can the nature of the changes that take place and their connections to one another be observed.” That said, lifespan attitudinal development – to our knowledge – has primarily been investigated with respect to regional dialects and accents of English (in the US, e. g., Dossey et al. 2020; in the UK, e. g., Levon et al. 2021; for a panel study in Austria, see Bülow et al. in press), despite the hypothesis that the identified protracted development in sociolinguistic perception may be expected across languages (McCullough et al. 2019a). We thus set out to test this assumption on the basis of Austrian respondents’ evaluations of standard German and Austro-Bavarian dialect across adolescence and adulthood.
At the broadest level, we primarily identified stability in evaluations of the standard language and dynamicity in dialect ratings. The overarching pattern as concerns the latter seems to reflect a gradual decline in dialect ratings during later midlife and older adulthood, and this trend is especially pronounced in the status-stressing (i. e., doctor) guises. This general pattern of later-life decline in dialect judgements appears confluent with the results found for dialects of American English (e. g., Clopper and Wagner 2019; Dossey et al. 2020; McCullough et al. 2019a), and the authors suggested that this trend may relate to age-related cognitive decline that begins in early adulthood (e. g., Salthouse 2009). Coupland and Bishop (2007) and Levon et al. (2021) found similar patterns for accent evaluations in the UK, specifically that urban non-standard working-class accents from Southern England are disfavored in status-stressing contexts (e. g., interview at a corporate law firm). However, rather than explaining this trend in terms of cognitive decline, Levon et al. (2021: 375) argue on the basis of their longitudinal trend study that age-grading may be at play, and the age-related differences in evaluative judgements may reflect “different life stages of the respondents, and specifically ... an increased socialization in, and enhanced orientation to, traditional workplace norms among older listeners.” Given that the decline in attitudes towards the Austro-Bavarian dialect variety was most pronounced in the status-stressing setting, it is feasible that our results, too, are reflecting similar age-graded patterns. An alternative explanation may be that this decline is reflecting a generational change in societal beliefs about non-standard varieties. That said, because of the dearth of longitudinal language attitudes data in the Austro-Bavarian context, the reasons for the decline in dialect ratings are difficult to determine conclusively. Future research will need to disentangle whether the observed patterns are best attributed to manifestations of age-related changes in cognitive resources, processes of age-grading, or generational change (or a combination of the three).
5.3 Significant life events as critical inflection points
It has been argued that maneuvering certain MLEs may place specific demands on speakers regarding language use and conduct and therefore have measurable consequences on an individual’s patterns of language use and language attitudes (e. g., Buchstaller 2015; Eckert 1997; Levon et al. 2021; Wirtz and Pickl 2025). In the current study, we explored the extent to which the MLEs beginning a degree, entry into the workforce, and retirement were related to interindividual discontinuity in evaluative patterns. As it turns out, retirement was the only MLE which appears to temporally coincide with bends in the sociolinguistic perception trajectory. This bend was only observed under certain contextual conditions, however; specifically, in the status-stressing context, individuals after retirement evinced a decline in friendliness, professionalism, and overall judgements of the dialect variety. This finding is perhaps counterintuitive at first, especially because it has been suggested that retirement and the associated disengagement from the standardization pressures of the workforce may result in a more positive orientation towards vernacularity (e. g., Mechler and Buchstaller 2019; Wirtz and Pickl 2025). However, in the developmental psychology literature it has been argued that retirement from the labor force is often associated with decreased requirements for flexibility and behavioral adaptation and also with a lowered tendency to adopt novel ideas, behaviors, and feelings (e. g., Cornelis et al. 2009; DeYoung et al. 2002). This reduction in traits relating to flexibility and adaptation may be manifesting itself in our data in the form of post-retirement heightened adherence to conservative societal norms as concerns the contextual inadequacy of dialect varieties in status-stressing settings. In order to confirm or dispute this hypothesis, we require (a) longitudinal data tracing attitudinal development across significant life events such as retirement, and (b) qualitative data complementing quantitative findings. The latter is of particular importance since (dis-)continuity is experienced and navigated differently by each person, and the individual themselves can be a powerful validation tool in elucidating the subjectively perceived strength of the cut-off point in developmental patterns.
