Abstract
Objectives
Muscle pain can be associated with hyperalgesia that may spread outside the area of primary injury due to both peripheral and central sensitization. However, the influence of endogenous pain inhibition is yet unknown. This study investigated how endogenous pain inhibition might influence spreading hyperalgesia in experimental muscle pain.
Methods
Conditioned pain modulation (CPM) was assessed in 30 male volunteers by cold pressor test at the non-dominant hand as conditioning and pressure pain thresholds (PPT) at the dominant 2nd toe as test stimuli. Subjects were classified as having inhibitory or facilitating CPM based on published reference values. Subsequently, muscle pain and hyperalgesia were induced by capsaicin injection into the non-dominant supraspinatus muscle. Before and 5, 10, 15, 20, 30, 40, 50 and 60 min later, PPTs were recorded at the supraspinatus, infraspinatus and deltoid muscle, ring finger and toe.
Results
Compared to baseline, PPTs decreased at the supraspinatus, infraspinatus and deltoid muscle (p≤0.03), and increased at the finger and toe (p<0.001). In facilitating CPM (n=10), hyperalgesia occurred at 5, 10, 15, 20 and 40 min (p≤0.026). In inhibitory CPM (n=20), hyperalgesia only occurred after 10 and 15 min (p≤0.03). At the infraspinatus muscle, groups differed after 5 and 40 min (p≤0.008).
Conclusions
The results suggest that facilitating CPM is associated with more spreading hyperalgesia than inhibitory CPM. This implies that poor endogenous pain modulation may predispose to muscle pain and spreading hyperalgesia after injury, and suggest that strategies to enhance endogenous pain modulation may provide clinical benefits.
Introduction
Muscle pain is a prevalent clinical condition that is still poorly understood and managed. Experimental human pain studies have shown that pain originating from a muscle is associated with spread of pain and hyperalgesia to other body sites [1], [2], [3]. Spreading pain and hyperalgesia are partly the result of alterations in central nociceptive processes, whereby enhanced facilitating and reduced inhibitory mechanisms lead to expansion of pain areas, amplification of pain and hyperalgesia [4]. All these phenomena contribute to pain and functional impairments [5]. While the facilitating mechanisms have received much research interest in the past, little is known about the role of inhibitory mechanisms in the process of spreading pain and hyperalgesia.
This study therefore aimed to investigate how inhibitory mechanisms relate to muscle hyperalgesia associated with muscle pain, particularly the influence of descending pain modulation on the spreading and duration of experimentally induced muscle hyperalgesia. For this purpose, conditioned pain modulation (CPM) was used to measure endogenous pain inhibition [6] and to discriminate subjects with inhibitory CPM as opposed to facilitating CPM. Intramuscular injection of capsaicin was then used to induce muscle pain [2, 7] and pressure pain thresholds were used to measure subsequent hyperalgesia [8]. It was hypothesized that subjects with facilitating CPM demonstrate more pronounced spreading muscle hyperalgesia and that subjects with inhibitory CPM show less spreading hyperalgesia after intramuscular injection of capsaicin.
Methods
Subjects
The study was performed at the University Department of Anesthesiology and Pain Medicine, Inselspital Bern, Switzerland, according to good clinical practice, in accordance with the Helsinki Declaration. Young males were recruited by advertisement in local newspapers, at the University campus and by word of mouth. Exclusion criteria were chronic pain, pain at the time of testing, intake of NSAIDs or acetaminophen within 24 h, intake of antidepressants, opioids, benzodiazepines or anticonvulsants within one week prior to testing, neurological disease or sensory deficits. The study was approved by the Ethics Committee of the Canton of Bern (KEK 066/13) and written informed consent was given beforehand.
Experimental protocol
For training, pressure pain thresholds (PPTs) were recorded bilaterally at the supraspinatus, infraspinatus and deltoid muscle, ring finger and second toe. Once the participants felt familiar with the procedures, single baseline measurements were obtained. Single measurements rather than averaging multiple measurements does not cause relevant measurement error in the tests we used [9] Next, conditioned pain modulation (CPM) was assessed using the cold pressor test on the non-dominant hand as conditioning, and PPT of the contralateral toe as test stimulus. After a 10 min break, experimental muscle pain was induced by intramuscular injection of capsaicin. Pain intensity, pain area and all PPTs were recorded 5, 10, 15, 20, 30, 40, 50 and 60 min after injection. Figure 1 depicts the time course of the experiment.

Time course of the experiment. PPT, pressure pain thresholds; CPM, conditioned pain modulation; AUC, area under the curve of pain intensity during the first 10 min (assessed by electronic visual analogue scale).
Pressure pain thresholds
PPTs were measured using an electronic algometer (Somedic AB, Horby, Sweden) with a probe of 1 cm2. Pressure was increased by 30 kPa/s up to 1,000 kPa. Subjects pressed a button when the pressure sensation turned to pain. If 1,000 kPa were reached without pain detection, this value was considered as PPT. PPTs were recorded bilaterally at the supraspinatus muscle (innervated by the suprascapular nerve), a non-injected muscle supplied by the same nerve (infraspinatus muscle, suprascapular nerve), a non-injected muscle innervated by a different nerve but within the same spinal segment (deltoid muscle, axillary nerve, C5 segment), an area outside the C5 segment (ring finger) and a remote area as distant as possible (second toe).
