Home Physical Sciences Mechanical properties of natural fibre polymer composites
Article Publicly Available

Mechanical properties of natural fibre polymer composites

  • Agnivesh Kumar Sinha

    Agnivesh Kumar Sinha obtained a Master of Technology (with distinction) in Materials Science and Engineering from National Institute of Technology, Trichy, in 2013. Subsequently, he worked as an assistant professor in Central College of Engineering and Management, Raipur. In 2014, he started his PhD at Mechanical Engineering Department, National Institute of Technology, Raipur. His area of research is natural fibre-reinforced polymer composites.

    EMAIL logo
    , Harendra K. Narang

    Harendra K. Narang has been working as an Assistant Professor at Mechanical Engineering Department, National Institute of Technology Raipur since 2013. He received his PhD in 2013 from Indian Institute of Technology, Roorkee. His research interests are arc welding (SAW, TIG and GMAW), natural fibre composites, finite element methods, statistical analysis, CNC machining, and manufacturing. He has around half a dozen of publications in esteemed international journals as well as many presentations at international and national conferences.

    and Somnath Bhattacharya

    Somnath Bhattacharya obtained his PhD from Indian Institute of Technology, Roorkee, in 2012. Finite element methods, vibration analysis, and extended finite element methods are his fields of research. From 2012 to 2013, he worked as an Assistant Professor at Mechanical Engineering Department, Graphic Era Hill University, Dehradun. Since 2013, he is as an Assistant Professor at Mechanical Engineering Department, National Institute of Technology, Raipur. He has 10 publications in international journals and more than a dozen presentations at international and national conferences to his credit.

Published/Copyright: March 23, 2017
Become an author with De Gruyter Brill

Abstract

Extensive efforts have been made in the last decade for the development of natural fibre composites. This development paved the way for engineers and researchers to come up with natural fibre composites (NFCs) that exhibit better mechanical properties. The present review is based on the mechanical properties of jute, abaca, coconut, kenaf, sisal, and bamboo fibre-reinforced composites. Before selecting any NFC for a particular application, it becomes necessary to understand its compatibility for the same, which can be decided by knowing its mechanical properties such as tensile, flexural, and impact strengths. This review paper emphasises on the factors influencing the mechanical properties of NFCs like the type of matrix and fibre, interfacial adhesion, and compatibility between matrix and fibre. Efforts are also made to unveil the research gaps from the past literatures, as a result of which it is inferred that there is very limited work published in the field of vibration incorporating potential fillers such as red mud and fly ash with NFCs.

1 Introduction

The demand for transportation is greatly increasing daily, which leads to an increase in the demand for crude oil. This increasing demand for crude oil results in an increasing price of crude oil. The factor that highly influences the demand for crude oil is the increasing number of vehicles. In the year 2011, it was reported by Key World Energy Statistics (2013) that the fuel consumption of vehicles increased to about 62.3% of the world fuel production. Therefore, it can be foreseen that days are not far when a huge shortage of crude oil is likely to be encountered for running of vehicles. Thus, a judicious solution to this problem should be sought by some technological development services to reduce the demand for crude oil by increasing the efficiency of vehicles.

The demand for crude oil can be controlled by producing efficient vehicles, not only by placing efficient engines in vehicles but also by reducing the weight of the vehicles, which will result in less consumption of fuel. In order to decrease the weight of the vehicle, the strength and safety issues of the vehicle must not be compromised. However, in general, a high strength of material comes with a higher weight. Therefore, it seems very difficult to achieve good strength with use of materials having a low weight as compared to the conventional materials. The only feasible solution to this problem is using plant-based materials, which have good potential to replace the conventional synthetic materials such as steel. Therefore, the automotive industries are drifting towards use of plant-based materials for manufacturing the bodies of vehicles.

Currently, natural fibre-reinforced composites are used for the production of passenger cars. For example, Daimler Chrysler cars are equipped with an underfloor protection using abaca fibre (natural fibre). Abaca is obtained from a plant (Musa textilis) that belongs to the banana family. These abaca fibres are generally used to make ropes and twines; however, presently, abaca is gaining importance as a good reinforcement for composite materials.

Natural fibre polymer composites are also used in many electronic devices such as mobile phones, tablets, and laptops for weight reduction without any trade-off in strength. Many wood industries are producing wood polymer particle boards from which door and window frames are made. It also finds application in construction industries for making pedestrian bridges, roofs, and beams. These are also used to insulate passenger cabins from vibration and noise due to its good insulation property. In addition, natural fibre composites (NFCs) are used in toys, safety helmets, packaging materials, etc.

Solid waste decomposition and recyclability of materials [1] are two big challenges in today’s world. The world is in search of proper, efficient methods for treating solid wastes. Thus, the use of biodegradable and lightweight NFCs could be among the best possible alternatives for the conventional, non-biodegradable, and bulky structural materials.

Natural fibre has advantages like low weight, low cost, and biodegradability. NFCs [2] are suitable for those designs that require minimum weight, finite tolerances, and simplified production and operation techniques. Plant-based natural fibres [3] and their composites are presently utilised in automotive industries; for example, coconut fibre is used in cars for back cushions and head restraints, whereby its composites are used for constructing the interiors and door panels of the automobile. Therefore, the investigation of the mechanical properties of these important NFCs is of great concern for the automotive industries, so that they can harness them to the greatest possible extent. This will invariably help in gaining knowledge about the mechanical properties of NFCs so that they can be utilised maximally for making automobiles less expensive and safe.

Growing these six natural fibres (abaca, jute, kenaf, coconut, bamboo, and sisal) can help in maintaining eco-balance. Growing jute plant helps in cleansing air because it absorbs carbon dioxide and releases oxygen. Jute bags can replace paper bags and hence can save trees. Abaca is grown as commercial crop in the Philippines, and is a huge source of income and employment for the country. Abaca is used for making carpets, tea bags, banknotes, ropes, and fishing nets. It can also be grown on the slopes of volcanoes. Similarly, sisal is used in making ropes, paper, cloth, footwear, hats, bags, and dartboards. Sisal is grown in many countries but is mainly cultivated in southern Mexico. Bamboo is one of the world’s fastest growing plants; thus, it requires less time to grow. It is used as animal food. These are of great cultural and economical importance in the South Asia region. However, unlike others, coconut and kenaf are known for their versatility, as they yield fruit and oil. Kenaf seed yields vegetable oil, which is used for the production of industrial lubricant and biofuel. Thus, all six natural fibres are of great social and economical significance when cultivated.

Hence, this review will provide an overview of the research work related to the mechanical properties of six important natural fibres (i.e. abaca, jute coconut, sial, kenaf, and bamboo fibres) for reinforcement of composites. It will manifest the dependencies of the mechanical properties of the NFCs on different parameters such as matrix materials, volume fraction of fibre, filler materials (such as red mud), surface treatments of fibres, the orientation of fibres, etc.

1.1 Natural fibre composites

Natural fibres [2] are hair-like or thread-like naturally existing substances with a high aspect ratio. On the basis of their source, natural fibres are classified into three categories: animal fibres (silk), vegetable fibres (abaca), and mineral fibres (asbestos). It is well known that natural fibres are now on the verge of replacing synthetic fibres (glass fibres, carbon fibre, etc.) in many areas of application due to their advantages like low cost, low weight, and biodegradability. One of the most important materials used in polymer-based composites are plant fibres. This is due to their biodegradability, low cost, and renewability.