What is more, Grama et al. (2023: 327) have recently lamented that previous research has generated only “little insight into the onset and trajectory of when and how ... corrective adjustments occur” (see also Prichard and Tamminga, 2012). Addressing this issue, we found only little variability in respondents’ language attitudes during the time leading up to retirement; trajectorial bends were primarily observed post-retirement. While it is acknowledged that retirement is a gradual and multi-faceted adjustment process in the psychosocial domain that can begin before the actual retirement date and extend beyond it (e. g., Atchley 1976; Shultz and Wang 2011), retirement-related shifts in language attitudes appear most prevalent only after actually entering retirement. By contrast, when beginning a tertiary degree and entering the workforce, we identified, on the one hand, cases of comparatively linear trajectories. This suggests that these two MLEs do not appear to motivate discontinuous but rather gradual change in the attitudinal repertoire. On the other hand, we also observed instances of relatively flat attitudinal trajectories across the two aforementioned MLEs, which highlights that language attitudes can also remain comparatively stable even in the face of substantial change in an individual’s life biography.
6 Conclusion
Our cross-sectional data demonstrate that change in language attitudes can occur at virtually any age. Interindividually, attitudinal patterns in the Austro-Bavarian context are sensitive to differences in dialect orientation, gender, and educational attainment, but to different degrees across the lifespan. Development of sociolinguistic perception is moreover protracted, confirming prior research in other contexts (e. g., Clopper and Wagner 2019; Dossey et al. 2020; McCullough et al. 2019a). That said, it is unclear whether changes in language attitudes occur in relation to shifts in cognitive resources (e. g., Dossey et al. 2020), processes of age-grading (e. g., Levon et al. 2021; Sharma et al. 2022) or whether the observed changes may be a manifestation of generational change. What is more, language attitudes (at least, in certain contexts) can be sensitive to changes in individual life circumstances and the life-stage specific linguistic demands therein (e. g., Levon et al. 2021; Wirtz and Pickl 2025); however, not all significant life-course transitions bring about changes in the attitudinal repertoire. Our findings demonstrate that issues of lifespan development of sociolinguistic resources are far from resolved. Pervasive questions remain, especially as concerns what drives change in the sociolinguistic repertoire across adolescence and adulthood, when, exactly, change occurs, and for whom change is especially pronounced.
Acknowledgments
I would like to express my gratitude to all of the participants for taking the time to provide such rich data, and to my contacts at the Austrian news outlet Salzburger Nachrichten for their cooperation in advertising the study. I also thank the anonymous reviewers, Eugen Unterberger, and Erik Schleef for their helpful comments on an earlier version of this manuscript. Any errors are, of course, my own.
References
Atchley, Robert C. 1976. The sociology of retirement. Cambridge: Schenkman.Search in Google Scholar
Beaman, Karen V. 2024. Language Change in Real- and Apparent-Time: Coherence in the Individual and the Community. New York: Routledge.10.4324/9781003267331Search in Google Scholar
Bellamy, John. 2012. Language Attitudes in England and Austria: A Sociolinguistic Investigation into Perceptions of High and Low-Prestige Varieties in Manchester and Vienna. Stuttgart: Franz Steiner Verlag.10.25162/9783515102919Search in Google Scholar
