Abstract
Earthen architecture constitutes a significant component of cultural heritage worldwide. However, this heritage is under threat due to a multitude of factors, including social, environmental, and economic changes. In South Algeria, earthen architecture is intimately linked to the identity of historic urban landscapes, particularly in Timimoun, the chief town of the gourara region. However, the shift towards industrial construction techniques and materials, encouraged by the state, has led to the abandonment of earthen houses and a neglect of traditional building culture. This poses questions about the evolving relationship between the inhabitants and their existing built environment in the context of changing social and economic conditions. To address this issue, we conducted an ethnographic study aimed to understand the significance and value of earthen architecture among local communities. Drawing on existing literature on the positive and negative views linked to earthen architecture, we employed a questionnaire to identify stakeholders’ preferences, choices, and attitudes towards this form of architecture. Through analysing the responses to the questionnaire, we have gained insight into the current state of earthen architecture and its significance. Our research findings provide valuable contributions to better comprehend the challenges faced by the preservation of earthen architecture and the cultural heritage it represents.
1 Introduction
Architecture has been a significant means of expressing cultural and social values throughout human history, reflecting the transmission of cultural practices and knowledge across generations. Traditional settlements, reflecting the accumulated knowledge and practices of the societies over the centuries, serve as repositories of shared cultural heritage, representing the cultural traditions of their respective regions. These settlements are also social and spatial units, formed through social organisation with divisions based on familiarity ties (Barkani, 2021; Zerari, Sriti, & Mansouri, 2019). In the Southern part of Algeria each region, has certain features that distinguish it from others. These differences can be seen in the agricultural system, irrigation methods, or the typology of the built environment (Figure 1). Furthermore, the Ksar (pl. Ksour. A common type of historic settlement in southern Algeria) is a key element of the oasis ecosystem; the oasis is fundamentally made up of three inseparable parts: water/palm grove/Ksar. Water makes the other two components viable; the palm grove provides income, and the Ksar ensures the functioning of the whole (Côte, 2012, Barkani, 2021). Despite the challenges presented by the harsh desert climate of the Sahara, the Ksour settlements have adapted to their environment (Daoudi et al., 2019), showcasing the architectural solutions of the Ksourian society, which have evolved under societal influences and are deeply embedded in their unique cultural fabric.

Arial view of Ksour in the south of Algeria: (1) Ksar of Ghardaia and (2) Ksar of Timimoun (Photos credit ©Yann Arthus-Bertrand).
Our ethnographic case study focuses on the Gourara region of Southern Algeria, home to a multitude of oases with the city of Timimoun as its historical chief town. In this region, the abandonment of local earthen materials in favour of industrial ones, resulting in a break in the transmission and continuity of local building knowledge, has occurred due to the introduction of the tertiary sector and administrative employment leading to a shift from rural to urban life. Thus, our research aims to explore the attachment and actual attitudes of local inhabitants regarding their earthen built environment and gather data on social values related to earthen architecture and the impact of modernisation on the built environment using questionnaire techniques.
2 Context of the Study
The Gourara region is situated in the central part of Algeria and is composed of a cluster of oases that are encircled by the Grand Erg Occidental to the north, the Touat and Saoura regions to the west, and the Tademaït plateau to the south and east. Specifically, the Gourara is composed of roughly 100 oases that are dispersed between the Tademaït plateau in the east and the southern end of the Grand Erg Occidental in the west, collectively known as the Gourara (Bisson, 1999). The history of the Gourara region can be extended back to Neolithic times, with abundant archaeological evidence indicating the presence of early human occupation. Over the centuries, it has been a site of various migrations, including the Berber nomads and other ethnic groups (Bellil, 1999; Martin, 1908; Mammeri, Augier, Cambuzat, Colonna, & Henni, 1973). Further cultural diversity was introduced with the arrival of Islam, and later, additional influences came with the French colonisation in the nineteenth century.
Timimoun, situated in the centre of the Gourara (Figure 2) has long been considered the cultural and economic capital of the region. Over the past five decades, the population of Timimoun has undergone a significant increase, rising from 3,000 inhabitants in 1954 to 20,607 inhabitants in 2008 (Otmane & Kouzmine, 2011). The elevation of Timimoun from a Daïra (chief town) to a Wilaya (province) in 2019 has further reinforced its position as an attractive and dynamic hub. The establishment of administrative infrastructure has facilitated the growth of the tertiary sector. Additionally, the administrative promotion was accompanied by significant implementation of housing programs, school facilities, healthcare, and other services, resulting in a marked increase in population influx and spatial expansion.

Left: the position of the province of Timimoun; right: the situation of the city of Timimoun in the Gourara region.
The history and formation of Timimoun can be outlined into three distinct periods. According to Bellil (1999), the initial period predates the fifteenth century, when Timimoun was composed composed of isolated fortresses (localy called Agham) each populated by members of a single tribe or family. The succeeding period witnessed the unification of tribes by the Wali Sidi Moussa, achieved through the creation of a market between the Fortresses that facilitated the formation of the Ksar (the actual historic urban fabric). The second period materialised in the early twentieth century, during which the “colonial village” was established by French troops, situated in front of the Ksar. The third period, following Algeria’s independence, was marked by a continued growth of the city in its eastern section (Figure 3), characterised by a rapid implementation of a housing program which engendered problems for the existing traditional urban fabric (Ksar) in particular through the disruption of the foggara system (palm grove’s irrigation network [Remini & Bachir, 2008]).

Development of the city of Timimoun. (Source: PDAU de la commune de Timimoun, 2009).
2.1 Earthen Architecture in Timimoun and the Gourara Region
The historical built environment in Timimoun is distinctively shaped by its earthen architecture. This architectural practice, deeply rooted into the socio-cultural fabric of the region, is featured by the use of raw earth blocks (Adobe). This technique finds its typical representation in the Gourari house, a distinctive structure, with its angled entrance, narrow inner courtyard, (Bisson, 1999; Bisson & Jarir, 2002), stands as a testament of a unique architectural approach in Timimoun and Gourara (Figure 4).

Architectural plans of typical configuration of the Gourarian house situated on the path towards the Moulay Ahmed cemetery in the Ksar of Timimoun. (Drawing provided by Boufeldja Arifi. Elaborated by authors).
Complementing these earth blocks are other local materials such as stones, and palm wood, a locally sourced variety, imparting the buildings with enhanced thermal insulation, and resilience to the desert climate (Daoudi, et al., 2019). The distinctive features of the earthen buildings in Timimoun are apparent not only in their construction but also in their ornamentation. Decorative motifs and techniques, including carving geometric patterns in the clay plaster, are common in structures of significant spaces, such as mosques, public institutions, or colonial-era establishments like the example of the Ex-hotel Oasis Rouge (Figure 5). Alongside this interior treatment, some exterior walls exhibit a traditional method of plastering with handmade earthen round balls. Our observations indicate that this practice, while not general, is particularly on specific walls enhancing the shading, thus reducing the impact of intense sun exposure (Figure 6).

Earthen decorative technique adopted in various edifices in the city of Timimoun. (1) Ex-hotel Oasis Rouge built between 1912 and 1917. (2) Hotel Gourara built in the 1970s by the French architect Fernand Pouillon. (3) Recent renovation on the Central post office of Timimoun.

