Home Life Sciences Effect of awareness and saturated treatment on the transmission of infectious diseases
Article Open Access

Effect of awareness and saturated treatment on the transmission of infectious diseases

  • Aditya Pandey , Archana Singh Bhadauria EMAIL logo , Vijai Shanker Verma and Rachana Pathak
Published/Copyright: August 7, 2024

Abstract

In this article, we study the role of awareness and its impact on the control of infectious diseases. We analyze a susceptible-infected-recovered model with a media awareness compartment. We find the effective reproduction number R 0 . We observe that our model exhibits transcritical forward bifurcation at R 0 = 1 . We also performed the sensitivity analysis to determine the sensitivity of parameters of the effective reproduction number R 0 . In addition, we study the corresponding optimal control problem by considering control in media awareness and treatment. Our studies conclude that we can reduce the rate of spread of infection in the population by increasing the treatment rate along with media awareness.

MSC 2010: 34H05; 49K15; 92B05; 92D30

1 Introduction

Worldwide populations have incurred the loss of a huge number of human lives in the history of mankind due to the outbreak of infectious diseases. To prevent and control the infectious diseases, a wide range of tools are utilized; among which media awareness plays a significant role in controlling the disease and keeping the rate of transmission remarkably low. Information through media can spread very fast in a large population by which one can avoid risky behavior and take precautionary measures at an advanced stage of an outbreak of disease. Mathematical modeling [1] has proven very useful in understanding different aspects of disease dynamics and in the intervention and control of infectious diseases. It helps in understanding the transmission dynamics of infectious diseases [2] and determining the optimal policy for the control of infectious diseases. Awareness about the disease dynamics and the measures of precautions from it causes the population to behave accordingly to protect themselves from contracting the disease, and therefore, less number of people get affected by the disease resulting in less burden on the health care system workers, hospital beds, medicine, and other equipments. For instance, in 1994, there was a spread of plague in Gujarat state of India [3]. People began to leave the plague-affected region as soon as they got aware of the disease. On the other hand, if awareness about the disease would have not been handled properly, it might result in a spread of panic and anxiety among the population; as a result, the disease would have spread to other parts of the country before the population could know the ways to prevent themselves from the disease. Thus, the role of awareness in controlling diseases cannot be neglected.

Recently, mathematical modeling of infectious diseases received much more attention from researchers. Tchuenche et al. [4] have studied the impact of media coverage on the transmission dynamics of human influenza. They presented an susceptible infected vaccinated recovered model, which was a deterministic transmission and vaccination model. By the analysis of the model, a basic reproduction number was obtained by which they observed the different characteristics of disease transmission. Xiao et al. [5] have analyzed the dynamics of infectious diseases with media/psychology-induced non-smooth incidence. The model extended the other classic models with media awareness by incorporating a piece-wise smooth incidence rate. Greenhalgh et al. [6] suggested a mathematical model for studying the role of awareness in a situation of outbreak. In this model, they introduced the delay. Basir et al. [7] have given a model that aims to investigate the effect of delay and awareness of disease outbreaks. Ibrahim et al. [8] proposed a mathematical model for analyzing the effect of awareness on the spread of malaria disease. Due to the effect of awareness programs, the susceptible population tried to avoid contact with the mosquitoes. In the model, they have provided the simulation of the interactions of the population of humans and anopheles for different numeric values. Elgazzar et al. [9] showed the transmission dynamics of coronavirus disease 2019 (COVID-19) in the population by taking into account social distancing and community awareness. Bhadauria et al. [10] studied the dynamics of COVID-19 by formulating an susceptible exposed infected quarantined recovered model. They considered a delay term in their model to show the time lag between the transfer of the exposed population to the infected population. They analyzed the local and global stability of the equilibrium points. They concluded from their study that the asymptomatic exposed population plays an important role in increasing the infection. Goel and Nilam [11] proposed an susceptible awared infected recovered epidemic model with Michaelis-Menten-type non-linear incidence rates. They found that awareness about infection risk and control measures induced change in human behavior and patterns of disease transmission. They introduced a delay term to show the latent period. They depict the limitation in treatment facilities with the saturation term in treatment rate. Zhang et al. [12] gave an improved model for COVID-19. They investigated the effect of media awareness and treatment. They also formulated an optimal control problem by applying control on treatment, quarantine, and awareness. They have also studied the cost of controls and variations of the different kinds of population by applying different controls.

In this article, we have proposed a mathematical model to study the impact of media awareness with saturated treatment on the transmission of infectious diseases [13]. We have considered an susceptible infected recovered (SIR) model with the effect of media awareness. We have incorporated a treatment term in our model to represent the saturation in the treatment with the increase in infection among the population. Since we do not have medicine for recent viral diseases such as COVID-19, severe acute respiratory syndrome, middle east respiratory syndrome. We wanted to know how we will be benefited if medicines are introduced along with other preventive measures for such types of diseases. Thus, the main objective of our research is to study the efficacy of treatment for infectious diseases emerging these days and compare the antiviral treatment and awareness strategies to control the infectious diseases. The combined effect of saturated incidence rate and saturated treatment rate with media awareness is a novelty of our model. To the best of our knowledge, there is no study on the combined effect of the three. In addition, we study corresponding optimal control problem to find the optimal treatment and optimal awareness programs to prevent the spread of infectious diseases.

2 Mathematical model

The population N ( t ) is divided into different compartments such as susceptible S ( t ) , infected I ( t ) , recovered/removed R ( t ) , and a compartment of media awareness M ( t ) . The susceptible ones are prone to contracting the disease, the infected ones are part of the population who have contracted the disease and are ready to transmit it to the susceptible ones. R ( t ) stands for the population that has recovered/removed from the infectious disease, and M ( t ) stands for the awareness program operated by the media and is known as the cumulative density of media awareness [14] (the total awareness by all the media agencies combined, i.e., all social media, print media, T.V. media, internet). We take the growth rate of the media program in proportion to the infected population. As the infected population in the system will increase, more media awareness programs will be launched to spread awareness about the disease among the population. We have incorporated all the programs in social media that require the least effort and may create awareness to the population about a disease prevailing. Preventing the population from acquiring infection and hence reducing the susceptible population may help the system significantly to escape from any disease [15] so we considered aware population to directly go into the recovered/removed class. Keeping these things in mind, we have formulated the following SIRM model represented by the system of non-linear ordinary differential equations (Figure 1):

(1) d S d t = A β S I 1 + a I 2 μ S η S M ,

(2) d I d t = β S I 1 + a I 2 μ I θ I 1 + b I ,

(3) d R d t = θ I 1 + b I μ R + η S M ,

(4) d M d t = ϕ I ϕ 0 ( M M 0 ) .

