Abstract
The multivalent effect of carbohydrates (glycoclusters) has been explored to study important biological targets and processes involving Trypanosoma cruzi (T. cruzi) infection. Likewise, CuAAC cycloaddition reactions (click chemistry) have been applied as useful strategy in the discovery of bioactive molecules. Hence, we describe the synthesis of 1,2,3-triazole-based tetravalent homoglycoclusters (1–3) and heteroglycoclusters (4 and 5) of d-galactopyranose (C-1 and C-6 positions) and sialic acid (C-2 position) to assess their potential to inhibit T. cruzi cell invasion and also its cell surface trans-sialidase (TcTS). The target compounds were synthesised in good yields (52–75 %) via click chemistry by coupling azidosugars galactopyranose and sialic acid with alkynylated pentaerythritol or tris(hydroxymethyl)-aminomethane (TRIS) scaffolds. T. cruzi cell invasion inhibition assays showed expressive low parasite infection index values (5.3–6.8) for most compounds. However, most glycoclusters proved to be weak TcTS inhibitors at 1 mM (<17 %), except the tetravalent sialic acid 3 (99 % at 1 mM, IC50 450 μM). Therefore, we assume that T. cruzi cell invasion blockage is not due to TcTS inhibition by itself, but rather by other mechanisms involved in this process. In addition, all glycoclusters were not cytotoxic and had significant trypanocidal activity upon parasite survival of amastigote forms.
Introduction
Chagas disease (American Trypanosomiasis) is a parasitic illness caused by the protozoan Trypanosoma cruzi (T. cruzi) and is considered one of the most significant neglected diseases. Though limited to Latin America in the past, the disease is currently spread to other continents due mainly to population mobility and approximately seven million people are infected worldwide [1], [2]. Amongst the different ways of transmission, the most common is by contact with faeces of infected triatomine bugs. The highly infectious trypomastigote form circulates in the bloodstream and invades cells to escape from the host immune system and to differentiate in amastigote form until cell disruption and subsequent spread of the parasite [3], [4]. The current medical treatment relies on the two old nitro-heterocyclic drugs benznidazole and nifurtimox, which present severe side effects and poor efficacy in chronic stages. In this sense, the treatment remains unsatisfactory and consequently the need of new drugs demands urgent action [4], [5].
T. cruzi expresses a unique cell surface trans-sialidase enzyme (TcTS) that catalyzes the transfer of sialic acids from host glycoconjugates to terminal β-galactopyranosyl residues of mucin-like glycoproteins present on the parasite surface. As a result of this trans-sialylation, the parasite can be recognized by host cells and becomes protected against the host immune responses. In fact, TcTS is involved in crucial interactions between host cells and parasite that regulate cellular invasion processes and infection. Moreover, the evidence that TcTS high level in the bloodstream has a great impact on the parasite persistence and pathogenesis during the acute phase of the disease [6] makes this enzyme an important drug target to be explored [7], [8], [9]. Additionally, there are no potent reversible inhibitors at nanomolar range toward this enzyme to date [10], [11].
It is well known that copper-catalyzed azide-alkyne cycloaddition – CuAAC (‘click chemistry’) [12], [13] and multivalency (glycoclusters, oligomers, dendrimers, etc.) [14], [15] are relevant concepts in the discovery of bioactive molecules and have been extensively applied to a wide range of targets. Despite considerable structural similarity to microbial and viral sialidases (neuraminidases), TcTS is primarily insensitive to the classical inhibitors used as anti-flu drugs (oseltamivir and zanamivir) and the use of multivalent approach has not been extensively applied to TcTS, such as sialylated conjugates installed on dendrimers [16], [17], calixarene [18], fullerene [19] and dendrimeric carbosilane [15] scaffolds that showed potent inhibitory activity against human influenza virus and other enzymes.
Based on the extensive study of T. cruzi surface trans-sialidase and mucin glycoproteins, we have previously reported that linear and cyclic pseudo-galactooligosaccharides, [20] and larger macrocycles [21] were recognized as acceptor substrate by TcTS. Furthermore, the ability of these TcTS ligands to block T. cruzi invasion to macrophages encourage us to continue these studies focusing on a multivalent approach using β-galactopyranoside and sialic acid residues as natural substrates for enhancing the ligand recognition by parasite membrane proteins and prevent the cellular invasion process. Thus, multivalent non-hydrolysable 1,2,3-triazole-linked sugars could provide higher local concentration of galactose, sialic acid or both ligands at the acceptor and donor TcTS subsites during the trans-sialylation reaction acting with high affinity through specific binding.
Hence, we envisaged the synthesis of tetravalent 1,2,3-triazole-linked d-galactopyranose at C-1 (1) and C-6 (2) positions and sialic acid at C-2 position (3) homoglycoclusters from pentaerythritol (Fig. 1) as well as heteroglycoclusters bearing three galactopyranose units and one sialic acid attached to a bifunctional scaffold (4 and 5) in order to evaluated their potential to block T. cruzi cell invasion. Moreover, TcTS inhibitory activity and parasite survival (trypanocidal activity against T. cruzi trypomastigote and amastigote forms) were also assessed.

Designed 1,2,3-triazole-based glycoclusters with potential activities against T. cruzi.
Results and discussion
Synthesis of tetravalent homoglycoclusters
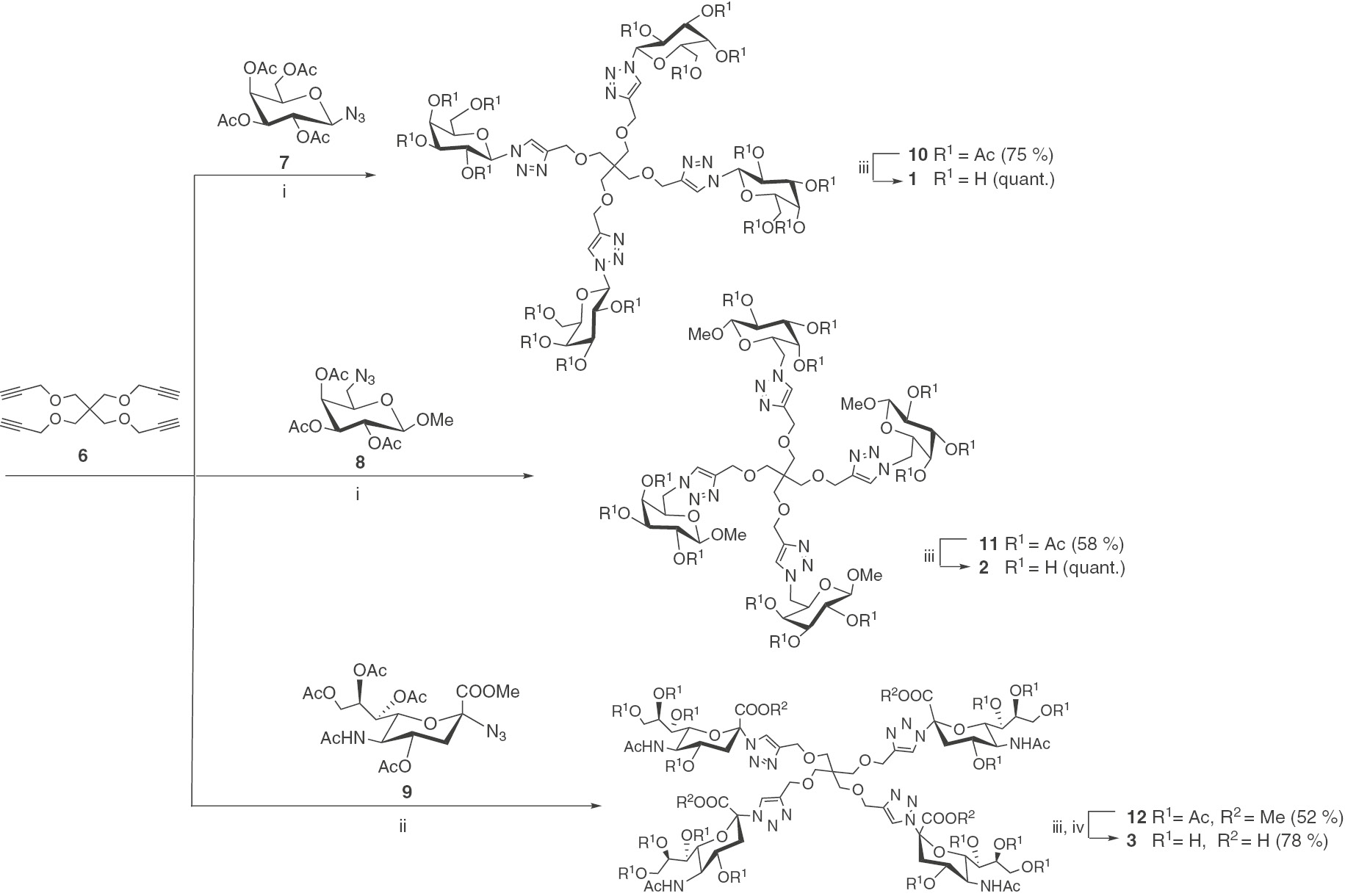
The conjugation of tetravalent cluster glycosides 1–3 onto a multifunctional scaffold (Scheme 1) required the previous preparation of the pentaerythritol-derived tetra-alkyne 6 and peracetylated sugar azides 7–9 as precursors (Scheme 2).

1,2,3-Triazole-based glycoclusters obtained from 1,3-dipolar cycloaddition reactions. Reagents and conditions: i. Alkyne 6 (0.025 mmol), azidosugars 7 or 8 (4.4 molar eq.), CuSO4 (0.05 molar eq.), sodium ascorbate (0.1 molar eq.), DMF (0.1 mL), microwave heating at 80°C, 15 min. (2×); ii. Alkyne 6 (0.025 mmol) azidosugar 9 (4.4 molar eq.), CuSO4 (10%), Sodium ascorbate (0.05 mmol), DMF (0.2 mL), 60°C, 12 h. iii. NaOMe (1 M in methanol), MeOH (1 mL), 1.5 h, rt, then DOWEX® 50WX4-50; iv. KOH 0.2 M, 16 h.

