Abstract
To prepare the mobile application for the ongoing update of the control network, it is necessary to define detailed procedures for dealing with the points database. These procedures concern the determination of the methodology of making an inventory of the existing database and then the determination of the rules for updating the control network using the developed application. This part describes a practical verification of Metrica for collecting control points data and showing specific cases in the collection and sharing of such data. There were created field inspections using nine different criteria on the set of selected points. Analysis shows that a large part of the points need to be reviewed once again, and its description needs to be updated.
1 Introduction
Land survey results largely depend on the control network’s accuracy and measurement technique. Although most of the work is referred to global navigation satellite systems (GNSS) permanent stations, the ground control points are still in use (Lewińska et al. 2021; Chwedczuk et al. 2022). Especially, for the height measurements, when accuracy is a crucial aspect (Lewińska and Gałaś 2021). A geodetic control network, both horizontal and vertical, is “the wire-frame or the skeleton on which continuous and consistent mapping,” Geographic Information Systems, land surveys, and other geodetic activities are based (Rabah et al. 2016; Apollo and Andreychouk 2020). The traditional ground points of the control network are established “as permanent physical monuments placed in the ground and precisely marked, located, and documented” (Rabah et al. 2016). It might also be useful in other aspects like cadastre, tourism, or geology for gathering data regarding points (Ilyushina et al. 2018; Sodango et al. 2021). Their location depends on many factors, such as legal requirements (MAiD 2012), reliability, geometrical strength, and cost of establishment into a field (Bielecka et al. 2014). In Poland, the control network is divided into accuracy classes: the first and second belong to the state, and the third class belongs to local authorities (counties). Research shows that the third class points may lose 50% of the initial number within approximately 15 years after their establishment (Wolski and Granek 2020). Mostly because of marker destruction, but other factors are also available, e.g., its subsidence might change the actual coordinates over the geodetic network tolerance. The situation is better in the case of the vertical network. Its points are located mainly on buildings, but even those on the ground are more durable and sturdy than the horizontal ones (Borowski et al. 2017), so in the approximately same period they will lose about 23% of points (Graszka et al. 2016). The documentation of the geodetic control network has to follow such changes, i.e., the point record in the geodetic database has to be corrected if necessary. Especially, among the common (“daily”) surveys, there are works when a whole county database may be needed, e.g., conversion of geodetic data from local (or unactual) vertical and horizontal frames into national ones (Świętoń 2013; Borowski and Banasik 2020; Banasik and Borowski 2022), developing a local geoid/quasi-geoid model (Banasik et al. 2020), control measurements of geodetic network (Kuhar et al. 2021; Čekada et al. 2022; Dardanelli and Maltese 2022), or planning a new control network.
Our study follows such needs. The proposed Metrica application is a tool for gathering data about the changes in geodetic control networks, both vertical and horizontal ones. The work was divided into two parts. The first one presented the idea of the application, motivation, assumptions, and issues related to collecting data. The second one presents the results of the field test – a verification of the geodetic control network in the Krakow area (Figure 1).

The selected area of control network points field test in Małopolskie Province.
We have compared four different types of the areas – city centre (CC), city centre outskirts (CCO), towns (T), and rural areas (RA), depending on their population density. The control points selected for the analysis, located in the strict CC, are within the limits of the CC and CCO point location zones, which have been determined by circles with a given diameter (Figure 2):
CC – 0–3 km (marked in red)
CCO – 3–5 km (marked in yellow)

Presentation of selected control points in selected types of locations.
where starting point is in the centre of the Main Square.
