Abstract
Bergamot essential oil (BEO) is well-known for its food preservation activity, as well as anticancer efficacy. However, the poor BEO water solubility and deriving low bioaccessibility have limited its wider applications. The incorporation in nanoemulsions of BEO and its refined fractions was investigated to enhance its dispersibility in water to promote its antimicrobial activity, tested against Escherichia coli, Lactobacillus delbrueckii, and Saccharomyces cerevisiae, and its cytotoxicity already at low concentrations. Different nanoemulsion formulations were tested based on food-grade ingredients, which were characterized in terms of hydrodynamic diameter and polydispersity index, and physical stability. The antimicrobial activity against all the tested micro-organisms was observed to be higher for BEO in its initial composition, than the light fraction, richer in d-limonene, ß-pinene, and γ-terpinene, or the heavy fraction, richer in linalyl acetate and linalool. Remarkably, the use of BEO nanoemulsions notably enhanced the antimicrobial activity for all the tested oils. BEO exhibited also a measurable cytotoxic activity against Caco-2 cells, which was also enhanced by the use of the different nanoemulsions tested, in comparison with free oil, which discourages the direct use of BEO nanoemulsions as a food preservative. Conversely, BEO nanoemulsions might find use in therapeutic applications as anticarcinogenic agents.
1 Introduction
Essential oils (EOs) are naturally-derived ingredients, which can be found in flowers, buds, seeds, leaves, herbs, wood, fruits, and roots of different plants [1], [2]. They consist of a mixture of volatile compounds, mainly synthesized by plants as a defense mechanism, which can be classified in two main groups, namely (a) terpenes and terpenoids and (b) aromatic and aliphatic constituents [3], accounting for 20–85% of EO composition, with the other components being generally present at significantly lower or trace concentrations. EOs are characterized not only by a strong and pungent flavor and aroma, which contributed to their well-known use as perfume constituents and flavoring agents, but also by insecticidal, antimicrobial, antioxidant, anti-inflammatory properties [], promoting their application in pharmaceutical, nutraceutical, and cosmetic products. However, it must be remarked that above a certain dosage, EOs might negatively influence human health, due to the high content in terpenes [6].
Bergamot essential oil (BEO), recovered from the peel of the Citrus bergamia Risso et Poiteau plant [7], finds wide use in the fragrance, pharmaceutical, cosmetic, and food industries [8]. It contains up to 93–96% of volatile compounds, especially monoterpenes (25–53% of limonene), linalool (2–20%), and linalyl acetate (15–40%). BEO also presents a variable percentage (4–7%) of non-volatile compounds, such as pigments, waxes, coumarins, and psoralens [9], [10].
Besides being a valuable and expensive fragrance for the perfume industry, BEO is also reported to have noteworthy biological activity [8], of interest especially in pain relief [11], [12], [13], wound healing [14], neuroprotective action [15], [ 16], sedative, calming, and soothing action [], antibacterial and antifungal activity [20], [21], [22], [23], anti-inflammatory action [24], [25], as well as anticancer activity, with cytotoxicity reported against human neuroblastoma cells [26], [27], [28].
Generally speaking, citrus EOs are considered to be non-toxic, non-mutagenic, and non-carcinogenic, and, therefore, are characterized by a generally regarded as safe (GRAS) status [8], [29]. However, BEO is reported to have a phototoxic effect due to the presence of bergapten, leading to chronic skin pigmentation and carcinogenesis in the presence of UV light. No hazards are reported for furanocoumarin-free oil, such as rectified BEO [8].
Because of EOs’ reactivity and hydrophobicity, their use in water-based products requires a suitable carrier [4], [5], which ensures adequate physical stability of EOs, including also their protection from evaporation, and possibly enables a controlled release [30]. Oil-in-water (O/W) emulsions and nanoemulsions are especially suitable for the delivery of EOs, because of their oil-based core, high loading capability, and the large variety of available food-grade emulsifiers and stabilizers, for tailoring the compatibility with the final product.
In previous papers, the researchers demonstrated the antimicrobial effect of citrus EOs nanoemulsions, including BEO, when incorporated in an edible coating deposited on broccoli florets [31] and green beans [32], as well as the fungitoxic activity in vitro of BEO nanoemulsions of different formulations [33]. Moreover, recent studies have pointed out that citrus oils and their emulsions, which are widely used as flavoring agents in food and beverage products due to their flavor, exhibit a certain non-digestibility and instability, which can be partially corrected by blending them with triacylglycerol oils (e. g. corn oil or medium-chain triglyceride oil) in emulsion preparation [34].
This work aims at investigating BEO incorporation in nanoemulsions, to enhance its antimicrobial activity against Escherichia coli, Lactobacillus delbrueckii sp. lactis, and Saccharomyces cerevisiae, and cytotoxic activity against epithelial colorectal adenocarcinoma cells (Caco-2), with a specific focus on the BEO composition, nanoemulsion formulation, and effect of nanoemulsion droplet size distribution.
Micro-organisms were selected among non-pathogens because they belong to classes with well-distinct cell membrane characteristics (E. coli belongs to the Gram-negative bacteria, L. delbrueckii belongs to the Gram-positive bacteria, and S. cerevisiae is a yeast cell with a eukaryotic cell structure), based on the consideration that EO attack can be expected to take place on the cell membrane [1].
Caco-2 cells were selected because they are routinely used in the assessment of potential cytotoxicity of nanoemulsions on the small intestine [35], [36]. However, they are used also in the study of anticancer activity of EOs nanoemulsions for therapeutic applications [37].
2 Materials and Methods
2.1 Materials
BEO, obtained from cold pressing of bergamot peels, was obtained from the Stazione Sperimentale per le Industre delle Essenze e dei Derivati dagli Agrumi (Italy). Whey protein isolates (WP) Volactive UltraWhey 90 were obtained from Volac Int. Ltd (Orwell, UK). According to manufacturer specifications, WP consisted of ß-lactoglobulin (50–60% wt), glycomacropeptide (15–20% wt), a-lactalbumin (15–20% wt), bovine serum albumin (1.0–2.0% wt), immunoglobulin G (1.0–2.0% wt), immunoglobulin A (0.1–1.0% wt), and lactoferrin (0.1–0.5% wt). Acetylated distarch adipate modified starch (MS) CLEARAM1 CH20 was obtained from Reire s.r.l. (Reggio Emilia, Italy). Sugar esters (SE), polysorbate Tween 20 (T20), glycerol monooleate (GMO) were acquired from Sigma-Aldrich (Germany). Corn oil (CO) (Giglio Oro, Carapelli, Italy) was used as a ripening inhibitor.
All chemicals and solvents used in this study were purchased from Sigma Aldrich (Milan, Italy) unless otherwise specified. All growth media for culturing micro-organisms were purchased from Oxoid Ltd (UK). MilliQ water was used in the preparation of O/W nanoemulsions and for the preparation of all reagents and buffers.
2.2 Characterization of the bergamot essential oil
BEO composition was determined by gas chromatography-mass spectroscopy (GC–MS) analysis (GC–MS Finnigan-Focus, Thermo-Fisher Scientific, UK), as previously described [31], [38]. An RTX-5 SIL MS capillary column (30 m long, 0.25 mm i.d. and 0.25 µm film thickness) was used with a cross-linked stationary phase of polyethylene glycol (Restek), with the following conditions: helium as the carrier gas, injector in split-mode with a split flow of 20 mL/min at 250 °C, ion source at 250 °C, transfer line at 260 °C. The compounds were separated using a temperature program with an initial temperature of 80 °C for 10 min and a temperature gradient of 25 °C/min to reach 250 °C, which was maintained for 10 min. The sample (3 µL) was injected using the split technique. The ionization was produced by electronic impact at 70 eV. The eluted compounds were identified using the retention times and by comparing their mass spectra with a spectral library of known standard compounds. The identification was carried out in full scan mode between 40 and 400 amu.
GC-MS analysis was carried out on the BEO as received, and on three different light fractions obtained from a glass laboratory distillation unit (Microglass Heim Srl, Italy) with the boiler kept, respectively, at 40 °C, 50 °C or 60 °C in an oil bath, and with the condensation section cooled with flowing water at 15 °C. GC-MS analysis provided the peak area for each identified compound, from which the relative concentrations in comparison with the other components' areas were determined, similarly to previously reported analyses of the composition of citrus EOs [31].
2.3 Nanoemulsion preparation
Oil-in-water (O/W) nanoemulsions were prepared using BEO as received (yellow-green color), as well as the light (top) and heavy (residue) fractions of distillation at 40 °C, which corresponded, respectively, to a colorless oil distillate and a greenish distillation residue (green color). Different nanoemulsion formulations were tested, whose formulations are described in detail in Table 1. In general, BEO was mixed with CO to prevent Ostwald ripening [], in a weight ratio of 1:1, determined through preliminary experiments. Blank nanoemulsions were prepared by completely replacing BEO with CO. Nanoemulsions were stabilized using different emulsifiers, such as WP, WP in combination with MS (1:1 wt ratio), SE, GMO in combination with T20 (1:1 wt ratio), based on previously tested nanoemulsion formulations []. Sodium phosphate buffer (50 mM, pH = 7.4) was always used as the continuous aqueous phase.
