Home Mathematics Asymptotic stability of the time-changed stochastic delay differential equations with Markovian switching
Article Open Access

Asymptotic stability of the time-changed stochastic delay differential equations with Markovian switching

  • Xiaozhi Zhang , Zhangsheng Zhu EMAIL logo and Chenggui Yuan
Published/Copyright: July 23, 2021

Abstract

The aim of this work is to study the asymptotic stability of the time-changed stochastic delay differential equations (SDDEs) with Markovian switching. Some sufficient conditions for the asymptotic stability of solutions to the time-changed SDDEs are presented. In contrast to the asymptotic stability in existing articles, we present the new results on the stability of solutions to time-changed SDDEs, which is driven by time-changed Brownian motion. Finally, an example is given to demonstrate the effectiveness of the main results.

MSC 2010: 60H10; 34D20

1 Introduction

The research on stochastic differential equations (SDEs) plays an important role in modeling dynamic system areas, such as physics, economics and finance, biological and so forth. Recently, the qualitative study of the solution of SDEs has received much attention. Particularly, the stability of SDEs has been considered widely by many researchers [1,2, 3,4]. It is well known that time delay is unavoidable in practice, then the corresponding stochastic delay differential equations (SDDEs) are used more widely in systems. It considers the effects of past behaviors imposed to the current status. The stability results of SDDEs we have mentioned here can be found in [5,6, 7,8]. The delay term has main influence on the stability of SDDEs. It could be regarded as a perturbation to the stable systems, or may be the delay part has a stabilizing effect as well [8]. Jump system is a new type of SDE with Markovian switching [9,10, 11,12]. In practice, the system can switch from one mode to another randomly, and the switching between the modes is governed by a Markov process. SDDE with Markovian switching is a kind of hybrid system, including both the logical switching mode and the state of system. It is used widely in many applied areas such as neural networks, traffic control model, and so on.

Very recently, Chlebak et al. [13] considered a sub-diffusion process in Hilbert space and the associated fractional Fokker-Planck-Kolmogorov equations. The process is connected with a limit process arising from continuous-time random walks. In fact, the limit process is a time-changed Lévy process, which is the first hitting time process of certain stable subordinator (see [14,15] for details). The existence and stability of SDEs driven by time-changed Brownian motion attracted lot of attention. Wu [16] established the time-changed Itô formula of time-changed SDE, and the stability analysis is investigated. Subsequently, Nane and Ni [17,18] established the Itô formula for time-changed Lévy noise, then discussed the asymptotic stability and path stability for the solution of time-changed SDEs with jump, respectively. And in [19], we considered the exponential stability for the time-changed stochastic functional differential equations with Markov switching.

Motivated strongly by the above, in this paper, we will study the stability of time-changed SDDEs with Markovian switching. By applying the time-changed Itô formula and Lyapunov function, we present the LaSalle-Type theorem [6,12] of the time-changed SDDEs with Markovian switching. More precisely, we consider the following SDDEs driven by time-changed Brownian motions:

(1.1) d x ( t ) = ρ ( t , E t , r ( t ) , x ( t ) , x ( t τ ) ) d t + f ( t , E t , r ( t ) , x ( t ) , x ( t τ ) ) d E t + g ( t , E t , r ( t ) , x ( t ) , x ( t τ ) ) d B E t

on t 0 with initial data { x ( θ ) : τ θ 0 } = ξ C F 0 b ( [ τ , 0 ] ; R n ) , where ρ , f , g are appropriately specified later.

In the remaining parts of this paper, further needed concepts and related background are presented in Section 2. In Section 3, the main stability results of the time-changed SDDEs with Markovian switching are given. Finally, an example is given to illustrate the effectiveness of the main results.

2 Preliminary

Throughout this paper, let ( Ω , F , { F } t 0 , P ) be a complete probability space with the filtration { F } t 0 , which satisfies the usual conditions (i.e., { F } t 0 is right continuous and F contains all the P-null sets in F ). Let { U ( t ) } t 0 be a right continuous with left limit (RCLL) increasing Lévy process that is called a subordinator. In particular, a β -stable subordinator is a strictly increasing process denoted by U β ( t ) and characterized by Laplace transform

E [ exp ( s U β ( t ) ) ] = exp ( t s β ) , s > 0 , β ( 0 , 1 ) .

For an adapted β -stable subordinator U β ( t ) , define its generalized inverse as

E t E t β = inf { s > 0 : U β ( s ) > t } ,

which is called the first hitting time process. And E t is continuous since U β ( t ) is strictly increasing.

Let B t be a standard Brownian motion independent of E t , define the filtration as

F t = s > t { σ [ B r : 0 r s ] σ [ E r : r 0 ] } ,

where σ 1 σ 2 denotes the σ -algebra generated by the union of σ -algebras σ 1 and σ 2 . It concludes that the time-changed Brownian motion B E t is a square integrable martingale with respect to the filtration { F E t } t 0 . And its quadratic variation satisfies B E t , B E t = E t [20].

Let B E t = ( B E t 1 , , B E t m ) be an m -dimensional Brownian motion defined on the probability space. If K R n , let d ( x , K ) = inf y K x y be the distance from x R n to K . If w is a real-valued function on R n , then its kernel is expressed by ker ( w ) = { x R n : w ( x ) = 0 } . We also denote by L 1 ( R + , R + ) the family of all functions r : R + R + such that 0 r ( t ) d t < , 0 r ( t ) d E t < and 0 r ( t ) d U ( t ) < .

Let r ( t ) , t 0 be a right continuous Markov chain on the probability space taking values in a finite state space S = { 1 , 2 , , N } with generator Γ = ( γ i j ) N × N by

P { r ( t + Δ ) = j r ( t ) = i } = r i j Δ + o ( Δ ) if i j , 1 + r i j Δ + o ( Δ ) if i = j ,

where Δ > 0 , γ i j is the transition rate from i to j if i j and γ i i = i j γ i j . We assume that the Markov chain r ( t ) is independent of Brownian motion, it is well known that almost each sample path of r ( t ) is a right-continuous step function.

Let C 1 , 1 , 2 ( R + × R + × R n × S ; R + ) denote the family of all continuous nonnegative functions V ( t , E t , x ( t ) , i ) defined on R + × R + × R n × S , such that for each i S , they are continuously once differentiable in t and E t and twice differentiable in x . For each V C 1 , 1 , 2 ( R + × R + × R n × S ; R + ) , define the Itô operator L l V : ( R + × R + × R n × R n × S ) R , ( l = 1 , 2 ) by

L 1 V ( t , E t , x , y , i ) = V t ( t , E t , x , i ) + V x ( t , E t , x , i ) ρ ( t , E t , x , y , i ) + j = 1 N γ i j V ( t , E t , x , j )

and

L 2 V ( t , E t , x , y , i ) = V E t ( t , E t , x , i ) + V x ( t , E t , x , i ) f ( t , E t , x , y , i ) + 1 2 trace [ g T V x x ( t , E t , x , i ) g ( t , E t , x , y , i ) ] ,

where

V t ( t , E t , x , i ) = V ( t , E t , x , i ) t , V E t ( t , E t , x , i ) = V ( t , E t , x , i ) E t , V x ( t , E t , x , i ) = V ( t , E t , x , i ) x 1 , V ( t , E t , x , i ) x 2 , , V ( t , E t , x , i ) x n T

and

V x x ( t , E t , x , i ) = 2 V ( t , E t , x , i ) x l x m n × n .

