Home Physical Sciences A Yield Stress Model for a Solution-Treated Ni-Based Superalloy during Plastic Deformation
Article Open Access

A Yield Stress Model for a Solution-Treated Ni-Based Superalloy during Plastic Deformation

  • Yan-Xing Liu and Y.C Lin EMAIL logo
Published/Copyright: March 1, 2018

Abstract

Up to now, there are few reports on the yield behavior of Ni-based superalloy during plastic deformation. However, an accurate yield stress model is significant for simulating the plastic forming process by cellular automaton or finite element methods. Therefore, the yield behavior of a solution-treated Ni-based superalloy is studied by hot compression tests. In order to evaluate yield stresses from the measured flow stress curves, the yield process is analyzed in terms of dislocation theory. Then, yield stresses at different deformation temperatures and strain rates are clearly determined. The experimental results show that the yield stresses are highly sensitive to deformation temperature and strain rate. The determined yield stress almost linearly increases with the increase of the logarithm of strain rate or the reciprocal of deformation temperature. A yield stress model is developed to correlate the yield behavior of the studied solution-treated Ni-based superalloy with deformation temperature, strain rate, and strengthening effect of alloying elements. The developed model can well describe the yield behavior of the studied solution-treated Ni-based superalloy.

Introduction

Generally, metals and alloys undergo a yield process before plastic deformation [1, 2]. In the yield process, the movement and multiplication of dislocations greatly affect the plastic deformation of alloys [3, 4, 5]. Thus, a comprehensive understanding of yield behavior is useful for developing accurate constitutive models to describe the plastic flow behavior [6, 7, 8, 9, 10]. Meanwhile, the physical mechanisms controlling the subsequent plastic deformation can be well interpreted [11, 12, 13, 14, 15].

Due to their high strength, excellent corrosion resistance, thermal fatigue properties, and thermal stability [16, 17], Ni-based superalloys are widely used in different industrial equipment, especially in the critical parts of nuclear fission reactors, fusion reactors, and aircraft engines [18, 19, 20, 21, 22]. In recent years, some efforts have been made to study the yield behavior of some typical Ni-based superalloys. Zhao et al. [23] investigated the discontinuous yield behavior in GH4049 superalloy during high-speed compression. Roth et al. [24] proposed a yield stress model for Ni-based alloys, considering dependences of yield stress on the chemical composition and deformation temperature. Momeni et al. [25] carried out the comparative study on the discontinuous yield behaviors in IN718 and ALLVAC 718 Plus superalloys. Weiss and Grushko [26] developed a yield stress model for IN718 superalloy at low-subroom temperatures. Galindo-Nava et al. [27] proposed a yield stress model for Ni-based superalloys, considering the unimodal and multimodal precipitation distribution. Crudden et al. [28] developed a yield stress model for Ni-based superalloys, accounting for the effects of chemical composition.

Although, some investigations have been carried out on the yield behavior of Ni-based superalloys at in-service temperatures or below, few reports the yield behavior during plastic deformation. However, an accurate yield stress model is vital for simulating the plastic forming process by cellular automaton or finite element methods. In this study, the yield behavior of a solution-treated Ni-based superalloy is investigated by isothermal hot compression tests. Yield stresses are directly determined from the measured true stress–true strain curves. Based on the determined yield stress, a yield stress model is developed to describe the effects of deformation temperature, strain rate, and critical alloying elements on yield behavior.

Material and experiments

The material used in this study is a commercial GH4169 Ni-based superalloy. Its chemical composition (wt.%) is 52.82Ni-18.96Cr-5.23Nb-3.01Mo-1.00Ti-0.59Al-0.01Co-0.03C-(bal.)Fe. Cylindrical specimens of 8 mm diameter and 12 mm height were cut from the billet. The specimens were solution treated at 1313 K for 45 min to dissolve all possible precipitates [29, 30]. Then, the solution-treated specimens were water-quenched to reserve the precipitates-free microstructure. Hot compression tests were conducted on a Gleeble 3500 thermo-mechanical simulator. The experimental conditions lie in the deformation temperature range of 1223–1313 K and strain rate range of 0.001–0.1 s–1. Figure 1 shows the detailed procedure for the hot compression tests.

