Home Physical Sciences The synthesis of phosphinates: traditional versus green chemical approaches
Article Open Access

The synthesis of phosphinates: traditional versus green chemical approaches

  • György Keglevich

    György Keglevich graduated from the Technical University of Budapest in 1981 as a chemical engineer. He obtained his Doctor of Chemical Science degree in 1994, was appointed to full Professor in 1996 and has been the Head of the Department of Organic Chemistry and Technology since 1999. He is a P-heterocyclic chemist and also deals with environmentally friendly chemistry: MW chemistry, phase transfer catalysis and the development of new catalysts. He is the author or co-author of approximately 400 papers (the majority of which appeared in international journals). He is a member of the Editorial Board of Heteroatom Chemistry, Phosphorus, Sulfur and Silicon, and the Related Elements, and Current Organic Synthesis, Associate Editor of Letters in Drug Design and Discovery, Regional Editor for Current Organic Chemistry, co-Editor-in-Chief of Letters in Organic Chemistry, and Editor-in-Chief of Current Green Chemistry.

    EMAIL logo
    , Nóra Zsuzsa Kiss

    Nóra Zsuzsa Kiss graduated from the Budapest University of Technology and Economics in 2011 as a chemical engineer. She started her PhD studies on MW-assisted and organophosphorus chemistry under the supervision of Dr. György Keglevich in 2011.

    , Zoltán Mucsi

    Zoltán Mucsi graduated from the Eötvös University in Budapest in 1999 as a research chemist. He received a PhD in 2002 in the subject of peptide and pharmaceutical chemistry and was awarded a post-doctoral position at Sanofi-Aventis pharmaceutical company in 2002. In 2004, he joined the research and development group in Sanofi-Aventis at the Budapest site, which lasted until 2007. He then continued his career at Servier Medicinal Chemistry Research Centre of Budapest. He became an adjunct Associate Professor at the Department of Organic Chemical Technology at the Budapest University of Technology and Economics in 2006.

    , Erzsébet Jablonkai

    Erzsébet Jablonkai graduated from the Budapest University of Technology and Economics (2006–2012) as a chemical engineer. She has been a member of the Organophosphorus Research Group since 2008. Since 2012, she has been a PhD student at the Department of Organic Chemistry and Technology and her research topics include the synthesis and reactivity of organophosphorus compounds.

    and Erika Bálint

    Erika Bálint graduated from the Budapest University of Technology and Economics in 2009 as a chemical engineer. She received her PhD in 2013 in the subject of MW-assisted organic synthesis. She became a Research Associate at the Research Group of the Hungarian Academy of Sciences at the Department of Organic Chemistry and Technology at the Budapest University of Technology and Economics in 2013.

Published/Copyright: February 24, 2014
Become an author with De Gruyter Brill

Abstract

Three alternatives are discussed in comparison with the classical esterification of phosphinic chlorides by reaction with alcohols. All novel methods, such as microwave (MW)-assisted direct esterification, MW-assisted phase transfer catalyzed alkylating esterification and the propylphosphonic anhydride-promoted esterification, start from phosphinic acids and offer different advantages and disadvantages. The methods are analyzed from green chemical point of view.

1 Introduction

The microwave (MW) technique has become an important tool in organic syntheses [1–3]. The advantages include shorter reaction times and higher yields, making more efficient preparations possible. MW irradiation may also promote reluctant reactions; moreover, otherwise impossible transformations may also take place under MW. In many cases, the reactions can be realized under solvent-free conditions. Acylations/esterifications, alkylations/substitutions/couplings, additions, eliminations/dehydrations and 2- or 3-component condensations are typical reactions that may be performed under MW conditions. The point of MW heating is that the local overheating effect appearing statistically in the bulk of the mixture makes efficient transformations possible. This may be understood if one considers the Arrhenius equation and the extent of local overheating that may be in the range of up to 60°C [3]. MW is especially suitable to promote reactions with a high enthalpy of activation. From industrial point of view, continuously operating MW reactors may be relevant [4, 5]. The reactors comprise parallel (thin) tubes made of glass. The reaction mixture must not be too viscous and heterogeneous. The utilization of the MW technique seems to be attractive also in organophosphorus chemistry [6–10].