Nanoemulsion formulations, given in mass percent. The continuous phase is always a sodium phosphate buffer (50 mM, pH = 7.4).
| Code | Oil phase | Emulsifier |
|---|---|---|
| WP | 10% CO | 4% WP |
| WP-B | 5% CO, 5% BEO | 4% WP |
| WP/MS | 10% CO | 2% WP, 2% MS |
| WP/MS-B | 5% CO, 5% BEO | 2% WP, 2% MS |
| SE | 10% CO | 1% SE |
| SE-B | 5% CO, 5% BEO | 1% SE |
| G/T-1 | 10% CO | 0.75% GMO, 0.75% T20 |
| G/T-B-1 | 5% CO, 5% BEO | 0.75% GMO, 0.75% T20 |
| G/T-2 | 4% CO | 0.75% GMO, 0.75% T20 |
| G/T-B-2 | 2% CO, 2% BEO | 0.75% GMO, 0.75% T20 |
| G/T-3 | 1.5% CO | 0.75% GMO, 0.75% T20 |
| G/T-B-3 | 0.75% CO, 0.75% BEO | 0.75% GMO, 0.75% T20 |
Ingredients: bergamot essential oil (BEO), corn oil (CO), glycerol monooleate (GMO), modified starch (MS), sugar esters (SE), Tween 20 (T20), whey proteins (WP).
Primary emulsions were obtained by high shear mixing of all the ingredients with an Ultra Turrax T25 (IKA Labortechnik, Jahnke und Kunkel, Germany) at 24,000 rpm for 4 min, keeping the samples in an ice bath. Afterward, high-pressure homogenization (HPH) was applied, using a laboratory bench Nano Debee 45 (BEE International, USA) equipped with a valve orifice (130 μm) and operated at 300 MPa, for 3 passes. During high-pressure homogenization treatment, the inlet temperature of the process fluid was maintained at 5 °C through a jacketed tank inlet, while the outlet temperature was quickly reduced to 5 °C in a heat exchanger located immediately downstream of the orifice valve.
A dynamic light scattering (DLS) device (Zetasizer Nano ZS, Malvern Instruments, Alfatest, Italy) was used to characterize the droplet size distribution of nanoemulsions in terms of hydrodynamic diameter (dH, or z-average) and polydispersity index (PdI), measuring the backscattered (173°) light through samples diluted 1:10 with sodium phosphate buffer (50 mM, pH = 7.4) to avoid multiple scattering effects within polystyrene cuvettes. The measurements were carried out at 25 °C.
Physical stability of BEO nanoemulsions was assessed by monitoring the changes in dH and PdI after a freeze-thaw cycle (freezing at −20 °C for 24 h, followed by room temperature thawing for 24 h) or subjecting nanoemulsions to heating directly in the DLS cell, according to the following, software-controlled, temperature program: temperature ramping from 25 °C to 85 °C at 1 °C/min heating rate, sample holding at 45, 65 and 85 °C for 1 h before each measurement. Measurements were carried out on diluted samples (1:10 in buffered water, pH 7.4) at the required temperature, with the adjustment of the solvent properties to the measurement temperature automatically by the DLS software. The dilution did not have any measurable effect on particle size at room temperature.
Each measurement was repeated twice on independently prepared samples, with the means and standard deviations calculated.
2.4 Microbial cultures
The experiments were carried out on three different microbial species grown up to stationary phase in an aerated incubator: Gram-negative bacteria Escherichia coli (ATCC 26), Gram-positive bacteria Lactobacillus delbrueckii sp. lactis (ATCC 4797), and yeast Saccharomyces cerevisiae (ATCC 16664).
E. coli was grown in Tryptone Soy broth (Oxoid, UK) at 30 °C for 18–24 h, L. delbrueckii in De Man, Rogosa and Sharpe (MRS) broth (Oxoid, UK) at 32 °C for 48 h, and S. cerevisiae in MRS broth (Oxoid, UK) at 32 °C for 48 h, based on a previously validated protocol [38]. After incubation, the microbial cultures reached approximate concentrations of 107 CFU/mL for E. Coli, 108 CFU/mL for L. delbrueckii, and 106 CFU/mL for S. cerevisiae.
2.5 Kinetics of microbial inactivation
The kinetics of inactivation was studied for the three micro-organisms, upon treatment with pure BEO or BEO nanoemulsions (G/T-B-2 formulation). Based on preliminary experiments (data not reported), a concentration of BEO of 1.8% wt, corresponding to the minimum inhibiting concentration (MIC), was used in this study. Not only the pure BEO “as received” was tested, but also the distilled (light) and the residue (heavy) fractions were tested. Control experiments were carried out with blank nanoemulsions (G/T-2 formulation), added at the same concentration as G/T-B-2.
A volume of 100 mL of microbial culture (each one in its culture broth, as specified in Section 2.4) was placed in test tubes, where oils (pure or in nanoemulsion) were added at the desired concentrations and tested. The tubes were subsequently incubated at temperatures and times according to the micro-organism specification. At time intervals of 1 h, 1 mL of sample was removed from the tubes to perform decimal dilutions and plate seeding. Briefly, 1 mL of each sample was used to prepare decimal dilutions, which were plated in duplicate with Plate Count agar (Oxoid, UK) for E. coli and MRS agar (Oxoid, UK) for L. delbrueckii and S. cerevisiae, as previously described in details [38], [44]. The plates were incubated at 30 °C for 24 h for E. coli, and at 32 °C for 48 h for L. delbrueckii and S. cerevisiae. All the samples were prepared in duplicate plates.
The pure BEO tests were conducted by adding to the microbial culture 1.0% wt of Tween 80, to promote its dispersion, considering that BEO solubility, as experimentally measured, is of 0.05% wt, whereas nanoemulsions were added directly to the microbial culture. Preliminary experiments showed that Tween 80 addition did not alter the growth of the tested micro-organism over the considered time scale. BEO was added to the microbial culture within 30 min from preparation to avoid any changes in composition due to the loss of volatile compounds.
2.6 Caco-2 cell culture
The human epithelial colorectal adenocarcinoma cells (Caco-2) cells were obtained from the American Type Culture Collection (ATCC, HTB-37) (Rockville, MD). Cells were maintained as a monolayer in a humidified incubator at 37 °C in Dulbecco’s Modified Eagle’s Medium (DMEM), supplemented with 10% fetal bovine serum (FBS) and 100 U/mL penicillin, 100 mg/mL streptomycin, in an atmosphere of 5% CO2. The day before treatment, cells were seeded into 96-well plates to allow cell attachment. Treatments were performed by culturing cells with blank nanoemulsions (WP, WP/M, SE, G/T-1, G/T-2, and G/T-3) or nanoemulsions containing different BEO concentrations (WP-B, WP/MS-B, SE-B, G/T-B-1, G/T-B-2, and G/T-B-3). The Caco-2 cell treatments were carried out for 48 h at different nanoemulsion volumetric dilutions (1:100, 1:250, 1:500, and 1:1000). Control cells were treated with corresponding dilutions of Hanks’ balanced salt solution (HBSS)-10 mM Hepes.
2.7 Cytotoxicity
The Cell Proliferation Kit II (XTT) (Sigma Aldrich, 11465015001) was performed to evaluate the cytotoxic effects of the different nanoemulsions and BEO. Specifically, Caco-2 cells (104 cells/well) were seeded in 96-well plates (Fisher Scientific) and treated for 48 h. After treatments, cells were incubated with 100 µL of XTT working solution (0.5 mg/mL in culture medium) for 4 h at 37 °C, following the manufacturer’s instruction. The absorbance readings were acquired at a wavelength of 490 nm using a microplate reader model 680 Bio-Rad. After evaluating cell cytotoxicity, the total protein content was determined by using the Micro BCA protein assay kit (Thermo Fisher Scientific Inc., US). Briefly, the cells were washed with ice-cold phosphate buffer solution (PBS), and incubated for 15 min with 150 µL RIPA lysis buffer (Thermo Scientific, 89900), followed by the addition of 150 mL of Micro BCA working reagent and incubated at 37 °C for 2 h, according to manufacturer’s instructions. The absorbance at 562 nm was detected using a microplate reader. The cytotoxicity measurements were then normalized on the amount of total protein content in each well.
Cytotoxic tests were carried out for all the nanoemulsions listed in Table 1. For WP-B, WP/MS-B, SE-B, and G/T-B-1 (5.0% wt initial BEO concentration), cells were treated with 500, 200, 100, and 50 mg/L BEO concentrations, respectively. For G/T-B-2 (2.0% wt initial BEO concentration), the used dilutions contained 200, 80, 40, and 20 mg/L respectively, of final BEO concentrations. Starting from an initial BEO concentration of 0.75% wt, Caco-2 cells were treated with G/T-B-3 containing 75, 30, 15, and 7.5 mg/L BEO, respectively. In the case of pure BEO, the volumetric dilutions corresponded to BEO concentrations of 8200, 3280, 1640, and 820 mg/L, when considering an oil density of 0.82 g/mL, which is an average value of the measurements for different citrus peel oils [45].