Bourdieu, Pierre & Luc Boltanski. 1975. Le fetichisme de la langue. Actes de la recherché en sciences sociales 4(1). 2–32.10.3406/arss.1975.3417Search in Google Scholar
Buchstaller, Isabelle, Anne Krause, Anja Auer & Stefanie Otte. 2017. Levelling across the life-span?: Tracing the face vowel in panel data from the North East of England. Journal of Sociolinguistics 21(1). 3–33. https://doi.org/10.1111/josl.12227.10.1111/josl.12227Search in Google Scholar
Buchstaller, Isabelle. 2006. Diagnostics of age-graded linguistic behaviour: The case of the quotative system. Journal of Sociolinguistics 10(1). 3–30. https://doi.org/10.1111/j.1360–6441.2006.00315.x.10.1111/j.1360-6441.2006.00315.xSearch in Google Scholar
Buchstaller, Isabelle. 2015. Exploring linguistic malleability across the life span: Age-specific patterns in quotative use. Language in Society 44(4). 457–496. https://doi.org/10.1017/S0047404515000391.10.1017/S0047404515000391Search in Google Scholar
Bühler, Janina Larissa, Ulrich Orth, Wiebke Bleidorn, Elisa Weber, André Kretzschmar, Louisa Scheling & Christopher J. Hopwood. 2023. Life Events and Personality Change: A Systematic Review and Meta-Analysis. European Journal of Personality 1–25. https://doi.org/10.1177/08902070231190219.10.1177/08902070231190219Search in Google Scholar
Bülow, Lars & Philip C. Vergeiner. 2021. Intra-individual variation across the lifespan: Results from an Austrian panel study. Linguistics Vanguard 7(s2). 1–11. https://doi.org/10.1515/lingvan-2020–0026.10.1515/lingvan-2020-0026Search in Google Scholar
Bülow, Lars, Philip C. Vergeiner & Dominik Wallner. In press. Change of language attitudes in real time. Results from the Ulrichsberg Project in Austria. In Karen Beaman & Isabelle Buchstaller (eds.), Panel Research: Methodological Challenges, Practices and Ways Forward. Routledge: London.Search in Google Scholar
Bürkner, Paul-Christian. 2017. brms: An R Package for Bayesian Multilevel Models Using Stan. Journal of Statistical Software 80(1). 1–28.10.18637/jss.v080.i01Search in Google Scholar
Cheyne, William M. 1970. Stereotyped Reactions to Speakers with Scottish and English Regional Accents. British Journal of Social and Clinical Psychology 9(1). 77–79. https://doi.org/10.1111/j.2044–8260.1970.tb00642.x.10.1111/j.2044-8260.1970.tb00642.xSearch in Google Scholar
Clopper, Cynthia G. & Laura Wagner. 2019. Regional dialect intelligibility across the lifespan. In Sasha Calhoun, Paola Escudero, Marija Tabain & Paul Warren (eds.), Proceedings of the 19th International Congress of Phonetic Sciences, Melbourne, Australia, 2324–2328. Australasian Speech Science and Technology Association Inc., and International Phonetic Association.Search in Google Scholar
Cornelis, Ilse, Alain Van Hiel, Arne Roets & Malgorzata Kossowska. 2009. Age Differences in Conservatism: Evidence on the Mediating Effects of Personality and Cognitive Style. Journal of Personality 77(1). 51–88. https://doi.org/10.1111/j.1467–6494.2008.00538.x.10.1111/j.1467-6494.2008.00538.xSearch in Google Scholar
Coupland, Nikolas & Hywel Bishop. 2007. Ideologised values for British accents. Journal of Sociolinguistics 11(1). 74–93. https://doi.org/10.1111/j.1467–9841.2007.00311.x.10.1111/j.1467-9841.2007.00311.xSearch in Google Scholar
Coupland, Nikolas. 2004. Age in Social and Sociolinguistic Theory. In Handbook of Communication and Aging Research. 2nd edn. London: Routledge.Search in Google Scholar
De Decker, Paul. 2006. A real-time investigation of social and phonetic changes in post-adolescence. University of Pennsylvania Working Papers in Linguistics 12(2). 65–76.Search in Google Scholar