Figure 1: Procedure for the hot compression tests.
Figure 1:

Procedure for the hot compression tests.

Yield process of the studied Ni-based superalloy

In this section, the yield behavior of metals and alloys will be interpreted, and an unambiguous way to determine the yield stress is introduced.

Figure 2 shows the representative stress–strain curve obtained from the hot compression tests. The measured stress-strain curve can be divided into three stages: stage I (elastic stage), stage II (anelastic stage), and stage III (plastic stage) [18, 31]. In stage I, the elastic deformation is time-independent. σe is the stress limit of this stage. In stage II, dislocation starts to move. The movement of dislocation leads to the time-dependent deformation. However, the deformation in this stage is still reversible when the external applied stress is removed. σy is the yield stress, which is the stress limit of stage II. In stage III, the stress is larger than σy. Plastic deformation starts to occur in this stage. The turning point between the reversible and plastic deformation is called the yield point. Generally, 0.2 % plastic-strain off-set yield stress is used to determine the yield point. However, the 0.2 % plastic-strain off-set yield stress is a rather arbitrary notion.

Figure 2: True stress–true strain curves: (a) typical experiment results; (b) detailed yield behavior.
Figure 2:

True stress–true strain curves: (a) typical experiment results; (b) detailed yield behavior.

In stageII, the total strain$εcan be written as,

(1)ε=εe+εa

where εe is the elastic strain, dσ/dεe=E, σ is the external applied stress, E is the elastic modulus. εe is reversible and time-independent. εa is the stored anelastic strain resulting from dislocation movement. εa is reversible and time-dependent.

The external applied stress σ in this stage can be written as,

(2)σ=σa+σf

where σa is the back stress due to the anelastic deformation of dislocation, σa=θaεa, θa is the anelastic modulus. σf is the friction stress against the anelastic deformation of dislocation. σf is induced by surrounding atoms, and is only a function of strain rate [32].

In stage II, the first derivative (θII) of σ$with respect to ε can be expressed as,

(3)θII=dσdε=dσdεe+dεa=1dεedσ+dεadσa+dσf=1dεedσ+1dσadεa+dσfdεa=11E+1θa=EθaE+θa

Plastic deformation of alloys derives from the movement and multiplication of linear defects known as dislocations. Figure 3(a) illustrates a dislocation with segment length L. Both ends of the illustrated dislocation (A and B) are pinned and cannot move. It is generally called the double-pinned Frank-Read dislocation source, and is the main source for dislocation multiplication. Figure 3(b) shows the process of dislocation multiplication. The dislocation segment bows out under shear stressτ. With the increase of τ, the radius of the bowed segment R decreases. When R falls to L/2, the dislocation segment reaches a critical state. If τ is removed before this state, the dislocation segment will go back to its initial position, showing an anelastic property. If the dislocation segment continues to bow out, a large dislocation outer loop and a new dislocation segment AB will be generated. This generation cannot be reversed and is a complete plastic behavior. The outer loop will spread outward, while the new dislocation segment will repeat the multiplication process.

Figure 3: Schematic of dislocation movement and multiplication: (a) Frank-Read dislocation source; (b) dislocation multiplication.
Figure 3:

Schematic of dislocation movement and multiplication: (a) Frank-Read dislocation source; (b) dislocation multiplication.

τ can be written as,

(4)τ=τFR+τf

where τFR is the athermal part, purely geometrical. τf is the frictional part, contributed by the surrounding atoms. τf is only dependent on strain rate and deformation temperature.

The relationship between τFR and R can be written as,

(5)τFR=0.5μbR

where μ is shear modulus, μ=E/21+υ,υ is Poisson ratio, b is Burger’s vector. Thus, the critical value for τFR is,

(6)τFRc=μbL

The shear strain induced by the curving deformation is,

(7)γ=NbS

Where N is the number of dislocation segment per unit volume. S is the area swept by the curving deformation of dislocation segment AB.

