Startseite Lebenswissenschaften Energetic and exergetic analysis of a convective drier: A case study of potato drying process
Artikel Open Access

Energetic and exergetic analysis of a convective drier: A case study of potato drying process

  • Iman Golpour , Mohammad Kaveh , Reza Amiri Chayjan und Raquel P. F. Guiné EMAIL logo
Veröffentlicht/Copyright: 10. Oktober 2020

Abstract

This research work focused on the evaluation of energy and exergy in the convective drying of potato slices. Experiments were conducted at four air temperatures (40, 50, 60 and 70°C) and three air velocities (0.5, 1.0 and 1.5 m/s) in a convective dryer, with circulating heated air. Freshly harvested potatoes with initial moisture content (MC) of 79.9% wet basis were used in this research. The influence of temperature and air velocity was investigated in terms of energy and exergy (energy utilization [EU], energy utilization ratio [EUR], exergy losses and exergy efficiency). The calculations for energy and exergy were based on the first and second laws of thermodynamics. Results indicated that EU, EUR and exergy losses decreased along drying time, while exergy efficiency increased. The specific energy consumption (SEC) varied from 1.94 × 105 to 3.14 × 105 kJ/kg. The exergy loss varied in the range of 0.006 to 0.036 kJ/s and the maximum exergy efficiency obtained was 85.85% at 70°C and 0.5 m/s, while minimum exergy efficiency was 57.07% at 40°C and 1.5 m/s. Moreover, the values of exergetic improvement potential (IP) rate changed between 0.0016 and 0.0046 kJ/s and the highest value occurred for drying at 70°C and 1.5 m/s, whereas the lowest value was for 70°C and 0.5 m/s. As a result, this knowledge will allow the optimization of convective dryers, when operating for the drying of this food product or others, as well as choosing the most appropriate operating conditions that cause the reduction of energy consumption, irreversibilities and losses in the industrial convective drying processes.

Nomenclature

Adc

area of drying chamber [m2]

Cpda

specific heat of the air [J/kg K] or [J/kg °C]

Ein

inlet energy [kJ/s]

Eout

outlet energy [kJ/s]

EU

energy utilization [kJ/s]

EUR

energy utilization ratio

Ėx

exergy [kJ/s]

Ėxin

exergy inlet [kJ/s]

Ėxloss

exergy loss [kJ/s]

Ėxout

exergy outlet [kJ/s]

hdai

enthalpy of inlet air [kJ/kg]

hdao

enthalpy of outlet air [kJ/kg]

hfg

latent heat of vaporization of water [kJ/kg]

IP

improvement potential [kJ/s]

da

air mass flow rate [kg/s]

in

inlet mass flow [kg]

out

outlet mass flow [kg]

v

mass transfer rate [kg/s]

MC

moisture content [%]

p

significance level

SEC

specific energy consumption [kJ/kg]

T

temperature [°C] or [K]

Va

velocity of the air [m/s]

w

weight of product [kg]

wdao

humidity of the air [kg/kg]

Greek Symbols

ρa

specific mass of the air [kg/m3]

ηex

exergy efficiency

φ

environment air relative humidity [%]

1 Introduction

Until now, food drying constitutes an operation very much in use in the food industry either as a final or as an intermediate operation for the preservation of foods (Nazghelichi et al. 2010). Fresh fruits and vegetables are extremely perishable because of their high moisture content (MC). Drying is most commonly used in a diversity of thermal energy applications as one of the most convenient methods that minimize product loss while at the same time turning the packing, handling and transporting operations easier and cheaper, due to the lower weight and volume of the dried products (Stanisławski 2005; Golpour et al. 2017). One of the crucial problems when analysing drying operations is to seek the reduction in the costs associated with energy sources, in order to increment efficiency in drying facilities while also leading to dried products of high quality (Doymaz 2012; Darvishi et al. 2014). Convective drying done with the circulation of heated air remains as the most widespread method employed to reduce the moisture in fruits and vegetables with a high ratio of heat and mass transfer (Kaleta et al. 2013; Kaveh et al. 2018).

Thermodynamic analysis plays a pivotal role when analysing the efficiency of energy utilization (EU) in industrial processes. Furthermore, exergy analysis, in particular, has proven as an essential instrument to design, analyse and optimize thermal systems. This aims at evaluating the energy available at different points of the system and offers useful information that allows choosing appropriate operating conditions and parameters to design engineering systems (Aghbashlo et al. 2008). Exergy is defined as the maximum work produced in a system to take it to an equilibrium state with the environment, taken as reference (Castro et al. 2018). In thermodynamics, the exergy efficiency offers a real measure of the performance of drying operations.

Some studies have been done to analyse exergy in drying operations. By analysing the energy and exergy in a system for drying of chilli pepper pieces, Akpinar (2004) found that the range of exergy for drying was from 67.28% to 97.92%. Additionally, it was also observed that the energy consumption ratio diminished with increasing temperature of the drying air, leading to an increase in the exergy efficiency (Akpinar 2004). When performing energy and exergy analyses for a solar drying process applied to pistachios, it was observed that the highest efficiency of exergy usage was achieved when exergy losses were minimal (Midilli and Kucuk 2003). Azadbakht et al. (2017) evaluated the energy and exergy loss for the drying of eggplant performed in a fluidized bed dryer. They studied the effects of independent variables such as temperature, flow rate of the drying air and sample size on the dependent variable energy consumption and exergy loss. Yu et al. (2020) studied energy and exergy efficiency for the convective drying of carrot cubes and concluded that the energy loss due to outlet air and also the irreversibility loss of thermodynamic process diminished both when the relative humidity of the drying air augmented. Yogendrasasidhar and Pydi Setty (2018) evaluated the exergy and energy analyses of Kodo millet and Fenugreek seeds dried in a fluidized-bed drier and found that the energy utilization ratio (EUR) increased with increasing temperature and air velocity and the exergy loss increased with increasing temperature but decreased with air velocity. Şevik et al. (2019) analysed the performance of two solar-based dryers for drying of mint leaves and apple slices based on the energy and exergy. They found that the energy efficiency was lower for the solar drier as compared with the solar drier assisted by an infrared lamp. Bühler et al. (2018) evaluated the energy and exergy performance of a milk processing industry and reported that their results could potentially be extended for the optimisation of other dairy industrial plants.