DeYoung, Colin G, Jordan B Peterson & Daniel M Higgins. 2002. Higher-order factors of the Big Five predict conformity: Are there neuroses of health? Personality and Individual Differences 33(4). 533–552. https://doi.org/10.1016/S0191-8869(01)00171–4.10.1016/S0191-8869(01)00171-4Search in Google Scholar
Dossey, Ellen, Cynthia G. Clopper & Laura Wagner. 2020. The Development of Sociolinguistic Competence across the Lifespan: Three Domains of Regional Dialect Perception. Language learning and development 16(4). 330–350. https://doi.org/10.1080/15475441.2020.1784736.10.1080/15475441.2020.1784736Search in Google Scholar
Downes, William. 1998. Language and society. Cambridge: Cambridge University Press.Search in Google Scholar
Dragojevic, Marko, Fabio Fasoli, Jennifer Cramer & Tamara Rakić. 2021. Toward a Century of Language Attitudes Research: Looking Back and Moving Forward. Journal of Language and Social Psychology 40(1). 60–79. https://doi.org/10.1177/0261927X20966714.10.1177/0261927X20966714Search in Google Scholar
Eckert, Penelope. 1997. Age as a sociolinguistic variable. In Florian Coulmas (ed.), The handbook of sociolinguistics, 151–167. Oxford: Blackwell.10.1002/9781405166256.ch9Search in Google Scholar
Eckert, Penelope. 2000. Linguistic variation as social practice: The linguistic construction of identity in Belten High. Malden: Blackwell.Search in Google Scholar
Ender, Andrea & Irmtraud Kaiser. 2009. Zum Stellenwert von Dialekt und Standard im österreichischen und Schweizer Alltag – Ergebnisse einer Umfrage. Zeitschrift für germanistische Linguistik 37(2). 266–295. https://doi.org/10.1515/ZGL.2009.018.10.1515/ZGL.2009.018Search in Google Scholar
Ender, Andrea, Gudrun Kasberger & Irmtraud Kaiser. 2017. Wahrnehmung und Bewertung von Dialekt und Standard durch Jugendliche mit Deutsch als Erst- und Zweitsprache. ÖDaF-Mitteilungen 33(1). 97–110. https://doi.org/10.14220/odaf.2017.33.1.97.10.14220/odaf.2017.33.1.97Search in Google Scholar
Ender, Andrea. 2020. Zum Zusammenhang von Dialektkompetenz und Dialektbewertung in Erst- und Zweitsprache. In Markus Hundt, Andrea Kleene, Albrecht Plewnia & Verena Sauer (eds.), Regiolekte. Objektive Sprachdaten und subjektive Sprachwahrnehmung, 77–102. Tübingen: Narr Francke Attempto Verlag.Search in Google Scholar
Gawronski, Bertram, Yang Ye, Robert J. Rydell & Jan De Houwer. 2014. Formation, representation, and activation of contextualized attitudes. Journal of Experimental Social Psychology 54. 188–203. https://doi.org/10.1016/j.jesp.2014.05.010.10.1016/j.jesp.2014.05.010Search in Google Scholar
Gerstenberg, Annette & Anja Voeste. 2015. Investigating the lifespan perspective. In Annette Gerstenberg & Anja Voeste (eds.), Language Development: The lifespan perspective, 1–8. Amsterdam: John Benjamins Publishing Company.10.1075/impact.37.01gerSearch in Google Scholar
Ghimenton, Anna, Aurélie Nardy & Jean-Pierre Chevrot (eds.). 2021. Sociolinguistic Variation and Language Acquisition across the Lifespan. Amsterdam: John Benjamins Publishing Company.10.1075/silv.26Search in Google Scholar
Grama, James, Johanna Mechler, Lea Bauernfeind, Mirjam E. Eiswirth & Isabelle Buchstaller. 2023. Post-educator relaxation in the U-shaped curve: Evidence from a panel study of Tyneside (ing). Language Variation and Change 35(3). 325–350. https://doi.org/10.1017/S0954394523000194.10.1017/S0954394523000194Search in Google Scholar
Hejná, Míša & Anna Jespersen. 2022. Ageing well: Social but also biological reasons for age-grading. Language and Linguistics Compass 16(5–6). e12450. https://doi.org/10.1111/lnc3.12450.10.1111/lnc3.12450Search in Google Scholar
Jones, Zack, Qingyang Yan, Laura Wagner & Cynthia G. Clopper. 2017. The development of dialect classification across the lifespan. Journal of Phonetics 60. 20–37. https://doi.org/10.1016/j.wocn.2016.11.001.10.1016/j.wocn.2016.11.001Search in Google Scholar