Leaf and bast fibres are known to be high-performance fibres. Fibres that are extracted from the phloem or inner bark are known as bast fibres. Sometimes, these are also referred to as skin fibres. Leaf fibres are obtained from the leaves of plants, such as abaca fibre obtained from the leaves of a plant (M. textilis) from the banana family. Coconut fibres are fruit fibres. As these plants can be cultivated in abundance as per requirements, there is a surplus amount of fibres that could be utilised for the purpose of reinforcement of composites. Thus, the abundant source of natural fibre makes it the most suitable one to become an alternative for conventional structural materials.

Many researchers in the last few decades have endeavoured to bring natural fibre-reinforced composites into the limelight. In the year 2009, a study [4] was conducted on the erosion behaviour of composites reinforced with scales of freshwater fish (Labeo rohita) with epoxy as matrix. It was an unusual attempt made to utilise the scales of freshwater fish, which are considered as waste. Again, in 2012, waste grass broom fibre [5] was utilised to develop a green composite with polyester as matrix. Broom grass is also known as tiger grass, which is rather tall and grows along the bank of rivers.

There is a lot of research done on jute as reinforcement in composites. Moreover, a study [6] showed that jute composites developed by using the spray-up technique demonstrate many superior mechanical properties. In 2013, the mechanical and physical properties of bidirectional jute fibre epoxy composites [7] were investigated, which were developed using the hand lay-up technique. Recently in 2014, the compressive behaviour of NFC was studied [8] in which four compressive collapse modes were observed, i.e. micro-buckling, diamond-shaped buckling, concertina-shaped buckling, and progressive crushing.

Recently, abaca fibre also caught the attention of researchers due to its very high impact and flexural strengths compared to other natural fibres. Abaca fibre with man-made cellulose [9] was investigated in 2009, which was processed by the combined moulding technique. Hybrid composites reinforced with abaca, jute, and glass fibres with epoxy as matrix [10] were investigated for mechanical properties. It was concluded that abaca composites show higher values for impact and flexural strengths than hybrid composites.

In 2005, coconut fibre-reinforced polyethylene composite [11] was investigated for the effect of a natural waxy surface layer on interfacial bonding and strength of composite. Low-density polyethylene matrix was used as matrix. The study showed that the wavy layer results in an increase in tensile properties as well as the interfacial bonding between the fibre and the matrix of the composite.

Apart from these advantages, natural fibre also comes with drawbacks, i.e. its hydrophilic nature. Due to the presence of hydroxyl groups [3], fibres absorb moisture and become prone to damage or degradation. Generally, natural fibre contains cellulose, hemicelluloses, lignin, pectin, wax, ash, and moisture. It is necessary to know the composition because the mechanical properties of natural fibres depend on its composition [12]. Table 1 presents the average chemical composition of popular natural fibres. The mechanical properties of composites depend on the fibre, matrix, interfacial strength, fibre dispersion, and fibre orientation [18]. Table 2 shows the mechanical and physical properties of natural fibres. Precisely, the cellulose content in any natural fibre governs the mechanical properties of the fibre, as it controls the cell geometry condition, whereas the lignin content in natural fibres is responsible for water uptake into the core. However, addition of nanoclay and nanosilica carbide in natural fibre-reinforced polymer composites reduces the hydrophilicity, thus resulting in better mechanical properties [23], whereas in the present work the mechanical properties of various NFCs are discussed, which will hopefully help researchers working in pertinent domains.

Table 1:

Average chemical composition of natural fibres.

Type of fibreCelluloseHemicellulosesLigninPectinWaxAshMoistureOthersReferences
Abaca56–6425–2911–14[13]
Jute64.4120.211.80.50.5–2.110[14]
Sisal65.8120.89.91.20.310[14]
Kenaf44.420.14.6[15]
Coconut37–4324–2826–287[16]
Bamboo78.8310.15[17]
Table 2:

Mechanical and physical properties of natural fibres.

Type of fibreDiameter (μm)Density (g/cm3)Tensile strength (MPa)Young’s modulus (GPa)References
Abaca250–3001.571718.6[13]
Jute250–25001.3–1.49393–80013–26.5[2]
Sisal205–2301.41350–37012.8[19]
Kenaf83.51.2282.607.13[15 20]
Coconut396.981.2140–2253–5[11 16, 21]
Bamboo1.2–1.5500–57527–40[22]

2 Mechanical properties of NFCs

2.1 Jute fibre-reinforced composites

Jute as a natural fibre reinforcement [19] in composites became more attractive due to its high specific strength. Jute fibre [24] is used as reinforcement to improve the mechanical properties of cement mortar. The addition of jute fibre [25] increases the tensile properties of oil palm composites. Also, there is an increase in storage modulus and shift of damping factor towards the high-temperature region. The orientation of jute fibres in a composite matrix [26] plays a vital role in deciding the mechanical properties of the composites. Vacuum-assisted infiltration technique was used to fabricate three stacking sequences, (0/0/0/0), (0/+45/–45/0), and (0/90/90/0), having a volume fraction of 25% of jute. The study showed that for (0/0/0/0) and (0/45/45/0) laminates, the longitudinal tensile strength was found higher than that of in the transverse direction. In (0/90/90/0) laminates, the tensile strength in both directions was very close to each other. In spray-up fabrication of jute composites [6], the expert’s motion data can be fed to the spray-up robot to minimise errors during the fabrication of composites and to increase the mechanical properties. The addition of woven jute fabric into a polypropylene (PP) matrix [27] enhances wear resistance and decreases specific wear rate to a great extent. Compression moulding technique was used for the fabrication of the above jute-reinforced PP composites.

The mechanical properties of jute-reinforced composite also depend on the moulding temperature during the fabrication [28] of composite by the compression moulding technique. The achievement ratio of tensile strength was decreased due to the deterioration of jute fibre with increasing moulding temperature during the fabrication process of composite. Jute spun yarn/polylactide (PLA) unidirectional composite was fabricated for the purpose of study. Likewise, a work [29] dealt with jute/PLA green composite prepared by the injection moulding technique. Long fibre pellets of jute fibre were used to increase the aspect ratio; however, it led to aggregation, as seen in the optical images shown in Figure 1. The image shows no sign of aggregation seen in the case of short fibre pellets (SFPs). Therefore, SFPs were used to achieve the optimal mechanical properties of the composite during injection moulding. Compounding by a twin-screw extruder resulted in good dispersion of jute fibres, and increase in Young’s modulus and tensile strength of the jute/PLA composites.

Figure 1: X-ray computed tomography images of jute/PLA composite. The image shows a sample with 5 wt.% fibre such that the PLA matrix is not visible. The cross-section is perpendicular to the flow direction (longitudinal). (A) LFP. (B) SFP [29]. Reproduced with permission from Elsevier.
Figure 1:

X-ray computed tomography images of jute/PLA composite. The image shows a sample with 5 wt.% fibre such that the PLA matrix is not visible. The cross-section is perpendicular to the flow direction (longitudinal). (A) LFP. (B) SFP [29]. Reproduced with permission from Elsevier.

Due to the presence of hydroxyl groups, jute fibre is hydrophilic in nature. Therefore, to overcome this problem, various surface treatment methods are implemented [30] because the mechanical properties of composites are affected by the hydrophilic nature of the fibre. The moisture absorbed by jute fibre can be reduced by chemical modifications such as acetylation, mercerisation, cyanoethylation, benzoylation, acrylation, esterification, etc. However, grafting can also be a remedy to this problem. Because of hydrophilicity, natural fibres are not compatible with the hydrophobic resins, which lead to the deterioration of the mechanical properties of the composites [31]. Later, in another work [32], researchers grafted jute fabric with laccase-mediated hydrophobic dodecyl gallate (DG) to ameliorate the compatibility of hydrophilic jute fibre with hydrophobic resin. The hydrophobicity of jute fibre was determined by wetting time and contact angle. The study concluded that the surface hydrophobicity of jute fabric was enhanced due to DG grafting. Grafting also increased the breaking strength of the jute-reinforced PP composite. Low-concentration-alkali treatment of jute fibre [33] could also help in the attainment of better mechanical properties.

