Abstract

Carbohydrate structures are often complex. Unfortunately, synthesis of the range of sugar combinations precludes the use of a single coupling protocol or set of reagents. Adapting known, reliable bench-chemistry reactions to work via automation will help forward the goal of synthesizing a broad range of glycans. Herein, the preparation of di- and tri-saccharides of alpha 1→2 rhamnan fragments is demonstrated using thioglycoside donors with the development for a solution-phase-based automation platform of commonly used activation conditions using N-iodosuccinimide (NIS) with trimethylsilyl triflate. Byproducts of the glycosylation reaction are shown to be compatible with hydrazine-based deprotection conditions, lending broader functionality to this method as only one fluorous-solid-phase extraction step per coupling/deprotection cycle is required.
Introduction
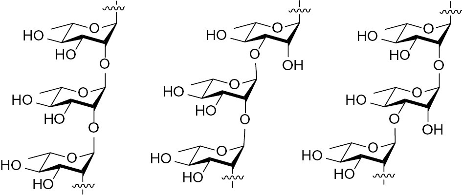
Machine-assisted syntheses of peptides and nucleic acids are well known and have been commercialized, but reliable automated methods to synthesize the range of possible carbohydrates remain elusive [1]. Automated oligosaccharide syntheses modeled after solid-phase peptide synthesis (SPPS) methods require large excesses of building blocks to drive reactions to completion [1], [2], [3], [4], [5]. These automated biopolymer syntheses rely on attachment of a growing chain to a solid polymeric or gold-based support [1], [2], [3], [6]. Once the desired structure has been achieved, it is cleaved from the support and purified from other solid-linked by-products. Alternatively, solution-phase-based automated methods, including the use of electrochemical glycosylation methods and the use of fluorous tags to facilitate intermediate purification, have been developed as well for oligosaccharide synthesis [7], [8], [9], [10], [11], [12], [13], [14]. Most recently, oligosaccharide synthesis using enzymes has also been demonstrated using automation, although access to needed glycosyltransferases still limits these processes to a handful of mammalian target glycosides [15], [16], [17]. For example, no enzymes are yet available to make the alpha-mannoside or 6-deoxymannoside (also known as rhamnoside) linkages. These types of linkages are not only common in human and plant N-glycan structures, but are also found in aquatic-based organisms and bacterial pathogen-associated oligosaccharides such as the linear 1,2- and 1,3-linked rhamnans (Figure 1) [18], [19], [20], [21], [22], [23], [24], [25], [26]. These 1,2-linked [27] and 1,3-linked [28] rhamnans have been made through solid-phase automated chemical synthesis using 9–10 equivalents of very reactive, and therefore difficult to store, mono- or disaccharide imidate donors, respectively. Thioglycosides are more stable donors, but to date only electrochemical [10], [11], [12], [13], [14], pentavalent bismuth [29] and hypervalent iodine species [9] have been adapted for use in automated solution-phase glycosylation protocols of thioglycosides. In contrast, the most common method for activation of thioglycosides in manual protocols relies on N-iodosuccinimide and a triflate derived co-promoter (NIS/TfOH or NIS/TMSOTf). Unfortunately, the most recent work with hypervalent iodine showed that direct use of manual procedures is not always possible for effective use in automated liquid handling platforms that form the basis of both solid- and solution-phase-based automated oligosaccharide synthesis [9]. In addition, the glycosylation reaction byproducts may interfere with subsequent deprotection steps and thereby require additional purification steps between reaction steps that lengthen automation protocols. Presented here is the first automated solution-phase method for glycosylation of thioglycosides using a NIS/TMSOTf activation protocol and the demonstration that byproducts formed from this glycosylation procedure can be carried directly into a buffered hydrazine-based deprotection protocol without purification of the intermediate. This automated glycosylation/deprotection method was then demonstrated in the successful synthesis of an alpha-1,2-rhamnopyranoside trimer.

Linear l-rhamnan structures with 1,2 and 1,3-linked constituents.
Experimental
The chemicals used were purchased from Carbosynth, Sigma-Aldrich, Oakwood Chemical, TCI-America, Fluorous Technologies, Inc, or Alfa Aesar and were used as received from their commercial sources unless otherwise stated. All moisture and air sensitive reactions were performed in oven-dried glassware under an argon environment. Analytical thin layer chromatography (TLC) was performed with Sorbent Technologies, Inc. silica hard layer (HL) TLC plates with unmodified silica 60 (250 μm) with 254 μm fluorescent indicator. Flash chromatography was carried out with ZEOprep 60 ECO flash silica gel (40–63 Å) purchased from ZEOCHEM or with a Teledyne ISCO Combiflash Rf 200 column chromatography unit. Fluorous solid-phase extractions (FSPE) were performed with FluoroFlash cartridges (2 g of silica gel bonded with perfluorooctylethylsilyl chains) obtained from Fluorous Technologies, Inc. The automated solution-phase synthesis was performed on a Chemspeed ASW2000 (Chemspeed Technologies AG, Augst, Switzerland) synthesis platform with a hood, 16 reactor vials (13 mL capacity for each vial), vacuum pump, and a heating/cooling unit (200°C to −20°C). 1H spectra were recorded on a Varian Inova at 500 or 600 MHz and 13C spectra were recorded at 125 MHz. Chemical shifts (δ) were reported in parts per million (ppm) relative to deuterated chloroform as an internal reference. ESI-HRMS mass spectra were obtained on a Thermo Scientific LTQ-Orbitrap XL. Analytical HPLC chromatographs were obtained from an Agilent 1200 Analytical HPLC instrument and separations of automation compounds were performed using an Agilent 1200 Preparative HPLC instrument. Ambient temperature was considered between 21 and 23°C. Additional experimental information can be found in the Supplementary material.
