Abstract
Glycomimetics are compounds that resemble carbohydrate molecules in their chemical structure and/or biological effect. A large variety of compounds can be designed and synthesized to get glycomimetics, however, C-glycosyl derivatives represent one of the most frequently studied subgroup. In the present survey syntheses of a range of five- and six membered C-glycopyranosyl heterocycles, anhydro-aldimine type compounds, exo-glycals, C-glycosyl styrenes, carbon-sulfur bonded oligosaccharide mimics are described. Some of the C-glycopyranosyl azoles, namely 1,2,4-triazoles and imidazoles belong to the most efficient glucose analog inhibitors of glycogen phosphorylase known to date. Biological studies revealed the therapeutical potential of such inhibitors. Other synthetic derivatives offer versatile possibilities to get further glycomimetics.
Introduction
Carbohydrates (saccharides, glycans) are, in the strictest sense, around us and inside us. These compounds make about 2/3 of the yearly renewing biomass; they are among the main ingredients of our everyday meals either as digestible and nutritious materials or indigestible dietary fibers indispensable for maintaining our health; they are components of each living cell, building blocks of the most important biomolecules, and participants of forming complex cell organelles; are present in every living organism as skeletal or feed stuffs; play a role in all fundamental biological processes from the fertilization via the formation of tissue structure and the development of immune response to the apoptosis; they serve as general signaling molecules to present a cell’s nature, age and status in cell- and tissue specific recognition events; they are essential components of several, in the clinical practice routinely applied medicines and vaccines; are lead structures for drug development; they offer solutions to material science problems, as well as power generation and industrial production based on renewable feedstocks [1].
The universal role of carbohydrates and their derivatives in the vast majority of biological phenomena has become a scientific commonplace in the recent 2–3 decades [2], [3]. The glycans are present in every cell and on the cell surface, and their roles are indispensable in each known life form. A present focus of glycoscience is to understand the biological roles of natural glycans and glycoconjugates (glycoproteins and glycolipids), to map the corresponding saccharide-protein interactions, to decipher the sugar code, the third language of biology and, as an outcome, to apply this knowledge in biomedical fields and drug design [4], [5].
From the above considerations several goals and tasks can be deduced for the synthetic carbohydrate chemistry. One of these is the quest of powerful methods needed to assemble saccharides of limited availability from natural sources. Due to the complexity of such molecules and the difficulties of chemical synthesis (originating e.g. from the necessity of complicated protecting group strategies [6], from the changing ring size, the stereoselective formation of the glycosidic bond [7]), the preparation of glycosides still represents a serious challenge [8], [9]. A further obstacle of biological studies and applications is represented by the sensitivity of the glycosidic bond (Fig. 1a) towards acidic and enzymatic hydrolysis. The unfavorable pharmacokinetic properties also pull back the utility of natural glycans as drugs.

Glycomimetics. (a) The glycosidic bond in a natural glycan; (b) Some types of glycomimetics; (c) Examples for the replacement of the glycosidic oxygen by multiple atomic linkers.
Another task for carbohydrate chemistry is to eliminate the drawbacks connected to the structural peculiarities and synthetic difficulties of glycosides by providing glycomimetics, i.e. compounds resembling the structure and/or the biological properties of natural glycans [10]. Some carbohydrate-based glycomimetics are exemplified in Fig. 1b, while Fig. 1c illustrates more complex glycomimetic molecules. Such compounds may have the advantage of simpler syntheses, resistance toward hydrolysis and metabolic processes, can offer a wide range of derivatization possibilities, and can, therefore, be utilized as glycobiological tools and leads in drug design.
An outstanding group of glycomimetics modulates, most frequently inhibits the action of glycoenzymes, such as glycosyl transferases and glycoside hydrolases. Glycomimetic compounds and glycoenzyme inhibitors are already in use in the clinical practice in several indications, e.g. against blood coagulation, osteoarthritis, epilepsy, Gaucher and Niemann-Pick diseases, influenza, diabetes [11]. A most recent breakthrough is the introduction of gliflozins for the treatment of type 2 diabetes mellitus. These compounds of C-glycosyl arene type structures are inhibitors of renal sodium-dependent glucose cotransporter 2 (SGLT2), thereby eliciting benign glycosuria to diminish blood sugar levels [12], [13], [14].
In our work we are dealing with the design and synthesis of glycoenzyme inhibitors (of which those of glycogen phosphorylase will be highlighted here) as well as the elaboration of new synthetic methodologies to obtain C-glycosyl compounds.
Glucose analog inhibitors of glycogen phosphorylase
Glycogen phosphorylase (GP) can be found in the liver, muscles and brain in slightly different isoforms [15]. The liver isoform is the rate determining enzyme for the degradation of the storage polysaccharide glycogen, and this isoenzyme has a direct influence on blood sugar levels. Thus, inhibition of liver GP may result in a decrease of serum glucose levels, and this enzyme has become a validated target in the search of new therapeutic possibilities of type 2 diabetes [16], [17], [18], [19].
The mode of operation and the structure of GP are well known from biochemical and crystallographic studies, and seven binding sites have been identified so far [20]. Among these the catalytic site is the most intensively studied by glucose derived inhibitors [12], [21], [22], [23], [24]. Besides the antidiabetic potential of glycogen phosphorylase inhibitors [19], [25], [26] such compounds have the potential for utilization against cardiac arrhythmias and other cardiovascular disorders [27], [28], cardiac and cerebral ischemias [29], [30], and tumorous growths [31], [32], [33], [34], [35], [36].
The best glucose analog inhibitors of GP displaying submicromolar inhibition constants (Ki) can be found among glucopyranosylidene-spiro-heterocycles, N-acyl-N′-β-d-glucopyranosyl ureas, and C-glucopyranosyl heterocycles [13], [23]. Here, the most recent results on the latter type of GPIs are summarized.
Design and syntheses of C-glucopyranosyl azoles as glycogen phosphorylase inhibitors
Among the first low micromolar GPIs were the N-acetyl-β-d-glucopyranosylamine [37] (Fig. 2a, R=CH3, Ki=32 μM) and its 2-naphthoyl counterpart [38] (Fig. 2a). Later the corresponding ureas (Fig. 2b) and their N-acyl derivatives (Fig. 2c) were also synthesized and the N-(β-d-glucopyranosyl)-N′-(2-naphthoyl) urea (Fig. 2c) was found to be the first submicromolar GPI [23]. These compounds were the basis for bioisosteric replacements [39], [40], [41], [42] during which the amide units highlighted in Fig. 2 were substituted by five-membered heterocycles leading to a range of C- and N-glucopyranosyl compounds. Compounds were made for each type shown in Fig. 2 (heterocycles: pyrrole [43], pyrazole [44], imidazole [43], [44], [45], [46], [47], isoxazole [44], [48], thiazole [44], 1,2,3- [47], [48], [49], [50], [51], [52] and 1,2,4-triazoles [53], [54], [55], [56], [57], [58], [59], [60], [61], [62], 1,2,4- [63] and 1,3,4-oxadiazoles [51], [64], [65], [66], [67], 1,3,4-thiadiazole [65], tetrazoles [47], [51], [64]), however, only the syntheses of C-glucopyranosyl 1,2,4-triazoles and imidazoles, essentially unknown before, are described here.
![Fig. 2: Some inhibitors of glycogen phosphorylase [Ki against rabbit muscle GPb (RMGPb)]. N-Acyl-β-d-glucopyranosylamine (a), N-substituted-N′-β-d-glucopyranosyl urea (b) and N-acyl-N′-β-d-glucopyranosyl urea (c) type inhibitors as the basic compounds for bioisosteric replacements.](/document/doi/10.1515/pac-2019-0208/asset/graphic/j_pac-2019-0208_fig_002.jpg)
Some inhibitors of glycogen phosphorylase [Ki against rabbit muscle GPb (RMGPb)]. N-Acyl-β-d-glucopyranosylamine (a), N-substituted-N′-β-d-glucopyranosyl urea (b) and N-acyl-N′-β-d-glucopyranosyl urea (c) type inhibitors as the basic compounds for bioisosteric replacements.
