Abstract
This study describes an effective protocol for naturalistic archaeological weapons experiments that improves cross-validation with controlled experiments and allows testing of multiple hypotheses. Stone-tipped atlatl darts and arrows were launched by skilled users against fresh carcasses, with high-speed cameras and radar guns capturing details of ballistic performance, impacts to bone and stone armatures, and other variables. The results pertaining to terminal ballistics in soft tissues are presented, with implications for what made ancient hunting projectiles effective and can be observed archaeologically. Fine-grained knappable stones seem to produce sharper armatures that can dramatically improve penetration, and presumably, lethality. Two commonly used metrics by archaeologists for estimating armature efficacy, tip cross-sectional area (TCSA), and perimeter (TCSP), are not among the significant variables for capturing penetration depth in soft tissues. However, armatures with larger TCSAs tend to be fitted to larger shafts that carry more energy and penetrate more deeply, providing one method for predicting wounding potential. The variability within weapon systems means that isolating efficacy to individual variables, such as tip cross-sectional size of stone armatures, can lead to erroneous interpretations.
Notation
- a
-
acceleration (m/s2; also, deceleration, −m/s2)
- AR
-
area ratio (TCSA:shaft cross-sectional area)
- ARhPV
-
area ratio (TCSAhPV:shaft cross sectional-area)
- BladeL:T
-
blade ratio (length:thickness)
- BladeL:W
-
blade ratio (length:width)
- BladeW:T
-
blade ratio (width:thickness)
- CM
-
center of mass
- F
-
force (N)
- KE
-
kinetic energy (J)
- m
-
mass (kg)
- MaxPen
-
total penetration into and through the target (mm)
- P
-
momentum (kg-m/s)
- PR
-
perimeter ratio (TCSP:SC)
- PRhPV
-
perimeter ratio (TCSPhPV:SC)
- SA
-
surface area (mm2)
- SC
-
shaft circumference (mm)
- SD
-
sectional density (m:TCSA)
- SDhPV
-
sectional density (m:TCSAhPV)
- SCSA
-
shaft cross-sectional area (mm2)
- SR
-
shaft ratio (foreshaft diameter:main shaft diameter)
- TCSA
-
tip cross-sectional area (mm2)
- TCSAh
-
tip cross-sectional area, thickness at the haft
- TCSAhPV
-
tip cross-sectional area, thickness at the haft, measured in ParaView
- TCSP
-
tip cross-sectional perimeter (mm)
- TCSPh
-
tip cross-sectional perimeter, thickness at the haft
- TCSPhPV
-
tip cross-sectional perimeter, thickness at the haft, measured in ParaView
- v
-
velocity (m/s)
- WSA
-
wound surface area (TCSP/wound length)
1 Introduction
Archaeologists who study ancient hunting weapons, or anything pertaining to their application (e.g., kill sites, hunting camps, point typologies), benefit from understanding the variables that made ancient weapons effective and left archaeological traces. Discovering these variables requires a research program to reveal the ballistic properties of ancient hunting weapons. Archaeologists have scrutinized this topic for over three decades using theoretical and mathematical models (e.g., Christenson, 1986; Cotterell & Kamminga, 1990; Friis-Hansen, 1990; Hughes, 1998) as well as various types of empirical research (experience and experiment; for past experiments, see Pétillon, 2016; Pettigrew, 2021, app. C). In the rigorous science of firearm terminal ballistics (i.e., the ballistics of target impact and penetration), models are cross validated with results from controlled experiments in homogenous flesh simulants (such as ballistics gelatin), medical analysis of wound trauma in human victims, and experiments performed upon recently deceased animals. Effective research programs in firearm terminal ballistics compare results across these different approaches (Bartlett & Bissell, 2006; Kneubuehl, 2011, pp. 87–185).
In archaeology, where contemporary examples of weapon use may be lacking, the cross-validation distinction is often drawn between two ends of a continuum, from more controlled experiments (e.g., deploying consistent shooting apparatuses and homogenous target simulants) to more naturalistic experiments (e.g., deploying real human users and organic, heterogenous targets; Eren et al., 2016; see also, Calandra, Gneisinger, & Marreiros, 2020; Lin, Rezek, & Dibble, 2018; Pettigrew, Whittaker, Garnett, & Hashman, 2015). In lieu of examining actual wounds, experiments on the naturalistic end of the continuum are usually considered more analogous to the complex realities of ancient hunts, even if none of our analogs truly intersect ancient realities; Wylie (1985). However, because of the greater complexity represented in naturalistic experiments, it can be difficult to extract causal information about weapon performance out of the many correlated variables kept in play. For a review of this topic in archaeological experiments, Lin et al. (2018).
In this study, we present data pertaining to experiments that fall fully on the naturalistic end of the continuum of ancient weapon studies. Our experiments are exploratory in the sense that we try to capture many details from complex settings through improved observational methods, producing a dataset that can be used to answer a range of questions (Franklin, 2005; Steinle, 1997). Our experiments also fit the conception of third generation experiments, providing a necessary way to check the external validity of results from artificially controlled laboratory experiments (second generation), which themselves often drew from earlier, naturalistic experiments (first generation) for inspiration of variables to test. Control is not a prerequisite of third generation experiments, which can be designed to measure a range of variables, but given the lack of variable control, further controlled experimentation may be necessary to address additional questions they produce (Calandra et al., 2020; Marreiros et al., 2020).
We first present theoretical concepts of dart and arrow terminal ballistics along with three key research questions. We then describe an effective protocol for naturalistic experiments that captures many variables of weapon impacts. Last, we determine the importance of variables of terminal ballistic performance through a statistical analysis of shots by human users of stone-tipped atlatl darts and arrows that penetrated the soft tissues of fresh hog, goat, and bison carcasses, for which multiple variables were recorded and analyzed.
1.1 Theoretical Concepts in Dart and Arrow Terminal Ballistics
Weapons like the atlatl and dart (Figure 1), bow and arrow, or thrown spear (javelin) can be designed with different tasks and targets in mind, such as harpooning sea mammals, stunning small game with blunt tips, penetrating through body armor, and delivering a lethal dose of poison to the blood stream (Knecht, 1997). In this study, we are principally concerned with situations where these weapons are designed to incapacitate prey by creating a deadly, incised wound. Such penetration events are unavoidably complex affairs with many variables involved. Here, we attempt to summarize for the reader the key ballistic variables of penetration, which we use in this study, along with research questions we seek to answer.

A typical Basketmaker atlatl and dart from the North American Southwest; replica of the White Dog Cave (WDC) system photographed near its place of origin: Marsh Pass, AZ.
First, effective projectiles have sufficient kinetic energy (KE = 1/2 m × v 2) and momentum (P = m × v) to penetrate, but questions arise as to which of these variables better explains the penetration of projectiles and knives in soft tissues (Ankersen, Birkbeck, Thomson, & Vanezis, 1998; Hetherington, 1996; Tomka, 2013). Kinetic energy is a measure of the work a projectile can do to a target by damaging or penetrating it and thereby creating new surface areas within it (Anderson, LaCosse, & Pankow, 2016; Atkins, 2009, p. 12; Kneubuehl, 2011). However, greater P reduces the effect that forces (F = m × a) of resistance and drag have on how rapidly a projectile decelerates (a = ∆v/∆t). Tomka (2013) has compiled requirements for both minimum KE and P from modern bowhunting and applied them to stone-tipped darts and arrows (Tomka, 2013). We assess the explanatory power of these variables for penetration in Section 3.4.
Archaeologists have drawn from concepts in bullet terminal ballistics to understand javelins, darts, and arrows (Cotterell & Kamminga, 1990; Hughes, 1998), but these weapons travel at what ballisticians consider low velocities (<250 m/s), where simplified fluid models of bullet penetration lose relevance (Carlucci & Jacobson, 2018, pp. 377, 599). Unlike bullets, javelins, darts, and arrows use sharp tips and edges to efficiently fracture (pierce/cut) their targets, such as the ductile and often fibrous structures in biological tissues (Anderson, 2018; Atkins, 2009).
Important variables of armatures (attached cutting/piercing heads) for modeling their drag through fluids are the drag coefficient (a dimensionless shape factor) and the tip cross-sectional area (TCSA; Hughes, 1998; Kneubuehl, 2011). A closely related measure to TCSA, sectional density (SD = m/TCSA), has long been recognized as affecting bullet penetration (Atkins, 2009, p. 209; Kneubuehl, 2011, pp. 65, 94). However, the tip cross-sectional perimeter (TCSP), which is used to calculate the wound surface area (WSA = TCSP × wound length) of a bullet or arrow wound (Friis-Hansen, 1990; Kneubuehl, 2011), is found to better predict stone-tipped dart and arrow penetration depth in homogenous target simulants (ballistics gel, pottery clay, and target foam; Grady & Churchill, 2023; Pettigrew & Bamforth, 2023; Salem & Churchill, 2016; Sisk & Shea, 2009; Sitton, Story, Buchanan, & Eren, 2020). The surface area (SA) of an armature is also found to produce significant results in clay (Pettigrew & Bamforth, 2023; Sitton, Stenzel, Buchanan, Eren, & Story, 2022). However, these homogenous targets are not scalable to soft tissues; they tend to produce greater friction on larger surfaces and do not adequately capture the effects of sharper tips and edges, whereas sharper armatures with larger TCSA/P may perform significantly better than smaller, duller ones when penetrating leather and fresh pig carcasses (Karger, Sudhues, Kneubuehl, & Brinkmann, 1998; Pettigrew & Bamforth, 2023). This points toward potential problems using TCSA/P to predict stone-tipped dart and arrow penetration through carcasses. The following rhomboidal equations are used to calculate TCSA/P of stone armatures (Hughes, 1998; Sisk & Shea, 2009):
Forensic research on knife wounds for investigating crime scenes may be more applicable to questions of dart and arrow performance than bullet penetration. Force of penetration through skin, which is generally regarded as the most resistive soft tissue on a body, can serve as a relative measure of knife thrusting efficacy (Ankersen et al., 1998; Gilchrist et al., 2008). Forensics specialists find the sharpness and geometry of the very tip of a knife to be the most important predictor of stabbing force through skin, while trailing edge sharpness is important, to a lesser degree, for widening the cut and continuing penetration through subcutaneous tissues (Ankersen et al., 1998; Gilchrist et al., 2008; Knight, 1975; O’Callaghan et al., 1999). Additionally, soft biological tissues are ductile materials that deform under load, absorbing energy from impact, but given their specific strain-rate sensitivity they can stiffen more quickly during high velocity impacts, thereby reducing the energy spent during penetration by a knife or bullet (Anderson, 2018; Ankersen, Birkbeck, Thomson, & Vanezis, 1999; Atkins, 2009; Fenton, Horsfall, & Carr, 2020; Hetherington, 1996; Knight, 1975; Nayak et al., 2018). Therefore, sharpness and velocity are theoretically the most important predictors of cutting force through soft tissues.
Archaeologists have suggested ways to measure the piercing/cutting efficacy of knapped stone projectile points from macroscopic features, including frontal angle, tip thinness, and leading edge sharpness (Ahler & Geib, 2000; Friis-Hansen, 1990; Grady & Churchill, 2023). These features are challenging to measure on knapped stone points, which are variable in form and shape, but significant correlations are suggested to occur between blade ratio width:thickness (BladeW:T) and the lateral edge angle, as well as blade ratio length:thickness (BladeL:T) and tip thinness (Ahler & Geib, 2000, p. 805), and we may also suspect a correlation between blade ratio length:width (BladeL:W) and frontal angle. In these blade ratios, length is measured from the widest point along the cutting edge forward to the tip, while width and thickness represent maximum values. Importantly, however, sharpness can fail to correlate with macroscopic edge or tip angles and is primarily attributed to the microscopic radius of the edge (Atkins, 2009; Reilly, McCormack, & Taylor, 2004; Stemp, Awe, Prufer, & Helmke, 2016; Valletta, Smilansky, Goring-Morris, & Grosman, 2020). Aside from these metrics, rougher grained materials such as quartzite, or finer grained materials such as obsidian, have varying degrees of relative durability and sharpness (Loendorf et al., 2018).
In addition to armature efficacy, velocity, KE, and P, archaeologists recognize that penetration improves when armatures cut a large enough hole in skin to reduce drag on the armature’s haft and the trailing shaft (Friis-Hansen, 1990; Guthrie, 1983; Hughes, 1998). Friis-Hansen (1990) presents two measurements of this effect: the perimeter ratio (PR = TCSP:shaft circumference [SC]) and the area ratio (AR = TCSA:shaft cross-sectional area [SCSA]). When PR > 1, the armature cuts a sufficiently large hole for the haft and shaft to follow, but larger armatures can increase the cutting work performed, so the AR should be as small as possible to reduce resistance relative to the “strength” (and presumably KE and P) of the shaft (Friis-Hansen, 1990). These ratios must be balanced along with a large enough TCSP to achieve a sufficient wound surface area (WSA). This balancing act is the basis for the cutting index (CI = PR:AR; Friis-Hansen, 1990). Importantly, Friis-Hansen’s method seems to measure armature thickness at the haft (referenced herein as TCSPh and TCSAh) rather than on the armature itself. Hafting can significantly change armature geometry (of Folsom points, for instance) in ways that are not necessarily equivalent across armature types and may have a dramatic impact on their penetrating efficacy, suggesting that TCSA/P should reflect hafted geometry (Ahler & Geib, 2000). In the following analysis, we test the effectiveness of both TCSA/P and TCSA/Ph calculated from the above equations, as well as when these variables are more accurately measured from 3D models of hafted armatures (TCSA/PhPV; Section 2.2).
Last, darts and arrows sometimes have a pronounced transition from main shaft to foreshaft. We present the shaft ratio (SR = foreshaft:main shaft diameter) as a measure of drag at these transitions. Additionally, in this study, the center of mass (CM) represents the balance point on the shaft measured as a percentage of the overall length of the shaft back from the tip. A greater distance between the tip of a dart or arrow and its CM means that the tip has more leverage to alter the trajectory of the shaft when highly resistive targets are encountered (namely, bone), inducing yaw and drag (Ashby, 2005).
1.1.1 Research Questions
In this study, we address the following questions: (1) To what extent do changes in momentum (P) and kinetic energy (KE) affect the penetration of stone-tipped darts and arrows for a given size of prey (Table 1; Tomka, 2013)? (2) What other aspects of armatures and shafts, such as TCSA/P, velocity, and sharpness, help predict or explain their penetrating efficacy? (3) In multiple regression models, what are the most important variables overall for predicting wound depth and wound size in our data?
Mean ballistic variables of primary experimental projectiles (main shafts paired with various foreshafts) compared against recommended values for bowhunting compiled by Tomka (2013)
m (g) | v (m/s) | KE (J) | P (kg m/s) | ||||||||
---|---|---|---|---|---|---|---|---|---|---|---|
Bowhunting requirements (Tomka, 2013) | Experimental projectiles (this study) | Mean value | Std dev | Mean value | Std dev | Mean value | Std dev | Mean value | Std dev | N | |
Small Game <20.5 kg, KE < 34 J, P < 1.1 kg−m/s | Cane arrows | 26 | 2.3 | 40.0 | 1.9 | 21 | 1.8 | 1.0 | 0.1 | 26 | |
Light darts | WDC #1 | 89 | 3.5 | 24.3 | 1.5 | 26 | 4.0 | 2.1 | 0.2 | 25 | |
Canyon de Chelly #8 | 98 | 8.7 | 24.2 | 1.4 | 29 | 4.7 | 2.4 | 0.3 | 11 | ||
Cane #4 | 102 | 5.9 | 24.3 | 1.9 | 31 | 5.6 | 2.5 | 0.3 | 33 | ||
Medium Game 33–136 kg, KE = 34–56 J, P = 1.1–1.7 kg-m/s | Medium darts | Cane #5 and 10 | 128 | 7.9 | 23.9 | 2.3 | 35 | 7.5 | 3.0 | 0.4 | 48 |
Large Game 73–300 kg, KE = 56–88 J, P = 1.7–2.6 kg-m/s | Heavy darts | Cane #7 | 196 | 1.3 | 25.0 | 2.0 | 61 | 12.0 | 4.9 | 0.6 | 51 |
Ash #3 | 213 | 12.4 | 25.4 | 3.2 | 70 | 18.8 | 5.4 | 0.8 | 20 | ||
Very Large Game 227–998 kg, KE > 88 J, P > 2.6 kg-m/s | Heavy darts | Composite #13 | 289 | 1.3 | 23.8 | 2.0 | 83 | 16.0 | 6.9 | 0.8 | 21 |
Composite #16 | 431 | 25.0 | 22.8 | 0.3 | 112 | 7.3 | 9.8 | 0.6 | 4 |
2 Methods
Carrying out effective naturalistic experiments in ancient weapon terminal ballistics requires simultaneously capturing a number of variables, including a suite of measurements of armatures and shafts, impact velocity, and tracking darts and arrows as they oscillate, spin, rotate, and flex on impact (Pettigrew et al., 2015). If this is possible, then it is also possible to track the orientation of the armature during penetration and to tie damaged armatures to damaged bone, with corresponding ballistic measurements for each shot. We accomplish these goals using Doppler radar, slow motion video, and markings on shafts, capturing the causes of use-wear, hunting lesions, and aspects of ballistic performance simultaneously. In the development of these experiments, we discovered that slow motion video also allowed us to track deceleration of our projectiles as they penetrate through targets, providing additional metrics on weapon efficacy that were lacking in all previous archaeological weapon experiments (Pettigrew, 2021, app. C).
2.1 Targets
The four experiments involved a ca. 100 kg hog in summer of 2015, two goats (hereafter Goat1 [38 kg] and Goat2 [40 kg]) in winter of 2019–2020, a 23-year-old ca. 450 kg female bison (Bison1) in summer of 2020, and a 2-year-old ca. 450 kg male bison (Bison2) in summer of 2022. Ranchers provided estimates of the weights of the bison and hog while goats were weighed by the rancher. All animals were raised for consumption and humanely killed by the ranchers immediately prior to the experiment. Following university guidelines, we consulted the IACUC committee at the University of Colorado Boulder, who informed us that this procedure did not require IACUC approval as the experimenters themselves did not handle live animals (Althea Lantron, email correspondence, 2019). The carcasses were butchered after the experiments, meat was salvaged for consumption, and the skeletons cleaned for analysis. While butchering Bison2, skin thickness was measured by the four experimenters using calipers at one location over the abdomen and two locations over the thorax. Because the compliancy of skin makes thickness measurement dependent on the force applied by the instrument (Fenton et al., 2020), the experimenters took measurements independently (blind), which were then averaged.
Carcasses are imperfect analogs for living bodies, yet are significantly more realistic for studying wound ballistics than homogenous flesh simulants (Bartlett & Bissell, 2006; Fenton et al., 2020; Humphrey & Kumaratilake, 2016; Nicholas & Welsch, 2004). This is particularly true for low velocity cutting projectiles, which as discussed above, behave very differently than bullets and lack a comparable research program to identify a viable flesh simulant as for firearms (e.g., Maiden, Fisk, Wachsberger, & Byard, 2015). Consequently, carcasses currently provide the best standard for testing darts and arrows, but not without challenges.
First, carcasses must be fresh. Skin cells may remain representative of skin in vivo if tested within 6 h of death (Fenton et al., 2020), and a prior experiment on samples of in vitro cadaveric skin did not begin to record differences in penetrating force until 110 h after death (Careless & Acland, 1982), although other physiological changes in underlying tissues and bodily fluids also occur that may affect penetration into a carcass. To our knowledge, the specific effects these changes have on the penetration of low-velocity cutting/piercing projectiles remains largely uncharacterized. However, another study that tested obsidian and bone-tipped projectiles in a controlled fashion against a reindeer carcass did not document noticeable changes in penetration over 3–4 h after death (Wood & Fitzhugh, 2018). Our experiments occurred within 4–6 h after death.
A second concern is how to support the carcass. The hog and Goat2 were lain on boards supported by sawhorses and secured in place by means of ropes around their legs (Pettigrew, 2015), but this method compresses the abdomen, which can increase tension of abdominal skin and reduce forces required to penetrate it (Knight, 1975). Goat1 was suspended between two poles by means of ropes tied around the neck and to a small metal rod placed through the skin immediately above the tail, but the suspension of the carcass caused it to jostle and swing upon impact, significantly affecting the penetration of slower and heavier projectiles. Both bison were laying on the ground on all fours, held upright with boards against the back (Figure 2). We suspect this presented a more realistic target, as many shots in the past occurred on sleeping animals (Cundy, 1989; Hill & Hawkes, 1983), or animals that had been injured by being driven over cliffs (Brink, 2008).