Conditioned pain modulation
The cold pressor test was used as conditioning stimulus. The non-dominant hand was immersed in ice-saturated water (1.5 ± 1 °C). As soon as the cold pain at the hand reached 7/10 on a 0–10 numerical rating scale (NRS, 0=no pain, 10=worst pain imaginable) or after a maximum of 2 min, one single assessment of PPT at the toe of the dominant side was performed (hand remaining in the water). The percent change of PPT during hand immersion from baseline was calculated as a measure of CPM. Participants were then divided in two groups with either pain facilitation or pain inhibition during the CPM test.
This was done based on the reference values for this exact CPM test paradigm, which have been published previously [10]. In that study, the 25th percentile of reference values corresponded to a 6.5 % increase in PPT during the cold pressor test. Therefore, subjects with a CPM effect of >6.5 % were allocated to the inhibitory group, subjects below 6.5 % were allocated to the facilitating group.
Experimental muscle pain and electronic VAS-tracking
Capsaicin (50 mcg, 1 mL) was injected into the non-dominant supraspinatus muscle under ultrasound (SonoSite M-Turbo, Amsterdam, Netherlands using a linear transducer, 6–13 MHz) in the middle of the supraspinatus fossa.
During 10 min after injection, pain intensity was constantly indicated on an electronic visual analogue scale (VAS, 0=no pain, 10=worst pain imaginable). The participant continuously moves a ruler on a 10-cm VAS corresponding to his momentary pain intensity. The device samples the pain intensity every 10 s (eVAS, Aalborg University, Denmark). The result is a “bar chart” of VAS-scores with a bar-width of 10 s, the sum of which reflects the area under the VAS-time curve. The area of pain was drawn on an anatomical map using the Navigate-Pain-Software.
Sample size considerations
PPTs over the infraspinatus muscle of the capsaicin injected side was the primary outcome measure because we hypothesized that spreading hyperalgesia occurs most probably in the same innervation area of the injection. A 20 kPa difference in PPTs following capsaicin injection was assumed between the two CPM-groups with a standard deviation of 15. The 25th percentile of CPM-reference values was derived from a previous study [10] and used as the cutoff above which a subject was defined as having inhibitory CPM and below which as having facilitating CPM. As a consequence, group sizes were expected to be unequal. Group sizes of 6 vs. 24 subjects would result in 80 % power, 8 vs. 22 would result in 87 % power to detect a significant difference. Therefore, we aimed at recruiting 30 participants.
Statistical analysis
Analyses were performed using STATA SE 13 (College Station, Texas, USA). For power analysis and figures, SigmaPlot V13 was used (Systat Inc., Bath, UK). Statistical tests were done using raw data. For graphs, PPT values were normalized to baseline=1. Pain intensity is presented on a 0–10 numeric rating scale (NRS). Pain areas are expressed in arbitrary units. Significance was accepted for p-values ≤0.05.
A two-way mixed model ANOVA was run on raw PPTs from every measurement site on the capsaicin-injected side, with CPM status (inhibitory vs. facilitating) as between-group factor and time after injection (8 time points) as repeated factor. In case of significance, post-hoc comparisons were done using contrasts of marginal linear predictions (“contrast” command in STATA).
As an additional measure of difference between CPM groups, the area under the PPT-curve (AUC) was calculated by adding the normalized PPT values of each time point for each participant and each muscle of the capsaicin-injected side separately. The obtained AUCs were compared using Wilcoxon’s rank-sum test (because of small group sizes and non-normal distribution). Data are presented as median and interquartile range (IQR).
The size of the painful area and the pain intensity NRS scores were compared between the two CPM groups using a two-way mixed model ANOVA with CPM-status (inhibitory vs. facilitating) and time after injection (8 time points) as non-repeated and repeated factors, respectively. In case of significance, post-hoc comparisons were done using Scheffe’s test.
Data obtained from electronic VAS-tracking (AUC during the first 10 min after capsaicin injection) were compared between inhibitory and facilitating CPM groups using Wilcoxon’s rank-sum test.
For demographic variables age, height, weight, body mass index and CPM-effect, non-parametric Mann-Whitney-U-Tests were used to compare between groups. Proportion of left- and right-handers in both groups were compared using a chi-square test.
Results
Among the 30 included subjects (age 23 years, SD 3.5), 10 participants were allocated to the facilitating CPM group and 20 were allocated to the inhibitory CPM group. The facilitating group had an average CPM effect of −6.5 % (SD 8.5), the inhibitory CPM group had an average CPM effect of 26.7 % (SD 14.9). Details are shown in Table 1.
Baseline characteristics of participants.