Syntheses of alkyne 6 (a) and azidosugars 7 (b), 8 (c) and 9 (d). Reagents and conditions: i. Pentaerythritol (5 mmol), propargyl bromide, KOH/DMF, 50°C, 12 h. ii. 33% HBr/AcOH, r.t, 3 h. iii. NaN3, TBAHS, NaHCO3(aq), r.t, 18 h. iv. TsCl/Py. Ac2O2. v. NaN3, DMF, 100°C, 24 h. vi. TBAH, NaN3, DCM/H2O, r.t, 3 h.
The tetravalent alkyne 6 was synthesised in one step from commercially available pentaerythritol and propargyl bromide with KOH in anhydrous DMF in moderate yield (38%), as expected from literature (Scheme 2a) [16]. Galactose derivatives bearing an azide group at either C-1 or C-6 positions and sialic acid azide (functionalized at C-2) were prepared according to reported procedures (Scheme 2b-d) [22], [10], [23]. Briefly, 2,3,4,6-tetra-O-acetyl-β-d-galactopyranosyl azide 7 was obtained in two steps from peracetylated d-galactose in 90% overall yield [22]. The synthesis of methyl 2,3,4-tri-O-acetyl-6-azido-6-deoxy-β-d-galactopyranoside 8 [10] was carried out with initial formation of the corresponding 6-tosylate intermediate (methyl 2,3,4-tri-O-acetyl-6-tosyl-6-deoxy-β-d-galactopyranoside) in one-pot tosylation/acetylation reaction (47% overall yield) followed by displacement of tosyl group with NaN3 in DMF (90% yield). Lastly, α-sialic acid azide 9 was obtained in 63% yield in one step from the corresponding β-chloride and NaN3 using a phase-transfer catalysis method described by Tropper and co-workers (1991) [23].
A controlled number of bioactive ligands was achieved by coupling propargylated scaffold 6 with azidosugars 7–9via click chemistry to give protected glycoclusters 10–12 in good yields (52–72%) and selectivity (Scheme 1). The reactions were conducted on a small scale (0.025 mM of alkyne) with 10 mol% excess of azidosugar per alkyne functional group and with copper sulfate/sodium ascorbate for in situ generation of the Cu(I) catalyst [10]. The coupling reactions of compounds 7 and 8 with building block 6 were conducted in a sealed tube under microwave-assisted conditions at 80°C in DMF (0.1 mL). Despite some unsuccessful attempts to prepare glycocluster 12 using this same condition or the synthetic protocol described by Weïwer and co-workers (2009), [16] the desired compound was only obtained under conventional heating at 60°C in DMF (12 h). The structures of peracetylated 1,2,3-triazole-glycoclusters (10–12, Scheme 1) were confirmed by 1H and 13C NMR spectroscopy and HRMS-ESI analyses. 1H NMR spectra showed complete functionalization of alkyne 6 in all four positions as the four triazole hydrogens can be clearly observed in the range δ 7.75–8.16 ppm (see Supplementary material).
Subsequently, O-deacetylation with NaOMe (1 M in methanol) afforded the fully deprotected glycoclusters 1 and 2 in near quantitative yield. Treatment of dendrimer 12 with NaOMe (1 M in methanol) was followed by saponification of the methyl ester groups using KOH 0.2 M to afford compound 3 in 78% yield. Their structures were confirmed by 1H NMR spectroscopy which showed absence of the corresponding acetyl groups. HRMS-ESI analyses showed the characteristic adducts of [M+Na]+ or [M+H]+ for compounds 1–3.
Synthesis of heteroglycoclusters
The synthesis of two new tetravalent heteroglycoclusters (4 and 5) was conducted on the bifunctional dendrimer scaffold 13 using the same click chemistry approach to enable the arrangement of two non-identical ligands in a 3:1 ratio [24] (e.g. three galactopyranose units and one sialic acid moiety), as outlined in Scheme 3.

New heteroglycoclusters obtained from 1,3-dipolar cycloaddition reactions. Reagents and conditions: i. Building block 13 (0.15 mmol), azidosugars 7 or 8 (4.4 molar eq.), CuSO4 (0.03 molar eq.), Na ascorbate (0.1 molar eq.), DMF (0.1 mL), microwave heating at 80°C, 15 min. (3×). ii. 14 or 15 (0.11 mmol), CH2Cl2/TFA 80% (2 mL, v/v), 2 h, rt. iii. CuSO4 (0.023 mmol), imidazole-1-sulfonyl azide hydrosulfate (1.6 molar eq.), NaHCO3 (0.23 mmol), MeOH (4 mL). iv. Azide-functionalized dendrimer 18 or 19 (0.05 mmol), 2-propynyl-sialic acid 20 (0.05 mmol), CuSO4 (0.03 molar eq.), Na ascorbate (0.1 molar eq.), DMF (0.1 mL), microwave heating at 80°C, 15 min. (3×). v. KOH 0.2 M, 48 h. *Relative ratios of the two isomers were calculated based on NMR integration values.
The dendrimer scaffold 13 [25] was synthesised in two steps from commercially available tris(hydroxymethyl)aminomethane (TRIS) in 30% yield and the trivalent clusters clicked at galactopyranose C-1 (14) or C-6 (15) using azidosugars 7 and 8, (respectively) under similar reaction conditions as for galactoclusters 10 and 11. The Boc-cleavage of compounds 14 and 15 in acidic condition (TFA) afforded intermediates 16 and 17, which were subsequently converted to the corresponding azido dendrimers 18 and 19 in good yields (64% and 61%, respectively) by diazo-transfer reaction with imidazole-1-sulfonyl azide hydrogen sulfate [26] and CuSO4 in MeOH. The structures were confirmed by 1H NMR and 13C NMR spectroscopy as well as by HRMS-ESI analyses: [M+H]+ 1381.4550 calculated for C55H73N12O35+, found: 1381.4520 (18) and 1297.4703 calculated for C52H73N12O27+, found: 1297.4699 (19).
Coupling the azido-functionalized dendrimers 18 or 19 with 2-propynyl-sialic acid α/β mixture 20 [18] (under the same CuAAC conditions as for compounds 14 and 15) gave 21 and 22 in good yields (65%), which showed characteristic signals related to two distinct types of sugars with 3:1 ratio according to 1H and 13C NMR. For instance, the 1H NMR spectrum of compound 21 exhibited four signals corresponding to the triazole rings at δ 7.88 (3H, s) and 7.92 (1H, s) for isomer a and 7.86 (2.2 H, s) and 7.77 (0.66) for isomer b. The final deprotection step in KOH 1 M afforded compounds 4 and 5 in near quantitative yields. HRMS-ESI analyses showed the characteristic adducts of [M+H]+ or [M+Na]+ for protected and deprotected heteroglycoclusters (see Supplementary material). The isomeric mixture was not separated for biological assays and for structure confirmation of individual isomers.
Biological assays
Inhibition of T. cruzi cell invasion
Inhibition of fibroblast cells invasion by T. cruzi (Y strain) was performed by treating the cells (LLCMK2), previously adhered in circular coverslips, with compounds 1–5 (25–250 μM) followed by addition of trypomastigote forms (5 parasites/cell). The cultures were incubated for 18 h and the coverslips were fixed and stained to assess the cell infection levels [27], [28]. According to the results (Fig. 2), the glycoclusters 1–4 were able to significantly reduce the percentage of infected fibroblasts at 25 μM (Fig. 2c). The effect of the treatment caused a decreased value of cell infection, a 24% reduction on average when compared to non-treated cells (43%). Regarding the number of amastigotes within the cells (Fig. 2b), homo- and heteroglycoclusters 1–4 showed also reduction (0.20 parasite/cell on average) compared to the control (0.56 parasite/cell). Accordingly, the infection index values (percentage of infected cells multiplied by average number of amastigotes per cell) for compounds 1–4 were considerably low (Fig. 2c), ranging from 5.3 to 6.8 vs. 28.3 for the control. Despite the structural similarity between the heteroglycoclusters 4 and 5, the low inhibition activity of 5 may be explained by the different spatial arrangement of the galactose unit that could compromise important interactions between their exposed hydroxyl groups and molecules found on cell surface. Although it is not possible to stablish any study of structure-activity relationship, since both homo- and heteroglycoclusters (except 5) equally reduced the parasite infection, it is clear that most of them proved to efficiently inhibit cell invasion by T. cruzi. This promising result encouraged us to explore their possible trypanocidal effect upon trypomastigote and amastigote forms as well as inhibitory activity towards TcTS.

T. cruzi cell invasion inhibition for compounds 1–5 (25 μM). (a) Percentage of infected cells (fibroblasts); (b) Mean number of parasites (amastigotes) within the cell; (c) Infection index (percentage of infected cells multiplied by average number of amastigotes per cell). *p<005 for treated cells in comparison to control (medium) of a triplicate representative experiment. BZD: benznidazole. Ctrl-control.
Trypanocidal activity and cytotoxicity
Trypomastigote forms of T. cruzi (Y strain) were treated with compounds 1–5 in concentrations ranging from 62.5 to 250 μM in order to investigate their possible trypanocidal activity using resazurin method [29] and having the drug benznidazole (BZD) as positive control. Based on the results (Fig. 3a), none of the compounds showed significant trypanocidal effect at 250 μM, which is 10-fold higher than the concentration used in cell invasion inhibition assay. Therefore, the lack of trypanocidal activity and T. cruzi cell invasion inhibition are not correlated. In order to evaluate the cytotoxicity for mammalian cells by MTT method, [29] fibroblasts (LLCMK2) were seeded in 96-wells plates and exposed to different concentrations of compounds 1–5 62.5–250 μM. The results at 250 μM (Fig. 3b) indicated that the glycoclusters were not cytotoxic for LLCKM2 cells at the concentrations tested.

Trypanocidal and cytotoxicity assessment of compounds 1–5 (250 μM). (a) Trypanocidal activity by resazurin method using the drug benznidazole (BZD) as positive control; (b) Citotoxicity evaluated by MTT method in fibroblasts using H2O2 as positive control.