A few trisubstituted C-glucopyranosyl 1,2,4-triazoles were reported in the literature [68], [69], however, these proved irreproducible in our laboratory. For the synthesis of the necessary 5-β-d-glucopyranosyl-3-substituted-1,2,4-triazoles several methods were elaborated (Scheme 1, preparation of the starting compounds was described in the original papers and is not detailed here). Among cyclocondensation routes reactions of amidine 1 or acid chloride 2 with amidrazones gave intermediates 4 and 5, respectively, which on heating gave the expected 1,2,4-triazoles 8 [54]; transformations of tosylamidrazone 7 by acid chlorides [53], or reactions of N-acyl thioamides 10 and 12 with hydrazine [59] also led to 8. A further procedure, representing a new synthesis for 1,2,4-triazoles in general, was based on the bromination of imidoylhydrazones 3 to give the surprisingly stable derivatives 6 which were cyclized to 8 under basic conditions [57]. Finally, ring transformations of tetrazole 11 by imidoyl chlorides also gave, via N-benzylated 1,2,4-triazole intermediates, the protected triazoles 8 [55] which were debenzoylated under Zemplén conditions to the test compounds 9. Taking into account the availability of the necessary carbohydrate precursors and reagents routes 3→6→8 and 11→8 are the most advantageous. It is worth noting that the transformations of precursors 10–12 facilitate the syntheses of all regioisomers of trisubstituted C-glucopyranosyl 1,2,4-triazoles, too [59].

Key-reactions of the syntheses of C-glucopyranosyl 1,2,4-triazoles.
A single representative of C-glycopyranosyl imidazoles, 2-β-d-glucopyranosyl-imidazole [70] was known at the outset of our studies. The necessary 2-glycosyl-4(5)-substituted-imidazoles 13a were first prepared by the cyclocondensation of amidine 1 and α-bromoketones [44] (Scheme 2). The yields of 13a were improved by reactions of imidate 14 with α-aminoketones [43]. The O-perbenzylated 13b were obtained in similar yields from imidate 17 while the best results were achieved from amidine 15 [46]. The regioisomeric imidazole 19 was made from glucose derived α-bromoketone 18 [71]. Standard deprotection protocols led then to the test compounds 16 and 20.

Syntheses of C-glucopyranosyl imidazoles.
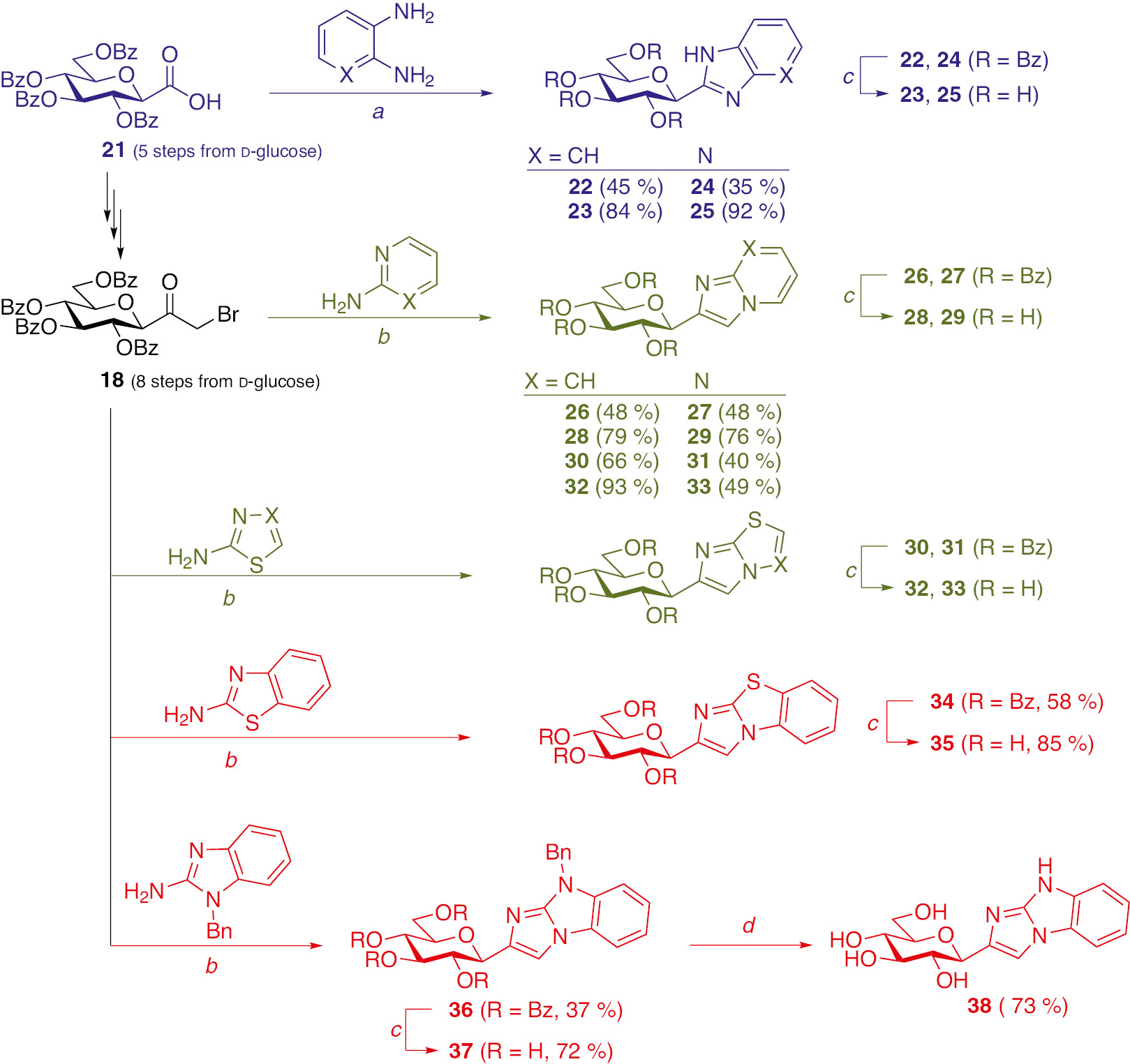
A series of fused C-glucopyranosyl imidazole type compounds was also synthesized (Scheme 3). Anhydro-aldonic acid 21 was condensed with 1,2-diaminobenzene or 2,3-diaminopyridine in the presence of P(OPh)3 to give 22 and 24, respectively [45], [72]. Reactions of α-bromoketone 18 with various amino-heterocycles resulted in the corresponding annelated derivatives 26, 27, 30, 31, and 34. The O-benzoyl protecting groups were removed by the Zemplén protocol to give 23, 25, 28, 29, 32, 33, and 35, respectively. Transformation of 18 with 2-amino-benzimidazole was only feasible by the derivative benzyl-protected on the ring nitrogen to give 36 which was first debenzoylated to 37 then debenzylated to 38 [72].

Syntheses of fused C-glucopyranosyl imidazole type compounds. Conditions: (a) P(OPh)3, dry pyridine, reflux; (b) dry 1,4-dioxane, reflux; (c) ~1 M NaOMe in MeOH, rt; (d) H2, Pd(OH)2/C, dry EtOH, reflux.
