Startseite Cellulose modification and shaping – a review
Artikel Öffentlich zugänglich

Cellulose modification and shaping – a review

  • Kerstin Jedvert

    Kerstin Jedvert received her PhD in 2014 at Forest Products and Chemical Engineering, Chalmers University of Technology in Gothenburg. She is currently working as a post-doc research fellow at Friedrich Schiller University of Jena and has a permanent position as a researcher in the group of Biobased Fibers at the research institute Swerea IVF in Sweden. Her research interests are in the field of cellulose dissolution and processing, fiber spinning and material development, e.g. functionalization of biobased fibers.

    und Thomas Heinze

    Thomas Heinze is a Professor of Organic Chemistry at Friedrich Schiller University of Jena. In 2010, he was awarded Finland Distinguished Professor at Abo Academi University, Finland. He has made outstanding contributions to the research of polysaccharides including new concepts for polysaccharide chemistry, solvents for cellulose shaping and homogeneous reactions, and structure characterization of biopolymers by advanced analytical tools. He got various awards like the Anselme Payen Award of the American Chemical Society in 2011 and the Thuringian Research Award in 2014.

    EMAIL logo
Veröffentlicht/Copyright: 25. Februar 2017
Veröffentlichen auch Sie bei De Gruyter Brill

Abstract

This review aims to present cellulose as a versatile resource for the production of a variety of materials, other than pulp and paper. These products include fibers, nonwovens, films, composites, and novel derivatized materials. This article will briefly introduce the structure of cellulose and some common cellulose derivatives, as well as the formation of cellulosic materials in the micro- and nanoscale range. The challenge with dissolution of cellulose will be discussed and both derivatizing and nonderivatizing solvents for cellulose will be described. The focus of the article is the critical discussion of different shaping processes to obtain a variety of cellulose products, from commercially available viscose fibers to advanced and functionalized materials still at the research level.

List of abbreviations
AGU

anhydroglucose unit

AMIMCl

1-allyl-3-methylimidazolium chloride

BMIMCl

1-butyl-3-methylimidazolium chloride

CA

cellulose acetate

CMC

carboxymethyl cellulose

CNC

cellulose nanocrystals

CS

cellulose sulfate

Cuam

cuprammonium hydroxide

DMAc

N,N-dimethylacetamide

DMSO

dimethylsulfoxide

DP

degree of polymerization (average degree)

DS

degree of substitution (average degree)

EMIMAc

1-ethyl-3-methylimidazolium acetate

EMIMCl

1-ethyl-3-methylimidazolium chloride

HEC

hydroxyethyl cellulose

IL

ionic liquid

MC

methyl cellulose

MCC

microcrystalline cellulose

MFC

microfibrillated cellulose

NCC

nanocrystalline cellulose/whiskers

NFC/CNF

nanofibrillated cellulose/cellulose nanofibrils

NMMO

N-methylmorpholine-N-oxide

PLA

polylactic acid

PS

polystyrene

SEM

scanning electron microscopy

TBAF

tetra-n-butylammonium fluoride

1 Introduction

As a main component in the cell walls of higher plants, cellulose is the most abundant and highly important organic polymer. Today, it is widely used in industrial applications such as paper, textiles, and pharmaceutical compounds [1], [2]. Further development and effective utilization of cellulose is beneficial for a more sustainable society with renewable raw materials and “green” production processes.

Nature offers many sources for cellulose, including trees and annual plants, animals, fungi, algae, and bacteria as shown in Figure 1. The main source is plant fiber, where cellulose acts as a structural element, providing wood and other plants with strength. Cellulose may exist in a rather pure form, e.g. in seed hairs of cotton where the cellulose content reaches above 90 wt%, but most often cellulose occurs together with lignin, other polysaccharides such as hemicelluloses (polyoses) and pectins, as well as relatively small amounts of organic compounds, i.e. extractives [4]. The isolation procedures for cellulose from wood are usually known as pulping processes, of which the most common are the kraft (sulfate) process and the sulfite process [5]. In these processes, cellulose is liberated from lignin and other plant components (like hemicelluloses) to a certain extent, resulting in pulps of various fiber strengths and purities, such as paper-grade pulp used for printing paper or dissolving grade pulp applied for production of regenerated cellulose and cellulose derivatives.

Figure 1: Cellulose can be obtained from various sources, some examples: (A) beech tree, (B) bamboo, (C) cotton, (D) sisal, (E) tunicine, (F) Gluconacetobacter xylinum. Reproduced with permission from Ref. [3]. Copyright (Figure 1F) Wiley.
Figure 1:

Cellulose can be obtained from various sources, some examples: (A) beech tree, (B) bamboo, (C) cotton, (D) sisal, (E) tunicine, (F) Gluconacetobacter xylinum. Reproduced with permission from Ref. [3]. Copyright (Figure 1F) Wiley.

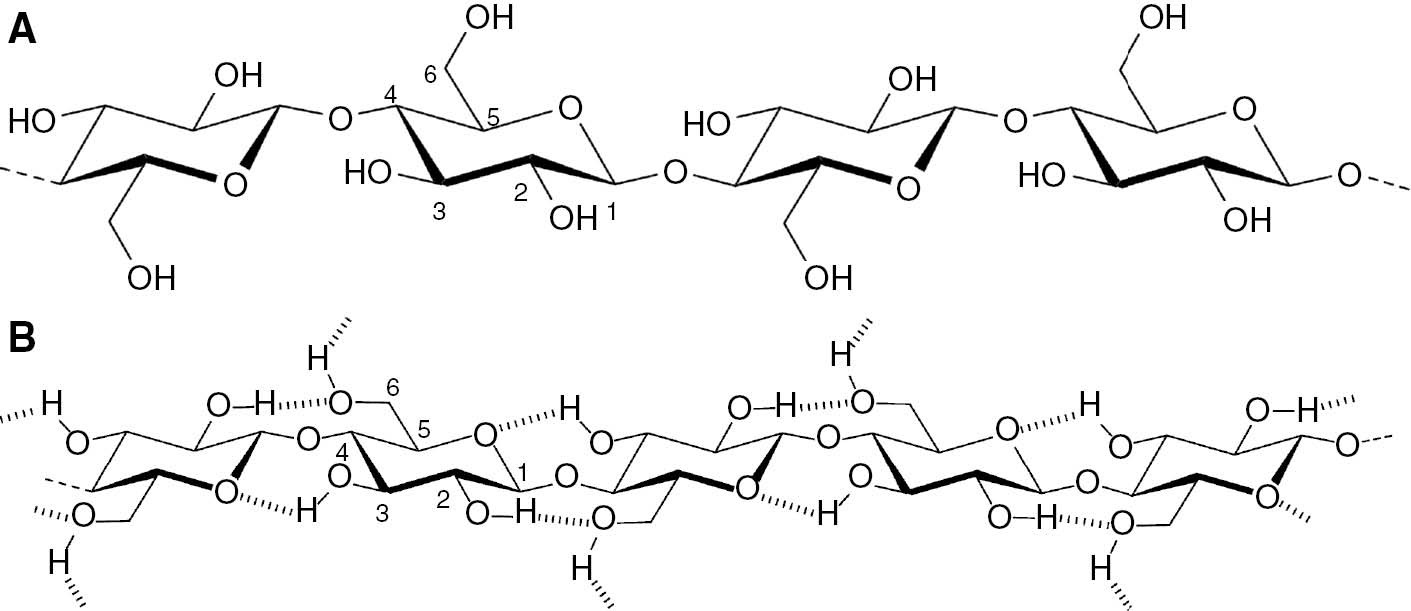
Independent of the source, the cellulose molecule has the same molecular structure, see Figure 2A. Cellulose is a linear polymer with repeating units of D-glucopyranose units, the so-called anhydroglucose units (AGU) in the chair conformation. The AGUs are linked by β-1,4-glycosidic bonds, which result in an alternate turning of the cellulose chain axis by 180°, i.e. the repeating unit of cellulose can be considered as two D-glucopyranose units, also called as cellobiose. The degree of polymerization (DP, average degree) depends on the origin and the extraction method of the cellulose and may vary from native wood, which is in the range of 800 and 10,000, to wood pulp with chain lengths between 300 and 1700 AGUs [1]. Samples of cellulose are, however, polydisperse, and so the DP is an average value. For each AGU, there are three hydroxyl groups present; a primary group at C6 and two secondary groups at C2 and C3 [7].

Figure 2: The chemistry of cellulose. (A) Molecular structure of the cellulose polymer, (B) hydrogen bond pattern for cellulose I. Reproduced with permission from Ref. [6]. Copyright (Fig. 2B) Elsevier.
Figure 2:

The chemistry of cellulose. (A) Molecular structure of the cellulose polymer, (B) hydrogen bond pattern for cellulose I. Reproduced with permission from Ref. [6]. Copyright (Fig. 2B) Elsevier.

Cellulose chains show a very high tendency to self-order and so there are different structural levels of cellulose. The cellulose chains arrange themselves into fibrils that have regions with varying degree of order [8]. The fibrils, in turn, organize themselves into structures of higher order, which results in arrangement into layers of varying texture and density. This unique and complex structure influences the properties and the reactivity of different cellulose materials.

The aim of this critical review is to give the reader an overview of various possibilities to use cellulose as a raw material for a variety of products. In contrast to synthetic polymers, cellulose does not melt at elevated temperatures, but instead it decomposes. Consequently, in order to obtain cellulose in “liquid” form, it has to be dissolved by either derivatizing or nonderivatizing solvents, which will be described in some detail later. Finally, several techniques to process and shape the cellulose material into useful products, such as textile fibers, nonwovens, composites, films, and advanced functional materials will be discussed.