The general layout of a carcass experiment (Bison1). At least 4 participants are needed: to fill the roles of photographer, shooter and flight camera operator, recorder, and velocity camera operator. The latter assists the shooter with measuring penetration and placing shot markers. More hands speed up the process and ensure better results. Photograph by John Whittaker.
In the appendix, we present a statistical comparison of the variability between the carcasses and how this informs our analysis. In sum, Bison2 (the 2-year-old bull) and the hog presented denser and more resistive targets than Goat2 and Bison1, while dart shots in Goat1 were problematized by the reduced inertia from hanging the relatively light carcass.
2.2 Arsenal
Most preserved atlatls and darts in North America come from the arid Southwest (Figure 1) and some from the Ozark bluffs. These artifacts and our attempts to replicate them have been described in detail elsewhere (LaRue, 2010; Pettigrew, 2015, 2018; Pettigrew & Garnett, 2015). Many details of the arsenal to be described, including details of experimenters, description of methods used to measure 3D models, and photographs of each hafted armature are provided in the appendix and the supplementary database with this article.
Weaponry used in these experiments included 11 atlatls (both archaeologically derived replicas and more generalized forms, Figure A1, Table A1) and three bows of black locust (Robinia pseudoacacia) based closely on southeastern (Catawba and Cherokee) bows that drew 20–23 kg at 70 cm of draw (Figure A2). Eighteen main shafts included 11 darts and 7 arrows of river cane (Arundinaria gigantea), Tonkin cane (Pseudosasa amabilis), coyote willow (Salix exigua), and green ash (Fraxinus pennsylvanica; Figure A3). Foreshafts were attached into sockets in main shafts. The experiments deployed 178 armatures donated by flintknappers (Figures A4–A8). Following Kay (1996), the armatures were dipped in methyl violet to facilitate observing impact damage. Not all armatures would be considered highly efficient (e.g., thin, aerodynamic, and sharp), or matched to ethnographic or archaeological dart and arrow sizes, as the goal was to represent a range of weapon efficacy.
All armatures were thoroughly measured and photographed before and after hafting. Hafted armatures used on Goat2 and both bison were photographed for photogrammetry, allowing detailed measurements of cross sections, mean edge angles, and surface areas (SAs; Figure 3). From these models, cross-sections were obtained using ParaView. Edge angles were obtained using a stand-alone program described by Valletta et al. (2020), with h1 factors set to 1.8–3 depending on armature size. Mean values from both edges were averaged to arrive at MeanEdge. SAs were obtained on models trimmed directly below the haft using the “Compute Geometric Measures” filter in Meshlab and subtracting the foreshaft cross-sectional area. In an earlier version of this study, calculations of the drag coefficients of hafted armatures were also attempted through computational fluid dynamics, although this method was cumbersome and produced insignificant results and was not continued for Bison2 (Pettigrew, 2021, pp. 74–125).

Showing the comparison between hafted TCSA/P derived from photogrammetry (TCSA/PhPV) and from rhomboid equations (TCSA/Ph) alongside screen captures of two 3D armature models. For armature 33, a model trimmed below the haft for measuring SA and the locations of edge angle measurements is also shown.
Most archaeological notched armatures belonging to Late Archaic or “Basketmaker” kits in the intermountain US were hafted with hide glue and sinew (Cosgrove, 1947; Frison, 1965), and some from the Ozarks with bark (Pettigrew, 2018), while we assume stemmed or lanceolate points were typically hafted with additional glue or mastic. Experimental armatures were hafted following these procedures, using elm (Ulmus spp.) bark, sinew from deer and elk, hide glue, and pine (Pinus spp.) resin mixed with organic matter and charcoal. A limited number of beveled points used on the hog were hafted with artificial sinew and modern adhesives (Pettigrew, 2015).
Six experimenters launched darts at carcasses (Table A2). Having multiple shooters helps reduce fatigue and improves representation; some (Dust and Shield Chief Gover) could launch heavy darts with accuracy and force, while others (Whittaker, Garnett, Hashman, and Pettigrew) were practiced in lighter equipment. The atlatlists have extensive training and could direct shots straight at the target with comparable velocity to a larger sample of individuals using a variety of atlatl and dart equipment (Whittaker, Pettigrew, & Grohsmeyer, 2017).
2.3 Data Collection
Although our methods evolved and improved to some extent, we used the same general protocol over five experiments (for additional details, see Pettigrew, 2015, 2021; and for a similar protocol, see Schoville, Wilkins, Ritzman, Oestmo, & Brown, 2017; Smith et al., 2020). The range from shooter to carcass was 10–12 m, which fits with ethnographic accounts of atlatl and bow hunting (Cundy, 1989; Hill & Hawkes, 1983; Pope, 1918). Two high speed cameras filled the roles of “flight camera” (set near the shooter and aimed at the carcass to capture projectile flight and impact) and “velocity camera” (set near the target and capturing impacts orthogonal to the trajectory; Figure 2). To assist calculating velocity and deceleration in the open source Tracker video analysis program (https://physlets.org/tracker//; Figure 4) and observing shaft orientation during impact, shafts were marked with various reflective and colored tapes that terminated under socket whippings to reduce drag during penetration. These markings included a scale to calibrate the video and bright points to track prior to and during penetration.

A screen shot of Tracker. Initial deceleration penetrating skin is averaged from the two values at t = 0.033 and 0.035 s.
For the hog experiment, a Casio EX-F1 was the flight camera and a Casio EX-ZR1000 was the velocity camera, but for subsequent goat and Bison1 experiments, the EX-F1 became the velocity camera and a Kron Technologies Chronos 1.4 became the flight camera. In the final Bison2 experiment, two EX-F1 cameras filled the roles of both flight and velocity cameras, which simplified data collection by a smaller crew of four experimenters. More powerful cameras improve resulting data but are generally more challenging to operate, making the experiment more difficult to carry out and more prone to user error.
In the hog experiment, the EX-ZR1000 camera (filming at 240 frames/s and 512 × 384 pixel/inch resolution) allowed armature tips to be tracked and the video to be calibrated after the projectile impacted and the scale became clear (Pettigrew, 2015). Using the EX-F1 in subsequent experiments (filming at 600 frames/s and 432 × 192 pixel/inch resolution), markings on dart shafts can be tracked in flight when sufficient light, a solid backdrop, and clear markings are present, while arrows are scaled to the length of the shaft and the nock or tip tracked across the backdrop.
In the hog and Bison2 experiments, velocities were also obtained from radar using a Bushnell Velocity Speed Gun and a Stalker Pro II + radar gun, respectively. We used radar to tabulate initial velocity for several shots in the hog experiment and to validate velocities calculated from video in both the hog and Bison2 experiments. Details of the agreement between radar and video are provided in the appendix. In sum, velocities derived from the EX-F1 camera were in strong agreement with radar, while velocities derived from the EX-ZR1000 were more variable due to its lower resolution.
In addition to impact velocity, we tabulate deceleration during penetration through skin and subcutaneous tissues of the bison and goats by averaging 1–3 deceleration values from Tracker over 0.003–0.007 s. The number of deceleration values we chose depended on the penetration duration; larger armatures mounted on darts took longer to traverse skin than arrows, (for e.g., Pettigrew & Bamforth, 2023). Tracker calculates deceleration using a finite differences algorithm over four tracked points to reduce error in marker placement (Brown, 2021). Nevertheless, some error is expected in deceleration given the short duration of the impact event and the sensitivity of deceleration to precise marker placement. Shots on the hog could not be included in the deceleration analysis due to limitations of the EX-ZR1000 camera, which did not allow precise tracking of markers on shafts over brief impact events.
2.4 Data Analysis
In postprocessing, high-speed videos from the flight camera are analyzed sequentially to document precise shot placement (Figure 5) and compared with notes taken during the experiment to choose shots for inclusion in the statistical analysis. For the following analysis, shots were chosen that were not problematized by several factors: skewed impact, significant bone impacts (indicated by damages to stone and bone along with shallow penetration and rapid deceleration), cutting through a prior wound channel in skin, or penetration more than half the length of the shaft completely through the carcass. The latter effect can result in high outliers in a statistical analysis, since over much of the penetration depth the armature is no longer encountering soft tissues. This was a problem of some shots with heavy dart shafts in the Goat2 experiment.

