Startseite Naturwissenschaften Stereoselective synthesis of sugar mimetics from simple monosaccharides
Artikel Öffentlich zugänglich

Stereoselective synthesis of sugar mimetics from simple monosaccharides

  • Sławomir Jarosz EMAIL logo , Karolina Tiara und Mykhaylo A. Potopnyk
Veröffentlicht/Copyright: 5. April 2019

Abstract

A number of bicyclic imino- and carba-sugars (examples are presented in the Scheme) can be obtained from simple monosaccharides (hexoses or pentoses) by various methods.

Introduction

Iminosugars are inhibitors of glycosidases which usually display potent activity; carbasugars have similar properties. The most known group of sugar mimetics are undoubtedly iminosugars, i.e. compounds closely related to sugars, with the endocyclic oxygen atom replaced by a nitrogen atom [1], [2], [3], [4], [5], [6], [7], [8], [9], [10]. Such compounds are recognized by appropriate enzymes but, since they are not metabolized, block their active center(s) [11], [12]. Several derivatives of iminosugars, e.g. miglitol and miglustat, have found an application in a clinical use. They are active forms of medicinal drugs: Glyset™ and Zavesca™; both are analogs of deoxynojirimycin (DNJ), probably the most recognized iminosugar. When the oxygen atom in the sugar ring is replaced by the CH2 group (or other substituted carbon moiety), another class of compounds – carbasugars – is obtained. (Fig. 1) [13], [14], [15], [16].

Fig. 1: Examples of (a) iminosugars; (b) carbasugars.
Fig. 1:

Examples of (a) iminosugars; (b) carbasugars.

The representative derivatives from this group also possess interesting biological activities similar to iminosugars [17]. The synthesis of mono-carbocyclic carbasugars is well explored; the carbo-bicyclic analogs, however, are less known. They strongly resemble natural inhibitors of glycosidases [18], [19], [20] being at the same time the analogs of bicyclic imino sugars (a in Fig. 2) and the analogs of ‘normal’ (i.e. monocyclic) carbasugars with the rigid structure (b). The bicyclic nature of such compounds can secure the unfavorable conformation of the mimetics. For example, the low-energy conformation c of a monocyclic sugar (iminosugar, carbasugar) can be ‘converted’ into not favored one, when an additional ring with the trans-relation of the substituents is introduced to the molecule (d in Fig. 2). Such compound may be treated either as a bicyclic mimetic or regarded as the analog of a monocyclic derivative with a rigid structure [17]. The ‘inverted’ conformation could be sometimes beneficial to interact with enzymes.

Fig. 2: Similarity of polyhydroxylated bicyclic derivatives to iminosugars and conformational analysis of carbasugars.
Fig. 2:

Similarity of polyhydroxylated bicyclic derivatives to iminosugars and conformational analysis of carbasugars.

In this review, the synthesis of bicyclic imino- and carbasugars with special emphasis on the results obtained in the laboratory of the authors will be presented. We have already proposed several useful routes, alternative to previously described, which allow preparing different imino sugars either ‘natural’ i.e. existing in Nature or ‘unnatural’. According to our methodology, a number of stereoisomeric ‘natural’ and ‘unnatural’ alkaloids as well as bicyclic carbasugars can be prepared.

Synthesis of bicyclic carba- and iminosugars from sugar allyltins

Our interest in the synthesis of bicyclic carbasugars came from the incidental observation made during the study on the preparation of higher carbon sugars (HCS), i.e. polyhydroxylated derivatives with a long (>10 C-atoms) carbon chain. Such compounds can be conveniently prepared by a connection of two, properly functionalized monosaccharides [21], [22], [23]. One of the most reliable methods was based on the reaction of sugar derived phosphoranes (1) or phosphonates (2) with aldehydes (3), which allow to connect two sugar rings via a proper linker (Fig. 3).

Fig. 3: Examples of C12 and C21 monosaccharides.
Fig. 3:

Examples of C12 and C21 monosaccharides.