2.8 Statistical analysis
All data obtained were represented as mean ± standard deviation of triplicate independent experiments unless differently indicated. Daniel’s XL toolbox within Excel was used to perform one-way Analysis of Variance (ANOVA) tests followed by the Tukey method, with the overall significance level set at p < 0.05.
3 Results and Discussion
3.1 Composition of BEO and its fractions
The composition of the BEO used in this work is reported in Table 2. The main volatile compounds of BEO are d-limonene, linalyl acetate, and linalool, which combined account for more than 80% (relative concentration) of the BEO components, followed by ß-pinene, γ-terpinene, a-pinene, sabinene and myrcene, which combined account for more than 17%, and with all the residual components in relative concentrations below 0.5%. A recent review identified d-limonene (28.0–45.0%), linalyl acetate (18.0–28.0%), linalool (4.0–20.0%), ß-pinene (4.0–11.0%), γ-terpinene (3.0–12.0%) and a-pinene (1.0–1.8%) as the main volatile components in the bergamot peel [8], which is in excellent agreement with the data shown in Table 2.
Relative concentration (%) of the main volatile compounds of bergamot essential oil (BEO) and its light and heavy fractions obtained from laboratory distillation at different reboiler temperatures.
| Compound | BEO | BEO 40 °C | BEO 50 °C | BEO 60 °C | |||
|---|---|---|---|---|---|---|---|
| Light | Heavy | Light | Heavy | Light | Heavy | ||
| d-limonene | 34.09 | 59.69 | 20.99 | 52.12 | 22.20 | 10.79 | 53.44 |
| linalyl acetate | 27.76 | 7.01 | 38.13 | 15.56 | 35.58 | 56.97 | 3.19 |
| Linalool | 18.52 | 6.18 | 24.68 | 11.68 | 22.89 | 24.18 | 13.71 |
| β-pinene | 6.65 | 9.69 | 5.08 | 4.55 | 7.98 | 0.23 | 11.98 |
| γ-terpinene | 6.59 | 10.41 | 4.62 | 11.62 | 3.28 | 3.98 | 8.74 |
| α-pinene | 1.41 | 1.43 | 1.40 | 0.35 | 2.09 | 0.00 | 2.58 |
| Sabinene | 1.15 | 1.65 | 0.90 | 0.83 | 1.36 | 0.05 | 2.07 |
| Myrcene | 0.91 | 1.47 | 0.63 | 1.05 | 0.82 | 0.18 | 1.52 |
| α-thujene | 0.37 | 0.37 | 0.36 | 0.09 | 0.54 | 0.00 | 0.67 |
| (E)-β-ocimene | 0.29 | 0.32 | 0.27 | 0.37 | 0.24 | 0.17 | 0.39 |
| α-sinensal | 0.28 | 0.00 | 0.42 | 0.01 | 0.46 | 0.02 | 0.50 |
| Eugenol | 0.28 | 0.00 | 0.41 | 0.00 | 0.45 | 0.00 | 0.50 |
| Geranial | 0.27 | 0.03 | 0.39 | 0.09 | 0.38 | 0.41 | 0.15 |
| N-methyl-methyl anthranilate | 0.25 | 0.03 | 0.36 | 0.08 | 0.36 | 0.37 | 0.15 |
| β-caryophyllene | 0.20 | 0.02 | 0.29 | 0.06 | 0.29 | 0.31 | 0.10 |
| Neral | 0.19 | 0.03 | 0.26 | 0.08 | 0.26 | 0.30 | 0.09 |
| α-terpinene | 0.15 | 0.22 | 0.11 | 0.19 | 0.12 | 0.04 | 0.23 |
| Nerol | 0.12 | 0.01 | 0.18 | 0.02 | 0.19 | 0.09 | 0.15 |
| geranyl acetate | 0.12 | 0.01 | 0.17 | 0.04 | 0.17 | 0.27 | 0.00 |
| p-cymene | 0.10 | 0.73 | 0.00 | 0.34 | 0.00 | 0.19 | 0.02 |
| α-terpineol | 0.08 | 0.02 | 0.10 | 0.05 | 0.09 | 0.17 | 0.00 |
| Nonanal | 0.05 | 0.04 | 0.05 | 0.00 | 0.08 | 0.13 | 0.00 |
| Camphene | 0.04 | 0.04 | 0.03 | 0.02 | 0.05 | 0.00 | 0.07 |
| Decanal | 0.04 | 0.01 | 0.05 | 0.03 | 0.04 | 0.09 | 0.00 |
| (Z)-β-ocimene | 0.03 | 0.04 | 0.03 | 0.05 | 0.02 | 0.04 | 0.02 |
| Valencene | 0.03 | 0.00 | 0.05 | 0.01 | 0.05 | 0.02 | 0.04 |
| methyl eugenol | 0.02 | 0.00 | 0.03 | 0.01 | 0.03 | 0.04 | 0.00 |
| β-bisabolene | 0.01 | 0.01 | 0.01 | 0.04 | 0.00 | 0.24 | 0.00 |
| neryl acetate | 0.00 | 0.03 | 0.00 | 0.07 | 0.00 | 0.36 | 0.00 |
| Terpinolene | 0.00 | 0.41 | 0.00 | 0.51 | 0.00 | 0.27 | 0.00 |
In general, d-limonene in the bergamot peel is significantly lower than in the peel of other citrus fruits, such as orange, mandarin, and lemon. Conversely, linalyl acetate, linalool, and ß-pinene are contained in higher amounts in the bergamot peel essential oil [8]. Remarkably, bergamot peel is characterized also by other distinctive non-volatile components, which have not been detected by the used GC-MS technique, such as bergamottin (0.68–2.75%), bergapten (0.11–0.33%) and bergaptol (0–0.19%) [8].
The distillation of BEO, controlled through the reboiling temperature (40°, 50° and 60 °C), was carried out to obtain BEO fractions with different concentrations of the key components, with the final goal of developing a standardized BEO formulation, especially when BEO is derived from biologically different sources. The results of Table 2 show that at 40 °C a noteworthy increase in the relative concentration of d-limonene, ß-pinene, and γ-terpinene is observed, which, together, account for almost 80% of all the compounds of the distillate, whereas the concentrations of linalyl acetate and linalool are considerably decreased. At 50 °C, d-limonene concentration is still very high (but lower than at 40 °C), γ-terpinene is increased and ß-pinene is reduced, together with linalyl acetate and linalool, which, however, are higher than at 40 °C. Coherently with their volatilities, for a distillate produced at 60 °C, d-limonene is decreased to about 10%, whereas linalyl acetate and linalool are considerably increased to a combined value of 80%, and only a residual content of γ-terpinene (4%) is observed above the 1% threshold. The heavy fractions exhibit a specular composition with respect to the light fractions, with the enrichment in less volatile compounds, such as linalyl acetate and linalool.
Previous studies have shown that all the major compounds of bergamot (linalyl acetate, linalool, limonene, a-pinene, and ß-pinene) exhibit a non-negligible antimicrobial activity, which depends on the bacterial species, against which they are tested [46]. The average antimicrobial activity is generally ranked, by several authors, as follows: linalyl acetate < limonene < ß-pinene < a-pinene < linalool [46], [47], [48]. It was also observed that the chiral properties of volatile compounds seem to be of minor importance for their antimicrobial activities [47].
Based on these considerations, it was decided to compare, in the antimicrobial tests against E. coli, L. delbrueckii, and S. cerevisiae, the initial BEO with the light fraction obtained through distillation at 40 °C (light BEO), richer in d-limonene and poorer in linalool and linalyl acetate, and the residual fraction (heavy BEO), which is, conversely, poorer in d-limonene and richer in linalool and linalyl acetate. The different BEO fractions were also tested when incorporated in nanoemulsions, according to the formulations reported in Table 1.
3.2 Nanoemulsions stability
The hydrodynamic diameter and polydispersity index of the different formulations tested in this work, as measured immediately after fabrication and after a freeze-thaw cycle, are reported in Table 3. In general, it can be observed that the use of macromolecular emulsifiers, such as WP, offers better protection of nanoemulsions than small-molecule emulsifiers, such as GMO/T20 combination or SE [40]. This is clearly shown in Table 3 after a freeze-thaw cycle, with only WP and WP/MS nanoemulsions exhibiting a limited variation, whereas SE and G/T emulsions exhibited more relevant changes in dH, especially when also BEO was included in the formulation. The only exception can be observed for lower oil fractions (G/T-3 and G/T-B-3), whose dH values increased from about 70 nm to more than 200 nm.