2 Cellulose solvents

Cellulose is not soluble in water or common organic solvents and the challenge with dissolution of cellulose has been investigated extensively, e.g. Refs. [9], [10], [11]. The reason for the insolubility of cellulose is due to a number of factors relating to the chemical structure of cellulose. Firstly, native cellulose is a macromolecule with a high DP, which is naturally hard to dissolve due to thermodynamics (decreased entropic gain for macromolecules in the dissolution process compared to small molecules). Cellulose also has plenty of hydroxyl groups and, five oxygen atoms of the hydroxyl groups in addition to the ring- and bridge oxygen results in the formation of complex patterns of hydrogen bonds, see Figure 2B. Finally, the C- and H-atoms of cellulose may interact via hydrophobic interactions, i.e. cellulose has an amphiphilic nature. Altogether, this puts high demands on an efficient solvent for cellulose.

Solvents for cellulose can be categorized into derivatizing solvents and nonderivatizing solvents, depending on a change of the molecular structure of the cellulose, i.e. formation of covalent bonds with the cellulose, or not. Derivatizing solvents include for example some carboxylic acids (e.g. CF3COOH), dinitrogen tetroxide (N2O4) in combination with N,N-dimethylformamide or dimethylsulfoxide (DMSO) [10]. Nonderivatizing solvents can be divided into aqueous or nonaqueous media; however, many of the nonaqueous solvents can include some bound water in a salt or organic hydrate, so this distinction is not always completely straightforward. For a comprehensive review on direct dissolution of cellulose, see e.g. Ref. [12]. As dissolution of cellulose depends largely on the source of the cellulose (e.g. DP, production process, purity) and the conditions during the dissolution (type of mixing, temperature etc.), and the distinction of when cellulose is completely dissolved is difficult to make; it is complicated to compare the dissolution capacity (amount of cellulose dissolved per unit volume) between various solvents. However, it would be very interesting with a structured investigation in this regard.

2.1 Aqueous media

Although water itself cannot dissolve cellulose, there are several water-based solvents. These include sodium hydroxide (NaOH) at low temperatures without or with additives, such as urea, thiourea, and polyethylene glycol [13], [14], [15], [16].

Another group of aqueous solvents of cellulose is composed of inorganic metal complexes, consisting of transition metal ions and nitrogen ligands, such as cuprammonium hydroxide (Cuam) [17], which forms strongly colored solutions. The Cuam solvent has been previously used to produce fibers (artificial silk), but it only reached a comparably small-scale production due to high costs for copper salts and the need to use cellulose from cotton. Another example of aqueous solvents is molten inorganic salt hydrates and concentrated inorganic salt solutions, e.g. magnesium chloride (MgCl2*6H2O), lithium chloride (LiCl*5H2O), lithium perchlorate (LiClO4*3H2O) and zinc chloride (ZnCl2*4H2O) [18], some of which have been useful for homogeneous modification of cellulose.

Cellulose may dissolve in acids, e.g. hydrochloric acid, phosphoric acid, and mixed acids. However, acid hydrolysis, resulting in chain degradation, is always an important factor to consider when working with cellulose in acid. Interesting results have been reported by Boerstoel et al. [19], where liquid crystalline solutions of cellulose were formed by rapid dissolution of cellulose in anhydrous phosphoric acid at room temperature with a cellulose concentration above 7.5% (w/w). The cellulose solution in phosphoric acid was also used to form fibers by air-gap spinning [20], where the fibers were coagulated in acetone, washed with water, and neutralized with sodium carbonate. The mechanical properties exceeded the commercial fibers used as reference, with an initial filament modulus of 44 GPa and a strength of 1.7 GPa. In this case, the degradation due to acid hydrolysis was shown to be moderate. However, fibers with such high crystallinity also resulted in low values of strain to failure [21].

2.2 Nonaqueous media

A common nonaqueous solvent for cellulose is a solution of N,N-dimethylacetamide (DMAc) and lithium chloride (LiCl). It is widely used for analytical characterization of polysaccharides and as reaction media for homogeneous modification of cellulose [22], [23]. The solvent DMAc/LiCl is highly efficient; however, it has the disadvantage of being very sensitive to water and impurities, which makes industrial applications at least difficult, or even impossible [24], [25]. Moreover, an activation of the cellulose is indispensible for dissolution in DMAc/LiCl.

Another example of this type of solvents is the solution of tetrabutylammonium fluoride (TBAF*3H2O) and DMSO, which is efficient because no activation of the cellulose is needed. So far, it has been used for analytical investigations and homogenous chemical modification of cellulose on lab scale [26]. Moreover, cellulose dissolves in DMAc/quaternary ammonium chlorides without any pretreatment. Consequently, use of this new solvent avoids some of the disadvantages of DMAc/LiCl, such as activation of the cellulose [27]. Highly surprising is the finding that cellulose dissolves quickly even in a mixture of acetone/triethyloctylammonium chloride containing nine parts of the salt and 20 parts of the organic liquid. No pretreatment or activation of the cellulose is necessary. This has not yet been reported for binary acetone/salt mixtures, including ionic liquids (ILs), where acetone has been found to cause immediate cellulose precipitation [28]. Further increase in the amount of triethyloctylammonium chloride does not have an adverse effect on the solution. The 13C-NMR spectrum measured for cellulose dissolved in acetone/triethyloctylammonium chloride showed that cellulose is not chemically modified during dissolution (i.e. it is a nonderivatizing solvent).

2.2.1 N-methylmorpholine-N-oxide

A nonderivatizing solvent for cellulose, which has achieved commercial success, is N-methylmorpholine-N-oxide (NMMO). NMMO is the basis for the Lyocell process to produce cellulose textile fibers [29]. NMMO has several advantages as it can dissolve cellulose in high concentrations, produce fibers with well-desired mechanical properties (such as high wet- and dry strength), and is possible to recycle almost completely after usage [30], [31]. However, a major drawback is that the N–O bond is very energy rich, which means that NMMO is thermally unstable. It is also sensitive to catalytic impurities, which could result in unwanted side-reactions [32], [33], [34].

2.2.2 Ionic liquids

Organic electrolytes with a melting point below 100°C, i.e. ILs, has been known for decades and emerged as a new class of promising, direct solvents for cellulose after publication of a well-cited article by Swatloski et al. in 2002 [35]. The use of ILs as solvents for cellulose, their properties and interactions with cellulose have been covered in several thorough review articles, e.g. [36], [37], [38], [39]. However, there are some important issues that need to be considered further for ILs to reach commercial success, e.g. cellulose degradation, side reactions, high viscosities of the solutions (which often require the addition of another molecular solvent) and solvent recovery [40]. An illustration of dissolution of cellulose in an IL can be seen in Figure 3.

Figure 3: Progress of the dissolution of cellulose (dissolving pulp) in 1-ethyl-3-methylimidazolium acetate (EMIMAc). (A) Solvent and starting material, (B) cellulose added into the solvent, (C) clear solution, (D) the starting material and the regenerated material. Reprinted with permission from Ref. [2]. Copyright (2012) Elsevier.
Figure 3:

Progress of the dissolution of cellulose (dissolving pulp) in 1-ethyl-3-methylimidazolium acetate (EMIMAc). (A) Solvent and starting material, (B) cellulose added into the solvent, (C) clear solution, (D) the starting material and the regenerated material. Reprinted with permission from Ref. [2]. Copyright (2012) Elsevier.

Rheological properties of cellulose, dissolved in 1-allyl-3-methylimidazolium chloride (AMIMCl) and 1-butyl-3-methylimidazolium chloride (BMIMCl) with DMSO as co-solvent, were investigated in a study by Lv et al. in 2012 [41]. The findings showed that the viscosities of the ILs were exponentially decreased by adding DMSO, but the conformation of cellulose would not be changed (not only in the dilute regime but also in the entanglement regime). Cellulose/IL/DMSO solutions behaved as Newtonian fluids at very low cellulose concentration, while the solution viscosity increased as the concentration increased, and exhibited a shear-thinning behavior at higher shear rates.

Studies about thermostability of imidazolium ILs showed that ILs exhibit a far lower degradation potential compared to NMMO [42]. The relatively high decomposition temperatures of ILs are ensuring higher process temperatures with lower risk of exothermic reactions and, therefore, enhanced process safety. However, it was found that endothermic decomposition of pure 1-ethyl-3-methylimidazolium acetate (EMIMAc) is turned into an exothermic event by addition of cellulose.

3 Cellulose modification

The reactive groups of cellulose are the hydroxyl groups and they are suitable for a variety of chemical modifications, resulting in different cellulose derivatives [2]. Chemical modification of cellulose can also be conducted by reactions at the carbon atoms of the AGU by nucleophilic displacement reactions, i.e. deoxy derivatives of cellulose are formed [43]. Moreover, oxidation of cellulose to introduce carbonyl- or carboxyl groups has also found continuous interest [44]. Furthermore, cellulose can also be a source for nano- and microscale materials, produced by various disintegration techniques. The shape and properties of the nano- and microstructures are then dependent on both the source of the cellulose (DP and crystallinity) as well as the applied treatment.