Exterior wall plaster type in Timimoun.
Until the late twentieth century, the built environment in Timimoun was predominantly marked by earthen architecture. This practice managed to sustain its prominence despite the integration of modern urban utility networks, epitomising a transition from rural to urban life (Otmane & Kouzmine, 2011). However, following the initiatives implemented by the Algerian government that encourage the employment of industrial materials with the objective of reducing precarious housing conditions, the architectural landscape transformation has accelerated (ibid). This shift is regarded with apprehension by local inhabitants, who perceive it as a potential “slumification” of their architectural heritage (Figure 7).

Transformation of the architectural heritage in the Ksar of Timimoun, demonstrating the impact of industrial construction methods on traditional earthen urban fabric.
Earthen architecture in the region of Gourara represents more than mere physical structures; it serves as a profound testament to a local cultural heritage. Notably, as Terki et al. (2019) pointed out, the earthen constructions in Timimoun both reflect and contribute to the cultural heritage of the region. Interestingly, these architectures share a deep connection with two cultural practices of Gourara that have been recognised by the UNESCO as intangible cultural heritage of humanity. The first, Sbuâ, is an annual pilgrimage that involves community celebrations with activities such as singing and dancing, and at times, includes the collective renovation of ancient mausoleums (Figure 8) (CNRPH. 2015; UNESCO, 2015). The second, Ahellil, is a traditional music genre often performed during group ceremonies (CNRPH. 2011; UNESCO, 2008). Traditionally, Ahellil was performed within the earthen walls of Ksar and during group activities like Foggara cleaning or house constructions, reinforcing the profound link between cultural practices and architecture. Nowadays, due to changes in social dynamics and tourist interest, these performances occur in municipal theatre of Timimoun.

Renovation of a mausoleum during the Sbuâ annual pilgrimage (Source: CNRPH, 2011).
3 Literature Review
In the field of ethnographic studies, our inhabited spaces have profound significance beyond mere physical entity. They encapsulate cultural, social, and personal dimensions (Rapoport, 1990). The concept of home goes beyond physical construction, deep into elements of continuity, authenticity, familial ties, and security shaped through human history (Duncan, 1947; Samanani & Lenhard, 2019). As such, the “home” is more than a dwelling; it is a symbol of societal values and historical connection, emphasising architectural role in moulding our identities. Our expanded perspective sees “home” as a multi-faceted concept deeply entrenched in societal, cultural, and individual associations. It can be a personal intimate space or an extension of the surrounding community. It can incite feelings of isolation or invitation and can be both a comfort and a challenge (Barone, 2010).
When we see a building, we involuntarily develop mental associations shaped by our preconceived association. These associations, as Duncan (1947) suggests, have been shaped over centuries of tradition. Oliver (2007) asserts that these associations are contextually defined, highlighting that the interpretation of “home” is both highly personal and dependent on individual circumstances, which may include environmental needs and daily life demands.
Belakehal (2006) demonstrates that values are derived from the order of priorities, reflecting the importance attributed by a group to objects in their environment, preferences, and choices. Therefore, the associations individuals have with their homes provide an insightful perspective into these priorities. In addition, Cooke’s (2008) analysis recognises that the meaning of “home” is subjective and dependent on individual circumstances, rendering its intrinsic value variable. As individuals interact with the norms and expectations of their culture and society, they develop associations that shape their perception of the concept of “home.” Belakehal (2006) and Cooke (2008) both stressed that building materials play a central role in this perception, being closely linked to the aspirations that the concept of “home” evokes. Associations and aspirations tied to building materials have been formed through comparisons and contrasts with other materials such as stone or concrete, leading to the deduction that the value of architecture is intrinsically linked to the associations, positive or negative, it provokes (Figure 9).

Values related to earthen architecture.
Archaeologist Cooke (2008) dedicated a chapter in her doctoral dissertation to exploring the significance of earthen architecture and materials. Through extensive fieldwork and discussions with professionals and practitioners, she investigated the various positive and negative associations connected to earthen buildings from different perspectives, as detailed below:
Negative associations include: lacks modernity; associated with poverty; backward and uncivilised; cheap and easy, rather than good buildings; inherently weak; more liable to destruction; linked to ill health and disease; last resort; unconservable; and other unsuitable terminologies. Positive associations include: adaptability; aesthetic; ancientness, durability and universality; autonomous; environmentally responsive; environmentally friendly; healthy; resistance to natural disaster; humanity; local distinctiveness; recyclability; modernity; symbolism. (ibid. pp. 94–113)
After reviewing and identifying the positive and negative associations related to earthen architecture and materials, as discussed by Cooke, our research methodology involves conducting an evaluation of the current values of earthen architecture in our case study of Timimoun. Our comprehensive analysis employs a questionnaire research technique at various levels, including choices, preferences, and attitudes, in order to gain a deeper understanding of the perceptions and attitudes towards earthen architecture in Timimoun.
4 Methodological Approach
Following Cooks definition of positive and negative associations of earth materials, we adopt an ethnographic approach to assess the values associated with earthen architecture and material in our case study of Timimoun. Our methodology includes a multi-level questionnaire-based research approach that aims to identify the preferences, choices, and attitudes of the inhabitants towards earthen materials. Specifically, our initial aim was to analyse the preferences and choices on the building material, and then in the second step to explore their attitudes towards the earthen architecture (Figure 10).

Approach for assessing values associated with earthen architecture and materials.
By drawing upon Cooke’s findings, we identified the relevant elements for our study and synthesised the positive and negative associations. These were then classified according to the relevant values (Table 1). Our contribution involves analysing the associations and their values on multiple scales (choices, preferences, and attitudes) to generate reliable results. However, for simplicity of response, some associations were reduced to one or two scales. For example, we included the positive association of “humanity” on a single scale of attitude, as it may be difficult to process on the choice or preference scale. This is indicated in Table 1 by a parenthesis (attitudes only).
Organisation of associations according to related values
| Negative associations | Positive associations | Relevant values |
|---|---|---|
| Lacks modernity | Modernity | Modernity |
| Associated with poverty | Humanity (attitudes only) | Humanism |
| Backwards and uncivilised (attitudes only) | Aesthetic | Appearance |
| Local distinctiveness | ||
| Cheap and easy, rather than good buildings | Autonomous | Utility |
| Inherently weak | Resistance to natural disaster | Resistance and durability |
| More liable to destruction | ||
| Linked to ill health and disease | Healthy | Health and comfort |
| Environmentally responsive | ||
| Environmentally friendly | ||
| Unconservable | Recyclability | Sustainability |
| Adaptability | ||
| Ancientness, durability, and universality | ||
| Last resort (attitudes only) | ||
4.1 Data Collection
Based on our prior considerations, we created a questionnaire that includes a section at the beginning to outline the objectives of the survey and assure participants of their anonymity. The questionnaire was organised in the structure and question formats shown in Table 2.
Structure of the questionnaire and types of questions
| Structure | Types of questions | |
|---|---|---|
| For the negative associations | For the positive associations | |
| Choice | Multiple choice | Multiple choice |
| We ask the respondent to choose from a list the aspects they prefer in the building material | We ask the respondent to choose from a list the aspects they do not prefer in the building material | |
| Preferences | Nuanced responses | Nuanced responses |
| We asked the respondents to review their choices from the first section and rate each choice on a scale of 1–5 based on their preference | We asked the respondents to review their choices from the first section and rate each choice on a scale of 1–5 based on the level of discomfort it causes | |
| Attitudes | Binary questions | |
| For each question, we link an association (negative or positive) to earthen material with only two possible answers (True or False) | ||
| Symbolism and significance | Open-ended question | |
| The respondents express their perspectives on the meaning and symbolism attributed to earthen constructions | ||
| Other information | The questionnaire includes open-ended questions related to the housing situation of the respondents in the city of Timimoun, and whether any modifications or rebuilding have been carried out and the type of material used for such activities | |
To conduct our research, we employed a quota sampling, a non-probability technique that selected participants reflecting the proportions of different characteristics in the population. We aimed to compare responses from individuals residing in earthen houses versus those in houses constructed with industrial materials. Due to the lack of statistics on inhabitant distribution in the city, we divided our sample with 60% from industrial houses and 40% from earthen houses according to our reading of the city map. We conducted interviews with a total of 30 adults, 18 in industrial houses and 12 in earthen houses.
4.2 Process of Results Analysis
Following the field investigation, we employed the statistical software “StatSoft, STATISTICA” version 7.1 to conduct a comprehensive analysis of the collected data. This tool facilitated data processing and comparison at various levels, including choice, preference, and attitude. To evaluate the aspect of “symbolism and meaning,” we extracted keywords from the respondents’ answers and classified them based on their frequency. This analytical approach enabled us to achieve a thorough understanding of the data and to derive meaningful interpretations.
5 Results and Discussion
In order to ensure the accuracy and validity of our study, we adopted a blind approach in Sections 5.1 and 5.2 of our analysis by concealing the nature of the building material. However, in Section 5.3, we explicitly identified the material as earthen and its corresponding architecture. This technique enabled us to compare the responses of the two groups of participants in each section and substantiate our results effectively.
5.1 Choices Related to Building Materials
The quantitative analysis of the positive and negative associations related to earthen material provided a foundation for examining the orientations and influences of the selected study sample. The findings of this analysis are presented in Figure 11.