We also proposed another method of a construction of a HCS skeleton from sugar allyltin derivatives. Convenient synthesis of such organometallics is presented in Scheme 1. Protected methyl α-d-glucopyranoside 4 was converted, in few well defined steps, into allyltin derivative 5; this was the first synthesis of such organometallics with sugar core reported in the literature [24].

Scheme 1: Synthesis of allyltin compound 5.
Scheme 1:

Synthesis of allyltin compound 5.

Organometallic derivative 5, upon reaction with sugar aldehyde 6 catalyzed with a strong Lewis acid (TiCl4), should afford the HCS skeleton 7. However, slow addition (syringe pump) of a Lewis acid to a mixture of both sugar reagents (5 and 6) resulted only in the fragmentation of starting sugar allyltin (Scheme 2). The product of this unexpected reaction, dienoaldehyde 8 with the E-configuration across the internal double bond [25], was isolated in very good yield from the post-reaction mixture [24]. The desired higher carbon sugar derivative 7 could be, however, obtained upon fast addition of a Lewis acid to the reaction mixture.

Scheme 2: Reaction of allyltin compound 5 with carbohydrate aldehyde 6.
Scheme 2:

Reaction of allyltin compound 5 with carbohydrate aldehyde 6.

The dienoaldehydes obtained from d-mannose and d-galactose are also available (Fig. 4), thus opening a route to a variety of configurationally different bicyclic carbasugars [26].

Fig. 4: Dienoaldehydes prepared from d-mannose and d-galactose.
Fig. 4:

Dienoaldehydes prepared from d-mannose and d-galactose.

Such dienoaldehyde were used as a starting material for the preparation of complex bicyclic carba- and imino-sugars.

Stereoselective synthesis of bicyclic carbasugars from sugar allyltin derivatives

We have proposed a convenient route to polyhydroxylated carbobicyclic derivatives from such organometallics [21], [22], [23], [27]; an example derived from d-glucose is shown in Scheme 3. Dienoaldehyde 8, obtained from sugar allyltin 5 as depicted in Scheme 2, was converted into triene 9 in the reaction with the corresponding phosphorane (Wittig reaction) or phosphonate (Horner–Wadsworth–Emmons reaction).

Scheme 3: Application of sugar allyltins in the preparation of bicyclic carbasugars.
Scheme 3:

Application of sugar allyltins in the preparation of bicyclic carbasugars.

Diels-Alder cyclization of 9, induced with a Lewis acid or high pressure (10 000 atm.), afforded hydrindane derivative 10 with the trans-ring junction, which resulted from the endo-transition state of the Diels-Alder cyclization. Selectivity of this [4+2] cycloaddition was dependent on the configuration of the starting dienoaldehyde (derived from d-glucose, d-mannose, or d-galactose) [21], [22], [23]. Alternatively, 8 was converted into phosphonate 11, which – by reaction with aldehydes – underwent a conversion into triene 12, which spontaneously cyclized to decalin 13 with the cis-ring junction (Scheme 3) [28].

Stereoselective synthesis of bicyclic iminosugars from sugar allyltin derivatives

Dienoaldehyde 8 served also as a convenient precursor of rare imino sugars (Scheme 4). It was thus converted into oxime 14, which underwent – instead of the expected hetero Diels-Alder process – the 1,3-dipolar cycloaddition providing 15. Allylation of the nitrogen atom (→16) followed by a ring-closing metathesis (RCM) reaction afforded 17, which finally was converted into iminosugar 18 (shown in Fig. 5) [29].

Scheme 4: Application of sugar allyltins in the preparation of sugar rare bicyclic iminosugars.
Scheme 4:

Application of sugar allyltins in the preparation of sugar rare bicyclic iminosugars.

Fig. 5: Examples of sugar mimetics prepared in our laboratory.
Fig. 5:

Examples of sugar mimetics prepared in our laboratory.