(8)S=12R2βsinβ

where β is the subtended angle of bowed segment. Based on the geometric relationship between R, β and L, the first derivative (θs) of shear stress with respect to shear strain can be written as,

(9)θs=dτdγ=dτFRdγ=2τFR31τFRLμb2μb2ρLτFRLμbarcsinτFRLμb1τFRLμb2

where ρ is dislocation density. It is defined as the total length of dislocation per unit volume, ρ=NL. According to eq. (6), eq. (9) can be rewritten as,

(10)θs=2μp31p2ρL2parcsinp1p2

where p=τFR/τFRc.

According to the Taylor model [33], the relationship between the applied stress σ and shear stress τ can be written as,

(11)σ=Mτ

where M is the Taylor factor, and is generally taken as 3.06 for face center cubic materials. Thus,

(12)p=τFRτFRc=σaσc=σσfσyσf

where σc is the back stress at which the dislocation segment AB yields and starts generating dislocation outer loops.

Based on the principle of virtual work (τdτ=σdε) [34],

(13)θa=M2θs

By combing eqs. (10), (12), and (13), θacan be written as,

(14)θa=2M2μσσfσyσf31σσfσyσf2ρL2σσfσyσfarcsinσσfσyσf1σσfσyσf2

Thus, θII can be written as,

(15)θII=EM2(σσfσyσf)31(σσfσyσf)2M2(σσfσyσf)31(σσfσyσf)2+ρL2(1+ν)(σσfσyσfarcsin(σσfσyσf)1(σσfσyσf)2)

In stageIII, the external applied stress σ can be written as,

(16)σ=σy+σw

where σw is the component of flow stress contributed by dislocation/dislocation interaction, and can be expressed as [35, 36],

(17){σw=αμbρdρdε=k1ρk2ρ

where α is a constant depending on the interactional strengthen of dislocations, b is Burger’s vector, k1 and k2 are parameters of work-hardening and dynamic recovery, respectively. Thus, the first derivative (θIII) of σwith respect to ε in stage IIIcan be expressed as,

(18)θIII=dσdε=dσwdε=12αμbk1k2σw=12αμbk1+k2σyk2σ

Therefore, the first derivative of σ with respect to ε in stages II and III are determined. Equation (19) shows that θII and θIII are obviously different. This indicates that the θσ plot has a turning point at σy.

(19){θII=EM2σσfσyσf31σσfσyσf2M2σσfσyσf31σσfσyσf2+ρL21+νσσfσyσfarcsinσσfσyσf1σσfσyσf2θIII=12αμbk1+k2σyk2σ

Results and discussion

Yield behavior and the determination of yield stresses

Based on the analysis of yield process in section “Yield process of the studied Ni-based superalloy”, it is well known that a turning point should be found on the θσ plot at which the yield occurs. Figure 4 shows the representative θσ plots of the studied Ni-based suerpalloy under the tested conditions. Turning points can be clearly found on the plots. Thus, the yield stresses under the tested conditions are clearly determined.

Figure 4: θ−σ\theta {\rm{ - }}\sigma  plots at different: (a) deformation temperatures; (b) strain rates.
Figure 4:

θσ plots at different: (a) deformation temperatures; (b) strain rates.

Figure 4 shows that the yield stresses are very sensitive to the deformation temperature and strain rate. Thus, the yield stresses determined from θσ plots can be plotted in terms of deformation temperature and strain rate, respectively. Figure 5 shows the relationship between yield stress and deformation temperature. The decrease of yield stress with increasing deformation temperature mainly results from the assistance of thermal fluctuations. High thermal fluctuation renders small external force to tear a dislocation from its core atmosphere.

Figure 5: Relationship between the yield stress and deformation temperature.
Figure 5:

Relationship between the yield stress and deformation temperature.

