Home Physical Sciences Supramolecular concepts and approaches in corrosion and biofouling prevention
Article Publicly Available

Supramolecular concepts and approaches in corrosion and biofouling prevention

  • Viswanathan S. Saji

    Viswanathan S. Saji is a Research Scientist III at the Center of Research Excellence in Corrosion, King Fahd University of Petroleum and Minerals, Saudi Arabia. He received his PhD (2003) degree from the University of Kerala. He was a Research Associate at IIT Bombay (2004–2005) and IISc Bangalore (2005–2007), Postdoctoral Researcher at Yonsei University (2007–2008) and Sunchon National University (2009), Senior Research Scientist at UNIST (2009–2010), Research Professor at Chosun University (2008–2009) and Korea University (2010–2013), and Endeavour Research Fellow at the University of Adelaide (2014).

    EMAIL logo
Published/Copyright: March 16, 2019

Abstract

Supramolecular chemistry is one of the exciting branches of chemistry where non-covalent interactions between molecules and the ensuing supramolecular structures have been studied for various applications. The present review provides a comprehensive outlook on the applications and potentials of supramolecular chemistry in corrosion and biofouling prevention. Reported works associating supramolecular chemistry with corrosion are systematically discussed under two sections: (i) surface coatings and (ii) corrosion inhibitors that include supramolecular polymers, host-guest inclusion compounds, organic-inorganic hybrid materials, and supramolecular structures of graphene, crown ethers, self-assembled monolayers, etc. Different strategies for making antifouling surfaces based on block copolymers/gel systems, host-guest systems, and metal-organic structures are briefed. Cyclodextrin and mesoporous silica-based host-guest systems are extensively discussed, as they are the most prominent materials of current research interest. Future potentials for developments are presented. The review is expected to be beneficial to enhance supramolecular chemistry-related research and development in corrosion and biofouling prevention.

1 Introduction

Supramolecular chemistry, the “chemistry of molecular assemblies,” is a fascinating realm of modern science where researchers are constantly investigating the possibilities of the design of novel supramolecular structures, surfaces, and techniques in different application areas including corrosion and biofouling prevention. Alternate definitions of supramolecular chemistry include “the chemistry of the intermolecular (non-covalent) bond” or “the chemistry beyond the molecule” or “nonmolecular chemistry.” Supramolecular species are branded by the three-dimensional (3D) arrangement of their constituents and by the nature of the intermolecular interactions [ion-ion, ion-dipole, dipole-dipole, hydrogen (H) bonding, π-π, cation-π, CH-π, van der Waals forces, close packing, coordination bonds, hydrophobic effect, etc.] (Steed & Atwood, 2000; Lehn, 2002). The bond strength of these intermolecular bonds ranges from <5 kJ mol−1 for van der Waals forces, 5–65 kJ mol−1 for H bond, and up to 250 kJ mol−1 for an ion-ion interaction and is considerably weaker than that of a normal covalent bond (~350 kJ mol−1 for carbon-carbon single bond) (Schubert et al., 2003). Multimolecular assemblies and complexes of natural molecules have been the main source of motivation for supramolecular chemists. Since the earlier reports on the supramolecular organization (Powell, 1948), a large number of works have been reported on supramolecular structures for different applications including sensors, biomedical systems, and smart stimuli-responsive systems (Lehn, 1995; Szejtli & Osa, 1999; Atwood & Steed, 2004; Atwood et al., 2017).

Supramolecular compounds can be conveniently classified into (i) molecular self-assemblies, (ii) host-guest complexes, and (iii) molecules built to specific shapes (rotaxanes, dendrimers, etc.). A supramolecular self-assembly can be defined as the spontaneous organization of a few or many components forming structurally well-defined supramolecules through non-covalent interactions in a given set of conditions. In the host-guest (molecular recognition – a molecule recognizing a partner molecule) chemistry, a host (a large molecule, an aggregate, or a cyclic compound possessing cavity) binds a guest (another molecule) yielding a host-guest complex (supramolecule). They are also known as inclusion/occlusion/addition compounds. The host systems can be classified into cavitands (hosts possessing intramolecular cavities; examples include crown ethers and spherands) and clathrates [hosts possessing extra-molecular cavities, usually a gap between two or more hosts; examples include calixarene and cyclodextrins (CDs)]. This fascinating arena of research has won the 1987 Nobel prize for Pedersen, Cram, and Lehn. More details on the topic are available elsewhere (Lehn, 1990, 1993, 1994, 2009, 2017; Gale, 2000; Menger, 2002; Oshovsky et al., 2007; Winter et al., 2012; Reinhoudt, 2013; Huang & Anslyn, 2015; Resnati et al., 2015; Teyssandier et al., 2016).

Corrosion is an inevitable devil and causes material destruction and component failures. The worldwide cost of corrosion is projected to be US$ 2.5 trillion, which is comparable to 3.4% of the global gross domestic product (Saji & Cook, 2012; Popoola et al., 2013; Koch et al., 2016). By and large, corrosion can be controlled by proper amendments in the material (e.g. corrosion-resistant alloys), the environment (e.g. corrosion inhibitors), or the material’s surface (e.g. coatings) (Saji & Cook, 2012). Protective surface coatings prevent corrosion of the underlying substrate based on either barrier protection (passive coatings) or active protection (corrosion inhibitors incorporated) (Saji & Thomas, 2007; Hughes et al., 2010; Raja et al., 2010). The concept of smart coatings combines both the active and the passive protection smartly by releasing the inhibitors on demand (see § 2). For more details on the fundamentals of corrosion and methods of control, the reader is referred to bonafide textbooks (Fontana & Greene, 1985; Uhlig & Review, 2008). A number of recent reviews can be found in the present journal emphasizing the importance of novel approaches in corrosion (Eliaz & Latanision, 2007; Taylor et al., 2007; Chiba et al., 2018; Gergely, 2018; Roselli et al., 2018).

Corrosion issues in industries are often correlated with fouling issues (inorganic and biofouling) and pose immense threats to the material’s safety (Reg Bott, 2011). More descriptions on biofouling are provided in § 4.

Despite the extensive history of Corrosion Science and Technology, no comprehensive attempt has been made to systematically address the application of supramolecular chemistry in corrosion prevention strategies. Most of the reviews and books available in this area are on smart coatings (see § 2). A few reviews on polymer/sol-gel/superhydrophobic coatings mentioned different supramolecular interactions (see § 2 and 3). No reviews addressed supramolecular structures for corrosion inhibition. The present work made an effort in this direction where research advancements in corrosion prevention strategies based on supramolecular chemistry are systematically classified and presented in a simple manner (Figure 1). Also, an account on the current research on supramolecular approaches for fabricating antibiofouling surfaces is presented (see § 4), where interesting recent advancements are discussed. Works reported on inorganic-organic hybrid structures [metal-organic frameworks (MOFs), coordination polymers, etc.] (Biradha et al., 2009) are also incorporated, as they form a subset of supramolecular chemistry, the dynamic covalent chemistry (Jin et al., 2013). There is no significant information available on supramolecular chemistry in cathodic protection or inorganic antifouling applications.

Figure 1: 
          Chart showing the application areas of supramolecular chemistry in corrosion and biofouling prevention as presented in this review.
Figure 1:

Chart showing the application areas of supramolecular chemistry in corrosion and biofouling prevention as presented in this review.

2 Surface coatings

Supramolecular concepts have been utilized in organic, inorganic, and organic-inorganic hybrid coatings. This section describes recent research advancements where supramolecular approaches are used in designing more efficient surface coatings.

2.1 Supramolecular polymers

A supramolecular polymer can be defined as a short chain organic material that is held together by non-covalent interactions, for instance, H bonding (Schmuck & Wienand, 2001; Park & Zimmerman, 2006), host-guest chemistry (Harada et al., 2009; Guo & Liu, 2012), metal coordination (Burnworth et al., 2011; Haino et al., 2012), or π interaction (Hill et al., 2004; Song et al., 2007), exhibiting strength and stiffness similar to traditional covalent bonded polymers (Brunsveld et al., 2001; Bouteiller, 2007). In a broader sense, the term supramolecular polymer is also used for self-organized macromolecules of conventional polymers using non-covalent interactions (Žigon & Ambrožič, 2003). They can form stacks, micelles, polymersomes, dendrimers, or 3D cross-linked polymer networks (Berg & Loose; Qi & Schalley, 2014). They are widely investigated in different applications such as liquid crystalline materials, light harvesting systems, smart materials, thermoplastic elastomers, and biomedical materials (Fouquey et al., 1990; Brunsveld et al., 2001; Tellini et al., 2006; Aida et al., 2012; Armao IV et al., 2017).

A few works on supramolecular polyurethanes (PUs) in developing self-healing anticorrosion coatings are available. Even though reported works on supramolecular structures of PUs are available since the 1970s (Yablokov et al., 1970), only a few reports are dedicated to their application in corrosion prevention coatings (Ciesielski et al., 2009; De Cat et al., 2011), and this can be primarily due to the predictable inferior barrier properties. It is accepted that the barrier properties of polymer coatings are primarily attributed to the covalent bonding. The complete replacement of covalent interactions with non-covalent interactions, hence, can be detrimental for corrosion protection. On the other hand, supramolecular polymers are advantageous with regard to processability, self-healing capability, and recyclability owing to their monomer-polymer reversible transitions (Folmer et al., 2000) (see § 2.2). Recent studies have shown that partial replacement of covalent bonding with non-covalent interactions can provide self-healing properties without losing the barrier effect. Deflorian et al. reported a novel supramolecular PU coating where covalent bonds were partly replaced with non-covalent H bonds; this provided self-healing properties in the coating owing to the reversibility of the non-covalent interactions. The study evaluated the synergistic action of the self-healing ability and barrier properties on damaged (scratched) coatings. Their electrochemical impedance spectroscopy (EIS) studies clearly showed that the barrier properties are certainly associated with the covalent bond network. However, partial replacement of covalent bonds (up to ~25%) does not destructively affect the barrier properties of the resins. The work demonstrated the possibility of using multiple H bonds in coatings, as it can provide self-healing and, hence, protection from corrosion (Deflorian et al., 2013).

One disadvantage of the supramolecular polymers is the comparably lower stability at stimulated conditions of heat or light. Hence, different efforts are ongoing to make supramolecular composites where suitable additives/fillers are used to overcome the drawbacks. Such materials can offer better mechanical properties and are attractive for tough, corrosion-resistant, and healable coatings (Lin et al., 2017). Leon et al. patented a bituminous polyolefin composite capable of forming supramolecular assembly comprising one or more associative groups for waterproofing coatings (Leon & Barreto, 2014). More details are provided in the subsequent sections.

2.2 Nano/microcontainers in coatings

Structural transitions of supramolecular assemblies allow stimuli responsiveness, which can be used for on-demand release smart coatings. When compared to the direct incorporation of the corrosion inhibitor in a coating, encapsulating them in suitable nanocontainers can yield better results and can avoid probable “inhibitor-coating matrix” adverse reactions. The nanocontainers dispersed in primers can release the encapsulated inhibitors in a controlled way, which can be adjusted to happen together with the corrosion initiation or local environment changes (temperature/pH/pressure changes, radiation, mechanical action, etc.) by utilizing reversible covalent bonds or weaker non-covalent interactions. Smart coatings can be classified based on functionalization, which can have multiple functions such as self-cleaning, self-healing, antibiofouling, and anticorrosion. More details on smart coatings can be found elsewhere (Schubert et al., 2003; Zheludkevich et al., 2007; Shchukin et al., 2008; Baghdachi, 2009; Esser-Kahn et al., 2011; Hollamby et al., 2011; Ariga et al., 2012; Barthes et al., 2012; Saji & Cook, 2012; Zheludkevich et al., 2012; Shchukin & Möhwald, 2013; Falcón et al., 2014; Makhlouf, 2014; Montemor, 2014; Wei et al., 2015; Stankiewicz & Barker, 2016; Zahidah et al., 2017; Nazeer & Madkour, 2018; Zhang et al., 2018a).

Many research efforts are currently underway in preparing supramolecular corrosion inhibitor nanocontainers. Porous, hollow, or layer-structured materials/assemblies are often chosen for this purpose. § 2.2.1 to 2.2.4 briefly explain the advancements in this area. Among them, supramolecular concepts are majorly utilized in the host-guest systems (§ 2.2.2). Other sections are briefed.

2.2.1 Polymeric capsules

Polymeric micro/nanocapsules have been investigated widely as carriers of core materials. Here, the active constituent (core) is packed within another material (shell) to guard the core from the immediate environment. Either monomers/prepolymers (by methods such as emulsion polymerization, suspension polymerization, interfacial polycondensation, etc.) or polymers (by suspension cross-linking, solvent extraction, etc.) can be utilized for the fabrication of micro/nanocontainers. Other microencapsulation methods include extrusion, spray drying, coacervation, precipitation, and sol-gel. A common, easy method is the in situ polymerization, oil-in-water emulsion (Shukla, 2006), where the polymerization process propagates on the core material droplet, yielding a solid polymeric shell. Polyurea (PUA)-formaldehyde containers are one of the first strategies developed in this area (White et al., 2001). PU is a commonly employed material. More details on polymeric nanocontainers are described elsewhere (Abu-Thabit & Makhlouf, 2015; Wei et al., 2015).

Latnikova et al. developed a method to encapsulate inhibitors by interfacial polymerization with three different high cross-link density polymers [PU, PUA, and polyamide (PA)]. It was found that the type of polymer had a significant impact on the structure of the capsules formed. The PU and PUA compact particles loaded with the inhibitors were found to be homogeneously disseminated in the polymer matrix when compared with the PA capsules (Latnikova et al., 2012). Gite et al. fabricated PUA microcapsules with quinoline incorporation. Well-defined, thermally stable (up to 200°C) globular microcapsules with mean diameters of 72 and 86 μm were obtained when xylene and ethyl acetate solvents were used, respectively. Ultraviolet (UV) spectroscopy and weight loss studies showed that the release rate from the PUA microcapsules was higher when xylene solvent was used. Electrochemical corrosion studies revealed that a corrosion rate as low as 0.65 mm year−1 was obtained for a PU coating loaded with 4 wt.% of polymer capsules containing quinoline corrosion inhibitor for mild steel in 5 wt.% HCl (Gite et al., 2015). Huang et al. fabricated PU microcapsules encompassing hexamethylene diisocyanate (core material) via interfacial polymerization of methylene diphenyldiisocyanate prepolymer and 1,4-butanediol in an oil-in-water emulsion. The encapsulation occurs in situ synchronously with polymeric shell formation. Their accelerated corrosion studies showed significantly improved performance for the self-healing coating (Huang & Yang, 2011).

Li et al. reported pH-responsive polystyrene (PS) as a polymeric nanocontainer loaded with corrosion inhibitors for anticorrosion coatings. Corrosion inhibitors [benzotriazole (BTA)] are captured in the PS matrix during polymerization, which was succeeded by the adsorption of a highly branched polyethylenimine as a controlled release system of BTA to external pH (Li et al., 2014). Kakaroglou et al. studied encapsulated sodium molybdate inhibitor for steel in brackish water. Capsules (inhibitor reservoirs, ~10 μm) that consisted of PUA and PU were prepared as a result of the reaction of isocyanates with H2O of the emulsion and the surfactants, and were well distributed over the thickness of the coating. The PU coating with the incorporated capsules showed remarkably improved corrosion resistance; however, the long-term salt spray studies presented decreased barrier performance after 360 h, which was suggested to be due to the high solubility of the molybdate inhibitor (Kakaroglou et al., 2016). Maia et al. reported assembly of PUA microcontainers loaded with 2-mercaptobenzothiazole (MBT). Corrosion studies of the microcapsule-incorporated hybrid sol-gel coating on the 2024 Al alloy showed that the MBT encapsulated capsules did not affect the coating’s barrier properties, and an improvement in coating adhesion was observed (Maia et al., 2016). Latnikova et al. reported an interesting concept by the synergistic action of the passivation effect and hydrophobicity where alkoxysilanes having long hydrophobic tails were encapsulated in PU microcapsules. On coating damage, the released alkoxysilanes form a covalent interaction with the –OH groups on the metal surface, resulting in an inactive electrochemical film formation. The hydrophobicity attributed to the long hydrocarbon tails improved the barrier properties of the film by preventing penetration of H2O and aggressive ions. Their scanning vibrating electrode technique (SVET) studies showed enhanced corrosion prevention by the coated substrate in 0.1 M NaCl (Latnikova et al., 2011). A recent review on polymeric nanocontainers is available where comprehensive details can be found (Wei et al., 2015). Details on supramolecular polymers such as CDs are presented in the next section.

Replacement of the capsules with microgels has been widely investigated. An example of such a system is the PUA microgel particles containing 2-methylbenzothiazole (Cai et al., 2011; Cécile et al., 2018). More details on microgel coatings are discussed in § 4.

2.2.2 Host-guest complexes

Stimulus feedback anticorrosion coatings, fabricated by the dissemination of “guest” materials (embedded smart nanocontainers loaded with inhibitors) into “host” matrix (e.g. sol-gel or polymer barrier coating), have attracted much research attention. The guest component is a nanoscale container with adjustable voids or tailored surfaces where the inhibitors can be encapsulated. The expected properties of the guest are its high loading capability, compatibility with the system, stimulus responsiveness, controlled release, zero premature release (before corrosion starts), and prompt high sensitivity. The extent of the nanocontainers in the coating needs to be adjusted without affecting the coating barrier effect. Literature analysis revealed that most of the recently reported works utilized host-guest chemistry based on mesoporous silica or CDs. More details on the fundamentals of the host-guest coatings are described somewhere else (Shchukin et al., 2006; Shchukin & Möhwald, 2007a; Saji & Cook, 2012; Makhlouf, 2014; Montemor, 2014; Popoola et al., 2014; Wei et al., 2015; Stankiewicz & Barker, 2016; Ding et al., 2017; Zahidah et al., 2017).

2.2.2.1 Mesoporous silica based

Mesoporous silica nanocontainers (MSNs) have enticed significant research attention due to their large specific surface area, easy surface functionalization, biocompatibility, high stability, and controllable pore diameter (Nguyen et al., 2006; Ruiz-Hernández et al., 2007; Chang et al., 2010; Vivero-Escoto et al., 2010; Maia et al., 2012; Wei et al., 2015; Zhao et al., 2017). Borisov et al. investigated a silica-zirconia sol-gel coating doped with BTA-loaded MSNs, and the study revealed that the MSNs could be inserted with high inhibitor loading and can provide superior anticorrosion efficiency. The mechanically stable nanocarriers were distributed homogeneously throughout the coating, blocked micropores, and cracks and demonstrated improved barrier properties (Borisova et al., 2011). The authors in subsequent works showed that lower (0.04 wt.%) concentrations of embedded nanocontainers in the coating led to good barrier properties, but poor corrosion inhibition due to inhibitor deficiency. In contrast, higher concentrations of the nanocontainers (0.8–1.7 wt.%) resulted in coating degradation, introduced diffusion paths, and resulted in a decreased barrier effect. The EIS and SVET studies showed that a 0.7 wt.% MBT-MSNs-incorporated coating exhibited the best active/passive corrosion protection (Borisova et al., 2012, 2013). Zheludkevich et al. reported a layer-by-layer (LbL) assembly where pH-sensitive silica nanoparticles were covered with polyelectrolyte and BTA layers, which was subsequently assimilated into a sol-gel-derived hybrid film [a SiO2/PEI/PSS/BTA/PSS/BTA layer structure where PEI and PSS corresponds to poly(ethylene imine) and poly(styrene sulfonate), respectively]. The inhibitor (BTA) loading was ~95 mg/1 g of SiO2 particles. The EIS measurements demonstrated better corrosion resistance for the nanocontainer-embedded coating when compared to the bare coating and the active coating with direct inhibitor impregnation (without nanocontainers). The enhancement was attributed to the improved adhesion, the additional barrier effect of nanocontainers, and the slow inhibitor release. When corrosion initiated, the local pH changed and, hence, opened the polyelectrolyte shell of the nanocapsules releasing BTA. Once corrosion suppressed, the local pH recovered, and thereby the polyelectrolyte shell closed (Zheludkevich et al., 2007).

Chen and Fu synthesized hollow mesoporous silica (HMS) nanocontainers via poly(vinylpyrrolidone) and cetyltrimethylammonium bromide templates, and subsequently, supramolecular nanovalves (pH-sensitive) comprising ucurbit[6]uril (CB[6]) rings and bisammonium stalks were anchored to the HMS’ exterior surface. At neutral pH, the CB[6] encompassed the bisammonium stalks firmly (nanopore openings closed), and once the pH augmented, deprotonation of the stalks and de-threading of the CB[6] occurs (nanopore openings disclosed with inhibitor release) (Figure 2A). The synthesized HMSs were spherical in shape with diameters ranging from 0.5 to 0.8 μm, and the shell thickness was ~100 nm (Figure 2). The fabricated HMSs were initially functionalized with 3-chloropropyltriethoxysilane (CPTES) and subsequently treated with 1,4-butanediamine (BDA) to make intact stalks on the surface. Afterward, the inhibitor (BTA) and the CB[6] were added to fabricate HMSs with pH-responsive nanovalves (Figure 2B). The pH-controlled release profile of the inhibitor showed two distinct regions: the quick release and the sustained-release areas. The assembled HMS design was found to be helpful in preventing the unwanted inhibitor leakage in neutral pH (~1.5% of BTA leaked for 120 min). At neutral conditions, the protonated BDA units can produce firm inclusion complexes with CB[6] through ion-dipole and hydrophobic interactions. At higher pH ranges, the originally protonated BDA units were partly or completely deprotonated, causing dissociation of the supramolecular complexes (Chen & Fu, 2012a). The authors in a related work reported acid-responsive HMSs based on α-CD/aniline complex in a sol-gel coating (Chen & Fu, 2012b).

Figure 2: 
                (A) Schematic illustration showing the operation of pH-responsive nanovalves. (Right) TEM and SEM images of HMSs. (B) The assembly process of HMSs where the steps correspond to (i) CPTES, dry toluene, reflux/95°C/24 h, (ii) BDA, dry toluene, reflux/12 h, and (iii) BTA, acetone, 24 h; then CB[6], NH4OAc buffer solution, pH 6.5, 24 h (reproduced with permission from Chen & Fu, 2012a; Copyright @ IOP Science).
Figure 2:

(A) Schematic illustration showing the operation of pH-responsive nanovalves. (Right) TEM and SEM images of HMSs. (B) The assembly process of HMSs where the steps correspond to (i) CPTES, dry toluene, reflux/95°C/24 h, (ii) BDA, dry toluene, reflux/12 h, and (iii) BTA, acetone, 24 h; then CB[6], NH4OAc buffer solution, pH 6.5, 24 h (reproduced with permission from Chen & Fu, 2012a; Copyright @ IOP Science).

Ding et al. investigated a novel organic silane-based corrosion potential-stimulus feedback active coating (CP-SFAC) for magnesium (Mg) alloys, based on the redox-responsive self-healing concept (surface potential drop after localized corrosion onset was exploited as the trigger) (Ding et al., 2016, 2017). The design utilized corrosion potential-stimulus responsive nanocontainers (CP-SNCs) that are composed of Fe3O4@mSiO2 as magnetic nanovehicles and bipyridinium ⊂ water-soluble pillar[5]arenes (BIPY ⊂ WP[5]) assemblies as gatekeepers/disulfide linkers. The Fe3O4@mSiO2 synthesized by the reverse microemulsion method showed a core-shell structure with ~50-nm-thick amorphous SiO2 shell. The Brunauer-Emmett-Teller (BET) surface area, pore volume, and Barrett-Joyner-Halenda (BJH) pore diameter of Fe3O4@mSiO2 were 572.6 m2 g−1, 0.97 cm3 g−1, and 2.49 nm, respectively. The made-up CP-SNCs were subsequently assimilated into a sol-gel hybrid coating and coated on an AZ31B alloy (CP-SFAC). At corrosion potentials (–1.5 V vs. SHE, Mg alloy), the inhibitor gets released promptly because of the cleavage of disulfide linkers and the removal of the supramolecular assemblies. CP-SFAC displayed excellent anticorrosion performance in 0.1 M NaCl with rapid self-healing capability. Shortening the distance between the CP-SNCs and the alloy surface was found to enhance its availability, which was helpful to timely respond to the corrosion potential-stimulus (Ding et al., 2017).

Even though the supramolecular functionalization helps to avoid the premature leakage of the inhibitor, it is difficult to prevent them completely. Zheng et al. reported an effective prevention strategy for premature leakage through organosilyl modification at the outlet of mesopores that also enhanced adhesion of the containers with the host matrix. The authors synthesized en-(COO)-MCM-41 and en-(COO)3-MCM-41 by the post-functionalization reaction between silica and N-(3-trimethoxysilylpropyl)-ethylenediamine or N-(trimethoxysilylpropyl)-ethylenediamine triacetic acid trisodium salt in reflux of toluene (where MCM-41 and en correspond to silica nanoparticles and silylpropyl-ethylendiamine, respectively). The functionalized silica nanoparticles (FSNs 2–6), having a pseudospherical shape (Figure 3), were intact with diameters at the range of 70–90 nm and showed only minor enlargement when compared with MCM-41. The porosity as evaluated by N2 sorption showed a type IV isotherm (Figure 3A). Native MCM-41 displayed a sharp adsorption step at intermediate P/P0 values (between 0.2 and 0.4), suggesting its potential capability for inhibitor loading. Functionalized FSNs exhibited diminished isotherm plateau, consistent with the pore volume shrinkage (ca. 30%), which indicated a reduced theoretical uptake amount of the inhibitor. Also, the pore diameter of the native MCM-41 gets reduced by ~1 nm after the treatment with the en groups (peak II, Figure 3B). It is further reduced to 2.5 nm after carboxylation (peak III). As shown in Figure 3C, the native MCM-41 exhibited the maximum BTA loading of 34.5 wt.%, which corresponds to the largest pore volume. The uptake capacities were similar between FSN 4 and FSN 5, which were marginally lower than that of FSN 2 (27.2 wt.%). Figure 3C and D also unveiled that the release capability of FSN 2 was only 60% of the total loaded inhibitor, which indicated a noteworthy interaction between the diamine groups and the guest molecules. The electrostatic attraction between the negatively charged BTA (dissociation of 1H-BTA, pKa=6.64) and the −NH3+ groups (on the inner wall and orifice of mesopores) retarded the inhibitor release. The native MCM-41, FSN 4, and FSN 5, on the other hand, can release 80% of the stored inhibitors and at higher release rates. The nanocontainer-incorporated coating showed good barrier effect, long-term self-healing effect, and stimuli responsiveness to local pH change (Zheng et al., 2015).

Figure 3: 
                (Left) TEM and SEM images of FSN 4 (A, B) and FSN 5 (C, D) (scale bar: TEM, 100 nm; SEM, 200 nm). (Right) N2 sorption isotherms (A) and pore diameter distribution (B) for MCM-41 (I), FSN 2 (II), FSN 4 (III), FSN 5 (IV), and FSN 6 (V). (C) The uptake and release capacities of the nanocontainers by TGA and UV-vis, respectively. (D) Release profile plots of BTA from loaded native MCM-41 (I), FSN 2 (II), FSN 4 (III), FSN 5 (IV), and FSN 6 (V) at neutral pH (reproduced with permission from Zheng et al., 2015; Copyright @ The American Chemical Society).
Figure 3:

(Left) TEM and SEM images of FSN 4 (A, B) and FSN 5 (C, D) (scale bar: TEM, 100 nm; SEM, 200 nm). (Right) N2 sorption isotherms (A) and pore diameter distribution (B) for MCM-41 (I), FSN 2 (II), FSN 4 (III), FSN 5 (IV), and FSN 6 (V). (C) The uptake and release capacities of the nanocontainers by TGA and UV-vis, respectively. (D) Release profile plots of BTA from loaded native MCM-41 (I), FSN 2 (II), FSN 4 (III), FSN 5 (IV), and FSN 6 (V) at neutral pH (reproduced with permission from Zheng et al., 2015; Copyright @ The American Chemical Society).

Zhao et al. fabricated hollow silica nanocapsules with magnesium hydroxide (inorganic salt) precipitation in shells (HSNs-M) through an inverse emulsion polymerization where the inhibitor, BTA, has been captured in HSNs during the process of polymerization (HSNs-M/BTA). Thermogravimetric analysis (TGA) showed that the inhibitor loading was 287.17 mg/1 g (HSNs-M/BTA), whereas the corresponding loading in HSNs without salt precipitation was 520.68 mg. UV–vis spectroscopic release studies at different pH values showed that the inhibitor release could be initiated by pH change. The amount of released BTA from the salt-precipitated HSNs in acidic solution (~2.21 mg l−1) was significantly higher than that of the HSNs without salt precipitation. EIS and Tafel analysis showed that the HSNs-M/BTA-incorporated coating possesses good anticorrosive protection for Al in 0.1 M NaCl, which was correlated to the controlled inhibitor release and improved surface hydrophobicity. Despite the lower inhibitor loading, the formation of magnesium hydroxide precipitates in shells was found to be helpful in providing long-term corrosion protection due to the slow rate of release of inhibitors in neutral and alkaline pH. At acidic pH, the prepared HSNs-M/BTA immediately released a few amounts of BTA and inhibited corrosion initiation (Zhao et al., 2017).

Redox-triggered smart nanocontainers (RTSNs), assembled by mounting supramolecular switches (β-CD functionalized with ferrocene) onto the external surface of MSNs, were reported by Wang et al. With a redox stimulus, a reversible transition from self-complexation to self-dissociation of the supramolecular switches happens, which controls the inhibitor (p-coumaric acid, CA) release encapsulated in the MSNs. A bi-layered nanocomposite coating [fabricated by consecutive deposition of (i) Ce(IV)-doped ZrO2-SiO2 and (ii) RTSN-incorporated ZrO2-SiO2 coatings] on the AA2024 Al alloy showed higher barrier performance and efficiently deferred corrosion initiation on the Al alloy (in 0.5 M NaCl, 20 days). On coating damage, Ce(IV) salt met with RTSNs in the scratched area and opened the supramolecular switches, resulting in the release of the inhibitor. Meanwhile, Ce(IV) was reduced to Ce(III) (Wang et al., 2017a).