At first, we introduce the important generalized time-changed Itô formula convenient for the subsequent stochastic calculation.

Lemma 2.1

(The generalized time-changed Itô formula) [19] Suppose that U β ( t ) is a β -stable subordinator and E t is its associated inverse subordinator. Let x ( t ) be a F E t adapted process defined in (1.1). If V : R + × R + × R n × S R is a C 1 , 1 , 2 ( R + × R + × R n × S ; R ) function, then with probability one

V ( t , E t , x ( t ) , r ( t ) ) = V ( 0 , 0 , x 0 , r ( 0 ) ) + 0 t L 1 V ( s , E s , x ( s ) , x ( s τ ) , r ( s ) ) d s + 0 t L 2 V ( s , E s , x ( s ) , x ( s τ ) , r ( s ) ) d E s + 0 t V x ( s , E s , x ( s ) , r ( s ) ) g ( s , E s , x ( s ) , x ( s τ ) , r ( s ) ) d B E s + 0 t R [ V ( s , E s , x ( s ) , i 0 + h ( r ( s ) , l ) ) V ( s , E s , x ( s ) , r ( s ) ) ] μ ( d s , d l ) ,

where μ ( d s , d l ) = ν ( d s , d l ) m ( d l ) d s is a martingale measure.

In this paper, the following hypothesis is imposed on the coefficients ρ , f and g .

  1. Both ρ , f : R + × R + × R n × R n × S R n and g : R + × R + × R n × R n × S R n × m are Borel-measurable functions. They satisfy the local Lipschitz condition. That is, for each k = 1 , 2 , , there is c k > 0 such that

    ρ ( t , E t , x , y , i ) ρ ( t , E t , x ¯ , y ¯ , i ) f ( t , E t , x , y , i ) f ( t , E t , x ¯ , y ¯ , i ) g ( t , E t , x , y , i ) g ( t , E t , x ¯ , y ¯ , i ) c k ( x x ¯ + y y ¯ )

    for all t 0 , i S and x , y , x ¯ , y ¯ R n with x y x ¯ y ¯ k . Moreover,

    sup { ρ ( t , E t , i , 0 , 0 ) f ( t , E t , i , 0 , 0 ) g ( t , E t , i , 0 , 0 ) : t 0 } < .

  2. If x ( t ) is an RCLL and F E t -adapted process, then

    ρ ( t , E t , x ( t ) , x ( t τ ) , r ( t ) ) , f ( t , E t , x ( t ) , x ( t τ ) , r ( t ) ) , g ( t , E t , x ( t ) , x ( t τ ) , r ( t ) ) ( F E t ) ,

    where ( F E t ) denotes the class of RCLL and F E t -adapted process.

We will need the useful semimartingale convergence theorem, which is cited here as a lemma.

Lemma 2.2

(Semimartingale convergence theorem [3]) Let { A t } t 0 and { U t } t 0 be two continuous adapted increasing processes with A 0 = U 0 = 0 a.s. Let { M t } t 0 be a real-valued condition local martingale with M 0 = 0 a.s. Let ξ be a nonnegative F 0 -measurable random variable. Define

X t = ξ + A t U t + M t for t 0 .

If X t is nonnegative, then

{ lim t A t < } { lim t X t exists and is finite } { lim t U t < } a.s. ,

where B D a.s. means P ( B D c ) = 0 . In particular, if lim t A t < a.s., then for almost all ω Ω ,

lim t X t ( ω ) exists and is finite , and lim t U t ( ω ) < .

3 Main results and discussion

In this section, we aim to establish the stability results of the system equation.

Theorem 3.1

Let conditions ( H 1 ) and ( H 2 ) hold. Assume that there are functions V C 1 , 1 , 2 ( R + × R + × R n × S , R + ) , r i j L 1 ( R + , R + ) and w i j C ( R n , R + ) , i , j = 1 , 2 such that

(3.1) L 1 V ( t , E t , x , y , i ) r 11 ( t ) + r 12 ( E t ) w 11 ( x ) + w 12 ( y ) ,

(3.2) L 2 V ( t , E t , x , y , i ) r 21 ( t ) + r 22 ( E t ) w 21 ( x ) + w 22 ( y ) ,

(3.3) w i 1 ( x ) w i 2 ( x ) , i = 1 , 2

and

(3.4) lim x inf 0 t < V ( t , E t , x , i ) = ,

where ( t , E t , x , y , i ) R + × R + × R n × R n × S . Then Ker ( w 1 w 2 ) and

(3.5) lim t d ( x ( t ; ξ ) , Ker ( w 1 w 2 ) ) = 0 a.s.

for every ξ C F 0 b ( [ τ , 0 ] ; R n ) , where w i = w 1 i + w 2 i , i = 1 , 2 .

To prove this result, let us present an existence lemma at first.

Lemma 3.1

Under the conditions of Theorem 3.1, for any initial data { x ( θ ) : τ θ 0 } = ξ C F 0 b ( [ τ , 0 ] ; R n ) , equation (1.1) has a unique global solution.

Proof

Under conditions ( H 1 ) and ( H 2 ) , equation (1.1) has a unique maximal local solution x ( t ) on t [ τ , σ ) for any initial data { x ( θ ) : τ θ 0 } = ξ C F 0 b ( [ τ , 0 ] ; R n ) , where σ is the explosion time [15,21]. So we only need to show that σ = a.s. For any k 1 , define the following stopping time

τ k = σ inf { t [ [ 0 , σ [ [ : x ( t ) k } .

By the generalized time-changed Itô formula in Lemma 2.1,

E V ( t τ k , E t τ k , x ( t τ k ) , r ( t τ k ) ) = E V ( 0 , 0 , x ( 0 ) , i 0 ) + E 0 t τ k L 1 V ( s , E s , x ( s ) , x ( s τ ) , r ( t ) ) d s + E 0 t τ k L 2 V ( s , E s , x ( s ) , x ( s τ ) , r ( t ) ) d E s .

By using conditions (3.1) and (3.2), we can see that

0 t τ k L 1 V ( s , E s , x ( s ) , x ( s τ ) , r ( s ) ) d s 0 t τ k [ r 11 ( s ) + r 12 ( E s ) w 11 ( x ( s ) ) + w 12 ( x ( s τ ) ) ] d s 0 t [ r 11 ( s ) + r 12 ( E s ) ] d s + τ 0 w 12 ( x ( s ) ) d s 0 t τ k [ w 11 ( x ( s ) ) w 12 ( x ( s ) ) ] d s

and

0 t τ k L 2 V ( s , E s , x ( s ) , x ( s τ ) , r ( s ) ) d E s 0 t τ k [ r 21 ( s ) + r 22 ( E s ) w 21 ( x ( s ) ) + w 22 ( x ( s τ ) ) ] d E s 0 t [ r 21 ( s ) + r 22 ( E s ) ] d E s + τ 0 w 22 ( x ( s ) ) d E s 0 t τ k [ w 21 ( x ( s ) ) w 22 ( x ( s ) ) ] d E s ,

where we extend E ( s ) to [ τ , 0 ) by setting E ( s ) = E ( 0 ) , then

E V ( t τ k , E t τ k , x ( t τ k ) , r ( t τ k ) ) = E V ( 0 , 0 , x ( 0 ) , i 0 ) + E 0 t τ k L 1 V ( s , E s , x ( s ) , x ( s τ ) , r ( s ) ) d s + E 0 t τ k L 2 V ( s , E s , x ( s ) , x ( s τ ) , r ( s ) ) d E s E V ( 0 , 0 , x ( 0 ) , i 0 ) + 0 t [ r 11 ( s ) + r 12 ( E s ) ] d s + 0 t [ r 21 ( s ) + r 22 ( E s ) ] d E s + τ 0 w 12 ( ξ ( θ ) ) d θ + τ 0 w 22 ( ξ ( s ) ) d E s A .