| Age, years | Height, cm | Weight, kg | BMI (kg/m2) | Dominant body side | CPM, % | |
|---|---|---|---|---|---|---|
| CPM facilitation | 21 | 172 | 78 | 26.4 | Right | −6.9 |
| 20 | 192 | 80 | 21.7 | Left | −7.2 | |
| 24 | 178 | 72 | 22.7 | Right | −3.2 | |
| 21 | 177 | 87 | 27.8 | Left | −18.6 | |
| 24 | 180 | 65 | 20.1 | Right | −6.5 | |
| 27 | 193 | 79 | 21.2 | Right | −8.9 | |
| 20 | 170 | 90 | 31.1 | Right | 0.3 | |
| 20 | 181 | 82 | 25.0 | Right | 1.9 | |
| 27 | 173 | 60 | 20.0 | Right | 6.4 | |
| 19 | 183 | 68 | 20.3 | Left | −19.9 | |
| Mean, SD (% left) | 22.3 (2.9) | 179.9 (7.8) | 76.1 (9.6) | 23.6 (3.8) | 3/10 | −6.5 (8.5) |
| CPM inhibition | 29 | 185 | 69 | 20.2 | Right | 25.7 |
| 22 | 181 | 64 | 19.5 | Right | 24.7 | |
| 25 | 175 | 84 | 27.4 | Right | 49.0 | |
| 23 | 181 | 85 | 25.9 | Left | 35.5 | |
| 23 | 198 | 78 | 19.9 | Right | 67.3 | |
| 26 | 180 | 100 | 30.9 | Right | 21.9 | |
| 24 | 185 | 84 | 24.5 | Right | 12.1 | |
| 23 | 179 | 76 | 23.7 | Right | 44.2 | |
| 24 | 174 | 70 | 23.1 | Right | 19.1 | |
| 22 | 177 | 68 | 21.7 | Right | 12.1 | |
| 28 | 177 | 72 | 23.0 | Right | 48.5 | |
| 26 | 183 | 88 | 26.3 | Right | 18.5 | |
| 25 | 185 | 85 | 24.8 | Right | 26.3 | |
| 19 | 186 | 80 | 23.1 | Right | 17.8 | |
| 18 | 170 | 68 | 23.5 | Left | 16.9 | |
| 25 | 180 | 85 | 26.2 | Right | 25.9 | |
| 26 | 178 | 82 | 25.9 | Right | 17.4 | |
| 20 | 179 | 73 | 22.8 | Right | 9.2 | |
| 26 | 182 | 80 | 24.2 | Right | 16.5 | |
| 25 | 190 | 88 | 24.4 | Right | 24.7 | |
| Mean, %left | 23.9 (2.8) | 181.3 (6.1) | 78.9 (8.9) | 24.1 (2.7) | 2/20 | 26.7 (14.9) |
| p-Valuea | 0.18 | 0.48 | 0.48 | 0.6 | 0.16a | <0.00001 |
-
Demographic characteristics of participants. BMI, body mass index; CPM, conditioned pain modulation; Mean, arithmetical mean for continuous data; SD, standard deviation. For dominant body side, the proportion of left-handers is indicated. ap-Values are from Mann-Whitney-U-Tests except for dominant body side, where a chi-square test was used.
Pressure pain thresholds in subjects with facilitating vs. inhibitory CPM
Supraspinatus muscle
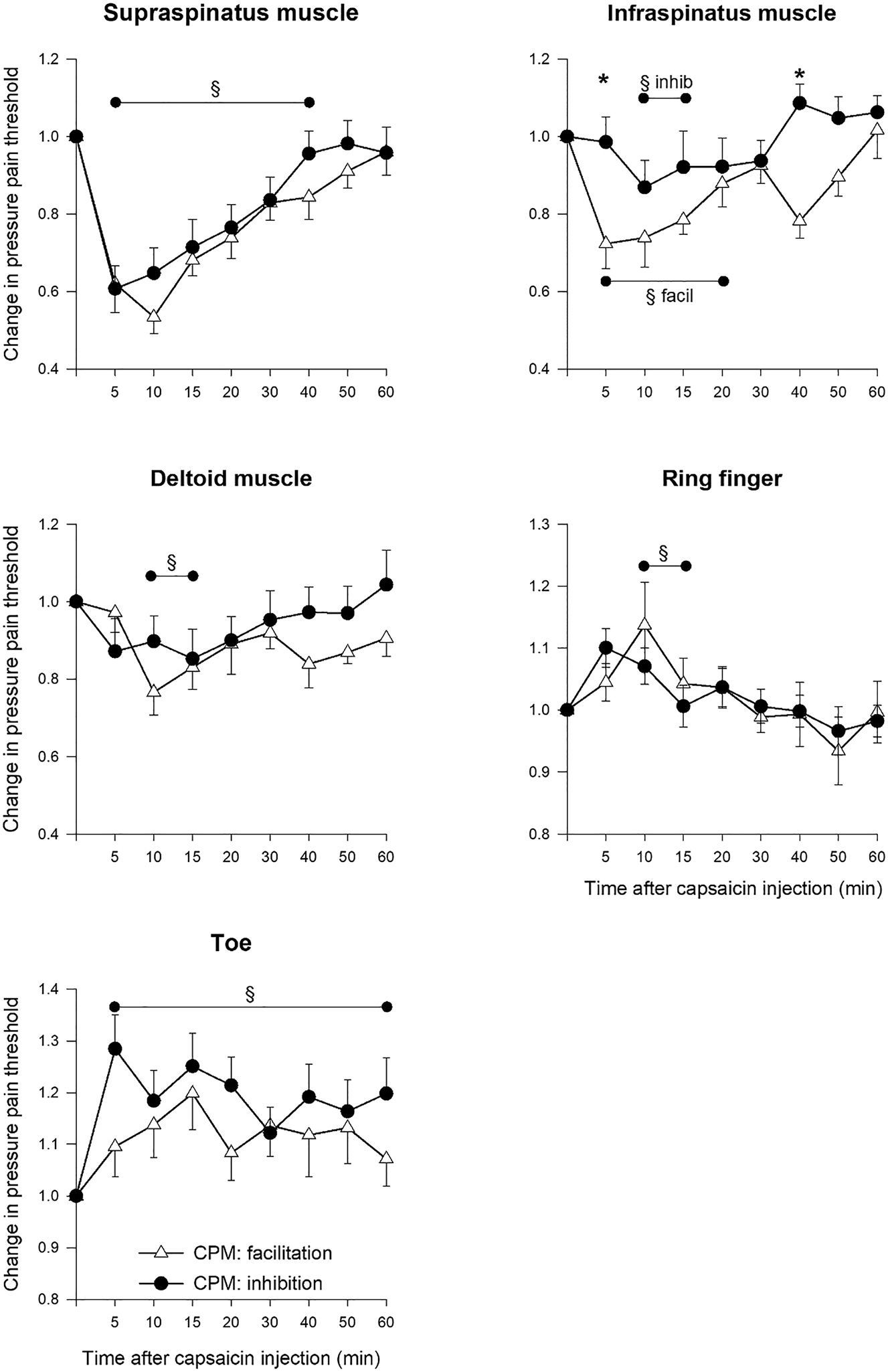
Compared to baseline, PPTs of the supraspinatus muscle decreased over time: F(8,265)=21.2, p<0.001. There was no significant difference between CPM groups (F(1,265)=0.11, p=0.7) and no significant interaction (F(8,265)=0.64, p=0.74). Up to 40 min post-injection, PPTs were significantly lower than baseline (all p<0.001 and p=0.01 at 40 min, respectively). The area under the PPT curve was not significantly different between groups (6.2 (IQR 4.9–8.4) in the inhibiting, 6.4 (IQR 5.7–6.8) in the facilitating CPM group, p=0.71). Figure 2 illustrates the time course of PPTs for all muscles in the two CPM groups.