Syntheses of C-glycopyranosyl pyrimidines
The large scale availability of amidine 15 [46], [73] facilitated the first general syntheses of 2-C-β-d-glucopyranosyl pyrimidines which were practically unknown before (only sporadic mentions could be found about similar compounds [74], [75], [76]). Although the cyclocondensation of 15 with various 1,3-dicarbonyl compounds could be carried out, the removal of the O-benzyl protective groups in the products was problematic in several cases. Therefore, debenzylation of 15 was performed in the usual way to give 39 (Scheme 4) which was then reacted under basic conditions with β-ketoesters, dimethyl malonate, and α,β-unsaturated β-chloroketones obtained from β-diketones to furnish C-glucopyranosyl pyrimidines 40, 41, and 42, respectively, in good yields [77].

Syntheses of 2-C-β-d-glucopyranosyl pyrimidines from C-β-d-glucopyranosyl formamidines. Conditions: (a) H2, Pd(OH)2/C, dry EtOAc-EtOH (1:2), 1 drop of cc. HCl, rt; (b) β-ketoester (2 equiv.), 1 M NaOMe in dry MeOH (3 equiv.), dry MeOH, rt; (c) dimethyl malonate (10 equiv.), 1 M solution of NaOMe in dry MeOH (10 equiv.), dry MeOH, rt; (d) PCl5 (1 equiv.), dry Et2O, rt; (e) (COCl)2 (1.2 equiv.), DMF (1.3 equiv.), dry CH2Cl2, 0°C to rt; (f) SOCl2 (3 equiv.), dry CHCl3, cat. DMF, reflux; (g) K2CO3 (4 equiv.), α,β-unsaturated chloroketone (1.2 equiv.), 4 Å mol. sieves, dry DMF, 0°C to rt.
Since the amidine precursor glycosyl cyanides, such as compounds 43–47 in Scheme 5, are more easily accessible in O-peracylated forms, a one-pot procedure was also elaborated to get 2-C-β-d-glycopyranosyl pyrimidines from these starting materials [77]. Thus, a glycosyl cyanide 43–47 was treated with NaOMe followed by NH4Cl and a β-dicarbonyl reagent in a continuous operation to give pyrimidines 48–54 in 25–94% yields over three steps.

One-pot–three-step syntheses of 2-C-β-d-glucopyranosyl pyrimidines from O-peracylated d-glycopyranosyl cyanides. Conditions: (a) 1 M NaOMe in dry MeOH (20 mol%), dry MeOH, dry CHCl3, rt; (b) NH4Cl (1.2 equiv.), dry MeOH; (c) RCOCH2COOEt (2 equiv.), 1 M NaOMe in dry MeOH (3 equiv.), dry MeOH, rt (R=CH3 toward 48–51 and 53, R=Ph toward 54); (d) K2CO3 (4 equiv.), α,β-unsaturated β-chloroketone (1.2 equiv.) freshly prepared from 1-phenylbutane-1,3-dione, 4 Å molecular sieves, dry DMF, 0°C to rt.
Inhibition of glycogen phosphorylase
The C-β-d-glucopyranosyl heterocycles were assayed against rabbit muscle GPb, the prototype [15] of glycogen phosphorylases. The inhibition data for the azole derivatives are collected in Table 1 together with those of some N-β-d-glucopyranosyl compounds. The structure-activity relationships cannot be analyzed in details here, but it can be highlighted that the most efficient inhibitors are imidazole V and 1,2,4-triazole X with R=2-naphthyl substituents (the former is the best known glucose derived GPI). It is noteworthy that both types of heterocycles can form H-bonds with the enzyme main chain carbonyl of His377 next to the catalytic site as revealed by X-ray crystallography of the enzyme-inhibitor complexes [43], [61], [62]. In each type of the investigated compounds the 2-naphthyl-substituted derivatives proved better inhibitors in comparison to the phenyl-substituted ones. This can be attributed to more extensive van der Waals interactions of the former in the so-called β-channel of the enzyme [60]. The constitution of the heterocycle linking the glucose moiety and the aromatic group as well as the C- or N-glycosidic linkage mode have a decisive effect on the inhibition as exemplified by comparisons of V–VII, XI–XII or XIII–XV.
Inhibition of rabbit muscle glycogen phosphorylase b (RMGPb) by C- and N-β-d-glucopyranosyl azoles (Ki [μM]).
![]() | n.i.a | ||||
| n.i.a | |||||
| I | ![]() | ||||
![]() | n.i.a | ||||
| n.i.a | |||||
| II | ![]() | ||||
![]() | 400 | ||||
| III | |||||
![]() | n.i.a | n.i.=no inhibition | |||
| IV | |||||
![]() | 0.28 | ![]() | 37 | ![]() | n.i.a |
| 0.031 | 5.4 | ||||
| V | VI | VII | |||
![]() | 310 | ![]() | 326 | ||
| 158 | 23 | ||||
| VIII | IX | ||||
![]() | 7 | ![]() | n.i.a | ![]() | 151 |
| 0.41 | n.i.a | 16 | |||
| X | XI | XII | |||
![]() | 64 | ![]() | 10%a | ![]() | 10%a |
| 2.4 | 38 | 10%a | |||
| XIII | XIV | XV | |||
![]() | n.i.a | ![]() | n.i.a | ![]() | 327 |
| XVI | XVII | XVIII | |||
![]() | 625 (IC50) | ![]() | 8.6 | ![]() | 21 |
| XIX | XX | XXI |
aMeasured at 625 μM the maximal concentration tested.
The 2-C-β-d-glucopyranosyl pyrimidines were non-inhibitory at the maximal studied concentration of 625 μM [77]. This is in sharp contrast with the potency of several N-β-d-glucopyranosyl derivatives of pyrimidine type nucleobases to show low micromolar [78], [79] or even nanomolar inhibition [80]. Why and how the C- or N-glycosyl structure of the inhibitors affect the binding still remains to be understood.
Some of the 2-C-β-d-glucopyranosyl pyrimidines had weak inhibition against glycosidase enzymes [77].
Inhibition of RMGPb by compounds modified in the glucose unit
In some series of inhibitors the effects of modifications of the glucose moiety were also studied (Fig. 3). The simplest change is to cut off the hydroxymethyl side chain i.e. the synthesis and investigation of xylose derivatives. This alteration resulted in inactive compounds among xylopyranosylidene-spiro-heterocycles (not shown) [81], [82] and for N-xylosyl-1,2,3-triazoles 56 [82], [83]. In the cases of 1,2,4-triazoles 57 and imidazoles 58, which aglycons gave the best inhibitors with an attached glucose unit, a weakening of three orders of magnitude could be observed [82]. Introduction of a double bond into the glucopyranose ring as in 59–61, to make the compounds somewhat similar to the glycosyliumion-like transition state of the catalyzed reaction, resulted in inefficient derivatives [84]. However, the exchange of the 2-OH to the isosteric NH2 group gave highly active compounds 62–64, nevertheless, these lagged behind the parent glucose derivatives by factors of ~22, ~12 and ~6, respectively [85]. These compounds represent the first strongly binding GPIs with modified glucose moieties that can be advantageous from the point of view of selectivity in applications.
![Fig. 3: Inhibition of RMGPb by compounds with modified glucose units (Ki [μM]).](/document/doi/10.1515/pac-2019-0208/asset/graphic/j_pac-2019-0208_fig_003.jpg)
Inhibition of RMGPb by compounds with modified glucose units (Ki [μM]).
Biological investigations with glucose derived GPIs
Although biological studies with C-glycosyl compounds have not yet been available, other glucose derived GPIs had shown promising effects indicating that probably similar efficiencies might be expected with the C-glycosyl derivatives, too. In Zucker diabetic rats, administration of glucopyranosylidene-spiro-thiohydantoin diminished blood sugar levels and also decreased the GPa level in the liver [86]. In addition, it increased plasma insulin levels and restored the whole body insulin sensitivity in streptozotocin induced diabetic rats [87]. The spiro-thiohydantoin and some N-acyl-N′-β-d-glucopyranosyl ureas improved glucose tolerance in mice under normoglycaemic and diabetic conditions [88]. An N-acyl-N′-β-d-glucopyranosyl urea increased the size of pancreatic Langerhans islets in mice, and improved the glucose-induced insulin secretion, thereby, GPIs may be suitable to preserve or even ameliorate β-cell function in diabetic states [89]. A single dose of a glucopyranosylidene-spiro-isoxazoline significantly lowered the hepatic glucose production (~30%) which may be relevant for therapeutic applications [90].