Nanoemulsion size distribution expressed as hydrodynamic diameter dH (nm) and polydispersity index PdI (−) after preparation and after a freeze-thawing cycle.
| After preparation | After freeze-thawing | |||
|---|---|---|---|---|
| Code | dH | PdI | dH | PdI |
| WP | 246 ± 6 | 0.36 ± 0.01 | 271 ± 4 | 0.27 ± 0.01 |
| WP-B | 226 ± 0 | 0.25 ± 0.00 | 256 ± 28 | 0.38 ± 0.13 |
| WP/MS | 240 ± 8 | 0.4 ± 0.01 | 315 ± 10 | 0.39 ± 0.14 |
| WP/MS-B | 298 ± 7 | 0.27 ± 0.04 | 456 ± 47 | 0.31 ± 0.01 |
| SE | 220 ± 10 | 0.39 ± 0.04 | 341 ± 72 | 0.22 ± 0.06 |
| SE-B | 175 ± 3 | 0.18 ± 0.02 | 2800 ± 1697* | 0.14 ± 0.01 |
| G/T-1 | 254 ± 2 | 0.20 ± 0.01 | 3989 ± 4866* | 0.31 ± 0.02 |
| G/T-B-1 | 225 ± 1 | 0.20 ± 0.01 | 5389 ± 4805* | 0.22 ± 0.12 |
| G/T-2 | 142 ± 1 | 0.15 ± 0.01 | 743 ± 292 | 0.13 ± 0.02 |
| G/T-B-2 | 138 ± 1 | 0.14 ± 0.01 | 3426 ± 2006* | 0.21 ± 0.07 |
| G/T-3 | 70 ± 0 | 0.14 ± 0.01 | 299 ± 19 | 0.18 ± 0.03 |
| G/T-B-3 | 73 ± 1 | 0.16 ± 0.01 | 224 ± 3 | 0.56 ± 0.62 |
* Extended physical instability of nanoemulsion was observed, with phase separation of the oil phase.
Hence, when comparing the nanoemulsions with the same oil fraction (10% wt, made of CO alone), the stability to a freeze-thaw cycle, assessed as percentage variation of the dH and PdI, can be ranked as WP > WP/MS > SE > G/T-1. Remarkably, the same classification (WP-B > WP/MS-B > SE-B > G/T-B-1) is maintained in the presence of BEO (5% wt CO and 5% wt BEO), although the presence of BEO promotes the instability phenomena and larger values of dH and PdI are observed. In some cases (denoted by an asterisk in Table 3), nanoemulsions underwent phase separation, when subjected to the freeze-thaw cycle. Previous studies have shown that macromolecular emulsifiers can form a thick layer at the water-oil interface, which prevents the coalescence of emulsion droplets when compressed against each other because of the formation of ice in the continuous phase [49]. In contrast, small-molecule emulsifiers, such as SE, GMO, and T20, are not able to form a sufficiently resistant protective layer around the emulsion droplets [50].
Concerning the use of WP alone, the addition of MS likely contributed to the destabilization phenomena of depletion flocculation, due to the free, non-adsorbing starch molecules in suspension [51]. When reducing the oil fraction (CO alone or together with BEO), considerably finer droplet sizes were obtained. This observation can be attributed mainly to the higher surfactant-to-oil ratio, as surfactant concentration (0.75% wt GMO and 0.75% wt T20) had not been changed, in agreement with the most accredited theories on the required emulsifier concentration for stable emulsions [52].
Nanoemulsion stability has also been verified at increasing temperature, in the range between 25 and 85 °C, as shown in Figure 1 in terms of dH. The corresponding data are reported also in Table S1 of Supplementary Material along with the PdI values. The results show that the physical stability of the tested nanoemulsions at increasing temperature stability is always high, with the variations in dH generally comprised within ±25%. The largest variations were observed in the presence of MS (WP/MS and WP/MS-B), probably because of the occurrence of depletion attraction between droplets, caused by high levels of non-adsorbed emulsifier [53], and when using SE (SE and SE-B), which is not able to provide enough interfacial barriers, when the droplet core is in liquid form [50]. Moreover, the presence of BEO slightly decreased the observed stability, likely due to the higher dependence of volatility and solubility of the oil phase on temperature [54].

Nanoemulsion stability upon temperature ramping from 25 °C to 85 °C, expressed as hydrodynamic diameter (dH) measured in situ during heating for the nanoemulsions of Table 1. Different letters denote statistically significant differences (p < 0.05) within each nanoemulsion formulation.
Based on these results, the antimicrobial tests have been carried out on G/T-B-2, which is characterized by a sufficiently small hydrodynamic diameter (138 nm) and polydispersity index (0.14). G/T-B-2 nanoemulsions were prepared both with pure BEO and with its light and heavy fractions at 40 °C, without observing any measurable variation in size distribution. Moreover, the antimicrobial activity of this formulation had already been verified in previous studies against E. coli and Salmonella typhimurium [32].
3.3 Antimicrobial activity
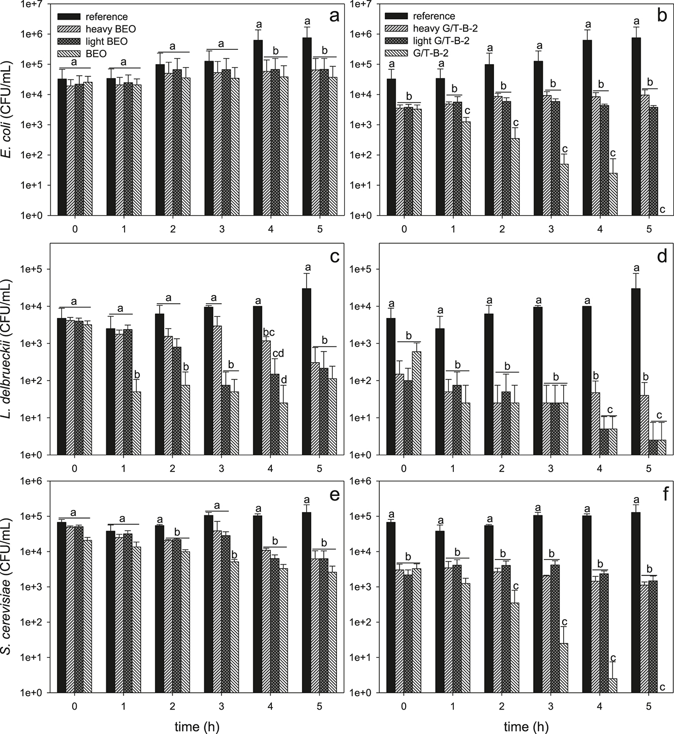
Figure 2 shows the kinetics of inactivation of E. coli, L. delbrueckii, and S. cerevisiae, exposed to BEO in free form or nanoemulsion, at a concentration of 1.8% wt, which by far exceeds BEO solubility in water (solubility ≈ 0.05% wt). The data are also reported in Tables S2 for E. coli, Table S3 for L. delbrueckii, and Table S4 for S. cerevisiae of Supplementary Material. From all graphs of Figure 2, it is evident how the antimicrobial activity, and therefore the inactivation kinetics, were improved and accelerated when bergamot oil was in emulsified form. It must be remarked that, because microbiological data are inherently variable, in addition to the statistical analysis, the reader should consider the differences observed in Figure 2 as meaningful only when they are ≥ 1 Log CFU/mL. Additionally, in time-kill tests, a compound is considered to exhibit a microbicidal effect when a lethality percentage of 90% is observed within 6 h [55], which, in the cases of Figure 2, corresponds to 1 Log CFU/mL.

Inactivation kinetics of BEO and its light and heavy fractions in free form (a, c, e) and in nanoemulsion G/T-B-2 (b, d, f) dosed at a concentration of 1.8% against E. coli (a, b), L. delbrueckii (c, d) and S. cerevisiae (e, f) in culture medium. Different letters denote statistically significant differences (p < 0.05) within each time group.
When the concentration of the antimicrobial compound, required for microbial inhibition or inactivation, is considerably above the solubility concentration of the compound (1.8 vs. 0.05% for BEO), the role of the delivery system appears to be extremely important to ensure homogeneous dispersion of EO in the aqueous phase, providing a high specific surface area for interaction with the microbial cell membranes. In contrast, when a non-encapsulated compound is added at concentrations above its solubility, it is not able to efficiently reach the microbial cell membranes. This is in agreement with previous data collected by the researchers about the antibacterial or antifungal activity of different EOs in emulsified form, with respect to their free form []. Moreover, it has been suggested that the emulsifier might also play a notable role in the micelle-mediated mass transfer of the EO that is released from the emulsion droplets and/or which permeate through biological membranes []. The hypothesis of micelle-mediated mass transfer of EO components is coherent with the experimental observation that the antibacterial activities of different EO emulsions were not influenced by the concentration of the surfactant [56], [57].