This yields that

P ( τ k t ) A inf x k , t 0 , i S V ( t , E t , x , i ) .

Taking k , we can see from (3.4) that P ( τ t ) = 0 . Since t is arbitrary, it follows that P ( τ = ) = 1 , this completes the proof.□

Now, let us prove our main results.

Proof of Theorem 3.1

We divide the proof into three steps.

Step 1. For any ξ and i 0 we write x ( t ; i 0 , ξ ) = x ( t ) for simply. It is well known that a continuous time Markov chain r ( t ) with generator Γ = { γ i j } N × N can be expressed as a stochastic integral with respect to a Poisson random measure. In fact, let Δ i j be consecutive, left closed, right open intervals of the real line each having length γ i j such that

Δ 12 = [ 0 , γ 12 ) , Δ 13 = [ γ 12 , γ 12 + γ 13 ) , , Δ 1 N = j = 2 N 1 γ 1 j , j = 2 N γ 1 j , Δ 21 = j = 2 N γ 1 j , j = 2 N γ 1 j + γ 21 , Δ 23 = j = 2 N γ 1 j + γ 21 , j = 2 N γ 1 j + γ 21 + γ 23 , , Δ 2 N = j = 2 N γ 1 j + j = 1 , j 2 N 1 γ 2 j , j = 2 N γ 1 j + j = 1 , j 2 N γ 2 j

and so on. Define the function h : S × R R by

h ( i , y ) = j i , if y Δ i j , 0 , otherwise .

Then d r ( t ) = R h ( r ( t ) , y ) ν ( d t , d y ) with initial condition r ( 0 ) = r 0 , where ν ( d t , d y ) is a Poisson random measure with intensity d t × m ( d y ) , where m is the Lebesgue measure on R . In what follows, we use the generalized time-changed Itô formula in Lemma 2.1: if V C 1 , 1 , 2 ( R + × R + × R n × S ; R + ) , then for any t 0 ,

V ( t , E t , x ( t ) , r ( t ) ) = V ( 0 , 0 , x 0 , r ( 0 ) ) + 0 t L 1 V ( s , E s , x ( s ) , x ( s τ ) , r ( s ) ) d s + 0 t L 2 V ( s , E s , x ( s ) , x ( s τ ) , r ( s ) ) d E s + 0 t V x ( s , E s , x ( s ) , r ( s ) ) g ( s , E s , x ( s ) , x ( s τ ) , r ( s ) ) d B E s + 0 t R [ V ( s , E s , x ( s ) , i 0 + h ( r ( s ) , l ) ) V ( s , E s , x ( s ) , r ( s ) ) ] μ ( d s , d l ) ,

where μ ( d s , d l ) = ν ( d s , d l ) m ( d l ) d s is a martingale measure. By using conditions (3.1) and (3.2), we can see that

V ( t , E t , x ( t ) , r ( t ) ) V ( 0 , 0 , ξ ( 0 ) , r ( 0 ) ) + τ 0 w 12 ( ξ ( s ) ) d s + τ 0 w 22 ( ξ ( s ) ) d E s + 0 t [ r 11 ( s ) + r 12 ( E s ) ] d s + 0 t [ r 21 ( s ) + r 22 ( E s ) ] d E s 0 t [ w 11 ( x ( s ) ) w 12 ( x ( s ) ) ] d s 0 t [ w 21 ( x ( s ) ) w 22 ( x ( s ) ) ] d E s + 0 t V x ( s , E s , x ( s ) ) g ( s , E s , x ( s ) , x ( s τ ) , r ( s ) ) d B E s + 0 t R [ V ( s , E s , x ( s ) , i 0 + h ( r ( s ) , l ) ) V ( s , E s , x ( s ) , r ( s ) ) ] μ ( d s , d l ) .

Applying Lemma 2.2, the semimartingale convergence theorem yields that

(3.6) lim t sup V ( t , E t , x ( t ) , r ( t ) ) < a.s.

Moreover,

E 0 t [ w 11 ( x ( s ) ) w 12 ( x ( s ) ) ] d s + E 0 t [ w 21 ( x ( s ) ) w 22 ( x ( s ) ) ] d E s E V ( 0 , 0 , ξ ( 0 ) , r ( 0 ) ) + τ 0 w 12 ( ξ ( s ) ) d s + τ 0 w 22 ( ξ ( s ) ) d E s + 0 [ r 11 ( s ) + r 12 ( E s ) ] d s + 0 [ r 21 ( s ) + r 22 ( E s ) ] d E s < .

Taking t we obtain that

E 0 [ w 11 ( x ( s ) ) w 12 ( x ( s ) ) ] d s < , E 0 [ w 21 ( x ( s ) ) w 22 ( x ( s ) ) ] d E s < ,

this means

(3.7) 0 [ w 11 ( x ( s ) ) w 12 ( x ( s ) ) ] d s < , 0 [ w 21 ( x ( s ) ) w 22 ( x ( s ) ) ] d E s < a.s.

Step 2. If we set w = w 1 w 2 , where w i = w 1 i + w 2 i , i = 1 , 2 . Clearly, w C ( R n , R + ) . It is straightforward to see from (3.7) that

(3.8) lim t inf w ( x ( t ) ) = 0 a.s.

We now claim that

(3.9) lim t w ( x ( t ) ) = 0 a.s.

If it is false, then

P { lim t sup w ( x ( t ) ) > 0 } > 0 ;

therefore, there exists a number ε > 0 such that

(3.10) P ( Ω 1 ) 3 ε ,

where

Ω 1 = { lim t sup w ( x ( t ) ) > 2 ε } .

Since E t is continuous, by means of (3.6) and the continuity of both the solution x ( t ) and the function V ( t , E t , x , r ( t ) ) [6,12], we can see that

sup τ t < V ( t , E t , x ( t ) , r ( t ) ) < a.s.

Define the function μ : R + R + by

μ ( k ) = inf x k , 0 t < , i S V ( t , E t , x , i ) for k 0 .

Clearly μ ( x ( t ) ) V ( t , E t , x ( t ) , r ( t ) ) , hence,

sup τ t < μ ( x ( t ) ) sup τ t < V ( t , E t , r ( t ) , x ( t ) ) < a.s.

On the other hand, by (3.4) we have

lim k μ ( k ) = .

Therefore, it follows that

(3.11) sup τ t < x ( t ) < a.s.