3.1 Cellulose derivatives

Chemical modification of polysaccharides such as cellulose has been investigated since 1800s. The solubility of cellulose in a mixture of acids (HNO3/H2SO4) was for example discovered by a coincidence and led to the development of cellulose nitrate, which became one of the most important explosives during the industrial revolution (guncotton) [45]. Cellulose nitrate treated with camphor also resulted in the first man-made plastic, a product called celluloid. It was described in an early patent by Hyatt [46], where it was used for covering billiard balls. Today, the importance of cellulose nitrate is surpassed by another cellulose ester, namely cellulose acetate (CA).

Typical carboxylic acid esters, like CA were discovered already in 1865 and CA as well as mixed acetate propionates, acetate butyrates, and acetate phthalates are still immensely important polysaccharide esters commercially. The properties and solubility of CA (and almost any other cellulose derivative) are strongly dependent on the degree of substitution (DS) and the distribution of the functional groups within the repeating unit and along the polymer chains. Cellulose acetate and mixed cellulose carboxylic esters have applications in many areas, such as films, membranes, or fibers [47]. Some major applications of cellulose esters are summarized in Table 1. CA is industrially prepared by conversion of cellulose with acetic acid and acetic anhydride in the presence of sulfuric acid or perchloric acid as catalyst [48].

Table 1:

Applications of commercially important cellulose esters, adapted from Ref. [2] with permission, Copyright (2012) Elsevier.

Cellulose esterDPDSMain application
AcetylPropyl or butyl
Triacetate150–3602.8–3.0Textile fibers, photo film, foil-insulating coatings
Diacetate100–2002.5Filter tow, thermoplastic mass
2.4Silk, foils, thermoplastic mass
Acetate/propionate150–2000.32.3Thermoplastic mass
Acetate/butyrate100–1502.10.6Raw materials for coating and insulation, foils
2.00.7Foils, films
1.01.6Thermoplastic mass
0.52.3Melt dipping mass
  1. DP, degree of polymerization (average degree); DS, degree of substitution (average degree).

Concerning cellulose esters, apart from cellulose nitrate, CA, and the mixed carboxylic acid esters, cellulose sulfate (CS) has also gained some commercial interest but is not prepared commercially today. A novel and efficient process for the preparation of well water-soluble CS of high DS and DP was developed recently [49]. The CS forms stable cationic complexes [50], [51]. Furthermore, there is a lot of interesting research in the field of new esterification processes and cellulose products, where cellulose esters can be applied for, e.g. membrane technology, coatings, stationary phases in chromatography and for controlled release in pharmaceutical industry [2], [52], [53].

Another important group of cellulose derivatives are the cellulose ethers, including carboxymethyl cellulose (CMC), methyl cellulose (MC), ethyl cellulose (EC), hydroxyethyl cellulose (HEC), hydroxypropyl cellulose (HPC), and mixed ethers (hydroxyethylmethylcellulose, HPMC). All of these are nontoxic, and are most often water-soluble and, therefore, useful as thickeners, suspending aids and flow-control agents, with applications in a wide range of industries, including food, paint, pharmaceuticals, adhesives, and cosmetics [54].

The field of modification of cellulose into derivatives is vast and various books and reviews on the subject have been published, e.g. [55], [56], [57]. This critical review will henceforth focus on cellulose derivatives that are used for shaping into materials such as fibers and films, discussed further in the section “Cellulose shaping”.

3.2 Nanocellulose materials

Cellulose can be transformed into materials in the micro- and nanoscale range by various treatments. These materials have received a lot of scientific attention during later years, e.g. [58], [59]. The products are shaped by chemical-, enzymatic-, and mechanical treatments and depending on the shape and properties of the products – they are categorized into different groups:

  • microcrystalline cellulose (MCC),

  • micro- or nanofibrillated cellulose (MFC/NFC), or cellulose nanofibrils (CNF)

  • cellulose nanocrystals (CNC)/nanocrystalline cellulose (NCC), or whiskers, and

  • bacterial nanocellulose (BNC).

Briefly, MCC is commercially produced by treating cellulose with NaOH followed by acid hydrolysis, resulting in a fine, white crystalline powder that is used, e.g. in pharmaceuticals and for food- and paper applications. MFC is prepared by disintegrating wood pulp by applying high shear forces, which results in liberation of the sub-structural fibrils [60]. The fibrils are highly entangled and form mechanically strong networks and gels. Whiskers (or CNC/NCC) are smaller crystallites that assemble into rigid rod-like cellulose particles. They can be prepared in different ways, e.g. with strong acid hydrolysis and sonification, but also with enzymatic treatments, yielding particles with a somewhat different shape. Cellulose whiskers and other nanocellulose materials have shown to result in excellent properties when used in composites [61]. This is further discussed in the “Cellulose composite” section below.

Cellulose nanomaterials used in the environmental technology were recently reviewed with focus on water filtration membranes [62]. The authors conclude that nanomaterials from cellulose show great promise for these applications, due to cellulose being an inexpensive and renewable raw material, as well as showing good strength properties.

Particles in nanoscale can also be obtained from different cellulose derivatives, mainly esters, including commercially available CAs, CA propionate, and CA butyrate, and also from some organo-soluble cellulose ethers. There are different methods to produce such particles, e.g. emulsification solvent evaporation and solvent displacement by dialysis [63]. Depending on functionalization, these particles can be used for different applications, for example in the pharmaceutical and bioanalytics field [64].

4 Cellulose shaping

4.1 Textile fibers

Today, the main part of textile made from cellulose originates from cotton, which currently accounts for over 25% of the global fiber production [65]. However, the cultivation of cotton is known for its unsustainability with extensive irrigation and heavy use of pesticides, and, thus, there is a demand for other fibers, e.g. from wood-based raw material.

Spinning of fibers from dissolved cellulose is commercially conducted by the viscose process or, alternatively, the Lyocell process. These processes have their respective problems and research and development for novel solvents and spinning techniques are, therefore, currently ongoing.

4.1.1 Viscose

The viscose process was first described by C. F. Cross, E. J. Bevan, and C. Beadle in the 1890s [66], and the name originates from the viscous cellulose solution that was used as spin dope. In this process, cellulose is converted into cellulose xanthogenate by reaction with carbon disulfide in the presence of sodium hydroxide. Thus, the formation of cellulose xanthogenate is an example of a typical cellulose derivative. Cellulose xanthogenate is subsequently dissolved in aqueous sodium hydroxide and used in a wet-spinning process, where the cellulose solution is precipitated as pure cellulose fibers in a coagulation bath consisting of acid (mainly sulfuric acid with a broad variety of other components including salts). The process is still widely used and results in high-performance fibers. However, the process has several downsides; the sulfuric reagents, the byproducts, and the heavy metals used in the regeneration baths are environmental concerns that need to be addressed. The spinning of viscose fibers is shown in Figure 4.

Figure 4: Spinning of viscose fibers through a spinneret, reprinted with permission from Ref. [2]. Copyright (2012) Elsevier.
Figure 4:

Spinning of viscose fibers through a spinneret, reprinted with permission from Ref. [2]. Copyright (2012) Elsevier.

4.1.2 Lyocell (NMMO)

The Lyocell technology with NMMO as solvent is used for commercial production of cellulose staple fibers, which offers a broad range of benefits and has gained wide acceptance for both textile and nonwoven applications [30]. However, continued research efforts are conducted due to previously mentioned challenges with the solvent, e.g. with thermal instability of NMMO and the interaction between NMMO and water, e.g. Refs. [67], [68]. There are ways to avoid the extent of these problems, e.g. with the use of stabilizers in the solutions [69].

4.1.3 Noncommercial processes

4.1.3.1 Aqueous alkali

There are several noncommercial processes that are based on cellulose dissolution in aqueous alkali, with or without prior derivatization. A process, which is analogous to the viscose process, is the carbamate process, where cellulose is reacted with urea to form cellulose carbamate [70]. Cellulose carbamate can then be processed in a similar manner as cellulose xanthate, but without the release of harmful compounds [71]. However, the process has not yet reached commercialization, most likely due to insufficient fiber properties.

Cellulose carbonate is another cellulose derivative that can be dissolved in aqueous alkali. A process has been suggested by Oh et al. [72], where cellulose is reacted with carbon dioxide in, e.g. ethyl acetate at low temperature. Subsequently, the cellulose carbonate can be dissolved in a sodium hydroxide solution where zinc oxide (ZnO) is added as an additive. Fibers can be formed by a wet-spinning process with acidic coagulation baths. However, the fibers showed in many cases skin structures and the strength was somewhat lower than reference rayon fibers [73].

Fiber spinning from cellulose solutions in NaOH without prior derivatization has also been investigated by several researchers. Early work was done by Kamide et al. [74], who dissolved pre-treated cellulose in NaOH and studied the dissolution with spectroscopy techniques. The work was followed up by fiber spinning studies, where cellulose dissolved in NaOH was wet-spun into acidic coagulation baths. However, the fiber properties were significantly weaker compared to those of commercial regenerated fibers [75]. Improved solubility of cellulose and enhanced fiber properties has been achieved when additives have been added to the NaOH solution. For instance, Chen et al. [76] have showed the effects of addition of urea, where a cotton linter pulp was dissolved and wet-spun into fibers, which reached comparable crystal orientation as rayon viscose fibers. Addition of thiourea in NaOH has also been shown to be a solvent of cellulose useful for fiber production [15]. Fibers produced from this solvent reached similar values for the mechanical properties as commercial fibers. However, the fibers were only rolled up on one roller, and so the effect of draw ratio could not be investigated [77]. The addition of ZnO into the NaOH solution has also been demonstrated to result in improved mechanical properties of regenerated fibers. Pulp has been pre-treated by various methods, such as hydrothermal treatment [78], or enzymatically [79] prior to dissolution and fiber spinning in such solvents. The fiber tenacities were only slightly lower than for commercial viscose fibers.