Figure 2 also compares the antimicrobial action of the distilled fractions (distillate and distillation residue) with the initial BEO, highlighting that the latter is more active, with faster inactivation kinetics. Probably, the synergistic interaction of the main BEO components, such as linalool, limonene, linalyl acetate, ß-pinene, and γ-terpinene is more effective than the use of higher concentrations of d-limonene, ß-pinene and γ-terpinene (light BEO) or linalool and linalyl acetate (heavy BEO). Not many studies have focused on this aspect to date. In agreements with our findings, it was shown that the phytotoxic activity of Citrus aurantiifolia EO is higher than the activity of its main constituents, limonene, and citral [58]. Likely, the higher antimicrobial or phytotoxic activity of EOs than their constituents can be explained either in terms of the potential synergy among major and minor EO constituents [59], or the modulation of the activity of the main components by other minor components [60]. Remarkably, the encapsulation in nanoemulsion is capable of efficiently promoting the antimicrobial activity against E. coli, L. delbrueckii, and S. cerevisiae, also for the light and heavy fractions of BEO. However, it must be remarked that the measured antimicrobial activities of nanoemulsions containing light and heavy fractions are lower than for the nanoemulsion containing the non-fractionated BEO, in line with what observed for non-emulsified EOs. In this case, the nanoemulsions might have contributed also to a better persistence of the more volatile compounds in the system than BEO in free form. However, more detailed studies are necessary to clarify this aspect, which, to date, has not been adequately addressed by the scientific literature on the topic.
Another aspect that should be considered when analyzing the results of Figure 2 is the role played by the emulsifier. The blank nanoemulsions did not exhibit any measurable antimicrobial effect against the tested micro-organisms (data not reported). However, it can not be excluded that the emulsifiers might affect the BEO’s mechanism of action, by exerting an intrinsic antimicrobial activity and promoting mass transfer and interaction with the microbial cells [61], [62], [63], contributing to the differences observed in Figure 2.
3.4 Cytotoxicity
Cell viability results, carried out on Caco-2 cells treated for 48 h with a 1/100 dilution of the different blank nanoemulsions (2 μL of nanoemulsion in a final volume of 200 μL), showed the absence of cytotoxicity compared to control cells (Figure 3A, with the data reported also in Table S5 of Supplementary Material). Moreover, a statistically not significant increase in optical cell density was observed (p ≥ 0.05). Conversely, the treatment with the same BEO dilution reached a relevant reduction of cell viability (Figure 3A). Dilutions of 1/100, 1/250, 1/500, and 1/1000 of each nanoemulsion were tested (Figure 3B, with the data reported also in Table S6 of Supplementary Material).

Caco-2 cell viability expressed as optical density (O.D.) at 490 nm of the cells in the culture media, after treatment for 48 h with (a) different blank nanoemulsions and (b) BEO nanoemulsions at varying the dilution level, in comparison with pure BEO. Asterisks denote statistically significant differences (p < 0.05) with the control.
BEO-containing nanoemulsions resulted to be cytotoxic for final BEO concentrations larger than 100 mg/L (corresponding to 1/100 and 1/200 dilution of WP-B, WP/MS-B, SE-B, and G/T-B-1 and 1/100 dilution of G/T-B-2), which is considerably lower than the BEO concentrations used in the antimicrobial tests. Remarkably, negligible differences were observed for WP-B, WP/MS-B, SE-B, and G/T-B-1 nanoemulsions, when tested at lower BEO concentrations. It must be highlighted that a reduction of the optical density of 50% is generally considered to be biologically meaningful when considering the correlation with human toxicity [64]. As shown in Table 3, these nanoemulsions differed not only in terms of composition but also of hydrodynamic diameter (dH ranged from 175 nm for SE-B to 298 nm for WP/MS-B). Moreover, also the nanoemulsion prepared with a combination of GMO and T20 did not show notable differences in cytotoxicity, when compared to similar BEO concentrations, despite the hydrodynamic diameters were considerably different: dH for G/T-B-1 was 254 nm, for G/T-B-2 was 138 nm, and for G/T-B-3 was 78 nm. Finally, the addition of pure BEO always resulted in measurable cytotoxicity, with a significant (p < 0.05) reduction in cell viability with respect to control.
The cytotoxic activity of BEO has already been undoubtedly demonstrated [26], [27]. This work shows how the cytotoxic activity of BEO is enhanced by its encapsulation in nanoemulsion. The comparison of the lowest nanoemulsions dilution (1/100) for WP-B, WP/MS-B, SE-B and G/T-B-1 (final BEO concentration of 500 mg/L), with the highest dilutions for pure BEO (1/500 and 1/1000, corresponding to final BEO concentrations of 1640 and 820 mg/L, respectively), in fact, shows that Caco-2 cell viability at 48 h is lower for nanoemulsions, despite the lower BEO applied concentration, thus highlighting that the nanoemulsions contributed to increasing not only BEO antimicrobial activity against E. coli, L. delbrueckii, and S. cerevisiae, but also BEO cytotoxicity.
Previous studies have already highlighted the increased cytotoxicity of EO nanoemulsions with respect to free EOs, when combining Tween 80 and PEG 400 as surfactant and co-surfactant [65], Tween 20 and Tween 80 as surfactants [66], or when using polyoxyl 40 hydrogenated castor oil [67], or chitosan as a stabilizer [68]. In some cases, the emulsifier/stabilizer might have an active role in inducing a cytotoxic effect, such as in the case of chitosan [69], or for polysorbates (or Tween) 20, 60, and 80 [70]. In particular, small-molecule surfactants, such as polysorbates, may cause the redistribution of the junction of proteins, which leads to the increment of paracellular permeability in cellular monolayer [70], hence promoting a synergistic effect with EOs, which might better permeate through cell monolayers, and eventually cause the leakage of cytoplasmic contents [66]. Remarkably, EOs nanoemulsion cytotoxicity was reported to depend also on nanoemulsion formulation, including not only the type and concentration of emulsifier(s) but also the composition of the oil phase [67], especially if the EO is mixed with a ripening inhibitor [71], [72], [73]. This effect might be regarded as indirect, by affecting the emulsion mean droplet size, and hence its specific surface area, or direct, as discussed in Section 3.3, when the mass transfer of EO to the cells is affected by the presence of surfactant or emulsifier micelles in the continuous phase [30], also contributing to the resulting cytotoxic effect.
Several factors intervening in the cytotoxic activity of EOs when encapsulated in nanoemulsions, including the EOs composition, the behavior at the interfaces and in the continuous phase of the emulsifiers, and the different types of possible interactions of EOs with cells (for example, direct release or release mediated by surfactant or emulsifier micelles towards the cell membranes, electrostatic or affinity-driven interactions of membrane charged patches with nanoemulsion droplets [4]). Given the complexity of these factors and their interaction, further studies are needed to better clarify the role of nanoemulsions as delivery systems for the cytotoxic action of BEO. In particular, the preliminary studies reported in this work suggest caution in the direct use of BEO nanoemulsions as preservative agents in food, because of the potential risks associated with human consumption at the concentrations at which antimicrobial activity against E. coli, L. delbrueckii, and S. cerevisiae is observed. At these concentration levels, a notable reduction is observed in the viability of Caco-2 cells, which are used to assess the cytotoxicity in the small intestine [35], [36]. Therefore, it can be considered that BEO nanoemulsions are more suitable for therapeutic applications, to replace the use of organic solvents, such as ethanol or dimethyl sulfoxide, typically used to dissolve BEO and other hydrophobic compounds [74]. A lipid-based delivery system, which is formulated with food-grade ingredients, and which can increase the water solubility and in vitro anticancer activity of the encapsulated components, is likely to support the development of BEO as an anticancer agent [28].
4 Conclusions
This work showed that bergamot essential oil (BEO) is a valuable natural product, with remarkable antimicrobial and cytotoxic activity. In particular, its activity derives from the synergistic action of its main components, such as linalool, linalyl acetate, limonene, and ß-pinene, which are well-balanced in the oil as obtained from bergamot peels. The concentration of more volatile components (e. g. d-limonene, ß-pinene and γ-terpinene) in a distillate, or of the less volatile components (linalool and linalyl acetate) in the residual fraction of distillation, results in a lower antimicrobial activity than the original BEO, as verified against test micro-organisms, such as Gram-negative E. coli, Gram-positive L. delbrueckii and S. cerevisiae yeasts. Moreover, due to the low solubility of BEO in water (about 0.05% wt), its use as a natural antimicrobial compound, which is active in the aqueous phase where micro-organisms proliferate, requires its incorporation in nanoemulsions. It was shown that nanoemulsions enhanced the antimicrobial activity against the tested micro-organisms, with respect to the use of free BEO. However, BEO exhibited a measurable cytotoxic activity against Caco-2 cells already at a concentration of 100 mg/L, which is well below the concentration level used in antimicrobial tests, showing that they are not suitable for the direct use as a preservative agent in products intended for human consumption. Interestingly, the emulsification of BEO promoted the cytotoxic activity in comparison with free BEO, without any measurable variation observed among the different formulations tested, using as emulsifiers whey proteins, alone or in combination with MS, sugar esters, and a combination of GMO with Tween 20. These results suggest that BEO nanoemulsions could find more suitable applications as naturally-derived surface decontamination agents or in the development of anticancer agents.
Acknowledgments: The authors wish to thank Mariangela Falcone for the support of the chemical analysis (ProdAl Scarl).