Results of the choices made by participants.
The diagram demonstrates a noticeable quantitative difference between the number of choices made for positive and negative associations. Notably, some choices are greater for the value “health and comfort,” and in other cases, the graph indicates similarities between certain positive associations, such as those related to the value of “appearance.” Therefore, a qualitative analysis is needed along with the quantitative one to interpret the results accurately.
In order to provide a detailed analysis of the graph and to clarify readings, we tallied all types of choices to classify the positive and negative associations according to the number of choices and the related value. This resulted in the four following classifications: (1) most significant, (2) significant (for positive associations), (3) disturbing, and (4) very disturbing (for negative associations) (Figure 12).

Classification of choices related to building material.
In this table, it is evident that the values related to “health and comfort” are of great significance due to their high selection rate and the degree of discomfort in the case of its absence. In addition, “resistance and durability” and “utility” also hold the same level of importance. Although “appearance” has a high number of choices, it cannot be considered essential due to the lack of a contrasting negative association. The values “sustainability” and “modernity” hold lesser importance than the above-mentioned values. Finally, as the factor “humanism” also lacks an opposite factor, it is considered the least important among the given choices. In conclusion, the factors are classified in order of importance, from 1 (most important) to 5 (less important), as shown in Figure 13.

Classification of the choices according to their importance.
This classification provides us with a comprehensive understanding of all the values examined and their respective standings. However, further comparative analysis of these factors is crucial in order to gain a deeper understanding of the underlying phenomena.
5.2 Preferences Related to Building Materials
In this stage of the analysis, it is necessary to examine each value individually along with its related associations. For each value, we compare the responses of the two user groups (those residing in earthen houses and those residing in industrial material houses) and classify them according to their level of preference (from 1* to 5*) or discomfort (from −1* to −5*).
5.2.1 Health and Comfort
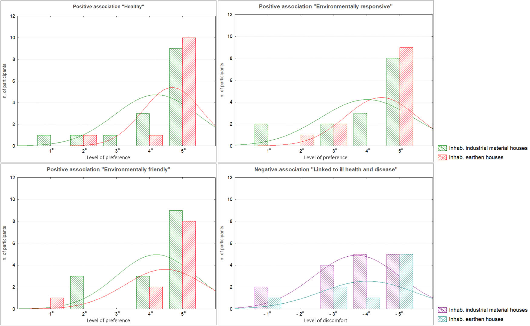
During the first part of the investigation, the highest number of choices was for the three positive associations related to the “health and comfort” value. Upon examining the “healthy” and “adaptability to the environment” diagrams (Figure 14) we observed that the preferences of the earthen house inhabitants are equal or higher than the inhabitants of industrial material house, while all preferences in the three positive association diagrams are oriented towards a higher (5*) preference for both groups. This finding is consistent with the choices made in the first part of the investigation and highlights the importance of health and comfort factors. Regarding the negative association “linked to ill health and disease,” the levels of discomfort are distributed with a tendency towards −4* and −5*. The almost superimposed middle axes of the two distribution curves indicate a similarity in the attribution of this preference by both groups.

Results of preferences related to the “health and comfort” value.
5.2.2 Appearance
The current diagrams (Figure 15) display the preferences of the participants in terms of the visible aspect of the material. Both graphs indicate similar trends, with the majority of preferences oriented towards a 5*. However, it is worth noting that although the number of inhabitants of earthen houses is lower in number, they tend to have a stronger preference for the appearance comparing to the other group, as evidenced by the curves in both diagrams.

Results of preferences related to the “appearance” value.
5.2.3 Resistance and Durability
Upon examining the first diagram related to the positive association “resistance to natural disaster,” (Figure 16) it is evident that there are differences in preferences between the two distinct groups. However, there is an overall trend towards a positive association. In particular, residents of buildings made of industrial materials tend to prefer materials that have greater mechanical resistance, whereas residents of earthen houses are divided into two subgroups: one that favours materials resistant to natural disasters and one that has no preference for such factor. The following two diagrams confirm this, showing that inhabitant in industrial material houses gives a higher priority to the material mechanical aspect, while earthen house inhabitants give less emphasis to this factor.

Results of preferences related to the “resistance and durability” value.
5.2.4 Utility
This section compares the preferences of the participants regarding the utility of building materials, focusing on two associations: the positive associations of autonomy in construction and negative associations of cheapness and low quality of the materials. Both diagrams (Figure 17) show a certain degree of similarity in the preferences of the two groups, except for the first diagram on autonomy, where the number of preferences distributed on the axis of the industrial material house inhabitants is noticeably higher. In contrast, for the second diagram representing negative associations, both groups displayed a relatively low level of discomfort, suggesting that the absence of quality and autonomy factors does not cause significant discomfort for the participants.

Results of preferences related to the “utility” value.
5.2.5 Sustainability
With the increasing demand for housing worldwide, the issue of reusing building materials has become a crucial subject. The results from the “recyclability” diagram (Figure 18) reveal that the residents of Timimoun place great importance on the reuse of building materials, as evidenced by the very high number of 5* preferences from both groups. The “ancientness, durability, and universality” diagram focuses on three distinct factors: the building material’s ancientness, projected durability, and universality of use. Both groups of participants showed no strong preference towards these factors, indicating that most inhabitants of industrial material houses do not consider these qualities to be important. Adaptability is a key factor in the flexibility and ease of modifying building materials. For example, modifying a concrete construction requires specialised tools, whereas earth construction offers greater flexibility in modification, such as adding a window in a load-bearing wall with a simple lintel. The “adaptability” diagram reflects this with a strong preference for adaptability among earthen house inhabitants and a much weaker preference among industrial material house inhabitants. The diagrame relate to the negative association “unconservable” shows a tendency towards discomfort in the absence of conceivability for both groups of inhabitants. However, the degree of discomfort is much higher for the group of industrial material house inhabitants, with a preference distribution more towards −5*.