Bidirectional jute fibre epoxy composites prepared by the hand lay-up technique [7] showed an increase in mechanical properties such as hardness, tensile strength, and impact strength with increase in weight of jute. The flexural and interlaminar strengths first decreased up to 12 wt.% of jute and then increased with jute fibre loading up to 48 wt.%. One of the causes of increase in mechanical properties of the bidirectional jute epoxy composite is decrease in voids with an increase in jute fibre loading in composites. Jute with unsaturated polyester (UP) showed [34] tensile strength and elastic modulus in the range of 393–773 MPa and 26.5 GPa, respectively. Again, in another work [35], jute and banana fibre-reinforced epoxy hybrid composites were investigated for their mechanical properties. The study concluded that the addition of banana in jute epoxy composites enhanced the mechanical properties such as tensile, flexural, and impact strengths by 17%, 4.3%, and 35.5%, respectively. Researchers presented [36] that the addition of synthetic fibre, such as glass fibre, could be helpful in terms of durability and mechanical properties of jute/UP composites. The addition of glass fibre decreased the water uptake of the hybrid composite, which ultimately resulted in good mechanical properties. Further, another work [37] showed that the incorporation of natural fibres such as jute and sisal with glass fibre-reinforced polymer (GFRP) could also improve the properties such as tensile, flexural, and impact strengths. Improving the mechanical properties of jute fibre composites by chemical treatments is somewhat successful, although some undesirable problems are associated with this method. Problems such as chemical disposal and high cost of these treatments motivated researchers to apply plasma technology [38] to improve the mechanical properties of jute composites. Jute fibres were treated with oxygen plasma using low-frequency and radiofrequency plasma systems to increase the mechanical properties of the jute/high-density polyethylene (HDPE) composite. The results showed that the interlaminar shear strength increases with plasma power. Tensile and flexural strengths also showed similar trends.

2.2 Abaca fibre-reinforced composites

Abaca fibre possesses good tensile strength and is resistant to rotting. Its flexural and impact strengths are outstanding for any natural fibre. Its specific flexural strength value is at par with that of glass fibre. Moreover, due to its remarkably high impact strength, abaca is used on the exterior of passenger vehicles. This makes the exterior of the car resistant to stone strikes. In spite of all these advantages, abaca has not been exploited fully to explore its full potential as natural fibre reinforcement for composites. Till now, many research works are reported for abaca, but very few works are seen in the field related to composites when compared to the jute and other natural fibres. These days, abaca is gaining the attention of researchers in the field of composites due to the results obtained by researchers who worked with abaca fibre composites. The following results are motivating researchers to explore abaca more.

Researchers [9] developed PLA composites using abaca and man-made cellulose, and investigated their mechanical properties. Both abaca/PLA and man-made cellulose/PLA composites showed enhancement in mechanical properties as compared to native PLA. However, man-made cellulose proved to be better than abaca as reinforcement for PLAs. The impact strength of PLA/abaca was improved by a factor 2.4. Abaca also showed better improvement in physical bonding with matrix (PLA) than man-made cellulose due to the fibre surface roughness, as seen in Figure 2. The surface roughness of fibre causes better interlocking between matrix and fibre, which means better interfacial adhesion. Composites with good interfacial adhesion will have fewer chances of fibre pull-outs during failure.

Figure 2: SEM photographs of PLA/cellulose (500×) and PLA/abaca (100×) [9]. Reproduced with permission from Elsevier.
Figure 2:

SEM photographs of PLA/cellulose (500×) and PLA/abaca (100×) [9]. Reproduced with permission from Elsevier.

In Figure 3, the impact strengths of PLA and PP composites are compared, in which man-made cellulose performed better than abaca fibre. In Figure 4B, the tensile and flexural moduli of PLA and PP composites indicate that abaca with PLA has better values of tensile and flexural moduli than cellulose. Figure 4A shows the tensile and flexural strengths of PLA and PP composites in which cellulose was found to be better than abaca fibre. Therefore, man-made cellulose was found more suitable as reinforcement for PLA than abaca fibre.

Figure 3: A-notch Charpy impact strengths of PLA and PP composites [9]. Reproduced with permission from Elsevier.
Figure 3:

A-notch Charpy impact strengths of PLA and PP composites [9]. Reproduced with permission from Elsevier.

Figure 4: (A) Tensile and flexural strengths and (B) moduli of PLA and PP composites [9]. Reproduced with permission from Elsevier.
Figure 4:

(A) Tensile and flexural strengths and (B) moduli of PLA and PP composites [9]. Reproduced with permission from Elsevier.

Besides the poor physical bonding between matrix and lignocellulosic fibres, high water uptake is also one of the main limitations of using natural fibres, such as abaca. So as to overcome the problem of water uptake by the fibre, chemical treatment methods are preferred. Addition of filler in abaca/PP composite [39] decreases the tensile strength as the weak interfacial area between filler and matrix increases, whereas other mechanical properties such as flexural strength, impact strength, E-modulus, flexural modulus, and hardness increase on addition of abaca filler. However, the water absorption tendency decreased when treated abaca fibre was used. Moreover, obviously, the treated abaca fibre gave better results than the untreated abaca fibre.

Again, to reduce the moisture absorption of the abaca composite, researchers [40] modified the abaca fibres before the production of the abaca/PP composites. Abaca fibres were modified with natural enzymes and fungamix. Abaca-reinforced PP composites were prepared by using a high-speed mixer followed by injection moulding. Due to the modification of abaca fibres, there was a reduction in moisture absorbed by the composite. The mechanical properties such as tensile strength and flexural strength also increased in the range of 5–45% and 10–35%, respectively. Also, the modified abaca composites showed better resistance in acid and base media. When abaca was used as hybrid reinforcement with jute and glass fibres, it was observed [2] that the samples with high abaca content always enhanced the mechanical properties of the hybrid composite.

Glass fibre [41] is used to improve the properties of the composites. Glass fibre enhanced the strength of the composite. Researchers [10] also compared the mechanical properties of hybrid abaca and jute composites with composites of abaca and jute used separately as reinforcement. Jute and abaca fibres were sandwiched between the glass fibre laminates on top and bottom. The results showed that the hybrid composite performed better than abaca fibre alone in tensile and shear. The tensile strength of hybrid abaca and jute composites was found to be 7.1075 kN. The hybrid composite exhibited more percentage elongation than single fibre, which indicated that the hybrid composite withstands more strain before failure in tensile testing than single-fibre composite. However, abaca composites stood out in the first position in flexural and impact testing, with 0.0125 kN/mm2 and 16 J, respectively. From the results, it was clear that abaca fibre composite finds its application where high impact strength is needed, such as in safety helmets, engine covers, mud guards, side skirts, and underfloor protection for passenger cars.

2.3 Coconut fibre-reinforced composites

Coconut fibres [42] are considered to be one of the toughest amongst the natural fibres. Coconut fibres can be extracted in two possible ways. One is brown coconut fibre when extracted from mature coconuts, and the other one is white fibre when extracted from immature coconuts. Brown fibre is stronger than white fibre. White fibre is smoother and finer. Coconut fibres [43] are unaffected by moisture, are durable, possesses resistance against fungi, are rot resistant, are flame retardant, provide insulation against sound, and are utilised as reinforcement in low-cost concrete structures. For this purpose, mechanical properties such as splitting tensile strength, compressive strength, compressive toughness, static modulus of elasticity, modulus of rupture, and flexural toughness of the coconut fibre-reinforced concrete members were investigated. These tests were carried out for different fibre lengths like 2.5, 5, and 7.5 cm, and fibre contents like 1%, 2%, 3%, and 5%. Finally, it was concluded from the study that the flexural toughness of the fibre-reinforced concrete was more than that of the plain concrete for all lengths and compositions of coconut fibre. When natural fibres like jute, coconut, Hibiscus cannabinus, and sisal [44] were exposed to alternate wetting and drying, and continuously dipped in water, saturated lime, and NaOH for 2 months (60 days), their chemical composition was altered due to the immersion in solutions. The tensile strengths of all four fibres were deteriorated. However, coconut fibre was the one that was able to retain the highest percentage of its original tensile strength among the four.