In this paper, our recent results on the MW-assisted esterification of phosphinic acids are summarized and compared with other methods.

2 The synthesis of phosphinates by the reaction of phosphinic chlorides with alcohols

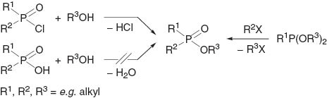
In most cases, phosphinates are prepared from phosphinic chlorides by reaction with alcohols (Scheme 1) [11, 12]. However, phosphinic chlorides are not inexpensive, the reaction is not atomic efficient and the hydrochloric acid formed is an environmental burden. Phosphinates may also be synthesized by the Arbuzov reaction [11]. It is wellknown that phosphinic acids do not undergo direct esterification (Scheme 1).

Scheme 1 Different approaches to phosphinates.
Scheme 1

Different approaches to phosphinates.

Our target molecules were the alkoxy-phospholene oxides, alkoxy-phospholane oxides and alkoxy-hexahydrophosphinine oxides. The literature examples for the esterification of 1-halogeno-phospholene 1-oxides, mostly 1-chloro derivatives, are summarized in Table 1. Using the alcohols in the presence of triethylamine, or applying sodium methylate, both at room temperature or above, the yields were variable, and fall in the range of 27%–85% [13–17].

Table 1

Literature examples for the esterification of halogeno-phospholene oxides.

Phosphinic chlorideReagents solventProductYield (%)References
MeOH

NEt3

Et2O
64[13]
MeOH

NEt3

Et2O
62[13]
NeopentylOH

NEt3

PhH
85[14]
NaOMe

PhMe
[15]
ROH

NEt3

CH2Cl2
[16]
EtOH

NEt3

CH2Cl2
47[16]
ROH

NEt3

Et2O
[17]

3 MW-assisted direct esterification and other derivatizations of cyclic phosphinic acids

It was a challenge for us to try to perform the direct esterification of phosphinic acids under MW conditions. The 1-hydroxy-3-phospholene oxides (1 and 2) chosen as the starting phosphinic acids were, in the first approach, reacted with butanol as the esterifying component. Surprisingly, the cyclic phosphinic acids (1 and 2) underwent esterification above 200°C in a sealed vessel to give phosphinates 3 and 4 in yields of 44% and 58%, respectively. The comparative thermal experiments led only to low (~12%) conversions (Scheme 2) [18].

Scheme 2 Direct esterification of 1-hydroxy-3-phospholene oxides with BuOH.
Scheme 2

Direct esterification of 1-hydroxy-3-phospholene oxides with BuOH.

The esterifications were carried out using 15 equivalents of the alcohol in closed vessels equipped with a pressure controller tolerating a maximum pressure of 20 bar. For this, higher carbon atom chains, and hence less volatile alcohols were found to be the starting materials of choice. In these cases, we could work at reaction temperatures of 220°C–235°C and at overpressures of 1 bar–1.5 bar. Accordingly, the direct esterifications of cyclic phosphinic acids 1 and 2 were also carried out with n-pentanol, isopentanol, n-octanol, 2-ethylhexanol (isooctanol) and dodecyl alcohol, to afford phosphinates 3 and 4, with one exception, in yields of 67%–95% (Scheme 3) [19–21].

Scheme 3 MW-assisted direct esterification of 1-hydroxy-3-phospholene oxides with different alcohols.
Scheme 3

MW-assisted direct esterification of 1-hydroxy-3-phospholene oxides with different alcohols.

The direct esterification was then extended to 1-hydroxy-phospholane oxides. Esterification of the 3-methyl derivative (5) at 220°C–235°C provided the corresponding phosphinates (6) as a 1:1 mixture of two diastereomers in yields of 59%–86% (Scheme 4) [21].

Scheme 4 MW-assisted direct esterification of 1-hydroxy-3-methylphospholane oxide.
Scheme 4

MW-assisted direct esterification of 1-hydroxy-3-methylphospholane oxide.