Liang et al. reported a facile one-step technique to assemble acid and alkali dual-stimuli-responsive SiO2-imidazoline (IMI) nanocomposites (SiO2-IMI) with high inhibitor (1-hexadecyl-3-methylimidazolium bromide) loading capacity. The SiO2-IMI were homogeneously dispersed into the hydrophobic SiO2 sol, and a host-guest feedback active coating with a superhydrophobic surface (SiO2-IMI@SHSC) was realized on the AA2024 Al alloy by dip coating where the presetting down- and up-steps were reiterated four times to attain a coating thickness of ~1.0 μm. The hydrophobic SiO2 sol doped with SiO2-IMI was used only for the first-round dipping to concentrate SiO2-IMI near the metal surface. SiO2-IMI@SHSC presented a superhydrophobic surface, having a water contact angle of 150.5°. Notably, the random accumulated hydrophobic SiO2 nanoparticles improved the root-mean-square surface roughness, which was calculated as 51 nm by atomic force microscopy (AFM) and was helpful in enhancing the surface hydrophobicity. SiO2-IMI@SHSC displayed a decent long-term anticorrosion performance in 0.5 M NaCl, attributed to the superhydrophobic and self-healing active corrosion protection by the assimilated SiO2-IMI (Liang et al., 2016).

2.2.2.2 CD based

The cyclic oligomers of glucose recognized as CDs are one of the main supramolecular hosts that can provide different self-assembled structures and functionalities. CDs are attractive due to their availability, biocompatibility, and cost factor (Szejtli, 1998; Szejtli & Osa, 1999). Table 1 and Figure 4 compare the interesting properties of key members of the CD family (α-, β-, and γ-CDs). CDs consists of six to eight D-glucopyranoside units connected edge to edge, with the faces pointing inward, and headed for a central hydrophobic cavity wherein the internal cavity can accommodate guest molecules (Saenger, 1980; Raymo & Stoddart, 1997). Their interior surface is hydrophobic, whereas the external surface is hydrophilic (Rekharsky & Inoue, 1998; Engeldinger et al., 2003). The well-documented ability of CDs to form host-guest compounds has been exploited in different directions including the CD-based rotaxanes and pseudorotaxanes (Stoddart, 1992; Collier et al., 2001) and has been investigated for a number of applications (Patra et al., 2013; Chen et al., 2016; Xiong et al., 2017).

Table 1:

Properties of different forms of CDs (reproduced with permission from Rahimi & Amiri, 2016; Copyright @ Springer).

Property α-Cyclodextrin β-Cyclodextrin γ-Cyclodextrin
Number of glucopyranose units 6 7 8
Molecular weight (g/mol) 972 1135 1297
Solubility in water at 25°C (w/v%) 14.5 1.85 23.2
Outer diameter (Å) 14.7 15.3 17.5
Cavity diameter (Å) 5.1 6.2 8.1
Height of torus (Å) 7.8 7.8 7.8
Cavity volume (Å3) 174 262 427
Figure 4: 
                (A) Molecular structure of CDs. (B) Schematic showing formation of an inclusion complex with guest molecule. (C) Results of the 1000-h salt spray test of coated Al alloy (reproduced with permission from Amiri & Rahimi, 2014, 2015; Rahimi & Amiri, 2016; Copyright @ Springer).
Figure 4:

(A) Molecular structure of CDs. (B) Schematic showing formation of an inclusion complex with guest molecule. (C) Results of the 1000-h salt spray test of coated Al alloy (reproduced with permission from Amiri & Rahimi, 2014, 2015; Rahimi & Amiri, 2016; Copyright @ Springer).

Amiri and Rahimi used the α, β, and γ forms of a CD-based inclusion complex containing organic inhibitors [MBT or 2-mercaptobenzimidazole (MBI)] to create on-demand release anticorrosion coating. The formation of inclusion compounds was characterized by proton nuclear magnetic resonance (1H-NMR), X-ray diffraction (XRD), scanning electron microscopy (SEM), differential scanning calorimetry, and Fourier-transform infrared spectroscopy (FTIR), where the hydrophobic cavity of the CD has encapsulated the benzyl part of the MBT/MBI. The salt spray test revealed that a larger size of a nanocapsule, a higher nanocapsule content, and a thicker coating afforded improved corrosion protection. Corrosion initiation of the coated Al substrate occurred after 6 days of salt spray on the bare sample and increased with increase in exposure time, but the samples with the nanocontainer-based coatings did not rust even after 1000 h. Figure 4C shows a typical result of the salt spray test, which was supported by their electrochemical measurements in 5% NaCl (Amiri & Rahimi, 2015; Rahimi & Amiri, 2016).

A functional nanoreservoir based on multi-walled carbon nanotubes (MWCNTs) and β-CDs was produced via a novel and simple chemical process. The SEM analysis revealed that there was a notable expansion of MWCNTs after being modified by β-CD, which indicated that β-CD was mounted on the surface of the MWCNTs. The transmission electron microscopy (TEM) images showed that it was an assembly of individual MWCNTs with heterogeneous layers on the surface, which was consistent with the results of the XRD, FTIR, TGA, and BET. The β-CD/MWCNTs were subsequently loaded with a benzimidazole inhibitor and blended into epoxy as a filler to augment its anticorrosion performance. A scarification test in NaCl solution for 12 h supported the anticorrosion and self-healing capabilities, which were ascribed to the controlled inhibitor release. The EIS studies suggested that despite the decreased barrier property of the coating with time, the encapsulated corrosion inhibitor played a significant role in metal protection (He et al., 2016). More works on CDs are described in § 3 and § 4.

2.2.3 Inorganic clay-based nanocontainers

As a low-cost nanocontainer, several investigations were made on halloysite clay nanotubes. Selective alterations of halloysite surfaces (inner and outer) can be realized by manipulating supramolecular interactions. The strong surface charge of halloysite tubules can allow multilayer assemblies at the nanoscale through LbL adsorptions, which can be covered with polyelectrolytes to form nano-shells, blocking the tube ends and achieving controlled release of encapsulated inhibitors. The release can be regulated by an external stimulus (e.g. pH changes), as the polyelectrolyte multilayers are sensitive to changes in the surrounding environment (Abdullayev et al., 2009). Studies have suggested that their main drawback is low loading efficiency (Borisova et al., 2012, 2013). In addition to the carriers of corrosion inhibitors, the halloysite nanotubes (HNTs) can be utilized as a reinforcing filler for barrier coatings. Several good reviews and books are available on this topic (Shchukin & Möhwald, 2007b; Lvov et al., 2008; Shchukin et al., 2008; Abdullayev et al., 2009; Fix et al., 2009; Zheludkevich et al., 2010; Falcón et al., 2015; Zahidah et al., 2017; Lazzara et al., 2018).

Falcon et al. reported the EIS and SVET results for carbon steel coated with a primer layer doped with dodecylamine (DAM) inhibitor-loaded HNTs (10 wt.%). The coating showed self-healing capability by the release of the captured DAM initiated by pH variations. The nanotubes were subjected to a pre-treatment (before inhibitor loading) in 2 mol l−1 H2SO4 for 6 and 12 h. The pre-treatment was found to improve tube-loading efficiency and henceforth the inner space availability for encapsulation. Carbon steel panels were coated with a commercial alkyd paint modified with 10 wt.% of DAM-loaded HNTs as a primer layer (94-μm dry thickness) and subsequently with a second layer (~99 μm) without HNTs. The kinetics of the inhibitor release as a function of pH was studied by EIS. Bode plots of the two-layer-coated sample containing 0 and 10 wt.% of HNTs in the primer showed a capacitive response extending from high to medium frequencies, indicating defect-free coating. The addition of HNTs caused only a marginal decrease in impedance modulus at low frequencies, indicating that HNTs do not affect the properties of the coating barrier markedly. This was attributed to the small size and good dispersion of HNTs in the paint, which prevented possible agglomeration and hence permitted homogeneous dissemination in the coating layer. The salt spray test after 720 h showed severe corrosion on the coated samples without HNTs, whereas the coated samples with 10 wt.% of DAM-loaded halloysite showed fewer corrosion products with no blistering around a scribe, avoiding the spread of under-paint corrosion (Falcón et al., 2015).

A number of studies on layered double hydroxides (LDHs) or anionic clays that comprise stacks of positively charged layers of mixed-metal hydroxides, stabilized by anions and solvent molecules are available. More details on LDHs are described elsewhere (Álvarez et al., 2010; Rosero-Navarro et al., 2010; Tedim et al., 2010; Zheludkevich et al., 2012; Figueira et al., 2016). It is well known that inorganic clays, such as montmorillonite, were widely employed in nanocomposite coatings to improve the physical and rheological properties of polymers (Zamanizadeha et al., 2015). Hence, clay-based stimuli-responsive coatings with optimized nanocontainers are expected to be good in terms of both self-healing and barrier layer properties.

2.2.4 Polyelectrolyte multilayer-based systems

Polyelectrolyte multilayers are another method investigated for on-demand release coatings. Polyelectrolytes (polymer+electrolyte) consisting of the fraction of monomeric units with ionized functional groups (cationic/anionic polyelectrolytes) can be assembled on the surface of nanoparticles via an LbL approach. Coating with several functionalities can be created with the stepwise electrostatic assembly LbL deposition procedure involving oppositely charged surface species. Charged molecular or supramolecular building blocks can be assimilated into the layered architecture. The encapsulated inhibitors will be released in a regulated manner when the confirmation of the polyelectrolyte molecules changes due to fluctuations in pH. A number of works are available on the topic where more details can be found (Biesalski et al., 2002; Zheludkevich et al., 2007; Shchukin & Möhwald, 2007a, Grigoriev et al., 2009; Skorb et al., 2009; Andreeva et al., 2010; Wei et al., 2015; Figueira et al., 2016; Stankiewicz & Barker, 2016; Dewald & Fery, 2017).

2.3 Organic-inorganic structures

Organic-inorganic hybrid materials have attracted significant research attention for their potential applications in various fields including nanomachines (Lee et al., 2009), sensors (Coe et al., 2002), catalysts (Saparov & Mitzi, 2016), and energy materials (Bera & Haldar, 2016). These compounds are expected to exhibit additional and novel properties in addition to the intrinsic properties found in the parent materials (Gómez-Romero & Sanchez, 2005). Because of the binding strength of the supramolecular interactions, the metal-to-ligand interaction is a favorite that can offer a large diversity in thermodynamic stability and kinetic lability (Schubert & Eschbaumer, 2002; Beck et al., 2005). The bond energies of the resulting structures can display a wide variation, from very weak to energies close to that of covalent bonds (Wilkins, 2003). The properties of these compounds can be finely tuned through the proper selection of the metal and the ligands.

Among these MOFs [crystalline porous hybrid materials containing metal ions/metal-oxo units coordinated by electron (e)-donating organic ligands] are a comparatively new class of nanoporous materials that have shown great potential in different application areas such as gas storage and separation, energy storage and conversion, sensing, catalysis, drug delivery and imaging, and corrosion inhibition (Yaghi et al., 1995; Morozan & Jaouen, 2012; Choi et al., 2015; Kumar et al., 2017a,b). Some works on MOFs utilizing host-guest concepts (Li et al., 2009) and various 2D and 3D supramolecular assemblies (He et al., 2011; Zhang et al., 2013; Tian et al., 2014; Tian et al., 2016) are available. Dopamine grafted MOFs (Wang et al., 2017b), binary linear saturated carboxylates of Zn (Mesbah et al., 2011), Co-, Ni-, and Cu-based MOFs (Kumaraguru et al., 2017), etc., have been reported in anticorrosion coating applications. They can effortlessly form MOF-polymer/inorganic composite anticorrosion coatings.

Wang et al. reported a novel environmentally friendly dopamine (DA)-MOFs possessing a distinct structure with adjustable pore size, where DA was grafted on the MOF exterior surface. DA-MOF structures were confirmed by FTIR, TG, and N2 adsorption tests. The synthesis technique employed was found to be helpful in improving their dispersion in the waterborne epoxy resin and the coating cross-linking density. Salt spray tests conducted on coated carbon steel with pure epoxy, epoxy containing 0.3, 0.5, 0.7, 1.0, and 2.0 wt.% DA-MOFs, showed that serious rusting occurred for the pure epoxy resin, whereas little rust/pitting with no blistering was observed for a 0.5 wt.% DA-MOF coating, indicating enhanced barrier properties. EIS studies showed resistance values >3.18×108 Ω cm2 for the coating with optimum DA content. The results also demonstrated that when the DA filler was too little, the protection offered was not good; conversely, when the filler content was high, they aggregate and badly affected the coating performance (Wang et al., 2017b).

Kumaraguru et al. synthesized Co, Ni, and Cu MOFs based on the trimesic acid ligand. Field emission SEM images showed that Ni-MOF, Cu-MOF, and Co-MOF, respectively, showed 1D nanorod, macroporous foam-like, and large chunky particle morphologies. EIS studies of MOF pigment-incorporated paint-coated mild steel in 3.5% NaCl and 0.1 N HCl showed that the corrosion prevention capability of the coating was in the order Ni-MOF>Co-MOF>Cu-MOF, and the variation was attributed to the difference in morphologies. The lower corrosion resistance property of Cu-MOF was associated with the porous foam morphology in which the NaCl and HCl solution effortlessly penetrates through the pores. The nanorod morphology and compact packing of the Ni-MOF were suggested to be beneficial. Adhesion experiments showed that epoxy coating with optimum DA-MOFs improved the coating adhesion considerably (Kumaraguru et al., 2017).

Mesbah et al. reported Zn-based MOFs, the binary Zn-carboxylates ZnCnCn′ [Cn and Cn′=CH3(CH2)n−2COO] which were employed as corrosion-protective coatings on electrogalvanized steel as a replacement for phosphating treatments in automotive processes (Mesbah et al., 2011). Zhang et al. employed a simple ligand-assisted conversion approach to transform ZnAl-CO3 LDH precursor buffer layers to well-intergrown zeolitic imidazolate framework (ZIF-8) coatings on Al. Electrochemical polarization studies showed that the ZIF-8-coated Al showed corrosion current densities ~4 orders of magnitude inferior to that of bare Al. The improved performance was attributed to the inherent hydrophobicity and water stability of ZIF-8 as well as to the uniform and well-intergrown microstructures (Zhang et al., 2018b).

The supramolecular chemistry of phosphonate ligands has high importance in corrosion research. Demadis et al. have provided a detailed account of metal phosphonate anticorrosion coatings (Demadis et al., 2012). Zang et al. reported two alkaline earth metal phosphonates [M(4-cppH2)2], where M corresponds to Sr or Ba (for compounds 1 and 2) and 4-cppH3 corresponds to 4-carboxylphenylphosphonic acid. Compound 1 has a chain structure made up of edge-sharing {SrO8} polyhedra and {PO3C} tetrahedra, whereas the edge-sharing {BaO8} polyhedra were linked by the {PO3C} tetrahedra to form a 2D inorganic layer in compound 2. Adjacent chains in compound 1 or layers in compound 2 were cross-linked by H bonds, creating 3D supramolecular assemblies. Corrosion studies on the metal phosphonate-coated Mg alloys showed that both compounds 1 and 2 presented considerably enhanced anticorrosion behavior when compared to the bare substrate (Zang et al., 2011). Several hydrophobic and water-stable MOFs reported in the literature have the potential for application in corrosion prevention coatings (Loiseau et al., 2004; Park et al., 2006; Cavka et al., 2008; Marmisollé et al., 2015).

Organosilicon-based structures are explored for developing self-cleaning hydrophobic surfaces (Feher et al., 1989; Loy & Shea, 1995). Maji and Haldar in a recent work described the design and assembly of a novel self-cleaning, hydrophobic, pollution-protective coating comprising polyhedral oligomeric silsesquioxane (POSS) and diphenylalanine. The coating was found to be multipurpose and was effective against corrosion and bacterial attack. The POSS improved the hardness, stability, and thermo-compatibility, whereas the diphenylalanine motif controlled the self-assembly and exhibited distinctive hydrophobicity. The hybrid building blocks self-assembled non-covalently in an antiparallel way to form a supramolecular layer-like structure with better roughness (Maji & Haldar, 2017). Longhi et al. reported that the integration of POSS enhanced the barrier properties of the epoxy coating, due to the greater cross-linking that happened between the resin and the POSS. Three POSSs (glycidylisobutyl, triglycidylisobutyl, and glycidyl-POSSs) were studied with epoxy resin, and the authors observed the best corrosion resistance properties with the glycidylisobutyl-POSS-epoxy-coated sample (Longhi et al., 2017). More details on MOFs are provided in § 3 and § 4.

2.4 Others

A few interesting works are available on dendrimer-based (Crooks et al., 2001; Zimmerman & Lawless, 2001) and graphene-based coatings (Zu & Han, 2009), where supramolecular interactions are utilized. Graphene-based corrosion-preventive and self-healing coatings can be attractive as they have several advantages such as low cost, thermal/chemical stability, environmental friendliness, and high thermal/electrical conductivity. Non-covalent functionalization of graphene can be successfully achieved to promote the process of molecule-assisted self-assembly to form supramolecular structures (Ren et al., 2010; Kuila et al., 2012; Tang & Zhou, 2013). More details on the supramolecular approaches to graphene can be found in following references (Chen et al., 2008; Hsieh et al., 2014; Dwivedi et al., 2015; Ciesielski & Samorì, 2016; Lu et al., 2017; Nguyen et al., 2017; Xu et al., 2018).

Xu et al. reported a novel poly(urea-urethane)-graphitic carbon nitride nanosheet (PUU-g-C3N4 NS) composite, where the multiple H bonds within the PUU matrix were found to be helpful in providing self-healing properties, whereas the g-C3N4 NS cross-linkers considerably enhanced the mechanical properties. The anticorrosion performance and the self-healing capacity of the PUU-g-C3N4 NS-coated (by the drop-casting method) 2024 Al alloy were evaluated by EIS, laser microscopy, and scanning Kelvin probe method. The results of the study showed that the PUU-g-C3N4 NS coating retained its protective ability even after 20 days of immersion in 0.5 M NaCl. The self-healing studies performed on the coated surface showed that an intentional scratch vanished and the anticorrosion capability regenerated within 10 min. The introduction of g-C3N4 NS was found to be beneficial for the composite material and enhanced the anticorrosion barrier property/anti-penetration ability and retained reasonable self-healing property under high-humidity circumstances (Xu et al., 2018).

The above studies clearly showed that supramolecular interactions are mainly utilized in surface-coating applications to develop advanced coatings with multifunctionalities such as self-healing capability. Many approaches were investigated in this direction, and each of them has its own merits and demerits. More studies in this direction are demanding and can indeed lead to novel commercially relevant coating technologies. The potentials of future developments are discussed in § 5.

3 Corrosion inhibitors

The application of corrosion inhibitors is one of the best methods of controlling the corrosion of metallic structures, and it is widely used in industries around the world such as the oil and gas sectors, the water treatment plants, and the paints and coatings industries. A significant extent of research and development has been performed in developing corrosion inhibitors for various systems depending on the medium treated, the type of metal used, and the type of corrosion encountered (Nathan, 1973; Sastri, 1998; Shibli & Saji, 2005; Saji, 2010). In various industrial applications, corrosion inhibitors are used in combination with other additives such as antiscalants and biocides.

Supramolecular compounds and concepts have been widely researched to develop novel and more efficient corrosion inhibitor systems. A number of recent reports on organic and polymeric corrosion inhibitors where supramolecular concepts have been utilized are available.

3.1 Polymeric inhibitors

Polymers are considered economical and efficient corrosion inhibitors due to their large surface area and inherent stability. One main advantage of using polymers is that they can easily form complex supramolecular structures with the different functional groups attached to the polymer backbone with cations/metal ions, as well as a large area complex network at the surface. The inhibitive power of polymers is associated with the existence of cyclic rings with π e and heteroatoms, which are the chief adsorption sites (Umoren et al., 2006, 2008; Baskar et al., 2014; Umoren & Solomon, 2014; Tiu & Advincula, 2015; Kumar et al., 2017a,b).

Different types of polymers including synthetic polymers, conducting polymers, natural polymers, and coordination polymers have been investigated as corrosion inhibitors. Literature analysis suggested that water-soluble thermoplastic polymers exhibited noteworthy corrosion inhibition at low concentrations in aggressive media, especially in acidic media (Chetouani et al., 2004; Manivel & Venkatachari, 2007; Amin et al., 2009; Srivastava et al., 2010). Studies on conducting polymers conversely displayed comparatively low inhibition efficiency, which was attributed to their brittle nature and poor film-forming ability (Jianguo et al., 1995; Prakash et al., 2008). Several recent reviews are available on polymeric corrosion inhibitors, where more details can be found (Umoren, 2009; Arthur et al., 2013; Umoren & Solomon, 2014; Sabirneeza et al., 2015; Tiu & Advincula, 2015; Umoren & Eduok, 2016).

Most of the recent works reported on natural and synthetic supramolecular polymeric corrosion inhibitors focused on CDs (see § 3.1.1) and PUs (see § 3.1.2), respectively.

3.1.1 Natural polymers

Several naturally occurring polymers such as chitosan, pectin, starch, gum Arabic, gellan gum, and cellulose derivatives have shown promising results as metallic corrosion inhibitors in various corrosive environments (Umoren & Solomon, 2014). Umorean et al. have reviewed carbohydrate polymers as corrosion inhibitors. The authors classified the carbohydrate polymers into exudate gums, carboxymethyl and hydroxyethyl cellulose, starch, pectin, pectate, chitosan, carrageenan, alginate, dextrin, and CD (Umoren & Eduok, 2016). Considering the supramolecular principles, the most important candidate to be discussed in this category is perhaps the CDs.

3.1.1.1 CDs

Reports on short-chain dextrins and CDs as corrosion inhibitors are available since the 1970s (Shibad & Balachandra, 1976; Talati & Modi, 1976). Literature analysis revealed that many recent works on CDs utilized the host-guest chemistry where CD-inhibitor supramolecular complexes were employed to achieve a steady and slow release of inhibitors. The most widely investigated CD is the β-CD due to its low cost and favorable properties (see Figure 4 and Table 1) (Szejtli, 1998; Uekama et al., 1998; Chernykh & Brichkin, 2010).

Fan et al. has investigated the corrosion inhibition properties of β-CD and octadecylamine (ODA) complexes prepared by the grinding method (Fan et al., 2014a) and the speeding hybrid method (Fan et al., 2014b). 1H-NMR studies proved that a supramolecular host-guest complex was formed and was expected to function by releasing ODA molecules in the boiler condensate water, forming a hydrophobic surface layer on the steel (Fan et al., 2014a,b). The XRD and SEM results clearly showed its protection effect (Figure 5). When the bare sample revealed severe uniform corrosion with the corresponding appearance of rust phases in the XRD (Fe3O4 and γ-Fe2O3), the sample immersed in the 50 mg l−1 inhibitor solution does not show XRD peaks corresponding to rust, and the surface remained smooth without a corrosive attack (Figure 5). Both the anodic and the cathodic curves were shifted in the presence of the inhibitor, indicating a mixed-type mechanism. The polarization and Nyquist plots (Figure 5) showed a continuous increment of inhibition efficiency with the dosage. The capacitive behavior in the EIS and the mixed inhibition by polarization suggested that the inhibitor works by effective surface adsorption (Fan et al., 2014b).

Figure 5: 
                XRD and SEM studies of carbon steel without (A, C) and with (B, D) inhibitor addition in condensate water. (E) Polarization curves and (F) EIS plots recorded as a function of inhibitor concentration (40±5°C, pH 5.68±5) (reproduced with permission from Fan et al., 2014b; Copyright @ Elsevier).
Figure 5:

XRD and SEM studies of carbon steel without (A, C) and with (B, D) inhibitor addition in condensate water. (E) Polarization curves and (F) EIS plots recorded as a function of inhibitor concentration (40±5°C, pH 5.68±5) (reproduced with permission from Fan et al., 2014b; Copyright @ Elsevier).

In a more recent report, the authors reported a host-guest supramolecular complex (HPDA) comprising of 2-hydroxypropyl-β-CD (host) and ODA (guest) as inhibitors. Phase solubility simulation and molecular mechanics calculations showed that HPDA was reasonably stable in water with an apparent association constant value of 9199 mol−1, and its four possible configurations were proposed to co-exist in solution. Weight loss studies disclosed that the inhibition efficiency of HPDA was concentration and temperature dependent. A maximum efficiency of 92.6% was achieved with a 50 mg l−1 inhibitor concentration at 40°C. The inhibition mechanism was found to be mixed with predominant anodic inhibition. Adsorption experiments showed that the inhibition mechanism involves chemisorption and obeying the Langmuir model. X-ray photoelectron spectroscopy (XPS) and Auger electron spectroscopy studies suggested that the chemisorption has resulted from the self-assembly of the guest molecules with a tilted orientation (Fan et al., 2014a).

Well acidizing procedure in the oil and gas sectors (acids are injected under high pressure through the borehole, where they react chemically and dissolve the rocks) demands extreme care in the corrosion protection of tubular materials and other equipment employed (Finšgar & Jackson, 2014). Zou et al. prepared β-CD-organic phosphoric acid [2-phosphonobutane-1,2,4-tricarboxylic acid (PBTCA)] supramolecule and investigated for acid-rock reaction. The supramolecular compound had the lowest corrosion rate when compared to the mud acid and PBTCA systems. The corrosion rate of the mud acid was 17.2% in 15 min, while the corresponding rates of the PBTCA and β-CD-PBTCA were 7.3% and 4.8%, respectively. The reason for the β-CD-PBTCA having the lowermost rate was suggested to be the host-guest chemistry, where the host releases PBTCA guests slowly and steadily (Zou et al., 2011). Wei et al. patented a corrosion inhibitor combination that comprise of 30–70 (wt. parts) CD derivative, 10–50 organic azole compound (e.g. BZT), 5–20 inducer, and 6–60 H2O. The ultra-fine grinding preparation method used to fabricate the title product involved the following steps: mixing the CD derivative and H2O, transferring the paste to a dispersion grinding machine, grinding at 500–1000 r min−1, adding the BZT, continuously grinding for 10–30 min, slowly dropping the inducer, grinding at 2000–5000 r min−1 for 30–60 min, and vacuum drying at 60–80°C. With an inhibitor concentration of 20–50 mg l−1, >90% corrosion inhibition efficiency was achieved for Cu and its alloys in the cooling water systems (Wei et al., 2014a).

Polymer flooding is an effective method to improve the oil yield in chemically enhanced oil recovery, and polyacrylamide (PAM)-based polymers were primarily used for this purpose (Smets & Hesbain, 1959; Muggeridge et al., 2013). β-CD-incorporated PAM supramolecular polymers have been shown to be superior for oil recovery [216]. In this direction, He et al. reported a supramolecular polymer [poly(AA-AM-AMPS-MAH-β-CD)] containing β-CDs as corrosion inhibitors for carbon steel in 0.5 M HCl, where AA, AM, AMPS, and MAH, respectively stands for acrylic acid, acrylamide, 2-acrylamido-2-methylpropane sulfonic acid, and maleic anhydride grafted polymers. Their electrochemical studies suggested that the supramolecular polymer was a mixed-type inhibitor, and the effective surface adsorption offered the protection via coordinate covalent bond formation through e pairs of N, O, and S heteroatoms in the polymer. The inhibition efficiency was found to be directly related to the polymer concentration (He et al., 2014).

3.1.1.2 Calixarenes

Calixarenes are macrocyclic compounds made up of phenolic units connected by methylene bridges and are attractive building blocks for the realization of supramolecular polymers. They can be present in many conformations such as cone, partial cone, 1,2-alternate, and 1,3-alternate. The chance to functionalize the calixarene dais at the upper and lower rims permits embedding of multiple self-assembly motifs on the same molecule (Zhang et al., 1996; Vicens & Harrowfield, 2007; Dalcanale & Pinalli, 2013).

Benabdellah et al. have shown that two novel calixarenes, 1,3,5-tri-carboxy 2,4,6-trimethoxy dinitro calix[6]arene and 1,3,5-tri (2-ethyl imidazole acetamide) 2,4,6-trimethoxy calix[6]arene, offer potential as mild steel corrosion inhibitors (Benabdellah et al., 2007). Kaddouri et al. have synthesized four calixarenes comprising one to four 4-imidazolylethylamidocarbonyl groups, and inhibition efficiencies at the range of 94–100% were obtained at 10−4M concentration of the optimum inhibitor (mild steel, 1 M HCl). The inhibition efficiency was found to have a direct relation with the number of 4-imidazolylethylamidocarbonyl groups attached to the calixarene backbone (Kaddouri et al., 2008). Their subsequent works reported an efficiency as high as 98%, and the protection has a direct dependence on the inhibitor concentration and was temperature independent. Polarization studies have shown that the calixarenes are mixed-type inhibitors. Adsorption obeyed the Langmuir isotherm (Kaddouri et al., 2013).

3.1.2 Synthetic polymers

As discussed in the previous section, synthetic polymers having polar functional groups have attracted significant research attention as metal corrosion inhibitors (Jianguo et al., 1995; Abd El-Ghaffar et al., 1998; Umoren et al., 2006). When considering the possible supramolecular architecture, the major polymer to be mentioned in this category is conceivably PUs. PUs have a wide range of applications in coatings, adhesives, packaging materials, and biomedical aids (Thomson, 2005; Mishra et al., 2010). Suitable chemical modification of PUs can make it water soluble and electrically conducting (Williams et al., 2008; Banerjee et al., 2011a). The ionic centers of a PU ionomer can be hydrated with water, which can result in supramolecular assemblies (Dieterich, 1995). Also, the self-organization potential of block polymers is expected to make supramolecular assemblies (Žigon & Ambrožič, 2003). The following section discusses works reported on PU-based corrosion inhibitors.