Trypanocidal activity for intracellular amastigotes
The trypanocidal activity of glycoclusters 1–5 for intracellular amastigote forms of T. cruzi was also evaluated by treating infected fibroblasts with the compounds in different concentrations (25–200 μM) for 48 h. Benznidazole was used as control at a concentration of 30 μM. Based on the results at 25 μM (Fig. 4), the lowest effective concentration tested in cell invasion inhibition assay, all glycoclusters reduced the percentage of infected cells (Fig. 4a), the average number of amastigotes per cell (Fig. 4b) and, consequently, of infection index (Fig. 4c), when compared to untreated cells. Although compound 5 showed the weakest trypanocidal activity, these results indicate that both homo- and heteroglycoclusters were more effective against intracellular parasites found in mammalian cells than extracellular forms.

Intracellular trypanocidal activity for compounds 1–5 (25 μM). (a) Percentage of infected cells (fibroblasts); (b) Number of parasites (amastigotes) within the cell; (c) Infection index (percentage of infected cells multiplied by average number of amastigotes per cell). *p<005 for treated cells in comparison to control (medium) of a triplicate experiment. BZD: benznidazole. Ctrl-control.
Inhibition of T. cruzi trans-sialidase (TcTS)
The inhibitory activities of the multivalent glycoclusters 1–5 toward T. cruzi trans-sialidase were evaluated by continuous fluorimetric assay, which is based on the residual hydrolase activity of TcTS that releases 4-methylumbelliferone (Mu) for detection upon cleavage of the substrate 2-(4-methylumbelliferyl)-α-d-N-acetylneuraminic acid (MuNANA) [30]. Compounds 1–5 were initially assessed at 1.0 mM in the presence of the substrate MuNANA at 0.1 mM and pyridoxal phosphate was used as positive control [31].
According to the results (Fig. 5), only the tetravalent sialic acid glycocluster 3 showed high inhibitory activity (99%, IC50 450 μM) against TcTS, whereas weak or no inhibitory activity was observed for the other glycoclusters (0–17%). Although compounds 1, 2, 4 and 5 display a β-galactose unit, which is in principle able to naturally bind to TcTS active site in the acceptor substrate pocket, the lack of inhibition may be explained by no relevant impact of these compounds upon hydrolysis, even considering their potential to bind to the catalytic site. On the other hand, the outstanding inhibitory activity of the sialic acid-based derivative 3 strongly suggests a possible competition with MuNANA for the donor substrate pocket, thus affecting the enzymatic reaction outcome. More importantly and also unexpected, these results seem not to be associated with the expressive low parasite infection index values of compounds 1–4, since TcTS is well-known to be involved in key interactions between host cells and parasite that control cellular invasion processes. In this context, we may assume that T. cruzi cell invasion blockage observed for 1–4 is not a consequence of TcTS inhibition, rather other mechanisms should be involved in this process.

TcTS inhibition by galactosyl and sialyl clusters 1–5 (1.0 mM) performed by fluorimetric assay. Pyridoxal phosphate was used as positive control.
Conclusions
We have successfully designed and synthesised 1,2,3-triazole-based tetravalent homoglycoclusters (1–3) and heteroglycoclusters (4 and 5) of d-galactopyranose and sialic acid via CuAAC cycloaddition reactions in good yields (52–75%) after few steps. Remarkably, most glycoclusters exhibited expressive low parasite infection index values (5.3–6.8), thus proving to be highly potent inhibitors of T. cruzi cell invasion. On the other hand, most glycoclusters showed only weak TcTS inhibition activity at 1 mM (<17%), except the tetravalent sialic acid 3 (99%, IC50 450 μM). Therefore, we may assume that T. cruzi cell invasion blockage is not due to TcTS inhibition by itself, but rather by other mechanisms involved in this process. Additionally, all glycoclusters were assessed for cytotoxicity and trypanocidal activity in fibroblasts, however none of them were neither cytotoxic nor had a significant inhibitory activity upon T. cruzi trypomastigote forms. Therefore, glycoclusters 1–4 can be considered promising trypanocidal compounds taking into account their great ability to block cell invasion by T. cruzi and drastically reduce the intracellular parasite infection (amastigote forms). Further studies are underway to better understand their mechanism of action.
Experimental
General
All chemicals were purchased as reagent grade and used without further purification. Reactions were monitored by thin layer chromatography (TLC) on 0.25 nm precoated silica gel plates (Whatman, AL SIL G/UV, aluminium backing) with the indicated eluents. Compounds were visualized under UV light (254 nm) and/or dipping in ethanol-sulfuric acid (95:5, v/v), followed by heating the plate for a few minutes. Nuclear magnetic resonance (NMR) spectra were recorded on Bruker Avance DRX 300 (300 MHz), DPX 400 (400 MHz) or DPX 500 (500 MHz) spectrometers. Chemical shifts (δ) are given in parts per million downfield from tetramethylsilane (TMS). Assignments were made with the aid of HMQC and COSY experiments. Accurate mass electrospray ionization mass spectra (HRMS-ESI) were obtained using positive or negative ionization modes on a Bruker Daltonics MicroOTOF II ESI-TOF mass spectrometer.
Synthesis
3-(3-(prop-2-yn-1-yloxy)-2,2-bis((prop-2-yn-1-yloxy)methyl)propoxy)prop-1-yne 6
Pentaerythritol (0.34 g, 5 mmol), KOH (powder) (4.25 g, 76 mmol) and DMF (15 mL) were stirred at 0°C for 5 min. An 80% solution of propargyl bromide in toluene (60 mmol, 10 mL) was added dropwise and the mixture was kept at 50°C for 12 h. After cooling to room temperature, the mixture was extracted with diethyl ether, dried over anhydrous Na2SO4, filtered and the solvents evaporated. After flash chromatography on silica gel [petroleum ether/EtOAc, v/v, 1:1], compound 6 was obtained as a yellow syrup (0.547 g, 1.9 mmol, 38%). 1H NMR (400 MHz, CDCl3) δ: 4.13 (8H, d, J 2.3 Hz, J3,5 2.3 Hz, H-3), 3.54 (8H, s, H-2), 2.41 (4H, t, J3,5 2.3 Hz, H-5). 13C NMR (100 MHz, CDCl3) δ: 80.2 (C-4), 74.1 (C-5), 69.1 (C-2), 58.7 (C-3), 44.8 (C-1). HRMS-ESI analysis of compound 6:m/z[M+H]+calculated for C17H21O4+ 289.1434; found: 289.1436.
2,3,4,6-tetra-O-acetyl-β-d-galactopyranosyl azide 7
Peracetylated galactose (0.78 g, 2.56 mmol) was dissolved in a HBr solution (3.4 mL, 33 wt. % in acetic acid) and the mixture was stirred at room temperature for 3 h. The resulting solution was then diluted in DCM (22 mL) and further washed with satd NaHCO3 solution and brine. The organic layer was concentrated under reduced pressure (5 mL) then TBAHS (0.18 g, 0.55 mmol), NaN3 (0.709 g, 10.9 mmol) and aqueous NaHCO3 (4.3 mL). The mixture was stirred vigorously at room temperature for 18 h and then extracted with ethyl acetate (20 mL×2). The organic layer was then collected, washed successively with satd NaHCO3 solution, brine and water, dried over anhydrous MgSO4 and concentrated under reduce pressure to afford compound 7 as a white powder (0.86 g, 2.30 mmol, 90%). 1H NMR (400 MHz, CDCl3) δ: 5.43 (1H, dd, J4,5 1.1 Hz, J3,4 3.4 Hz, H-4), 5.17 (1H, dd, J1,2 8.7 Hz, J2,3 10.4 Hz, H-2), 5.04 (1H, dd, J3,4 3.4 Hz, J2,3 10.4 Hz, H-3), 4.60 (1H, d, J1,2 8.7 Hz, H-1), 4.20 – 4.14 (2H, m, H-6a, H-6b), 4.02 (1H, td, J4,5 1.2 Hz, J5,6a/6b 6.6 Hz, H-5), 2.18 (3H, s, COCH3), 2.10 (3H, s, COCH3), 2.07 (3H, s, COCH3), 2.00 (3H, s, COCH3).
Methyl 2,3,4-tri-O-acetyl-6-deoxy-6-azido-β-d-galactopyranoside 8
Under argon atmosphere, methyl β-d-glucopyranoside (0.50 g, 2.67 mmol) was dissolved in dry pyridine (6 mL) and cooled (0°C). Tosyl chloride (1.41 g, 7.5 mmol) was slowly added and the reaction mixture was stirred for 10 h at room temperature. Acetic anhydride (1.2 mL) was then added and the mixture stirred for 12 h. The final suspension was concentrated by co-evaporation with toluene, diluted with DCM, and the organic layer was washed with 1 M HCl, satd NaHCO3 solution, dried over anhydrous MgSO4 and concentrated under reduce pressure. The crude product was purified by flash chromatography [EtOAc/Tol, 10–30%] to afford the 6-tosyl intermediate (0.59 g, 1.25 mmol, 47%). A suspension of methyl-2,3,4-tri-O-acetyl-6-O-p-toulenesulfonyl-β-d-galactopyranoside (0.39 g, 0.82 mmol) in DMF (10 mL) containing sodium azide (0.82 g, 12.5 mmol) was heated at 100°C for approx. 24 h. The solution was allowed to cool, diluted with water and extracted with DCM. The organic layer was washed with water, satd NaHCO3 solution and water, dried over anhydrous MgSO4 and concentrated under reduced pressure to afford compound 8 as a white powder (0.26 g, 0.76 mmol, 90%). 1H NMR (500 MHz, CDCl3) δ: 5.35 (1H, dd, J4,5 1.0 Hz, J3,4 3.4 Hz, H-4), 5.22 (1H, dd, J1,2 7.9 Hz, J2,3 10.5 Hz, H-2), 5.02 (1H, dd, J3,4 3.4 Hz, J2,3 10.5 Hz, H-3), 4.43 (1H, d, J1,2 7.9 Hz, H-1), 3.85 (1H, ddd, J4,5 1.0 Hz, J5,6b 4.1 Hz, J5,6a 8.3 Hz, H-5), 3.58 (1H, dd, J5,6a 8.3 Hz, J6a,6b 13.0 Hz, H-6a), 3.57 (3H, s, OCH3), 3.12 (1H, dd, J5,6b 4.1 Hz, J6b,6a 13.0 Hz, H-6b), 2.17 (3H, s, COCH3), 2.07 (3H, s, COCH3), 1.99 (3H, s, COCH3).
