Abstract
The effect of paper properties on the strength of starch gluing for Kraft sack papers has been investigated. We analyzed the effect of surface roughness, wettability and glue penetration. Surface roughness was found not to be related to gluing strength, also surface wetting measured by contact angle showed only a weak relation. Liquid penetration measured by ultrasound (ULP) was found to have a substantial correlation to gluing strength. Comparing ULP liquid penetration speed with actual glue uptake during the gluing process we found that they are only moderately connected. We are attributing this to the fact that the penetration and spreading of the glue on the paper is driven by applying an external pressure during the gluing process, which is not the case for the liquid penetration measurement. Investigating how asymmetrical glue penetration affects gluing strength we found that the relationship was low. The best indication for gluing strength turned out to be the surface wetting/substrate swelling parameter from the ultrasonic liquid penetration measurement. We conclude that the main parameter capturing gluing strength combines the influence of fiber wetting and penetration of the glue into the fibers.
Introduction
Adhesive bonding is a process that joins two surfaces permanently together by application of an adhesive material. While this process is well understood for compact materials it gets more complicated for porous fibre-based materials like paper. The paper packaging and board industry is the major consumer of natural product adhesives (Ashley et al. 1995) like starch, which finds a still increasing market due to its high performance, cost effectiveness and biodegradability (Pelton et al. 2001).
When it comes to failures of the adhesive bonding three different modes are taking place (Shires 1988), compare Figure 1:
adhesive failure: failure of the bond between adhesive and one of the adherends
cohesive failure: failure within the adhesive
substrate failure: failure within one of the two adherends
The strength of an adhesive bonding depends on various properties of both, paper and glue.
Wetting
The most frequently mentioned mechanism for successful bonding is a good wetting of the adhesive on the substrate (Williams et al. 1977, Kolegov 2017, Ebnesajjad and Landrock 2015, Korin et al. 2007, Zisman 1964, Habenicht 2006, Paris 2000, Edin et al. 2002). In other words the surface energy of paper has to be higher than the surface tension of the glue (Borch 1991). A corresponding measure for the wettability is the contact angle between liquid and paper (Bristow 1961, Huntsberger 1964). While most of the literature agrees that the relation between surface energy of the paper and surface tension of the liquid is decisive for a good adhesive bond (Habenicht 2006, Vähä-Nissi et al. 2009, Kolegov 2017, Zisman 1964) the direct correlation to the contact angle on the rough and porous paper surface has been questioned (Borch 1991). Daub and Göttsching (Daub and Göttsching 1988) for instance found that predicting adhesion to paper by measuring the contact angle did not provide useful results. It is also stated (Bristow 1961) that although the contact angle gives good prediction of adhesion in wet state the strength after glue setting is not directly related to it.
Penetration
Also glue penetration is mentioned to be important for the adhesive bonding process. The penetration matters at two stages: First good penetration provides a strong bond since the surface area of bonding is increased (Bristow 1961, Borch 1991, Daub and Göttsching 1988), second the fiber structure of the paper is reinforced by the penetrated starch (Johnson and Popil 2015). Also influenced by glue penetration is the drying process where water is removed and the remaining starch bonds to the cellulose fibers (Kroeschell 1990, Daub and Göttsching 1988, Paris 2000). Fast penetration provides good green bond strength (initial wet bond strength) which is necessary in corrugated board production. Kroeschell (Kroeschell 1990) claims that even if the penetration is an important factor for adhesive bond formation it is not responsible for adhesive bond failure. It seems that in most cases good penetration is desired, but too high glue uptake may also cause problems. If penetration is so strong that little or no adhesive is left at the interface no bonding can occur (Shires 1988). For instance gluing problems due to one extremely absorbing paper can be resolved by applying the glue first to the paper with less penetration (Shires 1988, Bristow 1961).