4.1.3.2 Ionic liquids

The use of ILs for the preparation of cellulose dope and fiber spinning has been studied by several investigators, and was recently covered in an extensive literature review [80]. In a study by Kosan et al. [81], common ILs, such as BMIMCl, 1-ethyl-3-methylimidazolium chloride (EMIMCl), and EMIMAc were compared with cellulose dissolution in NMMO. The cellulose dopes were shaped by a dry-wet spinning process. The cellulose solutions of ILs had comparably higher viscosities but could be shaped into fibers with tenacities at a significantly higher level than the values for comparable fibers spun from NMMO monohydrate (Figure 5). The same research group also investigated the possibility to use ILs for production of CA fibers [83]. Cellulose dissolved in IL was allowed to react with different molar ratios of acetic anhydride to AGU to control the DS, prior to dry-wet spinning to fibers. The fiber properties varied depending on the ratio of acetic anhydride to cellulose, where a higher ratio resulted in higher DS and lower tenacity (both in the conditioned and wet state) compared to the unmodified cellulose fiber.

Figure 5: Products (fibers, yarns, and knitted fabric) made from cellulose in EMIMAc. Reproduced with permission from Thuringian Institute of Textile and Plastics Research. For more examples, see Ref. [82].
Figure 5:

Products (fibers, yarns, and knitted fabric) made from cellulose in EMIMAc. Reproduced with permission from Thuringian Institute of Textile and Plastics Research. For more examples, see Ref. [82].

There are also interesting recent developments in the use of ILs for production of cellulose textile fibers [84]. The suggested process (called Ioncell-F) is based on the IL 1,5-diazabicyclo[4.3.0]non-5-enium acetate ([DBNH][OAc]), which is a superbase and direct solvent for cellulose. Strong fibers with tenacities consistently above 50 cN/tex have been produced by air-gap spinning from cellulose solutions with 15%–17% cellulose concentration. However, to reach commercialization of the process, more development of a recycling system of the solvent is necessary.

4.2 Nonwovens

Nonwovens are defined as sheet or web structures bonded together by entangling fibers or filaments mechanically, thermally, or chemically. They are not made by weaving or knitting and do not require converting the fibers into yarns. Nonwovens have specific characteristics, such as absorbency, liquid repellence, stretch, etc., which allow them to be used for a wide range of applications. Typical areas of application are, e.g. medical- and hygiene products, interior textiles, membranes, and air filters.

4.2.1 Electrospinning

Electrospinning is a method to produce nonwoven fiber networks with fibers of small diameters (nano- to micrometer range). For both conventional textile spinning and electrospinning, the fiber jet is subjected to various forces (tensile, rheological, gravitational, aerodynamic, etc.); the difference is how the fiber jet is initiated. In electrospinning, the fiber jet is initiated due to the interaction between the free charges carried by the spin dope and an externally applied electric field, and the tensile force is due to the difference in potential between the charged liquid and a grounded collector [85].

Several groups have studied the possibility to produce cellulose nanofibers by applying different solvents including NMMO, DMAc/LiCl, and ILs [86], [87], [88], [89]. As an example, fibers produced from cellulose dissolved in ILs were coagulated in water or ethanol and had diameters in the range of a few hundred nanometers up to some micrometers, depending on cellulose concentration. It has also been found that the electrospinnability of cellulose in IL is mainly influenced by the viscosity of the solution [90].

Different cellulose derivatives have been used for electrospinning, of which CA is the most common one. The solubility of CA makes processing by electrospinning easier as volatile solvents, such as acetone, can be used [91]. The CA nonwovens covers a wide range of potential applications, often in the biotechnology sector, e.g. for biosensors, self-cleaning textiles, and nutraceutical delivery systems [92]. By derivatization, the CA nonwovens can also be used for example as adsorbents for ion-exchange chromatography [93]. In this case, the electrospun nonwovens were compressed, regenerated to cellulose, and modified with diethylaminoethyl or carboxylate functionalizations. Further examples of cellulose derivatives used for electrospinning are HPC and HEC, e.g. Ref. [94].

Although electrospinning of polyelectrolytes from aqueous solutions is not successful in the majority of cases, water-soluble and bioactive nanofibers of amino cellulose can be prepared using blended solutions of a typical amino cellulose, 6-deoxy-6-trisaminoethyl-amino cellulose, and polyvinyl alcohol (PVA). The nanofibers show high antimicrobial activity against Staphylococcus aureus and Klebsiella pneumonia [95], see Figure 6.

Figure 6: Scanning electron microscope (SEM) images of electrospun fibers. Reproduced with permission from Ref. [95]. Copyright (2013) John Wiley & Sons.
Figure 6:

Scanning electron microscope (SEM) images of electrospun fibers. Reproduced with permission from Ref. [95]. Copyright (2013) John Wiley & Sons.

Electospinning, and other methods to form nanofibers, suffer from problems with up-scaling and cost-effectiveness, and this subject is discussed thoroughly in a general review article by Luo et al. [85]. The authors stress that interdisciplinary concepts of different nanofiber forming methods and co-operation between academic and industrial environments are needed to develop novel processing techniques in larger scale.

4.2.2 Melt blown and solution blown

An interesting technology to form nonwoven webs is melt blowing, where a molten polymer is extruded through a die. This technique is commercially important for several traditional thermoplastic polymers, such as polypropylene and polystyrene (PS). The fibers are formed by the elongation of the polymer stream, applying a high velocity airstream on leaving a spinneret. This scatters the melt, solidifies it, and breaks it up into a fibrous web. As the hot airstream containing the microfibers progresses toward a collector screen, it draws in a large amount of the surrounding air that cools and solidifies the fibers [96]. Dutton [97] has published a comprehensive summary of the history, development, and process elements of the melt blown process.

For polymers that are not thermoplastic, solution blowing is an interesting opportunity where the polymers, instead of being melted, are dissolved in an appropriate solvent (Figure 7). A solution blow spinning technique was for example developed by Medeiros et al. [98] for making nonwoven webs of micro- and nanofibers. Polymers common for electrospinning, e.g. poly(methyl methacrylate), PS, and polylactic acid (PLA) were used. A comparison between the solution blown fibers and the electrospun fibers under comparable conditions showed that the diameters from fibers were in the same range for both spinning techniques. However, the injection rate for the solution blowing was roughly one order of magnitude higher than that of electrospinning.

Figure 7: Lab-scale nozzle for the solution blown technique. Copyright photo A. Idström, Swerea IVF, reproduced with permission.
Figure 7:

Lab-scale nozzle for the solution blown technique. Copyright photo A. Idström, Swerea IVF, reproduced with permission.

For cellulose, the Lyocell technology also suits the requirements well for a direct cellulose web formation process. According to Woodings [99], the key properties of Lyocell, which make it suitable for nonwovens, are high strength, biodegradability, easy processing, absorbency, and potential to fibrillate (in wet processes). Initial lab-scale investigations at the Lenzing company (Lenzing, Austria) indicated technical viability but the work was not pursued initially due to uncertainties over cost-effectiveness (due to low cellulose concentrations in the spinning solution) [100]. However, progress in the development of the Lyocell technology made it possible to produce melt blown nonwovens also from cellulose, and the Weyerhaeuser Company (Seattle, WA, USA) patented a method where a high hemicellulose pulp was used as raw material. The transition from lab-scale to pilot scale of the process and different process parameters are described in Ebeling et al. [101]. The technique developed at Lenzing (called TencelWeb) allows the direct manufacture of cellulosic webs from NMMO solutions. A pilot-line was constructed at Lenzing in 2009 with a capacity of up to 150 kg/h cellulose web [102]. Due to the importance of filament coagulation, a highly flexible arrangement of coagulation spray bars was installed between the meltblown head and the collector. Filaments with average diameters in the range 2–20 μm could be produced, and higher temperatures of dope and air decreased the viscosity and resulted in smaller diameters. Coagulation conditions affected the web properties of the products and a whole spectrum of materials could be obtained (from paper-like to softer, textile-like fabrics).

Biax Fiberfilm Corp. (Greenville, WI, USA) has also been exploring an economic way of manufacturing cellulosic nonwovens by utilizing its patented melt blowing technologies, which features multiple rows of spinning nozzles and concentric air holes [103]. A solution of cellulose with relatively low DP (330–420) dissolved in NMMO proved to have a low enough viscosity to be able to form microfiber webs. It was also shown that having water sprays in both sides of the melt blown filament stream at proper location of the spin line was essential for making valuable products. Spraying water onto the web forming area on the collector surface helped the filaments to reduce bonding, which resulted in softer products.

Other solvents than NMMO have been recently used for producing nonwoven materials from cellulose. Fibers in the submicron range (260–1900 nm) could be produced from a solution of cellulose in DMAc/LiCl [104]. However, the cellulose concentration was only 2%, which means that a lot of solvent needs to be evaporated. Experiments with solution blowing of cellulose dissolved in AMIMCl have also been conducted [105]. The cellulose concentration was in the range 10%–12.5% and resulted in fibers with average diameters of 15–35 μm. The distribution of fiber diameters was, however, uneven, and a higher cellulose concentration resulted in thicker fibers. At cellulose concentration of 15%, blocky structures started to appear, which decrease the fiber quality.