Banergee et al. have investigated aliphatic PU-based inhibitors (Banerjee et al., 2011a,b). Several PU ionomers with various degrees of sulfonation (DSs) [diphenyl methane diisocyanate-based sulfonated PUs (SPUs)] were studied as corrosion inhibitors (mild steel, 0.5 M H2SO4). Nucleophilic substitution reaction in which the urethane hydrogen was removed by reacting PU and NaH at –5°C, followed by a reaction with propane sultone, was used for the preparation. An inhibition efficiency >90% was achieved with a very low concentration (20 ppm) of the SPU. Both the weight loss and potentiodynamic polarization studies showed that the corrosion rates decreased as the concentration and DS increased. Potentiodynamic polarization studies (Figure 6) showed a mixed-type inhibitor mechanism. The addition of SPU shifted the Ecorr slightly toward negative values (~30 mV) and reduced both the anodic and the cathodic current densities significantly. Inhibition efficiency followed an initial rapid increase and reached a maximum value of 100 ppm (Figure 6). No significant increase in efficiency was observed for >100 ppm of SPU, which was accredited to the saturation of the adsorption process, whereas the increase in efficiency with DS was attributed to the enhanced absorbability due to the increase in the number of active centers (ionic sulfonate group). The AFM images revealed that the deposition of the polymer layer caused surface smoothening (Figure 6). Average roughness factors calculated with different inhibitor addition were found to be 127, 78, and 52 nm for SPU-88 (5 ppm of inhibitor), SPU-48 (60 ppm), and SPU-88 (60 ppm), correspondingly. The inhibition efficiency was also predicted theoretically by quantum chemical calculations. For the pure PU unit, the e density of the highest occupied molecular orbital (HOMO) was localized mostly on two benzenes with lesser contribution from the diisocyanate, while for the sulfonated polymer, the e density of the HOMO was localized chiefly on the sulfonate group, indicating that the bonding of the sulfonated inhibitor unit with vacant d-orbital of metals can be more facile when compared to bonding though the benzene ring. The decrease in HOMO-lowest unoccupied molecular orbital (LUMO) energy gap with an increase in DS suggested that the reactivity of the inhibitor molecule for surface adsorption increased with increasing DS [229]. In a related publication, the authors reported a 95% efficiency for 100 ppm hexamethylene diisocyanate-based aliphatic PU for mild steel in acidic pH (Banerjee et al., 2011a).

Figure 6: 
              (Left) Scheme showing the evolution of lower- and higher-molecular-weight species during sulfonation. (Right) Potentiodynamic polarization plots (A) and inhibition efficiency as a function of inhibitor concentration and DS (B). AFM micrographs of steel after electrochemical measurement at different concentrations: (A) 5 ppm SPU-88, (B) 60 ppm SPU-88, and (C) 60 ppm SPU-48 (reproduced with permission from Banerjee et al., 2011b; Copyright @ The Royal Society of Chemistry).
Figure 6:

(Left) Scheme showing the evolution of lower- and higher-molecular-weight species during sulfonation. (Right) Potentiodynamic polarization plots (A) and inhibition efficiency as a function of inhibitor concentration and DS (B). AFM micrographs of steel after electrochemical measurement at different concentrations: (A) 5 ppm SPU-88, (B) 60 ppm SPU-88, and (C) 60 ppm SPU-48 (reproduced with permission from Banerjee et al., 2011b; Copyright @ The Royal Society of Chemistry).

Kumar et al. synthesized two PU-based tri-block copolymers, namely, poly(N-isopropylacrylamide)-b-polyurethane-b-poly(N-isopropylacrylamide) (PIA-PU-PIA) and poly(tert-butylacrylate)-b-polyurethane-b-poly(tert-butylacrylate) (PtBA-PU-PtBA), by atom transfer radical polymerization (ATRP) and employed them as inhibitors for mild steel. Results of electrochemical studies revealed that the polymers are mixed-type inhibitors with a predominant cathodic inhibition (mild steel, 0.5 M H2SO4), with efficiency as high as 99% at 1600 ppm and was found to increase with the increase in the inhibitor concentration. Competitive physisorption and chemisorption were suggested as the adsorption mechanisms. The adsorption of PIA-PU-PIA on steel obeyed the Langmuir adsorption isotherm, while that of PtBA-PU-PtBA obeyed the El-Awady isotherm. Quantum chemical calculations showed that the relative strength of the inhibitor action depends on the tendency of the polymers for e donation and also on the polymer molar volume (Kumar et al., 2017). Yang et al. synthesized novel trianiline containing water-soluble PUs by polymerization of polyethylene glycol, toluene diisocyanate, and amine-capped aniline trimer and achieved 97% efficiency at 200 mg l−1 (mild steel, 1 M HCl) (Yang et al., 2017).

3.2 Metal-organic structures

Here, recent works on inorganic-organic hybrid corrosion inhibitors are presented. The section is presented under three subheads, namely, coordination polymers, MOFs, and metal-organic phosphonates, even though the criteria of classification are not impeccable. Metal phosphonates are discussed separately as there a large number of works reported in this area.

3.2.1 Coordination polymers

Many works reported in this category employed Schiff base (compounds made by the condensation of amino and carbonyl compounds) monomers/polymer-complexes as acid corrosion inhibitors (Desai et al., 1986; Achary et al., 2007; Hosseini et al., 2007; Şafak et al., 2012; Saha et al., 2015). The presence of both hard N and O and soft S donor atoms in the ligands helps them to coordinate with a wide range of transition metal ions straight away, yielding stable and deeply colored metal complexes. A recent review is available on the coordination chemistry of supramolecular Schiff base polymer complexes, where more details on their synthesis, structure, and characterization are described (El-Bindary et al., 2016).

Das et al. prepared three ligands, namely, L1 [N,N-dimethyl-N′-(1-pyridin-2-yl-ethylidene)-ethane-1,2-diamine], L2 [2-morpholino-N-(1-(pyridin-2-yl)ethylidene)ethanamine], and L3 [(2-(piperidin-1-yl)-N-(1-(pyridin-2-yl)ethylidene)ethanamine)], that were used to make five Cd(II) Schiff base complexes: [Cd(L1)2](ClO4)2], [Cd(L1)(Cyanoacetate)(OAc)], [Cd2(L1)2(N3)4], [Cd(L2)(N3)2]n, and [Cd2(L3)2(N3)4]n (Figure 7). Their acid corrosion inhibition for mild steel has been examined in 15% HCl. Representative structures of coordination polymer unit and the supramolecular network of complexes 3 and 4 are provided in Figure 7. Complex 3 was a symmetric dimeric compound crystallized in the space group of P21/n, where each Cd2+ ion was located in an octahedral geometric environment. The octahedral geometry of each Cd(II) ion was satisfied by one tridentate Schiff base ligand (L1), one terminal azido ion, and two bridging azido ions. Two bridging azido ions create a bridge between the two Cd(II) centers through a μ-1,1 double-bridged end-on fashion. Each dimeric unit linked with each other via C4–H4…N3 hydrogen bonding, resulting in a 1D chain-like structure along the c axis. Complex 4 forms a 1D coordination polymeric zigzag chain along the c axis (Figure 7). Each Cd atom was coordinated by three N donors (in distorted octahedral fashion) from a tridentate chelating Schiff base ligand (L2), one terminal azido ion, and two N donors from two bridging (crystallographically different) azido ligands. These two azido ligands were accountable to make this coordination polymer, creating a bridge between two crystallographically same Cd centers via a μ-1,3 end-end fashion. Two such 1D coordination polymeric chains are further connected via C2–H2….O1 hydrogen bonding to create a 2D sheet-like structure (Figure 7). The polarization curves showed improved corrosion protection by the inhibitors, and the variation was suggested to be due to a mixed inhibitor mechanism. Nyquist plots showed a depressed semicircle in the frequency range of 0.1–10 mHz, whose shape and size progressively augmented with the inhibitor addition up to 0.1 g l−1, with the associated enhancement in charge transfer resistance (Rct) (Das et al., 2017).

Figure 7: 
              (A) Scheme showing synthesis procedure of Cd(II) complexes 1–5. (B) Dimeric unit structure and supramolecular network structure of complex 3. (C) Coordination polymeric structure and the 2D supramolecular network of complex 4 (reproduced with permission from Das et al., 2017; Copyright @ The Royal Society of Chemistry).
Figure 7:

(A) Scheme showing synthesis procedure of Cd(II) complexes 1–5. (B) Dimeric unit structure and supramolecular network structure of complex 3. (C) Coordination polymeric structure and the 2D supramolecular network of complex 4 (reproduced with permission from Das et al., 2017; Copyright @ The Royal Society of Chemistry).

Liu et al. synthesized a Cu coordination polymer, [Cu(C6H4N3)]n, incorporating a corrosion inhibitor (BTA) through the hydrothermal reaction of Cu(NO3)2, 1H-BTA, and NH3. The asymmetric unit contained two BTA- ligands and three crystallographically different Cu(I) cations. Two of the Cu(I) cations (with linear two and four coordinated tetrahedral geometries) were positioned on sites with crystallographically imposed two-fold symmetry. The third Cu(I) cation (planar three coordinated geometry) was in a general position. Two Cu(I) cations were doubly bridged by two BTA ligands to give a non-centrosymmetric planar [Cu2(BTA)2] subunit, and the two such subunits were arranged in an antiparallel means to form a centrosymmetric [Cu2(BTA)2]2 building unit. These units are linked in a crosswise style via the sharing of four coordinated Cu(I) cations, Cu–N bonding, and bridging by two coordinate Cu(I) cations, resulting in a 1D chain along the c axis. The ID chains were further connected by CH···π and van der Waals interactions to form a 3D supramolecular architecture (Liu et al., 2014).

Heterocyclic aromatic compounds (e.g. azoles) have been shown to be supreme Cu corrosion inhibitors. Recent works explored coordination networks of heterocyclic aromatic compounds as corrosion inhibitors (Fernando et al., 2010, 2012). Fernando et al. have studied the effects of Zn, Cd, Ag, Na, and NH4+ on the structurally adaptable 3D layered supramolecular frameworks for Cu corrosion inhibition. Five compounds based on pyrazole-4-sulfonate anion (L) (Figure 8A) were synthesized by the reaction of pyrazole-4-sulfonic acid (HL) with ZnO, CdCO3, Ag2O, NaOH, and NH3, and the resulting Zn(4-SO3-pzH)2(H2O)2, Cd(4-SO3-pzH)2(H2O)2, Ag(4-SO3-pzH), Na(4-SO3-pzH)(H2O), and NH4(4-SO3-pzH) were studied by single crystal XRD, infrared (IR), NMR, and TGA and explored as Cu corrosion inhibitors. As a representative example, the alternating inorganic-organic layered structure for ZnL2(H2O)2 is provided. The thermal ellipsoid design (50% probability) of ZnL2(H2O)2 displaying the coordination sphere around Zn is also shown (Figure 8B). The inorganic layer (Figure 8C) is composed of a rectangular pattern of Zn2+ ions, each coordinated by two SO3 and two H2O molecules. The H2O molecules form an H bond with a sulfonate group from an adjacent unit, and a bifurcated H bond with two sulfonate groups, one bound to the same Zn2+ and the other from a different neighboring unit. Within the organic layer, the pyrazole moieties were structured in infinite π-stacked columns. The larger Ag+ and NH4+ form anhydrous complexes, while complexes of smaller Zn2+, Cd2+, and Na+ comprised one or two H2O molecules per “metal-L” unit. Noteworthy corrosion protection was obtained with all these compounds at pH 4 and 3. At pH 3, corrosion rates at the range of 0.04–0.05 mm year−1 was obtained, while at pH 4, corrosion rates were at the range of 0.02–0.04 (corrosion rates of control samples were 0.31 and 0.11 mm year−1 at pH 3 and 4, respectively) (Fernando et al., 2012).

Figure 8: 
              (A) Multiple binding modes of ligand L− (pyrazole-4-sulfonate anion). (B) Thermal ellipsoid design (50% probability) of ZnL2(H2O)2 displaying the coordination sphere around Zn. (C) Alternating inorganic-organic layered structure of ZnL2(H2O)2 (reproduced with permission from Fernando et al., 2012; Copyright @ The Royal Society of Chemistry).
Figure 8:

(A) Multiple binding modes of ligand L (pyrazole-4-sulfonate anion). (B) Thermal ellipsoid design (50% probability) of ZnL2(H2O)2 displaying the coordination sphere around Zn. (C) Alternating inorganic-organic layered structure of ZnL2(H2O)2 (reproduced with permission from Fernando et al., 2012; Copyright @ The Royal Society of Chemistry).

3.2.2 MOFs

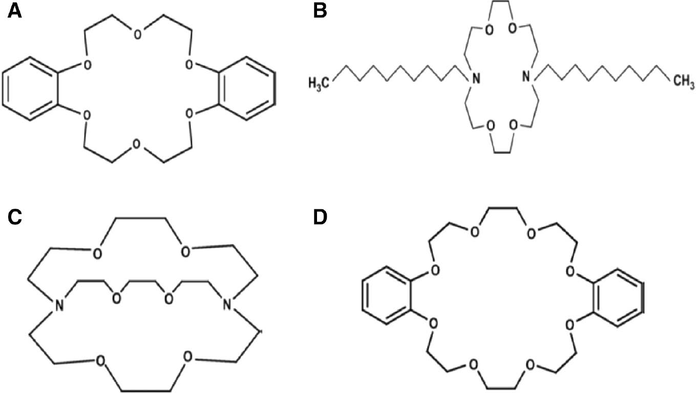
MOFs are often called coordination polymers; however, it differs from usual coordination polymers (Biradha et al., 2009; Batten et al., 2012) and exhibits higher thermal stability, permanent porosity, and structural durability (Silva et al., 2015). MOFs comprising metal-ligand complexes, continuous 2D/3D structure, π e-rich topologies, and hetero-aromatic components are prospective materials for corrosion inhibitors (Massoud et al., 2009; Etaiw et al., 2011; Morozan & Jaouen, 2012) due to their high surface area, supramolecular nature, and unique topologies. Morozan and Jaouen (Morozan & Jaouen, 2012) and Silva et al. (Silva et al., 2015) have briefed MOFs-based corrosion inhibitors in their reviews. The following sections describe interesting recent reports.

Etaiw et al. synthesized [Ag(qox)(4-hb)] (monoclinic, space group P21/c) by self-assembly reaction between AgNO3 and quinoxaline (qox) in the presence of 4-hydroxybenzoate (4-hb) in water/acetonitrile solvent. Each Ag atom in the discrete binuclear array was coordinated to the N atom of qox and two O atoms of two 4-hb ligands forming an eight-atomic distorted polygon. The network structure of the MOF was built by a vast number of distinct binuclear molecules that extend along the a axis to form a 2D array via H bonds (3.225–3.262 Å) and π-π stacking (3.046–3.222 Å). The wide-ranging H bonds (2.524–3.003 Å) and π-π stacking (2.841–3.287 Å) link the 2D arrays, creating a 3D network. The corrosion inhibition efficiency of the prepared MOF for carbon steel was studied in 1 M HCl. The inhibitor suppressed both the cathodic and the anodic processes (βa and βc), suggesting a mixed mechanism. The adsorption obeyed the Langmuir isotherm, and the adsorption free energy showed a simultaneous physical and chemical adsorption, which was assumed to be due to the adsorbed neutral molecules via e sharing between the N and O atoms of the inhibitor molecule and the metal surface. Adsorption can also happen via π e interactions within the MOF ring structure (Etaiw et al., 2013). The authors recently reported [Cd(SCN)2(6-mquin)2], which was obtained by the reaction of CdSO4·5H2O with 6-methylequinoline (6-mquin) as inhibitors for Cu in 1 M HCl (Etaiw et al., 2017).

Beltran et al. synthesized a series of tin-phthalocyanines and employed as inhibitors (carbon steel, H2S saturated brine). The authors suggested that as the intermolecular interactions modified the aliphatic backbone conformations and induced various kinds of deformation in the phthalocyanine ligands, they can have a noteworthy influence on the molecular packing and in turn can affect the inhibition efficiency. The supramolecular links of the crystallographic lattices comprise π-π, σ-π, Nazo⋯H–Car, O–C=O⋯H–Car, and O=C–O⋯H–Car interactions. The best inhibitor efficiency (~88%) achieved was credited to the parallel-oriented chemisorption of the nanocap metal complexes at the metal surface (Beltrán et al., 2005).

3.2.3 Metal-organic phosphonates

Phosphonate ligands have attracted considerable basic and applied research attention. They have been extensively used in various technological applications including water treatment, oilfield drilling, and corrosion control. In aqueous solutions, water found in their lattice can get involved in extensive H bonding, resulting in supramolecular network formation (Demadis et al., 2012), which was widely used in supramolecular chemistry and crystal engineering (Penicaud et al., 1998; Distler et al., 1999; Serre & Férey, 1999). They have the ability to chelate with metal ions to form supramolecular structures.

The most extensively used organic phosphonic acids include 1-hydroxyethane-1,1-diphosphonic acid, aminotris (methylenephosphonic acid) (AMP), hydroxyphosphonoacetic acid (HPAA), and 2-phosphonobutane-1,2,4-tricarboxylic acid (PBTC). They are good antiscalants (Dyer et al., 2004).

Organic phosphonates blended with certain metal cations (metal phosphonates) and polymers (metal phosphonate coordination polymers) can reduce the optimal inhibitor concentration and can enhance inhibition efficiency (Clearfield, 2002; Demadis et al., 2005a,b, 2008a,b; Naimushina et al., 2013; Gholivand et al., 2016; Gupta et al., 2017). Demadis’ research group pioneered this area and reported many works on multidimensional MOFs from the self-assembly of phosphonate/sulfonate-based organic linkers and alkaline/alkaline earth/transition metal centers (Demadis et al., 2005a,b, 2006a,b, 2008a,b, 2009, 2010; Papadaki & Demadis, 2009; Fernando et al., 2010, 2012; Clearfield & Demadis, 2011; Colodreno et al., 2013; Moschona et al., 2018). Papadaki and Damadis reviewed metal phosphonate coordination polymeric corrosion inhibitors (Papadaki & Demadis, 2009). The varying corrosion inhibition efficiencies of different organic phosphonates were explained by the structural differences observed with different metal ions, complex formation capability, and thickness/integrity of the surface film formed. For example, a more effective corrosion inhibition observed for a Zn-AMP film (the Zn-AMP complex formation constant is 16.4) when compared to a Ca-PBTC film (the Ca-PBTC complex formation constant is 4.4) was found to be in accordance with the higher complex formation skill of the former (Knepper, 2003).

The synthesis, structural characterization, and corrosion inhibition of polymeric M-HDTMPs [M=Zn2+/Ca2+ and HDTMP=hexamethylene-diamine-tetrakis(methylenephosphonate)] were reported. The crystal structure of the synthesized Zn-phosphonate showed a 3D coordination polymeric structure where Zn2+ was positioned in a distorted octahedral environment made wholly by phosphonate oxygens (Figure 9, top). The sixth oxygen ligand for Zn2+ originated from a protonated phosphonate oxygen, O(9), and formed an extended interaction [2.622(3) Å] with Zn2+ that provides local stabilization due to a robust H bond, O(9)–H(9)…O(3) (1.879 Å). Two Zn2+ centers and the aminobismethylenephosphonate parts of HDTMP form an 18-membered ring (Figure 9, bottom), and there is a concentric 8-membered ring made by the same Zn2+ and the protonated methylenephosphonate arm involved in the long Zn…O(9) interaction. Four phosphonate groups of HDTMP are coordinated to six different Zn2+ centers. Their electrochemical corrosion studies with carbon steel showed that a 1:1 combination of Zn2+ and HDTMP had excellent inhibition properties (Figure 9). The corrosion rate obtained for a Zn-HDTMP-protected sample by weight loss measurements was 2.11 mm year−1, which was much lesser than that for the control sample (7.28 mm year−1). The inhibiting film contained Zn2+ and P in an approximate 1:4 ratio. The comparison of the SEM images (Figure 9) also demonstrated the improved anticorrosive effect (Demadis et al., 2005a). Papadaki and Demadis provided a detailed account on structures of various metal-organic phosphonates such as Zn(AMP)(H2O)3, Ca(PBTC)(H2O)2, and Ba (or Sr) (HPAA)(H2O)2 (Papadaki & Demadis, 2009).

Figure 9: 
              (Left, top) Coordination environment of the Zn2+ center showing key bond distances (Å) [O(10)-Zn-O(4) non-linear angle-156.03°]. (Bottom) Coordination modes of the tepraphosphonate ligand. The aminomethylene parts of the ligand and the Zn2+ centers create a “box” of 160 Å capacity. (Right, top) Surface images of carbon steel without (A) and with 1 mM Zn2+/HDTMP synergistic combination (B). SEM images (bottom) showing the unprotected area (left) where the growth of iron oxides is evident and the protected area (right) where a film of Zn-HDTMP has grown (scale bar: 100 μm) (reproduced with permission from Demadis et al., 2005a; Copyright @ The American Chemical Society).
Figure 9:

(Left, top) Coordination environment of the Zn2+ center showing key bond distances (Å) [O(10)-Zn-O(4) non-linear angle-156.03°]. (Bottom) Coordination modes of the tepraphosphonate ligand. The aminomethylene parts of the ligand and the Zn2+ centers create a “box” of 160 Å capacity. (Right, top) Surface images of carbon steel without (A) and with 1 mM Zn2+/HDTMP synergistic combination (B). SEM images (bottom) showing the unprotected area (left) where the growth of iron oxides is evident and the protected area (right) where a film of Zn-HDTMP has grown (scale bar: 100 μm) (reproduced with permission from Demadis et al., 2005a; Copyright @ The American Chemical Society).

Kending patented soluble polymeric oxidic acids containing Mo, P, W, and/or Si suitable for protection of Al alloys in radiators and cooling systems as on-demand release systems. The oxo anions can be reacted with a metal cation to form a soluble salt, and the salt can be adsorbed on a carrier or sol-gel coating applied on Al or Al alloy surfaces. The resulting adsorbates then become sparingly soluble and are gradually released in the presence of an aqueous corrosive agent to prevent pitting corrosion. The counterions are preferably selected from Ba, Sr, Al, Zn, or rare earth metals (Kendig, 2003). Studies on adsorption/self-organization of alkylphosphonic acids/phosphoric acid monoalkyl esters on Al showed that the capability for self-assembly is ascribed to the presence of surface reactive groups and long aliphatic/aromatic spacers and can provide a supramolecular order built-up between the spacers (Iris et al., 1998).

3.3 Others

Crown ethers are heterocyclic polyethers that, in their simplest form, are cyclic oligomers of dioxane (Pedersen, 1967; Gokel et al., 2004). They can be considered green corrosion inhibitors. Fouda et al., on their studies on crown ether-based corrosion inhibitors for 430 stainless steels (SSs) in 2 M HCl, observed a linear relationship between protection efficiency and inhibitor concentration. The inhibition efficiency of the studied crown ethers (Figure 10) decreased in the order of (d)>(c)>(b)>(a). The inhibitor adsorption was attributed to the lone pair of e of the O and/or N atoms and the delocalized π e of the benzene ring, and the difference in the efficiencies of the studied compounds was explained on account of the kind and number of the heteroatoms. The cavities of compounds (a) to (d), respectively contained six O atoms, four O and two N atoms, six O and two N atoms, and eight O atoms. The higher inhibition efficiency of (b) when compared to (a) was attributed to the presence of two N atoms that can donate e and can make a stronger electrostatic interaction with the steel surface. The two alkyl branches in (b) (+I effect) increases the charge density at the N atoms. Despite the presence of the two N atoms in (c), its lower inhibition efficiency when compared to (d) was explained by the higher molecular weight of the latter. The existence of two benzene rings in (d) can make it firm, which can retard the adsorption process. The authors suggested that the presence of more than one orienting groups (O, N) can, in effect, result in better adsorption and, hence, a better corrosion inhibition. Polarization studies suggested a mixed inhibition mechanism. The adsorption followed the Temkin isotherm (Fouda et al., 2010).

Figure 10: 
            Crown ethers investigated as corrosion inhibitors. (A) Dibenzo-18-crown-6. (B) 4,13-Diacethyl, 1,7,10,16-tetraoxa-4,13-diazacyclooctadecane. (C) 4,7,13,16,21,24-hexa-oxa-1,10-Diazo-bicyclo-(8,8,8)-hexacosane. (D) Dibenzo-24-crown-8 (reproduced with permission from Fouda et al., 2010; Copyright @ Elsevier).
Figure 10:

Crown ethers investigated as corrosion inhibitors. (A) Dibenzo-18-crown-6. (B) 4,13-Diacethyl, 1,7,10,16-tetraoxa-4,13-diazacyclooctadecane. (C) 4,7,13,16,21,24-hexa-oxa-1,10-Diazo-bicyclo-(8,8,8)-hexacosane. (D) Dibenzo-24-crown-8 (reproduced with permission from Fouda et al., 2010; Copyright @ Elsevier).

Hadisaputra et al. examined the role of the macrocycle ring size on the inhibitive performance of five crown ethers (dibenzo-12-crown-4, dibenzo-15-crown-5, dibenzo-18-crown-6, dibenzo-21-crown-7, and dibenzo-24-crown-8) by the density functional theory. The results showed that dibenzo crown ethers with larger macrocycle ring size have higher HOMO energies than those with smaller macrocycle ring size and hence are more intent to donate e. The HOMO energy levels followed the order of DB24C8>DB21C7>DB18C6>DB15C5>DB12C4 and suggested the highest corrosion inhibitor efficiency for DB24C8 (dibenzo-24-crown-8). The optimized geometries of the five crown ethers showed that the HOMO of the crown ethers matches the aromatic π system of the benzene rings, in which the e density accumulates on the π e multiple bonds of benzene. The phenyl rings of the dibenzo crown ether can have a higher binding contribution to metal surfaces via delocalization of π e (Hadisaputra et al., 2017). Ab initio quantum mechanical charge field molecular dynamics simulation studies of DB18C6 showed that their backbone has high flexibility in an aqueous medium, assuming structures considerably diverging from that in ideal gas phases (Canaval et al., 2015).

Dendrimer-based systems (Zimmerman & Lawless, 2001) have recently been investigated as corrosion inhibitors owing to their easy preparation methods, solubility, large surface area, and the presence of electronegative heteroatoms (Verma and Quraishi, 2016; Verma et al., 2016). Verma et al. investigated the inhibition properties of two NH3-cored dendrimers (mild steel, 1 M HCl). Their weight loss studies showed a maximum inhibition efficiency of 96.95% at 50 mg l−1 concentration. Potentiodynamic polarization plots showed that both cathodic and anodic reactions were affected in the presence of dendrimers, signifying a mixed mechanism. The inhibition efficiency of the dendrimer compounds studied was dependent on their molecular size and the nature of the heteroatoms (O and N). From the HOMO e distribution, it was suggested that the frontier electron density was mostly confined to the center N atom, suggesting that the N atom primarily participated in the e donation process (Verma et al., 2016).

Zhang et al. explored the synergistic inhibition properties of polyamidoamine dendrimers with sodium silicate for carbon steel. An inhibition efficiency of ~82% was obtained at relatively low dosages. The mechanism was attributed to chemisorption, which obeyed the Langmuir adsorption isotherm (Zhang et al., 2015).

3.4 Self-assembled monolayers (SAMs)

Many organic compounds have the capability to adsorb spontaneously on a metal surface and form intramolecular or intermolecular SAMs. As discussed in the previous sections, complex polymers can form intramolecular SAMs. The intermolecular SAMs, in general, can form supramolecular structures (Hashim et al., 2010). SAMs can provide a protective hydrophobic barrier hindering ingression of H2O, O2, and e to the metal surface (Ramachandran et al., 1996; Adler et al., 2002; Duda et al., 2005). Incorporation of suitable linking agents in the inhibitor can extend the protection. Plenty of information on the SAMs of organic inhibitors is available in the current literature.

Ramachandran et al. explained a SAM model to study the mechanism of action of organic inhibitors such as IMIs. The IMI head group served as a strong Lewis base to displace H2O from the Lewis acid sites of the Fe-O surface and self-assemble to form an ordered monolayer on the Fe-O surface [√3×√3 for the (001) cleavage surface of α-Fe2O3]. The main features of this atomistic model were (i) robust bonding by the IMI head group to the Fe2O3 surface; (ii) self-assembly of the head groups to form a dense well-ordered overlayer; (iii) self-assembly of the hydrophobic tails to form a compact closely packed hydrophobic layer; and (iv) sufficient solubility and rate of transport of the inhibitor to the surface, inferring that the SAM can be made quickly before corrosion initiation (Ramachandran et al., 1996).

Alkanethiols and alkyl thiosulfates possess many properties that are beneficial for aqueous self-assembly. It is well known that despite their lower thickness, SAMs of simple aromatic thiols could offer a more efficient protection of Cu surfaces in acidic pH (Lusk & Jennings, 2001; Caprioli et al., 2012). SAMs of longer-chained adsorbates are found to be superior to shorter-chained counterparts owing to their higher van der Waals interactions. IR spectroscopy studies suggested that the eventual breakdown in the protection of n-alkanethiol SAMs was attributed to a structural change from a crystalline state to a less densely packed state (Jennings et al., 1998). EIS studies revealed that SAMs formed from longer-chained thiosulfates showed similar barrier properties to that of thiol-based SAMs when formed in organic solvents but reduced effectiveness when formed in an aqueous solution. However, the water-borne thiosulfate SAMs were found to offer an increase in corrosion resistance by ~2–3 orders of magnitude compared to that of uncoated Cu. Comparison of thiosulfate SAMs with those made from BTA showed that longer-chained thiosulfates could be beneficial in inhibiting Cu corrosion in aqueous environments (Lusk & Jennings, 2001).

Zhang et al. prepared complex SAMs by altering the adsorption of cysteine with dodecylacid and with DAM on Cu surfaces. Electrochemical studies in 0.5M HCl showed that SAMs suppressed cathodic current densities and shifted the corrosion potential toward a more noble value. A 10 mmol l−1 DAM-modified cysteine/Cu system showed an inhibition efficiency of 90% (Zhang et al., 2010). Scanning tunneling microscopy studies have shown that when mixed SAMs are formed on surfaces with a radius of curvature lesser than 20 nm, they instinctively phase separate in highly ordered phases of unprecedented size. The reason for this supramolecular phenomenon was entirely topological and justified through the hairy ball theorem (Stellacci, 2007).