Sizing
One paper property that influences gluing is the amount of sizing during the production process. With increasing sizing the paper becomes increasingly hydrophobic, which affects the paper-adhesive interactions. While studies with hot melt adhesives (Edin et al. 2002, Vähä-Nissi et al. 2009) showed no influence on gluing strength with increased AKD sizing, others find that the appearance of adhesive failure increases with sizing intensity (Kroeschell 1990, Borch 1991, Johnson and Popil 2015).
Roughness
In basic literature on gluing (Ebnesajjad and Landrock 2015, Kolegov 2017, Kücükpinar and Langowski 2012, Korin et al. 2012) it is emphasized that a rough surface increases the adhesive bonding area and promotes mechanical interlocking with the glue, which both reinforces the bond. Accordingly, it is common practise in converting to apply the glue on the rougher side of the paper. Nevertheless, also no difference in gluing strength was reported upon a smoothness increase from fiber beating or paper calendering (Edin et al. 2002). Most of the literature dealing specifically with gluing of paper finds that a rough surface promotes substrate failure (Pelton et al. 2001, Hoffman et al. 1971, Borch 1991, Ebnesajjad and Landrock 2015). In summary substrate roughness is mostly found to be beneficial for gluing.
Analysis in industrial practice
In industrial practice often the paper-water interaction is analyzed instead of using glue, as it also correlates well with the gluing performance. Standard measurements to analyze water absorption are Cobb test (ISO standard 535), Hercules size test (TAPPI standard T530) and the water drop absorption test (TAPPI standard 835). For surface wetting the water contact angle is analyzed. Another approach is to analyze the rate of contact angle decay. Contact angle rate is a combined measure of surface wetting and liquid penetration, it strongly depends on the drop size (Krainer and Hirn 2021).
Aim of the work
The aim of the present work is to quantify the relevance of the individual mechanisms that are claimed to be related to gluing strength: contact angle, amount of glue penetrated, evenness of glue penetration on both sides on the paper, initial wetting and mechanical interlocking between glue and paper. Research was focused on comparing the gluing strength to the penetration behaviour of glue into paper, which was evaluated with ultrasonic liquid penetration measurement (ULP) as well as gravimetrically after the gluing process. Also the problem of gluing differently absorbing papers is addressed.
Materials and methods
Papers
Eight different commercial sack paper grades from industrial production (four bleached and four unbleached of each grade) were tested on top and on wire side. Those papers showed a large variation in their water penetration behaviour due to different degrees of internal sizing. All the tested papers are grades used for powder filled sacks and thus have a high air permeability between 14 s and 25 s Gurley (ISO 5636-5). We used the following grades:
Two unsized papers, which are highly water absorbing.
Two sized papers with medium water absorption, i. e. a Cobb value of 25–31 g/m2.
Two sized and clupaked papers, also with medium water absorption, i. e. a Cobb value of 26–32 g/m2. Clupaked means that it is a semi-extensible sack paper that has been crepped on the paper machine in a Clupak process.
Two hard sized papers which are water repellant, i. e. a Cobb value below 1 g/m2.
Glue
In this study the dispersion glue Collabond 8017 from Agrana Stärke GmbH was used. This adhesive is based on chemically modified corn starch, which is treated for solubility in cold water. The product is delivered as a light yellowish powder to be mixed with water in a gravimetric ratio of 1 part starch and 5 parts of distilled water, which corresponds to a suspension solids content of 17 %. The glue was analyzed and applied to the paper at a temperature of 23 °C. At this temperature the glue had a viscosity of 98 s with Ford 6 cup, which corresponds to a Brookfield viscosity of about 2000 mPas (measured at 100 rpm with spindle 5).
Gluing strength
For the determination of adhesive bond strength a T-peel test was used similar to (Ebnesajjad and Landrock 2015), compare Figure 2. The glue was always applied on the paper with lower penetration, further designated as bottom paper, while the so called lid paper with better penetration was put on top. Ten stripes of bottom paper and ten stripes of lid paper were cut into pieces of