A work [45] on coconut, sugarcane bagasse, and banana fibres separately used as reinforcement for epoxy polymer concrete reported that that the flexural toughness of coconut-reinforced polymer was the highest among the three. Treatment of coconut fibres also resulted in improvement in mechanical properties. For treatment, the coconut sheath fibre was treated [16] with 5% NaOH solution for an hour and then neutralised with 5% acetic acid solution. Finally, the treated coconut sheath fibre was dried at 110°C for 1 h. The dried sheath fibre was used as reinforcement in composite. The polymer composite with treated sheath fibre showed higher values of tensile, flexural, and impact strengths than the untreated one. The treated sheath fibre composite also had better adhesion between the reinforcement and epoxy matrix than the untreated sheath fibre composite. Table 3 shows the average values of the tensile, flexural, and impact strengths of coconut/epoxy composite samples for treated and untreated coconut sheath fibres.

Table 3:

Mechanical properties of coconut/epoxy composites [16].

CompositeTensile strength (MPa)Flexural strength (MPa)Impact strength (J/mm)
UTCSE48.3564.64.51
TCSE58.678.85.61
  1. UTCSE, untreated coconut sheath fibre/epoxy; TCSE, treated coconut sheath fibre/epoxy.

Further, hybrid coconut and kenaf fibre-reinforced epoxy composites were characterised [46] for mechanical properties. Before the preparation of hybrid composite, both coconut and kenaf fibres were treated with 5% NaOH solution for 4 h. Due to the treatment of fibre, the waxy layers and impurities present in fibres were decreased. Due to the removal of waxy layer and impurities, twisting and bundling of kenaf and coconut fibres was seen, which enhanced the tensile, flexural, and impact strengths of the composite. Kenaf and coconut fibres in a 1:1 ratio resulted in poor entanglement between coconut and kenaf fibres. Therefore, 5C/5K composite gave poor results in tensile, flexural, and impact testing than the other composites.

The mechanical properties of composites are often improved with the help of fibre treatments. However, a research work [47] surprisingly came up, which provided evidence for depreciation in fatigue life of coconut/polyester composite. The work suggested that the depreciation in fatigue life of composites was due to the treatment of coconut fibres. Fibres were modified with 1% (w/v) NaOH solution for 1 h. Figure 5 shows the scanning electron microscopy (SEM) analysis of a fractured surface of the composite showing evidence of fractured fibres and pull-out, which indicate poor binding between the coconut fibre and the polyester matrix.

Figure 5: SEM of the fractured surface of composite [47]. Reproduced with permission from Elsevier.
Figure 5:

SEM of the fractured surface of composite [47]. Reproduced with permission from Elsevier.

2.4 Kenaf fibre-reinforced composites

Kenaf fibres [48] are obtained from the bast of plant having the botanical name H. cannabinus. It consists of cellulose (56–64%), hemicellulose (21–35%), lignin (8–14%), and small amounts of ash. Kenaf fibre-reinforced epoxy composite was prepared and investigated for tensile properties. The work [49] presented the relation between the volume fraction of kenaf and the tensile strength of composites, as shown in Figure 6. This work concluded that the tensile modulus and tensile strength of unidirectional kenaf fibre-reinforced epoxy composite increased with the increase in volume fraction of kenaf fibre.

Figure 6: Tensile strength and tensile modulus versus kenaf fibre volume content in kenaf fibre-reinforced epoxy composites [49]. Reproduced with permission from Elsevier.
Figure 6:

Tensile strength and tensile modulus versus kenaf fibre volume content in kenaf fibre-reinforced epoxy composites [49]. Reproduced with permission from Elsevier.

To obtain better-performing composites, another work [50] was reported in which woven kenaf aramid hybrid laminated composite was prepared. Kenaf and Kevlar fibres were used as reinforcement for epoxy. Woven kenaf fibres were treated with 6% NaOH diluted solution. This work investigated the effect of layering sequence and chemical treatment on the mechanical properties of the woven kenaf-aramid hybrid laminated composites. The results showed that the tensile properties of hybrid composite were found higher in three-layer composites than in four-layer composites. Composites with Kevlar in the outer layer were found to have better mechanical properties than other hybrid composites. The tensile and flexural properties of treated hybrid composites were better than the untreated hybrid composites, as shown in Figures 7 and 8. The impact properties of composites are shown in Figure 9.

Figure 7: Flexural strength and modulus of kenaf-Kevlar hybrid composites, kenaf/epoxy, pure epoxy, and Kevlar/epoxy [50]. Reproduced with permission from Elsevier.
Figure 7:

Flexural strength and modulus of kenaf-Kevlar hybrid composites, kenaf/epoxy, pure epoxy, and Kevlar/epoxy [50]. Reproduced with permission from Elsevier.

Figure 8: Tensile strength and tensile modulus of kenaf-Kevlar hybrid composites, kenaf/epoxy, pure epoxy, and Kevlar/epoxy [50]. Reproduced with permission from Elsevier.
Figure 8:

Tensile strength and tensile modulus of kenaf-Kevlar hybrid composites, kenaf/epoxy, pure epoxy, and Kevlar/epoxy [50]. Reproduced with permission from Elsevier.

Figure 9: Impact energy and toughness of kenaf-Kevlar hybrid composites, kenaf/epoxy, pure epoxy and Kevlar/epoxy [50]. Reproduced with permission from Elsevier.
Figure 9:

Impact energy and toughness of kenaf-Kevlar hybrid composites, kenaf/epoxy, pure epoxy and Kevlar/epoxy [50]. Reproduced with permission from Elsevier.

Another work [15] presented the effect of alkaline treatment and sequencing on the mechanical properties of kenaf fibre-reinforced epoxy composites. Again, the kenaf fibre was treated with 6 wt.% NaOH solution at room temperature for 48 and 144 h. Alkaline treatment for 48 h resulted in the cleaning of fibre surface and removal of impurities, whereas 144 h treatment resulted in the degradation of fibres. Therefore, for further investigation of the mechanical properties, kenaf/epoxy composite-treated fibres (i.e. for 48 h) were used. The study revealed that composites reinforced with unidirectional layers showed better mechanical properties than neat resin. Various results showing the tensile and flexural strengths of composites are shown in Figure 10.

Figure 10: Effect of stacking sequence (unidirectional or random short fibre) and alkaline treatment on tensile and flexural strengths of kenaf/epoxy composites [15]. Reproduced with permission from Elsevier.
Figure 10:

Effect of stacking sequence (unidirectional or random short fibre) and alkaline treatment on tensile and flexural strengths of kenaf/epoxy composites [15]. Reproduced with permission from Elsevier.

The graph shows the tensile and flexural strengths of neat resin, untreated kenaf (UTK-MAT), treated kenaf (TK-MAT), untreated unidirectional kenaf (UTK-UD), and treated unidirectional kenaf (TK-UD) composites. The treated fibres of kenaf resulted in better properties than untreated fibre composites. Also, only unidirectional-layered fibre composites performed better than neat resin composites.