Showcasing four dart-bone impacts mapped onto a screen capture of Bison1 from the flight camera. Armature 33’s history is given in text and Figure 6 (shot 270); armature 108 impacted with 28.5 J and penetrated 6.5 cm, stopping at the scapula (shot 272); armature 136 impacted with 64 J, decelerated at −1,135 m/s2 entering the skin, and struck a vertebra with 41 J after penetrating 15 cm (shot 291); armature 170 impacted the 10th rib with 67 J and failed to penetrate (shot 294).
As discussed in Section 1.1, initial penetration through skin provides a way to gauge the relative efficacy of a cutting weapon. Recording deceleration through skin also increases the sample of shots through soft tissues, as impacts with bone deep within a carcass or penetration significantly through are no longer problematic for a statistical assessment of penetrating performance. We therefore use deceleration of hafted armatures through the outer carcass (skin and subcutaneous flesh) to analyze armature efficacy.
The following shot groups met the above criteria and are isolated for analysis: For modeling penetration, 72 shots with darts and 12 with arrows are available across the carcasses, 50 of which had armatures modeled by photogrammetry. For modeling deceleration and force in the goats and bison, 52 shots with darts and 9 with arrows are available, 53 of which had armatures modeled in photogrammetry. Shot data are provided in the supplementary database.
The large amount of data from these experiments were incorporated into a Microsoft Access database and analyzed in JMP (SAS Institute Inc., 2022), as well as in R (R Core Team, 2022). We used subset regression as well as simultaneous multiple regression with the backward and forward selection procedures to find models that balanced statistical significance with simplicity of interpretation and offered the best test of which possible ballistic variables best explain weapon efficacy.
3 Results
3.1 Qualitative Assessment of Atlatl Dart Penetration
Prior to addressing the questions set out in Section 1.1 it will be beneficial to present a qualitative assessment of four atlatl darts that struck Bison1. This will help lay the groundwork for understanding the results of the analysis and the important and interconnected features of dart and arrow terminal ballistics. Figure 6 showcases these four shots:

Showcasing the terminal ballistics of four dart shots on Bison1. Black boxes in graphs contain averaged deceleration (−m/s2) at marked intervals. Deceleration of shot 271 is cut short as the most proximal velocity marker entered the carcass.
Shots 270 and 271 were made by Pettigrew with a light Basketmaker dart main shaft (#1; e.g., Figure 1) and penetrated the thoracic cavity. Shots 290 and 293 were made by Shield Chief Gover with a large river cane main shaft (#7) that penetrated behind the diaphragm. Armatures 108 and 136 were of Burlington chert, 33 of Brazilian agate, and 170 of obsidian.
In shots 270–271 with the light Basketmaker dart (#1), armature 108 decelerated 150% more rapidly and penetrated half as deeply as armature 33, despite having greater velocity and nearly equal mass. Armature 33 skipped off the side of the ninth rib on entry, causing light edge flaking and slightly changing its orientation. On exit it encountered the eighth rib, removing the tip with a longitudinal fracture and producing more flaking on the opposite edge. Both impacts produced hardly a mark on ribs. Nevertheless, and despite low initial energy, the dart carrying 33 penetrated completely through the thorax, 50 mm through skin on the other side, while there is no indication that 108 hit bone until its next shot (Figure 5).
Shots 290 and 293 with the heavy cane dart (#7) produced similar results. Armature 170 penetrated entirely through the bison (180 mm out the other side). Given the length of the point, this dynamic penetration event through outer skin and tissue can be observed over four frames of the velocity video. Subtle deceleration occurred as the point entered skin (at time 0.06 in Figure 6) and the quickest deceleration occurred when the bulky haft contacted skin upon entry. Tabulated deceleration for this shot is an average of these values. Deceleration was more rapid when 136 encountered skin and was nearly matched on its next shot (Figure 5 caption).
This pattern of finer grained armatures significantly reducing deceleration was repeated with other shots as well. A corner notched point (#28) of Brazilian Agate mounted on the same Basketmaker dart (#1) decelerated at −576 m/s2 penetrating intercostal tissues of Goat1 (one of few darts to penetrate Goat1 effectively) and a corner notched point (#55) of Indian Agate (a tough and grainy material, one of three test armatures made by artisans in India and sold in the US as souvenirs) on the same dart decelerated at −1,552 and −1,607 m/s2 on two sequential shots that penetrated intercostal tissues of Goat2. These armatures had precisely the same maximum width and thickness (and subsequently the same TCSA/P), and both were corner notched points hafted with sinew. The discrepancy in their deceleration must be due to other aspects of armature efficacy, namely, tip and edge sharpness.
Additionally, Figure 6 shows how force can drop considerably (20–80%) through less resistive internal organs, but these forces also capture drag on the trailing shaft. The shots with the replica Basketmaker dart (#1) are particularly useful for considering drag, since Basketmaker darts often have a shoulder at the socket where the removable foreshaft is attached. Armature 108 (Figure 6, shot 271) was mounted on a 9 mm diameter foreshaft, 5 mm smaller than the full diameter of the main shaft socket. The second sharp decline in its velocity occurred the moment the shouldered socket contacted skin. Armature 33 was mounted on a slightly larger (11 mm diameter) foreshaft. Consequently, deceleration is slightly more rapid as the foreshaft penetrates but less rapid when the socket hit skin, and it still penetrated 235 mm past the socket.
3.2 KE and P
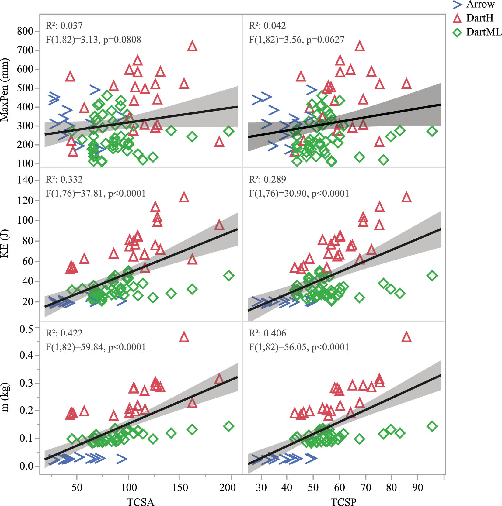
We can now address the first research question: Does KE or P better predict penetration of darts and arrows with stone cutting armatures in soft tissues? Both darts and arrows can carry highly variable amounts of KE and P. For darts, increasing these factors is achieved primarily by increasing their mass. In these experiments, across a total of 231 dart throws with recorded velocities and made by 6 different atlatlists, dart mass is strongly correlated with KE (R 2 = 0.8318, p < 0.0001) and P (R 2 = 0.9521, p < 0.0001).
We can start by checking the fit between KE, P, and total penetration (MaxPen). Eighty-four shots with darts and arrows that penetrated soft tissues of the five carcasses are presented in Figure 7. KE provides a better overall fit with MaxPen than P for these shots. The fit with MaxPen is made stronger by removing the arrows (KE, R 2 = 0.3537, p < 0.0001; P, R 2 = 0.3093, p < 0.0001). Arrows were used predominately in Goat1 and Bison1 experiments and therefore met less resistance than a large sampling of 72 shots with darts that also included impacts to the more resistive Bison2 and hog.

Momentum (P) and KE as predictors of penetration depth (MaxPen) and wound surface area (WSA) of darts and arrows in soft tissues.
Clearly the ability of KE or P to explain the variance in MaxPen is limited by differences between the carcasses and other ballistic variables separating the different projectiles. Arrows as a group traveled at higher velocities and had smaller hafted armatures and shafts than darts, although overlaps occurred in the TCSA/P of large arrow and small dart points (Table 2). Darts, being fitted with larger points than arrows, produced substantially larger wound surface areas (WSAs; Table 2). Consequently Figure 7 demonstrates a stronger fit between KE and WSA than MaxPen, a topic we return to in section 3.5.1.
Comparison of darts and arrows shot into soft tissues of the five carcasses
Arrow (N = 12) | Dart (N = 72) | |||||||
---|---|---|---|---|---|---|---|---|
Mean value | Min | Max | Std dev | Mean value | Min | Max | Std dev | |
m (kg) | 0.027 | 0.024 | 0.03 | 0.003 | 0.151 | 0.084 | 0.465 | 0.076 |
v (m/s) | 39.7 | 37 | 42 | 1.5 | 24.2 | 18.9 | 28 | 2.0 |
P (kg-m/s) | 1.04 | 0.93 | 1.2 | 0.08 | 3.75 | 1.89 | 10.70 | 1.93 |
KE (J) | 21 | 18.2 | 25.1 | 1.92 | 46 | 20 | 123 | 25 |
a (m/s2) | −2,553 | −3,378 | −1,832 | 512 | −1,196 | −2,330 | −348 | 408 |
F (N) | 66.7 | 52 | 92 | 13.9 | 205 | 50 | 731 | 129 |
TCSA | 48.875 | 27 | 93 | 21 | 93 | 44 | 197 | 32 |
TCSP | 39 | 28 | 49 | 7 | 56 | 43 | 96 | 11 |
WSA | 1,089 | 616 | 1,708 | 348 | 1,728 | 495 | 4,474 | 972 |
Note: Measurements of a and F exclude 2 arrow and 28 dart shots on the hog.
Two specific shots with the light Basketmaker dart shaft (#1) demonstrate that lower than the recommended KE for bowhunting (Table 1) can cause lethal wounds in bison: The shot with armature 33 on Bison1 (Figure 6) and a shot that closely reproduced it in Bison2 using the same main shaft and a nearly identical Brazilian Agate armature (#41), which had been shot once into Bison1 without hitting bone and was rehafted to the same foreshaft as armature 33 for the Bison2 experiment. This armature (#41) struck intercostal tissues at 26.4 m/s (KE = 33.2 J, P = 2.51 kg-m/s) and penetrated 228 mm into the thorax of Bison2. In all likelihood both of these shots would have been highly lethal. However, these shots did not directly encounter bison ribs, which presented substantial barriers to all stone-tipped dart impacts. In contrast, in the hog experiment, a medium cane dart shaft (#5) that approached the KE requirements to hunt an animal of that size (Table 1) could break through ribs and penetrate the width of the thorax, while Basketmaker darts performed poorly when encountering hog ribs (Pettigrew, 2015). Notably, even light darts that fall well short of the KE requirements can surpass the P requirements for hunting large African game with arrows (Table 1).
Last, the fit in Figure 7 shows how KE, a measure of the ability of an armature to do work on the target by creating new surfaces within it, better explains penetration across our sample. However, the reduction in deceleration that comes with greater P is demonstrated in Figure 8 across 63 shots with darts and arrows isolated for deceleration analysis in the goats and bison. Arrows averaged 64% greater velocity than darts but were much lighter (Table 2) and consequently were more easily affected by changes in force. Larger or duller armatures will therefore have a greater negative effect on the penetration of light and fast arrows than on slower and heavier darts or javelins.

The reduced effect of greater resistance force (F) on deceleration (a) for projectiles with greater momentum (P).
3.3 Assessing Armature Efficacy
In this section, we treat the next question regarding the variables of armatures used by archaeologists that capture their penetrating efficacy. We test these variables against both penetration depth (MaxPen) and the resistance force penetrating skin (F).
3.3.1 TCSA/P
To cross-validate TCSA/P as predictors of penetration, we start by plotting TCSA/P against 72 dart and 12 arrow shots through soft tissues of the hog, Goat2, and both bison. If larger TCSA/P affects the ability of stone-tipped darts and arrows to penetrate in a meaningful way, a negative correlation should occur, but TCSA/P shows positive correlations with penetration (Figure 9). These positive correlations between TCSA/P and MaxPen become significant at the p = 0.05 level once the 12 arrow shots are removed (TCSA, R 2 = 0.0812, p = 0.0152; TCSP, R 2 = 0.0888, p = 0.0110). This correlation occurs because larger dart points were usually fitted to heavier shafts that carried more KE, penetrated deeper, and produced larger wounds. However, visible in Figure 9, TCSA/P also fail to explain penetration depths within groups of projectiles of similar mass and velocity (p ≥ 0.2362). For 19 shots with light Basketmaker darts, variation in TCSP explains almost none of the variability in MaxPen (R 2 = 0.0256, p = 0.5125). Considering comparable targets, we obtain similar results for 11 shots with Basketmaker darts that impacted Bison1 and Goat2 (R 2 = 0.0045, p = 0.8440), and 18 shots with heavy dart shafts 7 and 13 on Bison2 (R 2 = 0.0446, p = 0.4002). For similar results on the hog, see Pettigrew (2015).

Shows the fits between TCSA/P, penetration depth (MaxPen), KE, and mass (m) of 84 dart and arrow shots across the hog, Goat2, and bison.
Using the thickness measure at the haft (TCSA/Ph) does not improve these fits, nor does plotting the area or perimeter ratios (AR or PR) against MaxPen. We may note, however, that only four armatures failed to meet Friis-Hansen’s (1990) requirement of PR > 1 to cut the shaft free from friction. These were four Folsom points hardly wider than the shafts carrying them, which continued to experience high forces of drag after penetrating the skin of Bison2. The two lowest penetration depths recorded in the CaneH (heavy dart shaft 7) category in Figure 7 were made with two of these armatures (# 231 and 237).
Notably, 55 hafted dart and arrow armatures were modeled with photogrammetry and provide accurate TCSA/P values measured in ParaView (TCSA/PhPV; Figure 4). Comparing these values against TCSA/Ph demonstrates the potential inaccuracy of the equations. TCSAhPV averages 22% larger and ranges up to 61% larger than TCSAh, while TCSPhPV averages 6% larger and ranges up to 34% larger than TCSPh. Armatures with wide blades and narrower hafts (especially corner notched varieties) tend to have TCSA/PhPV values closer to the equations, while lanceolate types (e.g., Clovis, Dalton, and Cody types) tend to diverge from the equations (Figure 4). Paired t-tests found statistically significant differences between TCSAhPV and TCSAh (t[54] = 8.0636, p < 0.0001) and between TCSPhPV and TCSPh (t[54] = 8.0865, p < 0.0001). However, while mean TCSAhPV is 42.5 mm2 larger than TCSAh, mean TCSPhPV is only 3.4 mm larger than TCSPh.
Testing the more accurate TCSA/PhPV measures against MaxPen, 44 shots with darts (those which have modeled armatures) on Goat2 and both bison were compared, but a weak positive correlation between TCSAhPV and MaxPen remains (R 2 = 0.1248, p = 0.0217), and no fit occurs between TCSPhPV and MaxPen (R 2 = 0.0659, p = 0.1009). By comparison, a slightly stronger positive correlation occurs between the surface areas of the modeled hafted armatures and MaxPen from the same shots (R 2 = 0.2296, p = 0.0013). Repeating the above analysis on penetration within projectile groups and targets, no statistically significant fit is found for the accurate measurements from 3D models.
Another way to assess the effect of armature size on penetrating efficacy is to compare the fit between KE and the WSA (Figure 7). This fit is stronger than between KE and MaxPen, suggesting that larger points tend to produce larger wounds but at the cost of penetration depth. However, this effect is most pronounced in distinguishing arrows from darts, while less change occurs in the distribution of darts (Figure 7). Here the higher velocity of arrows may also be increasing their penetrating efficacy, which we consider in the next section.
3.3.2 Force Penetrating Skin
Many factors must be involved in how rapidly projectiles decelerate while penetrating soft tissues, but which factors stand out in a broad comparative analysis? In Section 3, we demonstrated qualitatively how armatures of different materials can have a substantive impact on how rapidly darts decelerate, and consequently, how much force they experience penetrating skin. A statistical assessment of this effect is shown in Figure 10 with a broad comparison of 52 dart shots through the outer skin and tissues of Goat2 and both bison (arrows are excluded due to their different ballistic profiles, which we describe more below).