On the other hand, reaction of 8 with tosyl amine afforded 19, which underwent the hetero Diels-Alder reaction providing the expected product 20 [30]. This is consistent with the results obtained by Herczegh who proved that oximes similar to 14, in which the hydroxyl group was protected, readily underwent the [4+2]-cyclization (Scheme 4) [31]. Functionalization of all intermediates shown in Schemes 2 and 3 yielded polyhydroxylated bicyclic derivatives, such as 18, 21, 22 (Fig. 5).

Preparation of carba- and imino-sugars via different methodologies

Our tin-methodology towards sugar mimetics presented above has several disadvantages. First, it is not environmentally friendly; organic stannanes are toxic, thus application of them in pharmacy, even as starting materials, is not recommended. Second, the synthesis is long and tedious, which results mostly from a multistep conversion of starting glycosides into allyltin derivatives (such as 5). Moreover, we are able to obtain only cis-decalin and trans-perhydroindane systems, which is a consequence of the stereochemistry of the intramolecular Diels-Alder reactions of intermediate trienes (910-trans and 1213-cis).

Preparation of the alternative bicyclic derivatives: trans-decalins and cis-perhydroindanes required another solution(s). First, most obvious, possibility lays in changing the geometry of the reacting molecules. The elaboration of the convenient procedure for the preparation of dienes with the Z-configuration across the internal double bond is, therefore, needed. The access to such dienes would open a useful route to bicyclic derivatives with a different geometry at the ring junction (Fig. 6).

Fig. 6: Synthesis of different steroisomers of bicyclic targets.
Fig. 6:

Synthesis of different steroisomers of bicyclic targets.

Recently we have proposed a useful method allowing the preparation of Z-dienes, which may-be used as precursors of trienes shown in Fig. 6; this procedure was applicable also for the selective preparation of the E-dienes as shown in Scheme 5.

Scheme 5: Stereoselective preparation of sugar dienes from the same precursor and their further conversion into isoxazolines.
Scheme 5:

Stereoselective preparation of sugar dienes from the same precursor and their further conversion into isoxazolines.

Methyl α-d-glucoside was converted in a few, well-defined steps into the protected derivative 24. Its reaction with pinacol (E)-1-(trimethylsilyl)-1-propene-3-boronate (25) provided adduct 26 as a mixture of two isomers with the relative anti-configuration. Treatment of 26 with potassium hydride gave diene 27 with the Z-configuration across the internal double bond, while treatment with sulfuric acid furnished the E-diene 28. Both isomers were deprotected at the anomeric center affording hemiacetals 29 and 30, respectively, which were converted into oxazolines 31 and 32 as shown in Scheme 5 [32].

Second approach, quite different from the cyclization route proposed in Fig. 6, was based on a concept in which the trans-relation between the substituents was built before cyclization [33]. The synthesis of trans-decalin system was initiated from cyclohexenone 33 [33], readily prepared from 6-iodoglucoside 34 according to the methodology shown in Scheme 6.

Scheme 6: Synthesis of highly oxygenated trans-decalins from d-glucose.
Scheme 6:

Synthesis of highly oxygenated trans-decalins from d-glucose.

1,4-Addition of vinylmagnesium bromide to 33 afforded intermediate 35 [34] which – upon in situ treatment with unsaturated aldehyde (R)-36 – provided adduct 37 with the trans-relation between both newly introduced substituents. The 6-membered ring was constructed in the RCM reaction; the resulting endocyclic olefin 38 was then cis-dihydroxylated to afford the fully hydroxylated trans-decalin 39 [33].

We have proposed also a useful route to iminosugars excluding toxic organotin intermediates. The general idea, shown in Scheme 7, is based on a cascade addition of a Grignard reagent to halonitriles and subsequent spontaneous cyclization [35]. Addition of allylmagnesium bromide to bromonitrile 40 – readily obtained from the corresponding oxime 41 – afforded cyclic intermediate 42 which was reduced either to piperidine 43 or reacted with another equivalent of All-MgBr to 44. The selectivity (mono versus double allylation) was dependent on the polarity of the solvent used, and could be controlled.