Results of preferences related to the “sustainability” value.
5.2.6 Modernity
The diagrams (Figure 19) present a certain difference in responses between the two groups of inhabitants. The majority of the inhabitants in industrial materials houses chose modernity as a preferred aspect of the building material, which explains their move to the modern part of the city. In contrast, half of the earthen house inhabitants did not choose modernity as a preferred element.
Interestingly, the second diagram reveals that the majority of earthen house inhabitants did not perceive the “lack of modernity” as a disadvantage. Meanwhile, inhabitants of industrial material houses demonstrated discomfort ranging from slight to substantial with a “lack of modernity,” a sentiment echoing the findings from the first diagram. This preference for modernity might be explained in part by the changing administrative status of Timimoun city. As highlighted by Otmane and Kouzmine (2011), following the promotion of city of Timimoun to a chief town, the tertiary sector experienced a significant boost with more individuals transitioning into administrative roles. The demands and constraints of these new professional obligations may leave inhabitants with less time for regular maintenance of earthen homes, thus pushing them towards seemingly low-maintenance concrete structures. Although these concrete structures initially appear more resilient, over time, they also require substantial maintenance.

Results of preferences related to the “modernity” value.
5.2.7 Humanism
The observation from the graph (Figure 20) indicates that the earthen house inhabitants mostly responded with “not disturbing” (not selected), whereas the other group tended to give almost equally distributed responses, with a slight trend towards “very disturbing.”

Results of preferences related to the “humanism” value.
5.3 Attitudes Towards Earthen Architecture
To enhance our assessment of the social values related to earthen architecture, we conducted a deeper analysis of the responses provided in the previous sections regarding “choice” and “preference.” To achieve this, we reused the previously asked questions, but this time we revealed the nature of the building material as “earth” and used closed questions with binary answers: “true” or “false.” The results of our attitude survey below confirmed some of the points suggested by Cooke (2008), as evidenced by the high number of “true” responses on positive associations. However, the same cannot be said for negative associations, as a considerable number of responses were marked as “false”.

Results of the attitudes towards earthen architecture.
The responses of the two groups of inhabitants were almost equal in terms of positive associations (Figure 21) with almost all of the responses being “true.” This means that the positive associations proposed by Cooke are confirmed by the participants, including the adaptability, ancientness, durability and universality, and recyclability of earthen materials. These advantages make it a comfortable, healthy, ecological, and authentic building material that can adapt to different environments. However, there is a slight doubt in the responses of the industrial material inhabitant’s group, which may reflect an ideological shift towards modern building materials. However, there appears to be some hesitation in the responses of the inhabitants living in industrial material homes, potentially indicative of an ideological shift towards modern building materials. This shift may not only be rooted in personal preferences but also influenced by broader socio-economic aspects. Although the research did not explicitly focus on the role of media, we acknowledge that media, societal norms, and economic considerations might also play a part in shaping these preferences.
The negative associations offer a distinct contrast related to attitude towards earthen architecture. The only negative association that was confirmed by both groups was the “lack of modernity” in earthen architecture which had more answers of “true” than “false.” There were also a greater number of “true” responses from the earthen house group, which is inconsistent with their stated preferences. This suggests that an ideological shift may have occurred due to the prevalence of modern building materials, which makes the requirements of earthen architecture seem challenging. An example of this is the thickness of the walls, where an adobe wall is 60 cm thick, resulting in less interior space, while a brick wall is less than 30 cm thick. What makes this part of the survey particularly notable is the gaps in attitudes between the two groups towards the negative associations of “more liable to destruction” and “last resort,” which were only confirmed by the industrial materials group. For the rest of the negative associations, both groups tended to answer with more “false” responses, opposing Cooke’s statements about earthen architectures.
5.4 Symbolism and Significance Related to Earthen Architecture
In this section, we gathered the responses to the question “What does earthen architecture signify to you?” using the same comparative approach between the two groups of inhabitants. In order to streamline the analysis of the responses, we categorised the meanings based on their occurrence frequency, as shown in Table 3.
Classification of meanings according to their importance
| Group | Very important | Important | Slightly important |
|---|---|---|---|
| Inhabitants of industrial material houses |
|
|
|
| Inhabitants of earthen houses |
|
|
|
The initial observation pertains to the prevalent significance of “comfort” which emerges as the most frequently mentioned among both groups of residents (Figure 22). This meaning involves a twofold dimension, indicative of physical as well as mental comfort. Notably, the mental aspect of earthen architecture had not been previously articulated, as seen in the reference to the significance “heritage,” which is associated with a sense of nostalgia among inhabitants of industrial material houses, as evident in their responses. Conversely, among inhabitants of earthen houses, the meaning of “natural/healthy” holds a prominent position, albeit with fewer occurrences relative to the other group, yet still of considerable significance. A key advantage of earthen material, previously not highlighted, pertains to its “economic” aspect, which is important among the significance ascribed by the earthen house inhabitant’s group.