4.3 Cellulose films

Cellulose-based materials can be processed and cast into barrier films, e.g. for food packaging. The most famous and commercially available material is cellophane, which is produced using the same chemistry as in the viscose process for textile fibers, i.e. via the cellulose xanthate [106]. The films are transparent and have excellent barrier properties, but suffer from the same environmental issues as viscose textile production, e.g. toxic sulfurous emissions. Consequently, fabrication of cellulose films from other solvents is being investigated by different research groups.

Aqueous alkali has been used as solvent in several studies. Transparent and bendable cellulose films were produced from an aqueous alkali/urea solution [107], see Figure 8. The oxygen barrier properties even exceeded those of commercial cellophane and synthetic polymer films. Pulp was grinded into cellulose nanofibers and dissolved in aqueous NaOH [108]. Films were formed by coagulation in sulfuric acid. The mechanical properties increased with increased DP of the cellulose. The tensile strengths of films from nanofibers with a DP above 540 were higher than that of ordinary cellophane, while the elongation was slightly lower.

Figure 8: Bendable and transparent cellulose film with high oxygen barrier properties. The film was regenerated from an aqueous alkali/urea solution [107].
Figure 8:

Bendable and transparent cellulose film with high oxygen barrier properties. The film was regenerated from an aqueous alkali/urea solution [107].

There are also numerous examples of cellulose films formed from cellulose dissolved in ILs. As an example, cellulose from various raw materials was formed into films after dissolution in EMIMAc [109]. The films had smooth surfaces and showed thermoplastic-like behavior, and enhanced mechanical and thermal properties were correlated with higher crystallinity- and DP-values of the cellulose. It has also been shown that cellulose dissolved in ILs can be used to form thin films on silicon wafers and quartz crystal microbalance sensors [110]. The morphology and roughness of the surface could be attuned by changing the cellulose concentration.

Various cellulose derivatives, e.g. CA, MC, and CMC, can also be used to form films. Applications are for example in the food industry, as packaging material or as edible films that are water soluble [106].

4.4 Cellulose composites

Composite materials consist of a polymer matrix and reinforcing fillers (often a fiber material), creating materials with both high strength and light weight. These properties make it possible to use composites for a broad range of applications, such as in construction- or automotive industry. Nanofibers from cellulose have both high strength and stiffness, and have at the same time low weight, as well as the advantage of being renewable. This makes them interesting as reinforcing material in composites and this has been investigated extensively [111]. For example, cellulose nanofibers were mixed with PVA (10/90), which resulted in a significant increase of the mechanical performance of the material compared to only PVA [112]. However, a difficulty with using nanocellulose in composites is the poor compatibility between the cellulose and hydrophobic matrix polymers, which, e.g. could be overcome by chemical modification of the cellulose [60]. Thermoplastic composites with Lyocell cellulose fibers and a cellulose mixed ester (CA butyrate) matrix were investigated by Seavey and Glasser [113]. However, acetylation of the surface of the cellulose fibers did not increase the strength properties of the composite.

In order to create composite materials, which are both biodegradable and renewable, several studies have been focused on fully bio-derived nanocomposites, e.g. the combination of cellulose nanowhiskers and PLA [114] or an all-cellulose composite with high stiffness made by compression molding of cellulose pulps [115]. Research in the area of cellulose nanocomposites has developed a lot during the last decade, with advancement into more sophisticated processing methods, which are discussed in detail in a recently published review [116]. An illustration of a nanocomposite material containing bacterial cellulose is shown in Figure 9.

Figure 9: An organic light-emitting diode deposited onto a transparent nanocomposite made from bacterial cellulose [117]. Reproduced with permission. Copyright Wiley-VCH Verlag GmbH & Co. KGaA.
Figure 9:

An organic light-emitting diode deposited onto a transparent nanocomposite made from bacterial cellulose [117]. Reproduced with permission. Copyright Wiley-VCH Verlag GmbH & Co. KGaA.

4.5 Other cellulosic materials

Cellulose beads are small (micro- to millimeter range) spherical particles that can be used for a variety of applications, an example is shown in Figure 10. By functionalization, these particles could be used as solid-phase support for organic synthesis, as filling materials in chromatography columns, as material for immobilization of enzymes, and as fillers in pharmaceutical applications for controlled release. The preparation, characterization, and applications of cellulose beads are covered in a recent review article by Gericke et al. [118].

Figure 10: SEM image of cellulose beads in microscale, reprinted with permission from Ref. [2]. Copyright (2012) Elsevier.
Figure 10:

SEM image of cellulose beads in microscale, reprinted with permission from Ref. [2]. Copyright (2012) Elsevier.

Highly porous materials can also be constructed from cellulose, both from solutions of cellulose in NMMO and gels of the biopolymer in aqueous NaOH [119], see Figure 11. The cellulose is regenerated and dried (by methods such as freeze-drying or supercritical carbon dioxide drying) into a three-dimensional porous shape, and could find applications such as scaffolds for tissue engineering, for packaging and in pharmaceutical- and cosmetic products. Developments have also been made to increase the strength of these materials (dry foams) by using cellulose nanofibrils as reinforcing material, e.g. Ref. [120].

Figure 11: Example of aerocellulose from NaOH-gels, reprinted with permission from Ref. [119]. Copyright (2008) American Chemical Society.
Figure 11:

Example of aerocellulose from NaOH-gels, reprinted with permission from Ref. [119]. Copyright (2008) American Chemical Society.

Cellulose and cellulose derivatives are also investigated as a resource for the so-called “smart” materials, which more accurately could be described as stimuli-responsive materials, where the external trigger could be a mechanical force, a change in temperature, a magnetic- or an electric field, change of pH value, or light. The applications of these materials are mainly in the pharmaceutical/biotechnology areas, such as hydrogels, sensors, membranes, and electronic active papers. A comprehensive review appeared recently [121].

5 Functionalization of cellulose

Various efforts have been done to chemically modify cellulose to improve the properties of the material, for example, to enhance the resistance to heat, abrasion, and mechanical strength, or to increase the water or oil repellency as well as to introduce antibacterial activity [2], [7]. Progress in the area of modification of cellulose by graft-polymerization has been reviewed recently [122]. These materials can be adjusted in many different ways including by graft density and the length of the side chains, and may be used in applications such as adsorbents, stimuli-responsive materials for drug and gene delivery, antibacterial materials, and protein adsorption resistant materials.

Interesting research has also been done in order to investigate the possibility to produce electrically conducting cellulose fibers. For example, polyelectrolyte multilayers on bleached softwood fibers could be created by sequentially treating them with poly(3,4-ethylenedioxythiophene): poly(styrene sulphonate) and poly(allyl amine) [123]. Ionic conducting thin film polyelectrolytes have also been developed with CA, lithium bis(trifluoromethanesulfonyl)imide and a deep eutectic solvent, and it showed the ability to retain ionic conductivity over an entire 30 days of storage time [124].

There has been considerable scientific interest in producing hydrophobic cellulose surfaces, which would have relevance for water repellence, friction reduction, and for self-cleaning surfaces. As an example, modification of cellulose crystalline surfaces of cellulose whiskers has, e.g. been conducted by acylation with alkyenyl succinic anhydride [125]. The results showed a high hydrophobicity and made the whiskers dispersible in solvents of low polarity. The topic of hydrophobic cellulose surfaces was discussed comprehensively by Cunha and Gandini [126]. Methods to produce such surfaces have been thoroughly described in a review by Song and Rojas [127]. In order to produce a hydrophobic cellulose surface, low surface energy and nano-roughness of the topography of the surface is necessary. The reduction of surface energy is more straightforward compared to introducing roughness, as chemicals with low surface energy (e.g. fluorine- or silicone containing polymers) can be added onto cellulose by, e.g. adsorption, vapor deposition, or grafting reactions. Various methods have been suggested for introducing roughness, either by coating the cellulose substrates (via grafting, sol-gel processes, nanoparticle, or chemical vapor deposition) or by introducing roughness by regeneration of the cellulosic material (for example by electrospinning or use of cellulose composites).

Cellulose fibers have also been modified in order to introduce antimicrobial properties, which for example could be utilized as medical textiles [128]. A variety of antimicrobial agents have been used for antimicrobial functionalization of textiles, such as silver compounds, quaternary ammonium compounds, triclosan, polyhexamethylen biguanide, N-halamine compounds, chitosan, and natural bioactive compounds. As an example, cellulose and chitosan were used to produce antibacterial nonwovens by the melt blown technique [129]. Oxidized celluloses have also been used as antimicrobial materials for a long time. A recent study reports the production of spherical particles in nanoscale of 2,3,6-tricarboxycellulose used as antimicrobial compounds [130]. Their findings show that these nanoparticles were effective against a broad range of bacteria, while still being biocompatible.

6 Concluding remarks

Cellulose is a fascinating polymer with unique structures and properties. It can serve as a renewable starting material for numerous processes:

  • Paper and board, including advanced products with special properties, e.g. in the packaging industry.

  • Micro- and nanostructured materials like MCC, nanoparticles, whiskers, and NFC.

  • For chemical modification to get advanced products under heterogeneous reactions conditions (all commercially produced derivatives, ethers and esters, are made by heterogeneous processes) and in particular by homogeneous phase reactions, i.e. to dissolve the cellulose prior to the chemical modification. Going forward, it may be expected that highly engineered cellulose derivatives will increasingly be developed and used in small-scale applications.