Propyl 2,3,4-tri-O-acetyl-1-thio-β-l-rhamnopyranoside (2)
l-rhamnose monohydrate 1 (10 g, 55 mmol) was dissolved in pyridine (200 mL) and acetic anhydride (100 mL). The reaction solution was stirred at ambient temperature overnight before being diluted with dichloromethane and quenched by pouring the solution into a beaker of ice-water (200 mL). After stirring for 30 min, the organic layer was extracted and further washed with the following: 1 N HCl (3×200 mL), satd. aq. NaHCO3 solution (3×200 mL), and brine (200 mL). The organic layer was dried with Na2SO4, filtered, and concentrated. The isolated intermediate was a colorless, transparent oil that was dissolved in acetic anhydride (8.50 mL, 90 mmol) and HBr (33 wt% in acetic acid, 62 mL, 270 mmol) at ambient temperature. The reaction was stirred for 4 h before being diluted with dichloromethane (200 mL) and quenched with satd. aq. NaHCO3 solution. The organic layer was extracted and further washed with satd. aq. NaHCO3 solution (2×200 mL) and brine (150 mL). The organic layer was dried with Na2SO4, filtered, and concentrated. The resulting oil was dissolved in anhydrous acetonitrile (75 mL) and then had thiourea (3.69 g, 48 mmol) added. The suspension was refluxed for 30 min and during this time, suspension became a transparent solution. After 30 min, the reaction solution was cooled to ambient temperature before triethylamine (16 mL, 114 mmol) and 1-bromopropane (6 mL, 66 mmol) were added. The resulting solution was stirred at ambient temperature overnight. The solution was diluted with ethyl acetate (200 mL) and deionized (DI) water (150 mL) after stirring overnight. The organic layer was further washed with DI water (2×150 mL) then was dried with Na2SO4, filtered, and concentrated. The crude oil was purified using column chromatography (~300 g silica, 1:4 ethyl acetate:hexane starting elute). The isolated compound 2 was a transparent, colorless oil (8.88 g, 25 mmol, 57%). 1H NMR (500 MHz, CDCl3) δ 5.34 (dd, J=3.2, 1.4 Hz, 1H), 5.24 (dd, J=10.0, 3.4 Hz, 1H), 5.16 (s, 1H), 5.09 (t, J=9.9 Hz, 1H), 4.28–4.20 (m, 1H), 2.68–2.50 (m, 2H), 2.15 (s, J=1.8 Hz, 3H), 2.05 (s, J=1.7 Hz, 3H), 1.98 (s, J=1.8 Hz, 3H), 1.65 (ddt, J=14.4, 9.5, 6.8 Hz, 2H), 1.23 (d, J=6.3 Hz, 3H), 0.99 (t, J=7.3 Hz, 3H). 13C NMR (126 MHz, CDCl3) δ 170.24, 170.16, 170.02, 82.58, 71.78, 71.50, 69.64, 67.12, 33.69, 23.07, 21.12, 20.96, 20.84, 17.52, 13.48. HRMS (ESI) m/z calculated for C15H24O7SNa 371.41; HRMS found 371.1138[M+Na] +.
Propyl 2,3-O-isopropyldiene-1-thio-β-l-rhamnopyranoside (3)
Compound 2 (8.88 g, 25 mmol) was dissolved in reagent grade methanol (85 mL, 0.3 M) and treated with solid sodium metal until the relative pH was greater than 10. The reaction was stirred at ambient temperature until TLC showed completion of the reaction (3 h). Once complete, the reaction was quenched with washed Dowex H+ resin and stirred for 10 min. with the resin. The reaction mixture was filtered and the filtrate concentrated. The crude oil was dissolved in reagent grade acetone (73 mL, 0.35 M) and then had 2,2-dimethoxypropane (4.08 mL, 33 mmol) and p-toluenesulfonic acid monohydrate (1.96 g, 10 mmol) added. The reaction was stirred at ambient temperature for 5 h and was quenched with triethylamine. The reaction solution was concentrated and the resulting residue was subjected to column chromatography. The isolated compound 3 was a colorless, transparent oil (5.05 g, 19 mmol, 75%). 1H NMR (600 MHz, CDCl3) δ 5.48 (s, 1H), 4.18 (d, J=5.5 Hz, 1H), 4.04 (dd, J=7.5, 5.6 Hz, 1H), 3.98 (dq, J=9.8, 6.2 Hz, 1H), 3.45 (ddd, J=9.7, 7.7, 4.1 Hz, 1H), 2.696–2.617 (m, 1H), 2.52–2.46 (m, 1H), 2.08 (s, 1H), 1.66 (ddt, J=24.5, 14.0, 7.1 Hz, 2H), 1.53 (s, 3H), 1.35 (s, 3H), 1.29 (d, 6.2HZ, 3H), 1.00 (t, J=7.3 Hz, 3H). 13C NMR (126 MHz, CDCl3) δ 109.72, 80.06, 78.48, 77.02, 75.60, 66.15, 32.62, 28.35, 26.53, 22.84, 17.37, 13.57. HRMS (ESI) m/z: C12H22O4SNa calculated for: 285.1131; HRMS Found: 285.1132 [M+Na]+.
Propyl 4-O-benzyl-1-thio-β-l-rhamnopyranoside (4)
Compound 3 (5.05 g, 19 mmol) was dissolved in anhydrous N,N-dimethylformamide (77 mL) and then was cooled to 0°C. To the cooled solution, sodium hydride (60% in mineral oil, 1.55 g, 39 mmol) was quickly poured in and the solution was stirred at 0°C for 30 min. After 30 min, benzyl bromide (4.6 mL, 39 mmol) was added and the solution was slowly warmed to ambient temperature overnight. The reaction solution was diluted with dichloromethane (60 mL) and quenched with DI water (60 mL). The extracted organic layer was further washed with DI water (2×60 mL) then dried with Na2SO4, filtered, and concentrated down. The crude oil was dissolved in acetic acid:DI water (4:1, 0.3 M) and heated to 80–85°C for 3 h. After 3 h, the reaction was cooled to ambient temperature. The solution was then diluted with dichloromethane (60 mL) and quenched with satd. aq. NaHCO3. The extracted organic layer was further washed with satd. aq. NaHCO3 solution (2×60 mL) and brine (60 mL) before being dried with Na2SO4, filtered, and concentrated down. Column chromatography provided compound 4 as an amorphous white solid (3.80 g, 12 mmol, 63%). 1H NMR (500 MHz, CDCl3) δ 7.39–7.29 (m, 5H), 5.207 (s, 1H), 4.77 (d, J=11.4 Hz, 1H), 4.72 (d, J=11.4 Hz, 1H), 4.10 (dq, J=9.3, 6.3 Hz, 1H), 4.03 (dd, J=3.3, 1.4 Hz, 1H), 3.88 (dd, J=9.1, 3.4 Hz, 1H), 3.38 (t, J=9.3 Hz, 1H), 2.68–2.48 (m, 2H), 1.65 (ddd, J=14.5, 12.7, 7.3 Hz, 2H), 1.554 (bs, 2H), 1.357 (d, J=6.3 Hz, 3H). 13C NMR (125 MHz, CDCl3) δ 138.35, 128.82, 128.21, 128.10, 84.19, 82.17, 75.13, 72.84, 72.03, 67.89, 33.34, 23.13, 18.12, 13.53. HRMS (ESI) m/z: C16H24O4SNa calculated for: 335.1288; HRMS Found: 335.1291 [M+Na]+.