Figure 1 
               Schematic flow chart of SIRM model.
Figure 1

Schematic flow chart of SIRM model.

Parameters Description Unit
A Population recruited at a constant rate Person day 1
a Saturation constant
β Transmission rate of infection Person 1   day 1
b Saturation constant
θ Treatment rate Day 1
μ Natural death rate Day 1
η Efficacy of media awareness Person 1   day 1
ϕ Rate of implementation of awareness Day 1
ϕ 0 Rate of fading of media campaign Day 1
M 0 Baseline number of media campaign

In the model Systems (1)–(4), we have taken non-linear incidence and treatment rates. In order to express the incidence of infection among the population, we have considered the Monod-Haldane (M-H) incidence rate [13], which is of the form β S I 1 + a I 2 . M-H incidence rate is used when there is a large population of infected individuals; in this case, the force of infection may decrease as the number of infected individuals increases. In the presence of a large infected population, the number of contacts per unit of time tends to decrease among the population. Public awareness campaigns can aware susceptible about the importance of reducing social interactions during an outbreak. This can lead to voluntary changes in behavior. Thus, M-H incidence rate best describes the assumptions taken in our model. In addition, we consider the saturated treatment term [16] in our model to represent saturation in medical facilities. This can happen during a large-scale infectious disease outbreak, a surge in hospital admissions, or a shortage of medical resources such as hospital beds, ventilators, and healthcare personnel.

3 Positivity and boundedness

The notion of positivity and boundedness is useful in determining the stability of the system.

Theorem 3.1

The solution of the system is confined to the region ω = { S , I , R , M S 0 > 0 , I 0 0 , R 0 0 , M 0 ; 0 < N A μ , 0 < M ϕ A μ + ϕ 0 ϕ 0 .

Proof

Let ( S ( t ) , I ( t ) , R ( t ) , and M ( t ) ) be a solution of the system and

(5) S ( t ) + I ( t ) + R ( t ) = N ,

then

(6) d N d t = d S d t + d I d t + d R d t .

Substituting equations (1), (2), and (3) into equation (6), we obtain

(7) d N d t = A μ ( S + I + R )

Substituting equation (5) into equation (7), we obtain

(8) d N d t = A μ N .

The solution of equation (8) is obtained as

(9) N = A μ + c exp ( μ t ) .

From equation (9), we observe that as t , N A μ , therefore

(10) 0 < N A μ .

Now, from equation (4),

d M d t = ϕ I + ϕ 0 M 0 ϕ 0 M .

Substituting equation (10) into it, we obtain

(11) d M d t = ϕ A μ + ϕ 0 M 0 ϕ 0 M .

The solution of the aforementioned equation as t is

M = ϕ A μ + ϕ 0 M 0 ϕ 0 .

Thus,

0 < M ϕ A μ + ϕ 0 M 0 ϕ 0 .

4 Equilibrium points

To know the long-term behavior of the system, we find the equilibrium points. Our model has two equilibrium points: disease-free equilibrium point E 0 and endemic equilibrium point E * .

4.1 Disease-free equilibrium point

The disease-free equilibrium point is obtained as

E 0 = A μ + η M 0 , 0 , η M 0 A μ ( μ + η M 0 ) , M 0 ,

which can be determined from the model very easily.

4.2 Endemic equilibrium point

We prove the existence of endemic equilibrium point of the model by isocline method [17]. From equations (1) and (4), we have

(12) ϕ ( S , I ) = A β S I 1 + a I 2 μ S η S ϕ ϕ 0 I + M 0 .

Furthermore, from equations (2) and (4), we obtain

(13) ψ ( S , I ) = β S I 1 + a I 2 μ I θ I 1 + b I ,

which implies that

(14) d S d I = ϕ I ϕ S = { β S ϕ 0 ( 1 a I 2 ) + η S ϕ ( 1 + a I 2 ) 2 } ( 1 + a I 2 ) { β ϕ 0 I + μ ϕ 0 ( 1 + a I 2 ) + η ϕ I ( 1 + a I 2 ) + η ϕ 0 M 0 ( 1 + a I 2 ) } < 0 ,

for ( 1 a I 2 ) > 0 .

Similarly, from equation (12), we have

(15) d S d I = ψ I ψ S = β S ( 1 a I 2 ) ( 1 + a I 2 ) 2 + μ + θ ( 1 + b I ) 1 + a I 2 β I > 0 ,

for β S ( 1 a I 2 ) ( 1 + a I 2 ) 2 < μ + θ ( 1 + b I ) 2 .

From (14) and (15), we conclude that (12) is a monotonically decreasing function of I and (13) is a monotonically increasing function of I under some conditions mentioned previously. Both the curves represented by equations (12) and (13) intersect at a point ( S * , I * ) . The intersection of the curves is represented in Figure 2. If S * and I * are known, we can easily find the values of R * and M * . Thus, the endemic equilibrium point E * = ( S * , I * , R * , M * ) can be obtained.

Figure 2 
                  Isocline and surface plot of endemic equilibrium point.
Figure 2

Isocline and surface plot of endemic equilibrium point.

5 Effective reproduction number

In a completely susceptible population, several secondary infections generated by a single infected individual is termed as basic reproduction number R 0 . However, due to the considerations of media awareness among the population, the population is not completely susceptible; we, therefore, consider reproduction number as effective reproduction number instead of basic reproduction number. Reproduction number provides a measure of the ability of transmission of infectious diseases among a population. The basic reproduction number of the model has been determined with the help of the next-generation matrix method [18]. From the model Systems (1)–(4), the disease states are I and R so, we have the matrices ζ and ν as follows:

ζ = β S I 1 + a I 2 0

and

ν = μ I + θ I 1 + b I θ I 1 + b I + μ R η S M .