Since the initial data ξ is bounded, we can find a positive number h sufficiently large, which depends on ε , satisfying ξ ( θ ) < h for all τ θ 0 almost surely, while

(3.12) P ( Ω 2 ) 1 ε ,

where

Ω 2 = { sup τ t < x ( t ) < h } .

It is easy to see from (3.10) and (3.12) that

(3.13) P ( Ω 1 Ω 2 ) 2 ε .

In what follows, we define a sequence of stopping times,

σ 1 = inf { t 0 : w ( x ( t ) ) 2 ε } , σ 2 i = inf { t σ 2 i 1 : w ( x ( t ) ) ε } , i = 1 , 2 , , σ 2 i + 1 = inf { t σ 2 i : w ( x ( t ) ) 2 ε } , τ h = inf { t 0 : x ( t ) h } , i = 1 , 2 , .

Throughout this paper we set inf = , note from (3.8) and the definitions of Ω i ( i = 1 , 2 ) that if ω Ω 1 Ω 2 , then

(3.14) τ h ( ω ) = and σ i ( ω ) < for all i 1 .

Let I be the indicator function of set A , by means of the fact that σ 2 i < whenever σ 2 i 1 < and (3.8), we obtain that

(3.15) > E 0 w ( x ( t ) ) d t i = 1 E I { σ 2 i 1 < , σ 2 i < , τ h = } σ 2 i 1 σ 2 i w ( x ( t ) ) d t ε i = 1 E [ I { σ 2 i 1 < , τ h = } ( σ 2 i σ 2 i 1 ) ] .

On the other hand, by the hypothesis ( H 1 ), there exists a constant K h such that

ρ ( t 1 , t 2 , x , y , i ) f ( t 1 , t 2 , x , y , i ) g ( t 1 , t 2 , x , y , i ) K h ,

whenever x y h and t > 0 . By the Hölder inequality and the martingale property of the indefinite Itô integral [3], one can compute that

(3.16) E [ I τ h σ 2 i 1 < sup 0 t T x ( τ h ( σ 2 i 1 + t ) ) x ( τ h σ 2 i 1 ) 2 ] 3 E I τ h σ 2 i 1 < sup 0 t T τ h σ 2 i 1 τ h ( σ 2 i 1 + t ) ρ ( s , E s , x ( s ) , x ( s τ ) , r ( s ) ) d s 2 + 3 E I τ h σ 2 i 1 < sup 0 t T τ h σ 2 i 1 τ h ( σ 2 i 1 + t ) f ( s , E s , x ( s ) , x ( s τ ) , r ( s ) ) d E s 2 + 3 E I τ h σ 2 i 1 < sup 0 t T τ h σ 2 i 1 τ h ( σ 2 i 1 + t ) g ( s , E s , x ( s ) , x ( s τ ) , r ( s ) ) d B E s 2

3 T E I τ h σ 2 i 1 < τ h σ 2 i 1 τ h ( σ 2 i 1 + T ) ρ ( s , E s , x ( s ) , x ( s τ ) , r ( s ) ) 2 d s + 3 T E I τ h σ 2 i 1 < τ h σ 2 i 1 τ h ( σ 2 i 1 + T ) f ( s , E s , x ( s ) , x ( s τ ) , r ( s ) ) 2 d E s + 12 E I τ h σ 2 i 1 < τ h σ 2 i 1 τ h ( σ 2 i 1 + T ) g ( s , E s , x ( s ) , x ( s τ ) , r ( s ) ) 2 d E s 3 K h 2 E [ T 2 + ( T + 4 ) ( E σ 2 i 1 + T E σ 2 i 1 ) ] .

Since w ( ) is continuous in R n , it must be uniformly continuous in the closed ball S ¯ h = { x R n : x h } . We can therefore choose δ = δ ( ε ) > 0 so small that

(3.17) w ( x ) w ( y ) < ε whenever x y < δ , x , y S ¯ h .

Furthermore, since E t is continuous at t = σ 2 i 1 , we choose T = T ( ε , δ , h ) > 0 sufficiently small such that

3 K h 2 E [ T 2 + ( T + 4 ) ( E σ 2 i 1 + T E σ 2 i 1 ) ] < δ 2 ε .

It follows from (3.16) that

P ( { τ h σ 2 i 1 < } { sup 0 t T x ( τ h ( σ 2 i 1 + t ) ) x ( τ h σ 2 i 1 ) δ } ) 3 K h 2 E [ T 2 + ( T + 4 ) ( E σ 2 i 1 + T E σ 2 i 1 ) ] δ 2 < ε .

This yields that

P ( { σ 2 i 1 < , τ h = } { sup 0 t T x ( σ 2 i 1 + t ) x ( σ 2 i 1 ) δ } ) = P ( { τ h σ 2 i 1 < , τ h = } { sup 0 t T x ( τ h ( σ 2 i 1 + t ) ) x ( τ h σ 2 i 1 ) δ } ) P ( { τ h σ 2 i 1 < } { sup 0 t T x ( τ h ( σ 2 i 1 + t ) ) x ( τ h σ 2 i 1 ) δ } ) ε .

Recalling (3.17), we further compute

(3.18) P ( { σ 2 i 1 < , τ h = } { sup 0 t T w ( x ( σ 2 i 1 + t ) ) w ( x ( σ 2 i 1 ) ) < ε } ) P ( { σ 2 i 1 < , τ h = } { sup 0 t T x ( σ 2 i 1 + t ) x ( σ 2 i 1 ) < δ } ) P ( { σ 2 i 1 < , τ h = } P ( { σ 2 i 1 < , τ h = } { sup 0 t T x ( σ 2 i 1 + t ) x ( σ 2 i 1 ) δ } ) 2 ε ε = ε .

Set

Ω ¯ i = { sup 0 t T w ( x ( σ 2 i 1 + t ) ) w ( x ( σ 2 i 1 ) ) < ε } ,

noting that

σ 2 i ( ω ) σ 2 i 1 ( ω ) T if ω { σ 2 i 1 < , τ h = } Ω ¯ i ,

we can derive from (3.15) and (3.18) that

> ε i = 1 E [ I { σ 2 i 1 < , τ h = } ( σ 2 i σ 2 i 1 ) ] ε i = 1 E [ I { σ 2 i 1 < , τ h = } Ω ¯ i ( σ 2 i σ 2 i 1 ) ] ε T i = 1 P ( { σ 2 i 1 < , τ h = } Ω ¯ i ) ε T i = 1 ε = ,

it is a contradiction. So (3.9) must be hold.

Step 3. We first show that Ker ( w ) . Note from (3.9) and (3.11) that there exists a Ω 0 Ω with P ( Ω 0 ) = 1 such that

(3.19) lim t w ( x ( t , ω ) ) = 0 and sup 0 t < x ( t , ω ) < for all ω Ω 0 .

For any ω Ω 0 , since { x ( t , ω ) } t 0 is bounded, there exists an increasing sequence { t i } i 1 such that { x ( t i , ω ) } i 1 converges to some y R n . Hence,

(3.20) w ( y ) = lim t w ( x ( t i , ω ) ) = 0 ,

which implies y Ker ( w ) , that is, Ker ( w ) .

Now, we claim that

(3.21) lim t d ( x ( t , ω ) , Ker ( w ) ) = 0 for all ω Ω 0 .