Propyl 3,4-di-O-benzyl-1-thio-β-l-rhamnopyranoside (5)
Intermediate 4 (1.70 g, 5.44 mmol) was co-evaporated with toluene (25 mL×2) and then was diluted in anhydrous toluene (54.5 mL, 0.1 M). Dibutyltin oxide (1.64 g, 6.58 mmol) was poured into the reaction solution and the resulting suspension was heated at 110°C overnight. After overnight heating, the suspension had become a solution that was cooled to ambient temperature and concentrated down to a crude brown oil. The crude brown oil was dissolved in anhydrous N,N-dimethylformamide (54.4 mL) then had cesium fluoride (1.84 g, 12 mmol) and benzyl bromide (0.84 mL, 7 mmol) added. The resulting suspension was heated at 85°C for 6 h. After 6 h, the reaction solution was cooled to ambient temperature and diluted with ethyl acetate (40 mL) and DI water (40 mL). The extracted aqueous layer was further washed with ethyl acetate (2×20 mL) while the combined organic layers were washed with DI water (2×60 mL) and brine (60 mL). The organic layer was dried with Na2SO4, filtered, and concentrated down. Column chromatography was performed and gave compound 5 as a colorless, transparent oil (1.17 g, 2.9 mmol, 53%).1H NMR (500 MHz, CDCl3) δ 7.38–7.29 (m, 10H), 5.25 (s, 1H), 4.88 (d, J=10.9 Hz, 1H), 4.68 (s, 2H), 4.64 (d, J=10.9 Hz, 1H), 4.10 (s, 1H), 3.81 (dd, J=9.1, 3.3 Hz, 1H), 3.48 (t, J=9.3 Hz, 1H), 2.65–2.58 (m, 2H), 2.51 (dt, J=13.0, 7.4 Hz, 1H), 1.68–158 (m, 2H), 1.31 (d, J=6.2 Hz, 3H), 0.98 (t, J=7.3 Hz, 3H). 13C NMR (125 MHz, CDCl3) δ 138.51, 137.83, 128.73, 128.54, 128.19, 128.09, 127.88, 127.13, 83.70, 80.45, 80.41, 75.53, 72.26, 70.33, 68.03, 33.25, 23.10, 17.98, 13.53. HRMS (ESI) m/z: C23H30O4SNa calculated for: 425.1757; HRMS Found: 425.1759 [M+Na]+.
Propyl 3,4-di-O-benzyl-2-O-levolinoyl-1-thio-β-l-rhamnopyranoside (6)
Compound 5 (0.48 g, 1.18 mmol) was placed under argon and dissolved in anhydrous dichloromethane (12 mL). The solution then had the following reagents added in the listed order: levulinic acid (0.18 mL, 1.77 mmol), N-(3-dimethylaminopropyl)-N′-ethylcarbodiimide hydrochloride (0.496 g, 2.58 mmol), and 4-dimethylaminopyridine (0.09 g, 0.74 mmol). The reaction solution was stirred at ambient temperature for 3 h. After 2 h, the reaction solution was washed with DI water (3×25 mL), 1 N HCl (3×25 mL), satd. aq. NaHCO3 solution (3×25 mL), and brine (25 mL). The organic layer was extracted, dried with Na2SO4, filtered, and concentrated down. The crude material was purified by column chromatography (slow gradient of 0% acetone in toluene to 10% acetone in toluene). Compound 6 was isolated as a clear, colorless oil (0.45 g, 76%). 1H NMR (500 MHz, CDCl3) δ 7.39–7.27 (m, 10H), 5.44 (dd, J=3.2, 1.5 Hz, 1H), 5.18–5.11 (m, 1H), 4.91 (d, J=10.9 Hz, 1H), 4.64 (dd, J=22.6, 11.0 Hz, 2H), 4.50 (d, J=11.2 Hz, 1H), 4.08 (dq, J=9.7, 6.2 Hz, 1H), 3.87 (dd, J=9.3, 3.3 Hz, 1H), 3.43 (t, J=9.4 Hz, 1H), 2.80–2.66 (m, 5H), 2.65–2.49 (m, 2H), 2.17 (s, 3H), 1.62 (dtd, J=14.3, 7.2, 2.2 Hz, 2H), 1.32 (d, J=6.2 Hz, 3H), 0.97 (t, J=7.3 Hz, 3H). 13C NMR (126 MHz, CDCl3) δ 206.35, 172.12, 138.55, 137.96, 128.48, 128.25, 128.10, 127.86, 127.81, 82.75, 80.38, 78.47, 75.51, 71.76, 71.19, 68.40, 66.61, 38.17, 33.79, 29.95, 28.31, 23.15, 18.04, 13.47. HRMS (ESI) m/z: C28H36O6SNa calculated for: 523.2125; HRMS Found: 523.2124 [M+Na]+.
Propyl-2-O-acetyl-3,4-di-O-benzyl-1-thio-α/β-l-rhamnopyranoside (8)
3,4-Di-O-benzyl-1,2-O-{1-(exo-methoxy)ethylidene)-β-l-rhamnopyranoside 7 (10.23 g, 26 mmol) was dissolved in dichloromethane (30 mL) and then was cooled to 0°C. The cooled solution had propanethiol (2.5 mL, 28 mmol) added to it followed by boron trifluoride diethyl etherate (6.4 mL, 52 mmol). The cooled solution was warmed to ambient temperature and after 6 h was quenched with satd. aq. NaHCO3 solution. The reaction solution was further washed with satd. aq. NaHCO3 solution (2×100 mL), dried with Na2SO4, filtered, and concentrated down. Column chromatography (elute gradient 5% EtOAc in hexanes to 15% EtOAc in hexanes) was performed to provide 8 as a yellow oil (4.12 g, 9.3 mmol, 36%). 1H NMR (500 MHz, CDCl3) δ 1H NMR (500 MHz, Chloroform-d) δ 7.37–7.27 (m, 12H), 5.65 (d, J=3.1 Hz, 0H), 5.45 (dd, J=3.1, 1.4 Hz, 1H), 5.16 (s, 1H), 4.92 (d, J=10.9 Hz, 1H), 4.78 (d, J=11.1 Hz, 0.12H), 4.68 (d, J=11.2 Hz, 1H), 4.64–4.60 (m, 2H), 4.52 (d, J=11.3 Hz, 1H), 4.49 (s, 0.14H), 4.15–4.04 (m, 1H), 3.88 (dd, J=9.3, 3.3 Hz, 1H), 3.64 (dd, J=8.8, 3.5 Hz, 0.32H), 3.50–3.36 (m, 2H), 2.68 (td, J=7.2, 4.4 Hz, 1H), 2.65–2.49 (m, 2H), 2.21 (s, 1H), 2.16 (s, 3H), 1.70–1.56 (m, 3H), 1.38 (d, J=5.8 Hz, 1H), 1.34 (d, J=6.2 Hz, 3H), 0.99 (q, J=7.8, 7.4 Hz, 4H). 13C NMR (126 MHz, CDCl3) δ 170.61, 170.47, 138.57, 137.90, 137.78, 128.53, 128.49, 128.34, 128.26, 128.18, 128.05, 127.92, 127.81, 82.88, 82.38, 81.39, 80.43, 79.59, 78.51, 76.35, 75.63, 75.53, 71.92, 71.80, 71.03, 70.16, 68.47, 33.80, 33.68, 23.27, 23.15, 21.28, 21.06, 18.33, 18.03, 13.60, 13.47. HRMS (ESI) m/z: calculated for C25H32NaO5S: 467.1868. Mass found: 467.1889 [M+Na]+.