  • Forming fibers, films, membranes, composites, aerogels, and nonwovens. Several products are already commercially available, e.g. viscose or Lyocell fibers and cellophane films. Nevertheless, with higher demands on sustainable development, novel products from processes using other solvents and chemicals are being investigated. Materials and products with very promising properties and specialized functions have been presented in this review; however, some challenges, as for example up-scaling, cost-effectiveness, and recycling of solvents need to be developed further.

In summary, cellulose is a versatile material with great potential for both large-volume products as well as highly advanced and functional materials in a more sustainable future.

About the authors

Kerstin Jedvert

Kerstin Jedvert received her PhD in 2014 at Forest Products and Chemical Engineering, Chalmers University of Technology in Gothenburg. She is currently working as a post-doc research fellow at Friedrich Schiller University of Jena and has a permanent position as a researcher in the group of Biobased Fibers at the research institute Swerea IVF in Sweden. Her research interests are in the field of cellulose dissolution and processing, fiber spinning and material development, e.g. functionalization of biobased fibers.

Thomas Heinze

Thomas Heinze is a Professor of Organic Chemistry at Friedrich Schiller University of Jena. In 2010, he was awarded Finland Distinguished Professor at Abo Academi University, Finland. He has made outstanding contributions to the research of polysaccharides including new concepts for polysaccharide chemistry, solvents for cellulose shaping and homogeneous reactions, and structure characterization of biopolymers by advanced analytical tools. He got various awards like the Anselme Payen Award of the American Chemical Society in 2011 and the Thuringian Research Award in 2014.

Acknowledgments

KJ gratefully acknowledges the Swedish Research Council Formas for financial support.

References

[1] Klemm D, Heublein B, Fink H-P, Bohn A. Angew. Chem. Int. Ed. 2005, 44, 3358–3393.10.1002/anie.200460587Suche in Google Scholar

[2] Heinze T, Liebert T. In Polymer Science: A Comprehensive Reference, Matyjaszewski, K, Möller, M, Eds., Elsevier: Amsterdam, 2012, Vol. 10, pp. 83–152.10.1016/B978-0-444-53349-4.00255-7Suche in Google Scholar

[3] Schubert S, Schlufter K, Heinze T. In Polysaccharides in Medicinal and Pharmaceutical Applications, Popa, V, Ed., iSmithers: Shrewsbury, 2011, pp. 1–55Q.Suche in Google Scholar

[4] Hon DNS. In Polysaccharides in Medical Applications, Dumitriu S, Ed., Marcel Dekker: New York, 1996, pp. 87–105.Suche in Google Scholar

[5] Sixta H (Ed.), Handbook of Pulp, Wiley-VCH: Weinheim, 2006.10.1002/9783527619887Suche in Google Scholar

[6] Tashiro K, Kobayashi M. Polymer 1991, 32, 1516–1526.10.1016/0032-3861(91)90435-LSuche in Google Scholar

[7] Heinze T. In Cellulose Chemistry and Properties: Fibers, Nanocelluloses and Advanced Materials, Rojas, OJ, Ed., Adv. Polym. Sci., Springer, 2016, Vol. 271, pp. 1–52.10.1007/12_2015_319Suche in Google Scholar

[8] O’Sullivan AC. Cellulose 1997, 4, 173–207.10.1023/A:1018431705579Suche in Google Scholar

[9] Liebert T. In Cellulose Solvents: For Analysis, Shaping and Chemical Modification, Liebert, TF, Heinze, TJ, Edgar, KJ, Eds., American Chemical Society: Washington, DC, 2010, pp. 3–54.10.1021/bk-2010-1033.ch001Suche in Google Scholar

[10] Heinze T, Koschella A, Polímeros: Ciência e Tecnologia 2005, 15, 84–90.10.1590/S0104-14282005000200005Suche in Google Scholar

[11] Schulz L, Seger B, Burchard W. Macromol. Chem. Phys. 2000, 201, 2008–2022.10.1002/1521-3935(20001001)201:15<2008::AID-MACP2008>3.0.CO;2-HSuche in Google Scholar

[12] Olsson C, Westman G. In Cellulose – Fundamental Aspects, Van de Ven, T, Godbout, L, Eds., Intech: Rijeka, 2013, pp. 143–178.Suche in Google Scholar

[13] Yan L, Gao Z. Cellulose 2008, 15, 789–796.10.1007/s10570-008-9233-5Suche in Google Scholar

[14] Cai J, Zhang L. Macromol. Biosci. 2005, 5, 539–548.10.1002/mabi.200400222Suche in Google Scholar

[15] Zhang L, Ruan D, Gao S. J. Polym. Sci. Pol. Phys. 2002, 40, 1521–1529.10.1002/polb.10215Suche in Google Scholar

[16] Isogai A, Atalla RH. Cellulose 1998, 5, 309–319.10.1023/A:1009272632367Suche in Google Scholar

[17] Heinze T, Liebert T. Prog. Polym. Sci. 2001, 26, 1689–1762.10.1016/S0079-6700(01)00022-3Suche in Google Scholar

[18] Fischer S, Thümmler K. In Cellulose Solvents: For Analysis, Shaping and Chemical Modification, Liebert, TF, Heinze, TJ, Edgar, KJ, Eds., American Chemical Society: Washington, DC, 2010, pp. 91–101.10.1021/bk-2010-1033.ch004Suche in Google Scholar

[19] Boerstoel H, Maatman H, Westerink JB, Koenders BM. Polymer 2001, 42, 7371–7379.10.1016/S0032-3861(01)00210-5Suche in Google Scholar

[20] Northolt MG, Boerstoel H, Maatman H, Huisman R, Veurink J, Elzerman H. Polymer 2001, 42, 8249–8264.10.1016/S0032-3861(01)00211-7Suche in Google Scholar

[21] Röder T, Moosbauer J, Wöss K, Schlader S, Kraft G, Lenzing. Ber. 2013, 91, 7–12.Suche in Google Scholar

[22] Dawsey TR, McCormick CL. J. Macromol. Sci. Pol. R. 1990, 30, 405–440.10.1080/07366579008050914Suche in Google Scholar

[23] Striegel A. Carbohyd. Polym. 1997, 34, 267–274.10.1016/S0144-8617(97)00101-XSuche in Google Scholar

[24] Rosenau T, Potthast A, Hofinger A, Sixta H, Kosma P. Holzforschung 2001, 55, 661–666.10.1515/HF.2001.107Suche in Google Scholar

[25] Potthast A, Rosenau T, Buchner R, Röder T, Ebner G, Bruglachner H, Sixta H, Kosma P. Cellulose 2002, 9, 41–53.10.1023/A:1015811712657Suche in Google Scholar

[26] Heinze T, Köhler S. In Cellulose solvents: For Analysis, Shaping and Chemical Modification, Liebert, TF, Heinze, TJ, Edgar, KJ, Eds., American Chemical Society: Washington, DC, 2010, pp. 103–118.10.1021/bk-2010-1033.ch005Suche in Google Scholar

[27] Kostag M, Liebert T, El Seoud OA, Heinze T. Macromol. Rapid Commun. 2013, 34, 1580–1584.10.1002/marc.201300497Suche in Google Scholar

[28] Gericke M, Liebert T, El Seoud OA, Heinze T. Macromol. Mater. Eng. 2011, 296, 483–493.10.1002/mame.201000330Suche in Google Scholar

[29] Johnson DL, US Patent 3447956 A, June 3, 1969.Suche in Google Scholar

[30] Fink H-P, Weigel P, Purz HJ, Ganster J. Prog. Polym. Sci. 2001, 26, 1473–1524.10.1016/S0079-6700(01)00025-9Suche in Google Scholar

[31] Woodings C, Int. J. Biol. Macromol. 1995, 17, 305–309.10.1016/0141-8130(96)81836-8Suche in Google Scholar

[32] Rosenau T, Potthast A, Sixta H, Kosma P. Prog. Polym. Sci. 2001, 26, 1763–1837.10.1016/S0079-6700(01)00023-5Suche in Google Scholar

[33] Wendler F, Graneß G, Heinze T. Cellulose 2005, 12, 411–422.10.1007/s10570-005-2201-4Suche in Google Scholar

[34] Wendler F, Kolbe A, Kraft J, Einax JW, Heinze T. Macromol. Theor. Simulat. 2008, 17, 32–38.10.1002/mats.200700049Suche in Google Scholar

[35] Swatloski RP, Spear SK, Holbrey JD, Rogers RD. J. Am. Chem. Soc. 2002, 124, 4974–4975.10.1021/ja025790mSuche in Google Scholar PubMed

[36] Isik M, Sardon H, Mecerreyes D. Int. J. Mol. Sci. 2014, 15, 11922–11940.10.3390/ijms150711922Suche in Google Scholar PubMed PubMed Central

[37] Cao Y, Wu J, Zhang J, Li H, Zhang Y, He J. Chem. Eng. J. 2009, 147, 13–21.10.1016/j.cej.2008.11.011Suche in Google Scholar

[38] Pinkert A, Marsh KN, Pang S, Staiger MP. Chem. Rev. 2009, 109, 6712–6728.10.1021/cr9001947Suche in Google Scholar PubMed