Results of the symbolisms and significances related to earthen architecture.
While the association of “local distinctiveness,” which aligns with the significance “local identity,” was more often chosen by the group of inhabitants of industrial material houses, it is important to highlight that this heritage is at risk of been lost. The rapid transition from distinctive earthen architecture to industrial material constructions is leading to a loss of historical landscape for the city. The aesthetics, favoured by the group of earthen houses inhabitants, remain a significant draw, although it seems to be overshadowed by the practical challenges of maintaining earthen constructions.
The symbolisms and significances tied to earthen architecture extend across both positive and negative associations. A noteworthy observation from the responses of inhabitants of industrial material houses is the perception of earthen buildings as “weak building,” potentially influenced by the enduring narratives of modern architecture. This perceived lack of durability can impact the value attributed to “resistance and durability” of earthen structures, a factor that some participants linked with reduced need for maintenance. Importantly, these varied associations reflect the complex and multifaceted perceptions that participants have towards earthen architecture. This study has endeavoured to uncover these diverse views, emphasising the comfort, healthiness, and heritage-preserving qualities of earthen architecture, alongside its economic advantages, while also acknowledging concerns about its perceived resistance and durability.
6 Conclusion
This research aimed to explore the multifaceted social value of traditional earthen architecture. Conducting such a comprehensive evaluation is critical, as it provides deep insights into the architectural significance in daily life (Bonacchi & Lorenzon, 2021), cultural heritage, and the broader social impacts triggered by a drastic shift towards industrial materials. This in-depth understanding, rooted in ethnographic study, enriches the appreciation of these architectural traditions. Moreover, it informs decisions about their adaptability and resilience in the face of industrial construction methods and materials. To realise this objective, we developed an analysis model based on the positive and negative associations proposed by Cooke (2008), applying it within a community of Timimoun residents. Our analysis was significantly influenced by the unique context of the city, including its geographic location, population characteristics, and historical background, uncovering not only the challenges related to new constructions but also the complexities in preserving the broader oasis system, which encompasses the foggara (irrigation system), the palm grove, and the Ksar.
The survey conducted revealed that positive associations related to building materials were generally accepted, while negative associations were rejected, regardless of the type of material. The majority of the population had positive attitudes towards earthen architecture, confirming its advantages such as adaptability, durability, and ecological sustainability (Morgan, 2008; Niroumand, et al., 2013). However, gaps in attitudes towards negative associations, such as “more liable to destruction,” were confirmed only by one group. The significance and symbolism of earthen architecture was mentioned when allowing the respondents to express themselves freely. This confirmed the importance of “health and comfort” and revealed new positive associations, such as “comfort,” cited by both groups. While the majority of the population holds positive attitudes towards earthen architecture, there is an observed migration towards new constructions. This trend, contrary to the acceptance of earthen architecture, seems to be influenced by nostalgia for the traditional homes where families have lived for generations, as well as a response to changing climate conditions. As temperatures rise annually, industrial material constructions often fail to provide adequate thermal comfort, leading to an increased reliance on air conditioning and subsequently higher utility bills. Therefore, despite the continued acknowledgement of the benefits of earthen houses, this shift signifies an abandonment of traditional building techniques.
The study concludes that earthen architecture is highly valued by the residents of Timimoun due to its various benefits as a building material and a local and its local identity representation. However, the trend towards modernisation and easily available and promoted materials has resulted in the decline of traditional building culture (Davis, 2006) and the abandonment of earthen houses. Interestingly, the abandonment of earthen houses is not due to any regulatory constraints against such constructions, but rather the lack of specific building regulations catering to the unique aspects of earthen architecture. Furthermore, governmental programs like the “Résorption d’Habitat Précaire” program, financed by the World Bank, have been targeting precarious housing for modernisation of urban centres (Lamri & Allam, 2023). The commitment of the Algerian government to reduce precarious housing was formally demonstrated through the publication of the Official Journal of the Algerian Republic No. 22 in 2013. Despite the good intentions of these initiatives, they recommend the use of regulated, standardised materials like concrete and metal. Unfortunately, this preference has led to compatibility issues with earthen structures, frequently resulting in their destruction due to the significant differences in the material properties. In light of this study, we emphasise the need for specific amended building regulations for earthen constructions to allow its future use and development. Earthen architecture needs to be always looked at in its environmental and social context.
To deepen the understanding of this complexity and account for the potential limitations of this study, such as the sample size that may not be fully representative, future studies should strive for a more comprehensive exploration of the social dynamics underpinning these architectural transitions. Further research could provide a more detailed narrative of the architectural shifts, factoring in diverse perspectives, and foster effective strategies for maintaining and adapting earthen architectural practices in an era of modernisation.
Acknowledgements
The authors would like to express their gratitude to the Centre Algérien du Patrimoine Culturel Bâti en Terre (CAPTERRE) for their invaluable support and assistance in conducting this study. We especially appreciate their efforts in facilitating access to the local population and in encouraging their participation in the questionnaire. Their assistance played a significant role in the successful completion of this research project.
-
Funding information: The authors state no funding involved.
-
Author contributions: All authors have accepted responsibility for the entire content of this manuscript and approved its submission.
-
Conflict of interest: The authors state no conflict of interest.
-
Data availability statement: The data for this study was collected using an anonymous questionnaire. To ensure the continued anonymity and integrity of the responses, the raw data will not be publicly released. Further information or specific aggregated data points may be available from the authors upon request.
References
Barkani, A. (2021). Configuration ambiantale d’un espace oasien: Le ksar de Kenadsa. In Approches sensibles de l’urbain au Sahara. In M. Breviglieri, N. G. Said, & D. Goeury (Eds.), Résonances oasiennes (pp. 131–155). Geneva: MētisPresses. https://zerka.hypotheses.org/files/2022/05/Resonances-oasiennes-2021-_p_131-155_CONFIGURATION-AMBIANTALE-DUN-ESPACE-OASIEN_LE-KSAR-DE-KENADSA.pdf.Search in Google Scholar