Methyl [5-Acetamido-3,5-dideoxy-4,7,8,9-tetra-O-acetyl-2-azido-d-glycero-α-d-galacto-non-2-ulopyranoside]onate 9
Methyl [5-acetamido-3,5-dideoxy-4,7,8,9-tetra-O-acetyl-2-chloro-d-glycero-β-d-galacto-non-2-ulopyranoside]onate (0.15 g, 0.3 mmol), tetrabutylammonium hydrogen sulfate (0.10 g, 0.3 mmol) and sodium azide (0.10 g, 1.5 mmol) were dissolved in a mixture of DCM/satd NaHCO3 solution 1:1 (100 mL) and stirred vigorously for 3 h at room temperature. Dichloromethane was then added and the two phases were separated. The organic layer was washed with satd NaHCO3 solution, dried with sodium sulfate and filtered. Evaporation of the solvent under reduced pressure afforded compound 9 as a white solid (0.095 g, 0.19 mmol, 63%). 1H NMR (400 MHz, CDCl3) δ: 5.32 (3H, m, H-6, H-7, H-8), 5.04 (1H, td, J4,3eq 4.7 Hz, J4,5=J3ax,4 11.0 Hz, H-4), 4.35 (1H, dd, J 2.3 Hz, J9a,9b 12.5 Hz, H-9a), 4.15–4.11 (1H, m, H-5), 4.05 (dd, 1H, J8,9b 5.8 Hz, J9b,9a 12.5 Hz, H-9b), 3.87 (3H, s, OCH3), 2.56 (1H, dd, J3eq,4 4.7 Hz, J3ax,3eq 12.9 Hz, H-3eq), 2.14 (3H, s, COCH3), 2.11 (3H, s, COCH3), 2.03 (6H, s, 2×COCH3), 1.87 (3H, s, COCH3), 1.86–1.81 (1H, m, H-3ax).
Glycocluster 10
Alkyne 6 (0.007 g, 0.025 mmol) was dissolved in DMF (0.1 mL in a microwave flask). After dissolution, azide 7 (1.1 mol eq. for each alkyne termination), sodium ascorbate (0.1 mol eq.) and CuSO4 (0.05 mol eq.) were added and the tube was sealed. The mixture reaction was stirred and heated for 15 min. at 80°C (3×) in the microwave and concentrated under reduced pressure (residual DMF co-evaporated with toluene). The crude product was purified by flash chromatography [EtOAc/Hex, 0–100%] to afford peracetylated glycocluster 10 (0.03 g, 0.018 mmol, 75%). 1H NMR (500 MHz, CDCl3) δ: 7.89 (4H, s, 4× H-triazole), 5.98 (4H, d, J1,2 9.5 Hz, 4× H-1), 5.63 (4H, t, J1,2=J2,3 9.5 Hz, 4× H-2), 5.55 (4H, d, J3,4 3.2 Hz, 4× H-4), 5.32 (4H, dd, J3,4 3.2 Hz, J2,3 9.5 Hz, 4× H-3), 4.64–4.54 (8H, AB-System, J 12.7 Hz, 4× OCH2), 4.32 (4H, t, J5,6a=J5,6b 6.6 Hz, 4× H-5), 4.18 (8H, d, J5,6a/6b 6.6 Hz, 4× H-6a, 4× H-6b), 3.42 (8H, s, 4× OCH2), 2.21 (12H, s, 4× COCH3), 2.03 (12H, s, 4× COCH3), 2.00 (12H, s, 4× COCH3), 1.76 (12H, s, 4× COCH3). 13C NMR (125 MHz, CDCl3) δ: 170.3, 170.1, 170.0,. 9, 168.9 (COCH3), 145.6 (Cqt. triazole), 122.0 (CH triazole), 85.8 (C-1), 73.6 (C-5), 70.9 (C-3), 69.2 (OCH2), 68.0 (C-2), 66.9 (C-4), 64.7 (OCH2), 61.0 (C-6), 20.7 (COCH3), 20.6 (COCH3), 20.5 (COCH3), 20.1 (COCH3). HRMS-ESI analysis of glycocluster 10:m/z[M+Na]+calculated for C73H96N12NaO40+ 1803.5739; found: 1803.5736.
Glycocluster 11
The method described above for compound 10 was followed to obtain galactose glycocluster 11 (using azide 8 instead of azide 7), a white foam (0.023 g, 0.014 mmol, 58%). 1H NMR (500 MHz, CDCl3) δ: 7.75 (4H, s, 4× H-triazole), 5.49 (4H, d, J3,4 3.3 Hz, 4× H-4), 5.19 (1H, dd, J1,2 8.0 Hz, J2,3 10.3 Hz, 4× H-2), 5.08 (1H, dd, J3,4 3.3 Hz, J2,3 10.5 Hz, 4× H-3), 4.64–4.60 (12H, m, 4× OCH2, 4× H-6a), 4.48 (4H, dd, J5,6b 8.7 Hz, J6a,6b 14.1 Hz, 4× H-6b), 4.36 (1H, d, J1,2 8.0 Hz, 4× H-1), 4.25 (4H, dd, J5,6a 3.4 Hz, J5,6b 8.7 Hz, 4× H-5), 3.58 (8H, s, 4× OCH2), 3.37 (12H, s, 4× OCH3), 2.20 (12H, s, 4× COCH3), 2.05 (12H, s, 4× COCH3), 1.98 (12H, s, 4× COCH3). 13C NMR (125 MHz, CDCl3) δ: 170.4, 170.1, 169.6 (COCH3), 145.1 (Cqt triazole), 123.9 (CH triazole), 101.7 (C-1), 71.8 (C-5), 70.8 (C-3), 70.8 (OCH2), 68.7 (C-2), 68.1 (C-4), 64.9 (OCH2), 56.9 (OCH3), 50.3 (C-6), 20.8 (COCH3), 20.7 (COCH3), 20.5 (COCH3). HRMS-ESI analysis of glycocluster 11:m/z[M+Na]+calculated for C69H96N12NaO36+ 1691.5942; found: 1691.5912.
Glycocluster 12
Alkyne 6 (0.007 g, 0.025 mmol), azide 9 (1.1 mol eq. for each alkyne termination), CuSO4 (10% w/v) and sodium ascorbate (0.01 g, 0.05 mmol) were dissolved in DMF (2 mL) and the mixture reaction was stirred at 60°C for 12 h. The final suspension was concentrated by co-evaporation with toluene and the crude product was purified by flash chromatography [AcOEt/n-hexane 0–100%, followed by DCM/MeOH 95:5] to afford glycocluster 12 as a white powder (0.031 g, 0.013 mmol, 52%). 1H NMR (300 MHz, CD3OD) δ: 8.12 (4H, s, 4× H-triazole), 5.46–5.36 (8H, m, 4× H-4, 4× H-6), 5.11 (4H, td, J 4.3 Hz, J 11.7 Hz, 4× H-8), 4.58 (8H, s, 4× OCH2), 4.41 (4H, dd, J 1.9 Hz, J 10.8 Hz, 4× H-9a), 4.25 (4H, dd, J 2.4 Hz, J 12.4 Hz, 4× H-7), 4.14–4.03 (8H, m, 4× H-5, 4× H-9b), 3.81 (12H, s, 4× OCH3), 3.58 (8H, s, 4× OCH2), 3.38 (4H, dd, J 4.40 Hz, J 13.1 Hz, 4× H-3eq), 2.55 (4H, t, J 12.5 Hz, 4× H-3ax), 2.15 (12H, s, 4× COCH3), 2.07 (12H, s, 4× COCH3), 2.04 (12H, s, 4× COCH3), 1.98 (12H, s, 4× COCH3), 1.86 (12H, s, 4× CH3CONH). 13C NMR (75 MHz, CD3OD) δ: 172.1 (C-1), 170.9, 170.3, 170.3, 170.1 (COCH3), 166.3 (CH3CONH), 145.8 (Cqt triazole), 121.8 (CH triazole), 88.6 (C-2), 73.40 (C-6), 68.9 (OCH2), 68.8 (OCH2), 67.74 (C-8), 66.73 (C-4), 64.07 (C-7), 62.02 (C-9), 53.34 (COOCH3), 35.7 (C-3), 21.3, 20.0, 19.5, 19.3 (COCH3). MALDI-TOF MS analysis of glycocluster 12: m/z calculated for C97H132N16NaO52+ 2375.8069; found: 2375.8075.
tert-butyl (1,3-bis(prop-2-yn-1-yloxy)-2-((prop-2-yn-1-yloxy)methyl)propan-2-yl)carbamate 13
To a suspension of tris(hydroxymethyl)aminomethane (2.0 g, 16.5 mmol) in t-BuOH (20 mL), a solution of di-tert-butyl dicarbonate (3.60 g, 16.4 mmol) in a 1:1 mixture of MeOH:t-BuOH (32 mL) was added slowly and the reaction mixture was stirred at room temperature for 22 h. Then, the solvents were evaporated under reduced pressure to give a crude white residue which was recrystallized from cold ethyl acetate. Vacuum filtration of the white solid subsequently afforded pure tert-butyl (1,3-dihydroxy-2-(hydroxymethyl)propan-2-yl)carbamate in 64% yield. To a solution of the protected tris(hydroxymethyl)aminomethane (2.32 g, 10.5 mmol) in dry DMF, propargyl bromide (80 wt.% in toluene) (5.7 mL, 364.3 mmol) was added and the reaction mixture was stirred at 0 °C for 10 min. It was followed by the addition of finely powdered KOH (3.56 g, 63.4 mmol) in small portions. The reaction mixture was then stirred at room temperature for 40 h. To the resulting brown coloured mixture, ethyl acetate was added, and the reaction mixture stirred for another 10 min. Further, the entire reaction mixture was washed successively with water (2×10 mL) and brine (10 mL). The organic layer was collected, dried over anhydrous MgSO4 and concentrated under reduce pressure. The crude material obtained was purified by flash chromatography [n-hexane: EtOAc] to afford compound 13 as a yellowish powder (1.56 g, 4.7 mmol, 44%). 1H NMR (300 MHz, CDCl3) δ: 4.93 (1H, br s, NH), 4.15 (6H, d, J5,7 2.4 Hz, H-5), 3.79 (6H, s, H-4), 2.43 (3H, t, J5,7 2.3 Hz, H-7), 1.43 (1H, s, 3×CH3-Boc, H-9, H-10, H-11). 13C NMR (75 MHz, CDCl3) δ: 154.7 (C-1), 79.6 (C-6), 74.5 (C-7), 68.9 (C-4), 58.6 (C-5), 58.0 (C-8), 28.3 (C-9, C-10, C-11). HRMS-ESI calcd. for C18H25NNaO5+ 358.1625, found 358.1625 [M+Na+].