The analogous 3,4-dimethyl derivatives (8) were obtained from the two isomers of the starting phosphinic acid (7) as a mixture of three isomers (8A, 8B1 and 8B2). The yields fall in the range of 50%–72% (Scheme 5) [21].

Scheme 5 MW-assisted direct esterification of 1-hydroxy-3,4-dimethylphospholane oxide.
Scheme 5

MW-assisted direct esterification of 1-hydroxy-3,4-dimethylphospholane oxide.

Finally, 1-hydroxy-3-methyl-1,2,3,4,5,6-hexahydrophosphinine 1-oxide 9 was subjected to direct esterification with octanols to provide the cyclic phosphinates 10 as a mixture of two diastereomers (Scheme 6) [21].

Scheme 6 MW-assisted direct esterification of 1-hydroxy-3-methyl-1,2,3,4,5,6-hexahydrophosphinine oxide.
Scheme 6

MW-assisted direct esterification of 1-hydroxy-3-methyl-1,2,3,4,5,6-hexahydrophosphinine oxide.

Then, the energetic background for the esterification of phosphinic acids was studied by B3LYP/6-31++G(d,p) calculations. As a comparison, the esterification of acetic acid with methanol was also calculated. All esterifications were found to be thermoneutral, implying a slight exothermicity or endothermicity. However, the requirement for the enthalpy of activation was much higher for the esterification of phosphinic acids (102 kJ mol-1–140 kJ mol-1) than that for the esterification of acetic acid (75 kJ mol-1) [20].

The esterification of 1-hydroxy-3-methyl-3-phospholene oxide (1) was also studied with thioalcohols. Using thiobutanol, the thiobutoxy-phospholene oxide (11) could be obtained in a yield of 38%. However, the butoxy-product (3a) was not formed (Scheme 7) [22].

Scheme 7 MW-assisted direct esterification with thiobutanol.
Scheme 7

MW-assisted direct esterification with thiobutanol.

The outcome of the reaction proved that in the above type direct esterifications indeed the alcohol is phosphinoylated and not the phosphinic acid is alkylated. The conversion and yield were, however, moderate; that was justified by quantum chemical calculations. It was found for the above model that the transformation is endothermic (48.5 kJ mol-1), and the enthalpy of activation is higher (145 kJ mol-1) than that for the reaction with butanol (102 kJ mol-1) [22]. This explains why the conversion was incomplete even under MW conditions.

On the basis of the above experiences, it was of interest to try also MW-assisted direct amidations of 1-hydroxy-3-methyl-3-phospholene oxide (1). Using hexylamines and benzylamine at 220°C, the amidations took place in low (approximately 33%) conversions. It was better to synthesize the cyclic phosphinic amides (12) by the classical reaction sequence involving the corresponding phosphinic chloride (13) as the intermediate. In this way, the amides (12) were obtained in approximately 80% yields (Scheme 8) [23].

Scheme 8 Methods for the amidation of 1-hydroxy-3-methyl-3-phospholene oxide.
Scheme 8

Methods for the amidation of 1-hydroxy-3-methyl-3-phospholene oxide.

In the MW-assisted direct amidation of 1-hydroxy-phospholane oxides 5 and 7, similarly low conversions were experienced as for the amidation of 1-hydroxy-3-phospholene oxide 1 (Scheme 9) [23].

Scheme 9 MW-assisted direct amidation of 1-hydroxyphospholane oxides.
Scheme 9

MW-assisted direct amidation of 1-hydroxyphospholane oxides.

Quantum chemical calculations suggested that the direct amidations are also endothermic, but the values for the enthalpy of activation are not so high [23].

The following may be concluded on MW versus thermal heating and on the scope and limitation of MW-assisted reactions:

  1. The role of MW is to enhance reactions with higher (≥100 kJ mol-1) enthalpy of activation.

  2. This is possible due to the statistically occurring local overheating effect (that may be up to 60°C) in the bulk of the reaction mixture.

  3. Hence, there is no “black magic” around the effect of MWs. If the reaction discussed takes place only to the effect of MW irradiation (and not with conventional thermal heating), one can speak about a special MW effect.