Barone, F. (2010). Urban Firewalls: Place, space and new technologies in Figueres, Catalonia. (Doctoral dissertation). Canterbury: University of Kent.Search in Google Scholar
Belakehal, A. (2006). Etude des aspects qualitatifs de l’éclairage naturel dans les espaces architecturaux: Cas des milieux arides à climat chaud et sec. (Doctoral dissertation). Biskra: University of Mohamed Khider Biskra.Search in Google Scholar
Bellil, R. (2000). Les oasis du Gourara (Sahara algérien) II. Fondation des Ksour. Paris: Peeters Publishers.Search in Google Scholar
Bisson, J. (1999). Gourara. Encyclopédie Berbère, 21, 3188–3198. doi: 10.4000/encyclopedieberbere.1770.Search in Google Scholar
Bisson, J., & Jarir, M. (2002). Ksour du Gourara et du Tafilelt: De l’ouverture de la société oasienne à la fermeture de la maison. In P. R. Baduel (Ed.), Habitat, État, société au Maghreb. Paris: CNRS Éditions. doi: 10.4000/books.editionscnrs.765.Search in Google Scholar
Bonacchi, C., & Lorenzon, M. (2021). Assessing the transforming social values of cities in the longue durée: Analysis of a Florence neighbourhood from the Middle Ages to the present. Post Classical Archaeologies, 11, 303–325.Search in Google Scholar
CNRPH. (2015). LE SBUA (Célébration de la naissance du Prophète). https://www.cnrpah.org/index.php/component/k2/item/147-le-sbua-celebration-de-la-naissance-du-prophete-2015.Search in Google Scholar
CNRPH. (2011). Ahellil du Gourara. https://www.cnrpah.org/pci-bnd/index.php/9-photos/8-cras-justo-odio-dapibus-ac-facilisis-in-egestas-eget-quam.Search in Google Scholar
Cooke, L. (2008). Approaches to the conservation and management of earthen architecture in archaeological contexts. (Doctoral dissertation). London: University College London.Search in Google Scholar
Côte, M. (2012). Signatures sahariennes: terroirs & territoires vus du ciel. Presses Universitaires de Provence.Search in Google Scholar
Daoudi, N. S., Mestoul, D., Lamraoui, S., Boussoualim, A., Adolphe, L., & Bensalem, R. (2019). Vernacular architecture in arid climates: Adaptation to climate change. In Guedes, M., & Cantuaria, G. (Eds.), Bioclimatic Architecture in Warm Climates. Springer, Cham. doi: 10.1007/978-3-030-12036-8_4.Search in Google Scholar
Davis, H. (2006). The culture of building. New York: Oxford University Press.Search in Google Scholar
Duncan, R. F. H. (1947). Home-made home. London: Faber and Faber.Search in Google Scholar
Government of the Algerian Republic. (2013). Journal officiel de la République Algérienne N 22, Jeudi 14 Joumada Ethania 1434 Correspondant au 25 avril 2013. https://www.joradp.dz/FTP/JO-FRANCAIS/2013/F2013022.pdf?znjo=22.Search in Google Scholar
Lamri, N., & Allam, A. (2023). Analyse socio-économique du programme de résorption de l’habitat précaire (RHP) dans la wilaya de Bouira – Algérie. Revue l’Intégration Economique, 11(4), 493–508. https://www.asjp.cerist.dz/en/article/226727.Search in Google Scholar
Mammeri, M., Augier, P., Cambuzat, P. L., Colonna, F., & Henni, T. (1973). Le Gourara: Éléments d’étude anthropologique, Libyca n° 21, 239–292.Search in Google Scholar
Martin, A. G. P. (1908). Les oasis sahariennes (Gourara-Touat-Tidikelt) (Vol. 1). Algiers: L’Imprimerie Algérienne.10.5962/bhl.title.159266Search in Google Scholar
Morgan, W. N. (2008). Earth architecture: From ancient to modern. Gainesville: University Press of Florida.Search in Google Scholar
Niroumand, H., Zain, M. F. M., Jamil, M., & Niroumand, S. (2013). Earth architecture from ancient until today. Procedia – Social and Behavioral Sciences, 89, 222–225. doi: 10.1016/J.SBSPRO.2013.08.838.Search in Google Scholar
Oliver, P. (2007). Built to meet needs: Cultural issues in vernacular architecture. Oxford: Routledge.10.4324/9780080476308Search in Google Scholar
Otmane, T., & Kouzmine, Y. (2011). Timimoun, évolution et enjeux actuels d’une oasis saharienne algérienne. Insaniyat Revue Algérienne d’anthropologie et de Sciences Sociales, 51–52, 165–183. doi: 10.4000/insaniyat.12686.Search in Google Scholar
Rapoport, A. (1990). The meaning of the built environment: A nonverbal communication approach. Tucson: University of Arizona Press.Search in Google Scholar
Remini, B., & Bachir, A. (2008). Les foggaras du grand erg occidental algérien. LARHYSS Journal, (7), 21–37.Search in Google Scholar
Samanani, F., & Lenhard, J. (2023[2019]). “House and home”. In F. Stein (Ed.), The Open Encyclopedia of Anthropology, Facsimile of the first edition in The Cambridge Encyclopedia of Anthropology. doi: 10.29164/19home.Search in Google Scholar
Terki, Y., Rakotomamonjy, B., Hacini, M., Benhachmi, T., Henous, M., Belouaar, A., … Wheeler, S. (2019). Guide de réhabilitation de l’habitat en terre à Timimoun. CRAterre; CAPTERRE. https://hal.science/hal-02498416.Search in Google Scholar
UNESCO. (2008). Ahellil of Gourara. https://ich.unesco.org/en/RL/ahellil-of-gourara-00121.Search in Google Scholar
UNESCO. (2015). Sbuâ, annual pilgrimage to the zawiya of Sidi El Hadj Belkacem in Gourara. https://ich.unesco.org/en/RL/sbua-annual-pilgrimage-to-the-zawiya-of-sidi-el-hadj-belkacem-in-gourara-00667?RL=00667.Search in Google Scholar
Zerari, S., Sriti, L., & Mansouri, K. (2019). Dégradation du patrimoine ksourien du sud algérien. Cas du tissu résidentiel des ziban (Biskra). Al-Sabîl: Revue d’Histoire, d’Archéologie et d’Architecture Maghrébines, 7, 1–10.Search in Google Scholar
© 2023 the author(s), published by De Gruyter
This work is licensed under the Creative Commons Attribution 4.0 International License.
Articles in the same Issue
- Regular Articles
- A 2D Geometric Morphometric Assessment of Chrono-Cultural Trends in Osseous Barbed Points of the European Final Palaeolithic and Early Mesolithic
- Wealth Consumption, Sociopolitical Organization, and Change: A Perspective from Burial Analysis on the Middle Bronze Age in the Carpathian Basin
- Everything Has a Role to Play: Reconstruction of Vessel Function From Early Copper Age Graves in the Upper Tisza Region (Eastern Hungary)
- Urban Success and Urban Adaptation Over the Long Run
- Exploring Hypotheses on Early Holocene Caspian Seafaring Through Personal Ornaments: A Study of Changing Styles and Symbols in Western Central Asia
- Victims of Heritage Crimes: Aspects of Legal and Socio-Economic Justice
- On the (Non-)Scalability of Target Media for Evaluating the Performance of Ancient Projectile Weapons
- Small Houses of the Dead: A Model of Collective Funerary Activity in the Chalcolithic Tombs of Southwestern Iberia. La Orden-Seminario Site (Huelva, Spain)
- Bigger Fish to Fry: Evidence (or Lack of) for Fish Consumption in Ancient Syracuse (Sicily)
- Terminal Ballistics of Stone-Tipped Atlatl Darts and Arrows: Results From Exploratory Naturalistic Experiments
- First Archaeological Record of the Torture and Mutilation of Indigenous Mapuche During the “War of Arauco,” Sixteenth Century
- The Story of the Architectural Documentation of Hagia Sophia’s Hypogeum
- Iconographic Trends in Roman Imperial Coinage in the Context of Societal Changes in the Second and Third Centuries CE: A Small-Scale Test of the Affluence Hypothesis
- Circular Economy in the Roman Period and the Early Middle Ages – Methods of Analysis for a Future Agenda
- New Insights Into the Water Management System at Tetzcotzinco, Mexico
- How Linguistic Data Can Inform Archaeological Investigations: An Australian Pilot Study Around Combustion Features
- Leadership in the Emergent Baekje State: State Formation in Central-Western Korea (ca. 200–400 CE)
- Middle Bronze Age Settlement in Czeladź Wielka – The Next Step Toward Determining the Habitation Model, Chronology, and Pottery of the Silesian-Greater Poland Tumulus Culture
- On Class and Elitism in Archaeology
- Archaeology of the Late Local Landscapes of the Hualfín Valley (Catamarca, Argentina): A Political Perspective from Cerro Colorado of La Ciénaga de Abajo