Potatoes are a very high-demand product in the consumer market all over the world and are widely available everywhere. Because drying is a way of conservation that eliminates many storage problems for potatoes, some studies have devoted to the drying of potatoes, using different methodologies and different approaches. Regarding the drying of potatoes, specifically, the work done by Djebli et al. (2020) presented the mathematical modelling of the drying process, but for the solar drying, i.e., using the Sun as an energy source. The work done by Qiu et al. (2019) focused on the drying of potato slices by different methods, but evaluated the product characteristics and functional properties. Also, the work done by Onu et al. (2020) focused on the drying of potatoes, but the aim was to optimize MC reduction.

The literature review showed that, although there is considerable information available for energy and exergy analyses in drying processes, there is a lack of knowledge about the effect of drying condition on energy and exergy for the convective drying of potatoes. Therefore, the objective of this study was to present energy and exergy analyses of potato in convective drying at different conditions of air temperature and air velocity and also to find the most suitable conditions to minimize EU and exergy losses during the drying of potatoes.

2 Material and methods

2.1 Sample preparation

Freshly harvested potatoes were purchased from a local market and maintained in double layers of polyethylene bags in a refrigerator at temperature 3 ± 1°C before the essays. The initial MC of fresh potato was determined by weight loss until constant weight using an oven dryer (70 ± 1°C for 24 h), and it was found to be 3.99 ± 0.30 (kg water/kg dry solids).

The potato slices were squared with 4 cm by 4 cm and the thickness was 4 mm.

2.2 Experimental equipment and procedure

The essays for the drying of potato samples were performed in a convection hot-air dryer developed in the Department of Biosystems Engineering, Bu-Ali Sina University, Iran (Figure 1). The dryer is a centrifugal fan comprising a single-phase electrical motor (0.375 kW), plus the air heating unit, which is located behind the fan, and has six heating parts (electrical with 2 kW). The drying chamber is cylindrical in shape, with 150 mm in diameter and 320 mm height. A digital thermostat (Model of Atbin mega, Iran) is used to control the entering air temperature, and an inverter (Model of Vincker VSD2, Taiwan) allows controlling the air velocity. Additionally, the properties of the air were also monitored, temperature and relative humidity, respectively, by a thermometer (Model of Lutron TM-903, Taiwan) and a hygrometer (Model of Lutron TM-903, Taiwan). The potato slices with 40 g were displayed on a single layer over the tray, which was then placed inside the chamber. The drying experiments were conducted at different drying air temperatures (40, 50, 60 and 70°C) and air velocities (0.5, 1.0 and 1.5 m/s). The temperature and relative humidity inside the drying chamber were recorded and also the inlet and outlet temperatures of drying air were registered for all essays.

Figure 1 Schematic representation of the laboratory-scale fluid-bed dryer.
Figure 1

Schematic representation of the laboratory-scale fluid-bed dryer.

2.3 Theoretical principle

2.3.1 Energy analysis

The generic equation for mass conservation of the drying air can be expressed as follows (Darvishi et al. 2014):

(1)min=mout

The general equation of energy conservation has the form given as follows:

(2)Ein=Eout

The EU calculated by applying the first law of thermodynamics (the principle of energy conversation) can be expressed as follows (Corzo et al. 2008):

(3)EU=mdahdaihdao

The air mass flow rate mda was obtained using the following equation (Aghbashlo et al. 2008):

(4)mda=ρaVaAdc

The enthalpy of drying air can be determined as follows (Nazghelichi et al. 2010):

(5)hda=CpdaTT+hfgw

The specific heat capacities (Cpda) of drying air inlet and outlet were obtained by (Nazghelichi et al. 2010) the following formula:

(6)Cpda=1.004+1.88w

Also, the following equation was generally used to calculate the humidity ratio of the air (kg water/kg dry air) (Akpinar 2004; Corzo et al. 2008):

(7)w=0.622φPvsPPvs

Humidity ratio of inlet and outlet air was calculated by the following (Akpinar 2004):

(8)wdao=wdai+mvmda

Moreover, the mass transfer rate mv is obtained by the given formula:

(9)mv=WtWt+ΔtΔt

The EUR of the drying chamber was calculated using the following equation (Midilli and Kucuk 2003):

(10)EUR=mdahdaihdaomdahdaihdae

One other relevant aspect to consider when finding the suitable conditions for drying processes is the amount of SEC. The energy necessary to dry 1 kg of fresh potato was calculated according to the following equation (Kaveh et al. 2018):

(11)SEC=Cpa+CpvVhTinTQtmv

2.3.2 Exergy analysis

The inlet, outlet and losses of global exergy were calculated based on the second law of thermodynamics. The values of the exergy flow at steady-state points and also the ratio of exergy variation for the process to perform the exergy analysis to the drying chamber were determined (Midilli and Kucuk 2003).

Accordingly, the general form of the applicable exergy equation was employed for steady-flow systems (Castro et al. 2018).

(12)Ex=mdaCpda(TTTlnTT

In this study, the exergy loss is the rate of exergy of evaporation for drying the products and the exergy input is the rate of exergy of the drying air entering the dryer column (Syahrul et al. 2002).

The exergy loss in the drying chamber can be determined as follows (Aghbashlo et al. 2008):

(13)Exloss=ExinExout

The exergy efficiency can be defined as the ratio of exergy use (investment) in the drying of the product to exergy of the drying air supplied to the system (Aghbashlo et al. 2008):

(14)ηex=ExinExlossExin=ExoutExin

In addition, the exergetic IP rate of the convective dryer was determined using the following equation (Khanali et al. 2013):

(15)IP˙=1ExExinExout

In this study, the ambient temperature and environment air relative humidity were taken as T = 293 K and φ = 20%, respectively.