  4. The MW assistance is optimal for thermoneutral reactions. Endothermicity works against the beneficial effect of MW.

4 MW-assisted alkylating esterification of cyclic phosphinic acids

Another possibility for the synthesis of phosphinic esters involves the alkylation of phosphinic acids. This approach was utilized in the esterification of 1-hydroxy-3-methyl-3-phospholene oxide (1) using alkyl halides as the alkylating agents in the presence of 1 equivalent K2CO3 as the base and 5% triethylbenzylammonium chloride (TEBAC) as the phase transfer catalyst under solvent-free conditions. At a reaction temperature of 100°C, the butyl and benzyl esters of the methyl-hydroxy-phospholene oxide (3a and 3g) were obtained in yields of 96% and 94%, respectively. It is obvious from the data of Scheme 10 that both MW and the presence of the catalyst are beneficial in the case of butyl bromide as the alkylating agent. At the same time, using benzyl bromide, there is no need to apply TEBAC [19, 24]. This can be explained by the fact that, in the case of alkyl halides with normal reactivity, the use of phase transfer catalysis and MW irradiation is beneficial, as the effects are synergistic, while in the case of alkyl halides with increased reactivity, the use of MW is enough in itself.

Scheme 10 Alkylating esterification of 1-hydroxy-3-methyl-3-phospholene oxide.
Scheme 10

Alkylating esterification of 1-hydroxy-3-methyl-3-phospholene oxide.

Isomerized by-product 16 could also be detected in the reaction mixture in a small quantity.

Then, the alkylating esterification was extended to the preparation of 1-butoxy-phospholane oxides. The above mentioned observations are valid both for the esterification of the monomethyl- and dimethyl-1-hydroxy-phospholane oxides (5 and 7, respectively). According to this, the combined application of the MW and the phase transfer catalytic technique was justified at 100°C, with butyl bromide as the alkylating agent (Scheme 11) [19, 24].

Scheme 11 Alkylating esterification of 1-hydroxyphospholane oxides.
Scheme 11

Alkylating esterification of 1-hydroxyphospholane oxides.

At the same time, at a higher reaction temperature of 120°C, the use of TEBAC became unnecessary.

Finally, 1-hydroxy-3-methyl-1,2,3,4,5,6-hexahydrophosphinine oxide (9) was subjected to alkylating esterification with butyl bromide. The experiences were similar to those for phospholane oxides (Scheme 12) [19, 24].

Scheme 12 Alkylating esterification of 1-hydroxy-3-methyl-1,2,3,4,5,6-hexahydrophosphinine oxide.
Scheme 12

Alkylating esterification of 1-hydroxy-3-methyl-1,2,3,4,5,6-hexahydrophosphinine oxide.

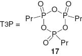
5 Esterification of cyclic phosphinic acids in the presence of the T3P reagent

After the MW-assisted direct esterification and alkylating esterification of phosphinic acids, a third possibility was also studied. This is the propylphosphonic anhydride (T3P)-promoted esterification of a few cyclic phosphinic acids. T3P is a versatile reagent in a number of condensation reactions including different acylations [25].

It was found that T3P was extremely useful in promoting the esterification between cyclic phosphinic acids 1, 2 and 5 as well as 7 and different alcohols already at 25°C to furnish the corresponding phosphinates 3, 4a, 6a and 8a, as shown in Schemes 13–16, respectively [26].

Scheme 13 Esterification of 1-hydroxy-3-methyl-3-phospholene oxide in the presence of the T3P reagent.
Scheme 13

Esterification of 1-hydroxy-3-methyl-3-phospholene oxide in the presence of the T3P reagent.

Scheme 14 Esterification of 1-hydroxy-3,4-dimethyl-3-phospholene oxide in the presence of the T3P reagent.
Scheme 14

Esterification of 1-hydroxy-3,4-dimethyl-3-phospholene oxide in the presence of the T3P reagent.