4 Antibiofouling surfaces

Biofilms grown on metal surfaces pose a big threat to industries worldwide, which can escalate to corrosion and material failure (Almeida et al., 2007; Rao, 2009; Rajasekar et al., 2010; Bixler & Bhushan, 2012; Gupta et al., 2016; Oliva et al., 2017). Table 2 clearly defines the fields susceptible to biofouling (colonization of surfaces by the undesirable buildup of proteins, cells, and organisms), including common examples. In general, medical biofouling (Schulz & Shanov, 2009; Chan & Wong, 2010; Damodaran & Murthy, 2016; Yin et al., 2016) embraces only the biofilm formation, while marine/industrial biofouling (Walker et al., 2000; Fingerman & Nagabhushanam, 2003; Railkin, 2003; Chambers et al., 2006; Cao et al., 2011) embraces a combination of biofilm, macrofouling (by microorganisms), and inorganic fouling. The cause, detection, and control methods vary depending on the nature of biofouling (Table 2). Biofouling can cause pitting corrosion and microbiologically influenced corrosion.

Table 2:

Fields susceptible to biofouling, including common examples (reproduced with permission from Bixler & Bhushan, 2012; Copyright @ The Royal Society Publishing).

Type Problems
Medical
 Orthopedic implant Removal owing to infection
 Respirator Ventilator-associated pneumonia
 Contact lens Eye infection
 Catheter Urinary tract infections
 Hemodialysis Infectious break-outs
 Teeth/dental implant Periodontal disease, gingivitis
 Biosensor Failure from fibrous encapsulation
Marine
 Ship hull Increased fuel consumption
 Ship engine Increased stress from extra drag
 Marine platform Increased marine structure load/stress/fatigue
 Metal Increased biocorrosion
Industrial
 Membrane Reduced flux
 Heat exchanger Reduced convection efficiency
 Fluid flow Frictional loss in pipes
 Drinking water Pathogens in potable water
 Fuel Morton [50] Diesel fuel contamination
 Food, paper, and paint Food spoilage and worker health risks
 Food metal-cutting fluid Filter blockage and worker health risks

Natural biofouling controls include low-drag and low-adhesion surfaces and surfaces with improved biocompatibility, wettability, and microtexture. For long-term biofouling protection, antifouling coatings coupled with biocides are used (Trojer et al., 2013). An active antibiofouling coating is expected to provide prolonged protection by releasing the incorporated biocides. A number of interesting reports are available on smart on-demand biocide-release coatings (see § 2.2 and 4.2). A few recent reviews are available in this area where readers can get clear fundamentals (Banerjee et al., 2011c; Zhang et al., 2016; Selim et al., 2017).

Banerjee et al. reviewed major approaches in the preparation of antifouling coatings. The authors discussed various strategies relevant to (1) protein antifouling coatings, (2) antimicrobial coatings, and (3) marine antifouling coatings. The protein antifouling coating section has been divided into (i) coatings that resist protein adsorption and (ii) protein-degrading films. Under the first category, poly(ethylene glycol) (PEG)-based coatings were mainly discussed along with SAMs of different compounds with various functional groups including zwitterionic SAMs. Peptide- and peptoid-based protein-resistant surfaces and glycerol/carbohydrate derivatives were also explained. Under the second category, protease-based antifouling films and photoactivated self-cleaning films were explained comprehensively. Within antimicrobial coatings, two categories were described: (i) coatings that prevent bacterial adhesion and (ii) microbiocidal coatings. The subsections discussed under marine antifouling coatings were (i) amphiphilic antifouling polymer coatings, (ii) enzyme-based antifouling coatings, and (iii) antifouling surfaces with microtopography (Banerjee et al., 2011c).

Selim et al. provided a detailed account of marine foul-release polymeric nanocomposite coatings. They are vibrant non-stick surfaces that prevent surface fouling add-on via physical anti-adhesion terminology. The review classified the fouling-resistant coatings to (i) PEG-based fouling-resistant nanocomposites, (ii) hydrogel-based coatings, (iii) polyzwitterion-based nanocomposites, (iv) hyper-branched nanocomposites, (v) fluoropolymeric coatings, (v) silicone coatings, (vi) graphene-related materials, and (vii) hydrophobic/superhydrophobic/photo-induced/amphiphilic coatings (Selim et al., 2017).

Good reviews on membrane fouling are available (Zhang et al., 2016). Fabricating antifouling membranes is an important approach to deal with prevalent fouling problems from a variety of foulants and is significant in water desalination processes and industrial wastewater treatment. The authors explained in detail the development of antifouling membranes via surface coating, surface grafting (grafting antifouling materials onto/from membrane surfaces by chemical means), surface bioadhesion, physical blending, and surface segregation (Zhang et al., 2016).

Supramolecular chemistry is considered a rising star in the arena of antibiofouling surface construction (Zhao et al., 2018a). The major objective of this section was to provide a concise overview on the most recent advancements in antibiofouling surfaces and approaches based on supramolecular chemistry, irrespective of the type of biofoulant or application (industrial or biomedical), which are presented under different subheads similar to § 2.

4.1 Block copolymer/gel systems

Polymers are widely used materials for the development of antibiofouling coatings owing to their attractive properties and ease of application (Yang et al., 2014a; Oliva et al., 2017). The antibiofouling polymer coatings mainly exploit three approaches: (i) inhibiting biofouling organisms from surface attachment (fouling-resistant coatings), (ii) decreasing adhesion of biofoulants (fouling release coatings), and (iii) killing of biofoulants (fouling-degrading coatings) (Yang et al., 2014a; Al-Naamani et al., 2017). Different approaches were put forward to produce innovative antifouling/fouling release coatings that use different polymer chemistries, including usage of self-assembled co-polymers with mesogenic side chains (Krishnan et al., 2006), zwitterionic polymers (Jiang & Cao, 2010), phase-segregated polysiloxane-urethanes (Majumdar et al., 2007), and polymer nanocomposites (Wouters et al., 2010). Good reviews are available where precise details on the types and fundamentals of antibiofouling polymers are explained (Timofeeva & Kleshcheva, 2011; Siedenbiedel & Tiller, 2012; Yang et al., 2014a,b). The following section describes interesting recent reports on supramolecular polymeric surfaces.

It is well known that surface modification by altering the charge or enhancing the hydrophilicity deters a foulant’s attachment and adsorption (Combe et al., 1999; Knoell et al., 1999). Hydrophilic PEG-based materials have been extensively employed, as their high degree of hydration upsurges the energetic forfeit of removing water when biofoulants attach, causing resistance to protein adsorption and a foulant’s settlement (Krishnan et al., 2008). By careful design and synthesis of the novel additives, it is possible to facilitate control of the assembly process and allow selective surface postmodification in an aqueous environment (Goor et al., 2017a,b). Dankers et al. reported a supramolecular toolbox in this line with various additives (Dankers et al., 2005; Mollet et al., 2014; Pape et al., 2017). By using self-complementary 2-ureido-4[1H]-pyrimidinone (UPy), a modular biomaterial with UPy-modified polycaprolactone (PCLdiUPy) as the basic material was developed firstly (Dankers et al., 2005). In subsequent studies, this scheme has been extended by the amalgamation of PEG2kdiUPy (additive 1) to prevent cell adhesion (Mollet et al., 2014). The authors further extended the supramolecular device with bifunctional PEG10KdiUPy (additive 2) and monofunctional MeOPEG5KUPy (additive 3) (Figure 11). These additives were designated as they contained larger PEG chains and can lead to more hydrophilic surfaces, leading to less cell adhesion. The additional aliphatic dodecyl spacer (between the UPy and the PEG) can protect the urea groups from interactions with the H2O of the PEG and can lead to improved anchoring in the PCLdiUPy (Pape et al., 2017). For the pristine PCLdiUPy, the water contact angle was 74.7±0.2°. A significant reduction in contact angles was detected with the addition of UPyPEG (UPy-functionalized PEG), with contact angles of 59.8±1.3° for PCLdiUPy with additive 1, 56.7±0.9° with additive 2, and 44±14° with additive 3, reflecting improved hydrophilicity. The cell adhesive behavior was evaluated based on the staining of factin and vinculin. On PCLdiUPy and the mixture with additive 1, HK-2 cells showed a well-spread morphology and clear actin fibers, ending in distinct vinculin spots, indicating good adhesion (Figure 11). Both HK-2 cells and human umbilical vein endothelial cells (HUVECs) showed a clear reduction in adhesion and proliferation on the mixtures with additives 2 and 3 (Figure 11). Remarkably, additives 2 and 3 reduced the cell adhesion, signifying that the chain length of PEG and the better anchoring in the PCLdiUPy base polymer due to the extra alkyl spacer were decisive (Pape et al., 2017).

Figure 11: 
            (Left) Chemical structures of the molecules studied. (A) UPy-modified polycaprolactone (Mn=2 kDa). (B) Bifunctional UPy-PEG (Mn=2 kDa). (C) Bifunctional PEG10KdiUPy (Mn=10 kDa). (D) Monofunctional UPyPEG (Mn=5 kDa). (Right) Fluorescence microscopy images of HK-2 cells and HUVECs cultured on spin-coated polymer films for 1 day, stained for F-actin (green), vinculin (red), and nuclei (blue). Scale bar: 100 μm (reproduced with permission from Pape et al., 2017; Copyright @ The American Chemical Society).
Figure 11:

(Left) Chemical structures of the molecules studied. (A) UPy-modified polycaprolactone (Mn=2 kDa). (B) Bifunctional UPy-PEG (Mn=2 kDa). (C) Bifunctional PEG10KdiUPy (Mn=10 kDa). (D) Monofunctional UPyPEG (Mn=5 kDa). (Right) Fluorescence microscopy images of HK-2 cells and HUVECs cultured on spin-coated polymer films for 1 day, stained for F-actin (green), vinculin (red), and nuclei (blue). Scale bar: 100 μm (reproduced with permission from Pape et al., 2017; Copyright @ The American Chemical Society).

It is proved that the existence of the zwitterionic groups provides fouling resistance (Yang et al., 2014c). Tripati et al. proposed a distinctive and modest method for the assembly and selective surface modification of a pH-responsive nanoporous membrane with antifouling and antibiofouling properties. The membranes were fabricated by selective surface modification of polystyrene-b-poly(4-vinylpyridine) (PS-P4VP) diblock copolymers by quaternization (PS-P4VP-Q) and zwitterionization (PS-P4VP-Z) reactions on P4VP moiety. Antifouling and antibacterial properties were examined by studying the adsorption of bovine serum albumin protein and bacterial cell attachment. At pH 4, PS-P4VP exhibited a positively charged nature due to protonation of the pyridine moiety, which deterred the positively charged BSA [fluorescein isothiocyanate (FITC)-conjugated albumin bovine] protein due to electrostatic repulsion. However, the net protein adsorption on both PS-P4VP and PSP4VP-Q was higher than that on PS-P4VP-Z under both pH 4 and 7. PS-P4VP-Z showed minimum BSA adsorption among all the prepared films due to strong hydration of the surface. The modified membranes bear permanent positively charged groups and that played an important role. The adhesion and growth of biofilms of both Escherichia coli and Staphylococcus epidermidis were found to be higher on the PS-P4VP than on the PS-P4VP-Q or PS-P4VP-Z films. The fluorescence images supported the good antibacterial activity of the modified films (Tripathi et al., 2013).

Amphiphilic polymer films have been projected as a prospective approach to combat marine biofouling (Callow & Callow, 2012). The surface structures with mixed hydrophilic and hydrophobic functionalities and nanoscale heterogeneities can prevent/diminish settlement of organisms and biomolecule-substrate interactions (Hawkins et al., 2014; Martinelli et al., 2015; Bauer et al., 2016; Faÿ et al., 2016; Martinelli et al., 2016). Oliva et al. synthesized surface-active amphiphilic diblock copolymers (Si-EFS14 and Si-EFS71) consisting of poly(dimethylsiloxane) (PDMS) and poly(4-(triethyleneglycol monomethyl ether)-2,3,5,6-tetrafluorostyrene) blocks by ATRP. Films were prepared by integrating 4 wt.% of each copolymer into the PDMS matrix (to enable the dispersion of the copolymer), along with a block of para-functionalized fluorostyrene (with a triethylene glycol chain) to modify the surface chemistry. Bioassays were implemented on the films using two barnacle species (Balanus amphitrite and Balanus improvises). The results showed that the antifouling capability is not greatly affected by the chemistry of the amphiphilic additive, whereas the fouling release properties depend on its hydrophilic/hydrophobic balance. Both the barnacle species at the larval stage appeared to favor settling on films containing Si-EFS14 rather than on those comprising Si-EFS71 (the outer layer of latter film had a greater content of hydrophilic oxyethylenic units than the former). The juveniles of B. improvisus were more easily released from films containing Si-EFS14 compared to those with Si-EFS71, which suggested that removal was favored when a lower amount of oxyethylenic units was located at the surface (Oliva et al., 2017).

Polymer networks with supramolecular blocks demonstrated several properties that are beneficial for slippery, self-lubricating polymers. The lubricating layer is expected to be an extremely smooth, constantly lubricated liquid interface, which can reduce contact angle hysteresis and adhesion of external matter. The polymer can be modified to include both covalent and supramolecular cross-linking. Upon swelling, in addition to favorable interaction with the polymer segments, a suitable amount of good solvent will disrupt the physical cross-linking, allowing the polymer to swell to an even greater extent. The degree of swelling and/or the rate of swelling can be increased or decreased by adjusting the size of the polymer component, the nature of the supramolecular moieties, and the relative proportions of the two. The swellable polymer composition includes a main polymeric network with supramolecular inclusions, generally having the formula PxSy, where P is a covalently cross-linked polymer and S is a supramolecular block within this polymer network (x+y=1, and y can be from 0 to 1; 0 corresponds to a simple polymer with no supramolecular addition). In the P block, the repeat units and length of the polymer chains can be changed to mediate the degree of cross-linking (and thus the degree of swelling) and mechanical properties. Variation in the S blocks can be used to control the strength of the cross-linking and the rate of the polymer network formation. The cross-linker is dynamic and upon polymer cracking (e.g. damage) can diffuse through the polymer to the crack position and fully recover it (Aizenberg et al., 2015).

Cui et al. reported a secretion system that consisted of liquid storage compartments (droplets) in a supramolecular polymer-gel matrix and demonstrated that a dynamic liquid exchange between the compartments, matrix, and surface layer allowed recurrent, responsive surface lubrication and matrix healing. Diminution of the surface liquid or local material damage prompted secretion of the stored liquid via a dynamic feedback between polymer cross-linking, droplet contraction, and liquid transference, which can be read out through the changes in the system’s optical transparency. This process creates and restores an extremely slippery, fouling-resistant surface. The primary requirement for fabricating such a system was a polymer with chemical affinity to the stored liquid and with bonding strength strong enough to stabilize the droplets and weak enough to allow bond reconfiguration and hence inducible secretion, which was met by the supramolecular polymer. The supramolecular design involved copolymers of urea and PDMS, which reversibly cross-linked via H bonding of the urea units, where differences in the spacer units caused different cross-linking strengths. When the polymer was dissolved in a volatile solvent along with an excess of secretion liquid, rapid solvent evaporation can occur, which can trigger polymer cross-linking, trapping some of the secretion liquid within the network while leaving the excess to form droplets (Cui et al., 2015).

Hydrogels derived from natural, synthetic polymers or non-polymeric compounds have materialized as a prospective platform for biofouling applications. Entrapped molecules in the hydrogel matrix could be manipulated with on-demand release properties initiated by external/internal stimuli (Kim et al., 2017). Several attempts were devoted to develop antifouling/antimicrobial hydrogels based on PEGylated polymers (Liu et al., 2012), zwitterionic polymers (Mi & Jiang, 2012), acrylate-based systems (Li et al., 2011), polyelectrolyte complexes (Tsao et al., 2010), and self-assembled peptides (Salick et al., 2007). Inorganic-organic hybrid nanocomposite hydrogels, POSS-based dendrimers (Cordes et al., 2010), etc., are also investigated in this line.

Lian et al. reported an innovative bio-inspired supramolecular inorganic-organic hydrogel with excellent antibiofouling capability and tunable mechanical strength via ionic interaction between sodium polyacrylate (negatively charged) enfolded clay nanosheets and POSS core-based generation 1 (L-arginine) dendrimer (POSS-R) (positively charged). With the increase in POSS-R concentration, the hydrogels become more compact, complemented by noteworthy higher mechanical strength. Importantly, they showed excellent antibiofouling properties, as was evident from the results of the cell attachment studies (MC3T3 cells) by fluorescence imaging. The non-covalent cross-linking approach for the development of the supramolecular hydrogels gifted them with prompt thixotropic response and shape memory functions (Lian et al., 2018).

Li et al. reported an effective approach to generate stimulus-responsive antimicrobial gel formed from stereocomplexation of biodegradable poly(l-lactide)-b-poly(ethylene glycol)-b-poly(l-lactide) (PLLA-PEG-PLLA) and a charged biodegradable polycarbonate triblock polymer (i.e. PDLACPC-PDLA). The PLLA-PEG-PLLA triblock copolymers produced have very narrow molecular weight distributions. Analogous triblock polymers were then replicated using d-lactide (i.e. PDLA-PEG-PDLA) for the corresponding stereocomplexation studies. It was found that PEG polymers of more than 6 kDa allowed complete polymer dissolution in aqueous media assuming lactide blocks remained at or under 1 kDa. A cloud point temperature and gelation upon heating the polymer solution above 60°C were observed. The solutions on incubation (at 37°C for 5 h) formed opaque, low modulus, and viscous solutions at polymer concentrations of 13.2% (w/v). Optical microscopy images of PLLA-PEG-PLLA showed an abundance of fiber-like nanostructures, whereas PDLA-PEG-PDLA formed far less fiber-like assemblies. Studies against clinically isolated microbes indicated that the gels were effective in inhibiting the growth completely and showed an almost impeccable killing efficiency (~80% of bacterial cells killed) (Li et al., 2013).

Chapman et al. patented a gel coating that was composed of one or more organogelators whose molecules can establish intermolecular physical interactions leading to self-assembly with 3D network/nanoweb gel formation. The H-bonded organogelators were characterized by at least two N-H bonds per molecule, wherein the N atoms are bound to at least one carbonyl group, and the preferred ones were from the group of urea, ureido-pyrimidone, ureido-triazine, amide, urethane, or their mixtures. The mixture comprising a solvent and organogelators was applied on a porous support and subsequently processed to form a nanoweb gel, then the solvent was removed, leaving a porous nanoweb coating (Chapman et al., 2007).

Superhydrophobic polymeric surfaces can be made by lowering the surface energy and by the addition of suitable surface structures (Chen et al., 2014; Xue et al., 2014a). Wei et al. reported a low-molecular-weight gelator as a means to prompt fabrication of superhydrophobic as well as liquid-infused slippery surfaces. This was achieved by drop-casting solutions of (±)-N,N′-(trans-cyclohexane-1,2-diyl) bis (2,2,3,3,4,4,5,5,6,6,7,7,8,8,8-pentadecafluorooctan-amide) onto glass followed by solvent evaporation resulting in a 3D fibrous superhydrophobic surface, which was used as a matrix to immobilize a perfluorinated lubricant effectively. The slippery surface displayed quick self-healing under ambient conditions (when mechanically scratched) with an enhanced liquid repellency against water/low-surface-tension liquids. The H bonding-mediated polymerization and the perfluorination of the side chains played a synergistic role in achieving superhydrophobicity. The study showed that such a gelator fibrous network could be efficiently utilized to capture lubricants and can greatly help in improving liquid repellency (Wei et al., 2014b).

4.2 Nanocontainer-based host-guest systems

Similar to systems reported in § 2.2, several works on smart on-demand biocide-release coatings employing supramolecular host-guest interactions are reported. A recent review by Yang et al. is available where the authors provided an account on stimuli-responsive host-guest supramolecular assemblies for engineering multifunctional biosurfaces that includes photo-controlled, redox chemistry-controlled, guest competition-controlled, pH-controlled, and orthogonal stimuli-responsive biointerfaces (Yang et al., 2014b). The following section highlights recently reported interesting works on CDs and mesoporous silica-based host-guest systems.

4.2.1 Mesoporous silica-based

Research has proved that self-assembly on the exterior surface of MSNs is an effective approach for the fabrication of antibacterial nanomaterials (Ambrogio et al., 2011; Li et al., 2012; Tarn et al., 2013; Tao et al., 2015). Pezzoni et al. have shown that supramolecularly templated mesoporous silica coatings achieved by an evaporation-induced self-assembly with regulated pore size considerably reduced bacteria attachment. The authors performed two types of assays [submerged and air-liquid interface (ALI)]. The surfaces remained completely covered by the cell suspension in the former method, whereas around half of the surfaces were covered in the latter. The assays were conducted with Pseudomonas aeruginosa, and the results (Figure 12) showed the effect of the nanoporous silica coatings on the number of viable cells [colony forming units (CFU)] in 4-, 8-, and 24-h-old biofilms. Even though no marked difference was observed after 4 h of incubation, with longer time of incubation, the number of adhered cells to MS-4 and MS-9 (mesoporous surfaces with average pore diameters of 4 and 9 nm, respectively) in the submerged systems significantly lowered when compared to the smooth surfaces, and the variation was higher in the ALI systems. The whole biofilm mass in the control [non-nanoporous silica (NMS); Figure 12] and test surfaces was assessed by staining with crystal violet. Stained 24-h biofilms clearly demonstrated the inhibitory effect of the coatings on biofilm formation (Figure 12). A significant reduction in absorbance (at 575 nm) was observed with the mesoporous surfaces when compared to the control (Figure 12) (Pezzoni et al., 2017).

Figure 12: 
              (A) Effect of mesoporous surfaces (MS) on the average numbers of attached cells (quantified by the plate count method). Submerged and ALI biofilms were grown on mesoporous MS-4 and MS-9 surfaces (NMS, control surface). (B) Effect of mesoporous surfaces on the formation of biofilm assessed by crystal violet staining (by measuring absorbance at 575 nm) (reproduced with permission from Pezzoni et al., 2017; Copyright @ Elsevier).
Figure 12:

(A) Effect of mesoporous surfaces (MS) on the average numbers of attached cells (quantified by the plate count method). Submerged and ALI biofilms were grown on mesoporous MS-4 and MS-9 surfaces (NMS, control surface). (B) Effect of mesoporous surfaces on the formation of biofilm assessed by crystal violet staining (by measuring absorbance at 575 nm) (reproduced with permission from Pezzoni et al., 2017; Copyright @ Elsevier).

To avoid the adverse cytotoxicity of the cationic polymers, a few works investigated the supramolecular assemblies of bis-aminated polymer with cucurbit[7]uril (CB[7]) (Liu & Du, 2010; Shetty et al., 2015). In a recent work, Li et al. reported a new nano-assembly made from amoxicillin (AMO), MSN, 1,2-ethanediamine (EDA)-modified polyglycerol methacrylate (PGEDA), CB[7], and TPE-based tetracarboxylic acid, namely, TPE-(COOH)4 (Figure 13). AMO was loaded into the mesopores of MSNs and then CB[7] was used to interact with PGEDA to form stable supramolecular polymers on the MSN surface via ion-dipole interactions. Negatively charged TPE-(COOH)4 could further bind with positively charged supramolecular polymers on the MSN surface via electrostatic interactions to form an LbL supramolecular nano-assembly. When bacteria contacts with this nano-assembly, the binding of the anionic bacterial surface toward the cationic PGEDA layer can decrease/disrupt the interactions between the PGEDA and TPE-(COOH)4 layers, leading to reduced TPE-(COOH)4 emission. Besides, upon the addition of adamantaneamine (AD), a more stable AD ⊂ CB[7] complex was formed and PGEDA is liberated through competitive replacement; this directed to the release of AMO, resulting in a higher antibacterial property. Studies on the antibacterial activities of nano-assembly toward Escherichia coli and Staphylococcus aureus showed that MSN-PGEDA-CB[7]-TPE with AD displayed high killing efficiency (99%) toward E. coli, while killing efficiency was >30% in the absence of AD (Figure 13). The results provided further evidence to the fact that the antibacterial ability of a nano-assembly can be regulated by an appropriate supramolecular dis-assembly process (Li et al., 2017).

Figure 13: 
              (Left) Schematic illustration of the nano-assembly and likely mechanism for bacterial detection and inhibition. (Right) Colony forming units for Staphylococcus aureus and Escherichia coli treated with nano-assembly before and after the addition of AD on LB agar plate (reproduced with permission from Li et al., 2017; Copyright @ The American Chemical Society).
Figure 13:

(Left) Schematic illustration of the nano-assembly and likely mechanism for bacterial detection and inhibition. (Right) Colony forming units for Staphylococcus aureus and Escherichia coli treated with nano-assembly before and after the addition of AD on LB agar plate (reproduced with permission from Li et al., 2017; Copyright @ The American Chemical Society).

Zheng et al. reported a pH/sulfide ion-responsive multi-functional release system based on MSNs loaded with a corrosion inhibitor (BTA) and antibacterial agent (benzalkonium chloride or triclosan). To realize this, the outer surface/mesoporous orifice of MSNs was initially functionalized with N-(3-trimethoxysilylpropyl) ethylenediamine (DiA) to form DiA-MSNs. Subsequently, the functionalized MSNs were loaded by BTA and biocides with a different molar ratio through a vacuum method. The loaded nanocontainers were recovered by centrifugation and washed to remove excess absorbed BTA and biocides. Lastly, an aqueous CuSO4 solution was dropped on the powder of the loaded nanocontainers to form an insoluble complex with BTA at the mesopore orifices, obtaining Cux-(y)@DiA-MSNs, where x is the concentration of the CuSO4 solution and y is the molar ratio of the biocide to BTA in the first loading cycle. The inhibitor/antibacterial agent’s release was triggered when the pH is <5 or the [S2−] is >0.02 mm (~0.6 ppm) (Zheng et al., 2013).

4.2.2 CD based

CDs are widely used as a guest in host-guest complex formulations in the construction of nanosized objects for biocide encapsulation. Véronique and Loïc have reviewed CDs in biocidal applications highlighting several examples of biocide-CD inclusion complexes. The biocide-CD complexation improves (i) the physicochemical properties of the biocides (improved aqueous solubility, decreased vapor pressure, etc.), (ii) the controlled release and bioavailability, (iii) the shelf-life, (iv) the storage conditions, and (v) the environmental friendliness (Véronique & Loïc, 2014; Zhao et al., 2018a).

CDs have been shown to be effective for the inactivation of pathogens; however, a high CD concentration (>5 mm) needs to be maintained for efficient biocidal activity. Leclercq et al. have shown that CDs can remarkably boost the virucidal activity of di-n-decyl dimethyl ammonium chloride, where they work synergistically with the biocide providing an apparent decrease in the active virucide concentration between 40 and 85% (Leclercq et al., 2012). Their mechanism of action is based on the lipid extraction from the cell membrane driven by complexation (Leclercq et al., 2016).

Wen et al. showed that the electrospun polylactic acid (PLA)/cinnamon essential oil (CEO)/β-CD nanofilm had outstanding antimicrobial activity against both gram-positive and gram-negative bacteria. They have fabricated a novel antimicrobial packaging material by integrating the CEO/β-CD inclusion complex (CEO/β-CD-IC) into PLA nanofibers. The CEO/β-CD-IC was fabricated by the co-precipitation method. SEM and FTIR spectroscopy studies confirmed complex formation with enhanced thermal stability. The complex was subsequently assimilated into PLA nanofibers (by electrospinning) and studied for their antimicrobial activity. The minimum inhibitory concentration of the nanofilm against Escherichia coli and Staphylococcus aureus was approximately 1 mg ml−1 when compared to the equivalent CEO concentration of 11.35 μg ml−1. The corresponding minimum bactericidal concentrations were approximately 7 and 79.45 mg ml−1, respectively (Wen et al., 2016).

Cai et al. developed a host-guest chemistry-based biomimetic approach for the fabrication of antifouling titanium (Ti) oxide surfaces. Two catecholic derivatives, dopamine 4-(phenylazo) benzamide (AZODopa) and dopamine 1-adamantanecarboxamide (AdaDopa), were respectively produced via simple reactive ester-amine reaction and amidation, and immobilized onto the Ti oxide surfaces to form guest molecule monolayers for the successive host-guest interactions with zwitterionic heptakis[6-deoxy-6-(N-3-sulfopropyl-N,N-dimethylammonium ethyl sulfanyl)]-β-CD (SBCD) and hydrophilic β-CD polymer (CDP) (Figure 14). The elemental composition and hydrophobic/hydrophilic properties of the oxide before and after modification were characterized by XPS and static water contact angle measurements, respectively, and the results showed that the oxide surface had been successfully functionalized. The protein adsorption studies (quantified by XPS N 1s and C 1s peak area ([N]/[C]) ratio) showed a significant increase in [N]/[C] ratios for the pristine Ti oxide, Ti oxide-Ada, and Ti oxide-AZO surfaces, indicating that these surfaces can adsorb bovine plasma fibrinogen (FBG) easily (Figure 14). In comparison to the corresponding Ti oxide-Ada and Ti oxide-AZO surfaces, the increase in [N]/[C] ratios was marginal for the Ti oxide-Ada@SBCD (from 0.06 to 0.08) and Ti oxide-AZO@SBCD (from 0.07 to 0.09) surfaces after the FBG exposure. The minor change in [N]/[C] ratio before and after FBG exposure for the oxide surfaces functionalized with zwitterionic SBCD suggested that the non-specific adsorption of FBG can be greatly inhibited. The results on Escherichia coli adhesion, via the spread plate method (Figure 14), showed that there is an apparent decrease in the number of attached bacterial cells on the Ti oxide-Ada@SBCD, Ti oxide-AZO@SBCD, Ti oxide-Ada@CDP, and Ti oxide-AZO@CDP surfaces when compared to the pristine and the AdaDopa- and AZODopa-anchored Ti oxide surfaces (Cai et al., 2016).