2.4 Statistical analysis

A statistical treatment was applied to the results, by means of analysis of variance (ANOVA) aiming at identifying differences between the average values for some properties in between different groups (three or more groups). This was complemented with Tukey’s post hoc test to identify where the differences occurred. For all statistical treatments, SPSS software version 26 was used (SPSS Inc.) and a level of significance of 5% was considered when conducting the analyses.

3 Result and discussion

3.1 Energy analysis

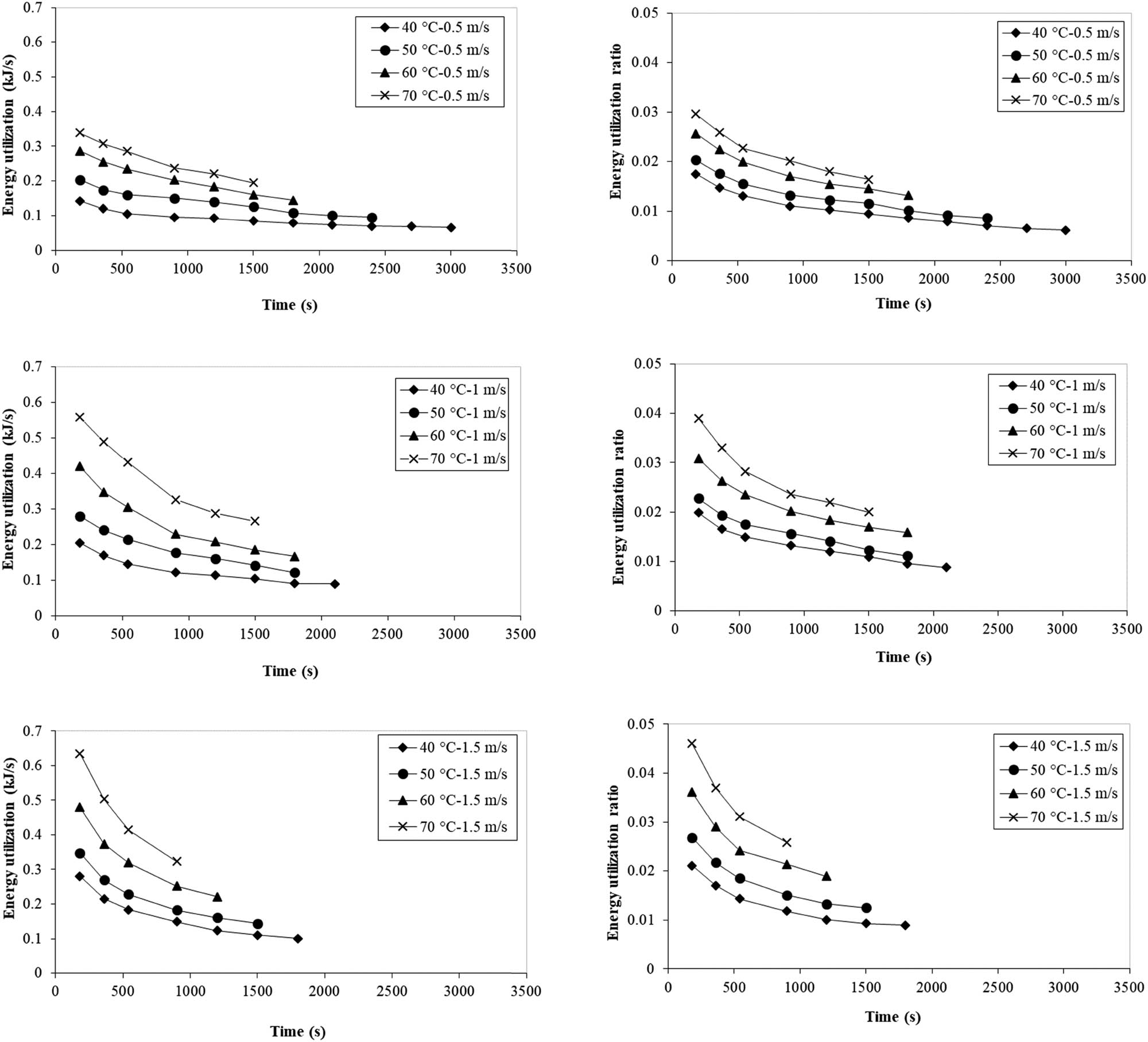
The energy analysis of convective drying of potato slices was performed based on the data obtained from the experimental essays. Figure 2 presents the experimental curves for EU and EUR, obtained for the convective drying of potato samples at four levels of air temperature (40, 50, 60 and 70°C) and three levels of air velocity (0.5, 1.0 and 1.5 m/s). The curves showed that the maximum values of EU and EUR were 0.634 kJ/s and 0.046, respectively, corresponding to the air temperature of 70°C and the air velocity of 1.5 m/s. Moreover, the minimum values of EU and EUR were 6.56 × 10−2 kJ/s and 0.006, respectively, for the inlet air temperature of 40°C and the flow rate of 0.5 m/s. The results also showed that EU and EUR decreased persistently along the drying process. The EU and EUR were higher at the beginning of the drying process, because of the fast moisture evaporation from the potato samples, and then both decreased rapidly because the remaining moisture evaporates from the sample at a much slower rate. Consequently, the results showed that the EU and EUR increased with increasing temperature of the drying air, regardless of the airflow rate, because higher temperatures lead to a faster reduction in the MC of the product. In this way, higher temperatures promote more intense heat transfer leading to higher mass transfer in the diffusion of the water from inside the food and its evaporation at the surface. Therefore, it can be hypothesized that most of the energy supplied to the drying apparatus was utilized to promote the moisture evaporation from the potato samples, thus being eliminated at the cost of increased energy spending. Similar outcomes have been found by some authors who studied how the air temperature influenced EU and EUR for different systems (Midilli and Kucuk 2003; Akpinar 2004; Nazghelichi et al. 2010). Akpinar (2004) reported the values of EU in the range of 190 to 3,733 J/s for convective drying of red peppers in the temperature range from 55 to 70°C. Midilli and Kucuk (2003) reported the EU values between 0 and 891 J/s for the drying of pistachio. The values of EU found by Nazghelichi et al. (2010) for the drying of carrot cubes were in the range of 105 to 1,949 J/s.