2 Materials and methods
Having defined the research areas and selected the control points for direct analysis, the control network was verified in the field. This was a particularly important stage of the procedure, necessary for its correct analysis. The field inspection included the analysis of information about each point according to the nine previously (in the first part) defined criteria (Table 1):
Existence of the control point in the Head Office of Geodesy and Cartography (HOGC) database
Accessibility of the point for inspection
Occurrence of the point in the field
Existence of topographic description of the point
Consistency of the point location with the graphic part of the topographic description
Consistency of the B and L coordinates with the actual location of the point in the field
Possibility of performing surveys on the point
The point has been built-up
The point has been destroyed
Criteria for analysis of control network in the field
| Lp. | Point number | Latitude | Longitude | Is the point accessible for inspection? | Does the point exist in the field? | Is there topographic description of the point? | Is the location consistent with the graphic part of the topographic description? | Are the B, L coordinates consistent with the actual location of the point in the field? | Is it possible to carry out surveys on the point? | Is the point built-up? | Is the point destroyed? | Point address | Date | Remarks |
|---|---|---|---|---|---|---|---|---|---|---|---|---|---|---|
| 10 | 16330091 | 50°02′ 40.0″ | 19° 58′ 22.5″ | Yes | No | Yes | — | — | — | — | — | Kraków – Podgórze, ul. Szklarska nr 5 | 24.08.2020 | No point – building demolished |
| 11 | 16330092 | 50° 02′ 58.5″ | 19° 58′ 55.7″ | Yes | No | Yes | — | — | — | — | — | Kraków – Podgórze, ul. Stoczniowców nr 7 | 24.08.2020 | No point |
| 12 | 16330093 | 50° 03′ 04.6″ | 19° 59′ 25.3″ | Yes | Yes | Yes | Yes | Yes | Yes | No | No | Kraków – Płaszów, ul. Koszykarska nr 33 | 24.08.2020 | The building of the “KRAKUS” hotel |
| 13 | 16330506 | 50° 03′ 54.0″ | 19° 52′ 36.3″ | Yes | No | Yes | — | — | — | — | — | Kraków, ul. Królowej Jadwigi nr 246 | 25.08.2020 | No point, building after renovation |
| 14 | 16330507 | 50° 05′ 20.4″ | 19° 53′ 09.3″ | No | — | Yes | — | — | — | — | — | Kraków, ul Radzikowskiego nr 176 | 25.08.2020 | The point is inaccessible, the area is fenced |
| 15 | 16330508 | 50° 04′ 24.8 | 19° 53′ 29.8″ | Yes | No | Yes | — | — | — | — | — | Kraków, ul. J. Lea nr 235 | 25.08.2020 | No point, building after renovation |
| 16 | 16330509 | 50° 04′ 08.6″ | 19° 52′ 32.4″ | Yes | Yes | Yes | Yes | Yes | No | Yes | No | Kraków, ul. Jesionowa nr 15 | 25.08.2020 | — |
| 17 | 16330513 | 50° 04′ 25.3″ | 19° 53′ 20.2″ | Yes | Yes | Yes | Yes | Yes | No | Yes | No | Kraków, ul. Włościańska nr 18 | 25.08.2020 | — |
| 18 | 16330517 | 50° 04' 15.3″ | 19° 52′ 46.5″ | Yes | Yes | Yes | Yes | Yes | No | No | No | Kraków, ul. Hamernia nr 39 | 25.08.2020 | — |
| 19 | 16330566 | 50° 04′ 19.5″ | 19° 59′ 04.2″ | Yes | Yes | Yes | Yes | Yes | No | No | No | Kraków, Al. Jana Pawła II nr 38 | 25.08.2020 | — |