Jacobean matrices of ζ and ν at disease-free equilibrium point E 0 are given by

F = β A μ + η M 0 0 0 0 ,

V = μ + θ 0 θ μ .

Thus, we have

F V 1 = 1 μ ( μ + θ ) β A μ μ + η M 0 0 0 0 .

The largest of the eigenvalues is defined as the spectral radius of the matrix F V 1 , which gives the effective reproduction number R 0 .

Thus,

(16) R 0 = A β ( μ + θ ) ( μ + η M 0 ) .

6 Sensitivity analysis

To dissipate the transmission of infectious disease, it is required to control the parameters for keeping R 0 < 1 . If there exists a parameter g , for which a change in the value of R 0 with the change in the value of g is to be determined, then we compute S I ( g ) = g R 0 X R 0 g , called normalized sensitivity index of R 0 with respect to parameter g .

The normalized sensitivity indices with respect to parameters A , β , θ , μ , η , and M 0 of the basic reproduction number are computed as

S I [ A ] = 1 , S I [ β ] = 1 , S I [ θ ] = θ μ + θ < 1 , S I [ μ ] = μ ( 2 μ + η M 0 + θ ) ( μ + η M 0 ) < 1 , S I [ η ] = η M 0 μ + η M 0 < 1 , S I [ M 0 ] = η M 0 μ + η M 0 < 1 .

Hence, R 0 is equally and positively sensitive to alterations in A and β . It is further observed that R 0 decreases by increasing values of θ , μ , η and M 0 and R 0 increases as the values of the recruitment rate A and rate of transmission of the infection β increase. Figure 3 illustrates the sensitivity of R 0 for these parameters.

Figure 3 
               Sensitivity indices of effective reproduction number 
                     
                        
                        
                           
                              
                                 R
                              
                              
                                 0
                              
                           
                        
                        {R}_{0}
                     
                   with respect to the parameters involved in 
                     
                        
                        
                           
                              
                                 R
                              
                              
                                 0
                              
                           
                        
                        {R}_{0}
                     
                  .
Figure 3

Sensitivity indices of effective reproduction number R 0 with respect to the parameters involved in R 0 .

7 Stability analysis

7.1 Local stability of disease-free equilibrium point

Theorem 7.1

The disease-free equilibrium point E 0 = A μ + η M 0 , 0 , η M 0 A μ ( μ + η M 0 ) , M 0 is locally asymptotically stable for R 0 < 1 and unstable for R 0 > 1 .

Proof

To show the local stability of disease-free equilibrium point E 0 = A μ + η M 0 , 0 , η M 0 A μ ( μ + η M 0 ) , M 0 , we compute a variational matrix J 0 at E 0 :

J 0 = μ η M 0 β A μ + η M 0 0 A η μ + η M 0 0 β A μ + η M 0 μ θ 0 0 η M 0 θ μ A η μ + η M 0 0 ϕ 0 ϕ 0 .

The eigenvalues of this variational matrix are obtained as μ η M 0 , R 0 1 , μ , ϕ 0 , which are all negative for R 0 < 1 . Hence, the system of equations (1)–(4) is locally asymptotically stable at the disease-free equilibrium point E 0 for R 0 < 1 and unstable for R 0 > 1 .□

7.2 Local stability of endemic equilibrium point

To determine the local stability of endemic equilibrium point E 1 ( S * , I * , R * , M * ) , we consider a variational matrix J * at E 1 :

J * = β I * 1 + a I * 2 μ η M * β S * ( 1 a I * 2 ) ( 1 + a I * 2 ) 2 0 η S * β I * ( 1 + a I * 2 ) 1 a I * 2 ( 1 + a I * 2 ) 2 μ θ ( 1 + b I * ) 2 0 0 η M * θ ( 1 + b I * ) 2 μ η S * 0 ϕ 0 ϕ 0 .

The characteristic equation of the aforementioned matrix J * is given by

J * λ I = ( μ + λ ) ( λ 3 + M 1 λ 2 + M 2 λ + M 3 ) = 0 ,

where

M 1 = ϕ 0 + β I * 1 + a I * 2 + 2 μ + η M * β S * ( 1 a I * 2 ) ( 1 + a I * 2 ) 2 + θ ( 1 + b I * ) 2 , M 2 = η S * ϕ + β I * ϕ 0 1 + a I 2 + 2 μ ϕ 0 + η M * ϕ 0 β S * ϕ 0 ( 1 a I * 2 ) 1 + a I * 2 + θ ϕ 0 ( 1 + b I * ) 2 + β 2 S * I * ( 1 a I * 2 ) ( 1 + a I * 2 ) 3 , M 3 = ϕ 0 β I * 1 + a I * 2 + μ + η M * μ + θ ( 1 + b I * 2 ) β S * ( 1 a I * 2 ) ( 1 a I * 2 ) 2 + ϕ 0 β 2 S * I * ( 1 a I * 2 ) ( 1 a I * ) 3 ,

By the Routh-Hurwitz criteria [19], it is ensured that

M 1 > 0 , M 2 > 0 , M 1 M 2 M 3 > 0 if

(17) μ + θ ( 1 + b I * ) 2 > β S * ( 1 a I * 2 ) ( 1 + a I * 2 ) 2 .

Hence, all the eigenvalues of the variational matrix J * are negative and the endemic equilibrium point E * is locally asymptotically stable if (17) holds.

8 Bifurcation analysis

Bifurcation analysis [20] is an effective way to describe the nature of the solution of the system of non-linear differential equations. Bifurcation occurs when a change in parameter results in a change in the stability of the equilibrium point.

Let β = β * be the bifurcation parameter. For R 0 = 1 , we have β * = ( μ + θ ) ( μ + η M 0 ) A .