Kaiser, Irmtraud & Gudrun Kasberger. 2018. Children’s emerging ability to discriminate L1-varieties. First Language 38(5). 447–480. https://doi.org/10.1177/0142723718761403.10.1177/0142723718761403Search in Google Scholar
Kaiser, Irmtraud, Andrea Ender & Gudrun Kasberger. 2019. Varietäten des österreichischen Deutsch aus der HörerInnenperspektive: Diskriminationsfähigkeiten und sozio-indexikalische Interpretation. In Lars Bülow, Ann Fischer & Kristina Herbert (eds.), Dimensionen des sprachlichen Raums: Variation – Mehrsprachigkeit – Konzeptualisierung, 341–362. Bern: Peter Lang Verlag.Search in Google Scholar
Kaiser, Irmtraud. 2022. Children’s Linguistic Repertoires Across Dialect and Standard Speech: Mirroring Input or Coconstructing Sociolinguistic Identities? Language learning and development 18(1). 41–61. https://doi.org/10.1080/15475441.2021.1922282.10.1080/15475441.2021.1922282Search in Google Scholar
Kerswill, Paul. 1996. Children, adolescents and language change. Language Variation and Change 8(2). 177–202. https://doi.org/10.1017/s0954394500001137.10.1017/S0954394500001137Search in Google Scholar
Kircher, Ruth & Lena Zipp. 2022. An Introduction to Language Attitudes Research. In Lena Zipp & Ruth Kircher (eds.), Research Methods in Language Attitudes, 1–16. Cambridge: Cambridge University Press.10.1017/9781108867788.002Search in Google Scholar
Kutlu, Ethan, Samantha Chiu & Bob McMurray. 2022. Moving away from deficiency models: Gradiency in bilingual speech categorization. Frontiers in Psychology 13. 1–16. https://doi.org/10.3389/fpsyg.2022.1033825.10.3389/fpsyg.2022.1033825Search in Google Scholar
Labov, William. 2001. Principles of linguistic change, vol. II: Social factors. Oxford: Wiley-Blackwell.Search in Google Scholar
Lambert, Wallace, Richard Hodgson, Robert C. Gardner & Samuel Fillenbaum. 1960. Evaluational Reactions to Spoken Language. Journal of Abnormal and Social Psychology 60(1). 44–51. https://doi.org/10.1037/h0044430.10.1037/h0044430Search in Google Scholar
Levon, Erez & Yang Ye. 2020. Language, indexicality and gender ideologies: contextual effects on the perceived credibility of women. Gender and Language 14(2). 123–151. https://doi.org/10.1558/genl.39235.10.1558/genl.39235Search in Google Scholar
Levon, Erez, Devyani Sharma, Dominic J. L. Watt, Amanda Cardoso & Yang Ye. 2021. Accent Bias and Perceptions of Professional Competence in England. Journal of English Linguistics 49(4). 355–388. https://doi.org/10.1177/00754242211046316.10.1177/00754242211046316Search in Google Scholar
Luhmann, Maike, Wilhelm Hofmann, Michael Eid & Richard E. Lucas. 2012. Subjective well-being and adaptation to life events: a meta-analysis. Journal of Personality and Social Psychology 102(3). 592–615. https://doi.org/10.1037/a0025948.10.1037/a0025948Search in Google Scholar
McCullough, Elizabeth A., Cynthia G. Clopper & Laura Wagner. 2019 a. Regional dialect perception across the lifespan: Identification and discrimination. Language and Speech 62(1). 115–136. https://doi.org/10.1177/0023830917743277.10.1177/0023830917743277Search in Google Scholar
McCullough, Elizabeth A., Cynthia G. Clopper & Laura Wagner. 2019 b. The development of regional dialect locality judgments and language attitudes across the life span. Child Development 90(4). 1080–1096. https://doi.org/10.1111/cdev.12984.10.1111/cdev.12984Search in Google Scholar
Mechler, Johanna & Isabelle Buchstaller. 2019. [In]stability in the use of a stable variable. Linguistics Vanguard 5(s2). 1–13. https://doi.org/10.1515/lingvan-2018–0024.10.1515/lingvan-2018-0024Search in Google Scholar