Force (F) of 52 hafted dart armatures by material that penetrated skin and outer tissues of Goat2 and both bison.
Some of the variance in Figure 10 can be explained by the targets. In studies of knife penetration in cadavers, Knight (1975) found that knives met less resistance in intercostal skin where skin is naturally pretensioned between ribs, relative to thinner but more elastic abdominal skin. However, abdominal skin is easier to penetrate when it is artificially pretensioned (Knight, 1975). In Figure 10, the two lowest outliers in Novaculite and the lowest outlier in Indian Agate resulted from impacts to the abdomen of Goat2, which was compressed (pretensioned) by the scaffold. Other shots, including the highest outlier in novaculite, and all shots in the Buffalo River group, impacted thicker intercostal and abdominal skin of Bison2. Nevertheless, two materials most prominently represented by shots in Bison1, Brazilian Agate, and Burlington Chert had similar mean TCSPs (50.8 and 57.3 mm for Brazilian Agate and Burlington, respectively), but Burlington averaged 114% greater force penetrating skin. Similarly, the two lowest forces in obsidian in Figure 10 impacted thicker intercostal skin of Bison2, and despite relatively high mean TCSP (68 mm), still experienced among the lowest force in the sample.
The lowest mean forces in this sample were experienced by Brazilian Agate and obsidian points, respectively, despite their size differences. However, for 53 dart and arrow shots with modeled armatures, TCSA/PhPV and surface area (SA) show significant positive correlations with force (TCSAhPV, R 2 = 0.4854, p < 0.0001; TCSPhPV, R 2 = 0.3188, p < 0.0001; SA, R 2 = 0.3650, p < 0.0001). But if arrows are removed, for 44 shots with darts, these fits lose some predictive power (TCSAhPV, R 2 = 0.3230, p < 0.0001; TCSPhPV, R 2 = 0.1137, p = 0.0252; SA, R 2 = 0.2376, p < 0.0008). As was the case for explaining MaxPen, these armature size measurements are insignificant for explaining force within ballistically similar categories of the 53 darts and arrows (Figure 11). TCSP is generally accepted as the better predictor of stone point penetration in homogenous target simulants (Grady & Churchill, 2023; Pettigrew & Bamforth, 2023; Sisk & Shea, 2009; Sitton et al., 2020), but TCSAhPV, is more sensitive to increases in the size of a hafted armature, as indicated by its stronger fit with the overall projectile mass (R 2 = 0.8096, p < 0.0001) than the fits between TCSPhPV (R 2 = 0.6133, p < 0.0001) or even SA (R 2 = 0.7265, p < 0.0001) and mass.

The fits between TCSA/PhPV, SA, and F within categories of ballistically similar projectiles.
There are other variables involved in armature efficacy that we attempted to measure using blade ratios and edge angles. To see which of these variables help explain force, we fit a multiple regression model testing the same 53 shots with darts and arrows and the following predictors of force: Exp (carcass), Material (armature), v, TCSA/PhPV, SA, BladeL:W, BladeL:T, BladeW:T, and MeanEdge. As a rule, an effective model should contain no more than one of the cross-sectional size metrics. The best model includes TCSAhPV (p < 0.0001), Material (p = 0.0040), and MeanEdge (p = 0.0130) and explains 74% of the variation in force (R 2 = 0.7399, R 2adj = 0.6532, p < 0.0001). The standardized coefficients for TCSAhPV (β = 0.74) and MeanEdge (β = 2.8) indicate that they both have a positive effect on force. If we attempt to replace TCSAhPV with the more preferred TCSPhPV measure, the latter is insignificant and the best model includes only Material (p = 0.0044) and velocity (p = 0.0002) and explains 62% of force (R 2 = 0.6214, R 2adj = 0.5078, p < 0.0001). The parameter estimates indicate that velocity (β = −6.75) has a negative effect on force. We will avoid listing every parameter estimate for Material categories, which clearly need larger samples to validate.
Although the “blade ratios” (BladeL:T and BladeW:T) have been suggested as indicators of armature efficacy (Section 1.1), in our sample, none of these ratios correlate with force (p-values > 0.2650) and BladeW:T only predicts 12% of the variance in MeanEdge measured on the 3D models (R 2 = 0.1197, p = 0.0111).
3.4 Modeling Stone-Tipped Dart and Arrow Efficacy
In this final section, we attempt to answer question 3 by modeling the most important variables of stone-tipped dart and arrow penetration and wounding potential in soft tissues. For this, we isolate 48 shots with darts and arrows on the goats and bison that are appropriate for both penetration and deceleration analysis and have 3D modeled armatures for accurate measurements of cross section, surface area, and edge angles.
In Figure 9, the correlations between TCSA/P, mass, and KE show how causal factors in the data are problematized by multicollinearity (multiple correlations between variables). However, multivariate procedures can assess the relative contributions of many correlated variables. Figure 12 presents a heatmap of the correlations between 17 ballistic variables: MaxPen is positively correlated with mass, P, KE, TCSAhPV, and SA, and most negatively correlated with F, SR, and PRhPV. However, in addition to other problematic correlations, the three armature and shaft ratios (AR, PR, and SR) also correlate negatively with KE and P. This is because heavier darts tended to be fitted with lanceolate armatures (e.g., Clovis) that produced smaller ARs and PRs relative to wider notched forms, which were more commonly mounted on lighter cane darts. Additionally, darts with larger SRs (representing shouldered main shaft sockets) were most common on replica light Basketmaker darts (e.g., armature 108 in Figure 6). For 19 shots with Basketmaker darts across the hog, Goat2, and both bison, the SR retains a significant negative correlation with MaxPen (R 2 = 0.3595, p = 0.0067), showing how a large enough SR (>1.25) can stop penetration when the shouldered socket contacts skin, which was especially noticeable on the hog (Pettigrew, 2015). But large SRs are not present among the higher energy cane and composite darts to allow direct comparison.