If it is not true, there exist some ω ¯ Ω 0 such that

limsup t d ( x ( t , ω ¯ ) , Ker ( w ) ) > 0 ;

therefore, there is a subsequence { x ( t i , ω ¯ ) } i 1 of { x ( t , ω ¯ ) } t 0 such that

d ( x ( t i , ω ¯ ) , Ker ( w ) ) ε , i 1 ,

for some ε > 0 . Since { x ( t i , ω ¯ ) } i 1 is bounded, we can find a subsequence { x ( t ¯ i , ω ¯ ) } i 1 , which converges to z . Clearly, z Ker ( w ) , that is, w ( z ) > 0 . However, from (3.19) we can see that

w ( z ) = lim i w ( x ( t ¯ i , ω ¯ ) ) = 0 ,

which contradicts with w ( z ) > 0 . Hence, (3.21) holds and the required assertion (3.5) follows since P ( Ω 0 ) = 1 . This completes the proof.□

Corollary 3.1

Let conditions ( H 1 ) and ( H 2 ) hold. Assume that there are functions V C 1 , 1 , 2 ( R + × R + × R n × S , R + ) , r i j L 1 ( R + , R + ) and w i j C ( R n , R + ) , i , j = 1 , 2 such that

(3.22) L 1 V ( t , E t , x , y , i ) r 11 ( t ) + r 12 ( E t ) w 11 ( x ) + w 12 ( y ) , L 2 V ( t , E t , x , y , i ) r 21 ( t ) + r 22 ( E t ) w 21 ( x ) + w 22 ( y ) , w i 1 ( x ) > w i 2 ( x ) , x 0 , i = 1 , 2

and

lim x inf 0 t < V ( t , E t , x , i ) = .

Then

(3.23) lim t x ( t ; ξ ) = 0 a.s.

for every ξ C F 0 b ( [ τ , 0 ] ; R n ) .

Proof

By condition (3.22), x Ker ( w 1 w 2 ) if x 0 . On the other hand, from Theorem 2.1 we obtain that Ker ( w 1 w 2 ) , then it must be Ker ( w 1 w 2 ) = { 0 } , and lim t x ( t ; ξ ) = 0 a.s. immediately.□

4 Controllability of linear stochastic differential system

Let us consider the following linear SDE with delay:

(4.1) d x ( t ) = [ A ( r ( t ) ) x ( t ) + C ( r ( t ) ) x ( t τ ) + D ( r ( t ) ) u ( t ) ] d t + [ F ( r ( t ) ) x ( t ) + G ( r ( t ) ) x ( t τ ) ] d E t + k = 1 m [ M k ( r ( t ) ) x ( t ) + N k ( r ( t ) ) x ( t τ ) ] d B k ( E t )

on t 0 with the initial data ξ = { x ( θ ) : τ θ 0 } C F 0 b ( [ τ , 0 ] ; R n ) and r ( 0 ) = i 0 . Here u is an F t -measurable and R p -value control law. For each r ( t ) = i S , we write A ( i ) = A i . A i , C i , F i , G i , M k i , N k i are all n × n constant matrices and D i is an n × p matrix.

The aim of this study is to design a delay-independent feedback controller with the form u ( t ) = H ( r ( t ) ) x ( t ) , such that the following closed-loop system of (4.1)

d x ( t ) = [ A ( r ( t ) ) x ( t ) + C ( r ( t ) ) x ( t τ ) + D ( r ( t ) ) H ( r ( t ) ) x ( t ) ] d t + [ F ( r ( t ) ) x ( t ) + G ( r ( t ) ) x ( t τ ) ] d E t + k = 1 m [ M k ( r ( t ) ) x ( t ) + N k ( r ( t ) ) x ( t τ ) ] d B k ( E t )

becomes almost surely asymptotically stable. Here for each mode r ( t ) = i S , H ( i ) = H i is a p × n matrix.

Lemma 4.1

(The Schur complement [22]) Let M , N , R be constant matrices with appropriate dimensions such that R = R T > 0 and M = M T . Then M + N R 1 N T < 0 iff

M N N T R < 0 .

(Here, as usual, by R = R T we mean R is a symmetric matrix while by R > 0 or R < 0 we mean R is a positive-definite or negative matrix, respectively.)

Theorem 4.1

If the following linear matrix inequalities (LMIs)

P 1 i Q i C i C i T Q i I < 0 and P 2 i Q i G i G i T Q i I < 0 , i S

have the solutions Q i and H i such that Q i = Q i T > 0 , where I is the n × n identity matrix and

P 1 i = Q i A i + A i T Q i + Q i D i H i + ( D i H i ) T Q i + l = 1 N γ i l Q l + I , P 2 i = Q i F i + F i T Q i + 2 k = 1 m M k i T Q i M k i + 2 k = 1 m N k i T Q i N k i + I .

Then system (4.1) is almost surely asymptotically stable with the controller u ( t ) = H ( r ( t ) ) x ( t ) .

Proof

Let V ( x , i ) = x T Q i x , then by the generalized time-changed Itô formula in Lemma 2.1,

L 1 V ( x , y , i ) = 2 x T Q i ( A i + D i H i ) x + 2 x T Q i C i y + x T l = 1 N γ i l Q l x , L 2 V ( x , y , i ) = 2 x T Q i [ F i x + G i y ] + k = 1 m [ M k i x + N k i y ] T Q i [ M k i x + N k i y ] .

Note that

2 x T Q A x = x T [ Q A + A T Q ] x , 2 x T Q D H x = x T [ Q D H + ( D H ) T Q ] x .

From the following inequality

( y T x T Q C ) ( y T x T Q C ) T 0 ,

it follows that

2 x T Q C y = x T Q C y + y T C T Q x y T y + x T Q C C T Q x .

Then

L 1 V x T [ Q i A i + A i T Q i ] x + x T [ Q i D i H i + ( D i H i ) T Q i ] x + x T Q i C i C i T Q i x + y T y + x T l = 1 N γ i l Q l x w 11 i ( x ) + w 12 ( y ) ,

where

w 11 i ( x ) = x T [ P 1 i Q i C i C i T Q i + I ] x , w 12 ( x ) = x T x .

By Lemma 4.1, P 1 i + Q i C i C i T Q i < 0 , it means that, P 1 i Q i C i C i T Q i > 0 , so we obtain that

w 11 i ( x ) x T x = w 12 ( x ) > 0 , x 0 .

Let w 11 ( x ) = min i S w 11 i ( x ) , clearly w 11 ( x ) w 12 ( x ) for x 0 . Furthermore, note that

[ M x + N y ] T Q [ M x + N y ] 2 x T M T Q M x + 2 y T N T Q N y ,

then

L 2 V x T [ Q i F i + F i T Q i ] x + y T y + x T Q i G i G i T Q i x + 2 x T k = 1 m M k i T Q i M k i x + 2 y T k = 1 m N k i T Q i N k i y w 21 i ( x ) + w 22 i ( y ) ,

where

w 21 i ( x ) = x T P 2 i Q i G i G i T Q i + I + 2 k = 1 m N k i T Q i N k i x

and

w 22 i ( x ) = x T I + 2 k = 1 m N k i T Q i N k i x .