Scheme 15 Esterification of 1-hydroxy-3-methylphospholane oxide in the presence of the T3P reagent.
Scheme 15

Esterification of 1-hydroxy-3-methylphospholane oxide in the presence of the T3P reagent.

Scheme 16 Esterification of 1-hydroxy-3,4-dimethylphospholane oxide in the presence of the T3P reagent.
Scheme 16

Esterification of 1-hydroxy-3,4-dimethylphospholane oxide in the presence of the T3P reagent.

The only problem is that the T3P reagent must be used in a quantity of 1.1 equivalents. Hence, it is not a catalyst, but a reactant. T3P reacts with the phosphinic acids to give the corresponding anhydride (in general 18) that is already reactive enough to attack the alcohols.

It can be seen that T3P makes efficient esterifications possible, however, its application means extra cost and the reaction is not atomic efficient.

6 Conclusions

It is known that phosphinates are most often prepared by the reaction of phosphinic chlorides with alcohols in organic solvents at/or above room temperature. This reaction takes place with the formation of a hydrochloric acid by-product with two consequences: a base has to be used and the atomic efficiency is typically <80%. The MW-assisted direct esterification of phosphinic acids offers advantages, such as the use of halogen-free reagents, solvent-free accomplishment and a quite good atomic efficiency. However, problems include the relatively high reaction temperature of approximately 215°C required and the lack of suitable larger-scale MW reactors. The third method, the MW-promoted phase transfer catalytic alkylation of phosphinic acids under solvent-free conditions is basically attractive, but the not “green” reagents, alkyl halides are costly, K2CO3 has to be used as the base, and the atomic efficiency is only medium. Finally, the esterification of phosphinic acids with alcohols in the presence of T3P is an excellent method, as it requires mild conditions and gives the phosphinates in high yields. However, the expensive T3P reagent has to be used in a 1.1 equivalents quantity that results in a low atomic efficiency, due to the formation of the by-product. It is concluded that there is no method that can be regarded as the best, but all kinds of preparation have advantages and disadvantages.


Corresponding author: György Keglevich, Department of Organic Chemistry and Technology, Budapest University of Technology and Economics, 1521 Budapest, Hungary, e-mail:

About the authors

György Keglevich

György Keglevich graduated from the Technical University of Budapest in 1981 as a chemical engineer. He obtained his Doctor of Chemical Science degree in 1994, was appointed to full Professor in 1996 and has been the Head of the Department of Organic Chemistry and Technology since 1999. He is a P-heterocyclic chemist and also deals with environmentally friendly chemistry: MW chemistry, phase transfer catalysis and the development of new catalysts. He is the author or co-author of approximately 400 papers (the majority of which appeared in international journals). He is a member of the Editorial Board of Heteroatom Chemistry, Phosphorus, Sulfur and Silicon, and the Related Elements, and Current Organic Synthesis, Associate Editor of Letters in Drug Design and Discovery, Regional Editor for Current Organic Chemistry, co-Editor-in-Chief of Letters in Organic Chemistry, and Editor-in-Chief of Current Green Chemistry.

Nóra Zsuzsa Kiss

Nóra Zsuzsa Kiss graduated from the Budapest University of Technology and Economics in 2011 as a chemical engineer. She started her PhD studies on MW-assisted and organophosphorus chemistry under the supervision of Dr. György Keglevich in 2011.

Zoltán Mucsi

Zoltán Mucsi graduated from the Eötvös University in Budapest in 1999 as a research chemist. He received a PhD in 2002 in the subject of peptide and pharmaceutical chemistry and was awarded a post-doctoral position at Sanofi-Aventis pharmaceutical company in 2002. In 2004, he joined the research and development group in Sanofi-Aventis at the Budapest site, which lasted until 2007. He then continued his career at Servier Medicinal Chemistry Research Centre of Budapest. He became an adjunct Associate Professor at the Department of Organic Chemical Technology at the Budapest University of Technology and Economics in 2006.

Erzsébet Jablonkai

Erzsébet Jablonkai graduated from the Budapest University of Technology and Economics (2006–2012) as a chemical engineer. She has been a member of the Organophosphorus Research Group since 2008. Since 2012, she has been a PhD student at the Department of Organic Chemistry and Technology and her research topics include the synthesis and reactivity of organophosphorus compounds.