2-(4-((4,4,5,5,6,6,7,7,8,8,9,9,10,10,11,11,11-Heptadecafluoroundecyl)oxy)phenoxy)ethyl 3,4-di-O-benzyl-α-l-rhamnopyranoside (9)
Compound 8 (0.21 g, 0.47 mmol) and 2-(4-(4,4,5,5,6,6,7,7,8,8,9,9,10,10,11,11,11-heptadecafluoroundecoxy)phenoxy)ethanol [9] (0.22 g, 0.36 mmol) were combined and coevaporated (×3) with toluene. After coevaporation and several hours under reduced pressure, the combined reaction mixture was placed under argon, dissolved in anhydrous CH2Cl2: trifluorotoluene (1:1, 11 mL), and cooled to 0°C. N-Iodosuccinimide (0.11 g, 0.5 mmol) and trimethylsilyl trifluoromethanesulfonate stock solution (0.3 mL of a 50 μL TMSOTf/5 mL anhydrous CH2Cl2, 0.017 mmol TMSOTf) were both quickly added to the solution. The reaction was stirred for 30 min at 0°C before being quenched by the addition of aqueous sodium thiosulfate. The organic layer was extracted and further washed with DI water (2×15 mL). The extracted organic layer was then dried with Na2SO4, filtered, and concentrated. The crude product was placed in methanol (3 mL) and had sodium methoxide (25 wt% in methanol, 0.24 mL, 1.03 mmol) added. The solution was stirred for 3.5 h at ambient temperature before being filtered through Dowex H+ resin and concentrated. The crude material was purified by column chromatography (gradient elution from 25% EtOAc in hexanes to 100% EtOAc. Compound 9 was isolated as a viscous, colorless oil. (0.19 g, 0.2 mmol, 58%). 1H NMR (500 MHz, CDCl3) δ 7.367–7.278 (m, 10H), 6.868–6.787 (m, 4H), 4.906 (s, 1H), 4.877 (d, J=11.0 Hz, 1H), 4.677 (s, 2H), 4.638 (d, J=10.8 Hz, 1H), 4.080 (d, J=2.6 Hz, 1H), 4.063 (d, J=4.8 Hz, 1H), 3.976 (t, J=6.0 Hz, 2H), 3.938 (t, J=4.6 Hz, 1H), 3.855 (dd, J=9.1, 3.4 Hz, 1H), 3.800 (dt, J=10.0, 5.3 Hz, 2H), 3.457 (t, J=9.4 Hz, 1H), 2.465 (d, J=1.7 Hz, 1H), 2.299 (s, 2H), 2.171 (s, 1H), 2.106–2.022 (m, 2H), 1.306 (d, J=6.3 Hz, 3H). 13C NMR (126 MHz, CDCl3) δ 153.11, 138.55, 138.09, 128.69, 128.55, 128.11, 128.08, 127.94, 127.88, 115.90, 115.62, 99.32, 80.22, 80.07, 75.53, 72.22, 68.63, 67.82, 67.59, 67.15, 66.12, 28.14, 20.80, 18.05. HRMS (ESI) m/z: calculated for C39H37O7F17Na: 963.2160; HRMS Found: 963.2162 [M+Na]+
2-(4-((4,4,5,5,6,6,7,7,8,8,9,9,10,10,11,11,11-Heptadecafluoroundecyl)oxy)phenoxy)ethyl 3,4-di-O-benzyl-α-l-rhamnopyranosyl-(1→2)-3,4-di-O-benzyl- α-l-rhamnopyranoside (10)
This compound was formed using the automation platform protocol. Purification was achieved utilizing a Phenomenex Luna 5 μm C18(2), 100 Å, LC Column 250×21.2 mm on the Agilent 1200 Preparatory HPLC. Elute gradient: 0–30 min 93:7 ACN:H2O (with 0.1% TFA), 30–50 min 93–100:7–0 ACN:H2O, 50–62 min 100% ACN. The collected fraction was placed in CH2Cl2 and DI water. The isolated organic layer underwent a quick work-up with satd. aq. NaHCO3 solution (5 mL) and DI water (5 mL). The organic layer was concentrated and compound 10 was isolates as a clear, colorless oil (0.026 g, 0.02 mmol, 66% overall yield). 1H NMR (600 MHz, CDCl3) δ 7.42–7.25 (m, 20H), 6.87–6.78 (m, 4H), 5.084 (s, 1H), 4.88 (dd, J=15.2, 10.9 Hz, 2H), 4.83–4.81 (m, 1H), 4.72 (s, 2H), 4.63 (ddd, J=25.7, 15.1, 11.2 Hz, 4H), 4.13 (s, 1H), 4.06 (dt, J=10.7, 3.0 Hz, 3H), 3.96 (t, J=5.9 Hz, 2H), 3.94–3.80 (m, 4H), 3.79–3.70 (m, 2H), 3.47 (t, J=9.3 Hz, 1H), 3.39 (t, J=9.4 Hz, 1H), 2.42 (d, J=1.5 Hz, 1H), 2.30 (tt, J=18.4, 8.1 Hz, 2H), 2.06 (dq, J=11.8, 5.9 Hz, 2H), 1.29 (dd, J=6.2, 3.2 Hz, 6H). 13C NMR (126 MHz, CDCl3) δ 153.35, 153.10, 138.67, 138.54, 138.45, 138.14, 128.68, 128.57, 128.56, 128.51, 128.12, 128.09, 127.89, 127.83, 127.80, 115.92, 115.59, 100.85, 99.30, 80.44, 80.21, 80.00, 79.71, 75.55, 75.41, 74.60, 72.42, 72.33, 68.88, 68.15, 68.05, 67.93, 67.12, 66.00, 28.14, 20.82, 18.19, 18.07. HRMS (ESI) m/z: calculated for C59H59O11F17Na: 1289.3678; HRMS Found: 1289.3680 [M+Na]+.