Changes in pressure pain thresholds over the supraspinatus, infraspinatus and deltoid muscle, finger and toe of the capsaicin-injected (non-dominant) body side, compared between groups with facilitating (n=10) vs. inhibitory CPM (n=20). Asterisks indicate significant between-group differences. Lines with § indicate time points at which pressure pain thresholds were overall significantly different from baseline. All values: mean ± SEM.
Infraspinatus muscle
There was a significant decrease in PPTs over the infraspinatus muscle in both CPM groups (Figure 2; F(8,265)=5.5, p<0.001) and a CPM-time-interaction (F(8,265)=2.44, p=0.01). In the facilitating CPM group, PPTs were reduced at 5, 10, 15, 20 and 40 min compared to baseline (p=0.001, p=0.001, p=0.005, p=0.026 and p=0.001, respectively), whereas in the inhibitory CPM group, PPTs were only reduced compared to baseline at 10 and 15 min (p=0.01 and p=0.03). Differences in PPTs between the two CPM groups were noted after 5 and 40 min (p=0.008, p=0.001). Areas under the PPT curves differed between groups (7.7 (IQR 7.0–9.3) in the inhibiting, 6.8 (IQR 6.0–7.2) in the facilitating CPM group, p=0.03).
Deltoid muscle
There was an effect of time for the deltoid muscle (F(8,265)=2.18, p=0.03). The CPM groups were not significantly different (F(1,265)=0.16, p=0.69), and there was no significant interaction (F(8,265)=0.81, p=0.6). PPTs were lower than baseline after 10 and 15 min (p=0.001 and p=0.01). The areas under the PPT curves were not significantly different (6.6 (IQR 5.9–8.1) in the inhibiting, 6.8 (IQR 6.6–6.9) in the facilitating CPM group, p=0.9).
Ring finger
An effect of time was observed for PPTs at the finger (F(8,265)=4.62, p<0.001). The groups were not significantly different (F(1,265)=0.08, p=0.7), and there was no significant interaction (F(8,265)=0.29, p=0.9). PPTs increased compared to baseline at 5 and 10 min (p=0.01 and p=0.001). The areas under the PPT curves were not significantly different (8.0 (IQR 7.7–9.0) in the inhibiting, 8.4 (IQR 7.8–8.7) in the facilitating CPM group, p=0.68).
Toe
An effect of time was observed for PPTs at the toe (F(8,251)=4.3, p<0.001). There was no significant group difference (F(1,251)=0.47, p=0.5) and no significant interaction (F(8,251)=1.34, p=0.22). PPTs were increased compared to baseline at all time points (5–20 min p<0.001, 30 min p=0.002, 40 min p=0.001, 50 min p<0.001, 60 min p=0.004). The areas under the PPT curve were not significantly different (9.3 (IQR 8.5–11.1) in the inhibiting, 9.2 (IQR 8.4–9.7) in the facilitating CPM group, p=0.45).
Pain areas of experimental pain
Pain areas reached a maximum 5 min after capsaicin injection and decreased continuously over time (F(7,238)=27.9, p<0.001), with no significant differences between the two CPM groups (F(1,238)=1.99, p=0.16) and no interaction (F(7,238)=0.89, p=0.5, Figure 3A). Scheffe’s test revealed that 15, 20, 30, 40, 50 and 60 min were different from 5 min (all p<0.002), from 20 to 60 min was different from 10 min (p<0.03) and that 50 and 60 min were different from 15 min (p=0.01 and p=0.009, Figure 3).

A: Areas of muscular pain after capsaicin injection as digitized using the NavigatePain software, expressed in arbitrary units. B: Pain intensity after capsaicin injection as indicated on a 0–10 numeric rating scale (NRS). All values: mean ± SEM.
Pain intensity of experimental pain
The NRS scores of pain intensity after capsaicin injection was maximal after 5 min and decreased continuously over time (F(7,239)=95.6, p<0.001), with no significant differences between the two CPM groups (F(1,239)=1.0, p=0.3) and no significant interaction (F(7,239)=0.18, p=0.9, Figure 3). Scheffe’s test revealed that all NRS scores from 10 min onwards were lower than at 5 min (all p<0.005), from 20 min onward lower than at 10 min (all p<0.001), from 30 min onward lower than at 15 min (all p<0.001), and 50 and 60 min significantly lower than at 20 min (p<0.001). Median areas under the VAS-time curve obtained from electronic VAS tracking were 3,957 (IQR 3210–4,283) in the inhibitory group and 2,930 (IQR 2637–3,569) in the facilitating CPM group (p=0.15).