Glycocluster 14
Alkyne 13 (0.15 mmol) was dissolved in DMF (0.1 mL in a microwave flask). After dissolution, azide 7 (1.1 equiv. for each alkyne termination), sodium ascorbate (0.1 equiv.) and CuSO4 (0.03 mol eq.) were added and the tube was sealed. The mixture was stirred and heated for 15 min. at 80°C (3×) in the microwave and concentrated under reduced pressure (residual DMF co-evaporated with toluene). The crude product was purified by flash chromatography (EtOAc/Hex, 0–100%) to afford protected glycocluster 14 (0.186 g, 0.12 mmol, 84%). 1H NMR (300 MHz, CDCl3) δ: 7.87 (3H, s, 3× H-triazole), 5.93 (3H, d, J1,2 9.5 Hz, 3× H-1), 5.61 (3H, t, J1,2=J2,3 9.5 Hz, 3× H-2), 5.55 (3H, d, J3,4 3.0 Hz, 3× H-4), 5.29 (3H, dd, J3,4 3.0 Hz, J2,3 9.5 Hz, 3× H-3), 5.00 (1H, bs, NH), 4.69–4.59 (6H, AB-System, J 12.7 Hz, 3× OCH2), 4.29 (3H, tap, J 6.7 Hz, 3× H-5), 4.19–4.17 (6H, m, 3× H-6a, H-6b), 3.80 3.64 (6H, AB-System, J 9.3 Hz, 3× OCH2), 2.22 (9H, s, 3× COCH3), 2.04 (9H, s, 3× COCH3), 2.00 (9H, s, 3× COCH3), 1.81 (9H, s, 3× COCH3), 1.41 (9H, s, 3× CH3-Boc). 13C NMR (75 MHz, CDCl3) δ: 170.3, 170.0, 169.9, 168.9 (COCH3), 155.0 (OCNH), 145.5 (Cqt triazole), 121.6 (CH triazole), 86.1 (C-1), 73.9 (C-5), 70.9 (C-3), 69.5 (OCH2), 68.0 (C-2), 66.9 (C-4), 64.7 (OCH2), 61.1 (C-6), 60.4 (OC(CH3)3) 58.5 (Cqt), 28.4 (CH3-Boc). 20.7, 20.5, 20.1 (COCH3). HRMS-ESI analysis of compound 14:m/z[M+H]+calculated for C60H83N10O32+ 1455.5169; found: 1455.5162.
Glycocluster 15
The method described for compound 14 was followed to obtain the trivalent glycocluster 15 (using azide 8 instead of azide 7) (0.189 g, 0.135 mmol, 89%). 1H NMR (500 MHz, CDCl3) δ: 7.73 (3H, s, 3× H-triazole), 5.50 (3H, d, J3,4 3.3 Hz, 3× H-4), 5.20 (3H, dd, J1,2 8.0 Hz, J2,3 10.3 Hz, 3× H-2), 5.10 (3H, dd, J3,4 3.3 Hz, J2,3 10.4 Hz, 3× H-3), 4.91 (1H, s, NH), 4.62 (3H, dd, J5,6a 3.4 Hz, J6a,6b 14.2, 3× H-6a), 4.59 (6H, s, 3× OCH2), 4.47 (3H, dd, J5,6b 8.8 Hz, J6a,6b 14.1 Hz, 3× H-6b), 4.36 (3H, d, J1,2 7.9 Hz, 3× H-1), 4.28 (3H, dd, J5,6a 3.4 Hz, J5,6b 8.7 Hz, 3× H-5), 3.71 (6H, s, 3× OCH2), 3.36 (9H, s, 3× OCH3), 2.20 (9H, s, 3× COCH3), 2.05 (9H, s, 3× COCH3), 1.98 (9H, s, 3× COCH3), 1.39 (9H, s, 3× CH3-Boc). 13C NMR (125 MHz, CDCl3) δ: 170.4, 170.1, 169.5 (COCH3), 154.8 (OCNH), 144.9 (C-triazole), 123.8 (CH-triazole), 101.9 (C-1), 71.9 (C-5), 70.8 (C-3), 69.5 (OCH2), 68.8 (C-2), 68.2 (C-4), 64.8 (OCH2), 58.4 (Cqt), 57.0 (OCH3), 50.4 (C-6), 28.4 (CH3-Boc), 20.8, 20.7, 20.5 (COCH3). HRMS-ESI MS analysis of compound 15:m/z[M+Na]+calculated for C57H82N10NaO29+1393.5140; found: 1393.5140.
Glycocluster 18
To a solution of compound 14 (0.16 g, 0.11 mmol) in DCM (1 mL) at 0 °C, 1 mL of trifluoroacetic acid was added dropwise. The reaction mixture was then stirred at room temperature for 2 h till the TLC showed complete consumption of the starting material to a slower moving spot. The solvents were evaporated and successively co-evaporated with toluene and methanol. The syrupy compound 16, obtained without purification, was dissolved in methanol (4 mL) followed by the addition of catalytic CuSO4, NaHCO3 (16.5 mg, 0.23 mmol) and the diazotransfer reagent imidazole-1-sulfonyl azide (hydrogen sulfate) (1.6 mol eq. 0.18 mmol, 47.5 mg). The pH was adjusted to 8–9 with NaHCO3 solution. The resulting mixture was then stirred at room temperature for 16 h. The solvents were evaporated, and the residue was dissolved in DCM, washed successively with water and HCl solution (3%). The organic layer was collected, dried over anhydrous MgSO4 and filtered. The solvents were then evaporated under reduced pressure to afford compound 18 in 64% yield (two steps) (0.09 g, 0.08 mmol, 64%). 1H NMR (300 MHz, CDCl3) δ: 7.92 (3H, s, 3× H-triazole), 5.93 (3H, d, J1,2 9.3 Hz, 3× H-1), 5.64–5.56 (6H, m, 3× H-2, 3× H-4), 5.30 (3H, dd, J3,4 3.3 Hz, J2,3 10.3 Hz, H-3), 4.74–4.64 (6H, AB-System, J 12.7 Hz, 3× OCH2), 4.30 (3H, tap, J 6.6 Hz, 3× H-5), 4.20–4.18 (6H, m, 3× H-6a, H-6b), 3.68 3.63 (6H, AB-System, J 9.7 Hz, 3× OCH2), 2.23 (9H, s, 3× COCH3), 2.06 (9H, s, 3× COCH3), 2.03 (9H, s, 3× COCH3), 1.84 (9H, s, 3× COCH3). 13C NMR (75 MHz, CDCl3) δ: 170.4, 170.1, 169.9, 169.0 (COCH3), 121.3 (CH triazole), 86.1 (C-1), 73.9 (C-5), 70.8 (C-3), 69.9 (OCH2), 68.0 (C-2), 66.9 (C-4), 61.1 (C-6), 20.7, 20.5, 20.2 (COCH3). HRMS-ESI analysis of compound 18:m/z[M+H]+calculated for C55H73N12O35+1381.4550; found: 1381.4520.
Glycocluster 19
The method described above for compound 18 was followed to obtain glucose glycocluster 19 (using glycocluster 15 as starting material) (0.156 g, 0.12 mmol, 80%, two steps). 1H NMR (500 MHz, CDCl3) δ: 7.75 (3H, s, 3× H-triazole), 5.49 (3H, d, J3,4 3.3 Hz, 3× H-4), 5.20 (3H, dd, J1,2 8.1 Hz, J2,3 10.4, 3× H-2), 5.08 (3H, dd, J3,4 3.3 Hz, J2,3 10.4 Hz, 3× H-3), 4.64–4.60 (9H, m, 3× H-6a, 3× OCH2), 4.48 (3H, dd, J5,6b 8.7 Hz, J6a,6b 14.1 Hz, 3× H-6b), 4.36 (3H, d, J1,2 8.0 Hz, 3× H-1), 4.25 (3H, dd, J5,6a 3.4 Hz, J5,6b 8.6 Hz, 3× H-5), 3.58 (6H, s, 3× OCH2), 3.37 (9H, s, 3× OCH3), 2.20 (9H, s, 3× COCH3), 2.05 (9H, s, 3× COCH3), 1.98 (9H, s, 3× COCH3). 13C NMR (125 MHz, CDCl3) δ: 170.4, 170.1, 170.0, 169.6, 169.6 (COCH3), 101.8 (C-1), 72.0, 71.8, 70.8, 69.6, 69.5, 68.8, 68.2, 68.1, 57.0, 21.0, 20.8, 20.8, 20.7, 20.5. HRMS-ESI analysis of compound 19:m/z[M+H]+calculated for C52H73N12O27+1297.4703; found: 1297.4699.