Syntheses of other glycomimetics and their precursors
In this section we summarize new synthetic methods for C-glycosyl compounds which can be diversely transformed towards glycomimetics.
Generally applicable reactions were elaborated for the conversion of readily available glycosyl cyanides 67 to various C-glycosyl imine type compounds (Scheme 6). Under reductive conditions in the presence of Raney-Ni, NaH2PO2, and an added acylhydrazine type reagent tosylhydrazones 65 [91], [92], [93], [94], acylhydrazones 66 [95], imidoylhydrazones 68 [57], semicarbazones and carbamoylhydrazones 69 [95] could be prepared in good to excellent yields. With hydroxylamine and its derivatives this reaction was not feasible, however, transimination of semicarbazones 69 resulted in oximes 70 and 71. Thiosemicarbazones 72 and 73 were prepared similarly from 69 since the direct route from 67 was not possible due to catalyst poisoning by the sulfur containing thiosemicarbazide reagents.

Preparation of anhydro-aldimine derivatives.
Numerous synthetic applications of the above derivatives include oxidative ring closure of 66 and 69 to C-glycosyl-1,3,4-oxadiazoles [65], [66], [67], transformations of 68 to 1,2,4-triazoles [57], conversion of 73 to 1,3,4-thiadiazoles [65]; oximes 70 as nitrile-oxide precursors are starting compounds for 1,3-dipolar cycloadditions [96], [97], [98].
Next, versatile transformations of tosylhydrazones 65 are presented in details. The well known Bamford-Stevens reaction of tosylhydrazones leads to alkenes in the presence of bases either under thermic or photochemical activation. During the transformation the deprotonated hydrazone loses a sulfinate ion and nitrogen to give a carbene which, in the absence of any other reaction partner, furnishes an alkene by an insertion into the neighboring C–H bond. This reaction was applied for a new, variable synthesis of exo-glycals 74 [92], [93], [99] (Table 2). In the presence of a sufficiently large excess of a base the carbene insertion into the NH bond of 65 to give 75 becomes subordinate and the exo-glycals 74 can be isolated in good yields.
Exo-glycals 74 proved to be excellent substrates for the preparation of glycosylmethyl sulfide type glycomimetics as well as C-S bonded disaccharide mimetics (Scheme 7). To this end, in collaboration with Anikó Borbás’ group, photoinitiated thiol-ene addition reactions were applied to give the target compounds 76 in mostly very good yields [100], [101], [102], [103]. These additions were fully regio- and stereoselective (only the conformationally more labile d-xylo, 2-deoxy-d-xylo and 2-deoxy-d-arabino derivatives yielded more or less amounts of both anomers). Base induced and acid catalyzed additions of thiols to exo-glycals leading to thioglycoside type products were discussed in Ref. [103].

Photoinitiated thiol-ene couplings of exo-glycals.
The thiol-ene reactions were applied to 1-C-substituted glycals, e.g. 77 [104] (Scheme 8). Additions of thiols proceeded with exclusive regio- and stereoselectivity in these cases, as well, furnishing the d-talo configured adducts 78 from 77 of d-lyxo configuration. The yields for compounds 78 diminished depending on the 1-C-substituents CONH2>CO2Me>CN. Since the thiyl radicals are electrophilic, this observation can be well correlated with the Hammett σp values characterizing the electron withdrawing ability of the substituents as well as the calculated HOMO energy levels of the double bonds. Extension of the thiol-ene additions to 1-C-substituted-2-acetoxy-galactals 79 remained unsuccessful.

Photoinitiated thiol-ene additions with 1-C-substituted d-galactals.
In the presence of RXH reagents and bases, tosylhydrazones 65 undergo coupling reactions to produce Gly-CH2-X-R type compounds as summarized in Table 3. In such reactions the intramolecular formation of exo-glycals 74 is competing with the intermolecular coupling, therefore, 74 can always be isolated from the reaction mixtures. Aliphatic alcohols except hexafluoro-isopropanol gave no coupled product 80 (Entries 1 and 2). With phenols 80 were formed in moderate yields (Entry 3). In the reactions with carboxylic acids the yields of 80 increased to give the best results with sugar derived acids (Entries 4–6) [105]. The glycosylmethyl sulfides 76 were obtained in moderate and good yields with aliphatic thiols and thiophenols, respectively (Entries 7 and 8) [106]. The observed yields and the acidity of the reagents may be correlated: there is no reaction if the pKa is >11, moderate yields can be achieved in the 11–9 range, while with more acidic compounds the coupling can be rather efficient. It is to be noted, that the two routes applied for the preparation of glycosylmethyl sulfides 76 proved complementary: with aliphatic thiols the two-step transformations (thiol addition to exo-glycals 74 formed from tosylhydrazones 65), while with thiophenols the direct couplings with tosylhydrazones 65 were more efficient in terms of overall yields [106].
Couplings of anhydro-aldose tosylhydrazones 65 with hydroxy compounds, carboxylic acids and thiols.
![]() | |||||
|---|---|---|---|---|---|
| Entry | R | XH | Product | Isolated yield (%) | pKa (RXH) |
| 1 | Aliphatic | OH | 80 | – | 17–14 |
| 2 | (CF3)2CH- | OH | 80 | 35 | 9.3 |
| 3 | Aromatic | OH | 80 | 25–39 | 10–7 |
| 4 | Aliphatic | COOH | 80 | 28–58 | 5–4 |
| 5 | Aromatic | COOH | 80 | 36–43 | 4–2.5 |
| 6 | Sugar | COOH | 80 | 48–66 | |
| 7 | Aliphatic | SH | 76 | 21–51 | 11–9 |
| 8 | Aromatic | SH | 76 | 53–77 | 7–5 |
Carbenes to be formed from tosylhydrazones are able to coordinate to metal centers e.g. in Pd-complexes. Rearrangements of such carbene complexes and subsequent reductive elimination may lead to various products depending on other compounds present in the coordination sphere of the metal. Thus, the reactions of 65 with aryl bromides in the presence of Pd2(dba)3 resulted in aryl-substituted exo-glycals 82 [107], while with benzyl bromides C-glycopyranosyl styrenes 83 were formed [108] (Scheme 9). In these transformations several pathways are open both for the deprotonated tosylhydrazone and the carbene intermediate and, as a consequence, the formation of 81 by a nucleophilic substitution of the tosylhydrazone on the benzyl bromide as well as that of exo-glycals 74 due to intramolecular insertion can be observed and the by-products can be isolated. In the light of these parallel reactions the yields for 82 and 83 are satisfactory and these reactions are competitive alternatives of other synthetic methods.

Syntheses of substituted exo-glycals and ω-(C-glycopyranosyl)-styrenes by Pd-catalyzed cross couplings of anhydro-aldose tosylhydrazones.
Conclusion
The summarized works demonstrate the versatile transformations based on glycosyl cyanides and other precursors derived from them to lead to a wealth of glycomimetic compounds. Thus, various C-glycosyl heterocycles and other C-glycosyl derivatives like anhydro-aldimine type compounds, exo-glycals, C–S bonded oligosaccharide mimetics can be obtained by the elaborated synthetic methods. Some representatives of the C-glycosyl heterocycles, notably 1,2,4-triazoles and imidazoles are the most efficient, nanomolar, glucose analog inhibitors of glycogen phosphorylase known to date. Biological studies conducted with these and other inhibitors demonstrated that beside the expected decrease of blood sugar levels other remarkable effects were also induced that may have potential for therapeutic applications.