Discussion
Capsaicin caused hyperalgesia not only in the injected supraspinatus muscle, but also in the surrounding infraspinatus and deltoid muscles of the same body side. Conversely, distant hypoalgesia was observed at the finger and toe. The spreading hyperalgesia was more pronounced and longer lasting in the infraspinatus muscle of subjects with facilitating CPM than in subjects with inhibitory CPM. These results indicate that pre-injury CPM-state influences the development of spreading hyperalgesia, and that strategies to enhance endogenous pain modulation may provide clinical benefits.
Local hyperalgesia in subjects with facilitating vs. inhibitory CPM
After capsaicin injection into the supraspinatus muscle, pain thresholds decreased at the supraspinatus, infraspinatus and deltoid muscles of the injected side, reflecting spread of hyperalgesia outside the muscle of primary nociceptive input. This finding is consistent with previous research [1], [2], [3]. Spreading of pain beyond the injured area is oftentimes explained by convergence of different primary afferent neurons on the same secondary afferent neurons in the dorsal horn, or sometimes by propagation of the nociceptive signal along axon collaterals leading back to the periphery (axon reflex). However, whether these mechanisms also contribute to the spread of hyperalgesia, is unknown. To our knowledge, axon collaterals of neurons of the suprascapular nerve that innervate both the supra- and infraspinatus muscle, have not been described. It seems more plausible that the spreading of hyperalgesia to other muscles of the same innervation territory is due to nociceptive processes in the dorsal horn.
Hyperalgesia was less pronounced in the inhibitory CPM group than in the facilitating CPM group at the infraspinatus muscle, where a significant PPT-decrease started at 5 min and lasted up to 20 min in the facilitating CPM group, whereas it only lasted from 10 to 15 min in the inhibitory CPM group. The groups did not differ at the supraspinatus and deltoid muscle. At the site of primary nociceptive input, peripheral sensitization and capsaicin-mediated TRPV1 activation may be predominant over potential differences in central modulation between the CPM groups.
Previous studies have investigated muscle hyperalgesia using different human models, such as intramuscular injection of hypertonic saline [3], nerve growth factor [1], capsaicin [7] and intramuscular electrical stimulation [11]. These studies consistently found referred pain and spread of hyperalgesia. Hyperalgesia is determined, at least in part, by facilitatory nociceptive and nociplastic processes. Facilitatory processes that have been identified in humans include sensitization of nociceptors [12, 13], temporal summation [14] and expansion of receptive fields [15]. The present study focused on inhibitory processes of hyperalgesia, which have received far less attention in the past. It found that the status of endogenous pain modulation plays a role in the magnitude and duration of hyperalgesia, but only within the innervation area of the same nerve.
Distant hypoalgesia after capsaicin
Pain thresholds at the finger and toe increased, reflecting hypoalgesia at these distant territories. This result is in line with the findings of a previous study that also applied the capsaicin model; the study detected hyperalgesia at neighbor structures but hypoalgesia at distant tissues [2]. Interestingly, hypoalgesia was not affected by naloxone in that study, suggesting that non-opioid endogenous inhibitory mechanisms are involved in hypoalgesia at distant tissues. In the present study, although the two groups did not significantly differ at finger and toe, there was a slight trend for hypoalgesia at the toe to be stronger in the inhibitory CPM group. As this was not the primary outcome measure and the study was not powered to this end, the lack of difference in this case might possibly represent a type 2 error.
Taken together, it can be postulated that inducing muscle pain evokes both facilitatory and inhibitory processes that act in an opposite direction to eventually determine hyper- or hypoalgesia. The net effect is hyperalgesia at the muscles surrounding the site of primary nociception, indicating that facilitatory processes prevail at these sites. At distant sites, inhibitory processes seem to dominate, leading to hypoalgesia. The present study showed that a stronger endogenous modulation has a favorable influence on these processes, leading to less hyperalgesia within the innervation area of the same nerve.
While the present study in healthy subjects detected hypoalgesia, studies that induced muscle pain in patients with chronic pain found hyperalgesia at distant body sites [16], [17], [18]. This difference is likely due to alterations in supraspinal nociceptive processing that have been well documented in chronic pain patients and can lead to widespread hyperalgesia [19, 20].
Interestingly, the two CPM groups did not differ in terms of area and intensity of pain, suggesting that these are not a function of endogenous modulation in pain-free volunteers. It would be worthwhile to investigate whether this is different in chronic pain patients, where other central adaptive processes might be present and interact with endogenous modulation.
Strengths and limitations
The experimental design allowed the determination of CPM before the induction of muscle pain, and therefore the evaluation of how the pre-injury status of CPM influences post-injury hyperalgesia. The capsaicin model has several advantages. It activates the transient receptor potential vanilloid 1 (TRPV1) channel, which is physiologically involved in nociception [21]. Capsaicin induces pain and hyperalgesia at local and referred areas, as observed in clinical conditions [7]. Finally, its effect lasts long enough [7] to allow a sufficient time frame to detect the expected effects.
While the sample size was sufficient to detect the expected effect, it did not allow the inclusion and analysis of potentially relevant covariates, such as sex. When the study was conceived, we intended to reduce data variability by including male volunteers only, especially as there is some evidence that CPM may vary during the female menstrual cycle [22]. In terms of external validity, the inclusion of males only represents a clear weakness of the study. With n=30, the sample size was large enough to detect the expected main outcome, but possibly too small for secondary outcome measures, thus increasing the risk of false-negative findings or type-2-error. The relatively homogenous (though young) age of this study samples reduces the risk of age-effects having significant influence on the present results. On the other hand, as pain perception changes with age, so might the relation of CPM and spreading hyperalgesia. The results can therefore not be generalized to older age groups or populations with relevant comorbid conditions.