2-(4-((4,4,5,5,6,6,7,7,8,8,9,9,10,10,11,11,11-Heptadecafluoroundecyl)oxy)phenoxy)ethyl 3,4-di-O-benzyl-α-l-rhamnopyranosyl-3,4-di-O-benzyl-α-l-rhamnopyranosyl (1→2)-3,4-di-O-benzyl-α-l-rhamnopyranoside (11)
This compound was formed using the automation platform protocol. Purification was achieved utilizing a Phenomenex Luna 5 μm C18(2), 100 Å, LC Column 250×21.2 mm on the Agilent 1200 Preparatory HPLC. Elute gradient: 0–30 min 95:5 ACN:H2O (with 0.1% TFA), 30–50 min 95–100:5–0 ACN:H2O, 50–70 min 100% ACN. The collected fraction was placed in CH2Cl2 and DI water then the organic layer underwent a quick work-up with satd. aq. NaHCO3 (5 mL) and DI water (5 mL). The organic layer was concentrated and compound 11 was isolated as a clear, colorless oil (0.018 g, 0.01 mmol, 36% overall yield). 1H NMR (600 MHz, CDCl3) δ 7.39–7.26 (m, J=21.7, 13.0, 6.9 Hz, 26H), 7.24 (t, J=7.7 Hz, 3H), 7.18 (t, J=7.3 Hz, 1H), 6.86–6.78 (m, 4H), 5.10 (s, 1H), 5.09 (s, 1H), 4.89–4.83 (m, 3H), 4.78 (s, 1H), 4.71 (s, 2H), 4.68 (s, 2H), 4.67–4.54 (m, 5H), 4.15–4.10 (m, 2H), 4.05–3.99 (m, 2H), 4.0 (m, 1H), 3.95 (t, J=5.9 Hz, 2H), 3.89 (dt, J=11.1, 3.8 Hz, 3H), 3.82 (ddd, J=15.9, 9.4, 4.5 Hz, 2H), 3.78–3.66 (m, 3H), 3.45 (t, J=9.3 Hz, 1H), 3.41 (t, J=9.4 Hz, 1H), 3.38–3.30 (m, 1H), 2.43 (s, 1H), 2.28 (dq, J=19.0, 9.6, 8.2 Hz, 2H), 2.05 (dq, J=13.0, 5.9 Hz, 2H), 1.31–1.26 (m, 6H), 1.12 (d, J=6.2 Hz, 3H).13C NMR (126 MHz, CDCl3) δ 153.35, 153.09, 138.64, 138.46, 128.67, 128.58, 128.54, 128.52, 128.50, 128.17, 128.14, 128.07, 127.99, 127.90, 127.85, 127.73, 115.93, 115.59, 100.64, 99.27, 80.27, 79.82, 75.56, 75.42, 72.51, 72.33, 72.21, 68.92, 68.08, 67.93, 67.12, 29.86, 18.25, 18.17, 18.01. HRMS (ESI) m/z: C79H81O15F17Na calculated for: 1615.5196; HRMS Found: 1615.5190 [M+Na]+.
Materials
Automation platform and solution preparation
Sample preparation
All solutions were placed in either an oven-dried 8 mL E–Z extraction (conically-bottomed) or flat-bottom vial and capped with a septum cap. All anhydrous solutions were prepared under argon and capped with a septum cap. Each solution vial or bottle was placed in the positions noted in Figure 2. Acceptor 9 (0.036–0.038 g, 0.038–0.040 mmol) was dissolved in 2 mL anhydrous DCE. The donor 6 (0.038–0.055 g, 0.08–0.11 mmol) was dissolved in 2 mL anhydrous DCE. The NIS promoter (0.045 g, 0.2 mmol) was dissolved in 2 mL 10:1 anhydrous DCE:anhydrous THF solution while the co-promoter TMSOTf (50 μL, 0.18 μmol) was diluted in 5 mL anhydrous DCE. An AcOH (acetic acid) solution was created by diluting 280 μL (4.89 mmol) AcOH in anhydrous DCE (3 mL). The hydrazine hydrate (NH2NH2·H2O, 150 μL, 3.09 mmol) was diluted in anhydrous methanol (3 mL). The other reagents prepared neat were NEt3 (8 mL), DMF (8 mL), and anhydrous DCE (8 mL). The FSPE fluorophobic solution (100 mL) was a 4:1 MeOH:DI H2O solution.

General vial organization for automated solution-phase rhamnan synthesis on ASW2000: (1) Acceptor 9; (2) NIS; (3) TMSOTF; (4) TMSOTF; (5) NIS; (6) DMF; (7) Donor 6 (Glycosylation 1); (8) NEt3; (9) Donor 6; (10) NH2NH2·H2O; (11) Acetic acid; (12) DCE; (13) FSPE column; (14) Fluorophobic wash (MeOH:DI H2O 4:1); (15) Acetone reservoir; and (16) Toluene reservoir.
Glycosylation method
The needle transferred the acceptor and donor solutions (1.67 mL, 32 μmol acceptor and 1.68–1.74 mL, 64–97 μmol donor) to a reactor vessel in the reaction block (Table 1). Once transferred, the solutions were concentrated down using a standard programmed evaporation cycle and then co-evaporated with toluene. The reaction vessel was cooled to the desired glycosylation temperature. To the cooled solution, the promoter (0.62–0.93 mL NIS solution, 64–97 μmol) and co-promoter (57–58 μL TMSOTf solution, 3–4 μmol) were added. The glycosylation was vortexed (600 rpm) for 1.5 h at the desired glycosylation temperature before the reaction was quenched with triethylamine (50–75 μL). After the quench, a TLC sample (10 μL) was collected for reaction monitoring. Finally, the reaction solution was concentrated down using the standard programmed evaporation cycle.
Automation platform programming.
| Step | Task | Reagent/Conditions | Approximate operation time |
|---|---|---|---|
| 1 | Line priming | 10 mL Acetone and toluene to waste | 5 min |
| 2 | Transfer 6 and 9 to reactor | Acceptor 9 (32 μmol, 1.0 equiv.) in 1.67 mL DCE and Donor 6 (64 μmol, 2.0 equiv.) in 1.68 mL DCE | – |
| 3 | Evaporation | 50°C | 40 min |
| 4 | Toluene, co-evaporation | 6 cycles, 3×1.0 mL toluene, 50°C | 2 h |
| 5 | Glycosylation | NIS (64 μmol, 2 equiv.) in 0.62 mL 10:1 DCE:THF and TMSOTf (3 μmol, 0.1 equiv.) in 57 μL, 0°C | 1.5 h |
| 6 | Quench | NEt3 (50 μL) | 10 min |
| 7 | Evaporation | 50°C | 40 min |
| 8 | Levulinic deprotection | NH2NH2·H2O (159 μmol, 5.00 equiv.) in 0.162 mL and AcOH (239 μmol, 7.5 equiv.) in 0.160 mL | 1.5 h |
| 9 | Evaporation | 50°C | 40 min |
| 10 | FSPE | Loading: DMF (0.6 mL), fluorophobic-MeOH:H2O (4:1, 7 mL), fluorophilic-acetone (7 mL) | 1 h |
| Collection of disaccharide | Fluorophilic waste collected from platform for this compound | Total time: 9 h | |
| To obtain trisaccharide, the following steps were performed | |||
| 11 | Transfer/Evaporation | 2×4.5 mL collected fluorophilic disaccharide waste transferred to reactor, toluene, 50°C | 40 min |
| 12 | Transfer 6 to reactor | Donor 6 (97 μmol, 3.0 equiv.) in 1.74 mL DCE | – |
| 13 | Evaporation | 50°C | 40 min |
| 14 | Toluene co-evaporation | 6 cycles, 3×1.0 mL toluene, 50°C | 2 h |
| 15 | Glycosylation | NIS (97 μmol, 3.0 equiv.) in 0.93 mL 10:1 DCE:THF and TMSOTf (3 μmol, 0.1 equiv.) in 58 μL, 0°C | 1.5 h |
| 16 | Quench | NEt3 (75 μL) | 10 min |
| 17 | Evaporation | 50°C | 40 min |
| 18 | Levulinic ester deprotection | NH2NH2·H2O (162 μmol, 5.00 equiv.) in 0.164 mL and AcOH (242 μmol, 7.5 equiv.) in 0.162 mL | 1.5 h |
| 19 | Evaporation | 50°C | 40 min |
| 20 | FSPE | Loading: DMF (0.6 mL), fluorophobic-MeOH:H2O (4:1, 7 mL), fluorophilic- acetone (7 mL) | 1 h |
| Collection of trisaccharide | Fluorophilic waste collected from platform for this compound | Total time: 19 h | |
Levulinic ester deprotection
The concentrated glycosylation material was dissolved in the AcOH solution (0.160–0.162 mL, 239–242 μmol) and was heated to 25°C (Table 1). The solution was vortexed (1200 rpm) for 1 min, vortexed (600 rpm) for 2 min and then had NH2NH2·H2O solution (0.162–0.164 mL, 159–162 μmol) injected. The reaction solution was vortexed (600 rpm) at 25°C. After 1.5 h, the reaction solution was quenched with acetone (100 μL). After the quench, a TLC sample (10 μL) was collected for reaction monitoring and the solution was concentrated down using the standard programmed evaporation cycle.