Article note
A collection of invited papers based on presentations at the 29th International Carbohydrate Symposium (ICS-29), held in the University of Lisbon, Portugal, 14–19 July 2018.
Funding source: National Research, Development and Innovation Office of Hungary
Award Identifier / Grant number: CK-77712
Award Identifier / Grant number: K-109450
Award Identifier / Grant number: PD-105808
Award Identifier / Grant number: PD-121406
Award Identifier / Grant number: FK-125067
Award Identifier / Grant number: FK-128766
Funding source: University of Debrecen
Award Identifier / Grant number: 5N5XBTDDTOMA320
Funding statement: These works received financial support from the National Research, Development and Innovation Office of Hungary (Grants: CK-77712, K-109450, PD-105808, PD-121406, FK-125067, FK-128766), from the EU co-financed by the European Regional Development Fund under the projects TÁMOP-4.2.4.A/2-11/1-2012-0001 ‘National Excellence Program’, GINOP-2.3.2-15-2016-00008 and GINOP-2.3.3-15-2016-00004, from the University of Debrecen (5N5XBTDDTOMA320) as well as from the Alexander von Humboldt Foundation (Germany).
References
[1] National Research Council (US) Committee on Assessing the Importance and Impact of Glycomics and Glycosciences. Transforming Glycoscience: A Roadmap for the Future. National Academies Press (USA), National Academy of Sciences, Washington, DC, USA (2012).Suche in Google Scholar
[2] A. Varki. Glycobiology3, 97 (1993).10.1093/glycob/3.2.97Suche in Google Scholar PubMed PubMed Central
[3] A. Varki. Glycobiology27, 3 (2017).10.1093/glycob/cww086Suche in Google Scholar PubMed PubMed Central
[4] H. J. Gabius, ed. The Sugar Code – Fundamentals of Glycosciences. Wiley-VCH, Weinheim (2009).Suche in Google Scholar
[5] H. J. Gabius. Biosystems164, 102 (2018).10.1016/j.biosystems.2017.07.003Suche in Google Scholar PubMed
[6] S. Vidal, ed. Protecting Groups: Strategies and Applications in Carbohydrate Chemistry. Wiley-VCH (2019).10.1002/9783527697014Suche in Google Scholar
[7] M. Brito-Arias. Synthesis and Characterization of Glycosides, 2nd ed. Springer International Publishing, Switzerland (2016).10.1007/978-3-319-32310-7Suche in Google Scholar
[8] L. Bohé, D. Crich. Carbohydr. Res.403, 48 (2015).10.1016/j.carres.2014.06.020Suche in Google Scholar PubMed PubMed Central
[9] P. O. Adero, H. Amarasekara, P. Wen, L. Bohé, D. Crich. Chem. Rev.118, 8242 (2018).10.1021/acs.chemrev.8b00083Suche in Google Scholar PubMed PubMed Central
[10] L. Cipolla, A. C. Araujo, D. Bini, L. Gabrielli, L. Russo, N. Shaikh. Expert Opin. Drug Discov.5, 721 (2010).10.1517/17460441.2010.497811Suche in Google Scholar PubMed
[11] B. Ernst, J. L. Magnani. Nat. Rev. Drug Discov.8, 661 (2009).10.1038/nrd2852Suche in Google Scholar PubMed PubMed Central
[12] L. Somsák, É. Bokor, K. Czifrák, L. Juhász, M. Tóth. in Topics in the Prevention, Treatment and Complications of Type 2 Diabetes, M. B. Zimering (Ed.), pp. 103–126. InTech Open Access Publisher, Rijeka (2011).Suche in Google Scholar
[13] É. Bokor, S. Kun, D. Goyard, M. Tóth, J.-P. Praly, S. Vidal, L. Somsák. Chem. Rev.117, 1687 (2017).10.1021/acs.chemrev.6b00475Suche in Google Scholar PubMed
[14] A. R. Aguillón, A. Mascarello, N. D. Segretti, H. F. Z. de Azevedo, C. R. W. Guimaraes, L. S. M. Miranda, R. O. M. A. de Souza. Org. Process Res. Dev.22, 467 (2018).10.1021/acs.oprd.8b00017Suche in Google Scholar
[15] E. D. Chrysina. Mini-Rev. Med. Chem.10, 1093 (2010).10.2174/1389557511009011093Suche in Google Scholar PubMed
[16] R. Kurukulasuriya, J. T. Link, D. J. Madar, Z. Pei, S. J. Richards, J. J. Rohde, A. J. Souers, B. G. Szczepankiewicz. Curr. Med. Chem.10, 123 (2003).10.2174/0929867033368556Suche in Google Scholar PubMed
[17] S. A. Ross, E. A. Gulve, M. H. Wang. Chem. Rev.104, 1255 (2004).10.1021/cr0204653Suche in Google Scholar PubMed
[18] L. Agius. Best Pract. Res. Clin. Endocrin. Metab.21, 587 (2007).10.1016/j.beem.2007.09.001Suche in Google Scholar PubMed
[19] B. R. Henke. RSC Drug Discov. Ser.27, 324 (2012).10.1039/9781849735322-00324Suche in Google Scholar
[20] N. G. Oikonomakos. Curr. Protein Pept. Sci.3, 561 (2002).10.2174/1389203023380422Suche in Google Scholar PubMed
[21] L. Somsák, K. Czifrák, M. Tóth, É. Bokor, E. D. Chrysina, K. M. Alexacou, J. M. Hayes, C. Tiraidis, E. Lazoura, D. D. Leonidas, S. E. Zographos, N. G. Oikonomakos. Curr. Med. Chem.15, 2933 (2008).10.2174/092986708786848659Suche in Google Scholar PubMed
[22] J.-P. Praly, S. Vidal. Mini Rev. Med. Chem.10, 1102 (2010).10.2174/1389557511009011102Suche in Google Scholar PubMed
[23] L. Somsák. Compt. Rend. Chim.14, 211 (2011).10.1016/j.crci.2010.09.004Suche in Google Scholar
[24] J. M. Hayes, A. L. Kantsadi, D. D. Leonidas. Phytochem. Rev.13, 471 (2014).10.1007/s11101-014-9360-6Suche in Google Scholar
[25] N. Gaboriaud-Kolar, A.-L. Skaltsounis. Expert Opin. Ther. Patents23, 1017 (2013).10.1517/13543776.2013.794790Suche in Google Scholar
[26] M. Donnier-Maréchal, S. Vidal. Expert Opin. Ther. Patents26, 199 (2016).10.1517/13543776.2016.1131268Suche in Google Scholar
[27] W. Tracey, J. Treadway, W. Magee, R. McPherson, C. Levy, D. Wilder, Y. Li, C. Yue, W. Zavadoski, E. Gibbs, A. Smith, D. Flynn, D. Knight. Diabetes52, A135 (2003).Suche in Google Scholar
[28] W. R. Tracey, J. L. Treadway, W. P. Magee, J. C. Sutt, R. K. McPherson, C. B. Levy, D. E. Wilder, L. J. Yu, Y. Chen, R. M. Shanker, A. K. Mutchler, A. H. Smith, D. M. Flynn, D. R. Knight. Am. J. Physiol.: Heart Circul. Physiol.286, H1177 (2004).10.1152/ajpheart.00652.2003Suche in Google Scholar
[29] L. Xu, H. Sun. Mini-Rev. Med. Chem.10, 1188 (2010).10.2174/1389557511009011188Suche in Google Scholar