[39] El Seoud OA, Koschella A, Fidale LC, Dorn S, Heinze T. Biomacromolecules, 2007, 8, 2629–2647.10.1021/bm070062iSuche in Google Scholar PubMed

[40] Gericke M, Fardim P, Heinze T. Molecules 2012, 17, 7458–7502.10.3390/molecules17067458Suche in Google Scholar PubMed PubMed Central

[41] Lv Y, Wu J, Zhang J, Niu Y, Liu C-Y, He J, Zhang J. Polymer 2012, 53, 2524–2531.10.1016/j.polymer.2012.03.037Suche in Google Scholar

[42] Wendler F, Todi L-N, Meister F. Thermochim. Acta 2012, 528, 76–84.10.1016/j.tca.2011.11.015Suche in Google Scholar

[43] Petzold-Welcke K, Michaelis N, Heinze T. Macromol. Symp., 2009, 280, 72–85.10.1002/masy.200950609Suche in Google Scholar

[44] Heinze T, Koschella A, Liebert T, Harabagiu V, Coseri S. In The European Polysaccharide Network of Excellence (EPNOE) – Research Initiatives and Results, Navard, P, Ed., Springer-Verlag: Wien, 2012, p. 283–327.10.1007/978-3-7091-0421-7_10Suche in Google Scholar

[45] Hon D N-S. In Handbook of Thermoplastics, Olabisi, O, Ed., Marcel Dekker: New York, 1997, pp. 331–347.Suche in Google Scholar

[46] Hyatt JW Jr. US Patent 50359, Oct. 10, 1865.Suche in Google Scholar

[47] Fischer S, Thümmler K, Volkert B, Hettrich K, Schmidt I, Fischer K. Macromol. Symp. 2008, 262, 89–96.10.1002/masy.200850210Suche in Google Scholar

[48] Heinze T, Liebert T, Koschella A. Esterification of Polysaccharides, Springer-Verlag: Berlin Heidelberg, 2006, 41–52.Suche in Google Scholar

[49] Gericke M, Liebert T, Heinze T. Macromol. Biosci. 2009, 9, 343–353.10.1002/mabi.200800329Suche in Google Scholar PubMed

[50] Gericke M, Liebert T, Heinze T. J. Am. Chem. Soc. 2009, 131, 13220–13221.10.1021/ja905003rSuche in Google Scholar PubMed

[51] Wu Q-X, Zhang Q-L, Lin D-Q, Yao S-J. Int. J. Pharm. 2013, 455, 124–131.10.1016/j.ijpharm.2013.07.048Suche in Google Scholar PubMed

[52] Edgar KJ. Cellulose 2007, 14, 49–64.10.1007/s10570-006-9087-7Suche in Google Scholar

[53] Shanbhag A, Barclay B, Koziara J, Shivanand P, Cellulose 2007, 14, 65–71.10.1007/s10570-006-9091-ySuche in Google Scholar

[54] Feller RL, Wilt M. Evaluation of Cellulose Ethers for Conservation, J. Paul Getty Trust: USA, 1990.Suche in Google Scholar

[55] Kamide K, Cellulose and Cellulose Derivatives – Molecular Characterization and its Applications, Elsevier B.V.: Amsterdam, 2005.Suche in Google Scholar

[56] Heinze T, Petzold-Welcke K. In Polysaccharide Building Blocks: A Sustainable Approach to the Development of Renewable Biomaterials, Habibi, Y, Lucia, LA, Eds., John Wiley & Sons, Inc.: Hoboken, NJ, USA, 2012, pp. 1–50.10.1002/9781118229484.ch1Suche in Google Scholar

[57] Shokri J, Adibkia K. In Cellulose – Medical, Pharmaceutical and Electronic Applications, Van de Ven TGM, Ed., InTech, 2013, pp. 47–66, doi: 10.5772/55178.Suche in Google Scholar

[58] Klemm D, Kramer F, Moritz S, Lindström T, Ankerfors M, Gray D, Dorris A. Angew. Chem. Int. Ed. 2011, 50, 5438–5466.10.1002/anie.201001273Suche in Google Scholar PubMed

[59] Charreau H, Foresti ML, Vazquez A. Recent Pat. Nanotechnol. 2013, 7, 56–80.10.2174/187221013804484854Suche in Google Scholar

[60] Siró I, Plackett D. Cellulose 2010, 17, 459–494.10.1007/s10570-010-9405-ySuche in Google Scholar

[61] Samir MASA, Alloin F, Dufresne A. Biomacromolecules 2005, 6, 612–626.10.1021/bm0493685Suche in Google Scholar PubMed

[62] Carpenter AW, de Lannoy C-F, Wiesner MR. Environ. Sci. Technol. 2015, 49, 5277–5287.10.1021/es506351rSuche in Google Scholar PubMed PubMed Central

[63] Hornig S, Heinze T. Biomacromolecules 2008, 9, 1487–1492.10.1021/bm8000155Suche in Google Scholar PubMed

[64] Schulze P, Gericke M, Scholz F, Wondraczek H, Miethe P, Heinze T. Macromol. Chem. Phys. 2017, 217, 1823–1833.10.1002/macp.201600160Suche in Google Scholar

[65] The Fiber Year GmbH, The Fiber Year 2016 – World Survey on Textiles & Nonwovens, issue 16, May 2016.Suche in Google Scholar

[66] Cross CF, Bevan ET, Beadle C. Berichte der Deutschen Chemischen Gesellschaft 1893, 26, 1090–1097.10.1002/cber.189302601230Suche in Google Scholar

[67] Perepelkin KE, Fibre Chem. 2007, 39, 163–172.10.1007/s10692-007-0032-9Suche in Google Scholar

[68] Biganska O, Navard P. Biomacromolecules 2005, 6, 1948–1953.10.1021/bm040079qSuche in Google Scholar PubMed

[69] Rosenau T, Potthast A, Adorjan I, Hofinger A, Sixta H, Firgo H, Kosma P, Cellulose 2002, 9, 283–291.10.1023/A:1021127423041Suche in Google Scholar

[70] Ekman K, Eklund V, Fors J, Huttunen JI, Mandell L, Selin FJ, Turunen OT. Lenzing. Ber. 1984, 57, 38–40.Suche in Google Scholar

[71] Fu F, Zhou J, Zhou X, Zhang L, Li D, Kondo T. ACS Sustainable Chem. Eng. 2014, 2, 2363–2370.10.1021/sc5003787Suche in Google Scholar

[72] Oh SY, Yoo DI, Shin Y, Lee WS, Jo SM. Fiber Polym. 2002, 3, 1–7.10.1007/BF02875361Suche in Google Scholar

[73] Oh SY, Yoo DI, Shin Y, Kim HY, Kim HC, Chung YS, Park WH, Youk JH. Fiber Polym. 2005, 6, 95–102.10.1007/BF02875598Suche in Google Scholar

[74] Kamide K, Okajima K, Matsui T, Kowsaka K. Polym. J. 1984, 16, 857–866.10.1295/polymj.16.857Suche in Google Scholar

[75] Yamashiki T, Matsui T, Kowsaka K, Saitoh M, Okajima K, Kamide K. J. Appl. Polym. Sci. 1992, 44, 691–698.10.1002/app.1992.070440416Suche in Google Scholar

[76] Chen X, Burger C, Wan F, Zhang J, Rong L, Hsiao BS, Chu B, Cai J, Zhang L. Biomacromolecules 2007, 8, 1918–1926.10.1021/bm061186iSuche in Google Scholar PubMed

[77] Ruan D, Zhang L, Zhou J, Jin H, Chen H. Macromol. Biosci. 2004, 4, 1105–1112.10.1002/mabi.200400120Suche in Google Scholar PubMed

[78] Wawro D, Stęplewski W, Bodek A. Fibres Text. East. Eur. 2009, 17, 18–22.Suche in Google Scholar

[79] Vehviläinen M, Kamppuri T, Rom M, Janicki J, Ciechańska D, Grönqvist S, Siika-Aho M, Elg Christoffersson K, Nousiainen P. Cellulose 2008, 15, 671–680.10.1007/s10570-008-9219-3Suche in Google Scholar

[80] Hummel M, Michud A, Tanttu M, Asaadi S, Ma Y, Hauru LKJ, Parviainen A, King AWT, Kilpeläinen I, Sixta H, In Cellulose Chemistry and Properties: Fibers, Nanocelluloses and Advanced Materials, Advances in Polymer Science Series, No. 271. Rojas, OJ, Ed., 2016, Springer: Berlin, Heidelberg, Germany, p. 133–168.10.1007/12_2015_307Suche in Google Scholar

[81] Kosan B, Michels C, Meister F. Cellulose 2008, 15, 59–66.10.1007/s10570-007-9160-xSuche in Google Scholar

[82] Hermanutz F, Gähr F, Uerdingen E, Meister F, Kosan B. Macromol. Symp. 2008, 262, 23–27.10.1002/masy.200850203Suche in Google Scholar

[83] Kosan B, Dorn S, Meister F, Heinze T. Macromol. Mater. Eng. 2010, 295, 676–681.10.1002/mame.201000022Suche in Google Scholar

[84] Sixta H, Michud A, Hauru L, Asaadi S, Ma Y, King AWT, Kilpeläinen I, Hummel M. Nord. Pulp Pap. Res. J. 2015, 30, 43–57.10.3183/NPPRJ-2015-30-01-p043-057Suche in Google Scholar