These criteria were analysed for each of the points in an appropriate order, resulting from the planned procedure (Figure 7, Part I). The result of the conducted field inspection is the collected information presented in fragments in exemplary.
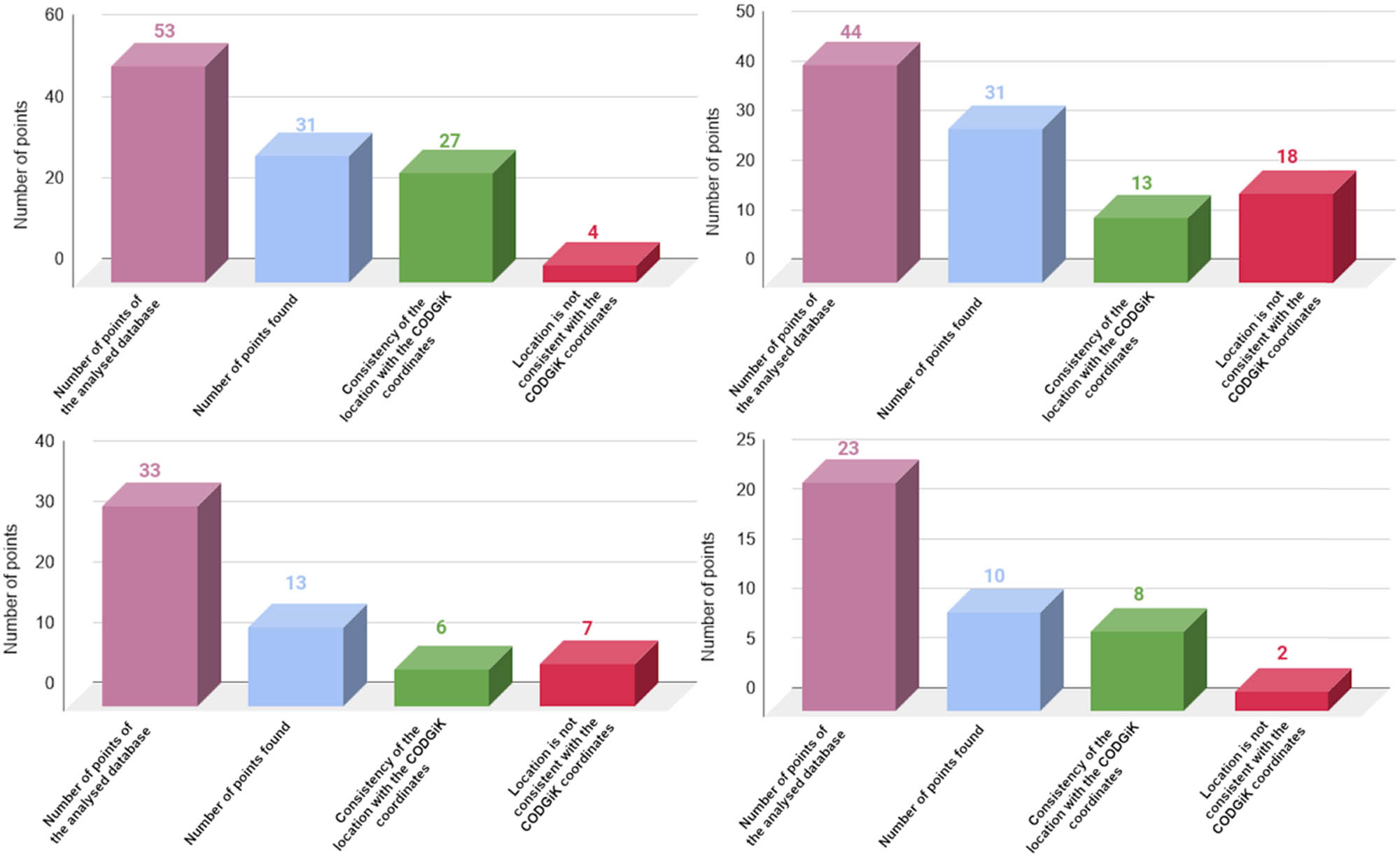
A total of 153 out of 799 points retrieved from HOGC were analysed. They were located in separate areas according to the adopted criteria. The summary of the number of analysed points is contained in Table 2, and in the form of a column chart as percentage values in Figure 3.
Results of field inspection conducted for a selected database of points
| Zone type | Number of points | |||
|---|---|---|---|---|
| Adopted | Founded | Not-existing | Inaccessible | |
| CC | 44 | 31 | 11 | 2 |
| CCO | 53 | 31 | 15 | 7 |
| T | 23 | 10 | 10 | 3 |
| RA | 33 | 13 | 15 | 5 |
| Total | 153 | 85 | 51 | 17 |

Comparative results of control point occurrence in various areas (%). Authors’ original contribution.
When summarizing the obtained results regarding the occurrence of points in the field in individual point location zones the following are the conclusions:
existing points were found in the CC zone,
non-existent points were in the T zone,
inaccessible (hard-to-reach) points were located in the RA zone.
Comparing the area of the city zone divided into the CC and the CCO, a large discrepancy in the number of inaccessible points should be noted. In the case of the CCO, this number reaches 13.2% and is much higher than the number of points inaccessible for analysis in the CC zone, where it is approximately 4.5%. This is because in the CC, most of the points are located on the main streets on the front walls of tenement houses, which make them accessible. Moving towards the CCO zone, an increasing number of points are located on buildings of single-family houses, which are often fenced. The same tendency can be noticed in other point location zones, such as T and RA, where most of the properties belong to private owners. Fences significantly limit access to control points, which in the case of vertical control networks must frequently be placed on buildings, i.e., on private land. These statistics would look different for the horizontal control network, the location of which is usually chosen outside the private area to increase its accessibility in the field.
Attention should be paid to the disproportions that occurred in the T zone. Considering the entire database for this area, an even distribution between the found and non-existent points is noticeable (Figure 3). There were five non-existent points in the T zone database (one was destroyed, four were not found), which were also marked in the geoportal as “destroyed points.” They were all located at the main roads. It can be assumed that this condition is related to road modernization, during which points can be easily damaged or destroyed. However, there are also points that were not found during the field inspection, and according to the geoportal, they are still in good condition. Such points from the entire T zone database are contained in Table 3.