Figure 14: 
              (A) Schematic design of a biomimetic technique to fabricate guest molecule-anchored Ti oxide surfaces and a supramolecular assembly to fabricate SBCD- and CDP-functionalized Ti oxide surfaces via host-guest complexation. (B) Evaluation of protein adsorption, expressed as XPS-derived [N]/[C] ratios on different surfaces after incubation in PBS (pH 7.4) containing 1 mg ml−1 of FBG for 12 h. (C) Number of adhered bacterial cells per cm2 on different surfaces after exposure to Escherichia coli suspension in PBS (1×107 cells ml−1) for 4 h (reproduced with permission from Cai et al., 2016; Copyright @ Elsevier).
Figure 14:

(A) Schematic design of a biomimetic technique to fabricate guest molecule-anchored Ti oxide surfaces and a supramolecular assembly to fabricate SBCD- and CDP-functionalized Ti oxide surfaces via host-guest complexation. (B) Evaluation of protein adsorption, expressed as XPS-derived [N]/[C] ratios on different surfaces after incubation in PBS (pH 7.4) containing 1 mg ml−1 of FBG for 12 h. (C) Number of adhered bacterial cells per cm2 on different surfaces after exposure to Escherichia coli suspension in PBS (1×107 cells ml−1) for 4 h (reproduced with permission from Cai et al., 2016; Copyright @ Elsevier).

Magnetic iron oxide nanoparticles (MNPs) have high physical/chemical stability and good biocompatibility, and they offer a high surface area for post-modification. A few works reported on β-CD-modified MNPs for incorporation of adamantine (Ada) derivatives to immobilize proteins and other biomolecules (Díez et al., 2012; Lai et al., 2017). The β-CD-Ada pair is attractive owing to the specific and comparatively robust binding interactions, and they have been employed as the building block for creating complex structures. In this direction, Hu et al. reported a supramolecular host-guest system for biofunctionalization of MNPs. The production scheme (Figure 15) shows that, firstly, the porous Fe3O4 particles stabilized by citrate groups were produced via a one-pot hydrothermal method. A thin layer of dense silica was successively coated on the MNP surface by using the sol-gel method to yield a core-shell structured MNP@SiO2. Ada-terminated organic silanes were subsequently introduced on the surface of the MNP@SiO2 particles via the silane coupling technique to obtain MNP@SiO2-Ada composite particles. To explore the versatility, these particles were further incorporated with CD-X molecules (biofunctional β-CD derivatives, where X is the bioactive ligand conjugated on the narrower rim of β-CD). Three different CD-X molecules with X=biotin (B), mannose (M), or quaternary ammonium salt (QAS) were used. To test whether the functionalized particles displayed the agreeing activity, pristine MNPs and MNP@SiO2-M particles (1 mg ml−1) were incubated in a FITC-concanavalin A (ConA) solution for 20 min, and the binding abilities were compared. Similar to the MNP@SiO2-B particles, the MNP@SiO2-M particles showed a high binding capacity to the target protein ConA, at a rate ~8.3 times greater than that of pristine MNPs. Furthermore, these particles also presented resistance to adsorption of the non-specific protein BSA. To test the bactericidal properties, pristine MNPs and MNP@SiO2-Q particles [2 mg ml−1 in phosphate-buffered saline (PBS)] were incubated in a model pathogenic bacterium Staphylococcus aureus suspension (105 CFU ml−1 in PBS, 3 h), and the bacterial viability was quantified using a conventional colony-counting assay. From Figure 15, it is clear that MNPs themselves could not kill bacteria, whereas the CD-Q-functionalized MNPs showed good biocidal activity that killed >99% bacteria, which was attributed to the copious QAS groups that can disrupt the negatively charged cell membranes (Hu et al., 2018).

Figure 15: 
              (A) Preparation method for MNP@SiO2-Ada and integration with CD-X. (B) Adsorption of 0.1 mg ml−1 FITC-ConA on MNP and MNP@SiO2-M. (C) The bacterial capture efficiency of MNP and MNP@SiO2-M for Escherichia coli. Error bars denote the standard deviation of the mean (n=3). (D) Typical photos of Staphylococcus aureus colonies formed on agar plates at a density of 1×105 CFU ml−1 (a) and after being treated with MNP (b) and MNP@SiO2-Q (c) for 3 h (reproduced with permission from Hu et al., 2018; Copyright @ The Royal Society of Chemistry).
Figure 15:

(A) Preparation method for MNP@SiO2-Ada and integration with CD-X. (B) Adsorption of 0.1 mg ml−1 FITC-ConA on MNP and MNP@SiO2-M. (C) The bacterial capture efficiency of MNP and MNP@SiO2-M for Escherichia coli. Error bars denote the standard deviation of the mean (n=3). (D) Typical photos of Staphylococcus aureus colonies formed on agar plates at a density of 1×105 CFU ml−1 (a) and after being treated with MNP (b) and MNP@SiO2-Q (c) for 3 h (reproduced with permission from Hu et al., 2018; Copyright @ The Royal Society of Chemistry).

4.3 Metal-organic structures

Suitably modified MOFs have been projected as apt materials for superhydrophobic applications (Nguyen & Cohen, 2010; Bétard et al., 2012; Rao et al., 2014). Roy et al. reported a self-cleaning MOF having high water contact angles. Coordination-driven self-assembly of dialkoxyoctadecyl-oligo-(p-phenyleneethynylene) dicarboxylate (OPE-C18) with Zn(II) in a DMF/H2O mixture led to a 3D supramolecular porous framework {Zn(OPE-C18)·2H2O} (NMOF-1) with high thermal and chemical stability. The superhydrophobicity in NMOF-1 (water contact angle, 160–162°) was attributed to the reduced surface free energy due to the periodic organization of 1D Zn-OPE-C18 chains with octadecyl alkyl chains projecting outward (Roy et al., 2016). Ogawa et al. reported electrospun fluoroalkyl silane (FAS)-modified LbL structured film. The rough fiber surface produced by the electrostatic LbL coating of TiO2 nanoparticles and poly(acrylic acid) (PAA) was utilized. The results disclosed that the FAS modification was the main process in augmenting the surface hydrophobicity. A TiO2/PAA film-coated cellulose acetate nanofibrous membrane with FAS surface modification displayed a maximum water contact angle of 162° and a lowest water-roll angle of 2° (Ogawa et al., 2007). These novel water-repellent materials are suitable for self-cleaning antibiofouling applications (Bixler & Bhushan, 2012; Liu et al., 2017).

The supramolecular metal-phenolic networks such as the tannic acid (TA)-FeIII coordination complexes offer a modest and green route for modifying antifouling membranes (Ju et al., 2015). Park et al. demonstrated a rapid spray-assisted nanocoating of supramolecular metal-organic coordination complexes (MOCs) of TA and ferric ions [Fe(III)-TA-MOC], where the concurrent spraying of Fe(III) and TA led to a uniform film. The coating was studied with various substrates, including Au, Si/SiO2, Ti, Al, Ag, Cu, Ni, Sn and Zn foil, SS, PS, and polytetrafluoroethylene. All the substrates studied turned out to be hydrophilic (contact angle ~35°) irrespective of their hydrophobicity before the coating. The study also showed that the coating effectively barred the growth and proliferation of Trichophyton rubrum (Park et al., 2017).

Yin et al. reported an antifouling liquid-infused enamel surface for dental biomaterials where a micro/nanoporous surface achieved by H3PO4 etching was subsequently functionalized by hydrophobic heptadecafluoro-1,1,2,2-tetrahydro decyl trichlorosilane. Successive infusion of fluorocarbon lubricant (Fluorinert FC-70) into the polyfluoroalkyl-silanized rough surface created a slippery liquid-infused porous surface (SLIPS). The antibiofouling properties evaluated by salivary proteins (mucin, Streptococcus mutans) adsorption in vitro and dental biofilm formation (rabbit model) in vivo demonstrated that the surface SLIPS considerably prevented mucin adhesion, S. mutans biofilm formation, and plaque formation (Yin et al., 2016).

Several works are reported on the organotin (IV)-based complexes; however, they are unattractive due to environmental regulations (Omae, 2003; Chauhan & Shaik, 2005; Rehman et al., 2009; Shujah et al., 2011).

Enzyme mimics or artificial enzymes have shown immense potential in the development of antibiofouling systems (Gale & Steed, 2012; Natalio et al., 2012). Examples include CD-based (Marchetti & Levine, 2011), calixarenes-based (Tabakci et al., 2012; Rebilly et al., 2015), zeolites-based (Weckhuysen et al., 1996), and MOF-based (Larsen et al., 2011) systems. More details on enzyme mimics are described elsewhere (Xue et al., 2014b; Kuah et al., 2016; Gu et al., 2017). A number of reports on biological supramolecules are available, which is out of the scope of this review.

5 Future potentials

During the past four decades, supramolecular chemistry has grown into a foremost field of interest to scientists across different disciplines including corrosion science and technology. The ongoing research efforts in understanding the fundamental nature of non-covalent interactions and design/synthesis of novel supramolecules are expected to benefit hugely in the development of highly corrosion resistant, prolonged self-healing, and superior antibiofouling surfaces.

An area that is expected to provide significant technological advancements is the smart on-demand release coatings with encapsulated inhibitors/biocides. Despite a significant number of research efforts in this direction, there are only a few commercially available products (Stankiewicz & Barker, 2016). The design and preparation of novel host-guest chemistry-based nanocontainers with multipurpose functionalities are expected to deliver great prospects for developing new-generation coatings. More research works need to be performed in achieving sustained-release capsules for a longer period of service. Further works are desirable to optimize the nature and extent of important additives in a selected smart coating so that optimum conditions can be derived where the additives do not deteriorate but enhance the mechanical strength, coating adhesion, and barrier properties. It has been suggested that future research should also focus on the progress and application of siloxane technology, as well as the development of smart self-healing metallic coatings with improved hardness and wear resistance (Stankiewicz & Barker, 2016). Hydrogels can further be explored as stimuli-responsive nanocapsules, especially for biofouling applications. Some reported works available in the recent literature (Nowacka et al., 2015; Narinder et al., 2017) have the potential for applicability in corrosion and biofouling research.

Significant advancements have been achieved in the concept of supramolecular polymerization: the self-assembly of monomers into polymeric structures through the exploitation of non-covalent interactions. Challenges remain in achieving stable and clear-cut macroscopic supramolecular assemblies for different functions including corrosion and biofouling. By increasing the density of the building blocks, the driving force for the assembly can be transformed suitably to develop hydrophobic or hydrophilic surfaces. The “flexible spacing coating” (Cheng et al., 2014) concept can be explored further. More studies on metal-ligand macroscopic self-assemblies (Akram et al., 2017) are demanding.

Studies on functionalized supramolecular PUs with partial replacement of covalent bonding can yield optimum self-healing coating compositions without losing mechanical and barrier properties. More studies on natural polymers such as CDs in designing sustained-release smart coatings with commercialization prospects are required. Novel biopolymers such as eumelanin (dihydroxyindole oligomers) can be investigated. Calixarenes need to be further explored in the construction of enzyme mimics and host-guest chemistry-based coatings and inhibitors. Advanced works on hairy inorganic nanoparticles (assembling polymer-coated nanoparticles into hybrid nanocomposites with targeted architectures) (Yi et al., 2017) for the development of functional multi-hierarchical nanocomposites can yield fruitful results.

More works on chitosan-based supramolecular compounds in biofouling applications can yield better results, as it has good antimicrobial, antifungal, and antialgal properties. CDs can be immobilized at the 6-OH position of chitosan to retain the functions of the 2-NH2 group (Chen et al., 2016). Studies have shown the antifouling potential of the chitosan-based systems such as chitosan-ZnO nanocomposite hybrid coatings (Al-Naamani et al., 2017). Another natural material, lignin, can be studied further in this direction and is suitable as a matrix in LbL films. Lignin-based supramolecular antibiofouling coatings can be used as an overcoat on the conventional barrier coat. Cerrutti et al. have shown that incorporation of lignin can enhance the mechanical properties and thermal stability of coatings and can act as effective diffusion barriers in anticorrosion coatings for steel in the saline environment (Cerrutti et al., 2015).

Modifying the supramolecular interactions in developing superhydrophobic surface is a critical area. More research on gel systems in developing superhydrophobic and liquid-infused slippery surfaces will be beneficial. The gel-based coatings are attractive and can be used as a top layer coating over the corrosion protective barrier coating and can function as on-demand release smart systems for inhibitors, biocides, and lubricants, which is particularly relevant in biofouling applications. The concept of the flexible spacing coating can further be explored to modify the polymer gel systems so that reversible macroscopic assembly with rigid building blocks can be realized (Cheng et al., 2014).

Among the different non-covalent interactions, metal-ligand interactions are particularly interesting and may lead to more robust supramolecular assemblies. Metal-ligand polymers can be further explored for corrosion and biofouling protection. The advantage of the tunable property of these compounds can be utilized. A few recently reported works have the potential to be applied in the area of corrosion and biofouling prevention (Ozaki et al., 2017; Leoni & Cort, 2018; Piot et al., 2018; Shao et al., 2018). Studies on novel supramolecular MOF-based composites having supreme mechanical, barrier, and superhydrophobic properties can yield commercially relevant materials. Metal ion-induced self-assembly of metallosupramolecular coordination polyelectrolytes can further be explored. Studies on self-cleaning MOFs (with inherent thermal and chemical stability) having high water contact angles and corrosion resistance can yield desirable results for producing bio-inspired self-cleaning surfaces for advanced antibiofouling paints (Roy et al., 2016). The MOFs with inherent corrosion inhibition characteristics can further be loaded with effective corrosion inhibitors, and the adsorbed molecules can function as a sustained-release system at the metal/electrolyte interface.

For fabricating materials with high mechanical performance and self-healing/antibiofouling ability, nacre-inspired composites (Zhao et al., 2018b) with supramolecular modified surfaces can be investigated. Studies in this direction can lead to mechanically robust materials with self-healing properties (Hart et al., 2014). More works on dendrimers, graphene, and fullerene derivatives can be utilized in fabricating supramolecular assemblies for corrosion and biofouling prevention. Efforts need to be put forward in improving the stability and selectivity of host-guest complexes, e.g. crown ether-based host-guest complexes. More studies on crown ether dendrimer complexes (Winkler et al., 2009) can yield desirable results.

6 Summary and outlook

This work provides a comprehensive review of the application of supramolecular chemistry in corrosion and biofouling prevention. The research advancements in this area were explained under three subheads: surface coatings, corrosion inhibitors, and antibiofouling surfaces. In each section, advancements in polymeric, host-guest-based systems, organic-inorganic hybrid systems, and other supramolecular structures and techniques were incorporated.

The primary area of research interest in surface coatings where supramolecular interactions come into play is indeed the on-demand release smart coatings. The current trend shows that most of the reported works in this area are focused on CDs and mesoporous silica-based host-guest systems. The most widely investigated synthetic polymer in this direction is the PU. Studies indicated that an optimum ratio needs to be achieved between the covalent and the non-covalent networks of PUs to provide a suitable self-healing effect without losing barrier properties.

The third-generation supramolecules such as CDs, calixarene, and crown ethers were investigated as effective corrosion inhibitors, especially as slow-release embedded inhibitors. Among them, CD-based systems have a high potential to realize slow- and controlled-release host-guest systems. Many studies are reported on coordination polymers and MOFs in corrosion inhibition applications. A few works are available on functionalized PU inhibitors.

Polymeric materials are widely employed in antibiofouling applications. Polymer gel-based systems are projected as future candidates, especially as a commercially relevant topcoat over the corrosion protection barrier coating. Several studies have investigated host-guest-based biocide-release coatings. MOFs can be attractive in developing superhydrophobic antibiofouling surfaces.

About the author

Viswanathan S. Saji

Viswanathan S. Saji is a Research Scientist III at the Center of Research Excellence in Corrosion, King Fahd University of Petroleum and Minerals, Saudi Arabia. He received his PhD (2003) degree from the University of Kerala. He was a Research Associate at IIT Bombay (2004–2005) and IISc Bangalore (2005–2007), Postdoctoral Researcher at Yonsei University (2007–2008) and Sunchon National University (2009), Senior Research Scientist at UNIST (2009–2010), Research Professor at Chosun University (2008–2009) and Korea University (2010–2013), and Endeavour Research Fellow at the University of Adelaide (2014).

References

Abd El-Ghaffar MA, Youssef EAM, Darwish WM, Helaly FM. A novel series of corrosion inhibitive polymers for steel protection. J Elastomers Plast 1998; 30: 68–94.10.1177/009524439803000106Search in Google Scholar

Abdullayev E, Price R, Shchukin D, Lvov Y. Halloysite tubes as nanocontainers for anticorrosion coating with benzotriazole. ACS Appl Mater Interfaces 2009; 1: 1437–1443.10.1021/am9002028Search in Google Scholar

Abu-Thabit NY, Makhlouf ASH. Recent advances in nanocomposite coatings for corrosion protection applications. In: Makhlouf ASH, Scharnweber D, editors. Handbook of nanoceramic and nanocomposite coatings and materials. Amsterdam: Elsevier, 2015, ISBN 978-0-12-799947-0.10.1016/B978-0-12-799947-0.00024-9Search in Google Scholar

Achary G, Sachin HP, Shivakumara S, Arthoba Naik Y, Venkatesha TV. Surface treatment of zinc by Schiff’s bases and its corrosion study. Russ J Electrochem 2007; 43: 844–849.10.1134/S1023193507070154Search in Google Scholar

Adler HA, Jaehne E, Stratmann M, Grundmeier G. New concepts for corrosion inhibition and adhesion promotion. Proc Annu Meet Tech Prog FSCT 2002; 80: 528–545.Search in Google Scholar

Aida T, Meijer EW, Stupp SI. Functional supramolecular polymers. Science 2012; 335: 813–817.10.1126/science.1205962Search in Google Scholar

Aizenberg J, Aizenberg M, Cui J, Dunn S, Hatton B, Howell C, Kim P, Wong TS, Yao X. Slippery self-lubricating polymer surfaces. US 0152270 A1, 2015.Search in Google Scholar

Akram R, Arshad A, Wu Y, Wu Z, Wu D. Efficient modification with flexible spacing coating for in situ reversible assembly of semirigid macroscopic objects through hierarchical metal coordination. Polym Adv Technol 2017: 1–8.10.1002/pat.4107Search in Google Scholar

Almeida E, Diamantino TC, de Sousa O. Marine paints: the particular case of antifouling paints. Prog Org Coat 2007; 59: 2–20.10.1016/j.porgcoat.2007.01.017Search in Google Scholar

Al-Naamani L, Dobretsov S, Dutta J, Grant Burgess J. Chitosan-zinc oxide nanocomposite coatings for the prevention of marine biofouling. Chemosphere 2017; 168: 408–417.10.1016/j.chemosphere.2016.10.033Search in Google Scholar

Álvarez D, Collazo A, Hernández M, Nóvoa XR, Pérez C. Characterization of hybrid sol-gel coatings doped with hydrotalcite-like compounds to improve corrosion resistance of AA2024-T3 alloys. Prog Org Coat 2010; 67: 152–160.10.1016/j.porgcoat.2009.10.014Search in Google Scholar

Ambrogio MW, Thomas CR, Zhao YL, Zink JI, Stoddart JF. Mechanized silica nanoparticles: a new frontier in theranostic nanomedicine. Acc Chem Res 2011; 44: 903–913.10.1021/ar200018xSearch in Google Scholar

Amin MA, Abd El-Rehim SS, El-Sherbini EEF, Hazzazi OA, AbbasMN. Polyacrylic acid as a corrosion inhibitor for aluminium in weakly alkaline solutions. Part I: weight loss, polarization, impedance, EFM and EDX studies. Corros Sci 2009; 51: 658–667.10.1016/j.corsci.2008.12.008Search in Google Scholar

Amiri S, Rahimi A. Preparation of supramolecular corrosion-inhibiting nanocontainers for self-protective hybrid nanocomposite coatings. J Polym Res 2014; 21: 566.10.1007/s10965-014-0566-5Search in Google Scholar

Amiri S, Rahimi A. Synthesis and characterization of supramolecular corrosion inhibitor nanocontainers for anticorrosion hybrid nanocomposite coatings. J Polym Res 2015; 22: 66.10.1007/s10965-015-0699-1Search in Google Scholar

Andreeva DV, Skorb EV, Shchukin DG. Layer-by-layer polyelectrolyte/inhibitor nanostructures for metal corrosion protection. ACS Appl Mater Interfaces 2010; 2: 1954–1962.10.1021/am1002712Search in Google Scholar

Ariga K, Ji Q, Hill JP, Bando Y, Aono M. Forming nanomaterials as layered functional structures toward materials nanoarchitectonics. NPG Asia Mater 2012; 4: e17.10.1038/am.2012.30Search in Google Scholar

Armao IV JJ, Nyrkova I, Fuks G, Osypenko A, Maaloum M, Moulin E, Arenal R, Gavat O, Semenov A, Giuseppone N. Anisotropic self-assembly of supra -molecular polymers and plasmonic nanoparticles at the liquid-liquid interface. J Am Chem Soc 2017; 139: 2345–2350.10.1021/jacs.6b11179Search in Google Scholar

Arthur DE, Jonathan A, Ameh PO, Anya C. A review on the assessment of polymeric materials used as corrosion inhibitor of metals and alloys. Int J Ind Chem 2013; 4: 2.10.1186/2228-5547-4-2Search in Google Scholar

Atwood JL, Steed JW. Encyclopedia of supramolecular chemistry. Florida: CRC Press, 2004, ISBN 9780824750565.10.1081/E-ESMCSearch in Google Scholar

Atwood JL, Gokel GW, Barbour L. Comprehensive supramolecular chemistry II, 2nd ed., Amsterdam: Elsevier, 2017, ISBN 9780128031995.Search in Google Scholar

Baghdachi J. Smart coatings. ACS symposium series. Washington, DC: ACS, 2009.10.1021/bk-2010-1050Search in Google Scholar

Banerjee S, Mishra A, Singh MM, Maiti P. Effects of nanoclay and polyurethanes on inhibition of mild steel corrosion. J Nanosci Nanotechnol 2011a; 11: 966–978.10.1166/jnn.2011.3070Search in Google Scholar

Banerjee S, Mishra A, Singh MM, Maiti B, Ray B, Maiti P. Highly efficient polyurethane ionomer corrosion inhibitor: the effect of chain structure. RSC Adv 2011b; 1: 199–210.10.1039/c1ra00021gSearch in Google Scholar

Banerjee I, Pangule RC, Kane RS. Antifouling coatings: recent developments in the design of surfaces that prevent fouling by proteins, bacteria, and marine organisms. Adv Mater 2011c; 23: 690–718.10.1002/adma.201001215Search in Google Scholar

Barthes J, Mertz D, Bach C, Metz-Boutigue MH, Senger B, Voegel JC, Schaaf P, Lavalle P. Stretch-induced biodegradation of polyelectrolyte multilayer films for drug release. Langmuir 2012; 28: 13550–13554.10.1021/la302550qSearch in Google Scholar

Baskar R, Kesavan D, Gopiraman M, Subramanian K. Corrosion inhibition of mild steel in 1.0 M hydrochloric acid medium by new photo-cross-linkable polymers. Prog Org Coat 2014; 77: 836–844.10.1016/j.porgcoat.2014.01.013Search in Google Scholar

Batten SR, Champness NR, Chen XM, Garcia-Martinez J, Kitagawa S, Öhrström L, O’Keeffe M, Suh MP, Reedijk J. Coordination polymers, metal-organic frameworks and the need for terminology guidelines. Cryst Eng Comm 2012; 14: 3001–3004.10.1039/c2ce06488jSearch in Google Scholar

Bauer S, Alles M, Arpa-Sancet MP, Ralston E, Swain GW, Aldred N, Clare AS, Finlay JA, Callow ME, Callow JA, Rosenhahn A. Resistance of amphiphilic polysaccharides against marine fouling organisms. Biomacromolecules 2016; 17: 897–904.10.1021/acs.biomac.5b01590Search in Google Scholar

Beck JB, Ineman JM, Rowan SJ. Metal/ligand-induced formation of metallo-supramolecular polymers. Macromolecules 2005; 38: 5060–5068.10.1021/ma050369eSearch in Google Scholar

Beltrán HI, Esquivel R, Lozada-Cassou M, Dominguez-Aguilar MA, Sosa-Sánchez A, Sosa-Sánchez JL, Höpfl H, Barba V, Luna-García R, Farfán N, Zamudio-Rivera LS. Nanocap-shaped tin phthalocyanines: synthesis, characterization, and corrosion inhibition activity. Chem Eur J 2005; 11: 2705–2715.10.1002/chem.200400955Search in Google Scholar

Benabdellah M, Souane R, Cheriaa N, Abidi R, Hammouti B, Vicens J. Synthesis of calixarene derivatives and their anticorrosive effect on steel in 1 M HCl. Pigm Resin Technol 2007; 36: 373–381.10.1108/03699420710831791Search in Google Scholar

Bera S, Haldar D. A rechargeable self-healing safety fuel gel. J Mater Chem A 2016; 4: 6933–6939.10.1039/C5TA08010JSearch in Google Scholar

Berg AI, Loose KU. Supramolecular polymers for biomedical applications. University of Groningen. www.rug.nl/research/zernike/education/topmasternanoscience.Search in Google Scholar

Bétard A, Wannapaiboon S, Fischer RA. Assessing the adsorption selectivity of linker functionalized, moisture-stable metal-organic framework thin films by means of an environment-controlled quartz crystal microbalance. Chem Commun 2012; 48: 10493–10495.10.1039/c2cc34608gSearch in Google Scholar

Biesalski M, Ruehe J, Kuegler R, Knoll W. Polyelectrolytes at solid surfaces: multilayers and brushes. In: Tripathy SK, Kumar J, Nalwa HS, editors. Handbook of polyelectrolytes and their applications, California: American Scientific Publishers, vol. 1, 2002: 1, 39–63, ISBN 1-58883-002-0.Search in Google Scholar

Biradha K, Ramanan A, Vittal JJ. Coordination polymers versus metal-organic frameworks. Cryst Growth Des 2009; 9: 2969–2970.10.1021/cg801381pSearch in Google Scholar

Bixler GD, Bhushan B. Biofouling: lessons from nature. Phil Trans R Soc A 2012; 370: 2381–2417.10.1098/rsta.2011.0502Search in Google Scholar

Borisova D, Möhwald H, Shchukin DG. Mesoporous silica nanoparticles for active corrosion protection. ACS Nano 2011; 5: 1939–1946.10.1021/nn102871vSearch in Google Scholar

Borisova D, Möhwald H, Shchukin DG. Influence of embedded nanocontainers on the efficiency of active anticorrosive coatings for aluminum alloys part I: influence of nanocontainer concentration. ACS Appl Mater Interfaces 2012; 4: 2931–2939.10.1021/am300266tSearch in Google Scholar

Borisova D, Möhwald H, Shchukin DG. Influence of embedded nanocontainers on the efficiency of active anticorrosive coatings for aluminum alloys part II: influence of nanocontainer position. ACS Appl Mater Interfaces 2013; 5: 80–87.10.1021/am302141ySearch in Google Scholar

Bouteiller L. Assembly via hydrogen bonds of low molar mass compounds into supramolecular polymers. Adv Polym Sci 2007; 207: 79–112.10.1007/12_2006_110Search in Google Scholar

Brunsveld L, Folmer BJB, Meijer EW, Sijbesma RP. Supramolecular polymers. Chem Rev 2001; 101: 4071–4098.10.1021/cr990125qSearch in Google Scholar

Burnworth M, Tang L, Kumpfer JR, Duncan AJ, Beyer FL, Fiore GL, Rowan SJ, Weder C. Optically healable supramolecular polymers. Nature 2011; 472: 334–337.10.1038/nature09963Search in Google Scholar

Cai M, Liang Y, Zhou F, Liu W. Functional ionic gels formed by supramolecular assembly of a novel low molecular weight anticorrosive/antioxidative gelator. J Mater Chem 2011; 21: 13399–13405.10.1039/c1jm12010gSearch in Google Scholar

Cai XY, Li NN, Chen JC, Kang ET, Xu LQ. Biomimetic anchors applied to the host-guest antifouling functionalization of titanium substrates. J Colloid Interface Sci 2016; 475: 8–16.10.1016/j.jcis.2016.04.034Search in Google Scholar

Callow JA, Callow ME. Trends in the development of environmentally friendly fouling-resistant marine coatings. Nat Commun 2012; 2: 244.10.1038/ncomms1251Search in Google Scholar

Canaval LR, Hadisaputra S, Hofer TS. Remarkable conformational flexibility of aqueous 18-crown-6 and its strontium(II) complex – ab initio molecular dynamics simulations. Phys Chem Chem Phys 2015; 17: 16359–16366.10.1039/C5CP01977JSearch in Google Scholar

Cao S, Wang JD, Chen HS, Chen DR. Progress of marine biofouling and antifouling technologies. Chinese Sci Bull 2011; 56: 598–612.10.1007/s11434-010-4158-4Search in Google Scholar

Caprioli F, Martinelli A, Gazzoli D, Di Castro V, Decker F. Enhanced protective properties and structural order of self-assembled monolayers of aromatic thiols on copper in contact with acidic aqueous solution. J Phys Chem C 2012; 116: 4628–4636.10.1021/jp210041vSearch in Google Scholar

Cavka JH, Jakobsen S, Olsbye U, Guillou N, Lamberti C, Bordiga S, Lillerud KP. A new zirconium inorganic building brick forming metal organic frameworks with exceptional stability. J Am Chem Soc 2008; 130: 13850–13851.10.1021/ja8057953Search in Google Scholar

Cécile VC, Fouzia B, Pierre S, Loïc J. Surface-assisted self-assembly strategies leading to supramolecular hydrogels. Angew Chem Int Ed 2018; 57: 1448–1456.10.1002/anie.201708629Search in Google Scholar

Cerrutti BM, Harb SV, Moraes ML, Hammer P, Pulcinelli SH, Santilli CV. Valorization of lignins with applications in nanostructured films. 249th ACS Natl Meet Expo., Denver, United States, March 22–26, 2015.Search in Google Scholar

Chambers LD, Stokes KR, Walsh FC, Wood RJK. Modern approaches to marine antifouling coatings. Surf Coat Technol 2006; 201: 3642–3652.10.1016/j.surfcoat.2006.08.129Search in Google Scholar