Figure 2 Influence of drying air temperature and flow rate on EU and EUR during drying of potatoes in convective dryer.
Figure 2

Influence of drying air temperature and flow rate on EU and EUR during drying of potatoes in convective dryer.

Table 1 presents the values of SEC for the different experimental essays for the convective drying of potatoes, i.e., at different temperatures and flow rates. The results showed that for all drying conditions tested, SEC values increased with increasing temperature and also that increasing airflow rate caused a pronounced growth in SEC. The maximum value of SEC for potato drying was 3.14 × 105 kJ/kg and it was obtained for the drying with hot air at 70°C and 1.5 m/s, while the minimum value of SEC was 1.94 × 105 kJ/kg, for 40°C and 0.5 m/s. The high values of SEC found for high temperatures and air velocities can be explained by the additional cooling of the sample surface that happens due to these experimental conditions.

Table 1

Specific energy consumption for the thin-layer convective drying of potatoes

Temperature (°C)SEC (kJ/kg)
0.5 m/s1 m/s1.5 m/s
401.94 × 1052.10 × 1052.21 × 105
502.22 × 1052.41 × 1052.65 × 105
602.46 × 1052.69 × 1052.95 × 105
702.60 × 1052.85 × 1053.14 × 105

3.2 Exergy analysis

3.2.1 Exergy loss

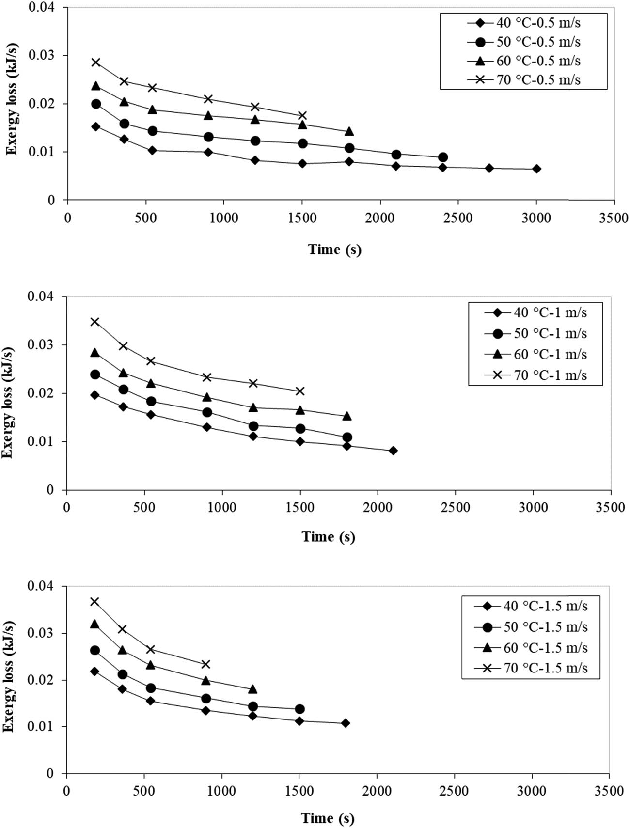
Figure 3 shows the influence of drying air temperature and flow rate on the exergy loss for the convective drying of potato slices. The results illustrated that the exergy loss augmented with increasing air temperature and velocity. The range of values for exergy loss was 0.006–0.037 kJ/s for all air temperatures and velocities essayed, corresponding the highest value to the operating conditions of air velocity 1.5 m/s and temperature 70°C, while the lowest value was for the air temperature of 40°C and air velocity of 0.5 m/s. These results indicate that by increasing the temperature and velocity, a growth is observed in the input exergy to the drier, meaning that a larger quantity of the input exergy is underutilized, leaving the drier without being used to evaporate the moisture contained in the potato samples. Moreover, due to a decrease in the global heat transfer coefficient, the exergy loss rate diminishes at lower values of the drying air temperature and velocity (Dincer and Sahin 2004). Similar findings were reported in the works of Nazghelichi et al. (2010) and Azadbakht et al. (2017). Nazghelichi et al. (2010) reported the values of exergy loss in the range of 0.2 to 1.6 kJ/s and Azadbakht et al. (2017) in the range of 1 to 4 kJ/s. Finally, these results show that only a small part of exergy is used, so that some energy is still available when the air leaves the drying chamber.

Figure 3 Influence of air temperature and velocity on the exergy losses for the drying of potato slices.
Figure 3

Influence of air temperature and velocity on the exergy losses for the drying of potato slices.

3.2.2 Exergy efficiency

Figure 4 presents how the drying air temperature and velocity influenced the exergy efficiency for the thin-layer drying of potato slices. The results indicate that the exergy efficiency raised with increasing air temperature but diminished for increasing air velocity. Similar results were also obtained in other works (Colak and Hepbasli 2007; Khanali et al. 2013). Colak and Hepbasli (2007) found the values of exergy efficiency increasing from 69% to 92% for a temperature increase in the range of 40 to 70°C and also Khanali et al. (2013) reported the increase of exergy efficiency from 64% to 85% with increasing temperature in the range of 50 to 70°C.

Figure 4 Influence of air temperature and velocity on the exergy efficiency for the drying of potato slices.
Figure 4

Influence of air temperature and velocity on the exergy efficiency for the drying of potato slices.