A heatmap showing correlations from multivariate analysis of 48 shots with darts and arrows. All cross-sectional measures (TCSA/P, AR, PR, SD) are obtained from 3D models of hafted armatures (TCSA/PhPV).
Ten of these ballistic variables can be compared in a partial correlations matrix (Table 3). A partial correlations matrix displays the relationships between pairs of variables after adjusting for the impacts of all other variables in the matrix, thus providing a means of controlling for the confounding effects of related variables on each relationship. Prior to adjusting for confounding variables, MaxPen has the strongest positive correlations with mass, KE, and TCSAhPV, and the strongest negative correlation with the SR. After adjusting for confounding variables, MaxPen has a significant negative correlation with force, while KE and SDhPV have significant positive correlations at the p ≤ 0.10 level.
Multivariate analysis of the correlations and partial correlations of penetration (MaxPen) with ballistic variables of 48 darts and arrows
MaxPen | ||||
---|---|---|---|---|
Correlations | Correlation probability | Partial corr. | Partial corr. prob. | |
M | 0.3158 | 0.0288 | 0.1562 | 0.349 |
v | 0.0953 | 0.5194 | −0.1572 | 0.3459 |
F | −0.0588 | 0.6914 | −0.6393 | <0.0001 |
KE | 0.4284 | 0.0024 | 0.2898 | 0.0775 |
TCSAhPV | 0.3467 | 0.0158 | 0.0035 | 0.9835 |
TCSPhPV | 0.2214 | 0.1305 | −0.0762 | 0.6491 |
MeanEdge | −0.1162 | 0.4317 | −0.1284 | 0.4423 |
ARhPV | −0.1272 | 0.389 | 0.0139 | 0.934 |
PRhPV | −0.2687 | 0.0648 | −0.1082 | 0.5179 |
SR | −0.2929 | 0.0434 | 0.2082 | 0.2096 |
SDhPV | 0.0732 | 0.621 | −0.2762 | 0.0933 |
All tip cross-sectional measures (TCSA/P, AR, PR, SD) obtained from 3D models of hafted armatures (TCSA/PhPV).
Bold values in Table 3 represent probabilities below or equal to 0.05.
To model penetration of these 48 shots, the following predictors are included in a multiple regression against MaxPen: KE, P, F, TCSA/PhPV, SA, SDhPV, ARhPV, PRhPV, SR, CM, and MeanEdge. The best model includes KE (p < 0.0001) and force (F; p < 0.0001) and explains 49% of penetration (R 2 = 0.4917, R 2adj. = 0.4691, p < 0.0001). From this regression we can use the following formula to predict penetration: MaxPen = 357.41 + 4.96(KE) − 1.28(F).
Finally, we may recall that in Section 3.4 KE had an even stronger fit with wound surface area (WSA) than with MaxPen (Figure 7). Performing the regression using the same variables as above as predictors of WSA, we again find that the best model includes KE (p < 0.0001) and F (p = 0.0006) and explains 58% of the variability in WSA (R 2 = 0.5845, R 2adj. = 0.5660, p < 0.0001). We can use the following formula to predict wound size: WSA = 1244.34 + 37.60(KE) – 6.03(F).
4 Discussion
In the world outside the laboratory, the design of weapons, their use, and the targets they encounter are complicated affairs. To capture broad trends in how darts and arrows operate it is necessary to cross-validate results from controlled experiments with meta-analyses of more variable but representative third generation experiments (Calandra et al., 2020; Marreiros et al., 2020). Our experiments help fill this role and are exploratory in the sense that we can ask multiple questions of the data, which also tells us what topics could be better addressed in future work. Most notably, the variables contributing to the force experienced by darts and arrows that penetrate skin requires more work to sort out. Future controlled experiments could therefore focus on the contributions of velocity and specific target strain rate sensitivity, armature sharpness, and improved methods for measuring ballistically significant armature shape attributes for penetrating soft tissues. Target scalability will be an important consideration for such experiments and polymeric or leather “skin simulants” may offer the best solution (Pettigrew & Bamforth, 2023). Further implementation and improvement of the naturalistic protocol described here will also facilitate future experiments and meta-analyses. Several improvements to the protocol are necessary to achieve this goal.
First, carcasses need to be supported in a way that is more analogous to living bodies and consistent across experiments. Methods that artificially pretension skin should be avoided and suspending carcasses can affect penetration when heavier and slower projectiles are tested. This latter issue may problematize several past experiments that have used suspended carcasses (Pettigrew, 2021, app. C). Second, aspects of carcasses affecting penetration need to be quantified, such as the impacts of skin’s elasticity and toughness (Atkins, 2009; Fenton et al., 2020). Third, physiological changes after death affecting the comparison with living prey for low velocity cutting projectiles should be better characterized. Fourth, it would be helpful to quantify the angle (or yaw) of the projectile on impact (e.g., Coppe, Lepers, & Rots, 2022; Key et al., 2018). Fifth, more powerful velocity cameras, such as the Chronos 1.4, will allow greater scrutiny of dynamic deceleration events. Last, a more thorough record of armatures prior to the experiment will include 3D modeling, haft shape, and absolute measurements of tip and edge sharpness (Atkins, 2009, pp. 231–232; Key et al., 2022; Reilly et al., 2004; Stemp, Macdonald, & Gleason, 2019).
The single best variables for capturing dart and arrow penetration and wound size in our data are KE and the force to penetrate skin (F). Unlike bullets, darts and arrows travel well below a “low-velocity” threshold (<250 m/s; Carlucci & Jacobson, 2018), making fluid models of penetration of questionable relevance, while forensic studies of knife stab wounds provide a better comparison. Such studies tend to focus on the force necessary for a given knife to penetrate skin (Ankersen et al., 1999; Gilchrist et al., 2008; Knight, 1975; O’Callaghan et al., 1999). The microstructure in skin includes a matrix of collagen fibers that stretch, align, and stiffen under load, offering toughness and resilience against cuts and punctures. Sharper tips and higher velocity can dramatically reduce the force necessary to fracture skin (Anderson, 2018; Ankersen et al., 1999; Atkins, 2009; Fenton et al., 2020; Gilchrist et al., 2008; Knight, 1975; Nayak et al., 2018).
Armature TCSA/P have been validated as important predictors of penetration depth based on controlled experiments in homogenous target simulants (Eren et al., 2020; Grady & Churchill, 2023; Mika et al., 2020; Salem & Churchill, 2016; Sisk & Shea, 2009; Sitton et al., 2022). Larger TCSA does fit with increased force to penetrate skin in our data, but the contribution of TCSA/P to penetration depth is overshadowed by more important parameters of variable low-velocity cutting projectiles, such as impact energy and sharpness (see also, Wood & Fitzhugh, 2018). This is important because archaeologists have sometimes emphasized TCSA/P when interpreting armature penetrating potential for individual weapon technologies (Eren, Bebber, Knell, Story, & Buchanan, 2022; e.g., Eren et al., 2021; Hughes, 1998; Mika et al., 2020). The insignificance of TCSP for predicting either force or penetration in our data is most troubling, given the significance of this variable for predicting penetration in ballistics gel, foam, and clay (Grady & Churchill, 2023; Sisk & Shea, 2009; Sitton, Story, Buchanan, & Eren, 2020). Grady and Churchill (2023) provide the clearest demonstration of this by varying TCSP while holding TCSA constant in 3D printed points that penetrated gel, reasoning that surface drag was the most important variable when penetrating gel and soft tissues, and that this is best predicted by TCSP. However, several problems arise when attempting to validate penetration into these simulants, which demonstrates that they do not behave like soft biological tissues for studying low velocity cutting/piercing projectiles. Rather, they can accentuate completely different aspects of armature efficacy than shots through leather or carcasses, or even between different homogeneous target simulants (Pettigrew & Bamforth, 2023). In addition, cross-sectional measurements were originally derived from bullet wound ballistics, but darts and arrows behave much differently than bullets, cutting through tissues at low velocity (Section 1.1). Archaeologists should therefore reconsider the roles of TCSA/P in penetration for the projectiles we study. Given the strong positive correlations between larger hafted TCSA, projectile mass, KE, and WSA (Figures 7 and 9), TCSA/P or other size metrics may be more useful as predictors of wounding potential. This is a practical relationship. While larger points increase the mass of a projectile, they can also be challenging to haft to thin and light shafts, which can also lack the rigidity to carry them in flight (Christenson, 1986). TCSA and SA tend to perform better than TCSP in these correlations since, as measures of area, they are more sensitive to hafted armature size (Grady & Churchill, 2023), but this also makes the rhomboid equation for TCSA more prone to inaccuracy. None of these measurements capture cutting efficacy, and for measuring drag through soft tissues, a better measure than TCSA/P seems warranted, since even hafted TCSA/P do not capture how smooth the transition is from armature to haft.
Archaeologists have not been blind to the fact that sharper armatures can dramatically reduce force when penetrating skin and subcutaneous tissues (for discussions, see Ahler & Geib, 2000; Key et al., 2022). The armature material categories appear to capture elements of armature efficacy, namely, relative sharpness, that armature size or even macroscopic edge angles cannot. Since the initial report of these findings (Pettigrew, 2021), these observations were further validated through controlled shots into leather, where glass points tended to decelerate less rapidly than coarser cherts like Burlington and Mozarkite, despite having larger TCSA/P (Pettigrew & Bamforth, 2023). Past preference for armatures made from “exotic” fine-grained stones at Paleoindian sites (Bamforth, 2002), for instance, suggests that ancient hunters may have recognized this relationship. Although absolute measurements of sharpness are challenging to obtain (especially on stone artifacts; see Stemp et al., 2019), and original edge sharpness likely degraded long ago, either through use prior to deposition or through taphonomic processes (Hughes, 1998), estimating sharpness by material type could assist archaeological assessments of original weapon potential. More work should be undertaken on this topic, especially to sort out the relative effects of sharpness and surface texture of armature materials in penetrating soft tissues, which we have not captured.
Javelins, darts, and arrows are highly variable weapons. Darts can weigh more than some javelins (Palter, 1977) and powerful bows can be made to shoot arrows as massive as many darts (Ashby, 2008; Strickland & Hardy, 2005). To a point of diminishing returns, heavier weapons thrown by humans carry substantially more energy than lighter ones (Section 3.4; see also Toyoshima & Miyashita, 1973). This means that, like javelins (Sahle, Ahmed & Dira, 2023), heavier darts can be adapted for hunting larger prey. Although the light replica Basketmaker darts did not meet the modern arrow kinetic energy recommendations for bowhunting a bison (Tomka, 2013), they were capable of inflicting lethal wounds when armed with effective points and when they did not directly encounter ribs. In general, shots (N = 13) with the medium-light dart group (88–126 g; Table 1) could penetrate deeply into soft tissues of both bison (mean value = 331 mm, std dev = 80 mm) and produce large wound surface areas (mean value = 1,773 mm2, std dev = 473 mm). This indicates that modern bowhunting requirements should be applied with caution to ancient hunting strategies and technologies. In addition to variable weaponry, variables of specific targeted prey within size classes, such as the toughness of skin and width and thickness of ribs, must also be accounted for.
Information from modern bow hunters is nevertheless useful for documenting important variables of effective weapons that cannot be documented in most experiments. Most states in the US require a minimum broadhead width and poundage of bow to increase the odds of a quick death for prey, and even wider broadheads are associated with increased retrieval rates (Pedersen, Berry, & Bossart, 2014). Retrieval of prey by hunters is dependent on the location and size of the wound and how rapidly blood coagulates; factors that determine how rapidly an animal expires or how easily a hunter can follow a blood trail. These factors can be controlled, in part, by increasing sharpness, TCSP, mass, and velocity (Friis-Hansen, 1990). The variability within weapon technologies and their applications clearly problematizes attempts to reduce dart and arrow efficacy to singular variables, such as TCSA/P. These complexities lead to challenges for archaeologists who are often forced to study weapon efficacy from armatures alone. One way this situation may be remedied is by using armature size to predict the size of the trailing shaft (e.g., Friis-Hansen, 1990), in turn providing a prediction of KE, and pairing these variables with a prediction of armature sharpness to predict penetrating force, depth, and wound size. However, given the significant variability that can occur between points and their shafts, the results of such an exercise can only provide a best-guess at past wounding potential.
5 Synthesis
Kinetic energy, which captures a projectile’s ability to fracture and create new surfaces within a target, provides the single best predictor of penetration in our data. Regarding modern bowhunting requirements (Table 1), even light Basketmaker darts (e.g., Figure 1) that fall well below the KE requirements can meet or surpass the momentum requirements for hunting large game, but these darts tend to under-perform when impacting relatively light ribs, suggesting that kinetic energy is more applicable for comparing penetration potential across a range of darts and arrows. Although for some prey types, such as bison, KE below the recommended values for modern hunters may have been adequate in the past given efficient armatures and shots that did not directly impact ribs.
Importantly, TCSA/P are not significant predictors of penetration depth in our sample. Positive correlations occur between KE and TCSA/P, given that larger armatures tend to be fitted to heavier shafts, but TCSA/P remain insignificant for predicting penetration depth within categories of ballistically similar projectiles. However, larger TCSA does correlate with greater resistance force to penetrate skin, and next to KE, the force to cut through skin is the second most significant predictor of penetration. TCSP remains useful for calculating the WSA as a measure of the potential deadliness of a wound. The rhomboid equations for calculating TCSA/P, however, can be inaccurate.
Macroscopic measurements of armatures that we attempted, such as edge angles or blade ratios, do not perform well in capturing penetration. This seems to be due to the inability of these variables, along with TCSA/P, to capture the aerodynamic shape of a hafted armature or its tip and edge sharpness, the latter likely being the most important variable for low velocity projectiles to fracture extensible and tough biological soft tissues. Armature material types are significant for predicting penetrating force through skin most likely because finer-grained materials tend to be sharper and reduce resistance to cutting. This could offer archaeologists a way to estimate the original sharpness of artifacts. Finally, higher velocity can also reduce cutting force through skin and subcutaneous tissues due to load-rate dependent effects in soft tissues, but arrows that travel faster than darts tend to also be lighter and more easily affected by greater forces of resistance and drag. Crucially, the variability between and within weapon technologies and the complexity of weapon efficacy makes simplified models of performance based on isolated variables problematic.
6 Conclusion
In this study, we have described a naturalistic experimental program for the study of archaeological weapons that captures many variables of ballistic performance in complex settings, helping to validate findings from controlled settings and offering insights into what to test further. The important variables of penetrating efficacy of stone armatures, which we outlined above, will benefit from further research in controlled settings using effective target media. These findings are important to the field of archaeology because ancient weapons were highly variable, even within the same technologies, and past hunts were complex affairs performed against a variety of heterogenous targets. Understanding the technological adaptations, hunting strategies, and ecologies of ancient hunters will benefit from a broad look at the factors that made weapons effective and can be seen archaeologically.
Acknowledgements
This work could not have been possible without the dedicated and skilled experimenters: Autumn Cool, Marissa Crise, Donny Dust, Carlton Shield Chief Gover, Patrick Hashman, Lana Ruck, and John Whittaker. Four ranchers provided animals, allowed experiments to be carried out on their land, and offered advice and support: Barney Bahrenfus, Jim Beauprez, Matt Clyker, and Troy Westre. William Taylor and John Whittaker purchased Bison1 and the hog, respectively, while Bison2 was paid for by crowd funding (https://dx.doi.org/10.18258/26783). Several skilled flintknappers donated or sold us projectile points: Silas Chapman, Donny Dust, Mike Evans, Zack Hansen, Aden Jenkins, Larry Kinsela, Adam Lageveen, Tom Mills, Gary Morgan, Gerald Pettigrew, Jim Schroeder, Tony Soares, Kevin Verhulst, and John Whittaker. The staff at the Arkansas Archaeological Survey (Tom Green, Jared Pebworth, Mike Evans, and Aden Jenkins) were instrumental during the initial development of these tests. Kathy Pettigrew and Jay Keazer helped the first author with his math. Members of the lead author’s masters and doctoral committees, Douglas Bamforth, Gerardo Gutierrez, Robert Hitchcock, Marvin Kay, Scott Ortman, and John Whittaker, provided essential guidance in the design and early presentation of this research.
-
Funding information: This research was supported in part by crowdfunding with donations from 47 backers (https://dx.doi.org/10.18258/26783).
-
Author contributions: Early drafts of the manuscript were written by Devin Pettigrew as a component of his doctoral dissertation. Substantial contributions to data collection were made by Devin Pettigrew and Justin Garnett. Data analysis was performed by Devin Pettigrew, Caden Ryals Luneberg, and Eric Vance. All authors contributed to the organization and written text of the final manuscript.
-
Conflict of interest: The authors state no conflict of interest. The authors have no financial or proprietary interests in any material discussed in this article.
-
Data availability statement: All data generated or analyzed during this study are included in the published article and its supplementary information files.
Appendix
Tables of shots and details of main shafts, armatures, and foreshafts can be found in the supplementary database included with this article. These exclude shots and armatures from the experiments that are not pertinent to the terminal ballistics analysis performed in this article. In the primary shot database, the “PenAnalysis” column can be used to isolate 84 shots included in the penetration analysis and “AccAnalysis” can be used to isolate 62 shots included in the acceleration analysis. Shots with armatures modeled using photogrammetry can also be isolated based on whether they have associated TCSAhPV values.
A1. Velocity Agreement
Our work makes significant use of velocity measurements, so we should qualify the accuracy of our measurements by cross-comparing results from two different types of instruments used: cameras and radar guns. In the hog experiment, a Bushnell Velocity Speed Gun was held beside the shooter and in the Bison2 experiment, a Stalker Pro II+ was positioned on a tripod in front and to the side of the shooter. Placing a radar gun alongside, rather than in line with the trajectory of a projectile, leads to angle errors, which we rectified using the cosine for a 25° angle (true velocity = read velocity/cosine; Applied Concepts, Inc., 2018, p. 23). Note that angle corrections were not applied in prior velocity measurements that used radar (Pettigrew, 2015; Whittaker et al. 2017). We used a 25° angle cosine because this correction situated the mean radar and video readings together. In the following comparison we test the variance between the instruments to determine how consistently they agree.
In the hog experiment, velocity readings were initially noticed to diverge, with mean radar gun readings (22.5 m/s) being consistently lower than mean video readings (24.9 m/s) for the same 19 shots with various darts that had both radar and camera measurements (the radar gun in this experiment did not always capture readings; Pettigrew, 2015). Following angle corrections, mean corrected radar gun readings (24.8 m/s) and video readings converged, and a paired t-test finds no statistically significant difference between the mean values (t[18] = 0.2723, p = 0.7885), with a standard error of 0.2706 and a correlation of 0.8172.
For a sample of 72 shots with both darts and arrows in the Bison2 experiment, mean radar gun readings (24.4 m/s) were also lower than mean video readings (26.5 m/s). Corrected radar gun readings produced a mean value of 26.9 m/s and a paired t-test finds a statistically significant difference between the mean values (t[71] = −4.1236, p < 0.0001) but a smaller standard error (0.0913) and stronger correlation (0.9906).
These results suggest a strong fit between radar and video in the Bison2 experiment, despite subtle differences between the corrected means, whereas greater disagreement in the hog experiment likely resulted from using a less powerful camera. When available, corrected radar gun readings provide the tabulated velocities for the hog experiment, while all other tabulated velocities from the other experiments derive from video shot with the EX-F1 camera.
A2. Comparing Results Across Targets
While recognizing that meta-analyses across carcasses can be useful given that past targets of hunting weapons are rarely known, variations in skin, muscle, hair, and other factors can change how weapons perform, reducing the strength of a statistical analysis. In this section, we perform one-way ANOVA tests to evaluate the variability in total penetration (MaxPen), KE, and force penetrating skin (F) of shots with the best-represented atlatl dart main shafts (#s1, 2, 4, 5, 7, 8, 9, and 10) that penetrated Bison1 (the 23-year-old cow), Bison2 (the 2-year old bull), Goat2, and hog (Table A3; Goat1 is excluded for reasons discussed below).
For these shots, no statistically significant difference is found in MaxPen between the two bison and Goat2 (f = 0.4657, p = 0.6319), but the difference becomes significant when the hog is included (f = 15.8901, p < 0.0001). For KE, no statistically significant difference occurs across Bison1, Goat2, and hog (f = 1.7226, p = 0.1902), but when Bison2 is included, a significant difference occurs (f = 8.5776, p = 0.0008), reflecting a focus on testing heavier dart main shafts and lanceolate points that should have penetrated deeper in that experiment. Last, no statistically significant difference occurs in the force to penetrate skin between Goat2 and Bison1 (f = 0.3275, p = 0.5732), but when Bison2 is added, the difference is significant (f = 8.5776, p = 0.0008).
The above analysis indicates that Bison2 and the hog were more resistive than the other carcasses. Skin thickness was only measured during butchering Bison2, a procedure that should be carried out in all future tests. The measurements made independently by the four experimenters using calipers resulted in a mean thickness of 4.1 mm (N = 4, std dev = 0.48) at a location on the central abdomen and 4.2 mm (N = 8, std dev = 0.47) at two locations on the thorax (Figure A9). The mean skin thickness of 4.1 mm over the torso of Bison2, compared with previous measurements in other studies of 2.3–2.1 mm over the thoraxes of two bison cows (Frison, 1974, p. 84), 2.7–4.7 mm mean thickness for pig skin, and 0.3–3.0 mm mean thickness for goat skin (Fenton et al. 2020), fits with the average forces and penetration depths recorded in our experiments (Table A3).
In Section 2.1, we mentioned the additional problem of target inertia affecting penetration. This was made clear by darts that had shallow penetration or even failed to penetrate Goat1, which was suspended between poles and later observed to be jostled with dart impacts in the slow-motion video. Two of four dart points that “bounced” (failed to penetrate) off Goat1 were reused on Goat2 and Bison1 on the same dart shafts. Armature 53 bounced off the thorax of Goat1 at 22 m/s (KE = 26 J, P = 2 kg m/s) but penetrated 380 mm through the abdomen of Goat2 at 24.5 m/s (KE = 27 J, P = 2.2 kg m/s). Armature 51 bounced off the thorax of Goat1 at 24 m/s (KE = 34 J, P = 2.84 kg m/s) but penetrated 300 mm into the thorax of Bison1 at the same velocity. With smaller armatures and shafts, and at higher velocity (which can improve cutting performance through extensible materials; Atkins, 2009), arrows were still capable of penetrating completely through the 220 mm wide torso of Goat1 and did not cause the carcass to jostle, but most dart shots on Goat1 are removed from the analysis due to this complication.
A3. Creating 3D Armature Models and Using ParaView to Measure TCSA/P
To create 3d models of the armatures, the end of the foreshaft was pressed into clay and the foreshaft was set upright on a turn wheel in front of a black backdrop or dark room. The armatures were photographed 30–50 times from at least two angles (slightly above and slightly below the armature), and the photographs were aligned and meshed in Agisoft Metashape. After meshing models, they were processed in the open-source Meshmixer program (https://www.meshmixer.com/). First the models are oriented along on the Y axis using the “Align” and “Transform” functions. Next the “Plane cut” function is used to apply a 90° cut across the foreshaft to remove any unwanted portions. The Unit/Dimensions are then set to the width of the armature.
The following steps are used to obtain values for TCSA and TCSP from the photogrammetry models in the open-source ParaView program (https://www.paraview.org/). These steps apply to models that are oriented tip up along the Y-axis:
TCSA:
From the tool bar, set the view direction to -Y.
Under the “Properties” tab on the left, enable “Camera Parallel Projection.”
From the tool bar, use “Select Points On (d)” to select the cells.
From the tool bar, click “Extract Selection.”
Apply a “Transform” filter, and under the “Properties” tab on the left, type “90” in the first column in the “Rotate” row to rotate the cells 90° on the X axis, and type “1e-5” in the second column in the “Scale” row to flatten the object on the Y axis.
From the tool bar, reorient the view direction to +Z and rotate 180°.
Apply the “Delaunay 2D” filter with “Alpha” under the “Properties” tab set to a value just large enough to create a solid model (usually around 0.5 on our models).
Apply the “Integrate Variables” filter and in the window on the right under “Attribute” select “Cell Data” to view the area of the model.
TCSP:
Follow steps 1–7 for TCSA (you may simply delete the last Integrate Variables filter and proceed).
Apply the “Feature Edges” filter and enable only “Boundary Edges” under the “Properties” tab.
Apply the “Integrate Variables” filter and view “Cell Data” to view the length of the boundary edge of the model.
Tips for using ParaView: Make sure that the layer you would like to apply a filter to (generally the last layer you created) is selected in the “Pipeline Browser” on the left. Otherwise, you will not have the option to apply a filter, or you will apply a filter to the wrong layer. Additionally, to speed up processing multiple models and facilitate choosing the right filter, use the keyboard shortcut Ctrl+Space to bring up a search window for the filters.