As all the natural fibres are hydrophilic in nature, water absorption tests must be conducted for NFCs to know how the prepared composites will perform in humid conditions. The mechanical properties of kenaf/fibreglass polyester hybrid composites were investigated [51] under various environmental conditions. Water absorption test was carried out for the prepared composites under three different environmental conditions, including distilled water, seawater, and rainwater (acidic) at room temperature for 4 weeks. The results showed that the hybrid composites immersed in seawater showed the most depreciation in tensile modulus among the three hybrid composites, followed by acidic rain and distilled water, as shown in Figure 11.

Figure 11: Tensile modulus (GPa) and strain to failure (mm/mm) at different environmental conditions [51]. Reproduced with permission from Elsevier.
Figure 11:

Tensile modulus (GPa) and strain to failure (mm/mm) at different environmental conditions [51]. Reproduced with permission from Elsevier.

In Figure 11, the strain to failure under three environmental conditions for hybrid composites dramatically increased after the first week due to the reduction in cellulose content, which would have made the composites more flexible. After 3 weeks, there was a steep fall in strain to failure due to excessive water absorption by hybrid composites, which ultimately resulted in weak interfacial adhesion between matrix and fibres.

2.5 Sisal fibre-reinforced composites

Sisal fibre is a leaf fibre extracted from the sisal plant and is generally used for making ropes, mats, carpets, etc. It belongs to the family Agavaceae (Agave sisalana). These plants are generally grown in tropic and subtropic regions because the suitable temperature for their growth is >25°C. These plants have sword-shaped leaves that are about 1.5 m long. Generally, a sisal plant [52] is capable of producing about 150 leaves during its complete lifetime of around 6 years. Fibres are extracted from the leaves and then dried in sunlight for 3–4 days after washing.

It is known that the mechanical properties of NFCs are a function of fibre orientation, fibre length, fibre weight percentage, etc. Therefore, a work [53] was carried out investigating the mechanical properties of banana- and sisa-reinforced epoxy composites. Composites were prepared by the hand lay-up technique. Characterisation revealed that the composites having a 90° sisal fibre orientation showed better tensile properties than banana fibre composites in both unidirectional and bidirectional orientations. The maximum tensile strength obtained at 90° orientation in sisal composite was 56.36 MPa, as seen in Figure 12. Again, sisal composite at 90° orientation showed the maximum value of flexural strength, i.e. 371.33 MPa, as shown in Figure 13. However, banana composites with bidirectional orientation showed higher values of flexural strength than sisal in bidirectional orientation. Whereas in case of impact testing, banana fibre composite excelled with both bidirectional and unidirectional orientations, as shown in Figure 14.

Figure 12: Effect of fibre orientation on tensile strength [53]. Reproduced with permission from Elsevier.
Figure 12:

Effect of fibre orientation on tensile strength [53]. Reproduced with permission from Elsevier.

Figure 13: Effect of fibre orientation on flexural strength [53]. Reproduced with permission from Elsevier.
Figure 13:

Effect of fibre orientation on flexural strength [53]. Reproduced with permission from Elsevier.

Figure 14: Effect of fibre orientation on impact strength [53]. Reproduced with permission from Elsevier.
Figure 14:

Effect of fibre orientation on impact strength [53]. Reproduced with permission from Elsevier.

A similar work [37] was reported on the mechanical properties of hybrid glass fibre-sisal-/jute-reinforced epoxy composites. In this work, mechanical properties such as tensile strength and flexural strength of the hybrid composites were evaluated. The results obtained after testing is shown in Figures 15 and 16.

Figure 15: Tensile strength of hybrid sisal composite [37]. Reproduced with the permission from Elsevier.
Figure 15:

Tensile strength of hybrid sisal composite [37]. Reproduced with the permission from Elsevier.

Figure 16: Flexural strength of hybrid sisal composite [37]. Reproduced with the permission from Elsevier.
Figure 16:

Flexural strength of hybrid sisal composite [37]. Reproduced with the permission from Elsevier.

The tensile results showed that sisal/GFRP composites performed better than jute/GFRP. Moreover, jute/GFRP composites performed better than sisal/GFRP composites in flexural tests. Figure 17A shows the SEM image of sisal/GFRP that underwent tensile tests. The failure morphology of the fractured sample showed fibre pull-out. Whereas in the flexural test, SEM images showed the separation of fibres from matrix, as shown in Figure 17B.

Figure 17: SEM images of sisal/GFRP composites that underwent (A) tensile test and (B) flexural test [37]. Reproduced with permission from Elsevier.
Figure 17:

SEM images of sisal/GFRP composites that underwent (A) tensile test and (B) flexural test [37]. Reproduced with permission from Elsevier.

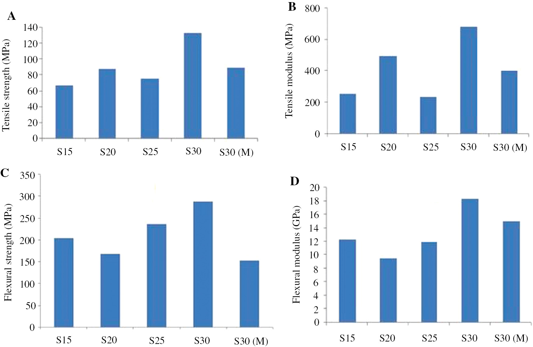
Another work [54] was reported in which sisal/epoxy composite was investigated for tensile and flexural properties. Sisal fibre orientation was either unidirectional or in the form of a mat. Again, composites were prepared by the hand lay-up technique for 15, 20, 25, and 30 wt.% of sisal fibres. Various samples were tested for tensile and flexural properties. The properties of all composite samples are shown in Figure 18.

Figure 18: Effect of fibre content on (A) tensile strength, (B) tensile modulus, (C) flexural strength, and (D) flexural modulus [54]. Reproduced with permission from Elsevier.
Figure 18:

Effect of fibre content on (A) tensile strength, (B) tensile modulus, (C) flexural strength, and (D) flexural modulus [54]. Reproduced with permission from Elsevier.

Tensile and flexural tests revealed that on increasing the fibre content, the tensile and flexural properties also increased. The maximum values of tensile and flexural strengths were 132.73 and 288.6 MPa, respectively (i.e. for 30 wt.% of fibre). Therefore, fractured samples of S30 were investigated under SEM. Figure 19 indicates the presence of voids due to fibre pull-out.

Figure 19: SEM images of fractured S30 samples under (A) tensile test and (B) flexural test [54]. Reproduced with permission from Elsevier.
Figure 19:

SEM images of fractured S30 samples under (A) tensile test and (B) flexural test [54]. Reproduced with permission from Elsevier.

2.6 Bamboo fibre-reinforced composites

Properties that urged researchers to use bamboo fibre as reinforcing material in composites are low density, high stiffness, and strength. Most of the endeavours focussed on the tensile characterisation of bamboo fibre-reinforced composites. Thus, a work [55] was reported in which bamboo fibre-reinforced polyester composite was fabricated. The effect of alkali treatment and elevated temperature on the mechanical properties of bamboo/polyester composite was studied. Treatment was done by using NaOH (4–8% by weight). The properties of composites were determined at room temperature and elevated temperatures (40°C, 80°C, and 120°C). On mechanical characterisation of composites, it was found that the treatment resulted in better mechanical properties of composites. On observing the failed composite specimens of treated and untreated bamboo fibres under the microscope, it was inferred that in untreated composites, fibre and matrix bonding was poor, which led to a lot of fibre pull-outs. Whereas in case of treated composites, failure took place due to the cracking of matrix with very few fibre breakage, which shows that treated bamboo fibre contributed to the overall tensile strength of the composite, as shown in Figure 20. Four levels of alkali treatment were considered, i.e. 0%, 4%, 6%, and 8% NaOH. It was found that 6% was the optimum level of alkali treatment that resulted in the best mechanical properties among all four levels. With 8% NaOH treatment, there was a significant decline in mechanical properties of the bamboo/polyester composites due to the delignification and degradation, which ultimately led to the damage of bamboo fibres.