Information about points collected in a field
| Point number | Latitude | Longitude | Accessible for inspection? | Does the point exist in the field? | Address | Exist in geoportal | Condition according to geoportal |
|---|---|---|---|---|---|---|---|
| 17330012 | 49° 50′ 02.1″ | 19° 56′ 11.0″ | Yes | No | Myślenice, Królowej Jadwigi 5 | Yes | Good |
| 17310111 | 49° 58′ 21.0″ | 19° 48′ 26.1″ | Yes | No | Skawina, 11 Piłsudskiego St. | Yes | Good |
| 17310117 | 49° 58′ 40.7″ | 19° 49′ 12.3″ | Yes | No | Skawina, 13 Tyniecka St. | Yes | Good |
| 17310122 | 49° 58′ 38.2″ | 19° 49′ 58.0″ | Yes | No | Skawina, 19 Krakowska St. | Yes | Good |
| 17310212 | 49° 57′ 55.0″ | 19° 49′ 21.8″ | Yes | No | Skawina, 2 Spacerowa St. | Yes | Good |
| 17310200 | 49° 57′ 28.2″ | 19° 49′ 35.4″ | Yes | No | Skawina, extension of Dębca St. | Yes | Good |
It is also worth mentioning that in addition to the point analysis conducted by the authors, there was also a parallel process of control geodetic network review conducted at the request of Central Center for Geodetic and Cartographic Documentation (HOGC, GUGiK 2019). The results of this review are now accessible in the HOGC database.
Despite the fact that the analysis covered Towns, which are equally intensively developing, significant differences can be noticed between them in the maintenance of the control points. In Myślenice, 57.1% of the points were found, which was the majority of accessible points in this area. However, in Skawina, the statistics revealed the opposite situation, where 55.6% of the points were non-existent. This resulted from the unfavourable location of the control points in the area, which made them inaccessible. The last group is the RA point location zone, where most of the points are located on single-family houses. The effect is that there is the great number of inaccessible points compared to other types of areas. The analysis demonstrated that only 33.3% of the points found could be used for surveys.
The next stage of the analysis concerned only those points that were found in the field. The diagram presented in Figure 7 (Part I) illustrates the analysis of the remaining features of the points concerning:
their fitness to perform surveys,
their damage,
consistency of their location with the presentation in the graphic part of topographic descriptions,
consistency of their location with the location indicated by the B, L coordinates.
Considering the condition of the points found for the entire test database consisting of 153 points, it could be noticed that the location of all of them was consistent with the graphic part of topographic descriptions (Figure 4). It was found that the surveys were not possible at 11 points, ten of which were built-up as a result of renovation works performed, and one was destroyed. Such a small number of destroyed points is because they are made of durable material and, as far as possible, protected by the owners of private facilities.

Analysis of the condition of points for the test database consisting of 153 points.
The results for individual areas are presented as charts in Figure 5.

Analysis of the condition of points in individual areas of the CC zone.
The conclusion of the conducted analysis of the database of points of the basic second-order vertical control network is that the majority of points that are in good condition are located in the CC zone. Nearly 50% of the control points that existed in the HOGC database were not found in the RA or in the T zones. Out of 85 of all found points, ten were built-up and one was destroyed, i.e., it was not possible to perform surveys on these points. Most commonly, it is building owners’ fault, who unknowingly built-up benchmarks, preventing their proper use. Figure 6 shows an example of a section of the map of the analysed matrix with the presentation in yellow colour of the matrix existing in the field and suitable for measurement. The red colour shows points identified by the authors during the inventory as not suitable for measurement for various reasons.

Presentation of points non-existent in the field but existing in geoportal.
When analysing the reference database, it should be noted that a large part of the points, as much as 36%, have imprecise B and L coordinates, which cause discrepancy between the position of the points displayed in Google Earth and the actual status in the field. The possible reasons for the existence of incorrect point coordinates are described in Banasik et al. (2012). This fact is summarized in the bar charts in Figure 7, which indicate a necessity to propose a tool to improve the current state.

Location consistency with Google Earth for test database.
The greatest number of identified discrepancies occurs for the CC point location zone. This may be due to the dense development and high buildings, hindering the accuracy of the surveys (Figure 8).

Consistency of point location in the field with presentation in Google Earth.
For the CCO and T zones, i.e., less built-up areas, the location of most of the points corresponds to the data contained in Google Earth. However, for the CC and RA zones, this discrepancy exceeds 50%. The factors identified in the presented analysis, resulting in the inability to use control points correctly, confirm the necessity to introduce tools that enable their updating on an ongoing basis. The status of the test point database demonstrates the constant dynamics of changes that are not recorded in real time.
The regular transfer of information about the occurring changes by direct users of the control network seems to be the best form of maintaining a high-quality database. Thus, the solution would be a mobile application on a mobile device, such as a mobile phone, accessible directly in the field. An exemplary data update using the developed Metrica application is presented in Figure 9.