T-peel test to evaluate the strength of an adhesive bond.
Contact angle
The contact angle measurement was performed using a Fibro DAT 1100 instrument. All measurements were carried out with 3 µl drop size. Once a drop is released onto the substrate’s surface, the instrument starts taking pictures of the drop, as shown in Figure 3. A tangent was fitted to the drop’s outline at the contact point between paper and liquid using digital image analysis, and the contact angle (Figure 3, red line) was calculated. The initial contact angle was defined as the angle measured at

Picture of 3 µl glue drop on paper surface taken by Fibro DAT 1100, with marked tangent fitting for contact angle measurement.
Ultrasonic liquid penetration measurement
The Emtec Penetration Dynamics Analyser 2.0 was used for all ultrasonic measurements (Hernádi et al. 2003), Figure 5. As a testing liquid we used starch glue as described in the Materials and methods section. The paper samples (8) were cut to a rectangle of

Measurement principle of the ultrasonic liquid penetration measurement (Krainer and Hirn 2018).

Ultrasonic liquid penetration instrument (Krainer and Hirn 2018).
A typical measurement result is shown in Figure 6, it is from sized unbleached paper measured with starch glue as testing liquid. The curve is the mean value of 5 paper samples. The time until maximum intensity

Results from ULP measurement showing the intensity of the ultrasonic signal over
Penetration amount
For evaluating the penetration amount of glue into the paper a gravimetric method was used. 10 bottom and 10 lid paper samples were cut into pieces of
The ratio of the glue amount in the two papers was taken as a measure how equally the glue is distributed between each side. A penetration amount ratio of 1.0 indicates equal amounts of glue in bottom and lid paper. The more the number differs from 1.0 the less equal the glue was distributed.
Results
For the main part of the work the same paper and side were glued together, in order to show the influence of the paper properties roughness, contact angle and penetration behaviour on the gluing strength. Another part was investigating the effect of uneven glue distribution on gluing strength by pairing papers with different glue absorption. The color coding and symbols consistently used throughout the manuscript are explained in Figure 15 in the Appendix.
Failure mode
For all except one paper all gluing spots showed clear adhesive failure, i. e. the gluing spots were failing at the interface between glue and paper. From the unsized paper in several cases individual fibers were ripped out of the papers which indicates the initial onset of substrate failure. Thus we can conclude that the results in this work are reflecting differences in adhesive failure at the interface between glue and paper. A more detailed analysis can be found in (Dohr 2019).
Roughness and contact angle
The first paper parameter investigated is the roughness of the papers surface, which was between

Surface roughness plotted over the gluing strength.
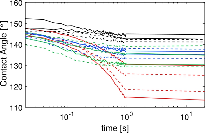
The contact angle characterizes the wetting behavior of a liquid on a surface, which is essential for the paper-glue interaction. Due to the fact that the contact angle after
As expected for a lower contact angle (better wetting) higher gluing strength can be observed, however the correlation is moderate,

Contact angle curves over
Glue penetration
The penetration speed measured with the ultrasonic measurement method showed a clear relation to the gluing strength with

Contact angle measured after 2 s over the measured gluing strength (T-peel test).

Penetration speed measured with ULP measurement plotted over the gluing strength of equally paired papers.
Water penetration
We also measured the ultrasonic liquid penetration curves for all the papers using distilled water as testing liquid, the resulting curves can be found in the electronic supplementary information. For all sized papers the curves showed equivalent trends for water and glue. For the unsized paper, however, the penetration of water was very much faster than glue, leading to quite different curves. We conclude that for evaluation of the gluing performance of unsized papers we recommend to use glue (and not water) as a testing liquid for ultrasonic testing. For sized papers ultrasonic measurements with water as a testing liquid gave quite similar results like measurements with glue.
Gluing papers having different liquid absorption
Gluing a highly absorbing paper to a non-absorbing paper can be difficult (Shires 1988, Bristow 1961). In this work we are also analyzing how the distribution of the glue between the individual papers is influencing the gluing strength. For that we selected paper pairings with an increasing difference in ULP liquid penetration speed.
In Figure 11 six combinations of papers are shown, with a continuously increasing ratio of ULP penetration speed. An equal paper paring is represented by a ratio of 1 meaning that bottom and lid paper had the same penetration speed. The poorest pairing consisted of the paper with slowest penetration speed for the bottom paper and the fastest one (18 times faster) for the lid paper. Figure 12 shows the glue penetration amount ratio for these six papers. The penetration amount ratio quantifies out how equally the glue is distributed between the two paper sides after the paper gluing. A value of 1 means equal distribution, the more the value differs from 1 the more uneven the glue had penetrated into the two papers glued together.

The 6 paper pairings with increasing difference in liquid penetration behaviour (from left to right) used to study asymmetric gluing penetration.