Figure 20: Microscopic observation of bamboo fibres: (A) untreated and (B) treated [55]. Reproduced with the permission from Elsevier.
Figure 20:

Microscopic observation of bamboo fibres: (A) untreated and (B) treated [55]. Reproduced with the permission from Elsevier.

In another research work [56], the mechanical properties of cellulose/PLA composites with modified bamboo cellulose fibres were investigated. Bamboo fibres were treated with alkali, which helped in gaining high stiffness. Crushed cellulose fibres were immersed in KH560 solution. KH560-modified composites achieved better impact toughness and ductility. Maleic anhydride (MA) grafting also helped improve both the stiffness and ductility of composites. Improvement in the mechanical properties of composites was seen due to the improvement in bonding between matrix and fibre, which was clearly demonstrated during SEM analysis of tensile fracture surfaces of composite samples, as shown in Figure 21. In Figure 21A, the SEM images of the tensile fracture of poly-l-lactide (PLLA) reinforced with untreated bamboo cellulosic fibre (PLLA-BCF) surface was very smooth, and interfacial debonding was observed. Whereas PLLA-NBCF (PLLA-reinforced NaOH-treated bamboo cellulosic fibre), PLLA-KBCF (PLLA-reinforced KH560-treated bamboo cellulosic fibre), and MA-PLLA-BCF (maleic grafted PLLA-reinforced bamboo cellulosic fibre) composites showed an indication of well-trapped fibres, which is a sign of better interfacial bonding resulting in improvement in mechanical properties of composites.

Figure 21: SEM images of the tensile fracture surfaces of (A) PLLA-BCF, (B) PLLA-NBCF, (C) PLLA-KBCF, and (D) MA-PLLA-BCF [56]. Reproduced with permission from Elsevier.
Figure 21:

SEM images of the tensile fracture surfaces of (A) PLLA-BCF, (B) PLLA-NBCF, (C) PLLA-KBCF, and (D) MA-PLLA-BCF [56]. Reproduced with permission from Elsevier.

In a similar work [57], unidirectional bamboo fibre-reinforced epoxy and jute/epoxy composites were prepared by the vacuum technique. Mechanical characterisation of composites showed that the bamboo/epoxy composite had higher tensile and flexural strengths than jute/epoxy composites. The tensile strength of unidirectional bamboo/epoxy composites was found to be 392 MPa. The flexural strengths in longitudinal and transverse distributions of bamboo fibres were 226 and 11.89 MPa, respectively. The SEM images of tensile fracture surfaces of unidirectional composites showed good interfacial strength, as shown in Figure 22. During pull-out of fibres, traces of epoxy matrix were observed with bamboo fibres, indicating good fibre-matrix bonding. Table 4 summarises the work and shows the mechanical properties of the various composites studied.

Figure 22: SEM images of the tensile fracture surfaces of unidirectional fibre-reinforced epoxy composites using (A) bamboo and (B) jute [57]. Reproduced with permission from Elsevier.
Figure 22:

SEM images of the tensile fracture surfaces of unidirectional fibre-reinforced epoxy composites using (A) bamboo and (B) jute [57]. Reproduced with permission from Elsevier.

Table 4:

Mechanical properties of various NFCs.

Fibre typeMatrixFibre loading (wt.%)TreatmentTensile strength (MPa)Flexural strength (MPa)Impact strengthaReferences
Jute/GF bidirectional woven matEpoxy62.99[37]
Jute/glass fibrePolyester229.54[19]
Jute-sisal/glass fibrePolyester200
Oil palm-jute (4:1)Epoxy4025.3[25]
Oil palm-jute (1:1)Epoxy4028.3
Oil palm-jute (1:4)Epoxy4037.9
JuteEpoxy4045.5
Jute (longitudinally laminated)Epoxy112.69138.94[26]
Jute (transverse laminated)Epoxy11.0618.24
JutePPBenzene/ethanol (v:v, 2:1)[32]
Bidirectional juteEpoxy48110554.9 J[7]
JuteUP23[34]
Jute-banana (100/0) wt. ratioEpoxy16.6257.2213.44 J[35]
Jute-banana (75/25) wt. ratioEpoxy17.8958.615.81 J
Jute-banana (50/50) wt. ratioEpoxy18.9659.818.32 J
Jute-banana (25/75) wt. ratioEpoxy18.2559.317.89 J
Pultruded jute/glass fibre (50/50) by volumeUP266.22343.32[36]
Woven jute (at low frequency)HDPEOxygen plasma treatment (90 W)26.332.5[38]
Woven jute (at radiofrequency)HDPEOxygen plasma treatment (90 W)41.554.9
AbacaPLA741245.3 kJ/m2[9]
AbacaPP10Benzene diazonium salt305444 J/m[39]
AbacaPP25Benzene diazonium salt285552 J/m
AbacaPPFungamix (enzyme)45695.2 mJ/mm2[40]
Intralayer abaca-jute-glass fibreEpoxy42.43.064.01 J[2]
Abaca/glass fibreEpoxy44.512.516 J[10]
Abaca-jute/glass fibreEpoxy5712.112 J
Coconut sheath fibreEpoxy5% NaOH 1 h48.3564.64.51 J/mm[16]
Coconut sheath fibreEpoxy5% NaOH 1 h58.676.85.61 J/mm
Coconut spathe:kenaf bast fibre (2.5:7.5)Epoxy105% NaOH 4 h30352 J[46]
Coconut spathe:kenaf bast fibre (5:5)Epoxy105% NaOH, 4 h15251.6 J
Coconut spathe:kenaf bast fibre (7.5:2.5)Epoxy105% NaOH 4 h25282.5 J
Coconut spatheEpoxy105% NaOH 4 h20304 J
KenafEpoxy58[49]
KenafEpoxy124
KenafEpoxy164
Woven kenaf (K)-aramid (A) four-layered (A/K/A/K)Epoxy6% NaOH 3 h12364.7[50]
Random oriented kenaf matEpoxy6% NaOH 48 h31.356.4[15]
Random oriented kenaf matEpoxy6% NaOH 48 h42.581.4
Unidirectional kenafEpoxy6% NaOH 48 h95.4123.2
Unidirectional kenafEpoxy6% NaOH 48 h106.1177.6
Sisal-bananaEpoxy2562[52]
SisalEpoxy2361
Sisal unidirectional at 90°Epoxy125% NaOH 4 h56.5371.331.3 kJ/m2[53]
Sisal unidirectional at 0°,90°,0°Epoxy125% NaOH 4 h1696.381.35 kJ/m2
SisalEpoxy1566.74204.3[54]
SisalEpoxy2087.54167.3
SisalEpoxy2574.89235.3
SisalEpoxy30132.73288.6
Sisal matEpoxy3089.3152.12
BambooPolyester6% NaOH2144.2[55]
Bamboo cellulosic fibrePLA5% NaOH564.2 kJ/m2[56]
BambooEpoxy57392[57]
Unidirectional bamboo fibre (longitudinal)Epoxy57226
Unidirectional bamboo fibre (transverse)Epoxy5711.89
  1. aFor notched specimens. HDPE, high-density polyethylene; PLA, polylactide; PP, polypropylene; UP, unsaturated polyester.