[30] T. Guan, Y. S. Qian, X. Z. Tang, M. H. Huang, L. F. Huang, Y. M. Li, H. B. Sun. J. Neurosci. Res.89, 1829 (2011).10.1002/jnr.22671Suche in Google Scholar
[31] J. B. Schnier, K. Nishi, A. Monks, F. A. Gorin, E. M. Bradbury. Biochem. Biophys. Res. Commun.309, 126 (2003).10.1016/S0006-291X(03)01542-0Suche in Google Scholar
[32] J.-F. Geschwind, C. S. Georgiades, Y. H. Ko, P. L. Pedersen. Expert Rev. Anticancer Ther.4, 449 (2004).10.1586/14737140.4.3.449Suche in Google Scholar PubMed
[33] L. G. Boros, V. L. W. Go, W.-N. P. Lee. Pancreas27, 368 (2003).10.1097/00006676-200311000-00016Suche in Google Scholar
[34] E. Favaro, K. Bensaad, M. G. Chong, D. A. Tennant, D. J. P. Ferguson, C. Snell, G. Steers, H. Turley, J.-L. Li, U. L. Günther, F. M. Buffa, A. McIntyre, A. L. Harris. Cell Metab.16, 751 (2012).10.1016/j.cmet.2012.10.017Suche in Google Scholar PubMed
[35] C. E. Zois, E. Favaro, A. L. Harris. Biochem. Pharmacol.92, 3 (2014).10.1016/j.bcp.2014.09.001Suche in Google Scholar PubMed
[36] C. E. Zois, A. L. Harris. J. Mol. Med.94, 137 (2016).10.1007/s00109-015-1377-9Suche in Google Scholar PubMed PubMed Central
[37] K. A. Watson, E. P. Mitchell, L. N. Johnson, G. Cruciani, J. C. Son, C. J. F. Bichard, G. W. J. Fleet, N. G. Oikonomakos, M. Kontou, S. E. Zographos. Acta Cryst.D51, 458 (1995).10.1107/S090744499401348XSuche in Google Scholar PubMed
[38] Z. Györgydeák, Z. Hadady, N. Felföldi, A. Krakomperger, V. Nagy, M. Tóth, A. Brunyánszky, T. Docsa, P. Gergely, L. Somsák. Bioorg. Med. Chem.12, 4861 (2004).10.1016/j.bmc.2004.07.013Suche in Google Scholar PubMed
[39] G. A. Patani, E. J. LaVoie. Chem. Rev.96, 3147 (1996).10.1021/cr950066qSuche in Google Scholar PubMed
[40] L. M. A. Lima, E. J. Barreiro. Curr. Med. Chem.12, 23 (2005).10.2174/0929867053363540Suche in Google Scholar PubMed
[41] N. A. Meanwell. J. Med. Chem.54, 2529 (2011).10.1021/jm1013693Suche in Google Scholar PubMed
[42] E. Bonandi, G. Fumagalli, D. Perdicchia, M. S. Christodoulou, G. Rastelli, D. Passarella. Drug Discov. Today22, 1572 (2017).10.1016/j.drudis.2017.05.014Suche in Google Scholar PubMed
[43] A. L. Kantsadi, É. Bokor, S. Kun, G. A. Stravodimos, D. S. M. Chatzileontiadou, D. D. Leonidas, É. Juhász-Tóth, A. Szakács, G. Batta, T. Docsa, P. Gergely, L. Somsák. Eur. J. Med. Chem.123, 737 (2016).10.1016/j.ejmech.2016.06.049Suche in Google Scholar PubMed
[44] É. Bokor, S. Kun, T. Docsa, P. Gergely, L. Somsák. ACS Med. Chem. Lett.6, 1215 (2015).10.1021/acsmedchemlett.5b00361Suche in Google Scholar PubMed PubMed Central
[45] É. Bokor, E. Szilágyi, T. Docsa, P. Gergely, L. Somsák. Carbohydr. Res.381, 179 (2013).10.1016/j.carres.2013.01.011Suche in Google Scholar PubMed
[46] E. Szennyes, É. Bokor, G. Batta, T. Docsa, P. Gergely, L. Somsák. RSC Adv.6, 94787 (2016).10.1039/C6RA21839CSuche in Google Scholar
[47] S. Kun, É. Bokor, Á. Sipos, T. Docsa, L. Somsák. Molecules23, 666 (2018).10.3390/molecules23030666Suche in Google Scholar PubMed PubMed Central
[48] B. Kónya, T. Docsa, P. Gergely, L. Somsák. Carbohydr. Res.351, 56 (2012).10.1016/j.carres.2012.01.020Suche in Google Scholar PubMed
[49] E. D. Chrysina, É. Bokor, K.-M. Alexacou, M.-D. Charavgi, G. N. Oikonomakos, S. E. Zographos, D. D. Leonidas, N. G. Oikonomakos, L. Somsák. Tetrahedron: Asymm.20, 733 (2009).10.1016/j.tetasy.2009.03.021Suche in Google Scholar
[50] É. Bokor, T. Docsa, P. Gergely, L. Somsák. Bioorg. Med. Chem.18, 1171 (2010).10.1016/j.bmc.2009.12.043Suche in Google Scholar PubMed
[51] S. Kun, G. Z. Nagy, M. Tóth, L. Czecze, A. Nguyen van Nhien, T. Docsa, P. Gergely, M.-D. Charavgi, P. V. Skourti, E. D. Chrysina, T. Patonay, L. Somsák. Carbohydr. Res.346, 1427 (2011).10.1016/j.carres.2011.03.004Suche in Google Scholar PubMed
[52] É. Bokor, C. Koppány, Z. Gonda, Z. Novák, L. Somsák. Carbohydr. Res.351, 42 (2012).10.1016/j.carres.2012.01.004Suche in Google Scholar PubMed
[53] É. Bokor, T. Docsa, P. Gergely, L. Somsák. ACS Med. Chem. Lett.4, 612 (2013).10.1021/ml4001529Suche in Google Scholar PubMed PubMed Central
[54] É. Bokor, A. Fekete, G. Varga, B. Szőcs, K. Czifrák, I. Komáromi, L. Somsák. Tetrahedron69, 10391 (2013).10.1016/j.tet.2013.09.099Suche in Google Scholar
[55] S. Kun, É. Bokor, G. Varga, B. Szőcs, A. Páhi, K. Czifrák, M. Tóth, L. Juhász, T. Docsa, P. Gergely, L. Somsák. Eur. J. Med. Chem.76, 567 (2014).10.1016/j.ejmech.2014.02.041Suche in Google Scholar PubMed
[56] J. Begum, G. Varga, T. Docsa, P. Gergely, J. M. Hayes, L. Juhász, L. Somsák. Med. Chem. Comm.6, 80 (2015).10.1039/C4MD00335GSuche in Google Scholar
[57] B. Szőcs, É. Bokor, K. E. Szabó, A. Kiss-Szikszai, M. Tóth, L. Somsák. RSC Adv.5, 43620 (2015).10.1039/C5RA05702GSuche in Google Scholar
[58] É. Bokor, Z. Széles, T. Docsa, P. Gergely, L. Somsák. Carbohydr. Res.429, 128 (2016).10.1016/j.carres.2015.12.005Suche in Google Scholar PubMed
[59] E. K. Szabó, A. Páhi, L. Somsák. Tetrahedron73, 3810 (2017).10.1016/j.tet.2017.05.014Suche in Google Scholar
[60] A. L. Kantsadi, G. A. Stravodimos, E. Kyriakis, D. S. Chatzileontiadou, T. G. Solovou, S. Kun, É. Bokor, L. Somsák, D. D. Leonidas J. Struct. Biol.199, 57 (2017).10.1016/j.jsb.2017.05.001Suche in Google Scholar PubMed
[61] S. Kun, J. Begum, E. Kyriakis, E. C. V. Stamati, T. A. Barkas, E. Szennyes, É. Bokor, E. K. Szabó, G. A. Stravodimos, Á. Sipos, T. Docsa, P. Gergely, C. Moffatt, M. S. Patraskaki, M. S. Kokolaki, A. Gkerdi, V. T. Skamnaki, D. D. Leonidas, L. Somsák, J. M. Hayes. Eur. J. Med. Chem.147, 266 (2018).10.1016/j.ejmech.2018.01.095Suche in Google Scholar PubMed