Scheme 7: Preparation of monocyclic iminosugars from sugar-derivatives.
Scheme 7:

Preparation of monocyclic iminosugars from sugar-derivatives.

Compounds 43 and 44 were used as staring materials for the preparation of bicyclic iminosugars as shown in Scheme 8. After introduction of the second unsaturated unit to 43, the resulting derivative 45 was cyclized under the RCM conditions to afford bicyclic derivative 46, which finally was converted to 47. Alternatively, cyclization of a ‘double’ adduct induced by the Grubbs’ catalyst gave the spiro-derivative 48 and finally diol 49.

Scheme 8: Preparation of bicyclic iminosugars.
Scheme 8:

Preparation of bicyclic iminosugars.

Compounds 46 and 48 were cis-dihydroxylated providing the corresponding iminosugars 47 and 49 [35].

The effectiveness of this approach was documented by our recent synthesis of the enantiomer of natural alkaloid castanospermine as shown in Scheme 9.

Scheme 9: Synthesis of the enantiomer of natural castanospermine.
Scheme 9:

Synthesis of the enantiomer of natural castanospermine.

Adduct 43 was protected at the nitrogen atom with benzyl chloroformate and allylic position in the resulting carbamate 50 was oxidized in the presence of the White’s catalyst [36], which is a powerful tool for the oxidation of the allylic position [37]. The intermediate derivative 51 was then converted into unnatural (-)-castanospermine 52 [38].

This convenient methodology of the synthesis of ‘normal’ (i.e. 43 or 47) as well was ‘strange’ (e.g. 44 or 49) iminosugars can be applied for the preparation of a variety of iminosugars differing in the structure [39]. An example of the synthesis of (-)-lentiginosine (53) by this methodology, shown in Scheme 10, is a good illustration of this concept.

Scheme 10: Synthesis of (-)-lentiginosine.
Scheme 10:

Synthesis of (-)-lentiginosine.

d-Mannitol was converted into known [40] functionalized derivative 54, which – in a few standard steps – was converted into tetrose 55 and finally into bromonitrile 56 (as shown in Scheme 10) [41]. Reaction of this bromonitrile with allylmagnesium bromide followed by reduction of the intermediate imine 57 with zinc borohydride provided pyrrolidine 58 as a mixture of two diasteroisomers in a 4.3:1 ratio. Allylation of the nitrogen atom followed by RCM and hydrogenation provided natural (-)-lentiginosine (53) in good overall yield.

This latter approach – successfully applied to the synthesis of unnatural castanospermine and natural lentiginosine – may be also used for the preparation of other configurationally different alkaloids as shown in Fig. 7 [41].

Fig. 7: Preparation of various polyhroxylated pyrrolidines from the corresponding bromonitriles.
Fig. 7:

Preparation of various polyhroxylated pyrrolidines from the corresponding bromonitriles.

In this short review, various approaches to imino- and carbasugars developed in our laboratory were presented. As already mentioned (see Refs. [1] and [2]) the synthesis of sugar mimetics is well explored; these results are already described in a number of excellent reviews.

Miscellaneous

We have presented several methodologies for the preparation of imino- and carbasugars especially bicyclic ones. They have general applications, thus the proper methodology might be chosen to prepare the desired derivative. However, there is still need for the development of new methods for the preparation of carba- and iminosugars, especially leading to ‘strange’ skeletons with different ring(s) and/or various position of the nitrogen atom.

Recently we have found that iodination of the primary hydroxyl group in protected oxime-diol 59 can be performed selectively at the primary position. The resulting product 60 undergoes cyclization providing bicylic iminosugar 61 (route a in Scheme 11)[1]. This compound may be used, eventually, as a precursor of 7-membered iminosugars as proposed recently by Bleriot and co-workers (route b in Scheme 11) [42].

Scheme 11: Selective iodination of sugar derived diols and its application in the synthesis of bicyclic iminosugars.
Scheme 11:

Selective iodination of sugar derived diols and its application in the synthesis of bicyclic iminosugars.