Data update using the developed Metrica application.
3 Examples of identified irregularities in the control network
This part of the research article presents selected examples relating to the determined criteria of the control network analysis. For specific situations 1–9 that were encountered, the appropriate A–G procedures may be applied to update data using the mobile application. The aim of the A–G procedures is to collect consistent information about the control network and then its correct transfer among surveyors, which will result in the update of the control network on an ongoing basis, together with the presentation of the current status in real time. The selected examples relate to the most common criteria in the analysed control network database, where data update is required.
3.1 No access to visual inspection of the point – criterion 2
The analysis of the point database was possible under the basic conditions: the point was accessible for inspection – criterion 2 and the point existed in the field – criterion 3. The given example demonstrates a point located on an unused building in a fenced area (Figure 10). Verification of information about the point and the possibility of its surveying are hindered because entering the area in the absence of the owner is not allowed.

Photograph of building with inaccessible point.
Providing comments on hard-to-reach points makes it possible to plan surveys in the field more precisely, which greatly affects the economy of work – procedure A in the diagram (Figure 7, Part I).
3.2 Comparison of the point location: provided by HOGC with the actual status in the field – criterion 6
When verifying the information on the vertical control points, the source material included the topographic descriptions of points – criterion 4, as well as the B, L coordinates retrieved from HOGC – criterion 6 (Figure 11). These coordinates are necessary to determine the location of points in the field. The Google Earth application was used to present the location of the points. The function that can be used by a surveyor in the control network analysis is based on the location of geodetic points. They are added by importing data from a file or by manually entering the coordinates.

Presentation of data relating to B and L coordinates (GUGiK 2022).
When comparing the position of the points displayed in Google Earth with the actual status in the field, significant discrepancies in the location of 31 points out of 153 were noticed. The figures in Table 4 illustrate several situations of location discrepancies. It is important to note that this issue occurs in each of the selected point location zones. The presentation of the actual location of the point is marked in red, while its incorrect indication based on the B, L coordinates retrieved from HOGC is marked in yellow. The encountered discrepancies reach up to 100 m.
Point location discrepancies: indication using B and L coordinates and actual point location in the field
| Point location zone/discrepancy | Photograph: |
|---|---|
incorrect point indication |
|
correct point indication |
|
| CC/large distance – 100 m |
|
| T/large distance 80 m, obstacle – dense development |
|
This type of error is very severe. There are many points of the vertical control network that present the actual location of the point for which there are no topographic descriptions. Only the address is given, which may frequently be insufficient to find a benchmark location. Therefore, it is especially important to enter the location coordinates correctly and at a proper level of accuracy. The vertical benchmark is only used for height measurements, so it is sufficient that the horizontal coordinates are determined with an accuracy of single meter. Therefore, the observation stored by mobile phone should meet the requirements, within the root mean square in the range of 0.2–4.0 m (Skorupa 2019). The obtained accuracy cannot be called “geodetic,” but in our opinion is good enough to find benchmark location. Such situation was presented in the example for criterion 6 (Table 5). According to procedure F (Figure 7, Part I), the coordinates were captured from mobile phone GNSS positioning and stored in the point documentation.
Comparison of point coordinates retrieved from HOGC with surveys using mobile devices of point 16330023
| Coordinate source | B | L |
|---|---|---|
| HOGC | 50° 05′ 22.7″ | 19° 57′ 28.4″ |
| Survey of navigational coordinates | 50° 05′ 21.0″ | 19° 57′ 28.0″ |
| ∆ | 1.7″/52.5 m | 0.4″/7.9 m |
The captured values of the B and L coordinates after the survey should be entered using the mobile application for updating the information of geodetic network points as appropriate for the correct location of the control point.
3.3 Possibility to perform surveys on a point against information that the survey marker is destroyed – criterion 7
By analysing the control network in accordance with criterion 7, it was found that four points had incorrect information on the topographic description, informing about their destruction. The condition of the points was verified in the field, and an exemplary topographic description is presented in the photo (Figure 12). The survey marker is in good condition, it is still possible to measure it, it is located in the place indicated by the graphic part of the topographic description.

Topographic description and photo of the theoretically destroyed point (GUGiK 2022).
In such a situation as presented in the example for criterion 7, erroneous information must be updated. It should be done by adding a photo of the point and a new topographic description, measuring new B, L coordinates and providing information about the possibility of performing surveys on the point – procedure D in the diagram (Figure 7, Part I).