Author contribution: All the authors have accepted responsibility for the entire content of this submitted manuscript and approved submission.
Research funding: None declared.
Employment or leadership: None declared.
Honorarium: None declared.
Conflict of interest statement: The authors declare no conflicts of interest regarding this article.
References
1. Seow, YX, Yeo, CR, Chung, HL, Yuk, H-G. Plant essential oils as active antimicrobial agents. Crit Rev Food Sci Nutr 2014;54:625–44.10.1080/10408398.2011.599504Search in Google Scholar PubMed
2. Asbahani, A El, Miladi, K, Badri, W, Sala, M, Addi, EHA, Casabianca, H, et al. Essential oils: From extraction to encapsulation. Int J Pharm 2015;483:220–43. https://doi.org/10.1201/9780429428739-9.Search in Google Scholar
3. Chouhan, S, Sharma, K, Guleria, S. Antimicrobial activity of some essential oils-Present status and future perspectives. Med (Basel, Switzerland) 2017;4. https://doi.org/10.3390/medicines4030058.Search in Google Scholar
4. Donsì, F, Ferrari, G. Essential oil nanoemulsions as antimicrobial agents in food. J Biotechnol 2016;233:106–20. https://doi.org/10.1016/j.jbiotec.2016.07.005.Search in Google Scholar
5. Fathi, M, Vinceković, M, Jurić, S, Viskić, M, Režek Jambrak, A, Donsì, F. Food-grade colloidal systems for the delivery of essential oils. Food Reviews International. Taylor & Francis Inc.; 2019.10.1080/87559129.2019.1687514Search in Google Scholar
6. Russo, A, Formisano, C, Rigano, D, Senatore, F, Delfine, S, Cardile, V, et al. Chemical composition and anticancer activity of essential oils of Mediterranean sage (Salvia officinalis L.) grown in different environmental conditions. Food Chem Toxicol 2013;55:42–7. https://doi.org/10.1016/j.fct.2012.12.036.Search in Google Scholar
7. Navarra, M, Mannucci, C, Delbò, M, Calapai, G. Citrus bergamia essential oil: From basic research to clinical application. Vol. 6, Frontiers in Pharmacology. Frontiers Media S.A. 2015.10.3389/fphar.2015.00036Search in Google Scholar PubMed PubMed Central
8. Dosoky, N, Setzer, W. Biological activities and safety of Citrus spp. essential oils. Int J Mol Sci 2018;19:1966. https://doi.org/10.3390/ijms19071966.Search in Google Scholar
9. Mannucci, C, Navarra, M, Calapai, F, Squeri, R, Gangemi, S, Calapai, G. Clinical pharmacology of Citrus bergamia: A systematic review. Phytotherapy Research. John Wiley and Sons Ltd 2017;31:27–39.10.1002/ptr.5734Search in Google Scholar
10. Perna, S, Spadaccini, D, Botteri, L, Girometta, C, Riva, A, Allegrini, P, et al. Efficacy of bergamot: From anti‐inflammatory and anti‐oxidative mechanisms to clinical applications as preventive agent for cardiovascular morbidity, skin diseases, and mood alterations. Food Sci Nutr 2019;7:369–84. https://doi.org/10.1002/fsn3.903.Search in Google Scholar
11. Rombolà, L, Amantea, D, Russo, R, Adornetto, A, Berliocchi, L, Tridico, L, et al. Rational basis for the use of bergamot essential oil in complementary medicine to treat chronic pain. Mini-Reviews Med Chem. 2016;16:721–8. https://doi.org/10.2174/1389557516666160321113913.Search in Google Scholar
12. Lauro, F, Ilari, S, Giancotti, LA, Morabito, C, Malafoglia, V, Gliozzi, M, et al. The protective role of bergamot polyphenolic fraction on several animal models of pain. PharmaNutrition 2016;4:S35–40. https://doi.org/10.1016/j.phanu.2016.04.001.Search in Google Scholar
13. Sakurada, T, Mizoguchi, H, Kuwahata, H, Katsuyama, S, Komatsu, T, Morrone, LA, et al. Intraplantar injection of bergamot essential oil induces peripheral antinociception mediated by opioid mechanism. Pharmacol Biochem Behav 2011;97:436–43. https://doi.org/10.1016/j.pbb.2010.09.020.Search in Google Scholar
14. Cosentino, M, Luini, A, Bombelli, R, Corasaniti, MT, Bagetta, G, Marino, F. The essential oil of bergamot stimulates reactive oxygen species production in human polymorphonuclear leukocytes. Phyther Res 2014;28:1232–9. https://doi.org/10.1002/ptr.5121.Search in Google Scholar
15. Amantea, D, Fratto, V, Maida, S, Rotiroti, D, Ragusa, S, Nappi, G, et al. Prevention of glutamate accumulation and upregulation of phospho-akt may account for neuroprotection afforded by bergamot essential oil against brain injury induced by focal cerebral ischemia in rat. International Review of Neurobiology. Academic Press Inc. 2009;85:389–405.10.1016/S0074-7742(09)85027-7Search in Google Scholar
16. Bagetta, G, Morrone, LA, Rombolà, L, Amantea, D, Russo, R, Berliocchi, L, et al. Neuropharmacology of the essential oil of bergamot. Fitoterapia 2010;81;453–61.10.1016/j.fitote.2010.01.013Search in Google Scholar PubMed
17. Saiyudthong, S, Marsden, CA. Acute effects of bergamot oil on anxiety-related behaviour and corticosterone level in rats. Phyther Res 2011;25:858–62. https://doi.org/10.1002/ptr.3325.Search in Google Scholar
18. Han, X, Gibson, J, Eggett, DL, Parker, TL. Bergamot (Citrus bergamia) essential oil inhalation improves positive feelings in the waiting room of a mental health treatment center: A pilot study. Phyther Res 2017;31:812–6. https://doi.org/10.1002/ptr.5806.Search in Google Scholar
19. Dyer, J, Cleary, L, McNeill, S, Ragsdale-Lowe, M, Osland, C. The use of aromasticks to help with sleep problems: A patient experience survey. Complement Ther Clin Pract 2016;22:51–8. https://doi.org/10.1016/j.ctcp.2015.12.006.Search in Google Scholar
20. Stević, T, Berić, T, Šavikin, K, Soković, M, Gođevac, D, Dimkić, I, et al. Antifungal activity of selected essential oils against fungi isolated from medicinal plant. Ind Crops Prod 2014;55:116–22. https://doi.org/10.1016/j.indcrop.2014.02.011.Search in Google Scholar
21. Fisher, K, Phillips, CA. The effect of lemon, orange and bergamot essential oils and their components on the survival of Campylobacter jejuni, Escherichia coli O157, Listeria monocytogenes, Bacillus cereus and Staphylococcus aureus in vitro and in food systems. J Appl Microbiol 2006;101:1232–40. https://doi.org/10.1111/j.1365-2672.2006.03035.x.Search in Google Scholar
22. Avila-Sosa, R, Navarro-Cruz, AR, Sosa-Morales, ME, López-Malo, A, Palou, E. Bergamot (Citrus bergamia) oils. In: Essential oils in food preservation, flavor and safety. Elsevier; 2016; pp. 247–52.10.1016/B978-0-12-416641-7.00027-4Search in Google Scholar
23. Tundis, R, Loizzo, MR, Bonesi, M, Menichini, F, Mastellone, V, Colica, C, et al. Comparative study on the antioxidant capacity and cholinesterase inhibitory activity of Citrus aurantifolia Swingle, C. aurantium L., and C. bergamia Risso and Poit. peel essential oils. J Food Sci 2012;77:H40–6. https://doi.org/10.1111/j.1750-3841.2011.02511.x.Search in Google Scholar
24. Impellizzeri, D, Cordaro, M, Campolo, M, Gugliandolo, E, Esposito, E, Benedetto, F, et al. Anti-inflammatory and antioxidant effects of flavonoid-rich fraction of bergamot juice (BJe) in a mouse model of intestinal ischemia/reperfusion injury. Front Pharmacol 2016;7:203. https://doi.org/10.3389/fphar.2016.00203.Search in Google Scholar
25. Impellizzeri, D, Bruschetta, G, Di Paola, R, Ahmad, A, Campolo, M, Cuzzocrea, S, et al. The anti-inflammatory and antioxidant effects of bergamot juice extract (BJe) in an experimental model of inflammatory bowel disease. Clin Nutr 2015;34:1146–54. https://doi.org/10.1016/j.clnu.2014.11.012.Search in Google Scholar
26. Navarra, M, Ferlazzo, N, Cirmi, S, Trapasso, E, Bramanti, P, Lombardo, GE, et al. Effects of bergamot essential oil and its extractive fractions on SH-SY5Y human neuroblastoma cell growth. J Pharm Pharmacol 2015;67:1042–53. https://doi.org/10.1111/jphp.12403.Search in Google Scholar
27. Berliocchi, L, Ciociaro, A, Russo, R, Cassiano, MGV, Blandini, F, Rotiroti, D, et al. Toxic profile of bergamot essential oil on survival and proliferation of SH-SY5Y neuroblastoma cells. Food Chem Toxicol 2011 Nov;49:2780–92. https://doi.org/10.1016/j.fct.2011.08.017.Search in Google Scholar