Chan J, Wong S. Biofouling types, impact and antifouling. Nova Science, 2010, ISBN 978-1-60876-501-0.Search in Google Scholar

Chang B, Guo J, Liu C, Qian J, Yang W. Surface functionalization of magnetic mesoporous silica nanoparticles for controlled drug release. J Mater Chem 2010; 20: 9941–9947.10.1039/c0jm01237hSearch in Google Scholar

Chapman JS, Ding J, Hsiao YL, Lenges CP, Niu Y, Reinartz S, Stancik CM, Van Gorp JJ. Providing resistance to biofouling in a porous support. US 0125703 A1, 2007.Search in Google Scholar

Chauhan HPS, Shaik NM. Synthetic, spectral, thermal and antimicrobial studies on some mixed 1,3-dithia-2-stannacyclopentane derivatives with dialkyldithiocarbamates. J Inorg Biochem 2005; 99: 538–545.10.1016/j.jinorgbio.2004.10.031Search in Google Scholar

Chen T, Fu JJ. pH-responsive nanovalves based on hollow mesoporous silica spheres for controlled release of corrosion inhibitor. Nanotechnology 2012a; 23: 235605.10.1088/0957-4484/23/23/235605Search in Google Scholar

Chen T, Fu JJ. An intelligent anticorrosion coating based on pH-responsive supramolecular nanocontainers. Nanotechnology 2012b; 23: 505705.10.1088/0957-4484/23/50/505705Search in Google Scholar

Chen Q, Chen T, Pan GB, Yan HJ, Song WG, Wan LJ, Li ZT, Wang ZH, Shang B, Yuan LF, Yang JL. Structural selection of graphene supramolecular assembly oriented by molecular conformation and alkyl chain. Proc Natl Acad Sci USA 2008; 105: 16849–16854.10.1073/pnas.0809427105Search in Google Scholar

Chen K, Zhou S, Wu L. Facile fabrication of self-repairing superhydrophobic coatings. Chem Commun 2014; 50: 11891–11894.10.1039/C3CC49251FSearch in Google Scholar

Chen Y, Song G, Qiu Y, Tan H, Ye Y, Guo Y. The recent progress in the preparation of chitosan 6-OH immobilized cyclodextrin and its application. Mini-Rev Org Chem 2016; 13: 154–163.10.2174/1570193X13666160225000901Search in Google Scholar

Cheng M, Shi F, Li J, Lin Z, Jiang C, Xiao M, Zhang L, Yang W, Nishi T. Macroscopic supramolecular assembly of rigid building blocks through a flexible spacing coating. Adv Mater 2014; 26: 3009–3013.10.1002/adma.201305177Search in Google Scholar

Chernykh EV, Brichkin SB. Supramolecular complexes based on cyclodextrins. High Energy Chem 2010; 44: 83–100.10.1134/S0018143910020013Search in Google Scholar

Chetouani A, Medjahed K, Sid-Lakhdar KE, Hammouti B, Benkaddour M, Mansri A. Poly(4-vinylpyridine-poly(3-oxide-ethylene) tosyle) as an inhibitor for iron in sulphuric acid at 80°C. Corros Sci 2004; 46: 2421–2430.10.1016/j.corsci.2004.01.020Search in Google Scholar

Chiba M, Yamada C, Okuyama H, Sugiura M, Pletincx S, Verbruggen H, Hyono A, Graeve ID, Terryn H, Takahashi H. Development of novel surface treatments for corrosion protection of aluminum: self-repairing coatings. Corros Rev 2018; 36: 55–64.10.1515/corrrev-2017-0056Search in Google Scholar

Choi KM, Park JH, Kang JK. Nanocrystalline MOFs embedded in the crystals of other MOFs and their multifunctional performance for molecular encapsulation and energy-carrier storage. Chem Mater 2015; 27: 5088–5093.10.1021/acs.chemmater.5b01786Search in Google Scholar

Ciesielski A, Samorì P. Supramolecular approaches to graphene: from self-assembly to molecule-assisted liquid-phase exfoliation. Adv Mater 2016; 29: 6030–6051.10.1002/adma.201505371Search in Google Scholar

Ciesielski A, Schaeffer G, Petitjean A, Lehn JM, Samorì P. STM insight into hydrogen-bonded bicomponent 1D supramolecular polymers with controlled geometries at the liquid-solid interface. Angew Chem Int Ed 2009; 48: 2073–2077.10.1002/ange.200805680Search in Google Scholar

Clearfield A. Recent advances in metal phosphonate chemistry II. Curr Opin Solid State Mater Sci 2002; 6: 495–506.10.1016/S1359-0286(02)00151-1Search in Google Scholar

Clearfield A, Demadis K. Metal phosphonate chemistry: from synthesis to applications. London: RSC, 2011, ISBN 978-1-84973-356-4.10.1039/9781849733571Search in Google Scholar

Coe S, Woo WK, Bawendi M, Bulović V. Electroluminescence from single monolayers of nanocrystals in molecular organic devices. Nature 2002; 420: 800–803.10.1038/nature01217Search in Google Scholar

Collier CP, Jeppesen JO, Luo Y, Perkins J, Wong EW, Heath JR, Stoddart JF. Molecular-based electronically switchable tunnel junction devices. J Am Chem Soc 2001; 123: 12632–12641.10.1021/ja0114456Search in Google Scholar

Colodrero RMP, Angeli GK, Bazaga-Garcia M, Olivera-Pastor P, Villemin D, Losilla ER, Martos EQ, Hix GB, Aranda MAG, Demadis KD, Cabeza A. Structural variability in multifunctional metal xylenediaminetetraphosphonate hybrids. Inorg Chem 2013; 52: 8770–8783.10.1021/ic400951sSearch in Google Scholar

Combe C, Molis E, Lucas P, Riley R, Clark M. The effect of CA membrane properties on adsorptive fouling by humic acid. J Membr Sci 1999; 154: 73–87.10.1016/S0376-7388(98)00268-3Search in Google Scholar

Cordes DB, Lickiss PD, Rataboul F. Recent developments in the chemistry of cubic polyhedral oligosilsesquioxanes. Chem Rev 2010; 110: 2081–2173.10.1021/cr900201rSearch in Google Scholar

Crooks RM, Zhao M, Sun L, Chechik V, Yeung LK. Dendrimer-encapsulated metal nanoparticles: synthesis, characterization, and applications to catalysis. Acc Chem Res 2001; 34: 181–190.10.1021/ar000110aSearch in Google Scholar

Cui J, Daniel D, Grinthal A, Lin K, Aizenberg J. Dynamic polymer systems with self-regulated secretion for the control of surface properties and material healing. Nature Mater 2015; 14: 790–795.10.1038/nmat4325Search in Google Scholar

Dalcanale E, Pinalli R. Calixarenes-based supramolecular polymers. In: Kobayashi S, Müllen K, editors. Encyclopedia of polymeric nanomaterials. Berlin: Springer, 2013. DOI: 10.1007/978-3-642-36199-9_42-2.Search in Google Scholar

Damodaran VB, Murthy NS. Bio-inspired strategies for designing antifouling biomaterials. Biomater Res 2016; 20: 18.10.1186/s40824-016-0064-4Search in Google Scholar

Dankers PYW, Harmsen MC, Brouwer LA, Van Luyn MJA, Meijer EW. Modular and supramolecular approach to bioactive scaffolds for tissue engineering. Nat Mater 2005; 4: 568–574.10.1038/nmat1418Search in Google Scholar

Das M, Biswas A, Kundu BK, Mobin SM, Udayabhanu G, Mukhopadhyay S. Targeted synthesis of cadmium(II) Schiff base complexes towards corrosion inhibition on mild steel. RSC Adv 2017; 7: 48569–48585.10.1039/C7RA08633DSearch in Google Scholar

De Cat I, Gobbo C, Van Averbeke B, Lazzaroni R, De Feyter S, van Esch J. Controlling the position of functional groups at the liquid/solid interface: impact of molecular symmetry and chirality. J Am Chem Soc 2011; 133: 20942–20950.10.1021/ja209018uSearch in Google Scholar

Deflorian F, Rossi S, Scrinzi E. Self-healing supramolecular polyurethane coatings: preliminary study of the corrosion protective properties. Corros Eng Sci Technol 2013; 48: 147–154.10.1179/1743278212Y.0000000062Search in Google Scholar

Demadis KD, Mantzaridis C, Raptis RG, Mezei G. Metal- organotetraphosphonate inorganic-organic hybrids: crystal structure and anticorrosion effects of zinc hexamethylenediaminetetrakis(methylenephosphonate) on carbon steels. Inorg Chem Commun 2005a; 44: 4469–4471.10.1021/ic050572qSearch in Google Scholar

Demadis KD, Katarachia SD, Koutmos M. Crystal growth and characterization of zinc–(amino-tris-(methylenephosphonate)) organic-inorganic hybrid networks and their inhibiting effect on metallic corrosion. Inorg Chem Communs 2005b; 8: 254–258.10.1016/j.inoche.2004.12.019Search in Google Scholar

Demadis KD, Lykoudis P, Raptis RG, Mezei G. Phosphonopolycarboxylates as chemical additives for calcite scale dissolution and metallic corrosion inhibition based on a calcium-phosphonotricarboxylate organic-inorganic hybrid. Cryst Growth Des 2006a; 6: 1064–1067.10.1021/cg050620hSearch in Google Scholar

Demadis KD, Mantzaridis C, Lykoudis P. Effects of structural differences on metallic corrosion inhibition by metal-polyphosphonate thin films. Ind Eng Chem Res 2006b; 45: 7795–7800.10.1021/ie0607898Search in Google Scholar

Demadis KD, Papadaki M, Raptis RG, Zhao H. Corrugated, sheet-like architectures in layered alkaline-earth metal R,S-hydroxyphosphonoacetate frameworks: applications for anticorrosion protection of metal surfaces. Chem Mater 2008a; 20: 4835–4846.10.1021/cm801004wSearch in Google Scholar

Demadis KD, Papadaki M, Raptis RG, Zhao H. 2D and 3D alkaline earth metal carboxyphosphonate hybrids: anti-corrosion coatings for metal surfaces. J Solid State Chem 2008b; 181: 679–683.10.1016/j.jssc.2007.12.034Search in Google Scholar

Demadis KD, Barouda E, Raptis RG, Zhao H. Metal tetraphosphonate “wires” and their corrosion inhibiting passive films. Inorg Chem 2009; 48: 819–821.10.1021/ic802032ySearch in Google Scholar

Demadis KD, Papadaki M, Cisarova I. Single-crystalline thin films by a rare molecular calcium carboxyphosphonate trimer offer prophylaxis from metallic corrosion. ACS Appl Mater Interfaces 2010; 2: 1814–1816.10.1021/am100382rSearch in Google Scholar

Demadis KD, Papadaki M, Varouchas D. Metal-phosphonate anticorrosion coatings. In: Sharma SK, editor. Green corrosion chemistry and engineering: opportunities and challenges. New Jersey: Wiley, 2012. DOI: 10.1002/9783527641789.ch9.Search in Google Scholar

Desai MN, Desai MB, Shah CB, Desai SM. Schiff bases as corrosion inhibitors for mild steel in hydrochloric acid solutions. Corros Sci 1986; 26: 827–837.10.1016/0010-938X(86)90066-1Search in Google Scholar

Dewald I, Fery A. Polymeric micelles and vesicles in polyelectrolyte multilayers: introducing hierarchy and compartmentalization. Adv Mater Interfaces 2017; 4: 1600317.10.1002/admi.201600317Search in Google Scholar

Dieterich D. Advances in Urethane ionomers. In: Xiao HX, Frisch KC, editors. Lancaster: Technomic Publ., 1995, ISBN 1-56676-289-8.Search in Google Scholar

Díez P, Villalonga R, Villalonga ML, Pingarrón JM. Supramolecular immobilization of redox enzymes on cyclodextrin-coated magnetic nanoparticles for biosensing applications. J Colloid Interface Sci 2012; 386: 181–188.10.1016/j.jcis.2012.07.050Search in Google Scholar

Ding CD, Liu Y, Wang MW, Wang T, Fu JJ. Self-healing, superhydrophobic coating based on mechanized silica nanoparticles for reliable protection of magnesium alloys. J Mater Chem A 2016; 4: 8041–8052.10.1039/C6TA02575GSearch in Google Scholar

Ding CD, Xu JH, Tong L, Gong GC, Jiang W, Fu J. Design and fabrication of a novel stimulus-feedback anticorrosion coating featured by rapid self-healing functionality for the protection of magnesium alloy. ACS Appl Mater Interfaces 2017; 9: 21034–21047.10.1021/acsami.7b06347Search in Google Scholar

Distler A, Lohse DL, Sevov SC. Chains, planes, and tunnels of metal diphosphonates: synthesis, structure, and characterization of Na3Co(O3PCH2PO3)(OH), Na3Mg(O3PCH2PO3)F·H2O, Na2Co(O3PCH2PO3)·H2O, NaCo2(O3PCH2CH2CH2PO3)(OH), and Co2(O3PCH2PO3)(H2O). J Chem Soc Dalton Trans 1999: 1805–1812.10.1039/a809671fSearch in Google Scholar

Duda Y, Govea-Rueda R, Galicia M, Beltrán HI, Zamudio-Rivera LS. Corrosion inhibitors: design, performance, and computer Simulations. J Phys Chem B 2005; 109: 22674–22684.10.1021/jp0522765Search in Google Scholar

Dwivedi N, Satyanarayana N, Yeo RJ, Xu H, Loh KP, Tripathy S, Bhatia CS. Ultrathin carbon with interspersed graphene/fullerene-like nanostructures: a durable protective overcoat for high density magnetic storage. Sci Rep 2015; 5: 11607.10.1038/srep11607Search in Google Scholar

Dyer SJ, Anderson CE, Graham GM. Thermal stability of amine methyl phosphonate scale inhibitors. J Pet Sci Eng 2004; 43: 259–270.10.1016/j.petrol.2004.02.018Search in Google Scholar

El-Bindary AA, El-Sonbati AZ, Diab MA, Ghoneim MM, Serag LS. Polymeric complexes – LXII: coordination chemistry of supramolecular Schiff base polymer complexes – a review. J Mol Liq 2016; 216: 318–329.10.1016/j.molliq.2015.12.113Search in Google Scholar

Eliaz N, Latanision RM. Preventive maintenance and failure analysis of aircraft components. Corros Rev 2007; 25: 107–144.10.1515/CORRREV.2007.25.1-2.107Search in Google Scholar

Engeldinger E, Armspach D, Matt D. Capped cyclodextrins. Chem Rev 2003; 103: 4147–4174.10.1021/cr030670ySearch in Google Scholar

Esser-Kahn AP, Odom SA, Sottos NR, White SR, Moore JS. Triggered release from polymer capsules. Macromolecules 2011; 44: 5539–5553.10.1021/ma201014nSearch in Google Scholar

Etaiw SEH, Fouda AES, Abdou SN, Elbendary MM. Structure, characterization and inhibition activity of new metal-organic framework. Corros Sci 2011; 53: 3657–3665.10.1016/j.corsci.2011.07.007Search in Google Scholar

Etaiw SEH, Fouda AES, El-Bendary MM. Cluster type molecule as novel corrosion inhibitor for steel in HCl solution. Prot Met Phys Chem Surf 2013; 49: 113–123.10.1134/S2070205113010061Search in Google Scholar

Etaiw SEH, El-Bendary MM, Fouda AES, Maher MM. A new metal-organic framework based on cadmium thiocyanate and 6-methylequinoline as corrosion inhibitor for copper in 1 M HCl solution. Prot Met Phys Chem Surf 2017; 53: 937–949.10.1134/S2070205117050045Search in Google Scholar

Falcón JM, Batista FF, Aoki IV. Encapsulation of dodecylamine corrosion inhibitor on silica nanoparticles. Electrochim Acta 2014; 124: 109–118.10.1016/j.electacta.2013.06.114Search in Google Scholar

Falcón JM, Sawczen T, Aoki IV. Dodecylamine-loaded halloysite nanocontainers for active anticorrosion coatings. Front Mater 2015; 2: 69.10.3389/fmats.2015.00069Search in Google Scholar

Fan B, Wei G, Zhang Z, Ning Q. Preparation of supramolecular corrosion inhibitor based on hydroxypropyl-β-yclodextrin/octadecylamine and its anti-corrosion properties in the simulated condensate water. Anti-Corros Methods Mater 2014a; 61: 104–111.10.1108/ACMM-04-2013-1256Search in Google Scholar

Fan B, Wei G, Zhang Z, Ning Q. Characterization of a supramolecular complex based on octadecylamine and β-cyclodextrin and its corrosion inhibition properties in condensate water. Corros Sci 2014b; 83: 75–85.10.1016/j.corsci.2014.01.043Search in Google Scholar

Faÿ F, Hawkins ML, Réhel K, Grunlan MA, Linossier I. Non-toxic, antifouling silicones with variable PEO-silane amphiphile content. Green Mater 2016; 4: 53–62.10.1680/jgrma.16.00003Search in Google Scholar

Feher FJ, Newman DA, Walzer JF. Silsesquioxanes as models for silica surfaces. J Am Chem Soc 1989; 111: 1741–1748.10.1021/ja00187a028Search in Google Scholar

Fernando IR, Daskalakis N, Demadis KD, Mezei G. Cation effect on the inorganic-organic layered structure of pyrazole-4-sulfonate networks and inhibitory effects on copper corrosion. New J Chem 2010; 34: 221–235.10.1039/b9nj00361dSearch in Google Scholar

Fernando IR, Jianrattanasawat S, Daskalakis N, Demadis KD, Mezei G. Mapping the supramolecular chemistry of pyrazole-4-sulfonate: layered inorganic-organic networks with Zn2+, Cd2+, Ag+, Na+ and NH4+, and their use in copper anticorrosion protective film. Cryst Eng Comm 2012; 14: 908–919.10.1039/C1CE06027ASearch in Google Scholar

Figueira RB, Fontinha IR, Silva CJR, Pereira EV. Hybrid sol-gel coatings: smart and green materials for corrosion mitigation. Coatings 2016; 6: 12.10.3390/coatings6010012Search in Google Scholar

Fingerman M, Nagabhushanam R. Recent advances in marine biotechnology. Florida: CRC Press, 2003, ISBN 9781578082452.10.1201/9781482279986Search in Google Scholar

Finšgar M, Jackson J. Application of corrosion inhibitors for steels in acidic media for the oil and gas industry: a review. Corros Sci 2014; 86: 17–41.10.1016/j.corsci.2014.04.044Search in Google Scholar

Fix D, Andreeva DV, Lvov YM, Shchukin DG, Möhwald H. Application of inhibitor-loaded halloysite nanotubes in active anti-corrosive coatings. Adv Funct Mater 2009; 19: 1720–1727.10.1002/adfm.200800946Search in Google Scholar

Folmer BJB, Sijbesma RP, Versteegen RM, van der Rijt JAJ, Meijer EW. Supramolecular polymer materials: chain extension of telechelic polymers using a reactive hydrogen-bonding synthon. Adv Mater 2000; 12: 874–878.10.1002/1521-4095(200006)12:12<874::AID-ADMA874>3.0.CO;2-CSearch in Google Scholar

Fontana MG, Greene ND. Corrosion engineering, 3rd ed., New York: Mcgraw Hill, 1985, ISBN 978-0070214637.Search in Google Scholar

Fouda AS, Abdallah M, Al-Ashrey SM, Abdel-Fattah AA. Some crown ethers as inhibitors for corrosion of stainless steel type 430 in aqueous solutions. Desalination 2010; 250: 538–543.10.1016/j.desal.2009.02.055Search in Google Scholar

Fouquey C, Lehn JM, Levelut AM. Molecular recognition directed self-assembly of supramolecular liquid crystalline polymers from complementary chiral components. Adv Mater 1990; 2: 254–257.10.1002/adma.19900020506Search in Google Scholar

Gale PA. Supramolecular chemistry: from complexes to complexity. Phil Trans R Soc Lond A 2000; 358: 431–453.10.1098/rsta.2000.0540Search in Google Scholar

Gale PA, Steed JW. Supramolecular chemistry: from molecules to nanomaterials. New Jersey: Wiley, 2012, ISBN 978-0-470-74640-0.10.1002/9780470661345Search in Google Scholar

Gergely A. A review on corrosion protection with single-layer, multilayer, and composites of graphene. Corros Rev 2018; 36: 155–225.10.1515/corrrev-2017-0016Search in Google Scholar

Gholivand K, Yaghoubi R, Farrokhi A, Khoddami S. Two new supramolecular metal diphosphonates: synthesis, characterization, crystal structure and inhibiting effects on metallic corrosion. J Solid State Chem 2016; 243: 23–30.10.1016/j.jssc.2016.07.027Search in Google Scholar

Gite VV, Tatiya PD, Marathe RJ, Mahulikar PP, Hundiwale DG. Microencapsulation of quinoline as a corrosion inhibitor in polyurea microcapsules for application in anticorrosive PU coatings. Prog Org Coat 2015; 83: 11–18.10.1016/j.porgcoat.2015.01.021Search in Google Scholar

Gokel GW, Leevy WM, Weber ME. Crown ethers: sensors for ions and molecular scaffolds for materials and biological models. Chem Rev 2004; 104: 2723–2750.10.1021/cr020080kSearch in Google Scholar

Gómez-Romero P, Sanchez C. Functional hybrid materials. New Jersey: Wiley, 2005, ISBN 9783527602377.Search in Google Scholar

Goor OJGM, Brouns JEP, Dankers PYW. Introduction of antifouling coatings at the surface of supramolecular elastomeric materials via post-modification of reactive supramolecular additives. Polym Chem 2017a; 8: 5228–5238.10.1039/C7PY00801ESearch in Google Scholar

Goor OJGM, Keizer HM, Bruinen AL, Schmitz MGJ, Versteegen RM, Janssen HM, Heeren RMA, Dankers PYW. Efficient functionalization of additives at supramolecular material surfaces. Adv Mater 2017b; 29: 1604652.10.1002/adma.201604652Search in Google Scholar

Grigoriev DO, Köhler K, Skorb E, Shchukin DG, Möhwald H. Polyelectrolyte complexes as a smart depot for self-healing anticorrosion coatings. Soft Matter 2009; 5: 1426–1432.10.1039/b815147dSearch in Google Scholar

Gu J, Su Y, Liu P, Li P, Yang P. An environmentally benign antimicrobial coating based on a protein supramolecular assembly. ACS Appl Mater Interfaces 2017; 9: 198–210.10.1021/acsami.6b13552Search in Google Scholar

Guo DS, Liu Y. Calixarene-based supramolecular polymerization in solution. Chem Soc Rev 2012; 41: 5907–5921.10.1039/c2cs35075kSearch in Google Scholar

Gupta P, Sarkar S, Das B, Bhattacharjee S, Tribedi P. Biofilm, pathogenesis and prevention – a journey to break the wall: a review. Arch Microbiol 2016; 198: 1–15.10.1007/s00203-015-1148-6Search in Google Scholar

Gupta NK, Verma C, Salghi R, Lgaz H, Mukherjee AK, Quraishi MA. New phosphonate based corrosion inhibitors for mild steel in hydrochloric acid useful for industrial pickling processes: experimental and theoretical approach. New J Chem 2017; 41: 13114–13129.10.1039/C7NJ01431GSearch in Google Scholar

Hadisaputra S, Hamdiani S, Kurniawan MA, Nuryono N. Influence of macrocyclic ring size on the corrosion inhibition efficiency of dibenzo crown ether: a density functional study. Indones J Chem 2017; 17: 431–438.10.22146/ijc.26667Search in Google Scholar

Haino T, Watanabe A, Hirao T, Ikeda T. Supramolecular polymerization triggered by molecular recognition between bisporphyrin and trinitrofluorenone. Angew Chem Int Ed 2012; 51: 1473–1476.10.1002/anie.201107655Search in Google Scholar

Harada A, Takashima Y, Yamaguchi H. Cyclodextrin-based supramolecular polymers. Chem Soc Rev 2009; 38: 875–882.10.1039/b705458kSearch in Google Scholar

Hart LR, Hunter JH, Nguyen NA, Harries JL, Greenland BW, MacKay ME, Colquhoun HM, Hayes W. Multivalency in healable supramolecular polymers: the effect of supramolecular cross-link density on the mechanical properties and healing of non-covalent polymer networks. Polym Chem 2014; 5: 3680–3688.10.1039/C4PY00292JSearch in Google Scholar

Hashim MA, Saleh SNM, Toff MRM. Surface adsorption mechanism: a molecular self-assembly phenomenon with application to surface protection. AIP Conf Proc Inter Conf Adv Mater Nanotech 2010; 1217: 279–286.10.1063/1.3377830Search in Google Scholar

Hawkins ML, Faÿ F, Rehel K, Linossier I, Grunlan MA. Bacteria and diatom resistance of silicones modified with PEO-silane amphiphiles. Biofouling 2014; 30: 247–258.10.1080/08927014.2013.862235Search in Google Scholar

He Y, Xiang S, Chen B. A microporous hydrogen-bonded organic framework for highly selective C2H2/C2H4 separation at ambient temperature. J Am Chem Soc 2011; 133: 14570–14573.10.1021/ja2066016Search in Google Scholar

He Y, Yang Q, Xu Z. A Supramolecular polymer containing β-cyclodextrin as corrosion inhibitor for carbon steel in acidic medium. Russ J Appl Chem 2014; 87: 1936–1942.10.1134/S1070427214120234Search in Google Scholar

He Y, Zhang C, Wu F, Xu Z. Fabrication study of a new anticorrosion coating based on supramolecular nanocontainers. Synth Met 2016; 212: 186–194.10.1016/j.synthmet.2015.10.022Search in Google Scholar

Hill JP, Jin W, Kosaka A, Fukushima T, Ichihara H, Shimomura T, Ito K, Hashizume T, Ishii N, Aida T. Self-assembled hexa-peri-hexabenzocoronene graphitic nanotube. Science 2004; 304: 1481–1483.10.1126/science.1097789Search in Google Scholar

Hollamby MJ, Fix D, Dönch I, Borisova D, Möhwald H, Shchukin D. Hybrid polyester coating incorporating functionalized mesoporous carriers for the holistic protection of steel surfaces. Adv Mater 2011; 23: 1361–1365.10.1002/adma.201003035Search in Google Scholar

Hosseini MG, Ehteshamzadeh M, Shahrabi T. Protection of mild steel corrosion with Schiff bases in 0.5 M H2SO4 solution. Electrochim Acta 2007; 52: 3680–3685.10.1016/j.electacta.2006.10.041Search in Google Scholar

Hsieh YP, Hofmann M, Chang KW, Jhu JG, Li YY, Chen KY, Yang CC, Chang WS, Chen LC. Complete corrosion inhibition through graphene defect passivation. ACS Nano 2014; 8: 443–448.10.1021/nn404756qSearch in Google Scholar

Hu C, Wu J, Wei T, Zhan W, Qu Y, Pan Y, Yu Q, Chen H. A supramolecular approach for versatile biofunctionalization of magnetic nanoparticle. J Mater Chem B 2018; 6: 2198–2203.10.1039/C8TB00490KSearch in Google Scholar

Huang F, Anslyn EV. Introduction: supramolecular chemistry. Chem Rev 2015; 115: 6999–7000.10.1021/acs.chemrev.5b00352Search in Google Scholar

Huang M, Yang J. Facile microencapsulation of HDI for self-healing anticorrosion coatings. J Mater Chem 2011; 21: 11123–11130.10.1039/c1jm10794aSearch in Google Scholar

Hughes AE, Cole IS, Muster TH, Varley RJ. Designing green, self-healing coatings for metal protection. NPG Asia Mater 2010; 2: 143–151.10.1038/asiamat.2010.136Search in Google Scholar

Iris M, Jaehne E, Henke A, Adler H, Juergen P, Bram C, Jung C, Stratmann M. Ultrathin organic layers for corrosion protection. Macromolecular Symposia. 126, (6th Dresden polymer discussion surface modification, 1997), 1998: 7–24.10.1002/masy.19981260104Search in Google Scholar

Jennings GK, Munro JC, Yong TH, Laibinis PE. Effect of chain length on the protection of copper by n-alkanethiols. Langmuir 1998; 14: 6130–6139.10.1021/la980333ySearch in Google Scholar

Jiang S, Cao Z. Ultralow-fouling, functionalizable, and hydrolyzable zwitterionic materials and their derivatives for biological applications. Adv Mater 2010; 22: 920–932.10.1002/adma.200901407Search in Google Scholar

Jianguo Y, Lin W, Otieno-Alego V, Schweinsberg DP. Polyvinylpyrrolidone and polyethylenimine as inhibitors for the corrosion of a low carbon steel in phosphoric acid. Corros Sci 1995; 37: 975–985.10.1016/0010-938X(95)00008-8Search in Google Scholar

Jin Y, Yu C, Denman RJ, Zhang W. Recent advances in dynamic covalent chemistry. Chem Soc Rev 2013; 42: 6634–6654.10.1039/c3cs60044kSearch in Google Scholar

Ju Y, Cui J, Müllner M, Suma T, Hu M, Caruso F. Engineering low-fouling and pH-degradable capsules through the assembly of metal-phenolic networks. Biomacromolecules 2015; 16: 807–814.10.1021/bm5017139Search in Google Scholar

Kaddouri M, Cheriaa N, Souane R, Bouklah M, Aouniti A, Abidi R, Hammouti B, Vicens J. Novel calixarene derivatives as inhibitors of mild C-38 steel corrosion in 1 M HCl. J Appl Electrochem 2008; 38: 1253–1258.10.1007/s10800-008-9546-ySearch in Google Scholar

Kaddouri M, Rekkab S, Bouklah M, Hammouti B, Aouniti A, Kabouche Z. Experimental study of inhibition of corrosion of mild steel in 1 M HCl solution by two newly synthesized calixarene derivatives. Res Chem Intermed 2013; 39: 3649–3667.10.1007/s11164-012-0869-2Search in Google Scholar

Kakaroglou A, Domini M, De Graeve I. Encapsulation and incorporation of sodium molybdate in polyurethane coatings and study of its corrosion inhibition on mild steel. Surf Coat Technol 2016; 303: 330–341.10.1016/j.surfcoat.2016.02.007Search in Google Scholar