[85] Luo CJ, Stoyanov SD, Stride E, Pelan E, Edirisinghe M. Chem. Soc. Rev. 2012, 41, 4708–4735.10.1039/c2cs35083aSuche in Google Scholar PubMed

[86] Frey MW. Polym. Rev. 2008, 48, 378–391.10.1080/15583720802022281Suche in Google Scholar

[87] Freire MG, Teles ARR, Ferreira RAS, Carlos LD, Lopes-da-Silva J, Coutinho JAP. Green Chem. 2011, 13, 3173–3180.10.1039/c1gc15930eSuche in Google Scholar

[88] Quan S-L, Kang S-G, Chin I-J. Cellulose 2010, 17, 223–230.10.1007/s10570-009-9386-xSuche in Google Scholar

[89] Viswanathan G, Murugesan S, Pushparaj V, Nalamasu O, Ajayan PM, Linhardt RJ. Biomacromolecules 2006, 7, 415–418.10.1021/bm050837sSuche in Google Scholar PubMed PubMed Central

[90] Härdelin L, Perzon E, Hagström B, Walkenström P, Gatenholm P. J. Appl. Polym. Sci. 2013, 130, 2303–2310.10.1002/app.39449Suche in Google Scholar

[91] Ohkawa K. Molecules 2015, 20, 9139–9154.10.3390/molecules20059139Suche in Google Scholar PubMed PubMed Central

[92] Konwarh R, Karak N, Misra M. Biotechnol. Adv. 2013, 31, 421–437.10.1016/j.biotechadv.2013.01.002Suche in Google Scholar PubMed

[93] Dods SR, Hardick O, Stevens B, Bracewell DG. J. Chromatogr. A, 2015, 1376, 74–83.10.1016/j.chroma.2014.12.010Suche in Google Scholar PubMed PubMed Central

[94] Chahal S, Hussain FSJ, Kumar A, Yusoff MM, Rasad MSBA. RSC Adv. 2015, 5, 29497–29504.10.1039/C4RA17087CSuche in Google Scholar

[95] Römhild K, Wiegand C, Hipler UC, Heinze T, Macromol. Rapid Commun. 2013, 34, 1767–1771.10.1002/marc.201300588Suche in Google Scholar PubMed

[96] Nayak R, Padhye R, Kyratzis IL, Truong YB, Arnold L. Text. Res. J. 2012, 82, 129–147.10.1177/0040517511424524Suche in Google Scholar

[97] Dutton KC. JTATM 2008, 6, 1–24.Suche in Google Scholar

[98] Medeiros ES, Glenn GM, Klamczynski AP, Orts WJ, Mattoso LHC. J. Appl. Polym. Sci. 2009, 113, 2322–2330.10.1002/app.30275Suche in Google Scholar

[99] Woodings C (Ed.), Regenerated cellulose fibers, 1st Edn, The Textile Institute, CRC Press, Woodhead Publishing Lmtd: Cambridge, 2001.10.1533/9781855737587Suche in Google Scholar

[100] Hayhurst MJ. Lenzing. Ber. 2006, 86, 116–123.10.1207/s15327752jpa8601_13Suche in Google Scholar

[101] Ebeling H, Fink H-P, Luo M, Geus H-G. Lenzing. Ber. 2006, 86, 124–131.Suche in Google Scholar

[102] Einzmann M, Hayhurst M, Gallo M, Luo M, Lenzing. Ber. 2011, 89, 103–108.Suche in Google Scholar

[103] Zhao R, A Paper for Insight, Austin, Texas, Oct. 10–14, 2004, 1–13.Suche in Google Scholar

[104] Zhuang X, Yang X, Shi L, Cheng B, Guan K, Kang W, Carbohyd. Polym. 2012, 90, 982–987.10.1016/j.carbpol.2012.06.031Suche in Google Scholar PubMed

[105] Song J, Lu F, Cheng B, Hu X, Ma C. Fiber Polym. 2014, 15, 291–296.10.1007/s12221-014-0291-zSuche in Google Scholar

[106] Paunonen S. BioResources 2013, 8, 3098–3121.10.15376/biores.8.2.3098-3121Suche in Google Scholar

[107] Yang Q, Fukuzumi H, Saito T, Isogai A, Zhang L. Biomacromolecules 2011, 12, 2766–2771.10.1021/bm200766vSuche in Google Scholar PubMed

[108] Yamane C, Abe K, Satho M, Miyamoto H. Nord. Pulp Pap. Res. J. 2015, 30, 92–98.10.3183/NPPRJ-2015-30-01-p092-098Suche in Google Scholar

[109] Pang JH, Wu M, Zhang QH, Tan X, Xu F, Zhang XM, Sun RC. Carbohyd. Polym. 2015, 121, 71–78.10.1016/j.carbpol.2014.11.067Suche in Google Scholar PubMed

[110] Kragl R, Mohan T, Ribitsch V, Saake B, Puls J, Kleinschek KS. Nord. Pulp Pap. Res. J. 2015, 30, 6–13.10.3183/NPPRJ-2015-30-01-p006-013Suche in Google Scholar

[111] Kalia S, Dufresne A, Cherian BM, Kaith BS, Avérous L, Njuguna J, Nassiopoulos E. Int. J. Polym. Sci. 2011, 2011, 35.10.1155/2011/837875Suche in Google Scholar

[112] Bhatnagar A, Sain M. J. Reinf. Plast. Comp. 2005, 24, 1259–1268, doi:10.1155/2011/837875.Suche in Google Scholar

[113] Seavey KC, Glasser WG. Cellulose 2001, 8, 161–169.10.1023/A:1016751015921Suche in Google Scholar

[114] Oksman K, Mathew AP, Bondeson D, Kvien I. Compos. Sci. Technol. 2006, 66, 2776–2784.10.1016/j.compscitech.2006.03.002Suche in Google Scholar

[115] Nilsson H, Galland S, Larsson PT, Gamstedt EK, Nishino T, Berglund LA, Iversen T. Compos. Sci. Technol. 2010, 70, 1704–1712.10.1016/j.compscitech.2010.06.016Suche in Google Scholar

[116] Oksman K, Aitomäki Y, Mathew AP, Siqueira G, Zhou Q, Butylina S, Tanpichai S, Zhou X, Hooshmand S. Compos. Part A – Appl. S. 2016, 83, 2–18.10.1016/j.compositesa.2015.10.041Suche in Google Scholar

[117] Nogi M, Yano H. Adv. Mater. 2008, 20, 1849–1852.10.1002/adma.200702559Suche in Google Scholar

[118] Gericke M, Trygg J, Fardim P. Chem. Rev. 2013, 113, 4812–4836.10.1021/cr300242jSuche in Google Scholar PubMed

[119] Gavillon R, Budtova T. Biomacromolecules 2008, 9, 269–277.10.1021/bm700972kSuche in Google Scholar PubMed

[120] Cervin NT, Andersson L, Ng JBS, Olin P, Bergström L, Wågberg L. Biomacromolecules 2013, 14, 503–511.10.1021/bm301755uSuche in Google Scholar PubMed

[121] Qiu X, Hu S. Materials 2013, 6, 738–781.10.3390/ma6030738Suche in Google Scholar PubMed PubMed Central

[122] Kang H, Liu R, Huang Y. Polymer 2015, 70, A1–A16.10.1016/j.polymer.2015.05.041Suche in Google Scholar

[123] Wistrand I, Lingström R, Wågberg L. Eur. Polym. J. 2007, 43, 4075–4091.10.1016/j.eurpolymj.2007.03.053Suche in Google Scholar

[124] Ramesh S, Shanti R, Morris E. Carbohyd. Polym. 2013, 91, 14–21.10.1016/j.carbpol.2012.07.061Suche in Google Scholar PubMed

[125] Yuan H, Nishiyama Y, Wada M, Kuga S. Biomacromolecules 2006, 7, 696–700.10.1021/bm050828jSuche in Google Scholar PubMed

[126] Cunha AG, Gandini A. Cellulose 2010, 17, 875–889.10.1007/s10570-010-9434-6Suche in Google Scholar

[127] Song J, Rojas OJ. Nord. Pulp Pap. Res. J. 2013, 28, 216–238.10.3183/NPPRJ-2013-28-02-p216-238Suche in Google Scholar

[128] Ristić T, Zemljič LF, Novak M, Kunčič MK, Sonjak S, Cimerman NG, Strnad S. In Science Against Microbial Pathogens: Communicating Current Research and Technological Advances, Méndez-Vilas, A, Ed., Formatex Research Center: Badajoz, Spain, 2011, 6, 36–51.Suche in Google Scholar

[129] Bauer J, Brückner P, Schwikal K, Meister F. In Worldwide Research Efforts in the Fighting Against Microbial Pathogens: From Basic Research to Technological Developments, Mendez-Vilas A, Ed., Universal-Publishers, BrownWalker Press: Boca Raton, FL, USA, 2013, 105–109.Suche in Google Scholar

[130] Sharma PR, Kamble S, Sarkar D, Anand A, Varma AJ. Int. J. Biol. Macromol. 2016, 87, 460–465.10.1016/j.ijbiomac.2016.02.024Suche in Google Scholar PubMed

Received: 2016-7-21
Accepted: 2017-1-15
Published Online: 2017-2-25
Published in Print: 2017-11-27

©2017 Walter de Gruyter GmbH, Berlin/Boston

Heruntergeladen am 6.10.2025 von https://www.degruyterbrill.com/document/doi/10.1515/polyeng-2016-0272/html?lang=de
Button zum nach oben scrollen