Using β * and disease-free equilibrium point E 0 in the variational matrix corresponding to the system of non-linear differential equations (1)–(4), we have

J ( β * ) = μ η M 0 μ θ 0 A η μ + η M 0 0 0 0 0 η M 0 θ μ A η μ + η M 0 0 ϕ 0 ϕ 0 ,

which has the eigenvalues ( μ + η M 0 ) , 0, μ , and ϕ 0 . We observe that all eigenvalues of the matrix J ( β * ) are negative other than 0. Now, in this case, we apply center manifold theory [21] to analyze the system.

The right eigenvector of the variational matrix J ( β * ) corresponding to eigenvalue 0 is given by [ e 1 , e 2 , e 3 , e 4 ] , where

e 1 = 1 ( μ + η M 0 ) μ + θ + A η ϕ ϕ 0 ( μ + η M 0 ) , e 2 = 1 , e 3 = η ( μ + η M 0 ) A ϕ M 0 μ + θ + A η ϕ ϕ 0 ( μ + η M 0 ) + θ μ , e 4 = ϕ ϕ 0 ,

and the left eigenvector corresponding to eigenvalue 0 is given by [0, 1, 0, 0].

Now, using center manifold theory, we have

a = 2 ( μ + θ ) A μ + θ + A η ϕ ϕ 0 ( μ + η M 0 ) < 0 b = A μ + η M 0 > 0

Figure 4 
               Transcritical forward bifurcation.
Figure 4

Transcritical forward bifurcation.

Hence, the system of equations (1)–(4) undergoes transcritical forward bifurcation [22] at R 0 = 1 . From this, we infer that as we increase the value of bifurcation parameter β and reproduction number crosses 1, a stable disease-free equilibrium changes its stability from stable to unstable and there exists a locally asymptotically stable endemic equilibrium when R 0 > 1 , i.e., direction of bifurcation is forward (transcritical) at R 0 = 1 (Figure 4).

9 Optimal control

It is imperative to do the right things at the right time to eradicate the disease more efficiently and to minimize the cost of the infection or the cost of applying different control measures. Through optimal control theory [23], an optimal control problem comprises finding a piece-wise continuous control measure v ( t ) and the associated state x ( t ) that minimizes the cost functional J . In our model, for the optimal control, we choose two control parameters, namely,

  1. Treatment rate ( θ ).

  2. Efficacy of media awareness ( η ).

We apply treatment control to obtain the optimal cost of the treatment to the infected population, and as we know to increase the efficacy of media awareness, there is a need for more frequent campaigns and advertisements broadcast through media. We know that efficacy can be increased by increasing the frequency and number of campaigns, which involve a high cost. We use Lebesgue measurable functions v 1 ( t ) and v 2 ( t ) in the system of equations (1)–(4) as

d S d t = A β S I 1 + a I 2 μ S v 2 S M , d I d t = β S I 1 + a I 2 μ I v 1 I 1 + b I , d R d t = v 1 I 1 + b I μ R + v 2 S M , d M d t = ϕ I ϕ 0 ( M M 0 ) .

The functional J with minimum cost is given by

J ( v 1 , v 2 ) = B I ( t ) + C 2 v 1 2 + D 2 v 2 2 d t ,

with initial conditions S ( 0 ) 0 , E ( 0 ) 0 , I ( 0 ) 0 , and R ( 0 ) 0 . The integrand

K ( S , I , R , M , v 1 , v 2 ) = B I ( t ) + C 2 v 1 2 + D 2 v 2 2 ,

signifies the weighted current cost at time t . B , C , and D are the positive constants and are used to balance the units of integrands in the functional J . Our objective is to find the optimal control ( v 1 * , v 2 * ) to optimize the objective functional J such that

J ( v 1 * , v 2 * ) = min J ( v 1 , v 2 ) ,

where, v 1 and v 2 belong to the control set such that 0 v i ( t ) 1 and t ε [ 0 , T ] .

The condition of optimal control to exist is nonempty closed and convex and can be written in the form of linear functions, which depend on time and state variables. Also, the integrand of the objective function is concave. Using the Pontryagin maximum principle [24], the Hamiltonian ( H ) with suitable optimal control variables are

H ( S , I , R , M , λ 1 , λ 2 , λ 3 , λ 4 ) = K ( S , I , R , M , v 1 , v 2 ) + λ 1 d S d t + λ 2 d I d t + λ 3 d R d t + λ 4 d M d t = B I ( t ) + C 2 v 1 ( t ) 2 + D 2 v 2 ( t ) 2 + λ 1 A β S I 1 + a I 2 μ S v 2 S M + λ 2 β S I 1 + a I 2 μ I v 1 I 1 + b I + λ 3 v 1 I 1 + b I μ R + v 2 S M + λ 4 { ϕ I ϕ 0 ( M M 0 ) } ,

where λ 1 , λ 2 , λ 3 and λ 4 represent the adjoint functions. We obtain the following differential equations by differentiating L with respect to S , I , R , and M respectively.

λ 1 = H S = λ 1 β I 1 + a I 2 μ v 2 M + λ 2 β I 1 + a I 2 + λ 3 v 2 M , λ 2 = H I = A + λ 1 β S ( 1 a I 2 ) ( 1 + a L 2 ) 2 + λ 2 β S ( 1 a I 2 ) ( 1 + a I 2 ) 2 μ v 2 ( 1 + b I ) 2 + λ 3 v 2 ( 1 + b I ) 2 + λ 4 ϕ , λ 3 = H R = λ 3 μ , λ 4 = H M = ( λ 1 λ 3 ) u 2 S + λ 4 ϕ 0 .

From the transversality conditions [25], λ 1 ( T ) = 0 , λ 2 ( T ) = 0 , λ 3 ( T ) = 0 , and λ 4 ( T ) = 0 . We observed that all the transversality conditions are zero because of the independence of states. The Hamiltonian with respect to v 1 and v 2 is minimized, and the optimal value is obtained as v 1 * and v 2 * . So the derivative of H for v 1 and v 2 are zero over their optimal values. Now differentiating H with respect to v 1 and v 2 , we obtain

H v 1 = C v 1 ( λ 3 λ 2 ) I 1 + b I , H v 2 = D v 2 + ( λ 3 λ 1 ) S M .

From the Pontryagin maximum principle,

H v 1 = 0 and H v 2 = 0

at v 1 = v 1 * and v 2 = v 2 * .