In this Section we will present also very recent syntheses of strange iminosugars performed in other laboratories.

Recently, in a series of papers, Baskaran and co-workers [43], [44], [45], [46], [47], [48] proposed the efficient routes to complex iminosugar C-glycosides. For example, treatment of d-ribose tosylate 62 with aliphatic amines and subsequent stereoselective arylation of the in situ generated iminium ions with aryl nucleophile, resulted in functionalized iminosugar β-C-glycosides as single products. Electron-rich arenes (resorcinol, pyrogallol, m-aminophenol) and heterocycles (indole and pyrrole) have been used as aryl nucleophiles. Thus, reaction of 62 with benzyl amine followed by treatment of an intermediate 63 with coumarine – which is present in many natural as well as in synthetic drug molecules [49] – allowed to prepare fused iminosugars such as e.g. 64. This method was successfully expanded to a library of various complex C-aryl iminosugars [43]. Alternatively, the use of tryptamine (65) provided the fused product 66 (Scheme 12) [44].

Scheme 12: Diversity oriented one-pot synthesis of novel iminosugar C-aryl glycosides.
Scheme 12:

Diversity oriented one-pot synthesis of novel iminosugar C-aryl glycosides.

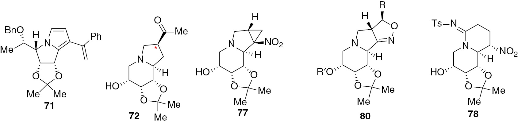
Other compounds prepared by this methodology are shown in Scheme 12. The intermediate β-C-alkynylglycoside 68, obtained from iminium ion 67 and terminal acetylene, under the Grubbs ring-closing metathesis (RCM) conditions provided 69 spontaneously oxidized to 70 [45]. A family of other complex iminosugars: 71 [45], 72 [46], 78 [47], and 80 [48], which are shown in Fig. 8, were prepared from simple monosaccharides.

Fig. 8: Examples of ‘strange’ iminosugars prepared by Baskaran and co-workers.
Fig. 8:

Examples of ‘strange’ iminosugars prepared by Baskaran and co-workers.

Another approach to ‘strange’ iminosugars was recently proposed by French scientists [50]. It is based on the stereoselective (1,3)-cycloaddition of cyclic nitrones (81) and acetylenes (82) which provides 4-isoxazolines (83). The latter, undergo the Baldwin rearrangement [51] affording bicyclic 2-acylaziridines 84, which finally are converted into iminosugars 85 (Scheme 13).

Scheme 13: Aziridination of cyclic nitrones targeting constrained iminosugars.
Scheme 13:

Aziridination of cyclic nitrones targeting constrained iminosugars.

Conclusion

The methodologies elaborated in our laboratory allow for efficient syntheses of complex fused-bicyclic (six-six and six-five) carba- and imino-sugars having different structures. This is, however, limited only to compounds having two six-membered or five- and six-membered rings. In the recent literature there are examples of the synthesis of bicyclic iminosugars with different ring sizes. These syntheses were presented briefly in the last part of this short review.

There is of course a need to predict the structure of the mimetic, preferably by the in silico, and then propose the proper method to prepare this derivative in an efficient way. Having so many methodologies which were shown in this review it should be possible to choose the proper one.


Article note

A collection of invited papers based on presentations at the 29th International Carbohydrate Symposium (ICS-29), held in the University of Lisbon, Portugal, 14–19 July 2018.