28. Celia, C, Trapasso, E, Locatelli, M, Navarra, M, Ventura, CA, Wolfram, J, et al. Anticancer activity of liposomal bergamot essential oil (BEO) on human neuroblastoma cells. Colloids Surfaces B Biointerfaces 2013;112:548–53. https://doi.org/10.1016/j.colsurfb.2013.09.017.Search in Google Scholar
29. Tisserand, R, Young, R. Essential oil safety: A guide for health care professionals. Elsevier 2013;1–780.10.1016/B978-0-443-06241-4.00001-1Search in Google Scholar
30. Donsì, F, Ferrari, G. Effect of nanoemulsion formulation on permeation of essential oils through biological membranes. Chem Eng Trans 2019;75:247–52.Search in Google Scholar
31. Severino, R, Vu, KD, Donsì, F, Salmieri, S, Ferrari, G, Lacroix, M. Antimicrobial effects of different combined non-thermal treatments against Listeria monocytogenes in broccoli florets. J Food Eng 2014;124:1–10. https://doi.org/10.1016/j.jfoodeng.2013.09.026.Search in Google Scholar
32. Severino, R, Ferrari, G, Vu, KD, Donsì, F, Salmieri, S, Lacroix, M. Antimicrobial effects of modified chitosan based coating containing nanoemulsion of essential oils, modified atmosphere packaging and gamma irradiation against Escherichia coli O157:H7 and Salmonella typhimurium on green beans. Food Control 2015;50:215–22. https://doi.org/10.1016/j.foodcont.2014.08.029.Search in Google Scholar
33. Ribes, S, Fuentes, A, Talens, P, Barat, JM, Ferrari, G, Donsì, F. Influence of emulsifier type on the antifungal activity of cinnamon leaf, lemon and bergamot oil nanoemulsions against Aspergillus niger. Food Control 2017;73:784–95. https://doi.org/10.1016/j.foodcont.2016.09.044.Search in Google Scholar
34. Yang, Y, Zhao, C, Tian, G, Lu, C, Li, C, Bao, Y, et al. Characterization of physical properties and electronic sensory analyses of citrus oil-based nanoemulsions. Food Res Int 2018;109:149–58. https://doi.org/10.1016/j.foodres.2018.04.025.Search in Google Scholar
35. Wooster, TJ, Moore, SC, Chen, W, Andrews, H, Addepalli, R, Seymour, RB, et al. Biological fate of food nanoemulsions and the nutrients they carry-internalisation, transport and cytotoxicity of edible nanoemulsions in Caco-2 intestinal cells. RSC Adv 2017;7:40053–66. https://doi.org/10.1039/c7ra07804h.Search in Google Scholar
36. Yu, H, Huang, Q. Investigation of the cytotoxicity of food-grade nanoemulsions in Caco-2 cell monolayers and HepG2 cells. Food Chem 2013;141:29–33. https://doi.org/10.1016/j.foodchem.2013.03.009.Search in Google Scholar
37. Narayani, SS, Saravanan, S, Ravindran, J, Ramasamy, MS, Chitra, J. In vitro anticancer activity of fucoidan extracted from Sargassum cinereum against Caco-2 cells. Int J Biol Macromol 2019;138:618–28. https://doi.org/10.1016/j.ijbiomac.2019.07.127.Search in Google Scholar
38. Donsì, F, Annunziata, M, Vincensi, M, Ferrari, G. Design of nanoemulsion-based delivery systems of natural antimicrobials: effect of the emulsifier. J Biotechnol 2012;159:342–50. https://doi.org/10.1016/j.jbiotec.2011.07.001.Search in Google Scholar
39. Chanamai, R, Horn, G, McClements, DJ. Influence of oil polarity on droplet growth in oil-in-water emulsions stabilized by a weakly adsorbing biopolymer or a nonionic surfactant. J Colloid Interface Sci 2002;247:167–76. https://doi.org/10.1006/jcis.2001.8110.Search in Google Scholar
40. Donsì, F, Velikov, KP. Encapsulation of food ingredients by single O/W and W/O nanoemulsions. In: Lipid-based nanostructures for food encapsulation purposes. Elsevier; 2019; pp. 37–87. https://doi.org/10.1016/b978-0-12-815673-5.00002-7.Search in Google Scholar
41. Yucel, C, Quagliariello, V, Iaffaioli, RV, Ferrari, G, Donsì, F. Submicron complex lipid carriers for curcumin delivery to intestinal epithelial cells: Effect of different emulsifiers on bioaccessibility and cell uptake. Int J Pharm 2015;494:357–69. https://doi.org/10.1016/j.ijpharm.2015.08.039.Search in Google Scholar
42. Sessa, M, Balestrieri, ML, Ferrari, G, Servillo, L, Castaldo, D, D’Onofrio, N, et al. Bioavailability of encapsulated resveratrol into nanoemulsion-based delivery systems. Food Chem 2014;147:42–50. https://doi.org/10.1016/j.foodchem.2013.09.088.Search in Google Scholar
43. Taştan, Ö, Ferrari, G, Baysal, T, Donsì, F. Understanding the effect of formulation on functionality of modified chitosan films containing carvacrol nanoemulsions. Food Hydrocoll 2016;61:756–71. https://doi.org/10.1016/j.foodhyd.2016.06.036.Search in Google Scholar
44. Donsì, F, Annunziata, M, Sessa, M, Ferrari, G. Nanoencapsulation of essential oils to enhance their antimicrobial activity in foods. LWT - Food Sci Technol 2011;44:1908–14. https://doi.org/10.1016/j.lwt.2011.03.003.Search in Google Scholar
45. Kamal, GM, Anwar, F, Hussain, AI, Sarri, N, Ashraf, MY. Yield and chemical composition of citrus essential oils as affected by drying pretreatment of peels. Int Food Res J 2011;18:1275–82.Search in Google Scholar
46. Soković, M, Glamočlija, J, Marin, PD, Brkić, D, Griensven, LJLD van. Antibacterial effects of the essential oils of commonly consumed medicinal herbs using an in vitro model. Molecules 2010;15:7532–46. https://doi.org/10.3390/molecules15117532.Search in Google Scholar
47. Schmidt, E, Jirovetz, L, Buchbauer, G, Denkova, Z, Stoyanova, A, Murgov, I, et al. Antimicrobial testings and gas chromatographic analyses of aroma chemicals. J Essent Oil-Bearing Plants 2005;8:99–106. https://doi.org/10.1080/0972060x.2005.10643427.Search in Google Scholar
48. Silva, ACR da, Lopes, PM, Azevedo, MMB de, Costa, DCM, Alviano, CS, Alviano, DS. Biological activities of α-pinene and β-pinene enantiomers. molecules 2012;17:6305–16. https://doi.org/10.3390/molecules17066305.Search in Google Scholar
49. Donsì, F, Wang, Y, Huang, Q. Freeze-thaw stability of lecithin and modified starch-based nanoemulsions. Food Hydrocoll 2011;25:1327–36. https://doi.org/10.1016/j.foodhyd.2010.12.008.Search in Google Scholar
50. Ariyaprakai, S, Tananuwong, K. Freeze-thaw stability of edible oil-in-water emulsions stabilized by sucrose esters and Tweens. J Food Eng 2015;152:57–64. https://doi.org/10.1016/j.jfoodeng.2014.11.023.Search in Google Scholar
51. Jenkins, P, Snowden, M. Depletion flocculation in colloidal dispersions. Adv Colloid Interface Sci 1996;68:59–96. https://doi.org/10.1016/s0001-8686(96)90046-9.Search in Google Scholar
52. McClements, DJ, Gumus, CE. Natural emulsifiers — Biosurfactants, phospholipids, biopolymers, and colloidal particles: Molecular and physicochemical basis of functional performance. Adv Colloid Interface Sci 2016;234:3–26. https://doi.org/10.1016/j.cis.2016.03.002.Search in Google Scholar
53. Dickinson, E, Golding, M. Depletion flocculation of emulsions containing unadsorbed sodium caseinate. Food Hydrocoll 1997;11:13–8. https://doi.org/10.1016/s0268-005x(97)80005-7.Search in Google Scholar
54. McClements, DJ. Food emulsions: Principles, practice and techniques, Third Edition. Boca Raton (FL): CRC Press 2015.10.1201/b18868Search in Google Scholar
55. Balouiri, M, Sadiki, M, Ibnsouda, SK. Methods for in vitro evaluating antimicrobial activity: A review. J Pharm Anal 2016;6:71–9. https://doi.org/10.1016/j.jpha.2015.11.005.Search in Google Scholar
56. Orafidiya, LO, AdesinaJr.SK, Igbeneghu, OA, Akinkunmi, EO, Adetogun, GE, Salau, AO. The effect of honey and surfactant type on the antibacterial properties of the leaf essential oil of Ocimum gratissimum Linn. against common wound-infecting organisms. Int J Aromather 2006;16:57–62. https://doi.org/10.1016/j.ijat.2006.04.001.Search in Google Scholar
57. Ng, DSH, Rose, LC, Suhaimi, H, Mohamad, H, Rozaini, MZH, Taib, M. Preliminary evaluation on the antibacterial activities of Citrus hystrix oil emulsions stabilized by Tween 80 and Span 80. Int J Pharm Pharm Sci 2011;3:209–11.Search in Google Scholar