FSPE
The concentrated reaction material was dissolved in DMF (0.3 mL) and vortexed (600 rpm) for 5 min before being transferred to the FSPE column cartridge (Table 1). Another identical loading cycle with DMF was performed to ensure that all the reaction material was removed from the reaction vessel. The fluorophobic solution (4:1 MeOH:DI H2O, 7 mL) was delivered to the FSPE column for elution and a programmed amount of air aided in eluting material off the column. Once the fluorophobic elution was complete and the fluorophobic material eluted to the waste, the fluorophilic wash (100 % acetone, 7 mL) was delivered to the FSPE column for elution while a programmed amount of air and a 3 min wait time aided in eluting material off the column. The eluted material either was left in the collection vial beneath the FSPE column to be collected as the final product or the collected material would be transferred back into the reaction vessel for further reactions. The collect material returning to the reaction vessel would have half of the eluted material transferred to the reaction vessel and be concentrated down using the standard programmed evaporation cycle. After the evaporation cycle, the remaining eluted material and an acetone wash of the collection vial were transferred to the reaction vessel and concentrated down using the standard programmed evaporation cycle.
Results and discussion
Building block syntheses
To develop a solution-phase-based automation protocol for thioglycoside donor activation using NIS, the requisite monosaccharide building blocks was needed. To this end, thioglycoside donor 6 monosaccharide was synthesized by analogy to established methods. A key transformation is the use of dibutyltin oxide for selective benzyl protection [30] to allow the final donor to be formed in only nine steps from commercially available l-rhamnose (Scheme 1). This pathway can also be used to create a 3-OH-linked option with a complementary protecting group (e.g. Nap or PMB) from intermediate 4 for syntheses of other rhamnan linkages. The levulinic ester (Lev) protecting group was chosen to protect the 2-position of the donor to aid in anchimeric assistance and for its ability to be easily, selectively removed on the automated platform [9]. Initially, fluorenylmethoxy carbonyl (Fmoc) was chosen instead of Lev for this position. However, an Fmoc side product was found to be inseparable from the final donor, thereby leading to the choice of Lev. Synthesis of acceptor 9 started with opening of the known orthoester l-rhamnose [31] with trifluoroboron diethyletherate and propane thiol (Scheme 2). Intermediate 8 was transformed to the desired acceptor 9 in 62% yield over two steps. The known fluorous tag [9], [32] was chosen to leave open the possibility of incorporation of the rhamnan compound into a microarray for further biological study [33], [34], [35].

Donor building block synthesis.

Acceptor synthesis.
Once donor 6 and acceptor 9 were synthesized, the automation platform was programmed to carry out the desired glycosylation/deprotection cycles. Our goal was to directly utilize a commonly used promoter system, NIS/TMSOTf, with minimal alteration from manual protocols. For success, as with solid-phase automation protocols, all reagents needed to be liquid or remain soluble in a solvent to allow its transfer to different zones using the liquid handling system. Also, ideally, all of the reagents needed to be stable at ambient temperature until each is utilized in the programmed run to prevent the need for timed interventions. Finally, the reactions need to occur between the temperature limitations of the platform (−45 to 250°C). Thioglycoside donors have been shown to work well with these modifications and prior studies have shown their successful utilization under different promoter systems [9], [29]. Fortunately, nearly all of the needed reagents for the NIS/TMSOTf protocol were either liquid or soluble in solvents that could be used for the desired reactions. Only NIS proved problematic in being not fully soluble in the preferred chlorinated solvent (1,2-dichloroethane, DCE) for glycosylation. This problem was quickly resolved when it was discovered that the addition of a small amount of tetrahydrofuran (10:1 DCE:THF) would allow the promoter to become fully soluble. With NIS now soluble, the NIS/TMSOTf promoter system was tested in a programmed automation run. The procedure proved effective in synthesizing the fully protected disaccharide at 0°C as evidenced by analytical HPLC traces and mass spectroscopy.
This success prompted an investigation on the possibility of deprotection and further chain extension of the fully protected alpha 1→2 linked disaccharide rhamnan. To this end, deprotection of the Lev group and FSPE purification was added into the program. It was hoped that the NIS/TMSOTf reaction byproducts would not impede the following deprotection step and the next FSPE step. Otherwise, an extra FSPE purification right after the glycosylation would have to be added to the program. Fortunately, the programmed automation run formed the desired disaccharide 10 and analytical HPLC showed a very clean Lev deprotection even in the presence of glycosylation side products (Figure 3). Purification yielded disaccharide 10 in a 66% overall yield with an average yield of 80% per step (Scheme 3). The program was then extended with additional cycles for the formation of trisaccharide 11 with the same initial glycosylation conditions as the disaccharide using 3 equiv. of donor 6 for the second glycosylation with the formed acceptor on the platform. Analytical HPLC revealed that trisaccharide 11 was formed and it was isolated in 36% overall yield with an average step yield of 77% without further optimization.

Analytical HPLC chromatograph for disaccharide 10 run on automated solution-phase platform: (a) Acceptor 9 chromatograph; (b) Donor 6 chromatograph; (c) Glycosylation chromatograph; and (d) Deprotection chromatograph. HPLC analytical method utilized an Agilent, Poroshell 120, EC-C18 4 μm, LC Column 4.6×100 mm on the Agilent 1200 Analytical HPLC. Eluent gradient (1.5 mL/min flow rate): 0–1 min. 80:20 ACN:H2O, 1–8 min. 80→100% ACN, 8–15 min 100% ACN.