- Review Article
- The State of the Debate: Nuragic Metal Trade in the Bronze Age and Early Iron Age
- A Review of Malta’s Pre-Temple Neolithic Pottery Wares
- Commentary Article
- Paradise Found or Common Sense Lost? Göbekli Tepe’s Last Decade as a Pre-Farming Cult Centre
- Special Issue Published in Cooperation with Meso’2020 – Tenth International Conference on the Mesolithic in Europe, edited by Thomas Perrin, Benjamin Marquebielle, Sylvie Philibert, and Nicolas Valdeyron - Part II
- The Time of the Last Hunters: Chronocultural Aspects of Early Holocene Societies in the Western Mediterranean
- Fishing Nets and String at the Final Mesolithic and Early Neolithic Site of Zamostje 2, Sergiev Posad (Russia)
- Investigating the Early-to-Late Mesolithic Transition in Northeastern Italy: A Multifaceted Regional Perspective
- Socioeconomic, Technological, and Cultural Adaptation of the Mesolithic Population in Central-Eastern Cantabria (Spain) in the Early and Middle Holocene
- From Coastal Sites to Elevated Hinterland Locations in the Mesolithic – Discussing Human–Woodland Interaction in the Oslo Fjord Region, Southeast Norway
- Exploitation of Osseous Materials During the Mesolithic in the Iron Gates
- Motorways of Prehistory? Boats, Rivers and Moving in Mesolithic Ireland
- Environment and Plant Use at La Tourasse (South-West France) at the Late Glacial–Holocene Transition
- Stylistic Study of the Late Mesolithic Industries in Western France: Combined Principal Coordinate Analysis and Use-Wear Analysis
- Mesolithic Occupations During the Boreal Climatic Fluctuations at La Baume de Monthiver (Var, France)
- Pressure Flakers of Late Neolithic Forest Hunter-Gatherer-Fishers of Eastern Europe and Their Remote Counterparts
- The Site Groß Fredenwalde, NE-Germany, and the Early Cemeteries of Northern Europe
- Special Issue on Archaeology of Migration: Moving Beyond Historical Paradigms, edited by Catharine Judson & Hagit Nol
- The Blurry Third Millennium. “Neolithisation” in a Norwegian Context
- Movement or Diaspora? Understanding a Multigenerational Puebloan and Ndee Community on the Central Great Plains
- Human Mobility and the Spread of Innovations – Case Studies from Neolithic Central and Southeast Europe
- The Thule Migration: A Culture in a Hurry?
- The Transformation of Domes in Medieval Chinese Mosques: From Immigrant Muslims to Local Followers
- Landscapes of Movement Along the (Pre)Historical Libyan Sea: Keys for a Socio-Ecological History
- Arab Migration During Early Islam: The Seventh to Eighth Century AD from an Archaeological Perspective
- Special Issue on Ancient Cultural Routes: Past Transportations Infrastructures as a Two-Way Interaction Between Society and Environment, edited by Francesca Fulminante, Francesca Mazzilli & Franziska Engelbogen
- The Impact of Transportation on Pottery Industries in Roman Britain
- The Role of the Road in Settling a Mountainous Region
- An Example of Geographic Network Analysis: The Case Study of the Fortore Valley (Molise and Apulia, Italy)
- Water, Communication, Sight, and the Location of Fortifications on the Strata Diocletiana (Syria) in Late Antiquity
- Transport, Interaction, and Connectivity
- Special Issue on Scales of Interaction in the Bronze and Iron Age Central Mediterranean, edited by Emily Holt & Davide Schirru
- Tracing Mobility Patterns of Buried Species of the Late Iron Age Funerary Staggered Turriform of Son Ferrer (Calvià, Spain)
- Approaching Interaction in Iron Age Sardinia: Multi-Scalar Survey Evidence from the Sinis Archaeological Project and the Progetto S’Urachi
- From the Atlantic to the Mediterranean and Back: Sardinia, Iberia, and the Transfer of Knowledge in Late Bronze Age Networks
- Special Issue on Bricks Under the Scope: Microscopic and Macroscopic Approaches to the Study of Earthen Architecture, edited by Marta Lorenzon, Moritz Kinzel, & Benjamín Cutillas-Victoria
- Earthen Architecture in Nordic Countries: Future Directions
- Earthen Architecture and Craft Practices of Early Iron Age Ramparts: Geoarchaeological Analysis of Villares de la Encarnación, South-Eastern Iberia
- Earthen Architecture in Southern Algeria: An Assessment of Social Values and the Impact of Industrial Building Practices
- Studying the Use of Earth in Early Architecture of Southwest and Central Asia
- Roof Tiles and Bricks of the Etruscan Domus dei Dolia (Vetulonia, Italy): An Archaeological and Archaeometric Study of Construction Materials
- The Building Blocks of Circular Economies: Rethinking Prehistoric Turf Architecture Through Archaeological and Architectural Analysis
- Undecorated Roman-Period Roof Tiles – An Old Material Providing New Results
- Turf Building in Iceland – Past, Present, and Future
- Special Issue on Past Sounds: New Perspectives in the Field of Archaeoacoustics, edited by Margarita Díaz-Andreu & Neemias Santos da Rosa
- Employing Psychoacoustics in Sensory Archaeology: Developments at the Ancient Sanctuary of Zeus on Mount Lykaion
- One, Two, Three! Can Everybody Hear Me? Acoustics of Roman Contiones. Case Studies of the Capitoline Hill and the Temple of Bellona in Rome
- Ringing Tone and Drumming Sages in the Crevice Cave of Pirunkirkko, Koli, Finland
- Music and Storytelling at Rock Art Sites? The Archaeoacoustics of the Urkosh Area (Russian Altai)
- Listening in Sacred Spaces: The Sanctuary of Poseidonia and Selinunte’s Main Urban Sanctuary
- Presenting Archaeoacoustics Results Using Multimedia and VR Technologies
- Special Issue on Reconsidering the Chaîne Opératoire: Towards a Multifaceted Approach to the Archaeology of Techniques, edited by Marie-Elise Porqueddu, Claudia Sciuto & Anaïs Lamesa
- Reconsidering the Chaîne Opératoire: At the Crossroad Between People and Materials
- Materiality of Plaster Vessels: The Problem of Southwest Asian Neolithic White Ware
- The Chaîne Opératoire Approach for Interpreting Personal Ornament Production: Marble Beads in Copper Age Tuscany (Italy)
- Seriality and Individualization: Carving the Fluted Sarcophagi from Hierapolis of Phrygia
- Making Vessels for the Dead: Pottery-Making Practices, Chaîne Opératoire and the Use of Grog (Crushed Sherds) as a Technological and Cultural Choice during Late and Inca Periods in the Northwestern Argentine Region (Southern Andes)
- An Invention Shading Light to the Socio-History of Bonneuil Quarry Basin: The Roadheaders with Rotating Drill Bits
- The Ugly Duckling: Understanding the Making of an Early Copper Age Atypical Ceramic Vessel from the Great Hungarian Plain
- Synopsis of a Treasure. A Transdisciplinary Study of Medieval Gold Workings Biographies
- Identification of Ceramic Traditions on the Prehistoric Mines of Gavà (Barcelona, Spain)
Articles in the same Issue
- Regular Articles
- A 2D Geometric Morphometric Assessment of Chrono-Cultural Trends in Osseous Barbed Points of the European Final Palaeolithic and Early Mesolithic
- Wealth Consumption, Sociopolitical Organization, and Change: A Perspective from Burial Analysis on the Middle Bronze Age in the Carpathian Basin
- Everything Has a Role to Play: Reconstruction of Vessel Function From Early Copper Age Graves in the Upper Tisza Region (Eastern Hungary)
- Urban Success and Urban Adaptation Over the Long Run
- Exploring Hypotheses on Early Holocene Caspian Seafaring Through Personal Ornaments: A Study of Changing Styles and Symbols in Western Central Asia
- Victims of Heritage Crimes: Aspects of Legal and Socio-Economic Justice
- On the (Non-)Scalability of Target Media for Evaluating the Performance of Ancient Projectile Weapons
- Small Houses of the Dead: A Model of Collective Funerary Activity in the Chalcolithic Tombs of Southwestern Iberia. La Orden-Seminario Site (Huelva, Spain)
- Bigger Fish to Fry: Evidence (or Lack of) for Fish Consumption in Ancient Syracuse (Sicily)