Moosmüller, Sylvia. 1988. Dialekt ist nicht gleich Dialekt. Spracheinschätzung in Wien. Wiener Linguistische Gazette (40–41). 55–80.Search in Google Scholar
Nardy, Aurélie, Jean-Pierre Chevrot & Stéphanie Barbu. 2013. The acquisition of sociolinguistic variation: Looking back and thinking ahead. Linguistics 51(2). 255–284.10.1515/ling-2013-0011Search in Google Scholar
Prichard, Hilary & Meredith Tamminga. 2012. The impact of higher education on Philadelphia vowels. University of Pennsylvania Working Papers in Linguistics 18(2). 87–95.Search in Google Scholar
Rij, Jacolien van, Martijn Wieling, Harald Baayen & Hedderik van Rijn. 2020. itsadug: Interpreting Time Series and Autocorrelated Data Using GAMMs.Search in Google Scholar
Röcke, Christina & Annette Brose. 2013. Intraindividual variability and stability of affect and well-being: Short-term and long-term change and stabilization processes. The Journal of Gerontopsychology and Geriatric Psychiatry 26(3). 185–199. https://doi.org/10.1024/1662-9647/a000094.10.1024/1662-9647/a000094Search in Google Scholar
Salthouse, Timothy A. 2009. When does age-related cognitive decline begin? Neurobiology of aging 30(4). 507–514. https://doi.org/10.1016/j.neurobiolaging.2008.09.023.10.1016/j.neurobiolaging.2008.09.023Search in Google Scholar
Sankoff, David & Suzanne Laberge. 1978. The linguistic market and the statistical explanation of variability. In David Sankoff (ed.), Linguistic variation: models and methods, 239–250. New York: Academic Press.Search in Google Scholar
Sankoff, David & Suzanne Laberge. 1978. The linguistic market and the statistical explanation of variability. In David Sankoff (ed.), Linguistic variation: models and methods, 239–250. New York: Academic Press.Search in Google Scholar
Sankoff, Gillian & Hélène Blondeau. 2007. Language Change across the Lifespan: /r/ in Montreal French. Language 83(3). 560–588.10.1353/lan.2007.0106Search in Google Scholar
Sankoff, Gillian. 2018. Language change across the lifespan. Annual Review of Linguistics 4(1). 297–316.10.1146/annurev-linguistics-011817-045438Search in Google Scholar
Schieffelin, Bambi B. & Elinor Ochs. 1986. Language Socialization. Annual Review of Anthropology 15(1). 163–191.10.1146/annurev.an.15.100186.001115Search in Google Scholar
Sharma, Devyani, Erez Levon & Yang Ye. 2022. 50 years of British accent bias: Stability and lifespan change in attitudes to accents. English World-Wide 43(2). 135–166. https://doi.org/10.1075/eww.20010.sha.10.1075/eww.20010.shaSearch in Google Scholar
Shultz, Kenneth S. & Mo Wang. 2011. Psychological perspectives on the changing nature of retirement. American Psychologist 66(3). 170–179. https://doi.org/10.1037/a0022411.10.1037/a0022411Search in Google Scholar
Soukup, Barbara. 2009. Dialect use as interaction strategy. A sociolinguistic study of contextualization, speech perception, and language attitudes in Austria. Wien: Braumüller.Search in Google Scholar
Steiner, Carina, Péter Jeszenszky, Viviane Stebler & Adrian Leemann. 2023. Extraverted innovators and conscientious laggards? Investigating effects of personality traits on language change. Language Variation and Change 35(1). 1–28. https://doi.org/10.1017/S0954394523000091.10.1017/S0954394523000091Search in Google Scholar
Tagliamonte, Sali A. 2016. Teen Talk: The Language of Adolescents. Cambridge: Cambridge University Press.10.1017/CBO9781139583800Search in Google Scholar
Trudgill, Peter. 1974. The social differentiation of English in Norwich. Cambridge: Cambridge University Press.Search in Google Scholar
Unterberger, Eugen. 2024. Wertschätzung sprachlicher Variation. Eine Untersuchung zur Veränderbarkeit von Spracheinstellungen im Deutschunterricht. Bielefeld: wbv Publikation.10.3278/9783763977581Search in Google Scholar