Figure 6 shows the relationship between the yield stress and strain rate. An approximately linear relationship can be found between the logarithm of strain rate and yield stress. This linear relationship is related to the barrier at pinning points of dislocations, which were also observed by some other researchers [20, 37].

Figure 6: Relationship between the yield stress and strain rate.
Figure 6:

Relationship between the yield stress and strain rate.

Yield stress model

The studied Ni-based superalloy is a kind of materials enriched with alloying elements. So, the strengthening effect of alloying elements should be carefully considered when a yield stress model is developed.

The contribution of alloying elements to σy can be superimposed as [38],

(20)σy=iks,iCiq1/qq

where Ci and ks,i are the concentration and the strengthening constant of alloying element i, respectively. q is the exponential constant of alloying element concentration, and can be taken as 1/2.

Table 1 shows the concentration and strengthening constants of different alloying elements of the studied Ni-based superalloy [39]. Here, Niobium (Nb), molybdenum (Mo), and titanium (Ti) are the main strengthening elements, while chromium (Cr) and aluminum (Al) primarily provide the resistance to oxidation and corrosion. The strengthening constants shown in Table 1 were measured at the deformation temperature of 77 K. Thus, the superimposed strength based on the data shown in Table 1 corresponds to the yield stress (σy,77) of the studied superalloy at 77 K.

Table 1:

Concentration and strengthening constants of alloying elements in the studied Ni-based superalloy.

Alloying elementCrFeNbMoTiAlCoC
Ci(wt.%)18.9618.335.233.011.000.590.030.03
ks,i(MPa at Fraction–1/2)3371531183101577522539.41061

The strengthening effect of alloying elements can be interpreted in view of the short range interaction between dislocations and alloying atoms. Based on this interpretation, Feltham [40] established the following relationship between yield stress, deformation temperature, and strengthening effects of alloying elements.

(21)TσyMμ0.5=K1K2σyM

where K1 depends on strain rate, and the concentration/strengthening constant of alloying elements. K2 is a material constant, which is only a function of strain rate.

Based on eq. (21), K1 can be evaluated by appropriate values for yield stress and K2. Since the strengthening constants shown in Table 1 were measured at 77 K, a new parameter (K2m) is proposed,

(22)K1=77σy,77Mμ770.5+K2mσy,77M

where μ77 and σy,77 are the shear modulus and the yield stress at 77 K, respectively .

Therefore, the yield stress model that takes account of the strengthening effects of alloying elements, deformation temperature, and strain rate can be summarized as,

(23){T(σyMμ)0.5=K1K2σyMK1=77(σy,77Mμ77)0.5+K2mσy,77Mσy,77=(i(ks,iCiq)1/q)q

where K2m is used to correlate the strengthening constants at 77 K with K1.

The shear modulus for the studied Ni-based superalloy can be calculated as [41],

(24)μ=7.89×10410.64T271726

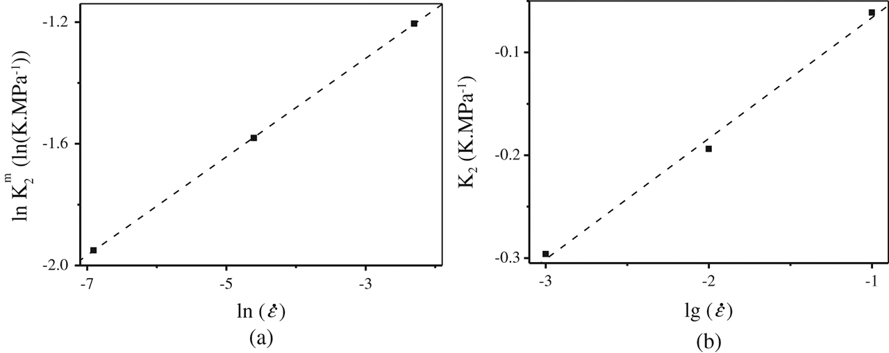
Based on the measured yield stresses, K2m and K2 in eq. (23) can be determined. Figure 7 shows the strain rate dependence of the determined K2m and K2. It is clear that there are linear relationships between lnK2m and lnε˙, as well as K2 and lglgε˙. Thus, K2m and K2 can be expressed as,