By Lemma 4.1, P 2 i + Q i G i G i T Q i < 0 , in other words, P 2 i Q i G i G i T Q i > 0 , so we obtain that

w 21 i ( x ) x T I + 2 k = 1 m N k i T Q i N k i x = w 22 i ( x ) > 0 , x 0 .

Let w 21 ( x ) = min i S w 21 i ( x ) , w 22 ( x ) = max i S w 22 i ( x ) , then it is clear that w 21 ( x ) w 22 ( x ) for x 0 . Therefore, the system is almost surely asymptotically stable with the controller designed above.□

Remark

If the controller u ( t ) applies to the time-changed term d E t , then system (4.1) becomes the following system:

(4.2) d x ( t ) = [ A ( r ( t ) ) x ( t ) + C ( r ( t ) ) x ( t τ ) ] d t + [ F ( r ( t ) ) x ( t ) + G ( r ( t ) ) x ( t τ ) + D ( r ( t ) ) u ( t ) ] d E t + k = 1 m [ M k ( r ( t ) ) x ( t ) + N k ( r ( t ) ) x ( t τ ) ] d B k ( E t ) .

In this case, we can also consider the asymptotic stability by means of the LMIs just renew P 1 i and P 2 i as follows:

P 1 i = Q i A i + A i T Q i + l = 1 N γ i l Q l + I , P 2 i = Q i F i + F i T Q i + Q i D i H i + ( D i H i ) T Q i + 2 k = 1 m M k i T Q i M k i + 2 k = 1 m N k i T Q i N k i + I .

In what follows, we shall give an example to show the aforementioned results.

Example 4.1

Let r ( t ) be a right-continuous Markov chain taking values in S = { 1 , 2 } with the generator

Γ = ( γ i j ) 2 × 2 = 1 1 1 1 .

Let B ( t ) be a one-dimensional Brownian motion independent of r ( t ) . Now, let us consider the following two-dimensional SDDE with Markovian switching as

(4.3) d x ( t ) = [ A ( r ( t ) ) x ( t ) + u ( t ) ] d t + F ( r ( t ) ) x ( t ) d E t + N ( r ( t ) ) x ( t τ ) d B E t , t 0 ,

where

A 1 = 1 1 2 3 , F 1 = 2 3 3 12 , N 1 = 1 1 1 0 , A 2 = 1 2 1 3 , F 2 = 2 0 2 3 , N 2 = 1 0 1 1 .

Next, let us design a feedback control u ( t ) = H ( r ( t ) ) x ( t ) in order to guarantee the stability of system (4.3). To the end, we set

P 1 i = Q i A i + A i T Q i + Q i H i + H i T Q i + l = 1 2 γ i l Q l + I , P 2 i = Q i F i + F i T Q i + 2 N i T Q i N i + I .

It is easy to verify that the LMIs

P 1 i Q i C i C i T Q i I < 0 and P 2 i Q i G i G i T Q i I < 0 , i S

have the solution

Q 1 = 5 2 2 1 , H 1 = 3 4 4 9 , Q 2 = 4 1 1 2 , H 2 = 2 1 3 1 .

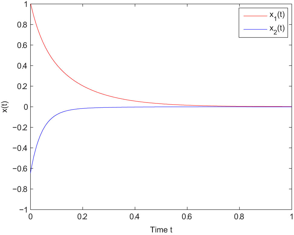
Obviously, Q 1 and Q 2 are positive-definite and symmetric matrices. By Theorem 4.1, we can see that equation (4.3) is almost surely asymptotically stable with the controller u ( t ) = H ( r ( t ) ) x ( t ) . When the initial condition x ( t ) = c o l [ 1.1 sin ( t ) , 1.8 cos ( t ) ] ( t [ τ ; 0 ] ) , τ = 2 , r ( 0 ) = 1 , Figure 1 shows the asymptotic behavior in almost sure sense of the global solution for (4.3).

Figure 1 
               Asymptotic behavior in almost sure sense of the solution for equation (4.3).
Figure 1

Asymptotic behavior in almost sure sense of the solution for equation (4.3).

5 Conclusions

The SDDEs driven by time-changed Brownian motions is a new research area for recent years. In this work, we have considered the asymptotic stability of the time-changed SDDEs with Markovian switching, by expanding the time-changed Itô formula and the time-changed semi-martingale convergence theorem. Our result generalizes that of SDDEs in the literature. Due to the more construction of SDDEs with time change than the usual SDDEs, our result is not a trivial generalization.

Acknowledgement

The authors would like to thank referee for valuable comments and careful reading, which leads to a great improvement of the article.

  1. Funding information: This work was supported by the National Natural Science Foundation of China (11961037 and 11861040).

  2. Conflict of interest: The authors declare that they have no competing interests.

References

[1] C. T. H. Baker and E. Buckwar , Exponential stability in p-th mean of solutions, and of convergent Euler-type solutions, of stochastic delay differential equations, J. Comput. Appl. Math. 184 (2005), no. 2, 404–427. 10.1016/j.cam.2005.01.018Search in Google Scholar

[2] X. Mao , Exponential Stability of Stochastic Differential Equations, Marcel Dekker, New York, 1994. Search in Google Scholar

[3] X. Mao , Stochastic Differential Equations and Applications, Horwood Publishing, UK, 2007. 10.1533/9780857099402Search in Google Scholar

[4] P. Protter , Stochastic Integration and Differential Equations, Springer-Verlag, Berlin Heidelberg, 2005. 10.1007/978-3-662-10061-5Search in Google Scholar

[5] D. Liu , G. Yang , and W. Zhang , The stability of neutral stochastic delay differential equations with Poisson jumps by fixed points, J. Comput. Appl. Math. 235 (2011), no. 10, 3115–3120. 10.1016/j.cam.2008.10.030Search in Google Scholar

[6] X. Mao , A note on the LaSalle-type theorem for stochastic differential delay equations, J. Math. Anal. Appl. 268 (2002), 125–142. 10.1006/jmaa.2001.7803Search in Google Scholar

[7] W. Zhu , J. Huang , X. Ruan , and Z. Zhao , Exponential stability of stochastic differential equation with mixed delay, J. Appl. Math. 2014 (2014), 187037. 10.1155/2014/187037Search in Google Scholar

[8] X. Mao , J. Lam , S. Xu , and H. Gao , Razumikhin method and exponential stability of hybrid stochastic delay interval systems, J. Math. Anal. Appl. 314 (2006), 45–66. 10.1016/j.jmaa.2005.03.056Search in Google Scholar

[9] B. Li , D. Li , and D. Xu , Stability analysis for impulsive stochastic delay differential equations with Markovian switching, J. Franklin Inst. 350 (2013), 1848–1864. 10.1016/j.jfranklin.2013.05.009Search in Google Scholar

[10] X. Mao and C. Yuan , Stochastic Differential Equations with Markovian Switching, Imperial College Press, London, 2006. 10.1142/p473Search in Google Scholar

[11] Y. Xu and Z. He , Exponential stability of neutral stochastic delay differential equations with Markovian switching, Appl. Math. Lett. 52 (2016), 64–73. 10.1016/j.aml.2015.08.019Search in Google Scholar

[12] C. Yuan and X. Mao , Robust stability and controllability of stochastic differential delay equations with Markovian switching, Automatica 40 (2004), no. 3, 343–354. 10.1016/j.automatica.2003.10.012Search in Google Scholar