58. Fagodia, SK, Singh, HP, Batish, DR, Kohli, RK. Phytotoxicity and cytotoxicity of Citrus aurantiifolia essential oil and its major constituents: Limonene and citral. Ind Crops Prod 2017;108:708–15. https://doi.org/10.1016/j.indcrop.2017.07.005.Search in Google Scholar
59. Bouabidi, W, Hanana, M, Gargouri, S, Amri, I, Fezzani, T, Ksontini, M, et al. Chemical composition, phytotoxic and antifungal properties of Ruta chalepensis L. essential oils. Nat Prod Res 2015;29:864–8. https://doi.org/10.1080/14786419.2014.980246.Search in Google Scholar
60. Hoet, S, Stévigny, C, Hérent, M-F, Quetin-Leclercq, J. Antitrypanosomal compounds from the leaf essential oil of Strychnos spinosa. Planta Med 2006;72:480–2. https://doi.org/10.1055/s-2005-916255.Search in Google Scholar
61. Ziani, K, Chang, Y, McLandsborough, L, McClements, DJ. Influence of surfactant charge on antimicrobial efficacy of surfactant-stabilized thyme oil nanoemulsions. J Agric Food Chem 2011;59:6247–55. https://doi.org/10.1021/jf200450m.Search in Google Scholar
62. Bai, L, Xiang, W, Huan, S, Rojas, OJ. Formulation and stabilization of concentrated edible oil-in-water emulsions based on electrostatic complexes of a food-grade cationic surfactant (ethyl lauroyl arginate) and cellulose nanocrystals. Biomacromolecules 2018;19:1674–85. https://doi.org/10.1021/acs.biomac.8b00233.Search in Google Scholar
63. Loeffler, M, Mcclements, DJ, Mclandsborough, L, Terjung, N, Chang, Y, Weiss, J. Electrostatic interactions of cationic lauric arginate with anionic polysaccharides affect antimicrobial activity against spoilage yeasts. J Appl Microbiol 2014;117:28–39. https://doi.org/10.1111/jam.12502.Search in Google Scholar
64. Barile, FA, Arjun, S, Hopkinson, D. In vitro cytotoxicity testing: Biological and statistical significance. Toxicol Vitr 1993;7:111–6. https://doi.org/10.1016/0887-2333(93)90120-t.Search in Google Scholar
65. Hertiani, T, Tunjung Pratiwi, SU, Haryadi, EC, Triatmoko, B, Yuswanto, A, Martien, R. Evaluation of the efficacy and toxicity of massoia oil nanoemulsion. Pak J Pharm Sci 2019;32:1519–28. https://doi.org/10.1021/acs.jafc.7b02224.s001.Search in Google Scholar
66. Joyce Nirmala, M, Durai, L, Gopakumar, V, Nagarajan, R. Anticancer and antibacterial effects of a clove bud essential oil-based nanoscale emulsion system. Int J Nanomedicine 2019;14:6439–50. https://doi.org/10.2147/ijn.s211047.Search in Google Scholar
67. Tubtimsri, S, Limmatvapirat, C, Limsirichaikul, S, Akkaramongkolporn, P, Inoue, Y, Limmatvapirat, S. Fabrication and characterization of spearmint oil loaded nanoemulsions as cytotoxic agents against oral cancer cell. Asian J Pharm Sci 2018;13:425–37. https://doi.org/10.1016/j.ajps.2018.02.003.Search in Google Scholar
68. Salehi, F, Behboudi, H, Kavoosi, G, Ardestani, SK. Incorporation of Zataria multiflora essential oil into chitosan biopolymer nanoparticles: A nanoemulsion based delivery system to improve the in-vitro efficacy, stability and anticancer activity of ZEO against breast cancer cells. Int J Biol Macromol 2020;143:382–92. https://doi.org/10.1016/j.ijbiomac.2019.12.058.Search in Google Scholar
69. Torres, FG, Troncoso, OP, Pisani, A, Gatto, F, Bardi, G. Natural polysaccharide nanomaterials: An overview of their immunological properties. Int J Mol Sci 2019;20. https://doi.org/10.3390/ijms20205092.Search in Google Scholar
70. Ujhelyi, Z, Fenyvesi, F, Váradi, J, Fehér, P, Kiss, T, Veszelka, S, et al. Evaluation of cytotoxicity of surfactants used in self-micro emulsifying drug delivery systems and their effects on paracellular transport in Caco-2 cell monolayer. Eur J Pharm Sci 2012;47:564–73. https://doi.org/10.1016/j.ejps.2012.07.005.Search in Google Scholar
71. Mokarizadeh, M, Kafil, H, Ghanbarzadeh, S, Alizadeh, A, Hamishehkar, H. Improvement of citral antimicrobial activity by incorporation into nanostructured lipid carriers: A potential application in food stuffs as a natural preservative. Res Pharm Sci 2017;12:409–15. https://doi.org/10.4103/1735-5362.213986.Search in Google Scholar
72. Li, W, Chen, H, He, Z, Han, C, Liu, S, Li, Y. Influence of surfactant and oil composition on the stability and antibacterial activity of eugenol nanoemulsions. LWT - Food Sci Technol 2015;62:39–47. https://doi.org/10.1016/j.lwt.2015.01.012.Search in Google Scholar
73. Ryu, V, McClements, DJ, Corradini, MG, McLandsborough, L. Effect of ripening inhibitor type on formation, stability, and antimicrobial activity of thyme oil nanoemulsion. Food Chem 2018;245:104–11. https://doi.org/10.1016/j.foodchem.2017.10.084.Search in Google Scholar
74. Russo, R, Corasaniti, MT, Bagetta, G, Morrone, LA. Exploitation of cytotoxicity of some essential oils for translation in cancer therapy. Evidence-based Complement Altern Med 2015;2015. https://doi.org/10.1155/2015/397821.Search in Google Scholar
Supplementary material
The online version of this article offers supplementary material (https://doi.org/10.1515/ZNC-2019-0229).
© 2020 Enrico Marchese et al., published by De Gruyter, Berlin/Boston
This work is licensed under the Creative Commons Attribution 4.0 International License.
Articles in the same Issue
- Frontmatter
- Editorial
- Essential oils
- Letter
- Bioinsecticides based on plant essential oils: a short overview
- Review Articles
- The application of essential oils as a next-generation of pesticides: recent developments and future perspectives
- Selected essential oils and their mechanisms for therapeutic use against public health disorders. An overview
- Potential use of essential oils to enhance heat tolerance in plants
- Essential oils of spontaneous species of the genus Lavandula from Portugal: a brief review
- Research Articles
- Analysis of the essential oil composition of three cultivated Nepeta species from Iran
- Effect of geographical origin on yield and composition of cone essential oils of Cedrus libani A. Rich. growing in Lebanese protected areas and variability assessment in comparison with literature survey
- Helichrysum araxinum Takht. ex Kirp. grown in Italy: volatiloma composition and in vitro antimicrobial activity
- Composition of the essential oil of Satureja metastasiantha: a new species for the flora of Turkey
- Bergamot essential oil nanoemulsions: antimicrobial and cytotoxic activity
- Toxicology study of fraxinellone as ovicidal agents against Mythimna separata Walker and Bombyx mori Linaeus
- Rapid Communication
- Essential oil composition of three Cryptocarya species from Malaysia
Articles in the same Issue
- Frontmatter
- Editorial
- Essential oils
- Letter
- Bioinsecticides based on plant essential oils: a short overview
- Review Articles
- The application of essential oils as a next-generation of pesticides: recent developments and future perspectives
- Selected essential oils and their mechanisms for therapeutic use against public health disorders. An overview
- Potential use of essential oils to enhance heat tolerance in plants
- Essential oils of spontaneous species of the genus Lavandula from Portugal: a brief review
- Research Articles
- Analysis of the essential oil composition of three cultivated Nepeta species from Iran
- Effect of geographical origin on yield and composition of cone essential oils of Cedrus libani A. Rich. growing in Lebanese protected areas and variability assessment in comparison with literature survey
- Helichrysum araxinum Takht. ex Kirp. grown in Italy: volatiloma composition and in vitro antimicrobial activity
- Composition of the essential oil of Satureja metastasiantha: a new species for the flora of Turkey
- Bergamot essential oil nanoemulsions: antimicrobial and cytotoxic activity
- Toxicology study of fraxinellone as ovicidal agents against Mythimna separata Walker and Bombyx mori Linaeus
- Rapid Communication
- Essential oil composition of three Cryptocarya species from Malaysia