References

[1] M. Bols. Acc. Chem. Res.31, 1 (1998).10.1021/ar970058rSuche in Google Scholar

[2] L. Cipolla, F. Peri, B. La Ferla, C. Redaelli, F. Nicotra. Curr. Org. Synth.2, 153 (2005).10.2174/1570179053545341Suche in Google Scholar

[3] G. Horne, F. X. Wilson, J. Tinsley, D. H. Williams, R. Storer. Drug Discov. Today16, 107 (2011).10.1016/j.drudis.2010.08.017Suche in Google Scholar PubMed

[4] A. E. Stütz (Ed.) Iminosugars as Glycosidases Inhibitors: Norjirmycin and Beyond. Wiley-VCH, Weinheim (1999).10.1002/3527601740Suche in Google Scholar

[5] P. Compain, O. R. Martin (Eds.) Iminosugars: From Synthesis to Therapeutic Applications. Wiley-VCH, Weinheim (2007).10.1002/9780470517437Suche in Google Scholar

[6] B. G. Winchester. Tetrahedron Asymmetr.20, 645 (2009).10.1016/j.tetasy.2009.02.048Suche in Google Scholar

[7] P. Compain, V. Chagnault, O. R. Martin. Tetrahedron Asymmetr.20, 672 (2009).10.1016/j.tetasy.2009.03.031Suche in Google Scholar

[8] M. Brambilla, S. G. Davies, A. M. Fletcher, J. E. Thomson. Tetrahedron Asymmetr.25, 387 (2014).10.1016/j.tetasy.2014.02.001Suche in Google Scholar

[9] B.-C. Qian, A. Kamori, K. Kinami, A. Kato, Y.-X. Li, G. W. J. Fleet, C.-Y. Yu. Org. Biomol. Chem.14, 4488 (2016).10.1039/C6OB00531DSuche in Google Scholar

[10] N. J. Pawar, S. V. Parihar, A. Khan, R. Joshi, D. D. J. Dhavale. J. Med. Chem. 58, 7820 (2015).10.1021/acs.jmedchem.5b00951Suche in Google Scholar PubMed

[11] I. Robina, A. J. Moreno-Vargas, A. T. Carmona, P. Vogel. Curr. Drug Metab.5, 329 (2004).10.2174/1389200043335513Suche in Google Scholar

[12] Y. Chapleur (Ed.) Carbohydrate Mimics. Concepts and Methods. Wiley, Weinheim (1998).10.1002/3527603239Suche in Google Scholar

[13] O. Arjona, A. M. Gómez, J. C. López, J. Plumet. Chem. Rev.107, 1919 (2007).10.1021/cr0203701Suche in Google Scholar

[14] Y. Kobayashi. “Carbasugars: synthesis and functions”, in Glycoscience: Chemistry and Chemical Biology, 2nd ed. B. O. Frazer-Reid, K. Tatsuta, J. Thiem (Eds.), p. 1913, Springer-Verlag, Berlin, Heidelberg, New York (2001).Suche in Google Scholar

[15] H. Kumamoto, M. Fukano, T. Nakano, K. Iwagami, C. Takeyama, S. Kohgo, S. Imoto, M. Amano, N. Kuwata-Higashi, M. Aoki, H. Abe, H. Mitsuya, K. Fukuhara, K. Haraguchi. J. Org. Chem.81, 2827 (2016).10.1021/acs.joc.6b00105Suche in Google Scholar

[16] G. Witkowski, M. Kowalski, Ł. Szyszka, M. A. Potopnyk, S. Jarosz. Tetrahedron Asymmetr.27, 747 (2016).10.1016/j.tetasy.2016.06.011Suche in Google Scholar

[17] G. Mehta, S. S. Ramesh. Chem. Commun. 2429 (2000).10.1039/b007224iSuche in Google Scholar

[18] J. P. Michael. Nat. Prod. Rep.15, 571 (1998).10.1039/a815571ySuche in Google Scholar

[19] P. Herczegh, I. Kovács, L. Szilágyi, F. Sztaricskai, A. Berecibar, C. Riche, A. Chiaroni, A. Olesker, G. Lukacs. Tetrahedron51, 2969 (1995).10.1016/0040-4020(95)00029-8Suche in Google Scholar

[20] W. H. Pearson, E. J. Hembre. J. Org. Chem.61, 5537 (1996).10.1021/jo960609bSuche in Google Scholar

[21] S. Jarosz. Curr. Org. Chem.12, 985 (2008).10.2174/138527208785161187Suche in Google Scholar