- Terminal Ballistics of Stone-Tipped Atlatl Darts and Arrows: Results From Exploratory Naturalistic Experiments
- First Archaeological Record of the Torture and Mutilation of Indigenous Mapuche During the “War of Arauco,” Sixteenth Century
- The Story of the Architectural Documentation of Hagia Sophia’s Hypogeum
- Iconographic Trends in Roman Imperial Coinage in the Context of Societal Changes in the Second and Third Centuries CE: A Small-Scale Test of the Affluence Hypothesis
- Circular Economy in the Roman Period and the Early Middle Ages – Methods of Analysis for a Future Agenda
- New Insights Into the Water Management System at Tetzcotzinco, Mexico
- How Linguistic Data Can Inform Archaeological Investigations: An Australian Pilot Study Around Combustion Features
- Leadership in the Emergent Baekje State: State Formation in Central-Western Korea (ca. 200–400 CE)
- Middle Bronze Age Settlement in Czeladź Wielka – The Next Step Toward Determining the Habitation Model, Chronology, and Pottery of the Silesian-Greater Poland Tumulus Culture
- On Class and Elitism in Archaeology
- Archaeology of the Late Local Landscapes of the Hualfín Valley (Catamarca, Argentina): A Political Perspective from Cerro Colorado of La Ciénaga de Abajo
- Review Article
- The State of the Debate: Nuragic Metal Trade in the Bronze Age and Early Iron Age
- A Review of Malta’s Pre-Temple Neolithic Pottery Wares
- Commentary Article
- Paradise Found or Common Sense Lost? Göbekli Tepe’s Last Decade as a Pre-Farming Cult Centre
- Special Issue Published in Cooperation with Meso’2020 – Tenth International Conference on the Mesolithic in Europe, edited by Thomas Perrin, Benjamin Marquebielle, Sylvie Philibert, and Nicolas Valdeyron - Part II
- The Time of the Last Hunters: Chronocultural Aspects of Early Holocene Societies in the Western Mediterranean
- Fishing Nets and String at the Final Mesolithic and Early Neolithic Site of Zamostje 2, Sergiev Posad (Russia)
- Investigating the Early-to-Late Mesolithic Transition in Northeastern Italy: A Multifaceted Regional Perspective
- Socioeconomic, Technological, and Cultural Adaptation of the Mesolithic Population in Central-Eastern Cantabria (Spain) in the Early and Middle Holocene
- From Coastal Sites to Elevated Hinterland Locations in the Mesolithic – Discussing Human–Woodland Interaction in the Oslo Fjord Region, Southeast Norway
- Exploitation of Osseous Materials During the Mesolithic in the Iron Gates
- Motorways of Prehistory? Boats, Rivers and Moving in Mesolithic Ireland
- Environment and Plant Use at La Tourasse (South-West France) at the Late Glacial–Holocene Transition
- Stylistic Study of the Late Mesolithic Industries in Western France: Combined Principal Coordinate Analysis and Use-Wear Analysis
- Mesolithic Occupations During the Boreal Climatic Fluctuations at La Baume de Monthiver (Var, France)
- Pressure Flakers of Late Neolithic Forest Hunter-Gatherer-Fishers of Eastern Europe and Their Remote Counterparts
- The Site Groß Fredenwalde, NE-Germany, and the Early Cemeteries of Northern Europe
- Special Issue on Archaeology of Migration: Moving Beyond Historical Paradigms, edited by Catharine Judson & Hagit Nol
- The Blurry Third Millennium. “Neolithisation” in a Norwegian Context
- Movement or Diaspora? Understanding a Multigenerational Puebloan and Ndee Community on the Central Great Plains
- Human Mobility and the Spread of Innovations – Case Studies from Neolithic Central and Southeast Europe
- The Thule Migration: A Culture in a Hurry?
- The Transformation of Domes in Medieval Chinese Mosques: From Immigrant Muslims to Local Followers
- Landscapes of Movement Along the (Pre)Historical Libyan Sea: Keys for a Socio-Ecological History
- Arab Migration During Early Islam: The Seventh to Eighth Century AD from an Archaeological Perspective
- Special Issue on Ancient Cultural Routes: Past Transportations Infrastructures as a Two-Way Interaction Between Society and Environment, edited by Francesca Fulminante, Francesca Mazzilli & Franziska Engelbogen
- The Impact of Transportation on Pottery Industries in Roman Britain
- The Role of the Road in Settling a Mountainous Region
- An Example of Geographic Network Analysis: The Case Study of the Fortore Valley (Molise and Apulia, Italy)
- Water, Communication, Sight, and the Location of Fortifications on the Strata Diocletiana (Syria) in Late Antiquity
- Transport, Interaction, and Connectivity
- Special Issue on Scales of Interaction in the Bronze and Iron Age Central Mediterranean, edited by Emily Holt & Davide Schirru
- Tracing Mobility Patterns of Buried Species of the Late Iron Age Funerary Staggered Turriform of Son Ferrer (Calvià, Spain)
- Approaching Interaction in Iron Age Sardinia: Multi-Scalar Survey Evidence from the Sinis Archaeological Project and the Progetto S’Urachi
- From the Atlantic to the Mediterranean and Back: Sardinia, Iberia, and the Transfer of Knowledge in Late Bronze Age Networks
- Special Issue on Bricks Under the Scope: Microscopic and Macroscopic Approaches to the Study of Earthen Architecture, edited by Marta Lorenzon, Moritz Kinzel, & Benjamín Cutillas-Victoria
- Earthen Architecture in Nordic Countries: Future Directions
- Earthen Architecture and Craft Practices of Early Iron Age Ramparts: Geoarchaeological Analysis of Villares de la Encarnación, South-Eastern Iberia
- Earthen Architecture in Southern Algeria: An Assessment of Social Values and the Impact of Industrial Building Practices
- Studying the Use of Earth in Early Architecture of Southwest and Central Asia
- Roof Tiles and Bricks of the Etruscan Domus dei Dolia (Vetulonia, Italy): An Archaeological and Archaeometric Study of Construction Materials
- The Building Blocks of Circular Economies: Rethinking Prehistoric Turf Architecture Through Archaeological and Architectural Analysis
- Undecorated Roman-Period Roof Tiles – An Old Material Providing New Results
- Turf Building in Iceland – Past, Present, and Future
- Special Issue on Past Sounds: New Perspectives in the Field of Archaeoacoustics, edited by Margarita Díaz-Andreu & Neemias Santos da Rosa
- Employing Psychoacoustics in Sensory Archaeology: Developments at the Ancient Sanctuary of Zeus on Mount Lykaion
- One, Two, Three! Can Everybody Hear Me? Acoustics of Roman Contiones. Case Studies of the Capitoline Hill and the Temple of Bellona in Rome
- Ringing Tone and Drumming Sages in the Crevice Cave of Pirunkirkko, Koli, Finland
- Music and Storytelling at Rock Art Sites? The Archaeoacoustics of the Urkosh Area (Russian Altai)
- Listening in Sacred Spaces: The Sanctuary of Poseidonia and Selinunte’s Main Urban Sanctuary
- Presenting Archaeoacoustics Results Using Multimedia and VR Technologies
- Special Issue on Reconsidering the Chaîne Opératoire: Towards a Multifaceted Approach to the Archaeology of Techniques, edited by Marie-Elise Porqueddu, Claudia Sciuto & Anaïs Lamesa
- Reconsidering the Chaîne Opératoire: At the Crossroad Between People and Materials
- Materiality of Plaster Vessels: The Problem of Southwest Asian Neolithic White Ware
- The Chaîne Opératoire Approach for Interpreting Personal Ornament Production: Marble Beads in Copper Age Tuscany (Italy)
- Seriality and Individualization: Carving the Fluted Sarcophagi from Hierapolis of Phrygia
- Making Vessels for the Dead: Pottery-Making Practices, Chaîne Opératoire and the Use of Grog (Crushed Sherds) as a Technological and Cultural Choice during Late and Inca Periods in the Northwestern Argentine Region (Southern Andes)
- An Invention Shading Light to the Socio-History of Bonneuil Quarry Basin: The Roadheaders with Rotating Drill Bits
- The Ugly Duckling: Understanding the Making of an Early Copper Age Atypical Ceramic Vessel from the Great Hungarian Plain
- Synopsis of a Treasure. A Transdisciplinary Study of Medieval Gold Workings Biographies
- Identification of Ceramic Traditions on the Prehistoric Mines of Gavà (Barcelona, Spain)