[13] L. Chlebak , P. Garmirian , and Q. Wu , Sub-diffusion processes in Hilbert space and their associated stochastic differential equations and Fokker-Planck-Kolmogorov equations, arXiv:1610.00208v1 (2016). Search in Google Scholar

[14] J. Bertoin , Subordinators: Examples and applications , in: P. Bernard (ed.), Lectures on Probability Theory and Statistics, Lecture Notes in Mathematics , vol. 1717, Springer, Berlin, Heidelberg, 1999, pp. 1–91, https://doi.org/10.1007/978-3-540-48115-7_1 . 10.1007/978-3-540-48115-7_1Search in Google Scholar

[15] K. Kobayashi , Stochastic calculus for a time-changed semimartingale and the associated stochastic differential equations, J. Theoret. Probab. 24 (2011), 789–820. 10.1007/s10959-010-0320-9Search in Google Scholar

[16] Q. Wu , Stability analysis for a class of nonlinear time-changed systems, Cogent Math. 3 (2016), 1228273, https://doi.org/10.1080/23311835.2016.1228273 . 10.1080/23311835.2016.1228273Search in Google Scholar

[17] E. Nane and Y. Ni , Stability of the solution of stochastic differential equation driven by time-changed Lévy noise, Proc. Amer. Math. Soc. 145 (2017), no. 7, 3085–3104, https://doi.org/10.1090/proc/13447 .10.1090/proc/13447Search in Google Scholar

[18] E. Nane and Y. Ni , Path stability of stochastic differential equations driven by time-changed Lévy noises, ALEA, Lat. Am. J. Probab. Math. Stat. 15 (2018), 479–507, https://doi.org/10.30757/ALEA.v15-20 . 10.30757/ALEA.v15-20Search in Google Scholar

[19] X. Zhang and C. Yuan , Razumikhin-type theorem on time-changed stochastic functional differential equations with Markovian switching, Open Math. 17 (2019), 689–699, https://doi.org/10.1515/math-2019-0055 . 10.1515/math-2019-0055Search in Google Scholar

[20] M. Magdziarz , Path properties of subdiffusion – a martingale approach, Stoch. Models 26 (2010), no. 2, 256–271. 10.1080/15326341003756379Search in Google Scholar

[21] D. Xu , B. Li , S. Long , and L. Teng , Moment estimate and existence for solutions of stochastic functional differential equations, Nonlinear Anal. 108 (2014), 128–143. 10.1016/j.na.2014.05.004Search in Google Scholar

[22] S. Boyd , L. Ghaoui , E. Feron , and V. Balakrishnan , Linear Matrix Inequalities in System and Control Theory, SIAM Studies in Applied Mathematics, Philadelphia, 1994. 10.1137/1.9781611970777Search in Google Scholar

Received: 2020-08-26
Revised: 2021-03-04
Accepted: 2021-06-03
Published Online: 2021-07-23

© 2021 Xiaozhi Zhang et al., published by De Gruyter

This work is licensed under the Creative Commons Attribution 4.0 International License.