Erika Bálint

Erika Bálint graduated from the Budapest University of Technology and Economics in 2009 as a chemical engineer. She received her PhD in 2013 in the subject of MW-assisted organic synthesis. She became a Research Associate at the Research Group of the Hungarian Academy of Sciences at the Department of Organic Chemistry and Technology at the Budapest University of Technology and Economics in 2013.

Acknowledgments

The above project was supported by the Hungarian Scientific and Research Fund (OTKA K83118) and by the New Széchenyi Development Plan (TÁMOP-4.2.1/B-09/1/KMR-2010-0002).

References

[1] Loupy A, Ed., Microwaves in Organic Synthesis, Wiley-VCH: Weinheim, 2002.10.1002/3527601775Search in Google Scholar

[2] Kranjc K, Kocevar M. Curr. Org. Chem. 2010, 14, 1050–1074.Search in Google Scholar

[3] Kranjc K, Kocevar M. Curr. Org. Chem. 2013, 17, 448–456.Search in Google Scholar

[4] Sallay P, Keglevich G. Hung. Chem. J. 2006, 61, 13–15.Search in Google Scholar

[5] Keglevich G, Sallay P, Greiner I. Hung. Chem. J. 2008, 63, 278–283.Search in Google Scholar

[6] Guenin E, Meziane D. Curr. Org. Chem. 2011, 15, 3465–3485.Search in Google Scholar

[7] Keglevich G, Grün A, Bálint E, Kiss NZ, Jablonkai E. Curr. Org. Chem. 2013, 17, 545–554.Search in Google Scholar

[8] Keglevich G, Grün A, Bálint E. Curr. Org. Synth. 2013, 10, 751–763.Search in Google Scholar

[9] Keglevich G, Grün A, Bálint E, Kiss NZ, Kovács R, Molnár IG, Blastik Z, Tóth VR, Fehérvári A, Csontos I. Phosphorus, Sulfur, Silicon 2011, 186, 613–620.10.1080/10426507.2010.507725Search in Google Scholar

[10] Keglevich G, Szekrényi A, Kovács R, Grün A. Phosphorus, Sulfur, Silicon 2009, 184, 1648–1652.10.1080/10426500902948003Search in Google Scholar

[11] Quin LD. A Guide to Organophosphorus Chemistry, Wiley & Sons: New York, 2000.Search in Google Scholar

[12] Barton D, Ollis WD, Eds., Sutherland IO, Vol. Ed., Comprehensive Organic Chemistry, Vol. 2, Pergamon: Oxford, 1979, p. 1293.Search in Google Scholar

[13] Vizel AO, Shchukina LI, Zyablikova TA, Krupnov VK. J. Gen. Chem. USSR (Engl. Transl.), 1989, 59, 121–127.Search in Google Scholar

[14] Keglevich G, Petneházy I, Péter M, Almásy A, Tóth G, Tőke L, Quin LD. J. Org. Chem. 1987, 52, 3983–3986.Search in Google Scholar

[15] Quin LD, Wu XP, Sadanani ND, Lukes I, Ionkin AS, Day RO. J. Org. Chem. 1994, 59, 120–129.Search in Google Scholar

[16] Hasserodt U, Hunger K, Korte F. Tetrahedron, 1963, 19, 1563–1575.10.1016/S0040-4020(01)99230-0Search in Google Scholar

[17] Vizel AO, Zvereva MA, Ivanovskaya KM, Studentsova IA, Dunaev VG, Berim MG. Dokl. Akad. Nauk. USSR 1965, 160, 826–828.Search in Google Scholar

[18] Kiss NZ, Ludányi K, Drahos L, Keglevich G. Synth. Commun. 2009, 39, 2392–2404.Search in Google Scholar

[19] Keglevich G, Bálint E, Kiss NZ, Jablonkai E, Hegedűs L, Grün A, Greiner I. Curr. Org. Chem. 2011, 15, 1802–1810.Search in Google Scholar