(25){K2m=0.4343ε˙0.1618K2=0.11747lg(ε˙)+0.00118
Figure 7: Strain rate dependence of : (a)K2mK_2^{\rm{m}}; (b)K2{K_2} (Symbols for the experimental results, the dashed line for the fitting line).
Figure 7:

Strain rate dependence of : (a)K2m; (b)K2 (Symbols for the experimental results, the dashed line for the fitting line).

Summarily, the yield stress model for the studied Ni-based superalloy that takes account of the effects of deformation temperature, strain rate and alloying elements can be expressed as,

(26){TσyMμ0.5=K1K2σyMμ=7.89×10410.64T271726K1=77σy,77Mμ770.5+K2mσy,77Mσy,77=iks,iCiq1/qqK2m=0.4343ε˙0.1618K2=0.11747lgε˙+0.00118

where K2m and K2 can be determined by fitting to the measured yield stresses. The relationships between K2m, K2 and strain rate can be further determined.

Figure 8 shows the comparisons between the measured (σym) and predicted (σyp) yield stresses. The Pearson correlation coefficient (PCC) is employed to evaluate the linear dependence between σym and σyp,

(27)PCC=i=1Ntσymσˉymσypσˉypi=1Nσymσˉym2i=1Nσypσˉyp2
Figure 8: Comparisons between the measured and predicted yield stresses.
Figure 8:

Comparisons between the measured and predicted yield stresses.

where σˉym and σˉyp are the average value of σym and σyp, respectively. Nt is the number of the tested conditions, Nt=12. The calculated PCC is 0.979, which indicates that σyp well correlates with σym.

Nb is an important precipitate-formatting element for the studied Ni-based superalloy. Thus, the strengthening effect of alloying element Nb is studied by the developed yield model. By changing the concentration constant of alloying element Nb (CNb) shown in eq. (26), yield stresses under different Nb content can be calculated. Figure 9 shows the strengthening effect of alloying element Nb at different deformation temperatures and strain rates. The yield stress decreases with the decrease in Nb content. The deformation temperature has negative effects on the strengthening effect of alloying element Nb (Figure 9a), while the strain rate has positive effects (Figure 9b). This can be attributed to the thermal assistance. High temperature weakens the bonding energy between alloying atoms and dislocations.

Figure 9: Effect of Nb content at different: (a) deformation temperatures; (b) strain rates.
Figure 9:

Effect of Nb content at different: (a) deformation temperatures; (b) strain rates.

Conclusion

The yield behaviors of a solution-treated Ni-based superalloy are studied. The main conclusions can be drawn as follows.

  1. The yield process is analyzed in terms of dislocation theory. A turning point can be found from the θσ plot at which the yield occurs. Thus, the yield stresses for the studied Ni-based superalloy are clearly determined.

  2. A yield stress model that takes account of the strengthening effect of alloying elements, deformation temperature, and strain rate is developed. The predicted yield stresses for the studied Ni-based superalloy well agree with the measured ones.

  3. The developed yield stress model shows that yield stress decreases with the decrease in Nb content. The deformation temperature has negative effects on the strengthening effect of alloying element Nb, while the strain rate has positive effects.

  4. However, it should be emphasized that the developed yield stress model is only valid for the solution-treated Ni-based superalloy. The further research will incorporate the effects of precipitate strengthening into the yield stress.

Acknowledgments

This work was supported by the National Natural Science Foundation Council of China (Grant No. 51775564), the Project of Innovation-driven Plan in Central South University (Grant No. 2016CX008), the Science and Technology Leading Talent in Hunan Province (Grant No. 2016RS2006), Program of Chang Jiang Scholars of Ministry of Education (Grant No. Q2015140), and the Natural Science Foundation for Distinguished Young Scholars of Hunan Province (Grant No. 2016JJ1017), China.