Articles in the same Issue

  1. Regular Articles
  2. Sharp conditions for the convergence of greedy expansions with prescribed coefficients
  3. Range-kernel weak orthogonality of some elementary operators
  4. Stability analysis for Selkov-Schnakenberg reaction-diffusion system
  5. On non-normal cyclic subgroups of prime order or order 4 of finite groups
  6. Some results on semigroups of transformations with restricted range
  7. Quasi-ideal Ehresmann transversals: The spined product structure
  8. On the regulator problem for linear systems over rings and algebras
  9. Solvability of the abstract evolution equations in Ls-spaces with critical temporal weights
  10. Resolving resolution dimensions in triangulated categories
  11. Entire functions that share two pairs of small functions
  12. On stochastic inverse problem of construction of stable program motion
  13. Pentagonal quasigroups, their translatability and parastrophes
  14. Counting certain quadratic partitions of zero modulo a prime number
  15. Global attractors for a class of semilinear degenerate parabolic equations
  16. A new implicit symmetric method of sixth algebraic order with vanished phase-lag and its first derivative for solving Schrödinger's equation
  17. On sub-class sizes of mutually permutable products
  18. Asymptotic solution of the Cauchy problem for the singularly perturbed partial integro-differential equation with rapidly oscillating coefficients and with rapidly oscillating heterogeneity
  19. Existence and asymptotical behavior of solutions for a quasilinear Choquard equation with singularity
  20. On kernels by rainbow paths in arc-coloured digraphs
  21. Fully degenerate Bell polynomials associated with degenerate Poisson random variables
  22. Multiple solutions and ground state solutions for a class of generalized Kadomtsev-Petviashvili equation
  23. A note on maximal operators related to Laplace-Bessel differential operators on variable exponent Lebesgue spaces
  24. Weak and strong estimates for linear and multilinear fractional Hausdorff operators on the Heisenberg group
  25. Partial sums and inclusion relations for analytic functions involving (p, q)-differential operator
  26. Hodge-Deligne polynomials of character varieties of free abelian groups
  27. Diophantine approximation with one prime, two squares of primes and one kth power of a prime
  28. The equivalent parameter conditions for constructing multiple integral half-discrete Hilbert-type inequalities with a class of nonhomogeneous kernels and their applications
  29. Boundedness of vector-valued sublinear operators on weighted Herz-Morrey spaces with variable exponents
  30. On some new quantum midpoint-type inequalities for twice quantum differentiable convex functions
  31. Quantum Ostrowski-type inequalities for twice quantum differentiable functions in quantum calculus
  32. Asymptotic measure-expansiveness for generic diffeomorphisms
  33. Infinitesimals via Cauchy sequences: Refining the classical equivalence
  34. The (1, 2)-step competition graph of a hypertournament
  35. Properties of multiplication operators on the space of functions of bounded φ-variation
  36. Disproving a conjecture of Thornton on Bohemian matrices
  37. Some estimates for the commutators of multilinear maximal function on Morrey-type space
  38. Inviscid, zero Froude number limit of the viscous shallow water system
  39. Inequalities between height and deviation of polynomials
  40. New criteria-based ℋ-tensors for identifying the positive definiteness of multivariate homogeneous forms
  41. Determinantal inequalities of Hua-Marcus-Zhang type for quaternion matrices
  42. On a new generalization of some Hilbert-type inequalities
  43. On split quaternion equivalents for Quaternaccis, shortly Split Quaternaccis
  44. On split regular BiHom-Poisson color algebras
  45. Asymptotic stability of the time-changed stochastic delay differential equations with Markovian switching
  46. The mixed metric dimension of flower snarks and wheels
  47. Oscillatory bifurcation problems for ODEs with logarithmic nonlinearity
  48. The B-topology on S-doubly quasicontinuous posets
  49. Hyers-Ulam stability of isometries on bounded domains
  50. Inhomogeneous conformable abstract Cauchy problem
  51. Path homology theory of edge-colored graphs
  52. Refinements of quantum Hermite-Hadamard-type inequalities
  53. Symmetric graphs of valency seven and their basic normal quotient graphs
  54. Mean oscillation and boundedness of multilinear operator related to multiplier operator
  55. Numerical methods for time-fractional convection-diffusion problems with high-order accuracy
  56. Several explicit formulas for (degenerate) Narumi and Cauchy polynomials and numbers
  57. Finite groups whose intersection power graphs are toroidal and projective-planar
  58. On primitive solutions of the Diophantine equation x2 + y2 = M
  59. A note on polyexponential and unipoly Bernoulli polynomials of the second kind
  60. On the type 2 poly-Bernoulli polynomials associated with umbral calculus
  61. Some estimates for commutators of Littlewood-Paley g-functions
  62. Construction of a family of non-stationary combined ternary subdivision schemes reproducing exponential polynomials
  63. On the evolutionary bifurcation curves for the one-dimensional prescribed mean curvature equation with logistic type
  64. On intersections of two non-incident subgroups of finite p-groups
  65. Global existence and boundedness in a two-species chemotaxis system with nonlinear diffusion
  66. Finite groups with 4p2q elements of maximal order
  67. Positive solutions of a discrete nonlinear third-order three-point eigenvalue problem with sign-changing Green's function
  68. Power moments of automorphic L-functions related to Maass forms for SL3(ℤ)
  69. Entire solutions for several general quadratic trinomial differential difference equations
  70. Strong consistency of regression function estimator with martingale difference errors
  71. Fractional Hermite-Hadamard-type inequalities for interval-valued co-ordinated convex functions
  72. Montgomery identity and Ostrowski-type inequalities via quantum calculus
  73. Universal inequalities of the poly-drifting Laplacian on smooth metric measure spaces
  74. On reducible non-Weierstrass semigroups
  75. so-metrizable spaces and images of metric spaces
  76. Some new parameterized inequalities for co-ordinated convex functions involving generalized fractional integrals
  77. The concept of cone b-Banach space and fixed point theorems
  78. Complete consistency for the estimator of nonparametric regression model based on m-END errors
  79. A posteriori error estimates based on superconvergence of FEM for fractional evolution equations
  80. Solution of integral equations via coupled fixed point theorems in 𝔉-complete metric spaces
  81. Symmetric pairs and pseudosymmetry of Θ-Yetter-Drinfeld categories for Hom-Hopf algebras
  82. A new characterization of the automorphism groups of Mathieu groups
  83. The role of w-tilting modules in relative Gorenstein (co)homology
  84. Primitive and decomposable elements in homology of ΩΣℂP
  85. The G-sequence shadowing property and G-equicontinuity of the inverse limit spaces under group action
  86. Classification of f-biharmonic submanifolds in Lorentz space forms
  87. Some new results on the weaving of K-g-frames in Hilbert spaces
  88. Matrix representation of a cross product and related curl-based differential operators in all space dimensions
  89. Global optimization and applications to a variational inequality problem
  90. Functional equations related to higher derivations in semiprime rings
  91. A partial order on transformation semigroups with restricted range that preserve double direction equivalence
  92. On multi-step methods for singular fractional q-integro-differential equations
  93. Compact perturbations of operators with property (t)
  94. Entire solutions for several complex partial differential-difference equations of Fermat type in ℂ2
  95. Random attractors for stochastic plate equations with memory in unbounded domains
  96. On the convergence of two-step modulus-based matrix splitting iteration method
  97. On the separation method in stochastic reconstruction problem
  98. Robust estimation for partial functional linear regression models based on FPCA and weighted composite quantile regression
  99. Structure of coincidence isometry groups
  100. Sharp function estimates and boundedness for Toeplitz-type operators associated with general fractional integral operators
  101. Oscillatory hyper-Hilbert transform on Wiener amalgam spaces
  102. Euler-type sums involving multiple harmonic sums and binomial coefficients
  103. Poly-falling factorial sequences and poly-rising factorial sequences
  104. Geometric approximations to transition densities of Jump-type Markov processes
  105. Multiple solutions for a quasilinear Choquard equation with critical nonlinearity
  106. Bifurcations and exact traveling wave solutions for the regularized Schamel equation
  107. Almost factorizable weakly type B semigroups
  108. The finite spectrum of Sturm-Liouville problems with n transmission conditions and quadratic eigenparameter-dependent boundary conditions
  109. Ground state sign-changing solutions for a class of quasilinear Schrödinger equations
  110. Epi-quasi normality
  111. Derivative and higher-order Cauchy integral formula of matrix functions
  112. Commutators of multilinear strongly singular integrals on nonhomogeneous metric measure spaces
  113. Solutions to a multi-phase model of sea ice growth
  114. Existence and simulation of positive solutions for m-point fractional differential equations with derivative terms
  115. Bernstein-Walsh type inequalities for derivatives of algebraic polynomials in quasidisks
  116. Review Article
  117. Semiprimeness of semigroup algebras
  118. Special Issue on Problems, Methods and Applications of Nonlinear Analysis (Part II)
  119. Third-order differential equations with three-point boundary conditions
  120. Fractional calculus, zeta functions and Shannon entropy
  121. Uniqueness of positive solutions for boundary value problems associated with indefinite ϕ-Laplacian-type equations
  122. Synchronization of Caputo fractional neural networks with bounded time variable delays
  123. On quasilinear elliptic problems with finite or infinite potential wells
  124. Deterministic and random approximation by the combination of algebraic polynomials and trigonometric polynomials
  125. On a fractional Schrödinger-Poisson system with strong singularity
  126. Parabolic inequalities in Orlicz spaces with data in L1
  127. Special Issue on Evolution Equations, Theory and Applications (Part II)
  128. Impulsive Caputo-Fabrizio fractional differential equations in b-metric spaces
  129. Existence of a solution of Hilfer fractional hybrid problems via new Krasnoselskii-type fixed point theorems
  130. On a nonlinear system of Riemann-Liouville fractional differential equations with semi-coupled integro-multipoint boundary conditions
  131. Blow-up results of the positive solution for a class of degenerate parabolic equations
  132. Long time decay for 3D Navier-Stokes equations in Fourier-Lei-Lin spaces
  133. On the extinction problem for a p-Laplacian equation with a nonlinear gradient source
  134. General decay rate for a viscoelastic wave equation with distributed delay and Balakrishnan-Taylor damping
  135. On hyponormality on a weighted annulus
  136. Exponential stability of Timoshenko system in thermoelasticity of second sound with a memory and distributed delay term
  137. Convergence results on Picard-Krasnoselskii hybrid iterative process in CAT(0) spaces
  138. Special Issue on Boundary Value Problems and their Applications on Biosciences and Engineering (Part I)
  139. Marangoni convection in layers of water-based nanofluids under the effect of rotation
  140. A transient analysis to the M(τ)/M(τ)/k queue with time-dependent parameters
  141. Existence of random attractors and the upper semicontinuity for small random perturbations of 2D Navier-Stokes equations with linear damping
  142. Degenerate binomial and Poisson random variables associated with degenerate Lah-Bell polynomials
  143. Special Issue on Fractional Problems with Variable-Order or Variable Exponents (Part I)
  144. On the mixed fractional quantum and Hadamard derivatives for impulsive boundary value problems
  145. The Lp dual Minkowski problem about 0 < p < 1 and q > 0
Downloaded on 5.3.2026 from https://www.degruyterbrill.com/document/doi/10.1515/math-2021-0054/html
Scroll to top button