Ratio of penetration amount in the gluing experiments plotted over the 6 paper pairings with increasingly different ULP liquid penetration speed. Even when papers with very different liquid penetration speed were glued together they ended up with a fairly similar distribution of glue on both sides after the gluing process.
When comparing Figure 12 with Figure 11 it can be seen that the ratio of liquid penetration speed does not coincide with the ratio of glue penetrated to the different sides in the gluing process. First the continuously increasing difference in penetration speed in Figure 11 is not reflected in a continuous increase in Figure 12. Second the values for the liquid penetration speed ratios are higher (between 1 and 18) compared to the glue amount ratio (between 1 and 1.4). Both mismatches can be explained by the difference in measurement methods. While the glue liquid penetrated freely into the paper during the ULP measurement an external pressure was applied in the gluing trials forcing the glue to penetrate into the paper.
This leads to the conclusion that a higher penetration speed of the glue in the paper (ULP measurement) does not correspond to a bigger amount of glue uptake by the paper in the gluing process. Furthermore it demonstrates that, when studying glue penetration in packaging applications, it is highly relevant to choose a measurement technique that correctly reflects the external pressure on the gluing spot.
In Figure 13 the ratio of glue penetration amount is plotted over the gluing strength for the 6 paper pairings. The unequal pairing which showed the worst ratio (around 1.4) had a better gluing strength than the equal pairing with a value of 1, i. e. symmetrical glue penetration.
The fact that this parameter shows a worse correlation than the penetration speed parameter from ULP measurement is surprising because the penetration in the gluing process for the subsequent T-peel strength test is forced by an external pressure while the ULP method measures free penetration of the glue into the paper. Anyway, the results suggest that an uneven distribution of glue, within the range of the industrial papers tested in this work, does not affect gluing strength.

Gluing strength plotted over penetration amount ratio for the 6 paper pairings. Asymmetrical glue penetration (1.4, right) gave the same gluing strength as symmetrical glue penetration (1, left).

Time to maximum
Ultrasonic measurement of fiber swelling/wetting time
Time of maximum
Statistical analysis
Multiple regression analysis was carried out in order to quantify the combined influence of the investigated variables. Considering the high value
Conclusions
In this study the impact of paper properties like roughness, penetration behaviour, wetting and glue uptake on the gluing strength was evaluated. We tested 8 commercial sack paper grades representing the different levels of water repellence available on the market.
Paper roughness did not shown any relation to the strength of the gluing spot, which demonstrates that mechanical interlocking at the size scale of paper surface roughness does not contribute to the adhesive bond strength, a contradiction to other findings in the literature (Ebnesajjad and Landrock 2015, Kolegov 2017, Kücükpinar and Langowski 2012). Surface wetting of the glue evaluated by contact angle measurements revealed the expected relationship between lower contact angle and higher gluing strength. However the correlation was moderate,
Glue penetration speed measured with the ULP measurement showed a significant relationship with adhesive bond strength, however the correlation can only partly predict the gluing strength,
The best indication for gluing strength turned out to be the
Funding source: Bundesministerium für Wissenschaft, Forschung und Wirtschaft
Funding statement: The financial support by the Austrian Federal Ministry of Science, Research and Economy and the National Foundation for Research, Technology and Development is gratefully acknowledged. Finally we want to mention the financial contributions of the industrial partners Mondi, Kelheim and SIG Combibloc.
Acknowledgments
The authors wish to thank Gilles Berger, Reinhard Kainz and Uwe Vogelskamp for interesting discussions.
-
Conflict of interest: The authors declare no conflicts of interest.
Appendix