References

[1] Y.C. Lin and M.S. Chen, Mater. Des., 32 (2011) 1733–1759.10.1016/j.matdes.2010.11.048Search in Google Scholar

[2] D.T. Nguyen, J.G. Park and Y.S. Kim, Trans. Indian Inst. Met., 69 (2016) 1343–1350.10.1007/s12666-015-0687-5Search in Google Scholar

[3] M.S. Chen, W.Q. Yuan, H.B. Li and Z.H. Zou, Comput. Mater. Sci., 136 (2017) 163–172.10.1016/j.commatsci.2017.05.009Search in Google Scholar

[4] Y.C. Lin, F.Q. Nong, X.M. Chen, D.D. Chen and M.S. Chen, Vacuum, 137 (2017) 104–114.10.1016/j.vacuum.2016.12.022Search in Google Scholar

[5] P.J. Geng, W.G. Li, X.H. Zhang, J.X. Shao, Y. Deng, J.Z. Ma and H.B. Kou, J. Alloys Compd., 684 (2016) 116–119.10.1016/j.jallcom.2016.05.156Search in Google Scholar

[6] R. Bobbili, V. Madhu and A.K. Gogia, J. Mater. Res. Technol., 5 (2016) 190–197.10.1016/j.jmrt.2015.12.002Search in Google Scholar

[7] R. Bobbili, B.V. Ramudu and V. Madhu, J. Alloys Compd., 696 (2017) 295–303.10.1016/j.jallcom.2016.11.208Search in Google Scholar

[8] G. Chen, X.C. Zhao and H. Wu, Adv. Mech. Eng., 9 (2017) 1–21.Search in Google Scholar

[9] G. Chen, Z.S. Zhang, Y.H. Mei, X. Li, D.J. Yu, L. Wang and X. Chen, Mech. Materials., 72 (2014) 61–71.10.1016/j.mechmat.2014.02.001Search in Google Scholar

[10] D.D. Chen, Y.C. Lin, Y. Zhou, M.S. Chen and D.X. Wen, J. Alloys Compd., 708 (2017) 938–946.10.1016/j.jallcom.2017.03.029Search in Google Scholar

[11] J. Cai, X.L. Zhang, K.S. Wang and C.P. Miao, High Temp. Mater. Process., 35 (2016) 1037–1045.10.1515/htmp-2015-0094Search in Google Scholar

[12] X.L. Han, S.D. Zhao, C.Y. Zhang, S.Q. Fan and F. Xu, High Temp. Mater. Process, 34 (2015) 529–538.10.1515/htmp-2014-0019Search in Google Scholar

[13] M.C. Cui, S.D. Zhao, C. Chen, D.W. Zhang and Y.Y. Li, Adv. Mech. Eng., 9 (2017) 1–11.Search in Google Scholar

[14] M. Azarbarmas, M. Aghaie-Khafri, J.M. Cabrera and J. Calvo, Mater. Sci. Eng. A, 678 (2016) 137–152.10.1016/j.msea.2016.09.100Search in Google Scholar

[15] Y.Q. Ning, B.C. Xie, H. Li and M.W. Fu, Adv. Eng. Mater., 17 (2015) 648–655.10.1002/adem.201400223Search in Google Scholar

[16] D.Y. Hu, Q. Yang, H.W. Liu, J.X. Mao, F.C. Meng, Y.F. Wang, M.X. Ren and R.Q. Wang, Int. J. Fatigue, 95 (2017) 90–103.10.1016/j.ijfatigue.2016.10.011Search in Google Scholar

[17] Y.C. Lin, H. Yang, L. Li, Vacuum, 144 (2017) 86–93.10.1016/j.vacuum.2017.07.025Search in Google Scholar

[18] Y.C. Lin, X.M. Chen, D.X. Wen and M.S. Chen, Comput. Mater. Sci., 83 (2014) 282–289.10.1016/j.commatsci.2013.11.003Search in Google Scholar