Glycocluster 21
Azide-functionalized dendrimer 18 (0.065 g, 0.05 mmol) was dissolved in DMF (0.1 mL) in a microwave flask equipped with a stirring bar. After dissolution, 2-propynyl-sialic acid 20 (0.026 g, 0.05 mmol), sodium ascorbate (0.1 equiv.) and CuSO4 (0.03 equiv.) were added and the tube was sealed. The mixture was stirred and heated for 15 min. at 80°C (3×) in the microwave and concentrated under reduced pressure (residual DMF co-evaporated with toluene). The crude product was purified by flash chromatography [EtOAc/Hex, 0–100%] to afford the heteroglycocluster 21 (0.065 g, 0.032 mmol, 65%). 1H NMR (500 MHz, CDCl3) δ: 7.94 (1H, s, H-triazole, isomer a), 7.89 (3H, s, H-triazole, isomer a), 7.87 (2.22H, s, H-triazole, isomer b), 7.78 (0.66H, s, H-triazole, isomer b), 5.96 (3H, d, J1,2 9.2 Hz, 3× H-1 gal, isomer a), 5.93 (2.22H, d, J1,2 9.2 Hz gal, H-1, isomer b), 5.63–5.53 (11.6H, m, H-2 gal, H-4 gal, isomers a and b), 5.53 (1H, m, H-4 or H-6, sialic acid), 5.47 (0.66H, m, H-4 or H-6 sialic acid), 5.41 (1H, m, H-6 or H-4 sialic acid), 5.35 (0.66H, m, H-6 or H-4 sialic acid), 5.30 (5.22 H, 2× dd, J 3.3 Hz, 10.2 Hz, H-3 gal, isomers a and b), 5.22 (1H, td, J 5.0 Hz, 10.9 Hz, H-8 sialic acid), 4.69–4.53 (13.68H, m, OCH2, H-9 sialic acid), 4.36 (0.66H, dd, J 2.6 Hz e 12.4 Hz, H-7 sialic acid), 4.31 (6.25H, m, H-5 gal, H-7 sialic acid), 4.22–4.08 (15.61H, m, H-6a gal, H-6b gal, H-5, sialic acid, isomers a and b), 4.05–3.97 (10.6H, m, OCH2), 3.82 (3H, s, COOCH3, isomer a), 3.51 (2.22H, s, COOCH3, isomer b), 2.67 (0.66H, dd, J 4.6 Hz, 12.8 Hz, H-3ax, sialic acid), 2.51 (1H, dd, J 4.6 e 12.8 Hz, H-3ax, sialic acid) 2.24, 2.23 (15.6H, 2× s, COCH3), 2.17, 2.16, 2.15 (8H, s, COCH3), 2.05, 2.04, 2.02 (42.6H, s, COCH3), 1.93 (3H, s, COCH3), 1.88, (2.3H, s, CH3CONH), 1.85 (3H, s, CH3CONH), 1.82, 1.80 (15.6H, 2× s, COCH3). 13C NMR (125 MHz, CDCl3) δ: 170.7, 170.6, 170.5, 170.4, 170.3, 170.2, 170.2, 170.1, 170.0, 169.9, 169.8, 169.1, 169.0, 167.3 (COCH3), 144.7 (Cqt triazole), 144.6 (Cqt triazole), 122.1 (CH triazole), 122.0 (CH triazole), 98.5 (C-2 sialic acid), 98.4 (C-2 sialic acid), 86.0 (C-1 gal), 73.9 (C-5 gal), 73.8 (C-5 gal), 72.7, 71.6, 71.5, 70.8 (C-3 gal), 69.8 (OCH2), 69.6 (OCH2), 69.4, 69.1, 68.7 (OCH2), 68.0 (C-2 gal), 67.4, 66.9 (C-4 gal), 64.6, 64.4, 62.7, 62.5, 61.1 (C-6 gal), 61.0 (C-6 gal), 52.7 (COOCH3, sialic acid), 52.6 (COOCH3, sialic acid), 37.2 (C-3 sialic acid), 49.3 (Cqt), 49.0 (Cqt), 23.1, 23.0, 21.1, 21.0, 20.8, 20.7, 20.6, 20.5, 20.2, 20.1 (COCH3). HRMS-ESI analysis of glycocluster 90:m/z[M+Na]+calculated for C78H103NaN13O43+ 1932.6165; found: 1932.6019.
Glycocluster 22
1H NMR (500 MHz, CDCl3) δ: 7.90 (1H, s, H-triazole), 7.78 (0.66H, s, H-triazole), 7.72 (5H, 2× s, H-triazole), 5.53 (1H, m, H-4 or H-6, sialic acid), 5.51–5.49 (5H, m, H-4 gal), 5.47–5.45 (0.66H, m, H-4 or H-6, sialic acid), 5.41–5.35 (2.32H, m, H-4 and H-6, sialic acid), 5.21 (5.00H, dd, J1,2 8.0 Hz, J2,3 10.3 Hz, H-2 gal), 5.16 (1H, dd, J7,8 5.2 Hz, J8,9 10.5 Hz, H-8 sialic acid), 5.11 (5.00H, dd, J3,4 3.3 Hz, J2,3 10.5 Hz, H-3 gal), 4.93–4.87 (2.59H, m, H-9 sialic acid), 4.72–4.56 (16H, m, OCH2, H-6a gal), 4.54–4.46 (6H, m, H-6b gal), 4.41 (3H, d, J1,2 7.8 Hz, H-1 gal), 4.40 (2H, d, J1,2 7.7 Hz, H-1 gal), 4.35 (1H, m, sialic acid), 4.36–4.24 (7H, m, H-5 gal, H-7 sialic acid), 4.15–4.09 (3.61H, m, H-9 sialic acid), 4.02–3.97 (9H, m, OCH2), 3.84 (3H, s, COOCH3, isomer a), 3.76 (2H, s, COOCH3, isomer b), 3.36 (15H, s, OCH3, gal), 2.66 (0.66H, dd, J 4.6 Hz, 12.8 Hz, H-3ax, sialic acid), 2.51 (1H, dd, J 4.6 e 12.9 Hz, H-3ax, sialic acid), 2.21, 2.18, 2.17, 2.15, 2.06, 2.04, 2.02, 2.01, 1.99, 1.89, 1.87 (COCH3). 13C NMR (125 MHz, CDCl3) δ: 170.9, 170.8, 170.7, 170.3, 170.2, 170.0, 169.5, 168.3, 167.4 (COCH3), 144.6 (Cqt triazole), 144.3 (Cqt triazole), 124.2 (CH triazole), 123.3 (CH triazole), 101.8 (C-1 gal), 98.7 (C-2 sialic acid), 98.6 (C-2 sialic acid), 72.72, 71.94, 71.8 (C-5 gal), 70.9 (C-3 gal), 70.8 (C-3 gal), 69.66, 69.53, 69.09, 68.8 (C-2 gal), 68.2 (C-4 gal), 68.1 (C-4 gal), 67.55, 67.49, 62.86, 62.47, 57.0 (OCH3 – gal), 56.9 (OCH3 – gal), 52.9 (COOCH3, sialic acid), 52.8 (COOCH3, sialic acid), 50.5 (C-6 gal), 23.2, 23.0, 21.1, 20.9, 20.8, 20.7, 20.6, 20.5 (COCH3). HRMS-ESI analysis of compound 22:m/z[M+Na]+calculated for C75H103NaN13NaO40+ 1848.6317; found: 1848.6336.
Deprotection reactions
Condition 1
The peracetylated galactose glycoclusters were fully characterized prior the deprotection. The acetate was dissolved in methanol (1.0 mL) and sodium methoxide (1.0 M in methanol) was added until pH 9.0 was achieved. After stirring at room temperature for 1.5 h, the mixture was neutralized with ion exchange resin DOWEX® 50WX4-50 (H+), filtered and concentrated under reduced pressure. The resulting product was obtained in quantitative yield, not further purified and characterized by 1H NMR and ESI-MS.
Condition 2
The protected glycoclusters containing sialic acid units were treated with 0.2 M KOH (0.5 mL) and stirred at room temperature for 16 h. The mixture reaction was then neutralized with ion exchange resin DOWEX® 50WX4-50 (H+), filtered and concentrated under reduced pressure to afford the full deprotected glycoclusters in good yields. The compounds were characterized by 1H NMR and ESI-MS.
Glycocluster 1
The method described above (condition 1) was followed to obtain deprotected galactose glycocluster 1 as a white powder. 1H NMR (300 MHz, D2O) δ: 8.25 (4H, s, 4× H-triazole), 5.69 (4H, d, J1,2 9.6 Hz, 4× H-1), 4.64 (8H, s, 4× OCH2), 4.20 (4H, t, J1,2=J2,3 9.6 Hz, 4× H-2), 4.07 (4H, d, J3,4 3.1 Hz, 4× H-4), 3.99 (4H, tap, J 6.0 Hz, 4× H-5), 3.87 (4H, dd, J3,4 3.2 Hz, J2,3 9.6 Hz, 4× H-3), 3.76 (8H, d, J5,6a/6b 6.0 Hz, 4× H-6a, 4× H-6b), 3.61 (8H, s, 4× OCH2). HRMS-ESI analysis of glycocluster 1: m/z [M+Na]+ calculated for C41H64N12NaO24+ 1131.4049; found: 1131.4031.
Glycocluster 2
1H NMR (300 MHz, D2O) δ: 7.98 (4H, s, 4× H triazole), 4.90–4.85 (4H, m), 4.61–4.51 (12H, m), 4.24 (4H, d, J 7.9 Hz, H-1), 3.78–3.71 (4H, m), 3.50 (4H, dd, J 8.15 Hz e 9.6 Hz, H-2), 3.38–3.31 (20H, m, OCH3, OCH2), 3.28–3.21 (8H, m). HRMS-ESI analysis of compound 2:m/z[M+H]+calculated for C45H73N12O24+1165.4855; found: 1165.4852.
Glycocluster 3
1H NMR (400 MHz, D2O) δ: 8.16 (4H, s, H-triazole), 4.44 (8H, s, 4× OCH2), 3.85–3.74 (20H, m, 4× H-4, 4× H-6, 4× H-9a, 4× OCH2), 3.56–3.53 (8H, m, 4× H-5, 4× H-7), 3.36–3.28 (8H, m, 4× H-8, 4× H-9b), 3.17–3.13 (4H, m, 4× H-3eq), 2.17–2.13 (4H, m, 4× H-3ax), 2.00 (12H, s, 4× CH3CONH). HRMS-ESI analysis of compound 3:m/z [M+Na]+calculated for C61H92N15NaO36+1647.5752; found: 1647.5749.