Color coding for paper samples described in the Materials and Methods section. The filled symbols are the unbleached papers, the unfilled symbols are bleached papers. Circle is the top side, square is the bottom side of the paper.
References
Borch, J. (1991) Thermodynamics of polymer-paper adhesion: a review. J. Adhes. Sci. Technol. 523–541.10.1163/156856191X00729Search in Google Scholar
Bristow, J. (1961) Factors influencing the gluing of paper and board – a survey of the published literature. Sven. Papp.tidn. 64(11):775–795.Search in Google Scholar
Daub, E., Göttsching, L. (1988) Verkleben und Verklebbarkeit von Wellpappenpapieren. Papier 47(7):346–352.Search in Google Scholar
Dohr, C. Influence of paper properties on starch glue bond strength. Technical report, Masters Thesis. Graz University of Technology, 2019.Search in Google Scholar
Ebnesajjad, S., Landrock, A.H. Adhesives Technology Handbook. 3rd edition, Chapter 1 – introduction and adhesion theories. William Andrew Publishing, Boston, 2015.10.1016/B978-0-323-35595-7.00001-2Search in Google Scholar
Edin, M., Ödberg, L., Sterte, J. (2002) Hot melt adhesion of liner sized with alkylketene dimer. Nord. Pulp Pap. Res. J. 17(1):395–400.10.3183/npprj-2002-17-04-p395-400Search in Google Scholar
Habenicht, G. Kleben: Grundlagen, Technologien, Anwendungen. Springer-Verlag, 2006.10.1007/3-540-31223-4Search in Google Scholar
Hernádi, A., Lele, I., Rab, A. (2003) Correlation between initial wettability and sheet making properties of secondary fibres. Papiripar 47(5):167–171.Search in Google Scholar
Hoffman, G., Becher, J., Swanson, J., McKee, R. Fundamental study of adhesion of corrugated board. Technical report. Institute of Paper Chemistry, Appleton Wisconsin, 1971.Search in Google Scholar
Huntsberger, J. (1964). The relationship between wetting and adhesion. Advances in Chemistry.10.1021/ba-1964-0043.ch011Search in Google Scholar
Johnson, S., Popil, R. (2015) Corrugated board bonding defect visualization and characterization. Int. J. Adhes. Adhes. 59:105–114.10.1016/j.ijadhadh.2015.02.003Search in Google Scholar
Kolegov, P. (2017) Understanding gluing process on corrugator. Prz. Pap. 73(5):277.Search in Google Scholar
Korin, C., Lestelius, M., Tryding, J., Hallbäck, N. (2007) Y-peel characterization of adhesively-bonded carton board: an objective method. J. Adhes. Sci. Technol. 21(2):197–210.10.1163/156856107780437426Search in Google Scholar
Korin, C., Seppaenen, R., Vähä-Nissi, M., Hallbäck, N. (2012) Influence of surface treatments on the mechanical strength of hotmelt adhesive joints made of cartonboards. J. Adhes. Sci. Technol. 26(11):1–18.10.1163/156856111X599490Search in Google Scholar
Krainer, S., Hirn, U. (2021) Contact angle measurement on porous substrates: Effect of liquid absorption and drop size. Colloids Surf. A, Physicochem. Eng. Asp. 619:126503.10.1016/j.colsurfa.2021.126503Search in Google Scholar
Kroeschell, W. (1990) Bonding on the corrugator: The myth of penetration – brittle bonds. Tappi J. 73(2):69–74.Search in Google Scholar
Kücükpinar, E., Langowski, H.-C. (2012) Adhesion aspects in packaging. J. Adhes. Sci. Technol. 26(20-21):2317–2324.10.1163/156856111X610108Search in Google Scholar
N.N. (2002). Penetration Dynamics Analyzer PDA C02 (Manual). Emtec – Paper Testing Technology.Search in Google Scholar
Paris, J. (2000) Adhesives for paper, board and foils. Int. J. Adhes. Adhes. 20(2):89–90.10.1016/S0143-7496(99)00052-4Search in Google Scholar
Pelton, R., Chen, W., Li, H., Engel, M.R. (2001) The peeling behavior of pressure sensitive adhesives from uncoated papers. J. Adhes. 77(4):285–308.10.1080/00218460108030743Search in Google Scholar
Ashley, R., Cochran, M.A., Allen, K.W. (1995). Adhesives in packaging. Int. J. Adhes. Adhes. 15(2):101–108.10.1016/0143-7496(95)98745-8Search in Google Scholar
Krainer, S., Hirn, U. (2018) Short timescale wetting and penetration on porous sheets measured with ultrasound, direct absorption and contact angle. RSC Adv. 8(23):12861–12869.10.1039/C8RA01434ESearch in Google Scholar
Shires, D.A. (1988) Assuring successful bonding to carton board. Packag. Technol. Sci. 1:67–71.10.1002/pts.2770010204Search in Google Scholar
Vähä-Nissi, M., Korin, C., Seppaenen, R., Laine, C., Hallbäck, N. (2009) Influence of paperboard on bond formation and strength of adhesive joint. In: TAPPI EUROPEAN PLACE Conference. pp. 1743–1787.Search in Google Scholar
Waldner, C., Hirn, U. (2020) Ultrasonic liquid penetration measurement in thin sheets – physical mechanisms and interpretation. Materials 13(12):2754.10.3390/ma13122754Search in Google Scholar PubMed PubMed Central
Wichmann, H. (2016). Nassfester Papiersack oder nassfeste Pappe mit nassfesten Klebenähten. European Patent EP 3 115 429 B1.Search in Google Scholar