[19] H.B. Li and Y.L. Feng, High Temp. Mater. Process., 35 (2016) 55–64.10.1515/htmp-2014-0173Search in Google Scholar

[20] S.A. Sajjadi, A. Chaichi, H.R. Ezatpour, A. Maghsoudlou and M.A. Kalaie, J. Mater. Eng. Perform., 25 (2016) 1269–1275.10.1007/s11665-016-1967-xSearch in Google Scholar

[21] Y.H. Liu, Y.Q. Ning, Z.K. Yao, H. Li, X.P. Miao, Y.Z. Li and Z.L. Zhao, J. Alloys Compd., 675 (2016) 73–80.10.1016/j.jallcom.2016.03.093Search in Google Scholar

[22] A. Momeni, J. Mater. Res., 31 (2016) 1077–1084.10.1557/jmr.2016.81Search in Google Scholar

[23] Z.L. Zhao, Y.Q. Ning, H.Z. Guo, Z.K. Yao and M.W. Fu, Mater. Sci. Eng. A, 620 (2014) 383–389.10.1016/j.msea.2014.10.041Search in Google Scholar

[24] H. Roth, C. Davis and R. Thomson, Metall. Mater. Trans. A, 28 (1997) 1329–1335.10.1007/s11661-997-0268-2Search in Google Scholar

[25] A. Momeni, S.M. Abbasi, M. Morakabati and H. Badri, Metall, Mater. Trans. A, 48 (2017) 1216–1229.10.1007/s11661-016-3904-xSearch in Google Scholar

[26] B. Weiss and B. Grushko, Weld. J., 62 (1983) 282–289.10.3382/ps.0620282Search in Google Scholar

[27] E. Galindo-Nava, L. Connor and C. Rae, Acta Mater., 98 (2015) 377–390.10.1016/j.actamat.2015.07.048Search in Google Scholar

[28] D. Crudden, A. Mottura, N. Warnken, B. Raeisinia and R. Reed, Acta Mater., 75 (2014) 356–370.10.1016/j.actamat.2014.04.075Search in Google Scholar

[29] Y.X. Liu, Y.C. Lin and Y. Zhou, Mater. Sci. Eng. A, 691 (2017) 88–99.10.1016/j.msea.2017.03.039Search in Google Scholar

[30] X.M. Chen, Y.C. Lin, D.X. Wen, J.L. Zhang and M. He, Mater. Des, 57 (2014) 568–577.10.1016/j.matdes.2013.12.072Search in Google Scholar

[31] Y.C. Lin, M.S. Chen and J. Zhong, Mech. Res. Commun., 35 (2008) 142–150.10.1016/j.mechrescom.2007.10.002Search in Google Scholar

[32] P. Alexopoulos, C. Cho, C. Hu and L. Che-Yu, Acta Mater, 29 (1981) 569–577.10.1016/0001-6160(81)90138-3Search in Google Scholar

[33] R. Stoller and S. Zinkle, J. Nucl. Mater., 283 (2000) 349–352.10.1016/S0022-3115(00)00378-0Search in Google Scholar

[34] Y. Estrin, L. Toth, A. Molinari and Y. Bréchet, Acta Mater, 46 (1998) 5509–5522.10.1016/S1359-6454(98)00196-7Search in Google Scholar

[35] Y.C. Lin, D.X. Wen, M.S. Chen, Y.X. Liu, X.M. Chen and X. Ma, J. Mater. Res., 31 (2016) 2415–2429.10.1557/jmr.2016.220Search in Google Scholar

[36] Y.C. Lin, D.X. Wen, M.S. Chen and X.M. Chen, Appl. Phys. A, 122 (2016) 805.10.1007/s00339-016-0333-zSearch in Google Scholar

[37] G. Stepanov, J. Appl. Mech. Tech. Phys., 23 (1982) 141–146.10.1007/BF00911993Search in Google Scholar

[38] L. Gypen and A. Deruyttere, J. Mater. Sci., 12 (1977) 1028–1033.10.1007/BF00540987Search in Google Scholar