[22] S. Jarosz, M. Nowogrodzki, M. Magdycz, M. A. Potopnyk. Carbohydr. Chem.37, 303 (2011).10.1039/9781849732765-00303Suche in Google Scholar

[23] M. A. Potopnyk, P. Cmoch, M. Cieplak, A. Gajewska, S. Jarosz. Tetrahedron Asymmetr.22, 780 (2011).10.1016/j.tetasy.2011.04.021Suche in Google Scholar

[24] S. Jarosz, B. Fraser-Reid. J. Org. Chem.54, 4011 (1989).10.1021/jo00278a001Suche in Google Scholar

[25] S. Jarosz. Tetrahedron53, 10765 (1997).10.1016/S0040-4020(97)00676-5Suche in Google Scholar

[26] S. Jarosz, A. Gaweł. Eur. J. Org. Chem. 3415 (2005).10.1002/ejoc.200500099Suche in Google Scholar

[27] M. Magdycz, S. Jarosz. Tetrahedron Asymmetr.24, 1402 (2013).10.1016/j.tetasy.2013.09.018Suche in Google Scholar

[28] S. Jarosz. J. Chem. Soc. Perkin Trans. I. 3579 (1997).10.1039/a707447fSuche in Google Scholar

[29] M. Magdycz, P. Cmoch, S. Jarosz. Heterocycles46, 1303 (2010).10.3987/COM-09-S(S)120Suche in Google Scholar

[30] M. Magdycz, S. Jarosz. Tetrahedron Asymmetr.24, 1412 (2013).10.1016/j.tetasy.2013.09.016Suche in Google Scholar

[31] P. Herczegh, M. Zsély, L. Szilágyi, I. Bajza, A. Kovács, G. Batta, R. Bognár. Cycloaddition React in Carbohydrate Chem494, 112 (1992).10.1021/bk-1992-0494.ch008Suche in Google Scholar

[32] G. Witkowski, S. Jarosz. Synlett24, 1813 (2013).10.1055/s-0033-1339374Suche in Google Scholar

[33] M. Malik, S. Jarosz. Beilstein J. Org. Chem.12, 2602 (2016).10.3762/bjoc.12.255Suche in Google Scholar PubMed PubMed Central

[34] M. Malik, P. Cmoch, M. A. Potopnyk, S. Jarosz. Tetrahedron Asymmetr.28, 1750 (2017).10.1016/j.tetasy.2017.10.001Suche in Google Scholar

[35] M. Malik, G. Witkowski, M. Ceborska, S. Jarosz. Org. Lett.15, 6214 (2013).10.1021/ol403063vSuche in Google Scholar PubMed

[36] K. J. Fraunhoffer, N. Prabagaran, L. E. Sirois, M. C. White, J. Am. Chem. Soc.128, 9032 (2006).10.1021/ja063096rSuche in Google Scholar PubMed PubMed Central

[37] P. E. Gormisky, M. C. White. J. Am. Chem. Soc.133, 12584 (2011).10.1021/ja206013jSuche in Google Scholar PubMed PubMed Central

[38] M. Malik, G. Witkowski, S. Jarosz. Org. Lett.16, 3816 (2014).10.1021/ol501730pSuche in Google Scholar PubMed

[39] M. Malik, S. Jarosz. Carbohydr. Chem.42, 313 (2017).10.1039/9781782626657-00313Suche in Google Scholar

[40] L. Miesch, T. Welsch, L. Toupet. Synthesis 161 (2011).10.1055/s-0030-1258320Suche in Google Scholar

[41] M. Malik, S. Jarosz. Org. Biomol. Chem.14, 1764 (2016).10.1039/C5OB02573GSuche in Google Scholar

[42] M. Mondon, N. Fontelle, J. Dásiré, F. Lecornué, J. Guillard, J. Marrot, Y. Blériot. Org. Lett.14, 870 (2012).10.1021/ol203385wSuche in Google Scholar PubMed

[43] S. S. Prasad, N. R. Reddy, S. Baskaran. J. Org. Chem.83, 9604 (2018).10.1021/acs.joc.8b00748Suche in Google Scholar PubMed