3 Conclusion and future trends

Jute, abaca, coconut, kenaf, sisal, and bamboo are important and the most popular natural fibres that can be used as reinforcements in composites. After going through the mentioned literatures on jute, abaca, coconut, kenaf, sisal, and bamboo fibre-reinforced composites, it can be said that most of the works reported to date are on jute fibre-reinforced composites. There is a lot more to be explored about abaca and coconut fibres. Looking into the mechanical properties, jute fibre composites do not perform well under tensile loading. Whereas coconut fibre-reinforced composites are tough enough to be used in structural applications with concrete. Abaca fibre-reinforced composites show better flexural strength as well as impact strength; therefore, they can be used in most automobile body parts such as bumpers, battery cases, trims, door panels, dashboards, door handles, and spoilers, etc. Usually, PP composites are utilised for the above-mentioned applications; however, abaca polymer composites will provide more rigidness and impact strength. Therefore, to provide better-performing biodegradable and economical composites, enormous amount of work should be done. Jute, abaca, coconut, kenaf, sisal, and bamboo fibres with more potential fillers and matrices could provide better-performing composites. Incorporation of red mud could be helpful to enhance the tensile properties of the NFCs. However, for fabrication of strong NFCs, not only tough matrix and stiff reinforcement are needed, but one should also keep in mind that the compatibility of natural fibre with the corresponding matrix also plays an important role in deciding the strength of NFCs. The interfacial adhesion between matrix and fibre must be strong enough to hold the composite as one.

Therefore, so as to develop strong NFCs, all the limitations of NFCs such as hydrophilicity and poor interfacial adhesion must be overcome. However, another drawback is the inferior strength of lignocellulosic polymer composites when compared to synthetic fibre composites. Because of this, there are still many areas of application in which NFCs are not used. Hence, in the future, it could be expected from researchers to work for the improvement of vibration properties of NFCs so that they could be used for high-frequency application areas in structures, aeronautics, and automobiles, etc. The damping properties of NFCs under various frequencies and modes would be very useful for selecting them for various vibration-based applications. Use of appropriate fibres with suitable fillers, such as red mud, fly ash, etc., would help in changing the vibrational properties of NFCs.

About the authors

Agnivesh Kumar Sinha

Agnivesh Kumar Sinha obtained a Master of Technology (with distinction) in Materials Science and Engineering from National Institute of Technology, Trichy, in 2013. Subsequently, he worked as an assistant professor in Central College of Engineering and Management, Raipur. In 2014, he started his PhD at Mechanical Engineering Department, National Institute of Technology, Raipur. His area of research is natural fibre-reinforced polymer composites.

Harendra K. Narang

Harendra K. Narang has been working as an Assistant Professor at Mechanical Engineering Department, National Institute of Technology Raipur since 2013. He received his PhD in 2013 from Indian Institute of Technology, Roorkee. His research interests are arc welding (SAW, TIG and GMAW), natural fibre composites, finite element methods, statistical analysis, CNC machining, and manufacturing. He has around half a dozen of publications in esteemed international journals as well as many presentations at international and national conferences.

Somnath Bhattacharya

Somnath Bhattacharya obtained his PhD from Indian Institute of Technology, Roorkee, in 2012. Finite element methods, vibration analysis, and extended finite element methods are his fields of research. From 2012 to 2013, he worked as an Assistant Professor at Mechanical Engineering Department, Graphic Era Hill University, Dehradun. Since 2013, he is as an Assistant Professor at Mechanical Engineering Department, National Institute of Technology, Raipur. He has 10 publications in international journals and more than a dozen presentations at international and national conferences to his credit.

References

[1] Lau K, Hoi-Yan Cheung K, Hui D. Compos. Part B Eng. 2009, 40, 591–593.10.1016/j.compositesb.2009.04.002Search in Google Scholar

[2] Vijaya Ramnath B, Manickavasagam VM, Elanchezhian C, Vinodh Krishna C, Karthik S, Saravanan K. Mater. Des. 2014, 60, 643–652.10.1016/j.matdes.2014.03.061Search in Google Scholar

[3] Nirmal U, Hashim J, Megat Ahmad MMH. Tribol. Int. 2015, 83, 77–104.10.1016/j.triboint.2014.11.003Search in Google Scholar

[4] Satapathy A, Patnaik A, Pradhan MK. Mater. Des. 2009, 30, 2359–2371.10.1016/j.matdes.2008.10.033Search in Google Scholar

[5] Ramanaiah K, Ratna Prasad AV, Hema Chandra Reddy K. Mater. Des. 2012, 40, 103–108.10.1016/j.matdes.2012.03.034Search in Google Scholar

[6] Kikuchi T, Tani Y, Takai Y, Goto A, Hamada H. Energy Proc. 2014, 56, 289–297.10.1016/j.egypro.2014.07.160Search in Google Scholar

[7] Mishra V, Biswas S. Proc. Eng. 2013, 51, 561–566.10.1016/j.proeng.2013.01.079Search in Google Scholar

[8] Weclawski BT, Fan M, Hui D. Compos. Part B Eng. 2014, 67, 183–191.10.1016/j.compositesb.2014.07.014Search in Google Scholar

[9] Bledzki AK, Jaszkiewicz A, Scherzer D. Compos. Part A Appl. Sci. Manuf. 2009, 40, 404–412.10.1016/j.compositesa.2009.01.002Search in Google Scholar

[10] Vijaya Ramnath B, Junaid Kokan S, Niranjan Raja R, Sathyanarayanan R, Elanchezhian C, Rajendra Prasad A, Manickavasagam VM. Mater. Des. 2013, 51, 357–366.10.1016/j.matdes.2013.03.102Search in Google Scholar

[11] Brahmakumar M, Pavithran C, Pillai RM. Compos. Sci. Technol. 2005, 65, 563–569.10.1016/j.compscitech.2004.09.020Search in Google Scholar

[12] Faruk O, Bledzki AK, Fink H, Sain M. Prog. Polym. Sci. 2012, 37, 1552–1596.10.1016/j.progpolymsci.2012.04.003Search in Google Scholar

[13] Cai M, Takagi H, Nakagaito AN, Li Y, Waterhouse GIN. Compos. Part A Appl. Sci. Manuf. 2016, 90, 589–597.10.1016/j.compositesa.2016.08.025Search in Google Scholar

[14] Bledzki AK, Gassan J. Progr. Polym. Sci. 1999, 24, 221–274.10.1016/S0079-6700(98)00018-5Search in Google Scholar

[15] Fiore V, Di Bella G, Valenza A. Compos. Part B Eng. 2015, 68, 14–21.10.1016/j.compositesb.2014.08.025Search in Google Scholar

[16] Suresh Kumar SM, Duraibabu D, Subramanian K. Mater. Des. 2014, 59, 63–69.10.1016/j.matdes.2014.02.013Search in Google Scholar

[17] Zakikhani P, Zahari R, Sultan MTH, Majid DL. Mater. Des. 2014, 63, 820–828.10.1016/j.matdes.2014.06.058Search in Google Scholar

[18] Pickering KL, Efendy MGA, Le TM. Compos. A Appl. Sci. Manuf. 2016, 83, 98–112.10.1016/j.compositesa.2015.08.038Search in Google Scholar

[19] Ramesh M, Palanikumar K, Reddy KH. Compos. Part B Eng. 2013, 48, 1–9.10.1016/j.compositesb.2012.12.004Search in Google Scholar

[20] Asim M, Jawaid M, Abdan K, Ishak MR. J. Bionic Eng. 2016, 13, 426–435.10.1016/S1672-6529(16)60315-3Search in Google Scholar

[21] Justiz-Smith NG, Virgo GJ, Buchanan VE. Mater. Charact. 2008, 59, 1273–1278.10.1016/j.matchar.2007.10.011Search in Google Scholar