Solution-phase automation.
Conclusion
With appropriate solvent choice to maintain solubility of NIS and thereby facilitate its transfer using automated liquid handling, we have demonstrated the feasibility of incorporating NIS/TMSOTf activation of thioglycosides as a glycosylation protocol into automated oligosaccharide synthesis. We have also demonstrated that byproducts formed in this glycosylation protocol do not interfere in the removal of levulinate groups with buffered hydrazine and used this automated glycosylation/deprotection cycle to prepare di- and tri- of alpha 1→2 rhamnan fragments. The desired saccharides were made in moderate yields (36–66%) utilizing fluorous tags for intermediate purification without extensive optimization that would have eliminated the advantages of automation. This process expands the toolbox of automated glycosylation/deprotection strategies available for the reliable and reproducible production of synthetic oligosaccharide libraries.
Article note
A collection of invited papers based on presentations at the 29th International Carbohydrate Symposium (ICS-29), held in the University of Lisbon, Portugal, 14–19 July 2018.
Funding source: National Institute of General Medical Sciences
Award Identifier / Grant number: 5U01GM116248-02
Funding statement: This work was supported in part by Indiana University and the National Institute of General Medical Sciences (Funder Id: http://dx.doi.org/10.13039/100000057, 5U01GM116248-02). We thank Dr. R. Saliba for his input and assistance with the automation platform and Prof. A. Flood and his research group for use of their Agilent 1200 Preparatory HPLC system.
References
[1] M. Panza, S. G. Pistorio, K. J. Stine, A. V. Demchenko. Chem. Rev.118, 8105 (2018).10.1021/acs.chemrev.8b00051Suche in Google Scholar
[2] P. H. Seeberger, W.-C. Haase. Chem. Rev.100, 4349 (2000).10.1021/cr9903104Suche in Google Scholar
[3] A. Pardo-Vargas, M. Delbianco, P. H. Seeberger. Curr. Opin. Chem. Biol.46, 48 (2018).10.1016/j.cbpa.2018.04.007Suche in Google Scholar
[4] E. R. Palmacci, M. C. Hewitt, P. H. Seeberger. Angew. Chem. Int. Ed. Engl.40, 4433 (2001).10.1002/1521-3773(20011203)40:23<4433::AID-ANIE4433>3.0.CO;2-8Suche in Google Scholar
[5] N. V. Ganesh, K. Fujikawa, Y. H. Tan, K. J. Stine, A. V. Demchenko. Org. Lett.14, 3036 (2012).10.1021/ol301105ySuche in Google Scholar
[6] P. Pornsuriyasak, S. C. Ranade, A. Li, M. C. Parlato, C. R. Sims, O. V. Shulga, K. J. Stine, A. V. Demchenko. Chem. Commun.14, 1834 (2009).10.1039/b817684aSuche in Google Scholar
[7] S. L. Tang, N. L. B. Pohl. Org. Lett.17, 2642 (2015).10.1021/acs.orglett.5b01013Suche in Google Scholar
[8] S. L. Tang, L. Linz, B. Bonning, N. L. B. Pohl. J. Org. Chem.80, 10482 (2015).10.1021/acs.joc.5b01428Suche in Google Scholar
[9] R. C. Saliba, Z. J. Wooke, G. A. Nieves, A.-H. A. Chu, C. S. Bennett, N. L. B. Pohl. Org. Lett.20, 800 (2018).10.1021/acs.orglett.7b03940Suche in Google Scholar
[10] T. Nokami, R. Hayashi, Y. Saigusa, A. Shimizu, C.-Y. Liu, K.-K. T. Mong, J.-I. Yoshida. Org. Lett.15, 4520 (2013).10.1021/ol402034gSuche in Google Scholar
[11] T. Nokami, Y. Isoda, N. Sasaki, A. Takaiso, S. Hayase, T. Itoh, R. Hayashi, A. Shimizu, J.-I. Yoshida. Org. Lett.17, 1525 (2015).10.1021/acs.orglett.5b00406Suche in Google Scholar PubMed
[12] Y. Isoda, N. Sasaki, K. Kitamura, S. Takahashi, S. Manmode, N. Takeda-Okuda, J. I. Tamura, T. Nokami, T. Itoh. Beilstein J. Org. Chem.13, 919 (2017).10.3762/bjoc.13.93Suche in Google Scholar PubMed PubMed Central
[13] S. Manmode, T. Sato, N. Sasaki, I. Notsu, S. Hayase, T. Nokami, T. Itoh. Carbohydr. Res.450, 44 (2017).10.1016/j.carres.2017.08.009Suche in Google Scholar PubMed
[14] N. Sasaki, T. Nokami, T. Itoh. Chem. Lett.46, 683 (2017).10.1246/cl.170126Suche in Google Scholar
[15] N. L. B. Pohl. Nat. Chem.11, 201 (2019).10.1038/s41557-019-0228-7Suche in Google Scholar PubMed
[16] T. Li, L. Liu, N. Wei, J.-Y. Yang, D. G. Chapla, K. W. Moremen, G.-J. Boons. Nat. Chem.11, 229 (2019).10.1038/s41557-019-0219-8Suche in Google Scholar PubMed PubMed Central
[17] S. Wang, Q. Zhang, C. Chen, Y. Guo, M. R. Gadi, J. Yu, U. Westerlind, Y. Liu, X. Cao, P. G. Wang, L. Li. Angew. Chem. Int. Ed.57, 9268 (2018).10.1002/anie.201803536Suche in Google Scholar PubMed PubMed Central
[18] N. Franchi, F. Schiavon, M. Carletto, F. Gasparini, G. Bertoloni, S. C. E. Tosatto, L. Ballarin. Immunobiology216, 725 (2011).10.1016/j.imbio.2010.10.011Suche in Google Scholar PubMed
[19] Y. Watanabe, N. Shiina, F. Shinozaki, H. Yokoyama, J. Kominami, S. Nakamura-Tsuruta, J. Hirabayashi, K. Sugahara, H. Kamiya, H. Matsubara, T. Ogawa, K. Muramoto. Dev. Comp. Immunol.32, 487 (2008).10.1016/j.dci.2007.08.007Suche in Google Scholar PubMed
[20] W. Thongda, C. Li, Y. Luo, B. H. Beck, E. Peatman. Dev. Comp. Immunol.44, 320 (2014).10.1016/j.dci.2014.01.018Suche in Google Scholar PubMed
[21] H. Tateno, A. Saneyoshi, T. Ogawa, K. Muramoto, H. Kamiya, M. Saneyoshi. J. Biol. Chem.273, 19190 (1998).10.1074/jbc.273.30.19190Suche in Google Scholar PubMed
[22] W. Z. Jia, N. Shang, Q. L. Guo. Fish Physiol. Biochem.36, 451 (2010).10.1007/s10695-009-9315-9Suche in Google Scholar PubMed
[23] A. Molinaro, M. A. Newman, R. Lanzetta, M. Parrilli. Eur. J. Org. Chem.34, 5887 (2009).10.1002/ejoc.200900682Suche in Google Scholar
[24] M. Herczeg, E. Mező, N. Molnár, S. K. Ng, Y. C. Lee, M. D. T. Chang, A. Borbás. Chem. Asian. J.11, 3398 (2016).10.1002/asia.201601162Suche in Google Scholar PubMed