Vergeiner, Philip C. 2021. Bewertungen – Erwartungen – Gebrauch: Sprachgebrauchsnormen zur inneren Mehrsprachigkeit an der Universität. Stuttgart: Steiner.10.25162/9783515128841Search in Google Scholar
Vergeiner, Philip C., Dominik Wallner, Lars Bülow & Hannes Scheutz. 2021. Redialektalisierung und Alter. Ergebnisse einer real-time-Studie zum age-grading in Ulrichsberg. In Helen Christen, Brigitte Ganswindt, Joachim Herrgen & Jürgen Erich Schmidt (eds.), Regiolekt – Der neue Dialekt? Akten des 6. Kongresses der Internationalen Gesellschaft für Dialektologie des Deutschen (IGDD), 101–122. Stuttgart: Franz Steiner Verlag.Search in Google Scholar
Vergeiner, Philip C., Elisabeth Buchner, Eva Fuchs & Stephan Elspaß. 2019. Sprachnormvorstellungen in sekundären und tertiären Bildungseinrichtungen in Österreich. Zeitschrift für Dialektologie und Linguistik 86(3). 284–330. https://doi.org/10.25162/zdl-2019–0011.10.25162/zdl-2019-0011Search in Google Scholar
Vergeiner, Philip C., Elisabeth Buchner, Eva Fuchs & Stephan Elspaß. 2021. Weil STANDARD verständlich ist und DIALEKT authentisch macht: Varietätenkonzeptionen im sekundären und tertiären Bildungsbereich in Österreich. In Toke Hoffmeister, Markus Hundt & Saskia Naths (eds.), Laien, Wissen, Sprache Theoretische, methodische und domänenspezifische Perspektiven, 417–442. Berlin & Boston: De Gruyter.10.1515/9783110731958-017Search in Google Scholar
Wagner, Suzanne Evans. 2008. Language change and stabilization in the transition from adolescence to adulthood. Philadelphia: University of Pennsylvania PhD Thesis.Search in Google Scholar
Wagner, Suzanne Evans. 2012. Age Grading in Sociolinguistic Theory. Language and Linguistics Compass 6(6). 371–382. https://doi.org/10.1002/lnc3.343.Search in Google Scholar
Wagner, Suzanne Evans. 2012 a. Age Grading in Sociolinguistic Theory. Language and Linguistics Compass 6(6). 371–382. https://doi.org/10.1002/lnc3.343.10.1002/lnc3.343Search in Google Scholar
Wagner, Suzanne Evans. 2012 b. Real-time evidence for age grad(ing) in late adolescence. Language Variation and Change 24(2). 179–202. https://doi.org/10.1017/S0954394512000099.10.1017/S0954394512000099Search in Google Scholar
Wirtz, Mason A. & Philip C. Vergeiner. 2025. Lebensereignisse im Bildungsbereich als Erklärung für individuellen Sprachwandel. Zeitschrift für Angewandte Linguistik 82. 172–206. https://doi.org/10.1515/zfal-2025-2006.10.1515/zfal-2025-2006Search in Google Scholar
Wirtz, Mason A. & Simon Pickl. 2025. Major life events as drivers of perceived linguistic change across adulthood. Language Variation and Change 37(1). 87–110. https://doi.org/doi:10.1017/S095439452400019X.10.1017/S095439452400019XSearch in Google Scholar
Wirtz, Mason A., Simon Pickl & Simone E. Pfenninger. 2025. Individual differences in event experiences and psychosocial factors as drivers for perceived linguistic change following occupational major life events. Open Linguistics 11(1). 1–24. https://doi.org/10.1515/opli-2024–0037.10.1515/opli-2024-0037Search in Google Scholar
Wood, Simon. 2006. Generalized additive models: An introduction with R. Boca Raton: CRC Press.10.1201/9781420010404Search in Google Scholar
Zahn, Christopher J. & Robert Hopper. 1985. Measuring Language Attitudes: The Speech Evaluation Instrument. Journal of Language and Social Psychology 4(2). 113–123.10.1177/0261927X8500400203Search in Google Scholar
Zehetner, Ludwig. 1985. Das bairische Dialektbuch. München: Verlag C. H. Beck.Search in Google Scholar
© 2025 bei den Autorinnen und Autoren, publiziert von De Gruyter im Auftrag der Gesellschaft für Angewandte Linguistik
Dieses Werk ist lizenziert unter der Creative Commons Namensnennung 4.0 International Lizenz.