[20] Keglevich G, Kiss NZ, Mucsi Z, Körtvélyesi T. Org. Biomol. Chem. 2012, 10, 2011–2018.Search in Google Scholar

[21] Kiss NZ, Böttger É, Drahos L, Keglevich G. Heteroatom Chem. 2013, 24, 283–288.Search in Google Scholar

[22] Keglevich G, Kiss NZ, Drahos L, Körtvélyesi T. Tetrahedron Lett. 2013, 54, 466–469.Search in Google Scholar

[23] Keglevich G, Kiss NZ, Körtvélyesi T. Heteroatom Chem. 2013, 24, 91–99.Search in Google Scholar

[24] Bálint E, Jablonkai E, Bálint M, Keglevich G. Heteroatom Chem. 2010, 21, 211–214.Search in Google Scholar

[25] Basavaprabhu, Vishwanatha TM, Panguluri NR, Sureshbabu VV. Synthesis 2013, 45, 1569–1601.10.1055/s-0033-1338989Search in Google Scholar

[26] Jablonkai E, Milen M, Drahos L, Keglevich G. Tetrahedron. Lett. 2013, 54, 5873–5875.Search in Google Scholar

Received: 2013-11-22
Accepted: 2013-12-16
Published Online: 2014-2-24
Published in Print: 2014-4-1

©2014 by Walter de Gruyter Berlin/Boston

This article is distributed under the terms of the Creative Commons Attribution Non-Commercial License, which permits unrestricted non-commercial use, distribution, and reproduction in any medium, provided the original work is properly cited.

Articles in the same Issue

  1. Frontmatter
  2. In this issue
  3. Editorial
  4. Megatrends – megascience?
  5. 1st EuGSC 2013
  6. First EuCheMS Congress on Green and Sustainable Chemistry
  7. The synthesis of phosphinates: traditional versus green chemical approaches
  8. “Greener” synthesis of bisphosphonic/dronic acid derivatives
  9. A new green approach to Fenton’s chemistry using tea dregs and coffee grounds as raw material
  10. Selective hydrogenation of cinnamaldehyde and phospholipids in aqueous-organic biphasic systems with ruthenium(II) complex catalysts
  11. Microwave-assisted oxidation of benzyl alcohols using supported cobalt based nanomaterials under mild reaction conditions
  12. From trash to resource: a green approach to noble-metals dissolution and recovery
  13. The effect of switchable ionic liquid (SIL) treatment on the composition and crystallinity of birch chips (Betula pendula) using a novel alkanol amine-organic superbase-derived SIL
  14. Interactions of 2,2′-bipyridine herbicide intermediate with humic acid
  15. Laboratory profile
  16. The Applied and Green Photochemistry research group at James Cook University in Townsville, Australia
  17. Conference announcements
  18. 5th International IUPAC Conference on Green Chemistry (Durban, South Africa, August 17–21, 2014)
  19. Ecochem 2014 (Basel, Switzerland, November 11–13, 2014)
  20. Chemeca 2014 (Perth, Western Australia, September 28–October 1, 2014)
  21. 16th International Symposium on Advances in Extraction Technologies (ExTech 2014; Chania, Crete, Greece, May 25–28, 2014)
  22. ISOS XVII BERLIN 2014: The 17th International Symposium on Silicon Chemistry jointly with the 7th European Silicon Days (Berlin, Germany, August 3–8, 2014)
  23. 11th International Symposium on the Scientific Bases for the Preparation of Heterogeneous Catalysts (PREPA11; Louvain-la-Neuve, Belgium, July 6–10, 2014)
  24. Conferences 2014–2017
  25. Book reviews
  26. Pharmaceutical lifecycle management: making the most of each and every brand
  27. The economic utilisation of food co-products
Downloaded on 16.12.2025 from https://www.degruyterbrill.com/document/doi/10.1515/gps-2013-0106/html?srsltid=AfmBOorDReosUa0CBDwI8K7h9-Tu1-7sCyIxsXZKvSFrZU1xahXTKBIb
Scroll to top button