The energy use was raised because of the highest quantity of energy supplied to the system, which was used for the moisture evaporation. Anyway, increasing the drying air temperature causes an increase in the exergy efficiency, being this effect due to the fact that the surface of the product is saturated with moisture, thus needing more heat to evaporate the free moisture. Nevertheless, when this moisture concentration on the surface becomes lower, moisture starts diffusing from the internal structure of the potato samples to the surface (Rabha et al. 2017). Additionally, for higher airflow rates, a decrease is observed in the output air exergy as compared to the input air exergy. In this way, the exergy efficiency is equal to 85.85%, 82.90% and 80.62% for a temperature of 70°C and air velocities equal to 0.5 m/s, 1 and 1.5 m/s, respectively. The minimum and maximum values of exergy efficiency were 57.07% and 85.85% at air temperatures of 40°C and 70°C and drying air velocities of 1.5 m/s and 0.5 m/s, respectively. Therefore, for the drying temperature of 70°C, the exergy efficiency was above 80%, which was slightly higher when compared to the values of about 73% reported by Castro et al. (2018) for onion drying by convection dryer. This is relevant given the importance that exergy efficiency has for the industrial processes, both at the economic and energetic levels.

The results obtained noticeably indicate the outflow exergy of the drying system as being the most problematic issue in terms of thermodynamic inefficiency, revealing that a large portion of the thermal exergy provided to the system is lost through the outlet air. This is a clear problem for this kind of drying process. After this first factor, the second most significant contribution to an inefficient use of energy is consists in the exergy lost from the dryer when the temperature of the exterior boundary of the drier is higher than the ambient temperature. Consequently, minimizing the heat transfer across the boundary of the system, i.e., the drier walls, could mitigate the exergy lost. Measures such as isolating the dryer surroundings, sealing the dryer body, designing and selecting appropriate materials with heat barrier properties, as well as selecting the optimum drying conditions could all contribute to minimize the exergy lost and enhance the thermodynamic efficiency of industrial dryers.

Figure 5 shows the mean values of exergy efficiency considering each of the temperatures and each of the flow rates tested. The graph of Figure 5(a) is evidenced that the values obtained for each temperature (by varying the velocity) are relatively uniform, given the low values of the standard deviation. This further confirms that by increasing temperature exergy, the efficiency increases with significant differences between the values for 40 and 70°C, but not for the intermediate temperatures. Figure 5(b) also reveals that for specific air velocity, the values of exergy efficiency are also relatively similar, again with low values of standard deviation. It is also noticed that increasing the airflow rate slightly decreases the mean value of exergy efficiency, although these differences are not significant. These results allow verifying the relative influence of each of the variables over the exergy efficiency, which seems to be more influenced by temperature than air velocity in the range of experimental conditions tested.

Figure 5 Mean values of exergy efficiency for the drying of potato slices for: (a) fixed temperature or (b) fixed flow rate (bars with the same letter correspond to the values not significantly different according to ANOVA and Tukey’s post hoc test with p < 0.005).
Figure 5

Mean values of exergy efficiency for the drying of potato slices for: (a) fixed temperature or (b) fixed flow rate (bars with the same letter correspond to the values not significantly different according to ANOVA and Tukey’s post hoc test with p < 0.005).

3.2.3 Improvement potential rate

Figure 6 presents the values for the IP˙ rate of the drying chamber for the drying of potatoes, for variable air temperatures and velocities. The results show that the values of the IP˙ rate vary from 0.00164 to 0.00463 kJ/s so that the maximum IP rate obtained in the convective dryer was 0.00463 kW at the drying air temperature of 40°C and air velocity of 1.5 m/s, whereas the lowest value of the IP rate occurred at the drying air temperature of 40°C and the air velocity of 0.5 m/s. Beigi et al. (2017) reported the values between 27.3% and 59.21% for this parameter for the deep-bed drying of rough rice. Hence, the results showed that the values of the IP rate increased with raising the air velocity in the potato drying while the influence of the air velocity was not clear. Taking into account that the conservation of exergy is verified only for reversible processes, the observation of growth in exergy loss indicates a detachment from reversibility, causing IP rate to increase.

Figure 6 Influence of air temperature and velocity on the exergy IP rate for the drying of potato slices.
Figure 6

Influence of air temperature and velocity on the exergy IP rate for the drying of potato slices.

Figure 7 presents the results for exergy IP rate, for fixed temperature and fixed flow rate. The results indicate that there were no significant differences regarding the mean values obtained for each of the four temperatures studied, although the mean values increased very lightly with increasing temperature (Figure 7(a)). On the contrary, when the air velocity was increased, the IP rate increased, with significant differences between the mean values at 1.0 and 1.5 m/s (Figure 7(b)). These results indicate that the IP rate is more influenced by the airflow rate than by the temperature, for the conditions tested.

Figure 7 Mean values of exergy IP rate for the drying of potato slices for: (a) fixed temperature or (b) fixed flow rate (bars with the same letter correspond to the values not significantly different according to ANOVA and Tukey’s post hoc test with p < 0.005).
Figure 7

Mean values of exergy IP rate for the drying of potato slices for: (a) fixed temperature or (b) fixed flow rate (bars with the same letter correspond to the values not significantly different according to ANOVA and Tukey’s post hoc test with p < 0.005).

4 Conclusions

The exergy performance of the convective drying of potato slices was achieved for variable drying conditions, specifically inlet drying air temperature and flow rate. The EU, EUR, exergy loss and exergy efficiency increased with increasing drying temperature. The SEC increased with increasing air temperature and air velocity. The minimum exergy losses were observed for air velocity of 0.5 m/s and air temperature of 40°C, and contrarily, the maximum exergy losses were verified for an airflow rate of 1.5 m/s and air temperature of 70°C. The range of values for the exergy efficiency of the drying chamber was from 57.07 to 85.85%. So as to promote a more efficient usage of the energy and exergy, it is suggested to reuse the energy leaving the dryer by feeding it back to the drying chamber. Nevertheless, a full optimization study should be carried out in order to find the most suitable energy and exergy for this particular process, the thin-layer convective drying of potato slices.


tel: +351-232-226641, fax: +351-232-426536

Acknowledgments

This study is funded by National Funds through the FCT – Foundation for Science and Technology, I.P., within the scope of the project Ref.ª UIDB/00681/2020. Furthermore, we would like to thank the CERNAS Research Centre and the Polytechnic Institute of Viseu for their support.