So, we have

v 1 * = ( λ 3 λ 2 ) I C ( 1 + b I ) and v 2 * = ( λ 3 λ 1 ) S M D .

For the graphical representation of optimal control, we have used the following set of parameters:

A = 100 person day 1 , β = 0.01 person 1 day 1 , θ = 0.02 day 1 , a = 0.0004 , b = 0.0001 , η = 0.02 day 1 , ϕ 0 = 0.1 day 1 , M 0 = 0.3 , μ = 0.6 day 1 , and ϕ = 0.18 day 1 .

In Figures 5, 6, 7, the control profiles of the treatment control ( v 1 ) and awareness control ( v 2 ) are represented in different conditions. The control profiles reveal when and how much control efforts are to be applied. In Figures 8, 9, 10, 11, the cost of the infection is shown in the presence of the different control measures. In Figure 8, no control measure is applied and it is observed that the cost of the infection is highest in this case. From Figure 9, it can be observed that when only treatment control is applied, the cost of infection is minimal as compared to the case when no control is present and when both control measures are applied to the disease transmission. When only the awareness control is applied, the cost of the disease is higher than the cost when only the treatment control measure is applied, which is shown in Figure 10. Hence, this control measure is not optimal. From Figure 11, it is observed that in the presence of both the control measures, the cost of the disease is minimal.

Figure 5 
               Variation of treatment control variable 
                     
                        
                        
                           
                              
                                 v
                              
                              
                                 1
                              
                           
                        
                        {v}_{1}
                     
                   in the absence of awareness control variable 
                     
                        
                        
                           
                              
                                 v
                              
                              
                                 2
                              
                           
                        
                        {v}_{2}
                     
                  .
Figure 5

Variation of treatment control variable v 1 in the absence of awareness control variable v 2 .

Figure 6 
               Variation of awareness control variable 
                     
                        
                        
                           
                              
                                 v
                              
                              
                                 2
                              
                           
                        
                        {v}_{2}
                     
                   in the absence of treatment control variable 
                     
                        
                        
                           
                              
                                 v
                              
                              
                                 1
                              
                           
                        
                        {v}_{1}
                     
                  .
Figure 6

Variation of awareness control variable v 2 in the absence of treatment control variable v 1 .

Figure 7 
               Variation of awareness control 
                     
                        
                        
                           
                              
                                 v
                              
                              
                                 2
                              
                           
                        
                        {v}_{2}
                     
                   when both the controls 
                     
                        
                        
                           
                              
                                 v
                              
                              
                                 1
                              
                           
                        
                        {v}_{1}
                     
                   and 
                     
                        
                        
                           
                              
                                 v
                              
                              
                                 2
                              
                           
                        
                        {v}_{2}
                     
                   are present.
Figure 7

Variation of awareness control v 2 when both the controls v 1 and v 2 are present.

Figure 8 
               Cost (
                     
                        
                        
                           J
                        
                        J
                     
                  ) when both treatment control variable 
                     
                        
                        
                           
                              
                                 v
                              
                              
                                 1
                              
                           
                        
                        {v}_{1}
                     
                   and awareness control variable 
                     
                        
                        
                           
                              
                                 v
                              
                              
                                 2
                              
                           
                        
                        {v}_{2}
                     
                   are absent.
Figure 8

Cost ( J ) when both treatment control variable v 1 and awareness control variable v 2 are absent.

Figure 9 
               Cost (
                     
                        
                        
                           J
                        
                        J
                     
                  ) in the presence of treatment control variable 
                     
                        
                        
                           
                              
                                 v
                              
                              
                                 1
                              
                           
                        
                        {v}_{1}
                     
                   and absence of awareness control variable 
                     
                        
                        
                           
                              
                                 v
                              
                              
                                 2
                              
                           
                        
                        {v}_{2}
                     
                  .
Figure 9

Cost ( J ) in the presence of treatment control variable v 1 and absence of awareness control variable v 2 .

Figure 10 
               Cost (
                     
                        
                        
                           J
                        
                        J
                     
                  ) in the presence of awareness control variable 
                     
                        
                        
                           
                              
                                 v
                              
                              
                                 2
                              
                           
                        
                        {v}_{2}
                     
                   and absence of treatment control variable 
                     
                        
                        
                           
                              
                                 v
                              
                              
                                 1
                              
                           
                        
                        {v}_{1}
                     
                  .
Figure 10

Cost ( J ) in the presence of awareness control variable v 2 and absence of treatment control variable v 1 .

Figure 11 
               Cost (
                     
                        
                        
                           J
                        
                        J
                     
                  ) in the presence of both control variables 
                     
                        
                        
                           
                              
                                 v
                              
                              
                                 1
                              
                           
                        
                        {v}_{1}
                     
                   and 
                     
                        
                        
                           
                              
                                 v
                              
                              
                                 2
                              
                           
                        
                        {v}_{2}
                     
                  .
Figure 11

Cost ( J ) in the presence of both control variables v 1 and v 2 .

Thus, the graphical representation manifests that the effect of treatment is more prominent than the awareness to reduce the cost of the infection. Also when there is neither treatment control v 1 nor awareness control v 2 , the cost of the infection is maximum, and when both the controls are present, the cost of infection is minimum.

10 Numerical simulation

In this section, we have performed the numerical simulation to study the dynamics of the SIRM model and to justify analytical findings. Through numerical simulation, we have shown the local and global stability of disease-free and endemic equilibrium points. We observe that the system exhibits a disease-free state for the parameter set:

A = 100 person day 1 , β = 0.0000001 person 1 day 1 , θ = 0.000005 day 1 , η = 0.00002 person 1 day 1 , b = 0.00001 , ϕ = 0.00018 day 1 , μ = 0.006 day 1 , ϕ 0 = 0.1 day 1 , M 0 = 0.3 , and a = 0.00004 .