[62] E. Kyriakis, T. G. A. Solovou, S. Kun, K. Czifrák, B. Szőcs, L. Juhász, É. Bokor, G. A. Stravodimos, A. L. Kantsadi, D. S. M. Chatzileontiadou, V. T. Skamnaki, L. Somsák, D. D. Leonidas. Bioorg. Chem.77, 485 (2018).10.1016/j.bioorg.2018.02.008Suche in Google Scholar PubMed
[63] M. Polyák, G. Varga, B. Szilágyi, L. Juhász, T. Docsa, P. Gergely, J. Begum, J. M. Hayes, L. Somsák. Bioorg. Med. Chem.21, 5738 (2013).10.1016/j.bmc.2013.07.024Suche in Google Scholar PubMed
[64] Z. Hadady, M. Tóth, L. Somsák. Arkivoc(vii) 140 (2004).10.3998/ark.5550190.0005.711Suche in Google Scholar
[65] B. Szőcs, M. Tóth, T. Docsa, P. Gergely, L. Somsák. Carbohydr. Res.381, 187 (2013).10.1016/j.carres.2013.03.009Suche in Google Scholar PubMed
[66] M. Tóth, B. Szőcs, T. Kaszás, T. Docsa, P. Gergely, L. Somsák. Carbohydr. Res.381, 196 (2013).10.1016/j.carres.2013.04.025Suche in Google Scholar PubMed
[67] M. Tóth, S. Kun, É. Bokor, M. Benltifa, G. Tallec, S. Vidal, T. Docsa, P. Gergely, L. Somsák, J.-P. Praly. Bioorg. Med. Chem.17, 4773 (2009).10.1016/j.bmc.2009.04.036Suche in Google Scholar PubMed
[68] N. Al-Masoudi, N. A. Hassan, Y. A. Al-Soud, P. Schmidt, A. Gaafar, M. Weng, S. Marino, A. Schoch, A. Amer, J. C. Jochims. J. Chem. Soc. Perkin. Trans. 1, 947 (1998).10.1039/a707079iSuche in Google Scholar
[69] N. A. Al-Masoudi, Y. A. Al-Soud, I. A. I. Ali. Nucl. Nucl. Nucl. Acids26, 37 (2007).10.1080/15257770601052265Suche in Google Scholar PubMed
[70] T. Granier, A. Vasella. Helv. Chim. Acta78, 1738 (1995).10.1002/hlca.19950780707Suche in Google Scholar
[71] E. Szennyes. PhD Thesis, University of Debrecen, Debrecen (2019).Suche in Google Scholar
[72] E. Szennyes, É. Bokor, T. Docsa, Á. Sipos, L. Somsák. Carbohydr. Res.472, 33 (2019).10.1016/j.carres.2018.11.003Suche in Google Scholar PubMed
[73] E. Szennyes, É. Bokor, A. Kiss, L. Somsák, Y. Pascal. in Carbohydrate Chemistry: Proven Synthetic Methods, C. Vogel, P. V. Murphy (Eds.), pp. 323–332, CRC Press, Boca Raton (2017).10.1201/9781315120300-38Suche in Google Scholar
[74] H. Togo, S. Ishigami, M. Fujii, T. Ikuma, M. Yokoyama. J. Chem. Soc. Perkin Trans. 1, 2931 (1994).10.1039/p19940002931Suche in Google Scholar
[75] M. G. Hoffmann, R. R. Schmidt. Liebigs Ann. Chem. 2403 (1985).10.1002/jlac.198519851211Suche in Google Scholar
[76] M. Löpfe, J. S. Siegel. Nucl. Nucl. Nucl. Acids26, 1029 (2007).10.1080/15257770701508695Suche in Google Scholar PubMed
[77] E. Szennyes, É. Bokor, P. Langer, G. Gyémánt, T. Docsa, Á. Sipos, L. Somsák. New. J. Chem.42, 17439 (2018).10.1039/C8NJ04035DSuche in Google Scholar
[78] T. Gimisis. Mini-Rev. Med. Chem.10, 1127 (2010).10.2174/1389557511009011127Suche in Google Scholar PubMed
[79] A. L. Kantsadi, J. M. Hayes, S. Manta, V. T. Skamnaki, C. Kiritsis, A. M. G. Psarra, Z. Koutsogiannis, A. Dimopoulou, S. Theofanous, N. Nikoleousakos, P. Zoumpoulakis, M. Kontou, G. Papadopoulos, S. E. Zographos, D. Komiotis, D. D. Leonidas. ChemMedChem.7, 722 (2012).10.1002/cmdc.201100533Suche in Google Scholar PubMed
[80] M. Mamais, A. Degli Esposti, V. Kouloumoundra, T. Gustavsson, F. Monti, A. Venturini, E. D. Chrysina, D. Markovitsi, T. Gimisis. Chem. Eur. J.23, 8800 (2017).10.1002/chem.201701591Suche in Google Scholar PubMed
[81] L. Somsák, L. Kovács, M. Tóth, E. Ősz, L. Szilágyi, Z. Györgydeák, Z. Dinya, T. Docsa, B. Tóth, P. Gergely. J. Med. Chem.44, 2843 (2001).10.1021/jm010892tSuche in Google Scholar PubMed
[82] L. Somsák, É. Bokor, B. Czibere, K. Czifrák, C. Koppány, L. Kulcsár, S. Kun, E. Szilágyi, M. Tóth, T. Docsa, P. Gergely. Carbohydr. Res.399, 38 (2014).10.1016/j.carres.2014.05.020Suche in Google Scholar PubMed
[83] D. Goyard, M. Baron, P. V. Skourti, A. S. Chajistamatiou, T. Docsa, P. Gergely, E. D. Chrysina, J. P. Praly, S. Vidal. Carbohydr. Res.364, 28 (2012).10.1016/j.carres.2012.09.020Suche in Google Scholar PubMed
[84] É. Bokor, E. Szennyes, T. Csupász, N. Tóth, T. Docsa, P. Gergely, L. Somsák. Carbohydr. Res.412, 71 (2015).10.1016/j.carres.2015.04.016Suche in Google Scholar PubMed
[85] É. Bokor, E. Kyriakis, T. G. A. Solovou, C. Koppány, A. L. Kantsadi, K. E. Szabó, A. Szakács, G. A. Stravodimos, T. Docsa, V. T. Skamnaki, S. E. Zographos, P. Gergely, D. D. Leonidas, L. Somsák. J. Med. Chem.60, 9251 (2017).10.1021/acs.jmedchem.7b01056Suche in Google Scholar PubMed
[86] T. Docsa, K. Czifrák, C. Hüse, L. Somsák, P. Gergely. Mol. Med. Rep.4, 477 (2011).Suche in Google Scholar
[87] T. Docsa, B. Marics, J. Németh, C. Hüse, L. Somsák, P. Gergely, B. Peitl. Curr. Top. Med. Chem.15, 2390 (2015).10.2174/1568026615666150622091407Suche in Google Scholar PubMed
[88] L. Nagy, T. Docsa, A. Brunyánszki, M. Szántó, C. Hegedűs, J. Márton, B. Kónya, L. Virág, L. Somsák, P. Gergely, P. Bai. PLoS One8, e69420 (2013).10.1371/journal.pone.0069420Suche in Google Scholar
[89] L. Nagy, J. Márton, A. Vida, G. Kis, É. Bokor, S. Kun, M. Gönczi, T. Docsa, A. Tóth, M. Antal, P. Gergely, B. Csóka, P. Pacher, L. Somsák, P. Bai. Br. J. Pharmacol.175, 301 (2018).10.1111/bph.13819Suche in Google Scholar
[90] D. Goyard, B. Kónya, A. S. Chajistamatiou, E. D. Chrysina, J. Leroy, S. Balzarin, M. Tournier, D. Tousch, P. Petit, C. Duret, P. Maurel, L. Somsák, T. Docsa, P. Gergely, J.-P. Praly, J. Azay-Milhau, S. Vidal. Eur. J. Med. Chem.108, 444 (2016).10.1016/j.ejmech.2015.12.004Suche in Google Scholar
[91] M. Tóth, L. Somsák. Tetrahedron Lett.42, 2723 (2001).10.1016/S0040-4039(01)00223-4Suche in Google Scholar
[92] M. Tóth, L. Somsák. J. Chem. Soc. Perkin Trans. 1, 942 (2001).10.1039/b102963kSuche in Google Scholar
[93] M. Tóth, K. E. Kövér, A. Bényei, L. Somsák. Org. Biomol. Chem.1, 4039 (2003).10.1039/B307378ESuche in Google Scholar