[39] Y. Mishima, S. Ochiai, N. Hamao, M. Yodogawa and T. Suzuki, Trans. Jpn. Inst. Met., 27 (1986) 656–664.10.2320/matertrans1960.27.656Search in Google Scholar

[40] P. Feltham, J. Phys. D., 1 (1968) 303–308.10.1088/0022-3727/1/3/305Search in Google Scholar

[41] Y.X. Liu, Y.C. Lin, H.B. Li, D.X. Wen, X.M. Chen and M.S. Chen, Mater. Sci. Eng. A, 626 (2015) 432–440.10.1016/j.msea.2014.12.092Search in Google Scholar

Received: 2017-07-04
Accepted: 2017-11-12
Published Online: 2018-03-01
Published in Print: 2018-10-25

© 2018 Walter de Gruyter GmbH, Berlin/Boston

This article is distributed under the terms of the Creative Commons Attribution Non-Commercial License, which permits unrestricted non-commercial use, distribution, and reproduction in any medium, provided the original work is properly cited.

Articles in the same Issue

  1. Frontmatter
  2. Research Articles
  3. Numerical Simulation of the Electron Beam Welding and Post Welding Heat Treatment Coupling Process
  4. Effect of Ti and Ta on Oxidation Kinetic of Chromia Forming Ni-Base Superalloys in Ar-O2-Based Atmosphere
  5. Effects of Cerium on the Inclusions and Pitting Corrosion Behavior of 434 Ferritic Stainless Steel
  6. Critical Assessment of Activities of Structural Units in Fe–Al Binary Melts Based on the Atom and Molecule Coexistence Theory
  7. A Yield Stress Model for a Solution-Treated Ni-Based Superalloy during Plastic Deformation
  8. Stress Relaxation Behaviour and Creep Constitutive Equations of SA302Gr.C Low-Alloy Steel
  9. Effects of Inner Defects on Creep Damage and Crack Initiation for a Brazed Joint
  10. Experimental and Numerical Investigations on Hot Deformation Behavior and Processing Maps for ASS 304 and ASS 316
  11. Production of Iron Based Alloys from Mill Scale through Metallothermic Reduction
  12. Effect of Nb and V on Austenite Grain Growth Behavior of the Cr-Mo-V Steel for Brake Discs
  13. A Thermodynamic Study of the Reduction of a Limonitic Laterite Ore by Methane
  14. Electrochemical and Phase Analysis of Si(IV) on Fe Electrode in Molten NaCl-NaF-KCl-SiO2 System
  15. Characterization of Hot Deformation Behavior for Pure Aluminum Using 3D Processing Maps
  16. Effect of Chromium Addition on the Cyclic Oxidation Resistance of Pseudo-Binary (Mo,Cr)3 Si Silicide Alloy
  17. Equiaxed Solidification of 430 Ferritic Stainless Steel Nucleating on Core-Containing Ti
  18. FE Analysis of Dynamical Recrystallization during the Seamless Tube Extrusion of Semicontinuous Casting Magnesium Alloy and Experimental Verification
  19. Study on the Reblow Model for Medium-High Carbon Steel Melting by Converter
  20. Short Communication
  21. Effect of B2O3 on Slag-Metal Reaction between CaO-Al2O3-Based Mold Flux and High Aluminum Steel
  22. Review Article
  23. Computation of the Thermal Residual Stresses in SiC/SiC Composites with Multi-Layered Interphases by Using ANN with the Structure of Random Forest
  24. Research Articles
  25. Failure Analysis of the Corroded Water Wall Tube in a 50MW Thermal Power Plant
  26. CO2 Absorption of Powdered Ba2Fe2O5 with Different Particle Size
  27. Induced-Pitting Behaviors of MnS Inclusions in Steel
Downloaded on 5.3.2026 from https://www.degruyterbrill.com/document/doi/10.1515/htmp-2017-0096/html
Scroll to top button