Conclusions
Inhibitory CPM was associated with less and shorter-lasting hyperalgesia within the innervation area of primary muscle injury, whereas facilitating CPM was associated with stronger and longer-lasting hyperalgesia. Pre-injury CPM could thus offer one potential explanation for the variability of the clinical course among patients sustaining the same muscle injury.
Bearing in mind that only healthy young males were studied in this experiment, the results need to be interpreted with caution. On the other hand, it is not rare for this population to suffer from trauma, accidents or sports injuries associated with muscular pain. Therefore, at least in this population, strategies to enhance CPM might provide clinical benefits. Whether or not this pertains to other patient populations or age groups as well, needs to be investigated in larger-scale studies. Interventions that increase CPM include duloxetine [23], pregabalin [24] and non-pharmacological treatments such as eccentric training [25], exercise-induced hypoalgesia [26], neural tension techniques [27] and trans-cranial direct current stimulation (tDCS) [28]. Since stress decreases CPM [29], interventions that reduce stress may improve CPM. Patients with loss-of-function mutations in genes encoding for receptors and transporters of glycine, an inhibitory neurotransmitter, have impaired CPM [30], suggesting that interventions targeting this pathway may enhance CPM. Future clinical trials may explore CPM as predictive biomarker for the efficacy of such treatments, with the perspective of improving personalized medicine.
-
Research funding: The study was financed by a grant from the University Hospital of Bern, Inselspital, intended to support the career of young doctors (grant recipient: J.S.).
-
Author contributions: All authors critically reviewed the manuscript and approved of the final version.
-
Competing interests: The authors state no conflict of interests.
-
Informed consent: Informed consent has been obtained from all participants included in this study.
-
Ethical approval: Research involving human subjects complied with all relevant national regulations, institutional policies and is in accordance with the tenets of the Helsinki Declaration (as amended in 2013), and has been approved by the Ethical Committee of the Canton of Bern (KEK 066/13).
References
1. Gerber, RK, Nie, H, Arendt-Nielsen, L, Curatolo, M, Graven-Nielsen, T. Local pain and spreading hyperalgesia induced by intramuscular injection of nerve growth factor are not reduced by local anesthesia of the muscle. Clin J Pain 2011;27:240–7. https://doi.org/10.1097/ajp.0b013e3182048481.Search in Google Scholar PubMed
2. Graven-Nielsen, T, Gibson, SJ, Laursen, RJ, Svensson, P, Arendt-Nielsen, L. Opioid-insensitive hypoalgesia to mechanical stimuli at sites ipsilateral and contralateral to experimental muscle pain in human volunteers. Exp Brain Res 2002;146:213–22. https://doi.org/10.1007/s00221-002-1169-7.Search in Google Scholar PubMed
3. Graven-Nielsen, T, Arendt-Nielsen, L, Svensson, P, Jensen, TS. Quantification of local and referred muscle pain in humans after sequential i.M. Injections of hypertonic saline. Pain 1997;69:111–7. https://doi.org/10.1016/s0304-3959(96)03243-5.Search in Google Scholar PubMed
4. Graven-Nielsen, T, Arendt-Nielsen, L. Assessment of mechanisms in localized and widespread musculoskeletal pain. Nat Rev Rheumatol 2010;6:599–606. https://doi.org/10.1038/nrrheum.2010.107.Search in Google Scholar PubMed
5. Curatolo, M, Arendt-Nielsen, L. Central hypersensitivity in chronic musculoskeletal pain. Phys Med Rehabil Clin 2015;26:175–84. https://doi.org/10.1016/j.pmr.2014.12.002.Search in Google Scholar PubMed
6. Yarnitsky, D. Role of endogenous pain modulation in chronic pain mechanisms and treatment. Pain 2015;156:S24–31. https://doi.org/10.1097/01.j.pain.0000460343.46847.58.Search in Google Scholar PubMed
7. Witting, N, Svensson, P, Gottrup, H, Arendt-Nielsen, L, Jensen, TS. Intramuscular and intradermal injection of capsaicin: a comparison of local and referred pain. Pain 2000;84:407–12. https://doi.org/10.1016/s0304-3959(99)00231-6.Search in Google Scholar PubMed
8. Arendt-Nielsen, L, Morlion, B, Perrot, S, Dahan, A, Dickenson, A, Kress, HG, et al.. Assessment and manifestation of central sensitisation across different chronic pain conditions. Eur J Pain 2018;22:216–41. https://doi.org/10.1002/ejp.1140.Search in Google Scholar PubMed
9. Muller, M, Biurrun Manresa, JA, Limacher, A, Streitberger, K, Juni, P, Andersen, OK, et al.. Measurement error of a simplified protocol for quantitative sensory tests in chronic pain patients. Reg Anesth Pain Med 2017;42:660–8. https://doi.org/10.1097/aap.0000000000000640.Search in Google Scholar
10. Schliessbach, J, Lutolf, C, Streitberger, K, Scaramozzino, P, Arendt-Nielsen, L, Curatolo, M. Reference values of conditioned pain modulation. Scand J Pain 2019;19:279–86. https://doi.org/10.1515/sjpain-2018-0356.Search in Google Scholar PubMed
11. Laursen, RJ, Graven-Nielsen, T, Jensen, TS, Arendt-Nielsen, L. Quantification of local and referred pain in humans induced by intramuscular electrical stimulation. Eur J Pain 1997;1:105–13. https://doi.org/10.1016/s1090-3801(97)90068-9.Search in Google Scholar PubMed