  1. Conflict of interest: The authors declare that there is no conflict of interest.

References

[1] Aghbashlo M, Kianmehr MH, Arabhosseini A. Energy and exergy analyses of thin-layer drying of potato slices in a semi-industrial continuous band dryer. Drying Technol. 2008;26:1501–8. 10.1080/07373930802412231.Suche in Google Scholar

[2] Akpinar EK. Energy and exergy analyses of drying of red pepper slices in a convective type dryer. Int Commun Heat Mass Transfer. 2004;31:1165–76. 10.1016/j.icheatmasstransfer.2004.08.014.Suche in Google Scholar

[3] Azadbakht M, Ziaratban A, Torshizi MV, Aghili H. Energy and exergy analyses during eggplant drying in a fluidized bed dryer. Agric Eng Int CIGR J. 2017;19:177–82.Suche in Google Scholar

[4] Beigi M, Tohidi M, Torki-Harchegani M. Exergetic analysis of deep-bed drying of rough rice in a convective dryer. Energy. 2017;140:374–82. 10.1016/j.energy.2017.08.100.Suche in Google Scholar

[5] Bühler F, Nguyen T-V, Jensen JK, Holm FM, Elmegaard B. Energy, exergy and advanced exergy analysis of a milk processing factory. Energy. 2018;162:576–92. 10.1016/j.energy.2018.08.029.Suche in Google Scholar

[6] Castro M, Román C, chegaray M, Mazza G, Rodriguez R. Exergy analyses of onion drying by convection: influence of dryer parameters on its performance. Entropy. 2018;20:1–9. 10.20944/preprints201803.0152.v1.Suche in Google Scholar

[7] Colak N, Hepbasli A. Performance analysis of drying of green olive in a tray dryer. J Food Eng. 2007;80:1188–93. 10.1016/j.jfoodeng.2006.09.017.Suche in Google Scholar

[8] Corzo O, Bracho N, Vásquez A, Pereira A. Energy and exergy analyses of thin layer drying of coroba slices. J Food Eng. 2008;86:151–61. 10.1016/j.jfoodeng.2007.05.008.Suche in Google Scholar

[9] Darvishi H, Zarein M, Minaei S, Khafajeh H. Exergy and energy analysis, drying kinetics and mathematical modeling of white mulberry drying process. Int J Food Eng. 2014;10:269–80. 10.1515/ijfe-2013-0065.Suche in Google Scholar

[10] Dincer I, Sahin AZ. A new model for thermodynamic analysis of a drying process. Int J Heat Mass Transfer. 2004;47:645–52. 10.1016/j.ijheatmasstransfer.2003.08.013.Suche in Google Scholar

[11] Djebli A, Hanini S, Badaoui O, Haddad B, Benhamou A. Modeling and comparative analysis of solar drying behavior of potatoes. Renewable Energy. 2020;145:1494–506. 10.1016/j.renene.2019.07.083.Suche in Google Scholar

[12] Doymaz I. Infrared drying of sweet potato (Ipomoea batatas L.) slices. J Food Sci Technol. 2012;49:760–6. 10.1007/s13197-010-0217-8.Suche in Google Scholar

[13] Golpour I, Nejad MZ, Chayjan RA, Nikbakht AM, Guiné RPF, Dowlati M. Investigating shrinkage and moisture diffusivity of melon seed in a microwave assisted thin layer fluidized bed dryer. J Food Meas Charact. 2017;11:1–11. 10.1007/s11694-016-9365-5.Suche in Google Scholar

[14] Kaleta A, Górnicki K, Winiczenko R, Chojnacka A. Evaluation of drying models of apple (var. Ligol) dried in a fluidized bed dryer. Energy Convers Manage. 2013;67:179–85. 10.1016/j.enconman.2012.11.011.Suche in Google Scholar

[15] Kaveh M, Rasooli Sharabiani V, Amiri Chayjan R, Taghinezhad E, Abbaspour-Gilandeh Y, Golpour I. ANFIS and ANNs model for prediction of moisture diffusivity and specific energy consumption potato, garlic and cantaloupe drying under convective hot air dryer. Inform Process Agric. 2018;5:372–87. 10.1016/j.inpa.2018.05.003.Suche in Google Scholar

[16] Khanali M, Aghbashlo M, Rafiee S, Jafari A. Exergetic performance assessment of plug flow fluidised bed drying process of rough rice. Int J Exergy. 2013;13:387–408. 10.1504/IJEX.2013.057357.Suche in Google Scholar

[17] Midilli A, Kucuk H. Energy and exergy analyses of solar drying process of pistachio. Energy. 2003;28:539–56. 10.1016/S0360-5442(02)00158-5.Suche in Google Scholar

[18] Nazghelichi T, Kianmehr MH, Aghbashlo M. Thermodynamic analysis of fluidized bed drying of carrot cubes. Energy, The 3rd International Conference on Sustainable Energy and Environmental Protection, SEEP 2009, vol. 35; 2010. p. 4679–84. 10.1016/j.energy.2010.09.036.Suche in Google Scholar

[19] Onu CE, Igbokwe KP, Nwabanne TJ, Nwajinka OC, Ohale EP. Evaluation of optimization techniques in predicting optimum moisture content reduction in drying potato slices. Artif Intell Agric. 2020;4:39–47. 10.1016/j.aiia.2020.04.001.Suche in Google Scholar