For the aforementioned set of parameters, the disease-free equilibrium point is obtained as E 0 = ( 16,667 , 0 , 17 , 2 ) and the basic reproduction number is 0.2773, which is less than one. To show the global stability of disease-free equilibrium point, we draw Figures 12 and 13. From Figure 12, we observe that the disease-free equilibrium point is globally stable in S-I-R and S-I-M spaces since all four trajectories converge to the disease-free equilibrium point E 0 for different initial values of the system variables. Similarly, Figure 13 manifests the global stability behavior of disease-free equilibrium points in S-R-M and I-R-M spaces, respectively.

Figure 12 
               Global stability of disease-free equilibrium point in SIR and SIM space.
Figure 12

Global stability of disease-free equilibrium point in SIR and SIM space.

Figure 13 
               Global stability of disease-free equilibrium in SRM and IRM space.
Figure 13

Global stability of disease-free equilibrium in SRM and IRM space.

To study the dynamics of our model at the endemic equilibrium point, we consider the set of parameters given as follows:

A = 100 person day 1 , β = 0.000001 person 1 day 1 , θ = 0.000005 day 1 , η = 0.000002 person 1 day 1 , b = 0.00001 , ϕ = 0.00018 day 1 , μ = 0.006 day 1 , ϕ 0 = 0.1 day 1 , M 0 = 0.3 , and a = 0.00004 .

For the aforementioned parameter set, the endemic equilibrium point is found to be E * = ( 16298 , 207 , 161 , 30 ) . At this equilibrium point, the basic reproduction number is 2.7752, which is greater than one. We determine the global stability of the endemic equilibrium points in Figures 14 and 15. From Figures 14 and 15, we observe that the endemic equilibrium point is globally asymptotically stable in S-I-R, S-R-M, S-I-M, and I-R-M spaces, respectively.

Figure 14 
               Global stability of endemic equilibrium point SIR and SRM space.
Figure 14

Global stability of endemic equilibrium point SIR and SRM space.

Figure 15 
               Global stability of endemic equilibrium point in SIM and SIM space.
Figure 15

Global stability of endemic equilibrium point in SIM and SIM space.

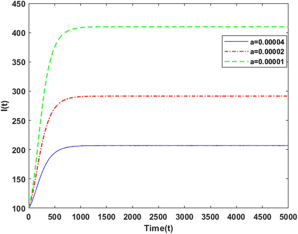
To determine the variation of infected and susceptible populations with time for different values of the significant parameters of the model, we draw Figures 16, 17, 18, 19. In Figure 16, we have shown the change in the infected population with time for different values of saturation constant a , saturation in the infection transmission may appear due to change in behavior of the susceptible population due to awareness programs. From the figure, we observe that the infected population decrease with the increase in a . It may be due to change in the behavior of the susceptible population due to awareness, and thereby, they do not get infected even on coming in contact with the infected population due to their enhanced immunity. Figure 17, displays the variation of the infected population with time for different values of the awareness coefficient ( η ). We observe that as the value of η increases, the infected population decreases. This shows that once susceptible get awareness about any infectious disease, they work on their immunity and are no longer prone to infection due to which the infected population in the system decreases. In addition, it is observed that the infected population vanishes if the awareness rate is sufficiently high. In Figure 18, the variation of the infected and susceptible populations with time for different rates of execution of the awareness programs ( ϕ ) is shown. From Figure 18(a), we observe that the infected population decreases significantly on increasing the execution of awareness programs effectively. We observe that the infected population is highest in the absence of the awareness program, and as the awareness program increases, the infected population decreases rapidly. Similarly, in Figure 18(b), we observe that in the absence of an awareness program, the susceptible population is highest, and as the rate of execution of awareness increases, the susceptible population decrease accordingly. In Figure 19, we draw the variation of the infected population with time for different values of treatment rate ( θ ). From the figure, we observe that as the treatment rate increases, population decreases. Hence, along with the awareness program if the treatment rate is also increased among the population, we can control the spread of disease more efficiently.

Figure 16 
               Change of infected population 
                     
                        
                        
                           I
                           
                              (
                              
                                 t
                              
                              )
                           
                        
                        I\left(t)
                     
                   with change in sensitivity of individuals due to awareness (
                     
                        
                        
                           a
                        
                        a
                     
                  ).
Figure 16

Change of infected population I ( t ) with change in sensitivity of individuals due to awareness ( a ).

Figure 17 
               Change of infected population 
                     
                        
                        
                           I
                           
                              (
                              
                                 t
                              
                              )
                           
                        
                        I\left(t)
                     
                   with different rates of media awareness (
                     
                        
                        
                           η
                        
                        \eta 
                     
                  ) among susceptibles with time.
Figure 17

Change of infected population I ( t ) with different rates of media awareness ( η ) among susceptibles with time.

Figure 18 
               Change of infected 
                     
                        
                        
                           I
                           
                              (
                              
                                 t
                              
                              )
                           
                        
                        I\left(t)
                     
                   and susceptible population 
                     
                        
                        
                           S
                           
                              (
                              
                                 t
                              
                              )
                           
                        
                        S\left(t)
                     
                   with change in implementation rate of awareness program 
                     
                        
                        
                           ϕ
                        
                        \phi 
                     
                  .
Figure 18

Change of infected I ( t ) and susceptible population S ( t ) with change in implementation rate of awareness program ϕ .

Figure 19 
               Change in infected population 
                     
                        
                        
                           I
                           
                              (
                              
                                 t
                              
                              )
                           
                        
                        I\left(t)
                     
                   with the treatment rate 
                     
                        
                        
                           θ
                        
                        \theta 
                     
                  .
Figure 19

Change in infected population I ( t ) with the treatment rate θ .

In Figure 20, we have shown the variation of the infected population with time for saturated incidence with saturated treatment rates and bi-linear incidence and linear treatment rates, respectively. It gives a comparative analysis of both saturated and liner incidence and treatment rates. From the figure, we observe that we have a significantly higher infected population size for linear incidence and treatment rates as compared to the saturated incidence and treatment rates. Since saturated incidence and treatment rates are more realistic, we infer that the corresponding bilinear incidence and treatment rate may report higher data values than the actual data for large population size.

Figure 20 
               Comparison between the impact of linear and saturated incidence and treatment rates among infected population.
Figure 20

Comparison between the impact of linear and saturated incidence and treatment rates among infected population.