Atlatls used in the experiments.

Bows used in the experiments were based on Catawba and Cherokee examples.

Dart and arrow main shafts used in the experiments. Reapplying new markings of gaffer’s tape on main shafts for the Bison2 experiment resulted in subtle differences in mass (e.g., between D7 and D7.1).

Dart points included in the analysis.

Dart points included in the analysis.

Dart points included in the analysis.

Dart points included in the analysis.

Arrow points included in the analysis.

Indicating three locations where skin thickness was measured on Bison2: (1) over the abdomen, (2) over the upper rib cage, and (3) over the rib cage immediately behind the shoulder.
Details of atlatls used in the experiments (Figure A2)
Atlatl # | Weapon ID | Type | Description | Maker | Total length (mm) | Lever length (mm) | Mass (g) | Balance point (mm) |
---|---|---|---|---|---|---|---|---|
1 | Kinboko | Replica | Kinboko Cave, AZ | DP | 655 | 472 | 112 | 292 |
2 | BRC1 | Replica | Broken Roof Cave, AZ 1 | JG | 538 | 405 | 121 | 202 |
3 | BRC2 | Replica | Broken Roof Cave, AZ 2 | JG | 535 | 420 | 105 | 210 |
4 | ABhook | Spur replica | Bone spur and grip | JG | 560 | 420 | 109 | 250 |
5 | Clovis | Spur replica | Osage Clovis | JW | 615 | 440 | 182 | 270 |
6 | GBI1 | Generalized | Great Basin inspired | DP | 613 | 480 | 157 | 335 |
7 | DPBMHeavy | Generalized | Heavy Basketmaker | DP | 640 | 500 | 247 | 320 |
8 | CGMag | Generalized | Magdalenian inspired | DP | 0 | |||
9 | Mag | Spur replica | Magdalenian | PC | 647 | 440 | 122 | 327 |
10 | DDEOC | Generalized | Edge of Cedars | DD | 570 | 413 | 170 | 261 |
11 | SDCI | Generalized | Sand Dune Cave, AZ inspired | JW | 655 | 480 | 100 | 340 |
Bows used in the experiments include ∼20 kg (“Catabwa1 & 2”) and 23 kg (“Cherokee”) draw weight flatbows of black locust (Robinia pseudoacacia) heartwood (see Allely & Hamm, 1999, pp. 80–91).
Makers include Devin Pettigrew (DP), Donny Dust (DD), Justin Garnett (JG), John Whittaker (JW), and Pascal Chauvaux (PC). Lever length is measured from the spur tip to the top of the grip, while the balance point is measured from the point of balance to the spur tip.
Details of experimenters as of September 2021
Name | Age | Height (cm) | Weight (kg) | Years experience | ISAC personal best |
---|---|---|---|---|---|
Carlton Gover | 29 | 185 | 111 | 6 | NA |
Devin Pettigrew | 38 | 188 | 72 | 22 | 80 |
Donny Dust | 42 | 188 | 107 | 15 | NA |
John Whittaker | 68 | 168 | 66 | 25 | 92 |
Justin Garnett | 38 | 180 | 68 | 18 | 76 |
Patrick Hashman | 66 | 175 | 72 | 16 | 70 |
ISAC is the International Standard Accuracy Competition of the World Atlatl Association (https://worldatlatl.org/).
Comparison of total penetration (MaxPen), KE, force penetrating skin (F), and hafted TCSA (TCSAh) of shots with darts across four carcasses
Bison1 | Bison2 | Goat2 | Hog1 | ||
---|---|---|---|---|---|
MaxPen (mm) | Mean value | 395 | 409 | 345 | 190 |
Std dev | 136 | 165 | 187 | 53 | |
Min | 217 | 164 | 135 | 110 | |
Max | 720 | 645 | 820 | 324 | |
KE (J) | Mean value | 38 | 62 | 30 | 31 |
Std dev | 14 | 17 | 9 | 8 | |
Min | 27 | 33 | 24 | 20 | |
Max | 68 | 85 | 54 | 45 | |
F (N) | Mean value | 146 | 200 | 133 | |
Std dev | 57 | 54 | 31 | ||
Min | 50 | 146 | 83 | ||
Max | 275 | 298 | 184 | ||
TCSAh (mm2) | Mean value | 181 | 195 | 194 | 143 |
Std dev | 45 | 41 | 68 | 43 | |
Min | 112 | 149 | 141 | 77 | |
Max | 300 | 288 | 336 | 296 | |
N | 13 | 12 | 10 | 28 |
References
Ahler, S. A., & Geib, P. R. (2000). Why Flute? Folsom Point Design and Adaptation. Journal of Archaeological Science, 27(9), 799–820. doi: 10.1006/jasc.1999.0503.Search in Google Scholar
Allely, S., & Hamm, J. (1999). Encyclopedia of Native American Bows, arrows & quivers, Vol. 1: Northeast, Southeast, and Midwest. New York: Bois d’Arc Press.Search in Google Scholar
Anderson, P. S. L. (2018). Making a point: Shared mechanics underlying the diversity of biological puncture. Journal of Experimental Biology, 221(22), 1–12. doi: 10.1242/jeb.187294.Search in Google Scholar
Anderson, P. S. L., LaCosse, J., & Pankow, M. (2016). Point of impact: The effect of size and speed on puncture mechanics. Interface Focus, 6, 20150111. doi: 10.1098/rsfs.2015.0111.Search in Google Scholar
Ankersen, J., Birkbeck, A. E., Thomson, R. D., & Vanezis, P. (1999). Puncture resistance and tensile strength of skin simulants. Proceedings of the Institution of Mechanical Engineers, Part H: Journal of Engineering in Medicine, 213(6), 493–501. doi: 10.1243/0954411991535103.Search in Google Scholar
Ankersen, J., Birkbeck, A., Thomson, R., & Vanezis, P. (1998). The effect of knife blade profile on penetration force in flesh simulants. Technology, Law and Insurance, 3(2), 125–128. doi: 10.1080/135993798349523.Search in Google Scholar
Applied Concepts, Inc. (2018). Stalker Pro II+ Operator Manual. https://stalker.sport/pro-ii-plus/.Search in Google Scholar
Ashby, E. Dr. (2005). Understanding and applying FOC [Electronic Document]. Retrieved April 9, 2020, from https://www.grizzlystik.com/Dr.-Ed-Ashby-Reports.aspx.Search in Google Scholar
Ashby, E. Dr. (2008). Papua New Guinea bows and arrows [Electronic Document]. Retrieved April 9, 2020, from https://www.grizzlystik.com/Dr.-Ed-Ashby-Reports.aspx.Search in Google Scholar
Atkins, A. (2009). The science and engineering of cutting: The mechanics and processes of separating, scratching and puncturing biomaterials, metals and non-metals. Amsterdam: Elsevier/Butterworth-Heinemann.Search in Google Scholar
Bamforth, D. B. (2002). High-tech foragers? Folsom and later paleoindian technology on the great plains. Journal of World Prehistory, 16(1), 55–98. doi: 10.1023/A:1014567313865.Search in Google Scholar
Bartlett, C. S., & Bissell, B. T. (2006). Common misconceptions and controversies regarding ballistics and gunshot wounds. Techniques in Orthopaedics, 21(3), 190–199. doi: 10.1097/01.bto.0000240269.28361.17.Search in Google Scholar
Brink, J. (2008). Imagining head-smashed-in: Aboriginal buffalo hunting on the northern Plains. Edmonton: AU Press.10.15215/aupress/9781897425046.01Search in Google Scholar
Brown, D. (2021). Tracker 6 Help [Electronic document]. Retrieved August 2, 2021, from https://tracker.physlets.org/help/frameset.html.Search in Google Scholar
Calandra, I., Gneisinger, W., & Marreiros, J. (2020). A versatile mechanized setup for controlled experiments in archeology. STAR: Science & Technology of Archaeological Research, 6(1), 30–40. doi: 10.1080/20548923.2020.1757899.Search in Google Scholar
Careless, C. M., & Acland, P. R. (1982). The resistance of human skin to compressive cutting. Medicine, Science and the Law, 22(2), 99–106.10.1177/002580248202200204Search in Google Scholar
Carlucci, D. E., & Jacobson, S. S. (2018). Ballistics: Theory and design of guns and ammunition (3rd ed.). Boca Raton: Taylor & Francis.10.1201/b22201-1Search in Google Scholar
Christenson, A. L. (1986). Projectile point size and projectile aerodynamics: An exploratory study. Plains Anthropologist, 31(112), 109–128. doi: 10.1080/2052546.1986.11909324.Search in Google Scholar
Coppe, J., Lepers, C., & Rots, V. (2022). Projectiles under a new angle: A ballistic analysis provides an important building block to grasp paleolithic weapon technology. Journal of Archaeological Method and Theory, 29, 1131–1157. doi: 10.1007/s10816-022-09551-z.Search in Google Scholar
Cosgrove, C. B. (1947). Caves of the upper Gila and hueco Areas in New Mexico and Texas. Papers of the Peabody Museum of American Archaeology and Ethnology, 24(2).Search in Google Scholar
Cotterell, B., & Kamminga, J. (1990). Mechanics of pre-industrial technology: An introduction to the mechanics of ancient and traditional material culture. New York: Cambridge University Press.Search in Google Scholar
Cundy, B. J. (1989). Formal variation in Australian spear and spearthrower technology. Oxford, England: B.A.R.10.30861/9780860546931Search in Google Scholar
Eren, M. I., Bebber, M. R., Knell, E. J., Story, B., & Buchanan, B. (2022). Plains paleoindian projectile point penetration potential. Journal of Anthropological Research, 78(1), 84–112. doi: 10.1086/717831.Search in Google Scholar
Eren, M. I., Lycett, S. J., Patten, R. J., Buchanan, B., Pargeter, J., & O’Brien, M. J. (2016). Test, model, and method validation: The role of experimental stone artifact replication in hypothesis-driven archaeology. Ethnoarchaeology, 8(2), 103–136. doi: 10.1080/19442890.2016.1213972.Search in Google Scholar
Eren, M. I., Meltzer, D. J., Story, B., Buchanan, B., Yeager, D., & Bebber, M. R. (2021). On the efficacy of Clovis fluted points for hunting proboscideans. Journal of Archaeological Science: Reports, 39, 103166. doi: 10.1016/j.jasrep.2021.103166.Search in Google Scholar
Eren, M. I., Story, B., Perrone, A., Bebber, M., Hamilton, M., Walker, R., & Buchanan, B. (2020). North American clovis point form and performance: An experimental assessment of penetration depth. Lithic Technology, 45(4), 263–282. doi: 10.1080/01977261.2020.1794358.Search in Google Scholar
Fenton, L. A., Horsfall, I., & Carr, D. J. (2020). Skin and skin simulants. Australian Journal of Forensic Sciences, 52(1), 96–106. doi: 10.1080/00450618.2018.1450896.Search in Google Scholar
Franklin, L. R. (2005). Exploratory experiments. Philosophy of Science, 72(5), 888–899. doi: 10.1086/508117.Search in Google Scholar
Friis-Hansen, J. (1990). Mesolithic cutting arrows: Functional analysis of arrows used in the hunting of large game. Antiquity, 64(244), 494–504.10.1017/S0003598X0007839XSearch in Google Scholar
Frison, G. C. (1965). Spring creek cave, Wyoming. American Antiquity, 31(1), 81–94.10.2307/2694025Search in Google Scholar
Frison, G. C. (1974). The casper site: A hell gap bison kill on the high plains. New York: Academic Press.Search in Google Scholar
Gilchrist, M. D., Keenan, S., Curtis, M., Cassidy, M., Byrne, G., & Destrade, M. (2008). Measuring knife stab penetration into skin simulant using a novel biaxial tension device. Forensic Science International, 177(1), 52–65. doi: 10.1016/j.forsciint.2007.10.010.Search in Google Scholar
Grady, J. H., & Churchill, S. E. (2023). Projectile point morphology and penetration performance. Journal of Archaeological Science: Reports, 48, 103893. doi: 10.1016/j.jasrep.2023.103893.Search in Google Scholar
Guthrie, R. D. (1983). Osseous projectile points: Biological considerations affecting raw material selection and design among Paleolithic and Paleoindian peoples. Animals and Archaeology, 1, 273–294.Search in Google Scholar
Hetherington, J. G. (1996). Energy and momentum changes during ballistic perforation. International Journal of Impact Engineering, 18(3), 319–337. doi: 10.1016/0734-743X(96)89052-X.Search in Google Scholar
Hill, K., & Hawkes, K. (1983). Neotropical Hunting among the Aché of Eastern Paraguay. In R. B. Hames & W. T. Vickers (Eds.), Adaptive responses of native Amazonians (pp. 139–188). San Diego: Academic Press. doi: 10.1016/B978-0-12-321250-4.50009-9.Search in Google Scholar
Hughes, S. S. (1998). Getting to the point: Evolutionary change in prehistoric weaponry. Journal of Archaeological Method and Theory, 5(4), 345–408.10.1007/BF02428421Search in Google Scholar
Humphrey, C., & Kumaratilake, J. (2016). Ballistics and anatomical modelling – A review. Legal Medicine, 23, 21–29. doi: 10.1016/j.legalmed.2016.09.002.Search in Google Scholar
Karger, B., Sudhues, H., Kneubuehl, B. P., & Brinkmann, B. (1998). Experimental arrow wounds: Ballistics and traumatology. Journal of Trauma and Acute Care Surgery, 45(3), 495–501.10.1097/00005373-199809000-00011Search in Google Scholar
Kay, M. (1996). Microwear analysis of some clovis and experimental chipped stone tools. In G. H. Odell (Ed.), Stone tools: Theoretical insights into human prehistory (pp. 315–344). New York: Plenum Press. http://link.springer.com/chapter/10.1007/978-1-4899-0173-6_12.10.1007/978-1-4899-0173-6_12Search in Google Scholar
Key, A., Bartkowiak, T., Macdonald, D. A., Mietlinski, P., Gapinski, B., de la Torre, I., & Stemp, W. J. (2022). Quantifying edge sharpness on stone flakes: Comparing mechanical and micro-geometric definitions across multiple raw materials from Olduvai Gorge (Tanzania). Journal of Archaeological Method and Theory, 1–24. doi: 10.1007/s10816-022-09596-0.Search in Google Scholar
Key, A., Young, J., Fisch, M. R., Chaney, M. E., Kramer, A., & Eren, M. I. (2018). Comparing the use of meat and clay during cutting and projectile research. Engineering Fracture Mechanics, 192, 163–175. doi: 10.1016/j.engfracmech.2018.02.010.Search in Google Scholar
Knecht, H. (1997). Projectile technology. New York: Plenum Press.10.1007/978-1-4899-1851-2Search in Google Scholar
Kneubuehl, B. (Ed.). (2011). Wound ballistics: Basics and applications. Berlin Heidelberg: Springer-Verlag. doi: 10.1007/978-3-642-20356-5.Search in Google Scholar
Knight, B. (1975). The dynamics of stab wounds. Forensic Science, 6(3), 249–255. doi: 10.1016/0300-9432(75)90017-5.Search in Google Scholar
LaRue, C. (2010). Looking closer at basketmaker atlatls and darts. Bulletin of Primitive Techology, Spring, 39(39), 12–21.Search in Google Scholar
Lin, S. C., Rezek, Z., & Dibble, H. L. (2018). Experimental design and experimental inference in stone artifact archaeology. Journal of Archaeological Method and Theory, 25(3), 663–688. doi: 10.1007/s10816-017-9351-1.Search in Google Scholar
Loendorf, C., Blikre, L., Bryce, W. D., Oliver, T. J., Denoyer, A., & Wermers, G. (2018). Raw material impact strength and flaked stone projectile point performance. Journal of Archaeological Science, 90, 50–61. doi: 10.1016/j.jas.2017.12.003.Search in Google Scholar