3.4 Built-up point – criterion 8
Currently, we often deal with survey markers in theoretically very good technical conditions that, after being built-up with insulation, become useless for levelling surveys. The reason lies in the ignorance of the owners who, wanting to protect them, are not aware of how surveyors use these points during surveys (Figure 13). Similar situations were encountered ten times during the control network analysis.

Points built-up in incorrect manner.
In the cases presented in the example for criterion 8, a surveyor using the application should post a photo and assign the point status as “not fit for surveys.” He or she may also provide information about the inability to perform surveys on the point, stating a specific reason for such a situation in the comments. In the application, the proposed scheme of conduct is point E from the scheme (Figure 7, Part I).
3.5 Lack of information about point destruction – criterion 9
Few destroyed points were identified during the field verification, which still function as useful for surveys. In the example illustrated in the photograph (Figure 14), it can be seen that the survey marker has been destroyed. It is therefore not possible to perform a survey on this point.

Photographs of the destroyed point – T point location zone.
In the case presented for criterion 9, the surveyor using the application should post a photo showing the actual point, give it the status of the point “not fit for surveys/destroyed” and include this information in the topographic description. In the comments to the point, it is possible to provide detailed information on the current situation. In the application, the proposed scheme of conduct is point E from the scheme (Figure 7, Part I).
4 Conclusions
Maintaining up-to-date information about the points of the basic vertical control network is an arduous task due to the extensive range of locations of these points and the lack of control over some changes taking place, e.g., on private properties. Therefore, in the designed Metrica application, it was decided to solve this problem by allowing surveyors to introduce changes to the information about the point. The database used to design the application was verified by the authors during a field inspection. From the analysis of the collected data, conclusions were drawn about the condition of the vertical control points in the selected area. Only 55.6% of the points were identified in the field, and most of them were found in the CC point location zone. This was due to their location in accessible places as well as the fact that these points were used more frequently and needed to be kept in good condition. When analysing the database, it was noticed that some data were updated over the year in the geoportal application, but these were individual cases, despite the 2019 review at the request of HOGC. Control network surveys were conducted and the location of incorrectly indicated points is now correctly presented on the map. However, this update process does not take place in real time, hence the need to use a tool for the update of the control network on an ongoing basis. The information contained in the topographic descriptions, which sometimes incorrectly suggested that the point was destroyed, was also considered. Large part of the analysed points (around 36%) have imprecise coordinates resulting in a discrepancy between the position of the points displayed in Google Earth and the actual state in the field. The geodetic coordinates of the points are in ETRF89 and Google Maps works in WGS84. ETRF89 is nothing more than an implementation of the international terrestrial reference frame layout for the 1989 epoch, i.e., for this epoch the layout is compatible with WGS84. The differences in coordinates do not arise from the different systems, but from three other aspects: first, the accuracy of the measurement (code receivers, accuracy of a few metres), second, since 1989, these systems, as dynamic, have been shifted, but this is at most a few tens of centimetres, several times less than the accuracy of the measurement. The last aspect is the numerical accuracy of the displayed and coordinate data, which can cause such errors. The final result of the work is the preparation of the Metrica mobile application, which has been implemented to update the control network.
Acknowledgements
This paper was made as a part of statutory research 16.16.150.545.
-
Author contributions: Anna Przewięźlikowska: conceptualization, data acquisition, methodology, research, writing – review and editing, visualization, supervision, formal analysis; Klaudia Wójcik and Wioletta Ślusarczyk: methodology, research, writing – original draft and editing, visualization, mobile application development; Kamil Maciuk: writing – review and editing, visualization, supervision.
-
Conflict of interest: Authors state no conflict of interest.
-
Data availability statement: Data from the Polish vertical control network are currently available from the repository of the Polish Geoportal: http://www.gugik.gov.pl/pzgik/zamow-dane/osnowy-geodezyjne,-grawimetryczne-i-magnetyczne. Other datasets generated during and/or analysed during the current study are available from the corresponding author on reasonable request.