[20] Qiu G, Jiang Y, Deng Y. Drying characteristics, functional properties and in vitro digestion of purple potato slices dried by different methods. J Integrat Agric. 2019;18:2162–72. 10.1016/S2095-3119(19)62654-7.Suche in Google Scholar

[21] Rabha DK, Muthukumar P, Somayaji C. Energy and exergy analyses of the solar drying processes of ghost chilli pepper and ginger. Renewable Energy. 2017;105:764–73. 10.1016/j.renene.2017.01.007.Suche in Google Scholar

[22] Şevik S, Aktaş M, Dolgun EC, Arslan E, Tuncer AD. Performance analysis of solar and solar-infrared dryer of mint and apple slices using energy-exergy methodology. Solar Energy. 2019;180:537–49. 10.1016/j.solener.2019.01.049.Suche in Google Scholar

[23] Stanisławski J. Drying of diced carrot in a combined microwave-fluidized bed dryer. Drying Technol. 2005;23:1711–21. 10.1081/DRT-200065129.Suche in Google Scholar

[24] Syahrul S, Hamdullahpur F, Dincer I. Exergy analysis of fluidized bed drying of moist particles. Exergy Int J. 2002;2:87–98. 10.1016/s1164-0235(01)00044-9.Suche in Google Scholar

[25] Yogendrasasidhar D, Pydi Setty Y. Drying kinetics, exergy and energy analyses of Kodo millet grains and Fenugreek seeds using wall heated fluidized bed dryer. Energy. 2018;151:799–811. 10.1016/j.energy.2018.03.089.Suche in Google Scholar

[26] Yu X-L, Zielinska M, Ju H-Y, Mujumdar AS, Duan X, Gao Z-J, et al. Multistage relative humidity control strategy enhances energy and exergy efficiency of convective drying of carrot cubes. Int J Heat Mass Transfer. 2020;149:119231. 10.1016/j.ijheatmasstransfer.2019.119231.Suche in Google Scholar

Received: 2020-04-27
Revised: 2020-06-03
Accepted: 2020-06-23
Published Online: 2020-10-10

© 2020 Iman Golpour et al., published by De Gruyter

This work is licensed under the Creative Commons Attribution 4.0 International License.