Williams, R., Leake, C., Silano, M. (1977) Influence of carrier starch on green bond strength in corrugating adhesives. Tappi J. 60(04):86–89.Search in Google Scholar
Zisman, W. (1964) Relation of the equilibrium contact angle to liquid and solid constitution. ACS Advances in Chemistry 43. pp. 1–51.10.1021/ba-1964-0043.ch001Search in Google Scholar
Supplemental Material
The online version of this article offers supplementary material (https://doi.org/10.1515/npprj-2021-0039).
© 2022 Dohr and Hirn, published by De Gruyter
This work is licensed under the Creative Commons Attribution 4.0 International License.
Articles in the same Issue
- Frontmatter
- Chemical pulping
- Evaluation of fines separation from unbleached softwood kraft pulp using microperforated hole screens
- Evaluation of pulp and paper making properties of Caesalpinia decapetela
- Novel bulking technologies for cellulose fibres
- Mechanical pulping
- Interpretation of force profiles in mill-scale LC refining
- Effects of plate wear on bar forces and fiber properties in a mill scale LC-refiner
- Paper technology
- Research on the physical properties of calcium sulfate whisker and the effects of its addition on paper and its printing performance
- Preparation and properties of an intelligent adjustable functional paper for organic cultural relics
- Paper chemistry
- Application of DSA to improve strength of thermomechanical pulp blended paper
- Coating
- The influence of pigment modulus on failure resistance of paper barrier coatings
- Effect of filler additions on pilot-scale extrusion coating of paperboard with PLA-based blends
- Packaging
- Influence of paper properties on adhesive strength of starch gluing
- Environmental impact
- Interfering elements on determination of hexavalent chromium in paper materials with UV-vis spectrophotometry
- Nanotechnology
- Enhanced mechanical and gas barrier performance of plasticized cellulose nanofibril films
- Lignin
- The preparations of nanoporous carbon with multi-heteroatoms co-doping from black liquor powders for supercapacitors
- Miscellaneous
- Hybrid films from plant and bacterial nanocellulose: mechanical and barrier properties
- Mass-balance based soft sensor for monitoring ash content at two-ply paperboard manufacturing
- Investigation of the effect of light fastness on the color changes of maps prepared by electrophotographic digital printing
- Bulking of cellulose fibres – a review
- Preparation of O-HACC/HEC-acrylate emulsion and its application in paper protection
- Mineral-filled biopolyester coatings for paperboard packaging materials: barrier, sealability, convertability and biodegradability properties
Articles in the same Issue
- Frontmatter
- Chemical pulping
- Evaluation of fines separation from unbleached softwood kraft pulp using microperforated hole screens
- Evaluation of pulp and paper making properties of Caesalpinia decapetela
- Novel bulking technologies for cellulose fibres
- Mechanical pulping
- Interpretation of force profiles in mill-scale LC refining
- Effects of plate wear on bar forces and fiber properties in a mill scale LC-refiner
- Paper technology
- Research on the physical properties of calcium sulfate whisker and the effects of its addition on paper and its printing performance
- Preparation and properties of an intelligent adjustable functional paper for organic cultural relics
- Paper chemistry
- Application of DSA to improve strength of thermomechanical pulp blended paper
- Coating
- The influence of pigment modulus on failure resistance of paper barrier coatings
- Effect of filler additions on pilot-scale extrusion coating of paperboard with PLA-based blends
- Packaging
- Influence of paper properties on adhesive strength of starch gluing
- Environmental impact
- Interfering elements on determination of hexavalent chromium in paper materials with UV-vis spectrophotometry
- Nanotechnology
- Enhanced mechanical and gas barrier performance of plasticized cellulose nanofibril films
- Lignin
- The preparations of nanoporous carbon with multi-heteroatoms co-doping from black liquor powders for supercapacitors
- Miscellaneous
- Hybrid films from plant and bacterial nanocellulose: mechanical and barrier properties
- Mass-balance based soft sensor for monitoring ash content at two-ply paperboard manufacturing
- Investigation of the effect of light fastness on the color changes of maps prepared by electrophotographic digital printing
- Bulking of cellulose fibres – a review
- Preparation of O-HACC/HEC-acrylate emulsion and its application in paper protection
- Mineral-filled biopolyester coatings for paperboard packaging materials: barrier, sealability, convertability and biodegradability properties