12. Gazerani, P, Andersen, OK, Arendt-Nielsen, L. Site-specific, dose-dependent, and sex-related responses to the experimental pain model induced by intradermal injection of capsaicin to the foreheads and forearms of healthy humans. J Orofac Pain 2007;21:289–302.Search in Google Scholar
13. Gustorff, B, Anzenhofer, S, Sycha, T, Lehr, S, Kress, HG. The sunburn pain model: the stability of primary and secondary hyperalgesia over 10 hours in a crossover setting. Anesth Analg 2004;98:173–7. https://doi.org/10.1213/01.ane.0000093224.77281.a5.Search in Google Scholar PubMed
14. Graven-Nielsen, T, Vaegter, HB, Finocchietti, S, Handberg, G, Arendt-Nielsen, L. Assessment of musculoskeletal pain sensitivity and temporal summation by cuff pressure algometry: a reliability study. Pain 2015;156:2193–202. https://doi.org/10.1097/j.pain.0000000000000294.Search in Google Scholar PubMed
15. Neziri, AY, Haesler, S, Petersen-Felix, S, Muller, M, Arendt-Nielsen, L, Biurrun Manresa, JA, et al.. Generalized expansion of nociceptive reflex receptive fields in chronic pain patients. Pain 2010;151:798–805. https://doi.org/10.1016/j.pain.2010.09.017.Search in Google Scholar PubMed
16. Koelbaek Johansen, M, Graven-Nielsen, T, Schou Olesen, A, Arendt-Nielsen, L. Generalised muscular hyperalgesia in chronic whiplash syndrome. Pain 1999;83:229–34. https://doi.org/10.1016/s0304-3959(99)00106-2.Search in Google Scholar PubMed
17. Kosek, E, Januszewska, A. Mechanisms of pain referral in patients with whiplash associated disorder. Eur J Pain 2008;12:650–60. https://doi.org/10.1016/j.ejpain.2007.10.006.Search in Google Scholar PubMed
18. O’Neill, S, Manniche, C, Graven-Nielsen, T, Arendt-Nielsen, L. Generalized deep-tissue hyperalgesia in patients with chronic low-back pain. Eur J Pain 2007;11:415–20. https://doi.org/10.1016/j.ejpain.2006.05.009.Search in Google Scholar PubMed
19. Apkarian, AV, Hashmi, JA, Baliki, MN. Pain and the brain: specificity and plasticity of the brain in clinical chronic pain. Pain 2011;152:S49–64. https://doi.org/10.1016/j.pain.2010.11.010.Search in Google Scholar PubMed PubMed Central
20. Tracey, I. Imaging pain. Br J Anaesth 2008;101:32–9. https://doi.org/10.1093/bja/aen102.Search in Google Scholar PubMed
21. Caterina, MJ, Leffler, A, Malmberg, AB, Martin, WJ, Trafton, J, Petersen-Zeitz, KR, et al.. Impaired nociception and pain sensation in mice lacking the capsaicin receptor. Science 2000;288:306–13. https://doi.org/10.1126/science.288.5464.306.Search in Google Scholar PubMed
22. Rezaii, T, Hirschberg, AL, Carlstrom, K, Ernberg, M. The influence of menstrual phases on pain modulation in healthy women. J Pain 2012;13:646–55. https://doi.org/10.1016/j.jpain.2012.04.002.Search in Google Scholar PubMed
23. Yarnitsky, D, Granot, M, Nahman-Averbuch, H, Khamaisi, M, Granovsky, Y. Conditioned pain modulation predicts duloxetine efficacy in painful diabetic neuropathy. Pain 2012;153:1193–8. https://doi.org/10.1016/j.pain.2012.02.021.Search in Google Scholar PubMed
24. Wodehouse, T, Poply, K, Ramaswamy, S, Snidvongs, S, Bourke, J, Tahir, H, et al.. A pilot study investigating whether quantitative sensory testing alters after treatment in patients with fibromyalgia. Br J Pain 2018;12:250–6. https://doi.org/10.1177/2049463718776336.Search in Google Scholar PubMed PubMed Central
25. Heredia-Rizo, AM, Petersen, KK, Madeleine, P, Arendt-Nielsen, L. Clinical outcomes and central pain mechanisms are improved after upper trapezius eccentric training in female computer users with chronic neck/shoulder pain. Clin J Pain 2019;35:65–76. https://doi.org/10.1097/ajp.0000000000000656.Search in Google Scholar PubMed
26. Vaegter, HB, Handberg, G, Emmeluth, C, Graven-Nielsen, T. Preoperative hypoalgesia after cold pressor test and aerobic exercise is associated with pain relief 6 months after total knee replacement. Clin J Pain 2017;33:475–84. https://doi.org/10.1097/ajp.0000000000000428.Search in Google Scholar
27. Fernandez-Carnero, J, Sierra-Silvestre, E, Beltran-Alacreu, H, Gil-Martinez, A, La Touche, R. Neural tension technique improves immediate conditioned pain modulation in patients with chronic neck pain: a randomized clinical trial. Pain Med 2019. https://doi.org/10.1093/pm/pny115.Search in Google Scholar PubMed
28. Ahn, H, Suchting, R, Woods, AJ, Hongyu, M, Green, C, Cho, RY, et al.. Bayesian analysis of the effect of transcranial direct current stimulation on experimental pain sensitivity in older adults with knee osteoarthritis: randomized sham-controlled pilot clinical study. J Pain Res 2018;11:2071–82. https://doi.org/10.2147/jpr.s173080.Search in Google Scholar PubMed PubMed Central
29. Geva, N, Defrin, R. Opposite effects of stress on pain modulation depend on the magnitude of individual stress response. J Pain 2018;19:360–71. https://doi.org/10.1016/j.jpain.2017.11.011.Search in Google Scholar PubMed
30. Vuilleumier, PH, Fritsche, R, Schliessbach, J, Schmitt, B, Arendt-Nielsen, L, Zeilhofer, HU, et al.. Mutations affecting glycinergic neurotransmission in hyperekplexia increase pain sensitivity. Brain 2018;141:63–71. https://doi.org/10.1093/brain/awx289.Search in Google Scholar PubMed
© 2023 Walter de Gruyter GmbH, Berlin/Boston
Articles in the same Issue
- Frontmatter
- Editorial Comment
- What do we mean by “biopsychosocial” in pain medicine?