[44] S. Senthilkumar, S. S. Prasad, P. S. Kumar, S. Baskaran. Chem. Commun.50, 1549 (2014).10.1039/c3cc48370cSuche in Google Scholar PubMed

[45] S. Senthilkumar, S. S. Prasad, A. Das, S. Baskaran. Chem. Eur. J.21, 15914 (2015).10.1002/chem.201503047Suche in Google Scholar PubMed

[46] K. Chinthapally, R. Karthik, S. Senthilkumar, S. Baskaran. Chem. Eur. J.23, 533 (2017).10.1002/chem.201604376Suche in Google Scholar PubMed

[47] S. S. Prasad, S. Senthilkumar, A. Srivastava, S. Baskaran. Org. Lett.19, 4403 (2017).10.1021/acs.orglett.7b02175Suche in Google Scholar PubMed

[48] S. S. Prasad, S. Baskaran. J. Org. Chem.83, 1558 (2018).10.1021/acs.joc.7b02803Suche in Google Scholar PubMed

[49] Q. Shen, J. Shao, Q. Peng, W. Zhang, L. Ma, A. S. C. Chan, L. Gu. J. Med. Chem.53, 8252 (2010).10.1021/jm100757rSuche in Google Scholar PubMed

[50] S. Tangara, C. Aupic, A. Kanazawa, J. F. Poisson, S. Py. Org. Lett.19, 4842 (2017).10.1021/acs.orglett.7b02283Suche in Google Scholar PubMed

[51] S. Tangara, A. Kanazawa, S. Py. Eur. J. Org. Chem. 6357 (2017).10.1002/ejoc.201700920Suche in Google Scholar

Published Online: 2019-04-05
Published in Print: 2019-07-26

©2019 IUPAC & De Gruyter. This work is licensed under a Creative Commons Attribution-NonCommercial-NoDerivatives 4.0 International License. For more information, please visit: http://creativecommons.org/licenses/by-nc-nd/4.0/

Artikel in diesem Heft

  1. Frontmatter
  2. In this issue
  3. Papers from the 29th International Carbohydrate Symposium (14–19 July 2018, Lisbon, Portugal)
  4. New insight on the structural diversity of holothurian fucosylated chondroitin sulfates
  5. Carbohydrates and BODIPYs: access to bioconjugatable and water-soluble BODIPYs
  6. Novel dodecyl-containing azido and glucuronamide-based nucleosides exhibiting anticancer potential
  7. Discovery of N-methylpiperazinyl flavones as a novel class of compounds with therapeutic potential against Alzheimer’s disease: synthesis, binding affinity towards amyloid β oligomers (Aβo) and ability to disrupt Aβo-PrPC interactions
  8. Stereoselective synthesis of sugar mimetics from simple monosaccharides
  9. Solvent issues in the Baylis-Hillman reaction of 5-hydroxymethyl furfural (HMF) and 5-glucosyloxymethyl furfural (GMF). Towards no-solvent conditions
  10. New syntheses towards C-glycosyl type glycomimetics
  11. Liquefaction of almond husk for assessment as feedstock to obtain valuable bio-oils
  12. Galactosyl and sialyl clusters: synthesis and evaluation against T. cruzi parasite
  13. 2-Deoxyglycosylation towards more effective and bioavailable neuroprotective molecules inspired by nature
  14. Conformational changes in common monosaccharides caused by per-O-sulfation
  15. Contribution of non-enzymatic transglycosylation reactions to the honey oligosaccharides origin and diversity
  16. Acid-mediated N-iodosuccinimide-based thioglycoside activation for the automated solution-phase synthesis of α-1,2-linked-rhamnopyranosides
  17. Synthesis and biological evaluation of S-simplexides and other analogues of simplexide
Heruntergeladen am 24.12.2025 von https://www.degruyterbrill.com/document/doi/10.1515/pac-2019-0116/html
Button zum nach oben scrollen