Kendig MW. Corrosion inhibitors based on supramolecular oxo anions, and suitable for protection of Al or Al-alloy articles in wet environment. US 0019391 A1, 2003.Search in Google Scholar

Kim YM, Potta T, Park KH, Song SC. Temperature responsive chemical crosslinkable UV pretreated hydrogel for application to injectable tissue regeneration system via differentiations of encapsulated hMSCs. Biomaterials 2017; 112: 248–256.10.1016/j.biomaterials.2016.10.025Search in Google Scholar

Knepper TP. Synthetic chelating agents and compounds exhibiting complexing properties in the aquatic environment. Trends Anal Chem 2003; 22: 708–724.10.1016/S0165-9936(03)01008-2Search in Google Scholar

Knoell T, Safarik J, Cormack T, Riley R, Lin SW, Ridgway H. Biofouling potentials of microporous polysulfone membranes containing a sulfonated polyether-ethersulfone/polyethersulfone block copolymer: correlation of membrane surface properties with bacterial attachment. J Membr Sci 1999; 157: 117–138.10.1016/S0376-7388(98)00365-2Search in Google Scholar

Koch G, Varney J, Thompson N, Moghissi O, Gould M, Payer J. International measures of prevention, application, and economics of corrosion technologies study. Houston: NACE International, 2016.Search in Google Scholar

Krishnan S, Wang N, Ober CK, Finlay JA, Callow ME, Callow JA, Hexemer A, Sohn KE, Kramer EJ, Fischer DA. Comparison of the fouling release properties of hydrophobic fluorinated and hydrophilic PEGylated block copolymer surfaces: attachment strength of the diatom Navicula and the green alga Ulva. Biomacromolecules 2006; 7: 1449–1462.10.1021/bm0509826Search in Google Scholar

Krishnan S, Weinman CJ, Ober CK. Advances in polymers for antibiofouling surfaces. J Mater Chem 2008; 18: 3405–3413.10.1039/b801491dSearch in Google Scholar

Kuah E, Toh S, Yee J, Ma Q, Gao Z. Enzyme mimics: advances and applications. Chem Eur J 2016; 22: 8404–8430.10.1002/chem.201504394Search in Google Scholar

Kuila T, Bose S, Mishra AK, Khanra P, Kim NH, Lee JH. Chemical functionalization of graphene and its applications. Prog Mater Sci 2012; 57: 1061–1105.10.1016/j.pmatsci.2012.03.002Search in Google Scholar

Kumar P, Pournara A, Kim KH, Bansal V, Rapti S, Manos MJ. Metal-organic frameworks: challenges and opportunities for ion-exchange/sorption applications. Prog Mater Sci 2017a; 86: 25–74.10.1016/j.pmatsci.2017.01.002Search in Google Scholar

Kumar S, Vashisht H, Olasunkanmi LO, Bahadur I, Verma H, Goyal M, Singh G, Ebenso EE. Polyurethane based tri-block-copolymers as corrosion inhibitors for mild steel in 0.5 M H2SO4. Ind Eng Chem Res 2017b; 56: 441–456.10.1021/acs.iecr.6b03928Search in Google Scholar

Kumaraguru S, Pavulraj R, Mohan S. Influence of cobalt, nickel and copper-based metal-organic frameworks on the corrosion protection of mild steel. Trans IMF 2017; 95: 131–136.10.1080/00202967.2017.1283898Search in Google Scholar

Lai WF, Rogach AL, Wong WT. Chemistry and engineering of cyclodextrins for molecular imaging. Chem Soc Rev 2017; 46: 6379–6419.10.1039/C7CS00040ESearch in Google Scholar

Larsen RW, Wojtas L, Perman J, Musselman RL, Zaworotko MJ, Vetromile CM. Mimicking heme enzymes in the solid state: metal-organic materials with selectively encapsulated heme. J Am Chem Soc 2011; 133: 10356–10359.10.1021/ja203068uSearch in Google Scholar

Latnikova A, Grigoriev DO, Hartmann J, Möhwald H, Shchukin DG. Polyfunctional active coatings with damage-triggered water-repelling effect. Soft Matter 2011; 7: 369–372.10.1039/C0SM00842GSearch in Google Scholar

Latnikova A, Grigoriev DO, Möhwald H, Shchukin DG. Capsules made of cross-linked polymers and liquid core: possible morphologies and their estimation on the basis of Hansen solubility parameters. J Phys Chem 2012; 116: 8181–8187.10.1021/jp2124372Search in Google Scholar

Lazzara G, Cavallaro G, Panchal A, Fakhrullin R, Stavitskaya A, Vinokurov V, Lvov Y. An assembly of organic-inorganic composites using halloysite clay nanotubes. Curr Opin Colloid Interface Sci 2018; 35: 42–50.10.1016/j.cocis.2018.01.002Search in Google Scholar

Leclercq L, Lubart Q, Dewilde A, Aubry JM, Nardello-RatajV. Supramolecular effects on the antifungal activity of cyclodextrin/di-n-decyldimethylammonium chloride mixtures. Eur J Pharm Sci 2012; 46: 336–345.10.1016/j.ejps.2012.02.017Search in Google Scholar

Leclercq L, Dewilde A, Aubry JM, Nardello-Rataj V. Supramolecular assistance between cyclodextrins and didecyldimethylammonium chloride against enveloped viruses: toward eco-biocidal formulations. Int J Pharm 2016; 512: 273–281.10.1016/j.ijpharm.2016.08.057Search in Google Scholar

Lee CF, Leigh DA, Pritchard RG, Schultz D, Teat SJ, Timco GA, Winpenny REP. Hybrid organic-inorganic rotaxanes, and molecular shuttles. Nature 2009; 458: 314–318.10.1038/nature07847Search in Google Scholar

Lehn JM. Perspectives in supramolecular chemistry: from molecular recognition towards molecular information processing and self-organization. Angew Chem Int Ed 1990; 29: 1304–1319.10.1002/anie.199013041Search in Google Scholar

Lehn JM. Supramolecular chemistry. Science 1993; 260: 1762–1763.10.1126/science.8511582Search in Google Scholar

Lehn JM. Perspectives in supramolecular chemistry: from molecular recognition towards self-organisation. Pure App Chem 1994; 66: 1961–1966.10.1351/pac199466101961Search in Google Scholar

Lehn JM. Supramolecular chemistry: concepts and perspectives. New Jersey: Wiley, 1995, ISBN 978-3527293117.10.1002/3527607439Search in Google Scholar

Lehn JM. Towards complex matter: supramolecular chemistry and self-organization. Proc Natl Acad Sci USA 2002; 99: 4763–4768.10.1073/pnas.072065599Search in Google Scholar

Lehn JM. Towards complex matter: supramolecular chemistry and self-organization. Eur Rev 2009; 17: 263–280.10.1017/S1062798709000805Search in Google Scholar

Lehn JM. Supramolecular chemistry: where from? Where to? Chem Soc Rev 2017; 46: 2378–2379.10.1039/C7CS00115KSearch in Google Scholar

Leon JAG, Barreto G. Supramolecular polymer-containing bituminous composition. US 8853306B2, 2014.Search in Google Scholar

Leoni L, Cort AD. The supramolecular attitude of metal-salophen and metal-salen complexes. Inorganics 2018; 6: 42.10.3390/inorganics6020042Search in Google Scholar

Li Q, Zhang W, Zhang W, Miljanić OŠ, Sue CH, Zhao YL, Liu L, Knobler CB, Stoddart JF, Yaghi OM. Docking in metal-organic frameworks. Science 2009; 325: 855–859.10.1126/science.1175441Search in Google Scholar

Li P, Poon YF, Li W, Zhu HY, Yeap SH, Cao Y, Qi X, Zhou C, Lamrani M, Beuerman RW, Kang ET, Mu Y, Li CM, Chang MW, Leong SS, Chan-Park MB. A polycationic antimicrobial and biocompatible hydrogel with microbe membrane suctioning ability. Nat Mater 2011; 10: 149–156.10.1038/nmat2915Search in Google Scholar

Li Z, Barnes JC, Bosoy A, Stoddart JF, Zink JI. Mesoporous silica nanoparticles in biomedical applications. Chem Soc Rev 2012; 41: 2590–2605.10.1039/c1cs15246gSearch in Google Scholar

Li Y, Fukushima K, Coady DJ, Engler AC, Liu S, Huang Y, Cho JS, Guo Y, Miller LS, Tan JPK, Rachel Ee PL, Fan W, Yang YY, Hedrick JL. Broad-spectrum antimicrobial and biofilm-disrupting hydrogels: stereocomplex-driven supramolecular assemblies. Angew Chem 2013; 52: 674–678.10.1002/anie.201206053Search in Google Scholar

Li GL, Schenderlein M, Men Y, Möhwald H, Shchukin DG. Monodisperse polymeric core-shell nanocontainers for organic self-healing anticorrosion coatings. Adv Mater Interfaces 2014; 1: 1300019.10.1002/admi.201300019Search in Google Scholar

Li Q, Wu Y, Lu H, Wu X, Chen S, Song N, Yang YW, Gao H. Construction of supramolecular nanoassembly for responsive bacterial elimination and effective bacterial detection. ACS Appl Mater Interfaces 2017; 9: 10180–10189.10.1021/acsami.7b00873Search in Google Scholar

Lian X, Shi D, Ma J, Cai X, Gu Z. Peptide dendrimer-crosslinked inorganic-organic hybrid supramolecular hydrogel for efficient antibiofouling. Chin Chem Lett 2018; 29: 501–504.10.1016/j.cclet.2017.08.014Search in Google Scholar

Liang Y, Wang MD, Wang C, Feng J, Li JS, Wang LJ, Fu JJ. Facile synthesis of smart nanocontainers as key components for construction of self-healing coating with superhydrophobic surfaces. Nanoscale Res Lett 2016; 11: 231.10.1186/s11671-016-1444-3Search in Google Scholar

Lin F, Wang R, Liu L, Li B, Ouyang LW, Liu WJ. Enhanced intermolecular forces in supramolecular polymer nanocomposites. Express Polym Lett 2017; 11: 690–703.10.3144/expresspolymlett.2017.67Search in Google Scholar

Liu J, Du X. pH and competitor-driven nanovalves of cucurbit[7]uril pseudorotaxanes based on mesoporous silica supports for controlled release. J Mater Chem 2010; 20: 3642–3649.10.1039/b915510dSearch in Google Scholar

Liu SQ, Yang C, Huang Y, Ding X, Li Y, Fan WM, Hedrick JL, Yang YY. Antimicrobial and antifouling hydrogels formed in situ from polycarbonate and poly(ethylene glycol) via Michael addition. Adv Mater 2012; 24: 6484–6489.10.1002/adma.201202225Search in Google Scholar

Liu JJ, Li ZY, Yuan X, Wang Y, Huang CC. A copper(I) coordination polymer incorporation the corrosion inhibitor 1H-benzotriazole: poly[μ3-benzotriazolato-κ(3)N(1):N(2):N(3)-copper(I)]. Acta Crystallogr C 2014; 70: 599–602.10.1107/S2053229614010390Search in Google Scholar

Liu Y, Zhao YJ, Teng JL, Wang JH, Wu LS, Zheng YL. Research progress of nano self-cleaning antifouling coatings. IOP Conf Ser Mater Sci Eng 2017; 284: 012016.10.1088/1757-899X/284/1/012016Search in Google Scholar

Loiseau L, Serre C, Huguenard C, Fink G, Taulelle F, Henry M, Bataille T, Férey G. A rationale for the large breathing of the porous aluminum terephthalate (MIL-53) upon hydration. Chem Eur J 2004; 10: 1373–1382.10.1002/chem.200305413Search in Google Scholar

Longhi M, Zini LP, Pistor V, Kunst SR, Zattera AJ. Evaluation of the mechanic and electrochemical properties of an epoxy coating with addition of different polyhedral oligomeric silsesquioxanes (POSS) applied on substrate of low alloy steel. Mat Res 2017; 20: 1388–1401.10.1590/1980-5373-mr-2016-0892Search in Google Scholar

Loy DA, Shea KJ. Bridged polysilsesquioxanes: highly porous hybrid organic-inorganic materials. Chem Rev 1995; 95: 1431–1442.10.1021/cr00037a013Search in Google Scholar

Lu H, Zhang S, Li W, Cui Y, Yang T. Synthesis of graphene oxide-vased sulfonated oligoanilines coatings for synergistically enhanced corrosion protection in 3.5% NaCl solution. ACS Appl Mater Interfaces 2017; 9: 4034–4043.10.1021/acsami.6b13722Search in Google Scholar

Lusk AT, Jennings GK. Characterization of self-assembled monolayers formed from sodium S-alkyl thiosulfates on copper. Langmuir 2001; 17: 7830–7836.10.1021/la010816tSearch in Google Scholar

Lvov YM, Shchukin DG, Möhwald H, Price RR. Halloysite clay nanotubes for controlled release of protective agents. ACS Nano 2008; 2: 814–820.10.1021/nn800259qSearch in Google Scholar

Maia F, Tedim J, Lisenkov AD, Salak AN, Zheludkevich ML, Ferreira MGS. Silica nanocontainers for active corrosion protection. Nanoscale 2012; 4: 1287–1298.10.1039/c2nr11536kSearch in Google Scholar

Maia F, Yasakau KA, Carneiro J, Kallip S, Tedim J, Henriques T, Cabral A, Venâncio J, Zheludkevich ML, Ferreira MGS. Corrosion protection of AA2024 by sol-gel coatings modified with MBT-loaded polyurea microcapsules. Chem Eng J 2016; 283: 1108–1117.10.1016/j.cej.2015.07.087Search in Google Scholar

Maji K, Haldar D. POSS-appended diphenylalanine: self-cleaning, pollution-protective, and fire-Retardant hybrid molecular material. ACS Omega 2017; 2: 1938–1946.10.1021/acsomega.7b00234Search in Google Scholar

Majumdar P, Stafslien S, Daniels J, Webster DC. High throughput combinatorial characterization of thermosetting siloxane-urethane coatings having spontaneously formed microtopographical surfaces. J Coat Technol Res 2007; 4: 131–138.10.1007/s11998-007-9015-2Search in Google Scholar

Makhlouf ASH. Handbook of smart coatings for materials protection. Amsterdam: Elsevier, 2014, ISBN 9780857096883.Search in Google Scholar

Manivel P, Venkatachari G. The inhibitive effect of poly(p-toluidine) on corrosion of iron in 1 M HCl solutions. J Appl Polym Sci 2007; 104: 2595–2601.10.1002/app.25838Search in Google Scholar

Marchetti L, Levine M. Biomimetic catalysis. ACS Catal 2011; 1: 1090–1118.10.1021/cs200171uSearch in Google Scholar

Marmisollé WA, Irigoyen J, Gregurec D, Moya S, Azzaroni O. Supramolecular surface chemistry: substrate-independent, phosphate-driven growth of polyamine-based multifunctional thin films. Adv Funct Mater 2015; 25: 4144–4152.10.1002/adfm.201501140Search in Google Scholar

Martinelli E, Del Moro I, Galli G, Barbaglia M, Bibbiani C, Mennillo E, Oliva M, Pretti C, Antonioli D, Laus M. Photopolymerized network polysiloxane films with dangling hydrophilic/hydrophobic chains for the biofouling release of invasive marine serpulid Ficopomatus enigmaticus. ACS Appl Mater Interfaces 2015; 7: 8293–8301.10.1021/acsami.5b01522Search in Google Scholar

Martinelli E, Hill SD, Finlay JA, Callow ME, Callow JA, Glisenti A, Galli G. Amphiphilic modified-styrene copolymer films: antifouling/fouling release properties against the green alga Ulva linza. Prog Org Coat 2016; 90: 235–242.10.1016/j.porgcoat.2015.10.005Search in Google Scholar

Massoud AA, Hefnawy A, Langer V, Khatab MA, Öhrstrom L, Abu-Youssef MAM. Synthesis, X-ray structure and anti-corrosion activity of two silver(I) pyrazino complexes. Polyhedron 2009; 28: 2794–2802.10.1016/j.poly.2009.05.064Search in Google Scholar

Menger FM. Supramolecular chemistry and self-assembly. Proc Natl Acad Sci USA 2002; 99: 4818–4822.10.1073/pnas.062524299Search in Google Scholar

Mesbah A, Jacques S, Rocca E, François M, Steinmetz J. Compact metal-organic frameworks for anti-corrosion applications: new binary linear saturated carboxylates of zinc. Eur J Inorg Chem 2011; 8: 1315–1132.10.1002/ejic.201001024Search in Google Scholar

Mi L, Jiang S. Synchronizing nonfouling and antimicrobial properties in a zwitterionic hydrogel. Biomaterials 2012; 33: 8928–8933.10.1016/j.biomaterials.2012.09.011Search in Google Scholar

Mishra A, Aswal VK, Maiti P. Nanostructure to microstructure self-assembly of aliphatic polyurethanes: the effect on mechanical properties. J Phys Chem B 2010; 114: 5292–5300.10.1021/jp100599uSearch in Google Scholar

Mollet BB, Comellas-Aragonès M, Spiering AJH, Söntjens SHM, Meijer EW, Dankers PWD. A modular approach to easily processable supramolecular bilayered scaffolds with tailorable properties. J Mater Chem B 2014; 2: 2483–2493.10.1039/C3TB21516DSearch in Google Scholar

Montemor MF. Functional and smart coatings for corrosion protection: a review of recent advances. Surf Coat Technol 2014; 258: 17–37.10.1016/j.surfcoat.2014.06.031Search in Google Scholar

Morozan A, Jaouen F. Metal organic frameworks for electrochemical applications. Energy Environ Sci 2012; 5: 9269–9290.10.1039/c2ee22989gSearch in Google Scholar

Moschona A, Plesu N, Mezei G, Thomas A, Demadis KD. Corrosion protection of carbon steel by tetraphosphonates of systematically different molecular size. Corros Sci 2018; 145: 135–150.10.1016/j.corsci.2018.09.021Search in Google Scholar

Muggeridge A, Cockin A, Webb K, Frampton H, Collins I, Moulds T, Salino P. Recovery rates, enhanced oil recovery and technological limits. Philos Trans A Math Phys Eng Sci 2013; 372: 20120320.10.1098/rsta.2012.0320Search in Google Scholar

Naimushina EA, Chausov FF, Kazantseva IS, Shabanova IN. Interaction between ZnHEDP corrosion inhibitor and a surface of carbon steel. Bull Russ Acad Sci Phys 2013; 77: 327–329.10.3103/S1062873813030295Search in Google Scholar

Narinder K, Raj P, Kaur N, Kim DY, Singh N. Supramolecular hybrid of ZnO nanoparticles with benzimidazole based organic ligand for the recognition of Zn2+ ions in semi-aqueous media. J Photochem Photobiol A 2017; 347: 41–48.10.1016/j.jphotochem.2017.07.009Search in Google Scholar

Natalio F, André R, Hartog AF, Stoll B, Jochum KP, Wever R, Tremel W. Vanadium pentoxide nanoparticles mimic vanadium haloperoxidases and thwart biofilm formation. Nat Nanotechnol 2012; 7: 530–535.10.1038/nnano.2012.91Search in Google Scholar

Nathan CC. Corrosion inhibitors. Houston: NACE, 1973, ISBN 9780915567898.Search in Google Scholar

Nazeer AA, Madkour M. Potential use of smart coatings for corrosion protection of metals and alloys: a review. J Mol Liq 2018; 253: 11–22.10.1016/j.molliq.2018.01.027Search in Google Scholar

Nguyen JG, Cohen SM. Moisture-resistant and superhydrophobic metal-organic frameworks obtained via postsynthetic modification. J Am Chem Soc 2010; 132: 4560–4561.10.1021/ja100900cSearch in Google Scholar

Nguyen TD, Leung KCF, Liong M, Pentecost CD, Stoddart JF, Zink JI. Construction of a pH-driven supramolecular nanovalve. Org Lett 2006; 8: 3363–3366.10.1021/ol0612509Search in Google Scholar

Nguyen AT, Lai WC, To BD, Nguyen DD, Hsieh YP, Hofmann M, Kan HC, Hsu CC. Layer control of tubular graphene for corrosion inhibition of nickel wires. ACS Appl Mater Interfaces 2017; 9: 22911–22917.10.1021/acsami.7b04381Search in Google Scholar

Nowacka M, Kowalewska A, Makowski T. Nanostructured surfaces by supramolecular self-assembly of linear oligosilsesquioxanes with biocompatible side groups. Beilstein J Nanotechnol 2015; 6: 2377–2387.10.3762/bjnano.6.244Search in Google Scholar

Ogawa T, Ding B, Sone Y, Shiratori S. Super-hydrophobic surfaces of layer-by-layer structured film-coated electrospun nanofibrous membranes. Nanotechnology 2007; 18: 165607.10.1088/0957-4484/18/16/165607Search in Google Scholar

Oliva M, Martinelli E, Galli G, Pretti C. PDMS-based films containing surface-active amphiphilic block copolymers to combat fouling from barnacles B. amphitrite and B. improvises. Polymer 2017; 108: 476–482.10.1016/j.polymer.2016.12.021Search in Google Scholar

Omae I. Organotin antifouling paints and their alternatives. Appl Organometal Chem 2003; 17: 81–105.10.1002/aoc.396Search in Google Scholar

Oshovsky GV, Reinhoudt DN, Verboom W. Supramolecular chemistry in water. Angew Chem Int Ed 2007; 46: 2366–2393.10.1002/anie.200602815Search in Google Scholar

Ozaki H, Indei T, Koga T, Narita T. Physical gelation of supramolecular hydrogels cross-linked by metal-ligand interactions: dynamic light scattering and microrheological studies. Polymer 2017; 128: 363–372.10.1016/j.polymer.2017.01.077Search in Google Scholar

Papadaki M, Demadis KD. Structural mapping of hybrid metal phosphonate corrosion inhibiting thin films. Comment Inorg Chem 2009; 30: 89–118.10.1080/02603590903320916Search in Google Scholar

Pape ACH, Ippel BD, Dankers PYW. Cell and protein fouling properties of polymeric mixtures containing supramolecular poly(ethylene glycol) additives. Langmuir 2017; 33: 4076–4082.10.1021/acs.langmuir.7b00467Search in Google Scholar

Park T, Zimmerman SC. A supramolecular multi-block copolymer with a high propensity for alternation. J Am Chem Soc 2006; 128: 13986–13987.10.1021/ja064116sSearch in Google Scholar

Park KS, Ni Z, Côté AP, Choi JY, Huang R, Uribe-Romo FJ, Chae HK, O’Keeffe M, Yaghi OM. Exceptional chemical and thermal stability of zeolitic imidazolate frameworks. Proc Natl Acad Sci USA 2006; 103: 10186–10191.10.1073/pnas.0602439103Search in Google Scholar

Park JH, Choi S, Moon HC, Seo H, Kim JY, Hong SP, Lee BS, Kang E, Lee J, Ryu DH, Choi IS. Antimicrobial spray nanocoating of supramolecular Fe(III)-tannic acid metal-organic coordination complex: applications to shoe insoles and fruits. Sci Rep 2017; 7: 6980.10.1038/s41598-017-07257-xSearch in Google Scholar

Patra D, Zhang H, Sengupta S, Sen A. Dual stimuli-responsive, rechargeable micropumps via host-guest interactions. ACS Nano 2013; 7: 7674–7679.10.1021/nn402173wSearch in Google Scholar

Pedersen C. Cyclic polyethers and their complexes with metal salts. J Am Chem Soc 1967; 89: 2495–2496.10.1021/ja00986a052Search in Google Scholar

Penicaud V, Massiot D, Gelbard G, Odobel F, Bujoli B. Preparation of structural analogues of divalent metal monophosphonates, using bis(phosphonic) acids: a new strategy to reduce overcrowding of organic groups in the interlayer space. J Mol Struct 1998; 470: 31–38.10.1016/S0022-2860(98)00467-0Search in Google Scholar

Pezzoni M, Catalano PN, Pizarro RA, Desimone MF, Soler-Illia GJAA, Bellino MG, Costa CS. Antibiofilm effect of supramolecularly templated mesoporous silica coatings. Mater Sci Eng C 2017; 77: 1044–1049.10.1016/j.msec.2017.04.022Search in Google Scholar

Piot M, Abécassis B, Brouri D, Troufflard C, Proust A, Izzet G. Control of the hierarchical self-assembly of polyoxometalate-based metallomacrocycles by redox trigger and solvent composition. Proc Natl Acad Sci USA 2018; 115: 8895–8900.10.1073/pnas.1808445115Search in Google Scholar

Popoola LT, Grema AS, Latinwo GK, Gutti B, Balogun AS. Corrosion problems during oil and gas production and its mitigatin. Inter J Ind Chem 2013; 4: 1–15.10.1186/2228-5547-4-35Search in Google Scholar

Popoola A, Olorunniwo OE, Ige OO. Corrosion resistance through the application of anti-corrosion coatings. Developments in corrosion protection. London: Intech, 2014, DOI: 10.5772/57420.Search in Google Scholar

Powell HM. The structure of molecular compounds. Part IV. Clathrate compounds. J Chem Soc 1948: 61–73.10.1039/jr9480000061Search in Google Scholar

Prakash S, Rao CRK, Vijayan M. New polyaniline(PAni)-polyelectrolyte (PDDMAC) composites: synthesis and applications. Electrochim Acta 2008; 53: 5704–5710.10.1016/j.electacta.2008.03.036Search in Google Scholar

Qi Z, Schalley CA. Exploring macrocycles in functional supramolecular gels: from stimuli responsiveness to systems chemistry. Acc Chem Res 2014; 47: 2222–2233.10.1021/ar500193zSearch in Google Scholar

Rahimi A, Amiri S. Anticorrosion behavior of cyclodextrins/inhibitor nanocapsule-based self-healing coatings. J Coat Technol Res 2016; 13: 1095–1102.10.1007/s11998-016-9824-2Search in Google Scholar

Railkin AI. Marine biofouling colonization processes and defenses. Florida: CRC Press, 2003, ISBN 9780849314193.Search in Google Scholar

Raja VS, Venugopal A, Saji VS, Sreekumar K, Nair S, Mittal MC. Electrochemical impedance behavior graphite dispersed electrically conducting acrylic coating on AZ 31 Mg alloy in 3.5 wt.% NaCl solution. Prog Org Coat 2010; 67: 12–19.10.1016/j.porgcoat.2009.09.008Search in Google Scholar

Rajasekar A, Anandkumar B, Maruthamuthu S, Ting YP, Rahman PK. Characterization of corrosive bacterial consortia isolated from petroleum-product-transporting pipelines. Appl Microbiol Biotechnol 2010; 85: 1175–1188.10.1007/s00253-009-2289-9Search in Google Scholar

Ramachandran S, Tsai BL, Blanco M, Chen H, Tang Y, Goddard WA. Self-assembled monolayer mechanism for corrosion inhibition of iron by imidazolines. Langmuir 1996; 12: 6419–6428.10.1021/la960646ySearch in Google Scholar

Rao TS. Microbiologically influenced corrosion: basics and case studies. Corros Rev 2009; 27: 333–365.10.1515/CORRREV.2009.27.S1.333Search in Google Scholar

Rao KP, Higuchi M, Sumida K, Furukawa S, Duan J, Kitagawa S. Design of superhydrophobic porous coordination polymers through the introduction of external surface corrugation by the use of an aromatic hydrocarbon building unit. Angew Chem Int Ed 2014; 53: 8225–8230.10.1002/anie.201404306Search in Google Scholar

Raymo FM, Stoddart JF. Slippage – a simple and efficienct way to self-assemble [n]rotaxanes. Pure Appl Chem 1997; 69: 1987–1997.10.1351/pac199769091987Search in Google Scholar

Rebilly JN, Colasson B, Bistri O, Over D, Reinaud D. Biomimetic cavity-based metal complexes. Chem Soc Rev 2015; 44: 467–489.10.1039/C4CS00211CSearch in Google Scholar

Reg Bott T. Industrial biofouling. Amsterdam: Elsevier, 2011, ISBN 9780080932606.10.1016/B978-0-444-53224-4.10001-4Search in Google Scholar

Rehman Z, Muhammad N, Shuja S, Ali S, Butler IS, Meetsma A, Khan M. New dimeric, trimeric and supramolecular organotin(IV) dithiocarboxylates: synthesis, structural characterization and biocidal activities. Polyhedron 2009; 28: 3439–3448.10.1016/j.poly.2009.07.025Search in Google Scholar

Reinhoudt DN. Supramolecular chemistry and heterocycles. Reference module in chemistry, molecular sciences and chemical engineering. 2013, DOI: 10.1016/B978-0-12-409547-2.05396-8.Search in Google Scholar

Rekharsky MV, Inoue Y. Complexation thermodynamics of cyclodextrins. Chem Rev 1998; 98: 1875–1918.10.1021/cr970015oSearch in Google Scholar

Ren L, Liu T, Guo J, Guo S, Wang X, Wang W. A smart pH responsive graphene/polyacrylamide complex via non-covalent interaction. Nanotechnology 2010; 21: 335701.10.1088/0957-4484/21/33/335701Search in Google Scholar

Resnati G, Boldyreva E, Bombiczd P, Kawano M. Supramolecular interactions in the solid state. IUCrJ 2015; 2: 675–690.10.1107/S2052252515014608Search in Google Scholar

Roselli S, Deyá C, Revuelta M, Di Sarli AR, Romagnoli R. Zeolites as reservioirs for Ce(III) as passivating ions in anticorrosion paints. Corros Rev 2018; 36: 305–322.10.1515/corrrev-2017-0090Search in Google Scholar

Rosero-Navarro NC, Paussa L, Andreatta F, Castro Y, Durán A, Aparicio M, Fedrizzi L. Optimization of hybrid sol-gel coatings by combination of layers with complementary properties for corrosion protection of AA2024. Prog Org Coat 2010; 69: 167–174.10.1016/j.porgcoat.2010.04.013Search in Google Scholar