Artikel in diesem Heft

  1. Regular Articles
  2. Synergistic and antagonistic effects of soil applied P and Zn fertilizers on the performance, minerals and heavy metal composition of groundnut
  3. The Analysis of Nutritional Habits of the Third Age Students in Poznań
  4. Biochar, poultry manure and NPK fertilizer: sole and combine application effects on soil properties and ginger (Zingiber officinale Roscoe) performance in a tropical Alfisol
  5. Nutritional and functional properties of maize-oyster mushroom (Zea mays-Pleurotus ostreatus) based composite flour and its storage stability
  6. Rural Folks Perception of Suicide Drivers in rural communities of Delta State, Nigeria: Implications for Societal and Agricultural Security
  7. Evaluation of Potato (Solanum tuberosum L.) Varieties for Yield and Some Agronomic Traits
  8. Micropropagation, Callus Induction and Regeneration of Ginger (Zingiber officinale Rosc.)
  9. The impact of foliar feeding on the yield components of three winter rape morphotypes (Brassica napus L.)
  10. The effect of soil water content and biochar on rice cultivation in polybag
  11. Influence of Azospirillum brasilense associated with silicon and nitrogen fertilization on macronutrient contents in corn
  12. Effect of Christmas Island rock phosphate and rice straw compost application on soil phosphorus availability and maize (Zea mays L.) growth in a tropical acid soil of Kelantan, Malaysia
  13. The evolution of Romanian agritourism and the role of European Union subsidies in rural areas
  14. Assessment of crop farmers coping strategies to pastoralism/nomad activities in Nigeria
  15. Assessing yield stability in African yam bean (Sphenostylis stenocarpa) performance using year effect
  16. Walnut leaf extract-based green synthesis of selenium nanoparticles via microwave irradiation and their characteristics assessment
  17. Evaluating the water productivity by Aquacrop model of wheat under irrigation systems and algae
  18. Micronutrients status of mango (Mangifera indica) orchards in Multan region, Punjab, Pakistan, and relationship with soil properties
  19. Molecular studies for drought tolerance in some Egyptian wheat genotypes under different irrigation systems
  20. Biosynthesized silver nanoparticles using Ulva lactuca as a safe synthetic pesticide (in vitro)
  21. Development of SPE clean-up procedure for acrylamide determination from potato-based products by GC-MS/MS
  22. Insulative effect of plastic mulch systems and comparison between the effects of different plant types
  23. Trends and constraints in the production and utilization of cowpea leaves in the arid and semi-arid lands of Kenya
  24. Microbiome of abandoned agricultural and mature tundra soils in southern Yamal region, Russian Arctic
  25. Method of biochar application affects growth, yield and nutrient uptake of cowpea
  26. Identity gaps and negotiations among layers of young farmers: Case study in Indonesia
  27. Genetically modified crops in India: Experiments with Bt Cotton to explore the road ahead
  28. Effect of phyto-extracts of neem (Azadirachta indica) and garlic (Allium sativum) on leaf spot disease of groundnut (Arachis hypogaea L.)
  29. Influence of cellulose fibers on physicochemical properties of biodegradable films based on polysaccharide derivatives
  30. Do the determinants of food security differ in improved rice variety adoption? Evidence from Sierra Leone
  31. Assessment of yield components of some cassava (Manihot esculenta Crantz) genotypes using multivariate analysis such as path coefficients
  32. Microbiome of post-technogenic soils of quarries in the Republic of Bashkortostan (Russia)
  33. Occurrence of arbuscular mycorrhizal fungi spores in soils of some legumes and their response to varying concentrations of phosphorus application
  34. Baseline fertility status of a gravelly Alfisol in a derived savannah agro-ecological zone of Nigeria
  35. Effect of strain, sex and slaughter weight on growth performance, carcass yield and quality of broiler meat
  36. Palm oil plantation and cultivation: Prosperity and productivity of smallholders
  37. Seasonal normalized difference vegetation index responses to air temperature and precipitation in Baghdad
  38. Classification and geovisualization process of soil data using a web-based spatial information system
  39. Assessment of stakeholders’ contributions to livestock development in Delta State, Nigeria: Rural infrastructure intervention
  40. Linear and structural changes in rural space – the positive and problematic aspects (case of Latvia)
  41. Farmers’ responses to organic rice farming in Indonesia: Findings from central Java and south Sulawesi
  42. Interactive effects of Potato virus Y and Potato leafroll virus infection on potato yields in Uganda
  43. Adoption of agricultural practices with climate smart agriculture potentials and food security among farm households in northern Nigeria
  44. Green approach in gold, silver and selenium nanoparticles using coffee bean extract
  45. Value chain for agritourism products
  46. Trichoderma asperellum affects Meloidogyne incognita infestation and development in Celosia argentea
  47. Growth, chlorophyll content and productivity responses of maize to magnesium sulphate application in calcareous soil
  48. Gene action in low nitrogen tolerance and implication on maize grain yield and associated traits of some tropical maize populations
  49. Zambian farm blocks: A vehicle for increased private sector investments
  50. Farm size and its impact on land use: The case of the South African private wildlife industry
  51. Characterizing macropore structure of agrosoddy-podzolic soil using computed tomography
  52. Influence of priming on germination, development, and yield of soybean varieties
  53. Review Articles
  54. Zinc biofortification as an innovative technology to alleviate the zinc deficiency in human health: a review
  55. Biological management of allelopathic plant Parthenium sp.
  56. Microbial antagonists against plant pathogens in Iran: A review
  57. Communication
  58. Risk assessment of Ni, Cr, and Si release from alkaline minerals during enhanced weathering
  59. Phylogenetic relationships among accessions in Citrus and related genera based on the insertion polymorphism of the CIRE1 retrotransposon
  60. Gamma radiosensitivity study on wheat (Triticum turgidum ssp. durum)
  61. Special Issue on the 10th Circumpolar Agriculture Conference 2019
  62. Preface to the Special Issue on the 10th Circumpolar Agriculture Conference 2019
  63. Rumen bacterial community of young and adult of reindeer (Rangifer tarandus) from Yamalo-Nenets Autonomous District of Russia
  64. Carcass weight of Greenlandic lambs in relation to grazing area biomass
  65. Transnational cooperation to develop local barley to beer value chains
  66. Addition of biochar to acidic boreal podzolic soils enhances micronutrient availability and crop productivity
  67. Digitalisation in a local food system: Emphasis on Finnish Lapland
  68. Abandoned agricultural soils from the central part of the Yamal region of Russia: morphology, diversity, and chemical properties
  69. Fishing as an important source of food in the Arctic and subarctic zones of Yakutia
  70. Special Issue on the APA 2019 - 11th Triennial Conference
  71. Yield potential of sandponically produced sweetpotato (Ipomoea batatas (L.) Lam) pre-basic seed for selected genotypes
  72. Monitoring with social media: Experiences from “integrating” WhatsApp in the M&E system under sweet potato value chain
  73. Breeding farmer and consumer preferred sweetpotatoes using accelerated breeding scheme and mother–baby trials
  74. Decentralised sweetpotato (Ipomoea batatas) vine multiplication in Lake Zone, Tanzania: Five years later
  75. Mineral fertilizer use in land-scarce conditions: Case of Rwanda
  76. Assessment of the roles and farmer-preferred traits of sweetpotato in a crop-livestock farming system in Rwanda: implications for breeding dual-purpose varieties
  77. A public–private partnership to speed up potato breeding
  78. Dietary acrylamide intake by potato crisps consumers: A case of Nairobi County
  79. Special Issue on ICESAT 2019
  80. Biochemical activity and bioassay on maize seedling of selected indigenous phosphate-solubilizing bacteria isolated from the acid soil ecosystem
  81. Identifying best parameters of particleboard bonded with dextrin-based adhesives
  82. Performance of rice paddy varieties under various organic soil fertility strategies
  83. Improved strength properties of LVL glued using PVAc adhesives with physical treatment-based Rubberwood (Hevea brasiliensis)
  84. Evaluation and possible mechanism of beet armyworm (Spodoptera exigua Hubner) resistance to chlorpyrifos and their sensitivity to neem oil insecticides
  85. Fermented compost and N-fertilizer for enhancing the growth and productivity of purple eggplant on vertisols
  86. Bioactive peptide effect on brain activity identified by 2D brain mapping
  87. Shifting of microbial biodiversity and soil health in rhizomicrobiome of natural forest and agricultural soil
  88. Special Issue on CERNAS 2020
  89. Evaluation of consumer habits and knowledge about dietary fibre and fibre-rich products in Turkish population
  90. Evaluation of texture in jelly gums incorporating berries and aromatic plants
  91. Food choice motivations and perception of a healthy diet in a developing Mediterranean country
  92. The evolution of the milk sector in Portugal: Implications from the Common Agricultural Policy
  93. Energetic and exergetic analysis of a convective drier: A case study of potato drying process
  94. Cluster analysis to the factors related to information about food fibers: A multinational study
  95. Study of the drying kinetics and calculation of mass transfer properties in hot air drying of Cynara cardunculus
  96. Short food supply chains – a growing movement. The case study of the Viseu Dão Lafões Region
  97. Evaluation of phenolic compounds and antioxidant activity in some edible flowers
  98. Chemical composition and study on liquefaction optimization of chestnut shells
  99. Is organic agriculture a potential public health indicator? Evidence from literature
Heruntergeladen am 22.12.2025 von https://www.degruyterbrill.com/document/doi/10.1515/opag-2020-0058/html
Button zum nach oben scrollen