References
Apollo, M., and Andreychouk, V. 2020. “Trampling intensity and vegetation response and recovery according to altitude: an experimental study from the Himalayan Miyar Valley.” Resources 9(8), 98. 10.3390/resources9080098.Search in Google Scholar
Banasik, P., and Borowski, Ł. 2022. “Georeferencing the Cadastral Map of the Krakow Region.” Cartographic Journal 58, 1–12. 10.1080/00087041.2021.2023963.Search in Google Scholar
Banasik, P., Bujakowski, K., Kudrys, J., and Ligas, M. 2020. “Development of a precise local quasigeoid model for the city of Krakow – QuasigeoidKR2019.” Reports on Geodesy and Geoinformatics 109(1), 25–31. 10.2478/rgg-2020-0004.Search in Google Scholar
Banasik, P., Ligas, M., Kudrys, J., Skorupa, B., and Bujakowski, K. 2012. “Transformacja wysokości z układu Kronsztadt’60 do układu Kronsztadt’86 na przykładzie powiatu krakowskiego.” Przegląd Geodezyjny 84(4), 6–13.Search in Google Scholar
Bielecka, E., Pokonieczny, K., and Kamiński, P. 2014. “Study on spatial distribution of horizontal geodetic control points in rural areas.” Acta Geodaetica et Geophysica 49(3), 357–368. 10.1007/s40328-014-0056-6.Search in Google Scholar
Borowski, L., and Banasik, P. 2020. “The conversion of heights of the benchmarks of the detailed vertical reference network into the PL-EVRF2007-NH frame.” Reports on Geodesy and Geoinformatics 109(1), 1–7. 10.2478/rgg-2020-0001.Search in Google Scholar
Borowski, Ł., Lal, A., and Nepelski, K. 2017. “Analiza osiadania wybranych typów znaków osnowy geodezyjnej.” Budownictwo i Architektura 16(3), 135–142. 10.24358/Bud-Arch_17_163_13.Search in Google Scholar
Čekada, M. T., Lojk, I., Škafar, R., and Stopar, B. 2022. “Characteristics of trigonometric control network marks in the Primorska Region.” Geodetski Vestnik 66(2), 189–219. 10.15292/geodetski-vestnik.2022.02.189-219.Search in Google Scholar
Chwedczuk, K., Cienkosz, D., Apollo, M., Borowski, L., Lewińska, P., Santos, C. A. G., Eborka, K., Kulshreshtha, S., Romero-Andrade, R., Sedeek, A., Liibusk, A., and Maciuk, K. 2022. “Challenges related to the determination of altitudes of mountain peaks presented on cartographic sources.” Geodetski Vestnik 66(1), 49–59. 10.15292/geodetski-vestnik.2022.01.49-59.Search in Google Scholar
Dardanelli, G., and Maltese, A. 2022. “On the accuracy of Cadastral Marks: statistical analyses to assess the congruence among GNSS-based positioning and official maps.” Remote Sensing 14(16), 4086. 10.3390/rs14164086.Search in Google Scholar
Graszka, W., Pielasa, E., Wajda, S., and Piętka, D. 2016. “Podstawowa osnowa wysokościowa, grawimetryczna i magnetyczna – ocena stanu i prognozy rozwoju.” Współczesne problemy podstawowych osnów geodezyjnych w Polsce. Grybów: Komitet Geodezji PAN.Search in Google Scholar
GUGiK. 2019. Przegląd, inwentaryzacja i konserwacja podstawowej osnowy geodezyjnej na obszarze kraju-obiekt 4735.Search in Google Scholar
GUGiK. 2022. GEOPORTAL 2.Search in Google Scholar
Ilyushina, T. V., Noszczyk, T., and Hernik, J. 2018. “Cadastral system in the Russian Federation after the modern transformation.” Survey Review 50(362), 437–446. 10.1080/00396265.2017.1308700.Search in Google Scholar
Kuhar, M., Brglez, R., and Koler, B. 2021. “Quality determination of mean sea level heights with GNSS levelling on the Ljubljana city area.” Geodetski Vestnik 65(2), 219–233. 10.15292/geodetski-vestnik.2021.02.219-233.Search in Google Scholar
Lewińska, P., and Gałaś, A. 2021. “Use of structure-from-motion algorithms for geomorphological analyses of simple volcanic structures: a case study of Chilcayoc Chico and four other volcanoes of the Andahua Group, Peru.” Journal of South American Earth Sciences 107, 103058. 10.1016/j.jsames.2020.103058.Search in Google Scholar
Lewińska, P., Głowacki, O., Moskalik, M., and Smith, W. A. P. 2021. “Evaluation of structure-from-motion for analysis of small-scale glacier dynamics.” Measurement 168, 108327. 10.1016/j.measurement.2020.108327.Search in Google Scholar
MAiD. 2012. Regul Minist Adm Digitizati14022012 geodetic, gravimetric magnetic Netw.Search in Google Scholar
Rabah, M., Elmewafey, M., and Farahan, M. H. 2016. “Datum maintenance of the main Egyptian geodetic control networks by utilizing precise point positioning “PPP” technique.” NRIAG Journal of Astronomy and Geophysics 5(1), 96–105. 10.1016/j.nrjag.2016.02.003.Search in Google Scholar
Skorupa, B. 2019. “The problem of GNSS positioning with measurements recorded using Android mobile devices.” Budownictwo i Architektura 18(3), 51–62. 10.35784/bud-arch.738.Search in Google Scholar
Sodango, T. H., Sha, J., Li, X., Noszczyk, T., Shang, J., Aneseyee, A. B., and Bao, Z. 2021. “Modeling the spatial dynamics of soil organic carbon using remotely-sensed predictors in Fuzhou City, China.” Remote Sensing 13(9), 1682. 10.3390/RS13091682.Search in Google Scholar
Świętoń, T. 2013. Optymalizacja korekt lokalnych w zadaniach transformacji pomiędzy układami kartograficznymi na przykładzie układów „ 1965” i „ 2000”, AGH Univeristy of Science and Technology.Search in Google Scholar
Wolski, B., and Granek, G. 2020. “Functionality and reliability of horizontal control net (Poland).” Open Geosciences 12(1), 668–677. 10.1515/geo-2020-0052.Search in Google Scholar
© 2023 the author(s), published by De Gruyter
This work is licensed under the Creative Commons Attribution 4.0 International License.