Roy S, Suresh VM, Maji TK. Self-cleaning MOF: realization of extreme water repellence in coordination driven self-assembled nanostructures. Chem Sci 2016; 7: 2251–2256.10.1039/C5SC03676CSearch in Google Scholar

Ruiz-Hernández E, López-Noriega A, Arcos D, Izquierdo-Barb I, Terasaki O, Vallet-Regi M. Aerosol-assisted synthesis of magnetic mesoporous silica spheres for drug targeting. Chem Mater 2007; 19: 3455–3463.10.1021/cm0705789Search in Google Scholar

Sabirneeza AAF, Geethanjali R, Subhashini S. Polymeric corrosion inhibitors for iron and its alloys: a review. Chem Eng Commun 2015; 202: 232–244.10.1080/00986445.2014.934448Search in Google Scholar

Saenger W. Cyclodextrin inclusion compounds in research and industry. Angew Chem Int Ed 1980; 19: 344–362.10.1002/anie.198003441Search in Google Scholar

Şafak S, Duran B, Yurt A, Türkoğlu G. Schiff bases as corrosion inhibitor for aluminium in HCl solution. Corros Sci 2012; 54: 251–259.10.1016/j.corsci.2011.09.026Search in Google Scholar

Saha SK, Dutta A, Ghosh P, Sukulc D, Banerjee P. Adsorption and corrosion inhibition effect of Schiff base molecules on the mild steel surface in 1 M HCl medium: a combined experimental and theoretical approach. Phys Chem Chem Phys 2015; 17: 5679–5690.10.1039/C4CP05614KSearch in Google Scholar

Saji VS, Thomas J. Nano-materials for corrosion control. Curr Sci 2007; 92: 51–55.Search in Google Scholar

Saji VS. A review on recent patents in corrosion inhibitors. Recent Patents Corros Sci 2010; 2: 6–12.10.2174/1877610801002010006Search in Google Scholar

Saji VS, Cook R. Corrosion control and prevention using nanomaterials. Cambridge: Woodhead Publishing, 2012, ISBN 978-1-84569-949-9.Search in Google Scholar

Salick DA, Kretsinger JK, Pochan DJ, Schneider JP. Inherent antibacterial activity of a peptide-based β-hairpin hydrogel. J Am Chem Soc 2007; 129: 14793–14799.10.1021/ja076300zSearch in Google Scholar

Saparov B, Mitzi DB. Organic-inorganic perovskites: structural versatility for functional materials design. Chem Rev 2016; 116: 4558–4596.10.1021/acs.chemrev.5b00715Search in Google Scholar

Sastri VS. Corrosion inhibitors, principles and applications. New Jersey: Wiley, 1998, ISBN 978-0471976080.Search in Google Scholar

Schmuck C, Wienand W. Self-complementary quadruple hydrogen-bonding motifs as a functional principle: from dimeric supramolecules to supramolecular polymers. Angew Chem Int Ed 2001; 40: 4363–4369.10.1002/1521-3773(20011203)40:23<4363::AID-ANIE4363>3.0.CO;2-8Search in Google Scholar

Schubert US, Eschbaumer C. Macromolecules containing bipyridine and terpyridine metal complexes: towards metallosupramolecular polymers. Angew Chem 2002; 41: 2892–2926.10.1002/1521-3773(20020816)41:16<2892::AID-ANIE2892>3.0.CO;2-6Search in Google Scholar

Schubert US, Hochwimmer G, Schmatloch S, Hofmeier H. A novel class of smart materials. Eur Coat J 2003; 6: 28–34.Search in Google Scholar

Schulz MJ, Shanov VN. Nanomedicine design of particles, sensors, motors, implants, robots, and devices. Massachusetts: Artech House, 2009, ISBN 978-1596932791.Search in Google Scholar

Selim MS, Shenashen MA, El-Safty SA, Higazy SA, Selim MM, Isago H, Elmarakbi A. Recent progress in marine foul-release polymeric nanocomposite coatings. Prog Mater Sci 2017; 87: 1–32.10.1016/j.pmatsci.2017.02.001Search in Google Scholar

Serre C, Férey G. Hybrid open frameworks. 8. Hydrothermal synthesis, crystal structure, and thermal behavior of the first three-dimensional titanium(IV) diphosphonate with an open structure: Ti3O2(H2O)2(O3P−(CH2)−PO3)2·(H2O)2, or MIL-22. Inorg Chem 1999; 38: 5370–5373.10.1021/ic990345mSearch in Google Scholar

Shao L, Yang J, Hua B. A dual-responsive cross-linked supramolecular polymer network gel: hierarchical supramolecular self-assembly driven by pillararene-based molecular recognition and metal-ligand interactions. Polym Chem 2018; 9: 1293–1297.10.1039/C8PY00057CSearch in Google Scholar

Shchukin DG, Möhwald H. Self-repairing coatings containing active nanoreservoirs. Small 2007a; 3: 926–943.10.1002/smll.200700064Search in Google Scholar

Shchukin DG, Möhwald H. Surface-engineered nanocontainers for entrapment of corrosion inhibitors. Adv Funct Mater 2007b; 17: 1451–1458.10.1002/adfm.200601226Search in Google Scholar

Shchukin DG, Möhwald H. A coat of many functions. Science 2013; 341: 1458–1459.10.1126/science.1242895Search in Google Scholar

Shchukin DG, Zheludkevich M, Yasakau K, Lamaka S, Ferreira MGS, Möhwald H. Layer-by-layer assembled nanocontainers for self-healing corrosion protection. Adv Mater 2006; 18: 1672–1678.10.1002/adma.200502053Search in Google Scholar

Shchukin DG, Lamaka SV, Yasakau KA, Zheludkevich ML, Ferreira MGS, Möhwald H. Active anticorrosion coatings with halloysite nanocontainers. J Phys Chem C 2008; 112: 958–964.10.1021/jp076188rSearch in Google Scholar

Shetty D, Khedkar JK, Park KM, Kim K. Can we beat the biotin-avidin Pair? Cucurbit[7]uril-based ultrahigh affinity host-guest complexes and their applications. Chem Soc Rev 2015; 44: 8747–8761.10.1039/C5CS00631GSearch in Google Scholar

Shibad PR, Balachandra J. Behavior of titanium and its alloy with hydrofluoric acid in HCI and H2SO4 solutions with addition agents. Anti-Corros Methods Mater 1976; 23: 16–28.10.1108/eb007024Search in Google Scholar

Shibli SMA, Saji VS. Co-inhibition characteristics of sodium tungstate with potassium iodate on mild steel corrosion. Corros Sci 2005; 47: 2213–2224.10.1016/j.corsci.2004.09.012Search in Google Scholar

Shujah S, Rehman Z, Muhammad N, Ali S, Khalid N, Tahir MN. New dimeric and supramolecular organotin(IV) complexes with a tridentate schiff base as potential biocidal agents. J Organomet Chem 2011; 696: 2772–2781.10.1016/j.jorganchem.2011.04.010Search in Google Scholar

Shukla PG. Microencapsulation of liquid active agents. In: Ghosh SK, editor. Functional coatings. New Jersey: Wiley, 2006, ISBN 978-3-527-31296-2.Search in Google Scholar

Siedenbiedel F, Tiller JC. Antimicrobial polymers in solution and on surfaces: overview and functional principles. Polymers 2012; 4: 46–71.10.3390/polym4010046Search in Google Scholar

Silva P, Vilela SMF, Tomé JPC, Paz FAA. Multifunctional metal-organic frameworks: from academia to industrial applications. Chem Soc Rev 2015; 44: 6774–6803.10.1039/C5CS00307ESearch in Google Scholar

Skorb EV, Fix D, Andreeva DV, Möhwald H, Shchukin DG. Surface-modified mesoporous SiO2 containers for corrosion protection. Adv Funct Mater 2009; 19: 2373–2379.10.1002/adfm.200801804Search in Google Scholar

Smets G, Hesbain AM. Hydrolysis of polyacrylamide and acrylic acid-acrylamide copolymers. J Polym Sci 1959; 40: 217–226.10.1002/pol.1959.1204013616Search in Google Scholar

Song B, Wei H, Wang Z, Zhang X, Smet M, Dehaen W. Supramolecular nanofibers by self-organization of bola-amphiphiles through a combination of hydrogen bonding and π-π stacking interactions. Adv Mater 2007; 19: 416–420.10.1002/adma.200600779Search in Google Scholar

Srivastava V, Banerjee S, Singh MM. Inhibitive effect of polyacrylamide grafted with fenugreek mucilage on corrosion of mild steel in 0.5 M H2SO4 at 35°C. J Appl Polym Sci 2010; 116: 810–816.10.1002/app.31559Search in Google Scholar

Stankiewicz A, Barker MB. Development of self-healing coatings for corrosion protection on metallic structures. Smart Mater Struct 2016; 25: 084013.10.1088/0964-1726/25/8/084013Search in Google Scholar

Steed JW, Atwood JL. Supramolecular chemistry. New Jersey: Wiley, 2000, ISBN 978-0-470-51234-0.Search in Google Scholar

Stellacci F. Nanoparticles to nanopolymers. 233 ACS National Meeting, Chicago, March 25–29, 2007.Search in Google Scholar

Stoddart JF. Cyclodextrins, off- the- shelf components for the construction of mechanically interlocked molecular systems. Angew Chem Int Ed 1992; 31: 846–848.10.1002/anie.199208461Search in Google Scholar

Szejtli J. Introduction and general overview of cyclodextrin chemistry. Chem Rev 1998; 98: 1743–1754.10.1021/cr970022cSearch in Google Scholar

Szejtli J, Osa T. Comprehensive supramolecular chemistry, vol. 3. Bergama: Pergamon, 1999, ISBN 9780080912844.Search in Google Scholar

Tabakci B, Yilmaz M, Beduk AD. Novel calix[4]arene-based polymeric catalysts as acyltransferase enzyme mimics. J Appl Polym Sci 2012; 125: 1012–1019.10.1002/app.36344Search in Google Scholar

Talati JD, Modi RM. Colloids as corrosion inhibitors for aluminum- copper alloy in sodium hydroxide. Anti-Corros Methods Mater 1976; 23: 6–9.10.1108/eb006996Search in Google Scholar

Tang Q, Zhou Z. Graphene-analogous low-dimensional materials. Prog Mater Sci 2013; 58: 1244–1315.10.1016/j.pmatsci.2013.04.003Search in Google Scholar

Tao Y, Ju E, Ren J, Qu X. Bifunctionalized mesoporous silica-supported gold nanoparticles: intrinsic oxidase and peroxidase catalytic activities for antibacterial applications. Adv Mater 2015; 27: 1097–1104.10.1002/adma.201405105Search in Google Scholar

Tarn D, Ashley CE, Xue M, Carnes EC, Zink JI, Brinker CJ. Mesoporous silica nanoparticle nanocarriers – biofunctionality and biocompatibility. Acc Chem Res 2013; 46: 792–801.10.1021/ar3000986Search in Google Scholar

Taylor SR, Shiflet GJ, Scully JR, Buchheit RG, VanOoij WJ, Sieradzki K, Diaz RE, Brinker CJ, Moran AL. Increasing the functionality of military coatings using nano-dimensioned materials. Corros Rev 2007; 25: 491–522.10.1515/CORRREV.2007.25.5-6.491Search in Google Scholar

Tedim J, Poznyak SK, Kuznetsova A, Raps D, Hack T, Zheludkevich ML, Ferreira MGS. Enhancement of active corrosion protection via combination of inhibitor-loaded nanocontainers. ACS Appl Mater Interfaces 2010; 2: 1528–1535.10.1021/am100174tSearch in Google Scholar

Tellini VHS, Jover A, García JC, Galantini L, Meijide F, Tato JV. Thermodynamics of formation of host-guest supramolecular polymers. J Am Chem Soc 2006; 128: 5728–5734.10.1021/ja0572809Search in Google Scholar

Teyssandier J, De Feyter S, Mali KS. Host-guest chemistry in two-dimensional supramolecular networks. Chem Commun 2016; 52: 11465–11487.10.1039/C6CC05256HSearch in Google Scholar

Thomson T. Polyurethanes as specialty chemicals: principles and applications. Florida: CRC Press, 2005, ISBN 9780849318573.10.1201/9781420039665Search in Google Scholar

Tian J, Zhou TY, Zhang SC, Aloni S, Altoe MV, Xie SH, Wang H, Zhang DW, Zhao X, Liu Y, Li ZT. Three-dimensional periodic supramolecular organic framework ion sponge in water and microcrystals. Nat Commun 2014; 5: 5574.10.1038/ncomms6574Search in Google Scholar

Tian J, Xu ZY, Zhang DW, Wang H, Xie SH, Xu DW, Ren YH, Wang H, Liu Y, Li ZT. Supramolecular metal-organic frameworks that display high homogeneous and heterogeneous photocatalytic activity for H2 production. Nat Commun 2016; 7: 11580.10.1038/ncomms11580Search in Google Scholar

Timofeeva L, Kleshcheva N. Antimicrobial polymers: mechanism of action, factors of activity, and applications. Appl Microbiol Biotechnol 2011; 89: 475–492.10.1007/s00253-010-2920-9Search in Google Scholar

Tiu BDB, Advincula RC. Polymeric corrosion inhibitors for the oil and gas industry: design principles and mechanism. React Funct Polym 2015; 95: 25–45.10.1016/j.reactfunctpolym.2015.08.006Search in Google Scholar

Tripathi BP, Dubey NC, Choudhury S, Simon F, Stamm M. Antifouling and antibiofouling pH responsive block copolymer based membranes by selective surface modification. J Mater Chem B 2013; 1: 3397–3409.10.1039/c3tb20386gSearch in Google Scholar

Trojer MA, Movahedi A, Blanck H, Nydén M. Imidazole and triazole coordination chemistry for antifouling coatings. J Chem 2013; 946739. DOI:10.1155/2013/946739.Search in Google Scholar

Tsao CT, Chang CH, Lin YY, Wu MF, Wang JL, Han JL, Hsieh KH. Antibacterial activity and biocompatibility of a chitosan-gamma-poly(glutamic acid) polyelectrolyte complex hydrogel. Carbohydr Res 2010; 345: 1774–1780.10.1016/j.carres.2010.06.002Search in Google Scholar

Uekama K, Hirayama F, Irie T. Cyclodextrin drug carrier systems. Chem Rev 1998; 98: 2045–2076.10.1021/cr970025pSearch in Google Scholar

Uhlig HH, Review RW. Corrosion and corrosion control: an introduction to corrosion science and engineering, 4th ed., New Jersey: Wiley, 2008, ISBN 978-0-471-73279-2.Search in Google Scholar

Umoren SA. Polymers as corrosion inhibitors for metals in different media – a review. Open Corros J 2009; 2: 175–188.10.2174/1876503300902010175Search in Google Scholar

Umoren SA, Eduok UM. Application of carbohydrate polymers as corrosion inhibitors for metal substrates in different media: a review. Carbohydr Polym 2016; 140: 314–341.10.1016/j.carbpol.2015.12.038Search in Google Scholar

Umoren SA, Solomon MM. Recent developments on the use of polymers as corrosion inhibitors – a review. Open Mater Sci J 2014; 8: 39–54.10.2174/1874088X01408010039Search in Google Scholar

Umoren SA, Ebenso EE, Okafor PC, Ogbobe O. Water-soluble polymers as corrosion inhibitors. Pig Resin Technol 2006; 35: 346–352.10.1108/03699420610711353Search in Google Scholar

Umoren SA, Ogbobe O, Igw IO, Ebenso EE. Inhibition of mild steel corrosion in acidic medium using synthetic and naturally occurring polymers and synergistic halide additives. Corros Sci 2008; 50: 1998–2006.10.1016/j.corsci.2008.04.015Search in Google Scholar

Verma C, Quraishi MA. Thermodynamic, electrochemical and surface studies of dendrimers as effective corrosion inhibitors for mild steel in 1 M HCl. Anal Bioanal Electrochem 2016; 8: 104–123.Search in Google Scholar

Verma C, Ebenso EE, Vishal Y, Quraishi MA. Dendrimers: a new class of corrosion inhibitors for mild steel in 1 M HCl: experimental and quantum chemical studies. J Mol Liq 2016; 224: 1282–1293.10.1016/j.molliq.2016.10.117Search in Google Scholar

Véronique NR, Loïc L. Encapsulation of biocides by cyclodextrins: toward synergistic effects against pathogens. Beilstein J Org Chem 2014; 10: 2603–2622.10.3762/bjoc.10.273Search in Google Scholar

Vicens J, Harrowfield J. Calixarenes in Nanoworld. Berlin: Springer, 2007, ISBN 978-1-4020-5022-0.10.1007/978-1-4020-5022-4Search in Google Scholar

Vivero-Escoto JL, Slowing II, Trewyn BG, Lin VS. Mesoporous silica nanoparticles for intracellular controlled drug delivery. Small 2010; 6: 1952–1967.10.1002/smll.200901789Search in Google Scholar

Walker J, Surman S, Jass J. Industrial biofouling detection, prevention and control. New Jersey: Wiley, 2000, ISBN 978-0-471-98866-3.Search in Google Scholar

Wang T, Tan LH, Ding CD, Wang MD, Xu JH, Fu JJ. Redox-triggered controlled release systems-based bi-layered nanocomposite coating with synergistic self-healing property. J Mater Chem A 2017a; 5: 1756–1768.10.1039/C6TA08547DSearch in Google Scholar

Wang N, Zhang Y, Chen J, Zhang J, Fang Q. Dopamine modified metal-organic frameworks on anti-corrosion properties of waterborne epoxy coatings. Prog Org Coat 2017b; 109: 126–134.10.1016/j.porgcoat.2017.04.024Search in Google Scholar

Weckhuysen BM, Verberckmoes AA, Vannijvel IP, Pelgrims JA, Buskens PL, Jacobs PA, Schoonheydt RA. Zeolite encaged Cu(histidine) complexes as mimics of natural Cu enzymes. Angew Chem Int Ed 1996; 34: 2652–2654.10.1002/anie.199526521Search in Google Scholar

Wei G, Fan B, Qiao N, Wei Y, Jin G, Zhang Z. Supermolecular corrosion inhibitor of copper and its alloy and ultra-fine grinding preparation method thereof. Chinese Patent, CN 103602992, 2014a.Search in Google Scholar

Wei Q, Schlaich C, Prévost S, Schulz A, Böttcher C, Gradzielski M, Qi Z, Haag R, Schalley CA. Supramolecular polymers as surface coatings: rapid fabrication of healable superhydrophobic and slippery surfaces. Adv Mater 2014b; 26: 7358–7364.10.1002/adma.201401366Search in Google Scholar

Wei H, Wang Y, Guo J, Shen NZ, Jiang D, Zhang X, Yan X, Zhu J, Wang Q, Shao L, Lin H, Wei S, Guo Z. Advanced micro/nanocapsules for self-healing smart anticorrosion coatings. J Mater Chem A 2015; 3: 469–480.10.1039/C4TA04791ESearch in Google Scholar

Wen P, Zhu DH, Feng K, Liu FJ, Lou WY, Li N, Zong MH, Wu H. Fabrication of electrospun polylactic acid nanofilm incorporating cinnamon essential oil/β-cyclodextrin inclusion complex for antimicrobial packaging. Food Chemistry 2016; 196: 996–1004.10.1016/j.foodchem.2015.10.043Search in Google Scholar

White SR, Sottos NR, Geubelle PH, Moore JS, Kessler MR, Sriram SR, Brown EN, Viswanathan S. Autonomic healing of polymer composites. Nature 2001; 409: 794–797.10.1038/35057232Search in Google Scholar

Wilkins RG. Kinetics and mechanism of reactions of transition metal complexes. New Jersey: Wiley, 2003, ISBN 9783527282531.Search in Google Scholar

Williams SR, Wang W, Winey KI, Long TE. Synthesis and morphology of segmented poly(tetramethylene-oxide)-based polyurethanes containing phosphonium salts. Macromolecules 2008; 41: 9072–9079.10.1021/ma801942fSearch in Google Scholar

Winkler HDF, Weimann DP, Springer A, Schalley CA. Dynamic motion in crown ether dendrimer complexes: a spacewalk on the molecular scale. Angew Chem Int Ed 2009; 48: 7246–7250.10.1002/anie.200902437Search in Google Scholar

Winter A, Hager MD, Schubert US. Supramolecular polymers. Polym Sci Compr Ref 2012; 5: 269–310.10.1016/B978-0-444-53349-4.00141-2Search in Google Scholar

Wouters M, Rentrop C, Willemsen P. Surface structuring and coating performance: novel biocidefree nanocomposite coatings with antifouling and fouling-release properties. Progr Org Coat 2010; 68: 4–11.10.1016/j.porgcoat.2009.10.005Search in Google Scholar

Xiong Q, Cui M, Bai Y, Liu Y, Liu D, Song T. A supramolecular nanoparticle system based on β-cyclodextrin-conjugated poly-l-lysine and hyaluronic acid for co-delivery of gene and chemotherapy agent targeting hepatocellular carcinoma. Colloids Surf B 2017; 155: 93–103.10.1016/j.colsurfb.2017.04.008Search in Google Scholar

Xu JH, Ye S, Ding CD, Tan LH, Fu JJ. Autonomous self-healing supramolecular elastomer reinforced and toughened by graphitic carbon nitride nanosheets tailored for smart anticorrosion coating applications. J Mater Chem A 2018; 6: 5887–5898.10.1039/C7TA09841CSearch in Google Scholar

Xue CH, Zhang ZD, Zhang J, Jia ST. Lasting and self-healing superhydrophobic surfaces by coating of polystyrene/SiO2 nanoparticles and polydimethylsiloxane. J Mater Chem A 2014a; 2: 15001–15007.10.1039/C4TA02396JSearch in Google Scholar

Xue T, Peng B, Xue M, Zhong X, Chiu CY, Yang S, Qu Y, Ruan L, Jiang S, Dubin S, Kaner RB, Zink JI, Meyerhoff ME, Duan X, Huang Y. Integration of molecular and enzymatic catalysts on graphene for biomimetic generation of antithrombotic species. Nat Commun 2014b; 5: 3200.10.1038/ncomms4200Search in Google Scholar

Yablokov GA, Sukhareva LA, Kiselev MR, Zubov PI. Effect of the crosslink density and supramolecular structures on the properties of polyurethane coatings. Kolloidnyi Zhurnal 1970; 32: 137–140.Search in Google Scholar

Yaghi OM, Li G, Li H. Selective binding and removal of guests in a microporous metal-organic framework. Nature 1995; 378: 703–706.10.1038/378703a0Search in Google Scholar

Yang WJ, Neoh KG, Kang ET, Teo SLM, Rittschof D. Polymer brush coatings for combating marine biofouling. Prog Polym Sci 2014a; 39: 1017–1042.10.1016/j.progpolymsci.2014.02.002Search in Google Scholar

Yang H, Yuan B, Zhang X, Scherman OA. Supramolecular chemistry at interfaces: host-guest interactions for fabricating multifunctional biointerfaces. Acc Chem Res 2014b; 47: 2106–2115.10.1021/ar500105tSearch in Google Scholar

Yang R, Jang H, Stocker R, Gleason KK. Synergistic prevention of biofouling in seawater desalination by zwitterionic surfaces and low-level chlorination. Adv Mater 2014c; 19: 1711–1718.10.1002/adma.201304386Search in Google Scholar

Yang F, Li X, Qiu S, Zheng W, Zhao H, Wang L. Water soluble trianiline containing polyurethane (TAPU) as an efficient corrosion inhibitor for mild steel. Int J Electrochem Sci 2017; 12: 5349–5362.10.20964/2017.06.53Search in Google Scholar

Yi C, Zhang S, Webb KT, Nie Z. Anisotropic self-assembly of hairy inorganic nanoparticles. Acc Chem Res 2017; 50: 12–21.10.1021/acs.accounts.6b00343Search in Google Scholar

Yin JL, Mei ML, Li QL, Xia R, Zhang ZH, Chu CH. Self-cleaning and antibiofouling enamel surface by slippery liquid infused technique. Sci Rep 2016; 6: 25924.10.1038/srep25924Search in Google Scholar

Zahidah KA, Kakooei S, Ismail MC, Raja PB. Halloysite nanotubes as nanocontainer for smart coating application: a review. Prog Org Coat 2017; 111: 175–185.10.1016/j.porgcoat.2017.05.018Search in Google Scholar

Zamanizadeha HR, Shishesaza MR, Danaeea I, Zaarei D. Investigation of the corrosion protection behavior of natural montmorillonite clay/bitumen nanocomposite coatings. Prog Org Coat 2015; 78: 256–260.10.1016/j.porgcoat.2014.08.011Search in Google Scholar

Zang DM, Cao DK, Zheng LM. Strontium and barium 4-carboxylphenylphosphonates: hybrid anti-corrosion coatings for magnesium alloy. Inorg Chem Commun 2011; 14: 1920–1923.10.1016/j.inoche.2011.09.011Search in Google Scholar

Zhang L, Coffer JL, Wang J, Gutsche CD. Porous silicon coated with calixarene carboxylic acid derivatives: effects on luminescence quenching selectivity. J Am Chem Soc 1996; 118: 12840–12841.10.1021/ja962964pSearch in Google Scholar

Zhang DQ, Gao LX, Cai QR, Lee KY. Inhibition of copper corrosion by modifying cysteine self-assembled film with alkylamine/alkylacid compounds. Mater Corros 2010; 61: 16–21.10.1002/maco.200905225Search in Google Scholar

Zhang KD, Tian J, Hanif D, Zhang Y, Sue ACH, Zhou TY, Zhang L, Zhao X, Liu Y, Li ZT. Toward a single-layer two-dimensional honeycomb supramolecular organic framework in water. J Am Chem Soc 2013; 135: 17913–17918.10.1021/ja4086935Search in Google Scholar

Zhang B, He C, Chen X, Tian Z, Li F. The synergistic effect of polyamidoamine dendrimers and sodium silicate on the corrosion of carbon steel in soft water. Corros Sci 2015; 90: 585–596.10.1016/j.corsci.2014.10.054Search in Google Scholar

Zhang R, Liu Y, He M, Su Y, Zhao X, Elimelechc M, Jiang Z. Antifouling membranes for sustainable water purification: strategies and mechanisms. Chem Soc Rev 2016; 45: 5888–5924.10.1039/C5CS00579ESearch in Google Scholar

Zhang F, Ju P, Pan M, Zhang D, Huang Y, Li G, Li X. Self-healing mechanisms in smart protective coatings: a review. Corros Sci 2018a; 144: 74–88.10.1016/j.corsci.2018.08.005Search in Google Scholar

Zhang M, Ma L, Wang L, Sun Y, Liu Y. Insights into the use of metal-organic framework as high-performance anticorrosion coatings. ACS Appl Mater Interfaces 2018b; 10: 2259–2263.10.1021/acsami.7b18713Search in Google Scholar

Zhao D, Liu D, Hu Z. A smart anticorrosion coating based on hollow silica nanocapsules with inorganic salt in shells. J Coat Technol Res 2017; 14: 85–94.10.1007/s11998-016-9830-4Search in Google Scholar

Zhao X, Zhang R, Liu Y, He M, Su Y, Gao C, Jiang Z. Antifouling membrane surface construction: chemistry plays a critical role. J Membr Sci 2018a; 551: 145–171.10.1016/j.memsci.2018.01.039Search in Google Scholar

Zhao H, Yang Z, Guo L. Nacre-inspired composites with different macroscopic dimensions: strategies for improved mechanical performance and applications. NPG Asia Mater 2018b; 10: 1–22.10.1038/s41427-018-0009-6Search in Google Scholar

Zheludkevich ML, Shchukin DG, Yasakau KA, Möhwald H, Ferreira MGS. Anticorrosion coatings with self-healing effect based on nanocontainers impregnated with corrosion inhibitor. Chem Mater 2007; 19: 402–411.10.1021/cm062066kSearch in Google Scholar

Zheludkevich ML, Poznyak SK, Rodrigues LM, Raps D, Hack T, Dick LF, Nunes T, Ferreira MGS. Active protection coatings with layered double hydroxide nanocontainers of corrosion inhibitor. Corros Sci 2010; 52: 602–611.10.1016/j.corsci.2009.10.020Search in Google Scholar

Zheludkevich ML, Tedim J, Ferreira MGS. Smart coatings for active corrosion protection based on multi-functional micro and nanocontainers. Electrochim Acta 2012; 82: 314–323.10.1016/j.electacta.2012.04.095Search in Google Scholar

Zheng Z, Huang X, Schenderlein M, Borisova D, Cao R, Möhwald H, Shchukin D. Self-healing and antifouling multifunctional coatings based on pH and sulfide ion sensitive nanocontainers. Adv Funct Mater 2013; 23: 3307–3314.10.1002/adfm.201203180Search in Google Scholar

Zheng Z, Schenderlein M, Huang X, Brownbill NJ, Blanc F, Shchukin D. Influence of functionalization of nanocontainers on self-healing anticorrosive coatings. ACS Appl Mater Interfaces 2015; 7: 22756–22766.10.1021/acsami.5b08028Search in Google Scholar

Žigon M, Ambrožič G. Spramolecular polymers. Mater Technol 2003; 37: 231–236.Search in Google Scholar

Zimmerman SC, Lawless LJ. Supramolecular chemistry of dendrimers. Topics Curr Chem 2001; 217: 95–120.10.1007/3-540-45003-3_3Search in Google Scholar

Zou CJ, Liao WJ, Zhang L, Chen HM. Study on acidizing effect of β-cyclodextrin-PBTCA inclusion compound with sandstone. J Petrol Sci Eng 2011; 77: 219–225.10.1016/j.petrol.2011.03.010Search in Google Scholar

Zu SZ, Han BH. Aqueous dispersion of graphene sheets stabilized by pluronic copolymers: formation of supramolecular hydrogel. J Phys Chem C 2009; 113: 13651–13657.10.1021/jp9035887Search in Google Scholar

Received: 2018-12-07
Accepted: 2019-01-30
Published Online: 2019-03-16
Published in Print: 2019-06-26

©2019 Walter de Gruyter GmbH, Berlin/Boston

Downloaded on 31.12.2025 from https://www.degruyterbrill.com/document/doi/10.1515/corrrev-2018-0105/html
Scroll to top button