Glycocluster 4
1H NMR (500 MHz, D2O) δ: 8.14 (3H, s, H-triazole, isomer a), 8.11 (2.3H, s, H-triazole, isomer b), 7.99 (1H, s, H-triazole, isomer a), 7.98 (0.74H, s, H-triazole, isomer b), 5.60 (3H, d, J1,2 9.2 Hz, H-1 gal, isomer a), 5.59 (2.3H, d, J1,2 9.2 Hz, H-1 gal, isomer b), 4.51 (6H, s, 3× OCH2), 4.31 (1H, m, H-6 sialic acid), 4.14 (3H, d, J1,2 9.5 Hz, 3× H-2 gal, isomer a), 4.12 (2.3H, d, J1,2 9.5 Hz, 3× H-2 gal, isomer b), 4.00 (5.3H, J3,4 3.0 Hz, 3× H-4 gal, isomer a, 3x H–4 gal, isomer b), 3.94–3.89 (20H, m), 3.81–3.78 (9H, m), 3.69–3.66 (6H, m), 3.62–3.48 (8H, m), 2.66 (1H, dd, J3eq,4 4.2 Hz, J3ax,3eq 12.1 Hz, H-3eq sialic acid, isomer α), 2.28 (1H, dd, J3eq,4 4.5 Hz, J3ax,3eq 12.8 Hz, 3× H-3eq sialic acid, isomer b), 1.94 (5.3H, s, CH3CONH, sialic acid, isomer α, CH3CONH, sialic acid, isomer b), 1.62 (1H, d, J3ax,3eq 12.1 Hz, H-3ax sialic acid, isomer a), 1.59 (0.7H, d, J3ax,3eq 12.8 Hz, H-3ax sialic acid, isomer b). HRMS-ESI analysis of compound 4:m/z[M+H+Na]+calculated for C45H70N13NaO272+1247.4391; found: 1247.4311.
Glycocluster 5
1H NMR (300 MHz, D2O) δ: 8.04 (0.37H, s, H-triazole, isomer b), 8.02 (1.05H, s, H-triazole, isomer b), 7.93 (1H, s, H-triazole, isomer a), 7.90 (3H, s, H-triazole, isomer a), 4.63–4.49 (16.89H, m), 4.08 (4H, d, J 7.8 Hz, H-1gal, isomers a and b), 3.98–3.78 (21.32H, m), 3.70–3.55 (10.75H, m), 3.49–3.43 (5H, m), 3.3 (1.54H, s), 3.17 (12H, s, OCH3, gal), 2.73 (1.54H, dd, J 4.9 Hz, 12.7 Hz, H-3 sialic acid), 2.00 (3.95H, s, CH3CONH, sialic acid), 1.65 (1.9H, tap, J 12.2 Hz, H-3 sialic acid). HRMS-ESI analysis of glycocluster 5:m/z[M+Na]+calculated for C48H76N13O27+ 1266.4968; found: 1266.4968.
Biological assays
Inhibition of T. cruzi cell invasion
Inhibition of fibroblast cells invasion by T. cruzi was carried out by treating with 200–25 μM of compounds 1–5 previously adhered LLCMK2 fibroblasts in circular coverslips (3×105 cells per well in 500 μL of RPMI 1640 supplemented with penicillin, streptomycin, L-glutamine, and 10% FBS) and, after 30 min, adding 1.5×106 trypomastigote forms of T. cruzi (in a proportion of five parasites for each fibroblast). The cultures were incubated for 18 h at 37°C and 5% CO2, then the coverslips were fixed and stained with fast panoptic dye (Laborclin, Brazil). The coverslips were mounted to glass slides with Entellan (Merck Millipore, USA) and examined under an optical microscope. Each concentration was examined in triplicate, considering 100 fibroblasts per coverslip. The level of parasitic cell invasion was determined using three parameters: i) percentage of infected cells; ii) mean number of T. cruzi amastigotes by cell; iii) infection index that was determined by multiplying the percentage of infected cells times by the mean number of parasites per cell, as described previously [27], [28].
Citotoxicity assay
LLCMK2 fibroblasts were seeded in 96-wells plates (1×104 cells in 200 μL per well) in RPMI 1640 supplemented with penicillin, streptomycin, L-glutamine, and 10% FBS. After adhering overnight at 37°C and 5% CO2, the medium was replaced by fresh RPMI medium with different concentrations of compounds 1–5 (1000–62.5 μM) in triplicate and cultured at 37°C and 5% CO2 for 24 h. Cells treated with 30 μM oxygen peroxide were used as death control. Then, 20 μL of a 5 mg/mL of (3-(4,5-dimethylthiazol-2-yl)-2,5-diphenyltetrazolium bromide, MTT, Sigma-Aldrich, USA) were added to each well and incubated for 4 h at 37°C and 5% CO2. The medium was discarded and 200 μL of DMSO was added to each well to dissolve formazan crystals, and then the plate was read at 570 nm (UV mini 1240, Shimadzu). Cells viability was assessed from the OD in 570 nm and comparing with untreated cells [29].
Trypanocidal assay
Culture derived tripomastigote forms of T. cruzi (Y strain) were seeded in 96-wells plates (1×106 cells in 200 μL per well) in RPMI 1640 supplemented with penicillin, streptomycin, L-glutamine, and 10% FBS containing different concentrations of the compounds 1–5 (ranging from 1000 to 62.5 mM) and incubated at 37°C and 5% CO2 for 24 h. Parasites treated with 30 μM benznidazole (BZD) were used as death control. Then, 5 μL of a 1 mg/mL solution of resazurin (SigmaAldrich, USA) were added to each well and, 4 h after 37°C and 5% CO2 incubation the plates were read at 570 and 600 nm (UV mini 1240, Shimadzu). The parasites viability was assessed subtracting the OD in 600 nm from the OD in 570 nm and comparing with untreated cells [29].
Trypanocidal activity in intracellular amastigotes
Fibroblasts (LLCMK2) were plated on circular coverslips (3×105 cells per well in 500 μL) in 24-well plates, and incubated in RPMI medium at 37°C and 5% CO2 for overnight adhesion, then infected with 1.5×106 trypomastigote forms of T. cruzi (Y strain) per well, in a ratio of 5:1 (parasites: cell) and incubated in RPMI medium for 24 h at 37°C and 5% CO2 for infection. The wells were then washed and infected cells were treated with 200–25 μM solutions of each test compound, diluted in RPMI medium, for 48 h at 37°C and 5% CO2. Infection controls (IC) received only RPMI medium, and the death control wells were treated with benznidazole (BZD) at 30 μM. At the end of the treatment the coverslips were washed, stained with panoptic dye (Laborclin) and mounted to glass slides with Entellan (Merck Millipore, USA) for counting the number of infected cells and the number of amastigote forms inside the fibroblasts under an optical microscope. Each concentration was tested in triplicate, and a total of 100 macrophages were counted per cover slip, considering the same parameters used for cell invasion assay, described above.
Inhibition of T. cruzitrans-sialidase (TcTS)
trans-Sialidase used in this study was a His-tagged 70 kDa recombinant material truncated to remove C-terminal repeats but retaining the catalytic N-terminal domain of the enzyme [32]. Inhibition was assessed using the continuous fluorimetric assay described by Douglas and co-workers [30]. Briefly, the assay was performed in triplicate in 96-well plates containing phosphate buffer solution at pH 7 (25 μL), recombinant enzyme solution (25 μL) and inhibitor solution (25 μL of 4.0 mM solution). This mixture was incubated for 10 min. at 26°C followed by addition of MuNANA (25 μL of a 0.4 mM solution affording an assay concentration of 0.1 mM). The fluorescent product released was measured over 5 min., with excitation and emission wavelengths of 360 and 460 nm, respectively, and the data were analyzed with GraphPad Prism software version 4.0 (San Diego, CA, USA). Inhibition percentages were calculated according to the equation: % I=100 [1 (Vi/V0)], where Vi is the velocity in the presence of inhibitor and V0 is the velocity in absence of inhibitor.
Article note
A collection of invited papers based on presentations at the 29th International Carbohydrate Symposium (ICS-29), held in the University of Lisbon, Portugal, 14–19 July 2018.
Award Identifier / Grant number: 2013/27038-8
Funding source: Conselho Nacional de Desenvolvimento Científico e Tecnológico
Award Identifier / Grant number: 308521/2017-0
Funding statement: We acknowledge financial support from Brazilian agencies: FAPESP (Fundação de Amparo à Pesquisa do Estado de São Paulo-Brazil 2013/27038-8, Funder Id: http://dx.doi.org/10.13039/501100001807) and CNPQ (Conselho Nacional de Desenvolvimento Científico e Tecnológico 308521/2017-0, Funder Id: http://dx.doi.org/10.13039/501100003593, 311947/2015-8 and 432201/2016-5).