[94] M. Tóth, L. Somsák, D. Goyard. in Carbohydrate Chemistry: Proven Synthetic Methods, P. Kováč (Ed.), pp. 355–365. CRC Press, Boca Raton (2012).Suche in Google Scholar
[95] M. Tóth, L. Somsák. Carbohydr. Res.338, 1319 (2003).10.1016/S0008-6215(03)00163-0Suche in Google Scholar
[96] I. A. S. Smellie, A. Fromm, R. M. Paton. Tetrahedron Lett.50, 4104 (2009).10.1016/j.tetlet.2009.04.118Suche in Google Scholar
[97] I. A. S. Smellie, A. Fromm, F. Fabbiani, I. D. H. Oswald, F. J. White, R. M. Paton. Tetrahedron66, 7155 (2010).10.1016/j.tet.2010.06.076Suche in Google Scholar
[98] I. A. S. Smellie, A. Fromm, S. A. Moggach, R. M. Paton. Carbohydr. Res.346, 43 (2011).10.1016/j.carres.2010.09.028Suche in Google Scholar PubMed
[99] M. Tóth, S. Kun, L. Somsák, D. Goyard. in Carbohydrate Chemistry: Proven Synthetic Methods, P. Kováč, (Ed.), pp. 367–375. CRC Press, Boca Raton (2012).Suche in Google Scholar
[100] J. József, L. Juhász, L. Somsák. New. J. Chem.43, 5670 (2019).10.1039/C8NJ06138FSuche in Google Scholar
[101] L. Lázár, M. Csávás, Á. Hadházi, M. Herczeg, M. Tóth, L. Somsák, T. Barna, P. Herczegh, A. Borbás. Org. Biomol. Chem.11, 5339 (2013).10.1039/c3ob40547hSuche in Google Scholar PubMed
[102] L. Lázár, M. Csávás, M. Tóth, L. Somsák, A. Borbás. Chem. Pap.69, 889 (2015).10.1515/chempap-2015-0085Suche in Google Scholar
[103] J. József, L. Juhász, T. Z. Illyés, M. Csávás, A. Borbás, L. Somsák. Carbohydr. Res.413, 63 (2015).10.1016/j.carres.2015.05.008Suche in Google Scholar PubMed
[104] L. Lázár, L. Juhász, G. Batta, A. Borbás, L. Somsák. New J. Chem.41, 1284 (2017).10.1039/C6NJ03751HSuche in Google Scholar
[105] T. Kaszás, M. Tóth, S. Kun, L. Somsák. RSC Adv.7, 10454 (2017).10.1039/C6RA27282GSuche in Google Scholar
[106] T. Kaszás, M. Tóth, L. Somsák. New J. Chem.41, 13871 (2017).10.1039/C7NJ03069JSuche in Google Scholar
[107] T. Kaszás, A. Ivanov, M. Tóth, P. Ehlers, P. Langer, L. Somsák. Carbohydr. Res.466, 30 (2018).10.1016/j.carres.2018.02.010Suche in Google Scholar PubMed
[108] T. Kaszás, M. Tóth, P. Langer, L. Somsák. Adv. Synth. Catal.361, 105 (2019).10.1002/adsc.201801059Suche in Google Scholar
©2019 IUPAC & De Gruyter. This work is licensed under a Creative Commons Attribution-NonCommercial-NoDerivatives 4.0 International License. For more information, please visit: http://creativecommons.org/licenses/by-nc-nd/4.0/
Artikel in diesem Heft
- Frontmatter
- In this issue
- Papers from the 29th International Carbohydrate Symposium (14–19 July 2018, Lisbon, Portugal)
- New insight on the structural diversity of holothurian fucosylated chondroitin sulfates
- Carbohydrates and BODIPYs: access to bioconjugatable and water-soluble BODIPYs
- Novel dodecyl-containing azido and glucuronamide-based nucleosides exhibiting anticancer potential
- Discovery of N-methylpiperazinyl flavones as a novel class of compounds with therapeutic potential against Alzheimer’s disease: synthesis, binding affinity towards amyloid β oligomers (Aβo) and ability to disrupt Aβo-PrPC interactions
- Stereoselective synthesis of sugar mimetics from simple monosaccharides
- Solvent issues in the Baylis-Hillman reaction of 5-hydroxymethyl furfural (HMF) and 5-glucosyloxymethyl furfural (GMF). Towards no-solvent conditions
- New syntheses towards C-glycosyl type glycomimetics
- Liquefaction of almond husk for assessment as feedstock to obtain valuable bio-oils
- Galactosyl and sialyl clusters: synthesis and evaluation against T. cruzi parasite
- 2-Deoxyglycosylation towards more effective and bioavailable neuroprotective molecules inspired by nature
- Conformational changes in common monosaccharides caused by per-O-sulfation
- Contribution of non-enzymatic transglycosylation reactions to the honey oligosaccharides origin and diversity
- Acid-mediated N-iodosuccinimide-based thioglycoside activation for the automated solution-phase synthesis of α-1,2-linked-rhamnopyranosides
- Synthesis and biological evaluation of S-simplexides and other analogues of simplexide
Artikel in diesem Heft
- Frontmatter
- In this issue
- Papers from the 29th International Carbohydrate Symposium (14–19 July 2018, Lisbon, Portugal)
- New insight on the structural diversity of holothurian fucosylated chondroitin sulfates
- Carbohydrates and BODIPYs: access to bioconjugatable and water-soluble BODIPYs
- Novel dodecyl-containing azido and glucuronamide-based nucleosides exhibiting anticancer potential
- Discovery of N-methylpiperazinyl flavones as a novel class of compounds with therapeutic potential against Alzheimer’s disease: synthesis, binding affinity towards amyloid β oligomers (Aβo) and ability to disrupt Aβo-PrPC interactions
- Stereoselective synthesis of sugar mimetics from simple monosaccharides
- Solvent issues in the Baylis-Hillman reaction of 5-hydroxymethyl furfural (HMF) and 5-glucosyloxymethyl furfural (GMF). Towards no-solvent conditions
- New syntheses towards C-glycosyl type glycomimetics
- Liquefaction of almond husk for assessment as feedstock to obtain valuable bio-oils
- Galactosyl and sialyl clusters: synthesis and evaluation against T. cruzi parasite
- 2-Deoxyglycosylation towards more effective and bioavailable neuroprotective molecules inspired by nature
- Conformational changes in common monosaccharides caused by per-O-sulfation
- Contribution of non-enzymatic transglycosylation reactions to the honey oligosaccharides origin and diversity
- Acid-mediated N-iodosuccinimide-based thioglycoside activation for the automated solution-phase synthesis of α-1,2-linked-rhamnopyranosides
- Synthesis and biological evaluation of S-simplexides and other analogues of simplexide
