Articles in the same Issue
- Frontmatter
- Frontmatter
- The Politicization of Linguistic Representations of Age: On the Argumentative Relevance of Age in (Municipal) Political Citizen Participation Formats
- Die deutschsprachige Rechtsterminologie Belgiens
- Mensch versus Natur? Zum Mensch-Wald-Verhältnis in der wirtschaftlichen Waldnutzung
- Mündlichkeit als threshold concept – metasprachliche Hinweise auf eine wissenschafts-/fachdidaktische Herausforderung
- Language attitudes across adolescence and adulthood: Evaluative judgement trajectories and significant life events as critical inflection points
- Metaphernanalyse in der multimodalen Kommunikation
- Rezension
- Eisenberg, Benjamin. 2024. Begriffe für die Komik-Analyse. Terms for the Analysis of the Comic. Weilerswist-Metternich: von Hase & Koehler Verlag. 121 S., € 34,90, ISBN 978-3-7758-1431-7
- Gorter, Durk und Cenoz, Jasone. 2024. A Panorama of Linguistic Landscape Studies. Bristol: Multilingual Matters. 472 S., € 54,95 (paperback), €144.95 (hardback), €1.00 (epub), Open Access (pdf), ISBN 9781800417144, DOI https://doi.org/10.21832/GORTER7144
- Takada, Hiroyuki. 2024. Hitlers Reden 1919–1945. Eine sprachwissenschaftliche Analyse. Berlin: J. B. Metzler. 385 S., € 39,99, ISBN 978–3662678497.
- Ehrhardt, Claus & Eva Neuland. 2021. Sprachliche Höflichkeit (UTB Sprachwissenschaft, Germanistik 5541). Tübingen: Narr Francke Attempto Verlag. 346 S., 32,90 €, ISBN: 9783825255411
- Matschke, Kristina. 2024. Animierte Rede. Eine interaktionslinguistische Studie zu ihren Funktionen im Geschichtsunterricht. Tübingen: Stauffenburg. 395 S., € 68,00, ISBN 978-3-95809-176-4
- Elsen, Hilke. 2023. Gender – Sprache – Stereotype. Geschlechtssensibilität in Alltag und Unterricht. 2., überarbeitete Auflage. Tübingen: Narr. 293 Seiten, € 27,90, ISBN: 978-3-8252-6180-1.
- Angebote zur Rezension
- Corrigendum
- Corrigendum zu: Mehrebenenannotation argumentativer Lerner*innentexte für die automatische Textauswertung
Articles in the same Issue
- Frontmatter
- Frontmatter
- The Politicization of Linguistic Representations of Age: On the Argumentative Relevance of Age in (Municipal) Political Citizen Participation Formats
- Die deutschsprachige Rechtsterminologie Belgiens
- Mensch versus Natur? Zum Mensch-Wald-Verhältnis in der wirtschaftlichen Waldnutzung
- Mündlichkeit als threshold concept – metasprachliche Hinweise auf eine wissenschafts-/fachdidaktische Herausforderung
- Language attitudes across adolescence and adulthood: Evaluative judgement trajectories and significant life events as critical inflection points
- Metaphernanalyse in der multimodalen Kommunikation
- Rezension
- Eisenberg, Benjamin. 2024. Begriffe für die Komik-Analyse. Terms for the Analysis of the Comic. Weilerswist-Metternich: von Hase & Koehler Verlag. 121 S., € 34,90, ISBN 978-3-7758-1431-7
- Gorter, Durk und Cenoz, Jasone. 2024. A Panorama of Linguistic Landscape Studies. Bristol: Multilingual Matters. 472 S., € 54,95 (paperback), €144.95 (hardback), €1.00 (epub), Open Access (pdf), ISBN 9781800417144, DOI https://doi.org/10.21832/GORTER7144
- Takada, Hiroyuki. 2024. Hitlers Reden 1919–1945. Eine sprachwissenschaftliche Analyse. Berlin: J. B. Metzler. 385 S., € 39,99, ISBN 978–3662678497.
- Ehrhardt, Claus & Eva Neuland. 2021. Sprachliche Höflichkeit (UTB Sprachwissenschaft, Germanistik 5541). Tübingen: Narr Francke Attempto Verlag. 346 S., 32,90 €, ISBN: 9783825255411
- Matschke, Kristina. 2024. Animierte Rede. Eine interaktionslinguistische Studie zu ihren Funktionen im Geschichtsunterricht. Tübingen: Stauffenburg. 395 S., € 68,00, ISBN 978-3-95809-176-4
- Elsen, Hilke. 2023. Gender – Sprache – Stereotype. Geschlechtssensibilität in Alltag und Unterricht. 2., überarbeitete Auflage. Tübingen: Narr. 293 Seiten, € 27,90, ISBN: 978-3-8252-6180-1.
- Angebote zur Rezension
- Corrigendum
- Corrigendum zu: Mehrebenenannotation argumentativer Lerner*innentexte für die automatische Textauswertung