Maiden, N. R., Fisk, W., Wachsberger, C., & Byard, R. W. (2015). Ballistics ordnance gelatine – How different concentrations, temperatures and curing times affect calibration results. Journal of Forensic and Legal Medicine, 34, 145–150. doi: 10.1016/j.jflm.2015.05.019.Search in Google Scholar
Marreiros, J., Calandra, I., Gneisinger, W., Paixão, E., Pedergnana, A., & Schunk, L. (2020). Rethinking use-wear analysis and experimentation as applied to the study of past hominin tool use. Journal of Paleolithic Archaeology, 3(3), 475–502. doi: 10.1007/s41982-020-00058-1.Search in Google Scholar
Mika, A., Flood, K., Norris, J. D., Wilson, M., Key, A., Buchanan, B., … Eren, M. I. (2020). Miniaturization optimized weapon killing power during the social stress of late pre-contact North America (AD 600-1600). PLOS ONE, 15(3), e0230348. doi: 10.1371/journal.pone.0230348.Search in Google Scholar
Nayak, R., Crouch, I., Kanesalingam, S., Ding, J., Tan, P., Lee, B., … Wang, L. (2018). Body armor for stab and spike protection, Part 1: Scientific literature review. Textile Research Journal, 88(7), 812–832. doi: 10.1177/0040517517690623.Search in Google Scholar
Nicholas, N. C., & Welsch, J. R. (2004). Institute for non-lethal defense technologies report: Ballistic gelatin. Fort Belvoir, VA: Defense Technical Information Center. doi: 10.21236/ADA446543.Search in Google Scholar
O’Callaghan, P. T., Jones, M. D., James, D. S., Leadbeatter, S., Holt, C. A., & Nokes, L. D. M. (1999). Dynamics of stab wounds: Force required for penetration of various cadaveric human tissues. Forensic Science International, 104(2), 173–178. doi: 10.1016/S0379-0738(99)00115-2.Search in Google Scholar
Palter, J. L. (1977). Design and construction of Australian spear-thrower projectiles and hand-thrown spears. Archaeology and Physical Anthropology in Oceania, 12(3), 161–172. doi: 10.1002/j.1834-4453.1977.tb00269.x.Search in Google Scholar
Pedersen, M. A., Berry, S. M., & Bossart, J. C. (2014). A comparative study on the effectiveness of fixed blade and mechanical broadheads. Journal of the Southeastern Association of Fish and Wildlife Agencies, 1, 163–166.Search in Google Scholar
Pétillon, J.-M. (2016). Experimental studies of prehistoric projectile points: A bibliography. https://www.academia.edu/29149287/Experimental_studies_of_prehistoric_projectile_points_a_bibliography.Search in Google Scholar
Pettigrew, D. B. (2015). The ballistics of archaic North American atlatls and darts. (Master’s thesis). Anthropology Department, University of Arkansas, Fayetteville, Arkansas. ProQuest (1587110). https://search.proquest.com/docview/1679469298/abstract/8B5DA24101844E4EPQ/1.Search in Google Scholar
Pettigrew, D. B. (2018). Ozark atlatls and darts: Old finds and new interpretations. Plains Anthropologist, 63(245), 4–25. doi: 10.1080/00320447.2017.1312147.Search in Google Scholar
Pettigrew, D. B. (2021). The origins and evolution of pre-industrial hunting weapons: Ongoing challenges and recent developments. (Ph.D.). Anthropology Department, University of Colorado Boulder, Boulder, Colorado. ProQuest (28861751). https://www.proquest.com/docview/2619532514/abstract/20DD12428FC54836PQ/1.Search in Google Scholar
Pettigrew, D. B., & Bamforth, D. B. (2023). On the (non-)scalability of target media for evaluating the performance of ancient projectile weapons. Open Archaeology, 9, 1–33. doi: 10.1515/opar-2022-0295.Search in Google Scholar
Pettigrew, D. B., & Garnett, J. (2015). Atlatls and darts of white dog cave, Arizona. The Atlatl, 28(2), 1–5.Search in Google Scholar
Pettigrew, D. B., Whittaker, J. C., Garnett, J., & Hashman, P. (2015). How atlatl darts behave: Beveled points and the relevance of controlled experiments. American Antiquity, 80(3), 590–601. doi: 10.7183/0002-7316.80.3.590.Search in Google Scholar
Pope, S. T. (1918). Yahi archery. Berkeley: University of California Press. http://www.worldcat.org/title/yahi-archery/oclc/14246774&referer=brief_results.Search in Google Scholar
R Core Team. (2022). R: A language and environment for statistical computing. Retrieved October 26, 2022, from R Foundation for Statistical Computing, Vienna, Austria https://www.r-project.org/.Search in Google Scholar
Reilly, G. A., McCormack, B. A. O., & Taylor, D. (2004). Cutting sharpness measurement: A critical review. Journal of Materials Processing Technology, 153–154, 261–267. doi: 10.1016/j.jmatprotec.2004.04.297.Search in Google Scholar
Sahle, Y., Ahmed, S., & Dira, S. J. (2023). Javelin use among Ethiopia s last indigenous hunters: Variability and further constraints on tip cross-sectional geometry. Journal of Anthropological Archaeology, 70, 101505. doi: 10.1016/j.jaa.2023.101505.Search in Google Scholar
Salem, P. E., & Churchill, S. E. (2016). Penetration, tissue damage, and lethality of wood-versus lithic-tipped projectiles. In Multidisciplinary approaches to the study of Stone Age weaponry (pp. 203–212). Dordrecht: Springer Science + Business Media.10.1007/978-94-017-7602-8_14Search in Google Scholar
SAS Institute Inc. (2022). JMP, version 15 [Electronic Document]. Retrieved October 26, 2022, from https://www.jmp.com/.Search in Google Scholar
Schoville, B. J., Wilkins, J., Ritzman, T., Oestmo, S., & Brown, K. S. (2017). The performance of heat-treated silcrete backed pieces in actualistic and controlled complex projectile experiments. Journal of Archaeological Science: Reports, 14, 302–317. doi: 10.1016/j.jasrep.2017.05.053.Search in Google Scholar
Sisk, M. L., & Shea, J. J. (2009). Experimental use and quantitative performance analysis of triangular flakes (Levallois points) used as arrowheads. Journal of Archaeological Science, 36(9), 2039–2047. doi: 10.1016/j.jas.2009.05.023.Search in Google Scholar
Sitton, J., Stenzel, C., Buchanan, B., Eren, M. I., & Story, B. (2022). Static penetration assessment of stone weapon tip geometry metrics and comparison of static penetration required energy to dynamic penetration depths. Archaeometry, 65, 463–479. doi: 10.1111/arcm.12841.Search in Google Scholar
Sitton, J., Story, B., Buchanan, B., & Eren, M. I. (2020). Tip cross-sectional geometry predicts the penetration depth of stone-tipped projectiles. Scientific Reports, 10(1), 13289. doi: 10.1038/s41598-020-70264-y.Search in Google Scholar
Smith, G. M., Noack, E. S., Behrens, N. M., Ruebens, K., Street, M., Iovita, R., & Gaudzinski-Windheuser, S. (2020). When lithics hit bones: Evaluating the potential of a multifaceted experimental protocol to illuminate middle palaeolithic weapon technology. Journal of Paleolithic Archaeology, 3, 126–156. doi: 10.1007/s41982-020-00053-6.Search in Google Scholar
Steinle, F. (1997). Entering new fields: Exploratory uses of experimentation. Philosophy of Science, 64, S65–S74. doi: 10.1086/392587.Search in Google Scholar
Stemp, J. W., Awe, J. J., Prufer, K. M., & Helmke, C. G. B. (2016). Design and function of lowe and sawmill points from the preceramic period of Belize. Latin American Antiquity, 27(3), 279–299. doi: 10.7183/1045-6635.27.3.279.Search in Google Scholar
Stemp, W. J., Macdonald, D. A., & Gleason, M. A. (2019). Testing imaging confocal microscopy, laser scanning confocal microscopy, and focus variation microscopy for microscale measurement of edge cross-sections and calculation of edge curvature on stone tools: Preliminary results. Journal of Archaeological Science: Reports, 24, 513–525. doi: 10.1016/j.jasrep.2019.02.010.Search in Google Scholar
Strickland, M. J., & Hardy, R. (2005). The great warbow: From hastings to the Mary Rose. Stroud: Sutton Publishing.Search in Google Scholar
Tomka, S. A. (2013). The adoption of the bow and arrow: A model based on experimental performance characteristics. American Antiquity, 78(3), 553–569.10.7183/0002-7316.78.3.553Search in Google Scholar
Toyoshima, S., & Miyashita, M. (1973). Force-velocity relation in throwing. Research Quarterly. American Association for Health, Physical Education and Recreation, 44(1), 86–95. doi: 10.1080/10671188.1973.10615180.Search in Google Scholar
Valletta, F., Smilansky, U., Goring-Morris, A. N., & Grosman, L. (2020). On measuring the mean edge angle of lithic tools based on 3-D models – A case study from the southern Levantine Epipalaeolithic. Archaeological and Anthropological Sciences, 12(2), 49. doi: 10.1007/s12520-019-00954-w.Search in Google Scholar
Whittaker, J. C., Pettigrew, D. B., & Grohsmeyer, R. J. (2017). Atlatl dart velocity: Accurate measurements and implications for Paleoindian and Archaic archaeology. PaleoAmerica, 3(2), 161–181. doi: 10.1080/20555563.2017.1301133.Search in Google Scholar
Wood, J., & Fitzhugh, B. (2018). Wound ballistics: The prey specific implications of penetrating trauma injuries from osseous, flaked stone, and composite inset microblade projectiles during the Pleistocene/Holocene transition, Alaska U.S.A. Journal of Archaeological Science, 91, 104–117. doi: 10.1016/j.jas.2017.10.006.Search in Google Scholar
Wylie, A. (1985). The reaction against analogy. In M. B. Schiffer (Ed.), Advances in archaeological method and theory (pp. 63–111). San Diego: Academic Press. doi: 10.1016/B978-0-12-003108-5.50008-7.Search in Google Scholar
© 2023 the author(s), published by De Gruyter
This work is licensed under the Creative Commons Attribution 4.0 International License.
Articles in the same Issue
- Regular Articles
- A 2D Geometric Morphometric Assessment of Chrono-Cultural Trends in Osseous Barbed Points of the European Final Palaeolithic and Early Mesolithic
- Wealth Consumption, Sociopolitical Organization, and Change: A Perspective from Burial Analysis on the Middle Bronze Age in the Carpathian Basin
- Everything Has a Role to Play: Reconstruction of Vessel Function From Early Copper Age Graves in the Upper Tisza Region (Eastern Hungary)
- Urban Success and Urban Adaptation Over the Long Run
- Exploring Hypotheses on Early Holocene Caspian Seafaring Through Personal Ornaments: A Study of Changing Styles and Symbols in Western Central Asia
- Victims of Heritage Crimes: Aspects of Legal and Socio-Economic Justice
- On the (Non-)Scalability of Target Media for Evaluating the Performance of Ancient Projectile Weapons
- Small Houses of the Dead: A Model of Collective Funerary Activity in the Chalcolithic Tombs of Southwestern Iberia. La Orden-Seminario Site (Huelva, Spain)
- Bigger Fish to Fry: Evidence (or Lack of) for Fish Consumption in Ancient Syracuse (Sicily)
- Terminal Ballistics of Stone-Tipped Atlatl Darts and Arrows: Results From Exploratory Naturalistic Experiments
- First Archaeological Record of the Torture and Mutilation of Indigenous Mapuche During the “War of Arauco,” Sixteenth Century
- The Story of the Architectural Documentation of Hagia Sophia’s Hypogeum
- Iconographic Trends in Roman Imperial Coinage in the Context of Societal Changes in the Second and Third Centuries CE: A Small-Scale Test of the Affluence Hypothesis
- Circular Economy in the Roman Period and the Early Middle Ages – Methods of Analysis for a Future Agenda
- New Insights Into the Water Management System at Tetzcotzinco, Mexico
- How Linguistic Data Can Inform Archaeological Investigations: An Australian Pilot Study Around Combustion Features
- Leadership in the Emergent Baekje State: State Formation in Central-Western Korea (ca. 200–400 CE)
- Middle Bronze Age Settlement in Czeladź Wielka – The Next Step Toward Determining the Habitation Model, Chronology, and Pottery of the Silesian-Greater Poland Tumulus Culture
- On Class and Elitism in Archaeology
- Archaeology of the Late Local Landscapes of the Hualfín Valley (Catamarca, Argentina): A Political Perspective from Cerro Colorado of La Ciénaga de Abajo
- Review Article
- The State of the Debate: Nuragic Metal Trade in the Bronze Age and Early Iron Age
- A Review of Malta’s Pre-Temple Neolithic Pottery Wares
- Commentary Article
- Paradise Found or Common Sense Lost? Göbekli Tepe’s Last Decade as a Pre-Farming Cult Centre
- Special Issue Published in Cooperation with Meso’2020 – Tenth International Conference on the Mesolithic in Europe, edited by Thomas Perrin, Benjamin Marquebielle, Sylvie Philibert, and Nicolas Valdeyron - Part II
- The Time of the Last Hunters: Chronocultural Aspects of Early Holocene Societies in the Western Mediterranean
- Fishing Nets and String at the Final Mesolithic and Early Neolithic Site of Zamostje 2, Sergiev Posad (Russia)
- Investigating the Early-to-Late Mesolithic Transition in Northeastern Italy: A Multifaceted Regional Perspective
- Socioeconomic, Technological, and Cultural Adaptation of the Mesolithic Population in Central-Eastern Cantabria (Spain) in the Early and Middle Holocene
- From Coastal Sites to Elevated Hinterland Locations in the Mesolithic – Discussing Human–Woodland Interaction in the Oslo Fjord Region, Southeast Norway
- Exploitation of Osseous Materials During the Mesolithic in the Iron Gates
- Motorways of Prehistory? Boats, Rivers and Moving in Mesolithic Ireland
- Environment and Plant Use at La Tourasse (South-West France) at the Late Glacial–Holocene Transition
- Stylistic Study of the Late Mesolithic Industries in Western France: Combined Principal Coordinate Analysis and Use-Wear Analysis
- Mesolithic Occupations During the Boreal Climatic Fluctuations at La Baume de Monthiver (Var, France)
- Pressure Flakers of Late Neolithic Forest Hunter-Gatherer-Fishers of Eastern Europe and Their Remote Counterparts
- The Site Groß Fredenwalde, NE-Germany, and the Early Cemeteries of Northern Europe
- Special Issue on Archaeology of Migration: Moving Beyond Historical Paradigms, edited by Catharine Judson & Hagit Nol
- The Blurry Third Millennium. “Neolithisation” in a Norwegian Context