[25] M. Y. Mistou, I. C. Sutcliffe, N. M. van Sorge. FEMS Microbiol. Rev.40, 464 (2016).10.1093/femsre/fuw006Suche in Google Scholar PubMed PubMed Central
[26] E. Bedini, C. De Castro, G. Erbs, L. Mangoni, J. M. Dow, M. A. Newman, M. Parrilli, M. Unverzagt. J. Am. Chem. Soc.127, 2414 (2005).10.1021/ja0452166Suche in Google Scholar PubMed
[27] E. R. Palmacci, O. J. Plante, M. C. Hewitt, P. H. Seeberger. Helv. Chim. Acta86, 3975 (2003).10.1002/hlca.200390331Suche in Google Scholar
[28] A. G. Volbeda, J. van Mechelen, N. Meeuwenoord, H. S. Overkleeft, G. A. van der Marel, J. D. C. Codée. J. Org. Chem.82, 12992 (2017).10.1021/acs.joc.7b02511Suche in Google Scholar PubMed PubMed Central
[29] G. Nagy, T. Peng, D. E. K. Kabotso, M. V. Novotny, N. L. B. Pohl. Chem. Comm.52, 13253 (2016).10.1039/C6CC07584CSuche in Google Scholar PubMed PubMed Central
[30] A. G. Volbeda, N. R. M. Reintgens, H. S. Overkleeft, G. A. van der Marel, J. D. C. Codée. Eur. J. Org. Chem.31, 5282 (2016).10.1002/ejoc.201600956Suche in Google Scholar
[31] J. H. Banoub, F. Michon, J. Rice, L. Rateb. Carbohydr. Res.123, 109 (1983).10.1016/0008-6215(83)88385-2Suche in Google Scholar
[32] S. Bhaduri, N. L. B. Pohl. Org. Lett.18, 1414 (2016).10.1021/acs.orglett.6b00344Suche in Google Scholar PubMed
[33] K.-S. Ko, F. A. Jaipuri, N. L. B. Pohl. Org. Lett.127, 13162 (2005).10.1021/ja054811kSuche in Google Scholar
[34] Y. A. Knirel, H.-J. Gabius, O. Blixt, E. M. Rapoport, N. R. Khasbiullina, N. V. Shilova, N. V. Bovin. Glycoconj. J.31, 7 (2014).10.1007/s10719-013-9497-3Suche in Google Scholar PubMed
[35] Y. Fujita-Yamaguchi, K. Bagramyan, Y. Yamaguchi, A. Ikeda, N. Dohmae, T. B. Hong, M. Kalkum. J. Biol. Chem.293, 368 (2018).10.1074/jbc.M117.812719Suche in Google Scholar PubMed PubMed Central
Supplementary Material
The online version of this article offers supplementary material (https://doi.org/10.1515/pac-2019-0307).
©2019 IUPAC & De Gruyter. This work is licensed under a Creative Commons Attribution-NonCommercial-NoDerivatives 4.0 International License. For more information, please visit: http://creativecommons.org/licenses/by-nc-nd/4.0/
Artikel in diesem Heft
- Frontmatter
- In this issue
- Papers from the 29th International Carbohydrate Symposium (14–19 July 2018, Lisbon, Portugal)
- New insight on the structural diversity of holothurian fucosylated chondroitin sulfates
- Carbohydrates and BODIPYs: access to bioconjugatable and water-soluble BODIPYs
- Novel dodecyl-containing azido and glucuronamide-based nucleosides exhibiting anticancer potential
- Discovery of N-methylpiperazinyl flavones as a novel class of compounds with therapeutic potential against Alzheimer’s disease: synthesis, binding affinity towards amyloid β oligomers (Aβo) and ability to disrupt Aβo-PrPC interactions
- Stereoselective synthesis of sugar mimetics from simple monosaccharides
- Solvent issues in the Baylis-Hillman reaction of 5-hydroxymethyl furfural (HMF) and 5-glucosyloxymethyl furfural (GMF). Towards no-solvent conditions
- New syntheses towards C-glycosyl type glycomimetics
- Liquefaction of almond husk for assessment as feedstock to obtain valuable bio-oils
- Galactosyl and sialyl clusters: synthesis and evaluation against T. cruzi parasite
- 2-Deoxyglycosylation towards more effective and bioavailable neuroprotective molecules inspired by nature
- Conformational changes in common monosaccharides caused by per-O-sulfation
- Contribution of non-enzymatic transglycosylation reactions to the honey oligosaccharides origin and diversity
- Acid-mediated N-iodosuccinimide-based thioglycoside activation for the automated solution-phase synthesis of α-1,2-linked-rhamnopyranosides
- Synthesis and biological evaluation of S-simplexides and other analogues of simplexide
Artikel in diesem Heft
- Frontmatter
- In this issue
- Papers from the 29th International Carbohydrate Symposium (14–19 July 2018, Lisbon, Portugal)
- New insight on the structural diversity of holothurian fucosylated chondroitin sulfates
- Carbohydrates and BODIPYs: access to bioconjugatable and water-soluble BODIPYs
- Novel dodecyl-containing azido and glucuronamide-based nucleosides exhibiting anticancer potential
- Discovery of N-methylpiperazinyl flavones as a novel class of compounds with therapeutic potential against Alzheimer’s disease: synthesis, binding affinity towards amyloid β oligomers (Aβo) and ability to disrupt Aβo-PrPC interactions
- Stereoselective synthesis of sugar mimetics from simple monosaccharides
- Solvent issues in the Baylis-Hillman reaction of 5-hydroxymethyl furfural (HMF) and 5-glucosyloxymethyl furfural (GMF). Towards no-solvent conditions
- New syntheses towards C-glycosyl type glycomimetics
- Liquefaction of almond husk for assessment as feedstock to obtain valuable bio-oils
- Galactosyl and sialyl clusters: synthesis and evaluation against T. cruzi parasite
- 2-Deoxyglycosylation towards more effective and bioavailable neuroprotective molecules inspired by nature
- Conformational changes in common monosaccharides caused by per-O-sulfation
- Contribution of non-enzymatic transglycosylation reactions to the honey oligosaccharides origin and diversity
- Acid-mediated N-iodosuccinimide-based thioglycoside activation for the automated solution-phase synthesis of α-1,2-linked-rhamnopyranosides
- Synthesis and biological evaluation of S-simplexides and other analogues of simplexide