Articles in the same Issue
- Research Articles
- Two adjustments of the second levelling of Finland by using nonconventional weights
- A gap-filling algorithm selection strategy for GRACE and GRACE Follow-On time series based on hydrological signal characteristics of the individual river basins
- On the connection of the Ecuadorian Vertical Datum to the IHRS
- Accurate computation of geoid-quasigeoid separation in mountainous region – A case study in Colorado with full extension to the experimental geoid region
- A detailed quasigeoid model of the Hong Kong territories computed by applying a finite-element method of solving the oblique derivative boundary-value problem
- Metrica – An application for collecting and navigating to geodetic control network points. Part II: Practical verification
- Global Geopotential Models assessment in Ecuador based on geoid heights and geopotential values
- Review Articles
- Local orthometric height based on a combination of GPS-derived ellipsoidal height and geoid model: A review paper
- Some mathematical assumptions for accurate transformation parameters between WGS84 and Nord Sahara geodetic systems
- Book Review
- Physical Geodesy by Martin Vermeer published by Aalto University Press 2020
- Special Issue: 2021 SIRGAS Symposium (Guest Editors: Dr. Maria Virginia Mackern) - Part II
- DinSAR coseismic deformation measurements of the Mw 8.3 Illapel earthquake (Chile)
- Special Issue: Nordic Geodetic Commission – NKG 2022 - Part I
- NKG2020 transformation: An updated transformation between dynamic and static reference frames in the Nordic and Baltic countries
- The three Swedish kings of geodesy – Speech at the NKG General Assembly dinner in 2022
- A first step towards a national realisation of the international height reference system in Sweden with a comparison to RH 2000
- Examining the performance of along-track multi-mission satellite altimetry – A case study for Sentinel-6
- Geodetic advances in Estonia 2018–2022
Articles in the same Issue
- Research Articles
- Two adjustments of the second levelling of Finland by using nonconventional weights
- A gap-filling algorithm selection strategy for GRACE and GRACE Follow-On time series based on hydrological signal characteristics of the individual river basins
- On the connection of the Ecuadorian Vertical Datum to the IHRS
- Accurate computation of geoid-quasigeoid separation in mountainous region – A case study in Colorado with full extension to the experimental geoid region
- A detailed quasigeoid model of the Hong Kong territories computed by applying a finite-element method of solving the oblique derivative boundary-value problem
- Metrica – An application for collecting and navigating to geodetic control network points. Part II: Practical verification
- Global Geopotential Models assessment in Ecuador based on geoid heights and geopotential values
- Review Articles
- Local orthometric height based on a combination of GPS-derived ellipsoidal height and geoid model: A review paper
- Some mathematical assumptions for accurate transformation parameters between WGS84 and Nord Sahara geodetic systems
- Book Review
- Physical Geodesy by Martin Vermeer published by Aalto University Press 2020
- Special Issue: 2021 SIRGAS Symposium (Guest Editors: Dr. Maria Virginia Mackern) - Part II
- DinSAR coseismic deformation measurements of the Mw 8.3 Illapel earthquake (Chile)
- Special Issue: Nordic Geodetic Commission – NKG 2022 - Part I
- NKG2020 transformation: An updated transformation between dynamic and static reference frames in the Nordic and Baltic countries
- The three Swedish kings of geodesy – Speech at the NKG General Assembly dinner in 2022
- A first step towards a national realisation of the international height reference system in Sweden with a comparison to RH 2000
- Examining the performance of along-track multi-mission satellite altimetry – A case study for Sentinel-6
- Geodetic advances in Estonia 2018–2022
incorrect point indication
correct point indication