References
[1] Chagas Disease, fact sheet, WHO. http://www.who.int/mediacentre/factsheets/fs340/en/ (2017).Search in Google Scholar
[2] F. Torrico, J. Gascon, L. Ortiz, C. Alonso-Vega, M.-J. Pinazo, A. Schijman, I. C. Almeida, F. Alves, N. Strub-Wourgaft, I. Ribeiro. Lancet Infect Dis. 18, 419 (2018).10.1016/S1473-3099(17)30538-8Search in Google Scholar
[3] E. Lara-Ramirez, J. C. Lopez-Cedillo, B. Nogueda-Torres, M. Kashif, C. Garcia-Perez, V. Bocanegra-Garcia, R. Agusti, M. L. Uhrig, G. Rivera. Eur. J. Med. Chem.132, 249 (2017).10.1016/j.ejmech.2017.03.063Search in Google Scholar PubMed
[4] E. Chatelain, J. R. Ioset. Expert Opin. Drug Discov.13, 141 (2018).10.1080/17460441.2018.1417380Search in Google Scholar PubMed
[5] M. C. Field, D. Horn, A. H. Fairlamb. Nat. Rev. Microbiol.15, 217 (2017).10.1038/nrmicro.2016.193Search in Google Scholar PubMed PubMed Central
[6] J. Mucci, A. B. Lantos, C. A. Buscaglia, M. S. Leguizamón, O. Campetella. Trends Parasitol.33, 102 (2017).10.1016/j.pt.2016.10.004Search in Google Scholar PubMed PubMed Central
[7] L. Freire-de-Lima, L. M. Fonseca, T. Oeltmann, L. Mendonça-Previato, J. O. Previato. Glycobiology25, 1142 (2015).10.1093/glycob/cwv057Search in Google Scholar PubMed
[8] V. L. Campo, M. B. Martins-Teixeira, I. Carvalho. Mini Rev. Med. Chem.16, 1084 (2016).10.2174/1389557516666160607230238Search in Google Scholar PubMed
[9] M. F. Marchiori, T. B. Riul, L. O. Bortot, P. Andrade, G. G. Junqueira, G. Foca, N. Doti, M. Ruvo, M. Dias-Baruffi, I. Carvalho, V. L. Campo. Bioorg. Med. Chem.25, 6049 (2017).10.1016/j.bmc.2017.09.042Search in Google Scholar PubMed
[10] I. Carvalho, P. Andrade, V. L. Campo, P. M. M. Guedes, R. Sesti-Costa, J. S. Silva, S. Schenkman, S. Dedola, L. Hill, M. Rejzek, S. A. Nepogodiev, R. A. Field. Bioorg. Med. Chem.18, 2412 (2010).10.1016/j.bmc.2010.02.053Search in Google Scholar PubMed
[11] R. A. Field, P. Andrade, V. L. Campo, I. Carvalho, B. Y. M. Collet, P. R. Crocker, M. Fais, R. Karamanska, B. Mukhopadhayay, S. A. Nepogodiev, A. Rashid, M. Rejzek, D. A. Russell, C. L. Schofield, R. M. van Well. ACS Symposium Series, pp. 143–159, American Chemical Society, Washington, DC (2011).10.1021/bk-2011-1091.ch009Search in Google Scholar
[12] C. H. Zhou, Y. Wang. Curr. Med. Chem.19, 239 (2012).10.2174/092986712803414213Search in Google Scholar PubMed
[13] S. P. Mantoani, P. Andrade, T. P. C. Chierrito, A. S. Figueredo, I. Carvalho. Curr. Med. Chem.25, 1 (2018).10.2174/092986732501180122140757Search in Google Scholar
[14] J. Lundquist, E. J. Toone. Chem. Rev.102, 555 (2002).10.1021/cr000418fSearch in Google Scholar PubMed
[15] N. Kanfar, E. Bartolami, R. Zelli, A. Marra, J.-Y. Winum, S. Ulrich, P. Dumy. Org. Biomol. Chem.13, 9894 (2015).10.1039/C5OB01405KSearch in Google Scholar PubMed
[16] M. Weïwer, C.-C. Chen, M. M. Kemp, R. J. Linhardt. Eur. J. Org. Chem. 2611 (2009).10.1002/ejoc.200900117Search in Google Scholar PubMed PubMed Central
[17] M. A. Mintzer, M. W. Grinstaf. Chem. Soc. Rev.40, 173 (2011).10.1039/B901839PSearch in Google Scholar PubMed
[18] A. Dondoni, A. Marra. Chem. Rev.110, 4949 (2010).10.1021/cr100027bSearch in Google Scholar PubMed
[19] P. Compain, C. Decroocq, J. Iehl, M. Holler, D. Hazelard, T. M. Barragan, C. O. Mellet, J. F. Nierengarten. Angew. Chem. Int. Ed., 49, 5756 (2010).10.1002/anie.201002802Search in Google Scholar
[20] V. L. Campo, I. M. Ivanova, I. Carvalho, C. D. Lopes, Z. A. Carneiro, G. Saalbach, S. Schenkman, J. S. Silva, S. A. Nepogodiev, R. A. Field. Tetrahedron71, 7344 (2015).10.1016/j.tet.2015.04.085Search in Google Scholar PubMed PubMed Central
[21] V. L. Campo, I. Carvalho, S. Allman, B. G. Davis, R. A. Field. Org. Biomol. Chem.5, 2645, (2007).10.1039/b707772fSearch in Google Scholar PubMed
[22] V. L. Campo, R. Sesti-Costa, Z. Carneiro, J. S. Silva, S. Schenkman, I. Carvalho. Bioorg. Med. Chem.20, 145 (2012).10.1016/j.bmc.2011.11.022Search in Google Scholar PubMed
[23] F. D. Tropper, F. O. Anderssson, S. Braun, R. Roy. Synthesis 618 (1991).10.1055/s-1992-26175Search in Google Scholar
[24] (a) A. S. Figueredo, L. O. B. Zamoner, M. Rejzek, R. A. Field, I. Carvalho. Tetrahedron Lett.59, 4405 (2018). (b) R. Das, B. Mukhopadhyay. Tetrahedron Lett.57, 1775 (2016).10.1016/j.tetlet.2018.10.069Search in Google Scholar
[25] M. J. Marin, A. Rashid, M. Rejzek, S. A. Fairhurst, S. A. Wharton, S. Martin, J. W. McCauley, T. Wileman, R. A. Field, D. A. Russel. Org. Biomol. Chem.11, 7101 (2013).10.1039/c3ob41703dSearch in Google Scholar
[26] (a) G. T. Potter, G. C. Jayson, G. J. Miller, J. M. Gardiner. J. Org. Chem.81, 3443 (2016). (b) N. Fischer, E. D. Goddard-Borger, R. Greiner, T. M. Klapötke, B. M. Skelton, J. Stierstorfer. J. Org. Chem.77, 1760 (2012).10.1021/acs.joc.6b00177Search in Google Scholar
[27] V. L. Campo, T. B. Riul, I. Carvalho, M. Dias-Baruffi. ChemBioChem. 15, 1495 (2014).10.1002/cbic.201400069Search in Google Scholar
[28] D. Chaussabel, F. Jacobs, J. de Jonge. Infect Immun.67, 1929 (1999).10.1128/IAI.67.4.1929-1934.1999Search in Google Scholar
[29] M. Rolón, C. Vega, J. A. Escario, A. Gómez-Barrio. Parasitol Res. 99, 103 (2006).10.1007/s00436-006-0126-ySearch in Google Scholar
[30] J. Neres, A. Buschiazzo, P. M. Alzari, L. Walsh, K. T. Douglas. Anal Biochem. 357, 302 (2006).10.1016/j.ab.2006.07.018Search in Google Scholar
[31] J. Neres, P. Bonnet, P. N. Edwards. Bioorg. Med. Chem.15, 2106 (2007).10.1016/j.bmc.2006.12.024Search in Google Scholar
[32] S. Schenkman, L. B. Chaves, L. C. P. de Carvalho, D. J. Eichinger. Biol. Chem.269, 7970 (1994).10.1016/S0021-9258(17)37146-6Search in Google Scholar
Supplementary Material
The online version of this article offers supplementary material (https://doi.org/10.1515/pac-2019-0216).
©2019 IUPAC & De Gruyter. This work is licensed under a Creative Commons Attribution-NonCommercial-NoDerivatives 4.0 International License. For more information, please visit: http://creativecommons.org/licenses/by-nc-nd/4.0/
Articles in the same Issue
- Frontmatter
- In this issue
- Papers from the 29th International Carbohydrate Symposium (14–19 July 2018, Lisbon, Portugal)
- New insight on the structural diversity of holothurian fucosylated chondroitin sulfates
- Carbohydrates and BODIPYs: access to bioconjugatable and water-soluble BODIPYs
- Novel dodecyl-containing azido and glucuronamide-based nucleosides exhibiting anticancer potential
- Discovery of N-methylpiperazinyl flavones as a novel class of compounds with therapeutic potential against Alzheimer’s disease: synthesis, binding affinity towards amyloid β oligomers (Aβo) and ability to disrupt Aβo-PrPC interactions
- Stereoselective synthesis of sugar mimetics from simple monosaccharides
- Solvent issues in the Baylis-Hillman reaction of 5-hydroxymethyl furfural (HMF) and 5-glucosyloxymethyl furfural (GMF). Towards no-solvent conditions
- New syntheses towards C-glycosyl type glycomimetics
- Liquefaction of almond husk for assessment as feedstock to obtain valuable bio-oils
- Galactosyl and sialyl clusters: synthesis and evaluation against T. cruzi parasite
- 2-Deoxyglycosylation towards more effective and bioavailable neuroprotective molecules inspired by nature
- Conformational changes in common monosaccharides caused by per-O-sulfation
- Contribution of non-enzymatic transglycosylation reactions to the honey oligosaccharides origin and diversity
- Acid-mediated N-iodosuccinimide-based thioglycoside activation for the automated solution-phase synthesis of α-1,2-linked-rhamnopyranosides
- Synthesis and biological evaluation of S-simplexides and other analogues of simplexide
Articles in the same Issue
- Frontmatter
- In this issue
- Papers from the 29th International Carbohydrate Symposium (14–19 July 2018, Lisbon, Portugal)
- New insight on the structural diversity of holothurian fucosylated chondroitin sulfates
- Carbohydrates and BODIPYs: access to bioconjugatable and water-soluble BODIPYs
- Novel dodecyl-containing azido and glucuronamide-based nucleosides exhibiting anticancer potential
- Discovery of N-methylpiperazinyl flavones as a novel class of compounds with therapeutic potential against Alzheimer’s disease: synthesis, binding affinity towards amyloid β oligomers (Aβo) and ability to disrupt Aβo-PrPC interactions
- Stereoselective synthesis of sugar mimetics from simple monosaccharides
- Solvent issues in the Baylis-Hillman reaction of 5-hydroxymethyl furfural (HMF) and 5-glucosyloxymethyl furfural (GMF). Towards no-solvent conditions
- New syntheses towards C-glycosyl type glycomimetics
- Liquefaction of almond husk for assessment as feedstock to obtain valuable bio-oils
- Galactosyl and sialyl clusters: synthesis and evaluation against T. cruzi parasite
- 2-Deoxyglycosylation towards more effective and bioavailable neuroprotective molecules inspired by nature
- Conformational changes in common monosaccharides caused by per-O-sulfation
- Contribution of non-enzymatic transglycosylation reactions to the honey oligosaccharides origin and diversity
- Acid-mediated N-iodosuccinimide-based thioglycoside activation for the automated solution-phase synthesis of α-1,2-linked-rhamnopyranosides
- Synthesis and biological evaluation of S-simplexides and other analogues of simplexide