- Systematic Review
- The efficacy of manual therapy on HRV in those with long-standing neck pain: a systematic review
- Clinical Pain Research
- Development of a binary classifier model from extended facial codes toward video-based pain recognition in cancer patients
- Experience and usability of a website containing research-based knowledge and tools for pain self-management: a mixed-method study in people with high-impact chronic pain
- Effect on orofacial pain in patients with chronic pain participating in a multimodal rehabilitation programme – a pilot study
- Analysis of Japanese nationwide health datasets: association between lifestyle habits and prevalence of neuropathic pain and fibromyalgia with reference to dementia-related diseases and Parkinson’s disease
- Impact of antidepressant medication on the analgetic effect of repetitive transcranial magnetic stimulation treatment of neuropathic pain. Preliminary findings from a registry study
- Does lumbar spinal decompression or fusion surgery influence outcome parameters in patients with intrathecal morphine treatment for persistent spinal pain syndrome type 2 (PSPS-T2)
- Original Experimentals
- Low back-pain among school-teachers in Southern Tunisia: prevalence and predictors
- Economic burden of osteoarthritis – multi-country estimates of direct and indirect costs from the BISCUITS study
- Demographic and clinical factors associated with psychological wellbeing in people with chronic, non-specific musculoskeletal pain engaged in multimodal rehabilitation: –a cross-sectional study with a correlational design
- Interventional pathway in the management of refractory post cholecystectomy pain (PCP) syndrome: a 6-year prospective audit in 60 patients
- Original Articles
- Preoperatively assessed offset analgesia predicts acute postoperative pain following orthognathic surgery
- Oxaliplatin causes increased offset analgesia during chemotherapy – a feasibility study
- Effects of conditioned pain modulation on Capsaicin-induced spreading muscle hyperalgesia in humans
- Effects of oral morphine on experimentally evoked itch and pain: a randomized, double-blind, placebo-controlled trial
- The potential effect of walking on quantitative sensory testing, pain catastrophizing, and perceived stress: an exploratory study
- What matters to people with chronic musculoskeletal pain consulting general practice? Comparing research priorities across different sectors
- Is there a geographic and gender divide in Europe regarding the biopsychosocial approach to pain research? An evaluation of the 12th EFIC congress
Articles in the same Issue
- Frontmatter
- Editorial Comment
- What do we mean by “biopsychosocial” in pain medicine?
- Systematic Review
- The efficacy of manual therapy on HRV in those with long-standing neck pain: a systematic review
- Clinical Pain Research
- Development of a binary classifier model from extended facial codes toward video-based pain recognition in cancer patients
- Experience and usability of a website containing research-based knowledge and tools for pain self-management: a mixed-method study in people with high-impact chronic pain
- Effect on orofacial pain in patients with chronic pain participating in a multimodal rehabilitation programme – a pilot study
- Analysis of Japanese nationwide health datasets: association between lifestyle habits and prevalence of neuropathic pain and fibromyalgia with reference to dementia-related diseases and Parkinson’s disease
- Impact of antidepressant medication on the analgetic effect of repetitive transcranial magnetic stimulation treatment of neuropathic pain. Preliminary findings from a registry study
- Does lumbar spinal decompression or fusion surgery influence outcome parameters in patients with intrathecal morphine treatment for persistent spinal pain syndrome type 2 (PSPS-T2)
- Original Experimentals
- Low back-pain among school-teachers in Southern Tunisia: prevalence and predictors
- Economic burden of osteoarthritis – multi-country estimates of direct and indirect costs from the BISCUITS study
- Demographic and clinical factors associated with psychological wellbeing in people with chronic, non-specific musculoskeletal pain engaged in multimodal rehabilitation: –a cross-sectional study with a correlational design
- Interventional pathway in the management of refractory post cholecystectomy pain (PCP) syndrome: a 6-year prospective audit in 60 patients
- Original Articles
- Preoperatively assessed offset analgesia predicts acute postoperative pain following orthognathic surgery
- Oxaliplatin causes increased offset analgesia during chemotherapy – a feasibility study
- Effects of conditioned pain modulation on Capsaicin-induced spreading muscle hyperalgesia in humans
- Effects of oral morphine on experimentally evoked itch and pain: a randomized, double-blind, placebo-controlled trial
- The potential effect of walking on quantitative sensory testing, pain catastrophizing, and perceived stress: an exploratory study
- What matters to people with chronic musculoskeletal pain consulting general practice? Comparing research priorities across different sectors
- Is there a geographic and gender divide in Europe regarding the biopsychosocial approach to pain research? An evaluation of the 12th EFIC congress