[22] Abdul Khalil HPS, Bhat IUH, Jawaid M, Zaidon A, Hermawan D, Hadi YS. Mater. Des. 2012, 42, 353–368.10.1016/j.matdes.2012.06.015Search in Google Scholar

[23] Nguong CW, Lee SNB, Sujan D. Int. J. Chem. Mol. Nucl. Mater. Metallurg. Eng. 2013, 7, 52–59.Search in Google Scholar

[24] Chakraborty S, Kundu SP, Roy A, Basak RK, Adhikari B, Majumder SB. Constr. Build. Mater. 2013, 38, 776–784.10.1016/j.conbuildmat.2012.09.067Search in Google Scholar

[25] Jawaid M, Abdul Khalil HPS, Hassan A, Dungani R, Hadiyane A. Compos. Part B Eng. 2013, 45, 619–624.10.1016/j.compositesb.2012.04.068Search in Google Scholar

[26] Hossain MR, Islam MA, Van Vuurea A, Verpoest I. Proc. Eng. 2013, 56, 782–788.10.1016/j.proeng.2013.03.196Search in Google Scholar

[27] Yallew TB, Kumar P, Singh I. Proc. Eng. 2014, 97, 402–411.10.1016/j.proeng.2014.12.264Search in Google Scholar

[28] Memon A, Nakai A. Energy Proc. 2013, 34, 830–838.10.1016/j.egypro.2013.06.819Search in Google Scholar

[29] Arao Y, Fujiura T, Itani S, Tanaka T. Compos. Part B Eng. 2015, 68, 200–206.10.1016/j.compositesb.2014.08.032Search in Google Scholar

[30] Arbelaiz A, Fernández B, Ramos JA, Retegi A, Llano-Ponte R, Mondragon I. Compos. Sci. Technol. 2005, 65, 1582–1592.10.1016/j.compscitech.2005.01.008Search in Google Scholar

[31] Gurunathan T, Mohanty S, Nayak SK. Compos. Part A Appl. Sci. Manuf. 2015, 77, 1–25.10.1016/j.compositesa.2015.06.007Search in Google Scholar

[32] Dong A, Yu Y, Yuan J, Wang Q, Fan X. Appl. Surf. Sci. 2014, 301, 418–427.10.1016/j.apsusc.2014.02.092Search in Google Scholar

[33] Roy A, Chakraborty S, Kundu SP, Basak RK, Basu Majumder S, Adhikari B. Bioresour. Technol. 2012, 107, 222–228.10.1016/j.biortech.2011.11.073Search in Google Scholar PubMed

[34] Hojo T, Zhilan XU, Yang Y, Hamada H. Energy Proc. 2014, 56, 72–79.10.1016/j.egypro.2014.07.133Search in Google Scholar

[35] Boopalan M, Niranjanaa M, Umapathy MJ. Compos. Part B Eng. 2013, 51, 54–57.10.1016/j.compositesb.2013.02.033Search in Google Scholar

[36] Akil HM, Santulli C, Sarasini F, Tirillo J, Valente T. Compos. Sci. Technol. 2014, 94, 62–70.10.1016/j.compscitech.2014.01.017Search in Google Scholar

[37] Ramesh M, Palanikumar K, Reddy KH. Proc. Eng. 2013, 51, 745–750.10.1016/j.proeng.2013.01.106Search in Google Scholar

[38] Sever K, Erden S, Gülec HA, Seki Y, Sarikanat M. Mater. Chem. Phys. 2011, 129, 275–280.10.1016/j.matchemphys.2011.04.001Search in Google Scholar

[39] Rahman MR, Huque MM, Islam MN, Hasan M. Compos. Part A Appl. Sci. Manuf. 2009, 40, 511–517.10.1016/j.compositesa.2009.01.013Search in Google Scholar

[40] Bledzki AK, Mamun AA, Jaszkiewicz A, Erdmann K. Compos. Sci. Technol. 2010, 70, 854–860.10.1016/j.compscitech.2010.02.003Search in Google Scholar

[41] Pavithran C, Mukherjee PS, Brahmakumar M, Damodaran AD. J. Mater. Sci. 1991, 26, 455–459.10.1007/BF00576542Search in Google Scholar

[42] Munawar SS, Umemura K, Kawai S. J. Wood Sci. 2007, 53, 108–113.10.1007/s10086-006-0836-xSearch in Google Scholar

[43] Ali M, Liu A, Sou H, Chouw N. Constr. Build. Mater. 2012, 30, 814–825.10.1016/j.conbuildmat.2011.12.068Search in Google Scholar

[44] Ramakrishna G, Sundararajan T. Cement Concrete Compos. 2005, 27, 547–553.10.1016/j.cemconcomp.2004.09.006Search in Google Scholar

[45] Reis JML. Construct. Build. Mater. 2006, 20, 673–678.10.1016/j.conbuildmat.2005.02.008Search in Google Scholar

[46] Vijayakumar S, Nilavarasan T, Usharani R, Karunamoorthy L. Proc. Mater. Sci. 2014, 5, 2330–2337.10.1016/j.mspro.2014.07.476Search in Google Scholar

[47] Mulinari DR, Baptista CARP, Souza JVC, Voorwald HJC. Proc. Eng. 2011, 10, 2074–2079.10.1016/j.proeng.2011.04.343Search in Google Scholar

[48] Akram A, Mazuki M, Akil H, Safiee S, Arifin Z, Ishak M. Compos. Part B Eng. 2011, 42, 71–76.10.1016/j.compositesb.2010.08.004Search in Google Scholar

[49] Mahjoub R, Yatim JM, Mohd Sam AR, Raftari M. Mater. Des. 2014, 64, 640–649.10.1016/j.matdes.2014.08.010Search in Google Scholar

[50] Yahaya R, Sapuan SM, Jawaid M, Leman Z, Zainudin ES. Mater. Des. 2015, 67, 173–179.10.1016/j.matdes.2014.11.024Search in Google Scholar

[51] Ghani MAA, Salleh Z, Hyie KM, Berhan MN, Taib YMD, Bakri MAI. Proc. Eng. 2012, 41, 1654–1659.10.1016/j.proeng.2012.07.364Search in Google Scholar

[52] Arthanarieswaran VP, Kumaravel A, Kathirselvam M. Mater. Des. 2014, 64, 194–202.10.1016/j.matdes.2014.07.058Search in Google Scholar

[53] Badrinath R, Senthilvelan T. Proc. Mater. Sci. 2014, 5, 2263–2272.10.1016/j.mspro.2014.07.444Search in Google Scholar

[54] Gupta MK, Srivastava RK. Proc. Mater. Sci. 2014, 5, 2434–2439.10.1016/j.mspro.2014.07.489Search in Google Scholar

[55] Manalo AC, Wani E, Zukarnain NA, Karunasena W, Lau K. Compos. Part B Eng. 2015, 80, 73–83.10.1016/j.compositesb.2015.05.033Search in Google Scholar

[56] Lu T, Liu S, Jiang M, Xu X, Wang Y, Wang Z, Gou J, Hui D, Zhou Z. Compos. Part B Eng. 2014, 62, 191–197.10.1016/j.compositesb.2014.02.030Search in Google Scholar

[57] Biswas S, Shahinur S, Hasan M, Ahsan Q. Proc. Eng. 2015, 105, 933–939.10.1016/j.proeng.2015.05.118Search in Google Scholar

Received: 2016-9-30
Accepted: 2017-2-14
Published Online: 2017-3-23
Published in Print: 2017-11-27

©2017 Walter de Gruyter GmbH, Berlin/Boston

Downloaded on 14.2.2026 from https://www.degruyterbrill.com/document/doi/10.1515/polyeng-2016-0362/html
Scroll to top button