11 Conclusion

In this article, we have proposed and analyzed an SIRM compartment model with the combined effect of saturated incidence of infection, saturated treatment, and media awareness program executed by the government, which is the novel feature of our model. We have computed the effective reproduction number R 0 by the method of the next-generation matrix. It is found that whenever the effective reproduction number R 0 < 1 , a globally asymptotically stable disease-free equilibrium point exists and the disease dies out over time. For R 0 > 1 , a globally asymptotically stable endemic equilibrium point exists. At R 0 = 1 , the system undergoes a transcritical forward bifurcation. The system exhibits that as R 0 crosses 1, disease-free equilibrium becomes unstable and a stable endemic equilibrium exists. Sensitivity analysis of the effective reproduction number manifests that it is mainly sensitive to alterations in the parameters A and β , and it is negatively affected by θ , μ , η , and M 0 . In addition, to determine the optimal measures of media awareness and treatment required to control the spread of disease, we study the corresponding optimal control problem by incorporating control in the awareness and saturated treatment in the population. We find that awareness and treatment together are collectively most significant measures against the transmission of the disease. Numerical simulation is performed, and it is inferred that in the presence of awareness, the behavior of the susceptible population changes and they prevent themselves from getting the infection. It is further observed that the infected population vanishes over time if the awareness rate is sufficiently high. We can control the spread of the disease more efficiently by increasing the treatment rate. A comparative study of the bi-linear incidence rate with linear treatment rate and saturated (Monod–Haldane) incidence rate with saturated treatment rate is done through graph. Since saturated incidence and treatment rates are more realistic, we infer that the corresponding bilinear incidence and treatment rate may report higher data values than the actual data for large population size.

  1. Funding information: This research received no specific grant from any funding agency, commercial or nonprofit sectors.

  2. Author contributions: Aditya Pandey: conceptualization, writing – original draft, software, investigation. Archana Singh Bhadauria: conceptualization, software, methodology, and validation and writing. Vijai Shanker Verma: conceptualization, validation and review and editing. Rachana Pathak: conceptualization, software methodology.

  3. Conflict of interest: The authors have no conflicts of interest to disclose.

  4. Ethical approval: This research did not require ethical approval.

  5. Data availability statement: This manuscript has not any associated data in a data repository.

References

[1] Brauer F., & Chavez C. C. (2012). Mathematical models in population biology and epidemiology (vol. 2). Canada Ithaca, N.Y., U.S.A.: Springer. 10.1007/978-1-4614-1686-9Search in Google Scholar

[2] Hethcote H. W. (2009). The basic epidemiology models: models, expressions for r0, parameter estimation, and applications. Mathematical understanding of infectious disease dynamics, (pp. 1–61). Lecture Notes Series, Institute for Mathematical Sciences, National University of Singapore, Singapore: World Scientific.10.1142/9789812834836_0001Search in Google Scholar

[3] Kumar S. (1994). Plague in India. The Lancet, 344(8927), 941–942. 10.1016/S0140-6736(94)92280-2Search in Google Scholar

[4] Tchuenche J. M., Dube N., Bhunu C. P., Smith R. J., & Bauch C. T. (2011). The impact of media coverage on the transmission dynamics of human influenza. BMC Public Health, 11, 1–14. 10.1186/1471-2458-11-S1-S5Search in Google Scholar PubMed PubMed Central

[5] Xiao Y., Zhao T., Tang S., et al. (2013). Dynamics of an infectious diseases with media/psychology induced non-smooth incidence. Math. Biosci. Eng., 10(2), 445–461. 10.3934/mbe.2013.10.445Search in Google Scholar PubMed

[6] Greenhalgh D., Rana S., Samanta S., Sardar T., Bhattacharya S., & Chattopadhyay J. (2015). Awareness programs control infectious disease-multiple delay-induced mathematical model. Applied Mathematics and Computation, 251, 539–563. 10.1016/j.amc.2014.11.091Search in Google Scholar

[7] Basir F. A., Ray S., & Venturino E. (2018). Role of media coverage and delay in controlling infectious diseases, A mathematical model. Applied Mathematics and Computation, 337, 372–385. 10.1016/j.amc.2018.05.042Search in Google Scholar

[8] Ibrahim M. M., Kamran M. A., Mannan N., Kim S., & Jung I. H. (2020). Impact of awareness to control malaria disease: A mathematical modeling approach. Complexity, 1–13. doi: 10.1155/2020/8657410.Search in Google Scholar

[9] Elgazzar A. S. (2021). Simple mathematical models for controlling COVID-19 transmission through social distancing and community awareness. Zeitschrift für Naturforschung C, 76(9–10), 393–400. 10.1515/znc-2021-0004Search in Google Scholar PubMed

[10] Bhadauria A. S., Devi S., & Gupta N. (2022). Modelling and analysis of a SEIQR model on COVID-19 pandemic with delay. Modeling Earth Systems and Environment, 8, 1–14. 10.1007/s40808-021-01279-1Search in Google Scholar PubMed PubMed Central

[11] Goel K., & Nilam. (2022). A nonlinear SAIR epidemic model: Effect of awareness class, nonlinear incidences, saturated treatment, and time delay. Ricerche di Matematica, 1–35. doi: 10.1007/s11587-022-00720-6.Search in Google Scholar

[12] Zhang J., Qiao Y., & Zhang Y. (2022). Stability analysis and optimal control of COVID-19 with quarantine and media awareness. Math Biosci Eng, 19(5), 4911–4932. 10.3934/mbe.2022230Search in Google Scholar PubMed

[13] Kumar A., & Nilam. (2019). Mathematical analysis of a delayed epidemic model with nonlinear incidence and treatment rates. Journal of Engineering Mathematics, 115(1), 1–20. 10.1007/s10665-019-09989-3Search in Google Scholar

[14] Liu M., Chang Y., & Zuo L. (2016). Modelling the impact of media in controlling the diseases with a piecewise transmission rate. Discrete Dynamics in Nature and Society, 2016, 1–6. 10.1155/2016/3458965Search in Google Scholar