- Movement or Diaspora? Understanding a Multigenerational Puebloan and Ndee Community on the Central Great Plains
- Human Mobility and the Spread of Innovations – Case Studies from Neolithic Central and Southeast Europe
- The Thule Migration: A Culture in a Hurry?
- The Transformation of Domes in Medieval Chinese Mosques: From Immigrant Muslims to Local Followers
- Landscapes of Movement Along the (Pre)Historical Libyan Sea: Keys for a Socio-Ecological History
- Arab Migration During Early Islam: The Seventh to Eighth Century AD from an Archaeological Perspective
- Special Issue on Ancient Cultural Routes: Past Transportations Infrastructures as a Two-Way Interaction Between Society and Environment, edited by Francesca Fulminante, Francesca Mazzilli & Franziska Engelbogen
- The Impact of Transportation on Pottery Industries in Roman Britain
- The Role of the Road in Settling a Mountainous Region
- An Example of Geographic Network Analysis: The Case Study of the Fortore Valley (Molise and Apulia, Italy)
- Water, Communication, Sight, and the Location of Fortifications on the Strata Diocletiana (Syria) in Late Antiquity
- Transport, Interaction, and Connectivity
- Special Issue on Scales of Interaction in the Bronze and Iron Age Central Mediterranean, edited by Emily Holt & Davide Schirru
- Tracing Mobility Patterns of Buried Species of the Late Iron Age Funerary Staggered Turriform of Son Ferrer (Calvià, Spain)
- Approaching Interaction in Iron Age Sardinia: Multi-Scalar Survey Evidence from the Sinis Archaeological Project and the Progetto S’Urachi
- From the Atlantic to the Mediterranean and Back: Sardinia, Iberia, and the Transfer of Knowledge in Late Bronze Age Networks
- Special Issue on Bricks Under the Scope: Microscopic and Macroscopic Approaches to the Study of Earthen Architecture, edited by Marta Lorenzon, Moritz Kinzel, & Benjamín Cutillas-Victoria
- Earthen Architecture in Nordic Countries: Future Directions
- Earthen Architecture and Craft Practices of Early Iron Age Ramparts: Geoarchaeological Analysis of Villares de la Encarnación, South-Eastern Iberia
- Earthen Architecture in Southern Algeria: An Assessment of Social Values and the Impact of Industrial Building Practices
- Studying the Use of Earth in Early Architecture of Southwest and Central Asia
- Roof Tiles and Bricks of the Etruscan Domus dei Dolia (Vetulonia, Italy): An Archaeological and Archaeometric Study of Construction Materials
- The Building Blocks of Circular Economies: Rethinking Prehistoric Turf Architecture Through Archaeological and Architectural Analysis
- Undecorated Roman-Period Roof Tiles – An Old Material Providing New Results
- Turf Building in Iceland – Past, Present, and Future
- Special Issue on Past Sounds: New Perspectives in the Field of Archaeoacoustics, edited by Margarita Díaz-Andreu & Neemias Santos da Rosa
- Employing Psychoacoustics in Sensory Archaeology: Developments at the Ancient Sanctuary of Zeus on Mount Lykaion
- One, Two, Three! Can Everybody Hear Me? Acoustics of Roman Contiones. Case Studies of the Capitoline Hill and the Temple of Bellona in Rome
- Ringing Tone and Drumming Sages in the Crevice Cave of Pirunkirkko, Koli, Finland
- Music and Storytelling at Rock Art Sites? The Archaeoacoustics of the Urkosh Area (Russian Altai)
- Listening in Sacred Spaces: The Sanctuary of Poseidonia and Selinunte’s Main Urban Sanctuary
- Presenting Archaeoacoustics Results Using Multimedia and VR Technologies
- Special Issue on Reconsidering the Chaîne Opératoire: Towards a Multifaceted Approach to the Archaeology of Techniques, edited by Marie-Elise Porqueddu, Claudia Sciuto & Anaïs Lamesa
- Reconsidering the Chaîne Opératoire: At the Crossroad Between People and Materials
- Materiality of Plaster Vessels: The Problem of Southwest Asian Neolithic White Ware
- The Chaîne Opératoire Approach for Interpreting Personal Ornament Production: Marble Beads in Copper Age Tuscany (Italy)
- Seriality and Individualization: Carving the Fluted Sarcophagi from Hierapolis of Phrygia
- Making Vessels for the Dead: Pottery-Making Practices, Chaîne Opératoire and the Use of Grog (Crushed Sherds) as a Technological and Cultural Choice during Late and Inca Periods in the Northwestern Argentine Region (Southern Andes)
- An Invention Shading Light to the Socio-History of Bonneuil Quarry Basin: The Roadheaders with Rotating Drill Bits
- The Ugly Duckling: Understanding the Making of an Early Copper Age Atypical Ceramic Vessel from the Great Hungarian Plain
- Synopsis of a Treasure. A Transdisciplinary Study of Medieval Gold Workings Biographies
- Identification of Ceramic Traditions on the Prehistoric Mines of Gavà (Barcelona, Spain)
Articles in the same Issue
- Regular Articles
- A 2D Geometric Morphometric Assessment of Chrono-Cultural Trends in Osseous Barbed Points of the European Final Palaeolithic and Early Mesolithic
- Wealth Consumption, Sociopolitical Organization, and Change: A Perspective from Burial Analysis on the Middle Bronze Age in the Carpathian Basin
- Everything Has a Role to Play: Reconstruction of Vessel Function From Early Copper Age Graves in the Upper Tisza Region (Eastern Hungary)
- Urban Success and Urban Adaptation Over the Long Run
- Exploring Hypotheses on Early Holocene Caspian Seafaring Through Personal Ornaments: A Study of Changing Styles and Symbols in Western Central Asia
- Victims of Heritage Crimes: Aspects of Legal and Socio-Economic Justice
- On the (Non-)Scalability of Target Media for Evaluating the Performance of Ancient Projectile Weapons
- Small Houses of the Dead: A Model of Collective Funerary Activity in the Chalcolithic Tombs of Southwestern Iberia. La Orden-Seminario Site (Huelva, Spain)
- Bigger Fish to Fry: Evidence (or Lack of) for Fish Consumption in Ancient Syracuse (Sicily)
- Terminal Ballistics of Stone-Tipped Atlatl Darts and Arrows: Results From Exploratory Naturalistic Experiments
- First Archaeological Record of the Torture and Mutilation of Indigenous Mapuche During the “War of Arauco,” Sixteenth Century
- The Story of the Architectural Documentation of Hagia Sophia’s Hypogeum
- Iconographic Trends in Roman Imperial Coinage in the Context of Societal Changes in the Second and Third Centuries CE: A Small-Scale Test of the Affluence Hypothesis
- Circular Economy in the Roman Period and the Early Middle Ages – Methods of Analysis for a Future Agenda
- New Insights Into the Water Management System at Tetzcotzinco, Mexico
- How Linguistic Data Can Inform Archaeological Investigations: An Australian Pilot Study Around Combustion Features
- Leadership in the Emergent Baekje State: State Formation in Central-Western Korea (ca. 200–400 CE)
- Middle Bronze Age Settlement in Czeladź Wielka – The Next Step Toward Determining the Habitation Model, Chronology, and Pottery of the Silesian-Greater Poland Tumulus Culture
- On Class and Elitism in Archaeology
- Archaeology of the Late Local Landscapes of the Hualfín Valley (Catamarca, Argentina): A Political Perspective from Cerro Colorado of La Ciénaga de Abajo
- Review Article
- The State of the Debate: Nuragic Metal Trade in the Bronze Age and Early Iron Age
- A Review of Malta’s Pre-Temple Neolithic Pottery Wares
- Commentary Article
- Paradise Found or Common Sense Lost? Göbekli Tepe’s Last Decade as a Pre-Farming Cult Centre
- Special Issue Published in Cooperation with Meso’2020 – Tenth International Conference on the Mesolithic in Europe, edited by Thomas Perrin, Benjamin Marquebielle, Sylvie Philibert, and Nicolas Valdeyron - Part II
- The Time of the Last Hunters: Chronocultural Aspects of Early Holocene Societies in the Western Mediterranean
- Fishing Nets and String at the Final Mesolithic and Early Neolithic Site of Zamostje 2, Sergiev Posad (Russia)
- Investigating the Early-to-Late Mesolithic Transition in Northeastern Italy: A Multifaceted Regional Perspective
- Socioeconomic, Technological, and Cultural Adaptation of the Mesolithic Population in Central-Eastern Cantabria (Spain) in the Early and Middle Holocene
- From Coastal Sites to Elevated Hinterland Locations in the Mesolithic – Discussing Human–Woodland Interaction in the Oslo Fjord Region, Southeast Norway
- Exploitation of Osseous Materials During the Mesolithic in the Iron Gates
- Motorways of Prehistory? Boats, Rivers and Moving in Mesolithic Ireland
- Environment and Plant Use at La Tourasse (South-West France) at the Late Glacial–Holocene Transition
- Stylistic Study of the Late Mesolithic Industries in Western France: Combined Principal Coordinate Analysis and Use-Wear Analysis
- Mesolithic Occupations During the Boreal Climatic Fluctuations at La Baume de Monthiver (Var, France)
- Pressure Flakers of Late Neolithic Forest Hunter-Gatherer-Fishers of Eastern Europe and Their Remote Counterparts
- The Site Groß Fredenwalde, NE-Germany, and the Early Cemeteries of Northern Europe
- Special Issue on Archaeology of Migration: Moving Beyond Historical Paradigms, edited by Catharine Judson & Hagit Nol
- The Blurry Third Millennium. “Neolithisation” in a Norwegian Context
- Movement or Diaspora? Understanding a Multigenerational Puebloan and Ndee Community on the Central Great Plains
- Human Mobility and the Spread of Innovations – Case Studies from Neolithic Central and Southeast Europe
- The Thule Migration: A Culture in a Hurry?
- The Transformation of Domes in Medieval Chinese Mosques: From Immigrant Muslims to Local Followers
- Landscapes of Movement Along the (Pre)Historical Libyan Sea: Keys for a Socio-Ecological History
- Arab Migration During Early Islam: The Seventh to Eighth Century AD from an Archaeological Perspective
- Special Issue on Ancient Cultural Routes: Past Transportations Infrastructures as a Two-Way Interaction Between Society and Environment, edited by Francesca Fulminante, Francesca Mazzilli & Franziska Engelbogen
- The Impact of Transportation on Pottery Industries in Roman Britain
- The Role of the Road in Settling a Mountainous Region
- An Example of Geographic Network Analysis: The Case Study of the Fortore Valley (Molise and Apulia, Italy)
- Water, Communication, Sight, and the Location of Fortifications on the Strata Diocletiana (Syria) in Late Antiquity
- Transport, Interaction, and Connectivity
- Special Issue on Scales of Interaction in the Bronze and Iron Age Central Mediterranean, edited by Emily Holt & Davide Schirru
- Tracing Mobility Patterns of Buried Species of the Late Iron Age Funerary Staggered Turriform of Son Ferrer (Calvià, Spain)
- Approaching Interaction in Iron Age Sardinia: Multi-Scalar Survey Evidence from the Sinis Archaeological Project and the Progetto S’Urachi
- From the Atlantic to the Mediterranean and Back: Sardinia, Iberia, and the Transfer of Knowledge in Late Bronze Age Networks
- Special Issue on Bricks Under the Scope: Microscopic and Macroscopic Approaches to the Study of Earthen Architecture, edited by Marta Lorenzon, Moritz Kinzel, & Benjamín Cutillas-Victoria
- Earthen Architecture in Nordic Countries: Future Directions
- Earthen Architecture and Craft Practices of Early Iron Age Ramparts: Geoarchaeological Analysis of Villares de la Encarnación, South-Eastern Iberia
- Earthen Architecture in Southern Algeria: An Assessment of Social Values and the Impact of Industrial Building Practices
- Studying the Use of Earth in Early Architecture of Southwest and Central Asia
- Roof Tiles and Bricks of the Etruscan Domus dei Dolia (Vetulonia, Italy): An Archaeological and Archaeometric Study of Construction Materials
- The Building Blocks of Circular Economies: Rethinking Prehistoric Turf Architecture Through Archaeological and Architectural Analysis
- Undecorated Roman-Period Roof Tiles – An Old Material Providing New Results
- Turf Building in Iceland – Past, Present, and Future
- Special Issue on Past Sounds: New Perspectives in the Field of Archaeoacoustics, edited by Margarita Díaz-Andreu & Neemias Santos da Rosa
- Employing Psychoacoustics in Sensory Archaeology: Developments at the Ancient Sanctuary of Zeus on Mount Lykaion
- One, Two, Three! Can Everybody Hear Me? Acoustics of Roman Contiones. Case Studies of the Capitoline Hill and the Temple of Bellona in Rome
- Ringing Tone and Drumming Sages in the Crevice Cave of Pirunkirkko, Koli, Finland
- Music and Storytelling at Rock Art Sites? The Archaeoacoustics of the Urkosh Area (Russian Altai)
- Listening in Sacred Spaces: The Sanctuary of Poseidonia and Selinunte’s Main Urban Sanctuary
- Presenting Archaeoacoustics Results Using Multimedia and VR Technologies
- Special Issue on Reconsidering the Chaîne Opératoire: Towards a Multifaceted Approach to the Archaeology of Techniques, edited by Marie-Elise Porqueddu, Claudia Sciuto & Anaïs Lamesa
- Reconsidering the Chaîne Opératoire: At the Crossroad Between People and Materials
- Materiality of Plaster Vessels: The Problem of Southwest Asian Neolithic White Ware
- The Chaîne Opératoire Approach for Interpreting Personal Ornament Production: Marble Beads in Copper Age Tuscany (Italy)
- Seriality and Individualization: Carving the Fluted Sarcophagi from Hierapolis of Phrygia
- Making Vessels for the Dead: Pottery-Making Practices, Chaîne Opératoire and the Use of Grog (Crushed Sherds) as a Technological and Cultural Choice during Late and Inca Periods in the Northwestern Argentine Region (Southern Andes)
- An Invention Shading Light to the Socio-History of Bonneuil Quarry Basin: The Roadheaders with Rotating Drill Bits
- The Ugly Duckling: Understanding the Making of an Early Copper Age Atypical Ceramic Vessel from the Great Hungarian Plain
- Synopsis of a Treasure. A Transdisciplinary Study of Medieval Gold Workings Biographies
- Identification of Ceramic Traditions on the Prehistoric Mines of Gavà (Barcelona, Spain)