[15] Misra A. K., Rai R. K., & Takeuchi Y. (2018). Modeling the control of infectious diseases: Effects of TV and social media advertisements. Math. Biosci. Eng., 15(6), 1315–1343. 10.3934/mbe.2018061Search in Google Scholar PubMed

[16] Srivastava A., Srivastava P. K., et al. (2022). Nonlinear dynamics of a SIRI model incorporating the impact of information and saturated treatment with optimal control. The European Physical Journal Plus, 137(9), 1–25. 10.1140/epjp/s13360-022-03201-9Search in Google Scholar PubMed PubMed Central

[17] Upadhyay R. K., Pal A. K., Kumari S., & Roy P. (2019). Dynamics of an SEIR epidemic model with nonlinear incidence and treatment rates. Nonlinear Dynamics, 96, 2351–2368. 10.1007/s11071-019-04926-6Search in Google Scholar

[18] Diekmann O., Heesterbeek J. A. P, & Roberts M. G. (2010). The construction of next-generation matrices for compartmental epidemic models. Journal of the Royal Society Interface, 7(47), 873–885. 10.1098/rsif.2009.0386Search in Google Scholar PubMed PubMed Central

[19] Chavez C. C. (2002). On the computation of R0 and its role on global stability, In: Chavez C. C., Feng Z., & Huang W., (Eds.), Mathematical approaches for emerging and reemerging infectious diseases: an Introduction, vol. 1, 229. Berlin: Springer.10.1007/978-1-4757-3667-0_13Search in Google Scholar

[20] Crawford, J. D. (1991). Introduction to bifurcation theory. Reviews of Modern Phys., 63(4), 991. 10.1103/RevModPhys.63.991Search in Google Scholar

[21] Bhadauria A. S., Pathak R., & Chaudhary M. (2021). An SIQ mathematical model on covid-19 investigating the lockdown effect. Infectious Disease Modelling, 6, 244–257. 10.1016/j.idm.2020.12.010Search in Google Scholar PubMed PubMed Central

[22] Das P., Nadim S. S., Das S., & Das P. (2021). Dynamics of COVID-19 transmission with comorbidity: a data-driven modeling based approach. Nonlinear Dynamics, 106, 1197–1211. 10.1007/s11071-021-06324-3Search in Google Scholar PubMed PubMed Central

[23] Srivastav A. K., Kumar A., Srivastava P. K., & Ghosh M. (2021). Modeling and optimal control of dengue disease with screening and information. The European Physical Journal Plus, 136(11), 1187. 10.1140/epjp/s13360-021-02164-7Search in Google Scholar

[24] Neilan R. M., & Lenhart S. (2010). An introduction to optimal control with an application in disease modeling, Modeling paradigms and analysis of disease transmission models (pp. 67–81). Washington, DC: American Society for Microbiology.10.1090/dimacs/075/03Search in Google Scholar

[25] Verma V. (2020). Optimal control analysis of a mathematical model on smoking, Modeling Earth Systems and Environment, 6, 2535–2542. 10.1007/s40808-020-00847-1Search in Google Scholar

Received: 2023-07-19
Revised: 2023-11-29
Accepted: 2024-01-08
Published Online: 2024-08-07

© 2024 the author(s), published by De Gruyter

This work is licensed under the Creative Commons Attribution 4.0 International License.

Articles in the same Issue

  1. Special Issue: Recent Trends in Mathematical Biology – Theory, Methods, and Applications
  2. Editorial for the Special Issue: Recent trends in mathematical Biology – Theory, methods, and applications
  3. Behavior of solutions of a discrete population model with mutualistic interaction
  4. Influence of media campaigns efforts to control spread of COVID-19 pandemic with vaccination: A modeling study
  5. Optimal control and bifurcation analysis of SEIHR model for COVID-19 with vaccination strategies and mask efficiency
  6. A mathematical study of the adrenocorticotropic hormone as a regulator of human gene expression in adrenal glands
  7. On building machine learning models for medical dataset with correlated features
  8. Analysis and numerical simulation of fractional-order blood alcohol model with singular and non-singular kernels
  9. Stability and bifurcation analysis of a nested multi-scale model for COVID-19 viral infection
  10. Augmenting heart disease prediction with explainable AI: A study of classification models
  11. Plankton interaction model: Effect of prey refuge and harvesting
  12. Modelling the leadership role of police in controlling COVID-19
  13. Robust H filter-based functional observer design for descriptor systems: An application to cardiovascular system monitoring
  14. Regular Articles
  15. Mathematical modelling of COVID-19 dynamics using SVEAIQHR model
  16. Optimal control of susceptible mature pest concerning disease-induced pest-natural enemy system with cost-effectiveness
  17. Correlated dynamics of immune network and sl(3, R) symmetry algebra
  18. Variational multiscale stabilized FEM for cardiovascular flows in complex arterial vessels under magnetic forces
  19. Assessing the impact of information-induced self-protection on Zika transmission: A mathematical modeling approach
  20. An analysis of hybrid impulsive prey-predator-mutualist system on nonuniform time domains
  21. Modelling the adverse impacts of urbanization on human health
  22. Markov modeling on dynamic state space for genetic disorders and infectious diseases with mutations: Probabilistic framework, parameter estimation, and applications
  23. In silico analysis: Fulleropyrrolidine derivatives against HIV-PR mutants and SARS-CoV-2 Mpro
  24. Tangleoids with quantum field theories in biosystems
  25. Analytic solution of a fractional-order hepatitis model using Laplace Adomian decomposition method and optimal control analysis
  26. Effect of awareness and saturated treatment on the transmission of infectious diseases
  27. Development of Aβ and anti-Aβ dynamics models for Alzheimer’s disease
  28. Compartmental modeling approach for prediction of unreported cases of COVID-19 with awareness through effective testing program
  29. COVID-19 transmission dynamics in close-contacts facilities: Optimizing control strategies
  30. Modeling and analysis of ensemble average solvation energy and solute–solvent interfacial fluctuations
  31. Application of fluid dynamics in modeling the spatial spread of infectious diseases with low mortality rate: A study using MUSCL scheme
Downloaded on 20.12.2025 from https://www.degruyterbrill.com/document/doi/10.1515/cmb-2023-0119/html
Scroll to top button