Abstract
A tunable plexcitonic material that sustains multimode hybridization is highly desirable, which is vital for advanced quantum devices. However, the research about regulations of biexcitons-plasmon coherent states has rarely been reported. Here we apply single-nanoparticle scattering spectroscopy correlative with SEM imaging to identify biexcitons-plasmon interaction in a metal-semiconductor hybrid structure composed of a single Au@Ag nanoparticle, J-aggregates molecules and tungsten disulfide (WS2) monolayer. The mode competition within the localized plasmonic hotspots (∼240 nm3) is revealed by continuously regulating the J-aggregates spacer. Two distinct anticrossings are observed at both excitons resonances, and large double Rabi splittings (137 meV and 124 meV) are obtained successfully. We establish experimentally that J-aggregates and WS2 monolayer are responsible for the middle polariton states, while plasmon rarely contributes. Further calculations show that plasmonic nanocavity enables coherent energy exchange with different excitons by providing a highly enhanced localized E-field. In addition, we find that the multimode coupling strengths can be efficiently tuned by changing the cavity morphology and environment temperature, where the tuning spectral accuracy can reach up to 1 nm. Our findings uncover the distinctive properties of biexcitons-plasmon polaritons, suggest an easily obtainable multiqubit states platform, and open up a new way to construct nanoscale photonic devices.
1 Introduction
Room-temperature strong coupling between quantum emitters (QEs) and plasmon polaritons has raised much attention in the optics and quantum physics communities, since it reveals a plethora of intriguing phenomena such as vacuum Rabi splitting [1, 2], Bose–Einstein condensation [3, 4], optical Stark effect [5, 6], entanglement [7, 8], and quantum network [9, 10]. It differs from weak coupling [11], where only the spontaneous emission rate was modified. Strong coupling [12] generates mixed states which possess both photonic and excitonic characters. The coherent energy transfer rate in the strong coupling regime surpasses the dissipation and decoherence rates. With the flourishing of nanofabrication technology and quantum electrodynamics, strong coupling systems exhibit great potential in many powerful applications, such as quantum light source [13, 14], ultrafast optical switching [15], superfluidity [16], single-molecule sensing [17], and quantum computing [18]. Up to now, a variety of plasmonic nanostructures have been proposed to minimize the mode volumes Veff since the coupling strength g is inversely proportional to
Despite these remarkable developments, the existing researches mainly focus on hybrid systems consisting of cavities and homogeneous quantum emitters, which only generate two coherent states. Considering the profound quantum effects and technological frontiers in the multi-mode coupled systems [29–35] (e.g., quantum network, quantum computing, and nanolasers), strong coupling among three excitations is highly desirable. However, few have been reported in the single QEs-plasmonic nanocavity system due to the large Ohmic loss of metal [36]. One major challenge has to be overcome to trigger biexciton-plasmon strong coupling: The local electric field at heterogeneous QEs locations must be sufficiently enhanced to simultaneously empower coherent energy transfer in two different plasmon-exciton coupling subsystems. Relevant experimental [37, 38] and theoretical work [39] emerged as the extension of two-mode strong coupling. Cuadra et al. have successfully demonstrated three intermixed plasmon–exciton–trion coherent states at the single nanoparticle level under cryogenic conditions, which consist of an individual silver nanoantenna and monolayer WS2 hybrid system [26]. Recently, Lan et al. realized active tuning of strong plasmon–exciton–trion coupling in Si/WS2/Au nanocavities by increasing the laser power [40]. In another work, Zhou et al. [41] demonstrated plasmon-assisted coherent energy transfer between far-detuned QEs, setting the foundation for future quantum networks.
Inspired by these pioneering works, in this study, we demonstrate strong interactions among plasmons in an individual Au@Ag nanocavity, Frenkel excitons in TDBC J-aggregates, and Wannier excitons in monolayer WS2. Three hybrid states formed by the biexcitons-plasmon coupling and double Rabi splitting phenomenon (137 meV and 124 meV) were observed under ambient conditions. Furthermore, we reveal the mode competition between two coupled excitonic modes and optimize the multimode coupling nanosystems by controlling the coated J-aggregates spacers. Theoretical calculations indicate that the cavity morphology and environment temperature can tailor the degree of biexcitons-plasmon coupling. Modification in the dielectric constant of the WS2 monolayer induced by tuning the temperature has also been extracted, which can well explain the temperature-resolved scattering spectra.
2 Results and discussion
2.1 Introducing biexcitons-plasmon coupling in a Au@Ag/J-aggregates/WS2 nanocavity
As depicted in Figure 1a, the coupled system in this work is composed of Au@Ag core–shell nanocavity coating with TDBC J-aggregates, which is positioned on the surface of monolayer WS2. As an essential component, plasmonic nanocavity plays a critical role in providing a highly-enhanced local electric field, empowering different strong coupling channels with heterogeneous QEs. Frenkel-type excitons are formed in molecular materials, typically with small exciton radii and asymmetric charge distribution [42]. Therefore, they exhibit strong polar chemical properties. However, due to their formation inside molecules and weak interactions between electrons and holes, Frenkel-type excitons have short lifetimes, and it is challenging to achieve long-lifetime luminescence. In contrast, Wannier-type excitons formed in crystals typically have longer lifetimes and larger exciton radii, along with lower charge transfer efficiency [43]. Here we take advantage of multimode coupling among plasmon, Frenkel-type excitons, and Wannier-type excitons, which enable the possibility to exhibit the best features of different excitonic materials (see Figure 1a). The electromagnetic coupling between the localized plasmon resonance and J-aggregates/WS2 excitons is different due to their spatial distribution variations. The excitons in J-aggregates are of Frenkel type, which is characterized by its strong binding energy (order of 1 eV), large dipole moment (0.7 e nm), and small Bohr radius (1 nm) [44]. Ultrathin J-aggregates monolayer is used to realize single-exciton level strong coupling [19]. It is demonstrated that only the J-aggregate exciton within the sufficient localized E-field can be involved in the strong coupling process. In our system, strong electromagnetic coupling between J-aggregates excitons and plasmon modes mainly happens at the sharp corners of Au@Ag nanorods. On the other hand, excitons in WS2 are of Wannier type, which is delocalized over several unit cells and possess larger scattering cross sections. Monolayer WS2 is a direct bandgap semiconductor, leading to excitons with enormous binding energies (700 meV) [45]. Moreover, the optical property of single-crystalline WS2 is uniform across the entire two-dimensional flake, which is beneficial to form robust pl-exciton systems. To realize biexcitons-plasmon coupling, the spectra properties of the three uncoupled components are carefully investigated before sample assembling (as shown in Figure 1b). The PL spectra measured for the monolayer WS2 (under ambient condition) shows a resonance peak at E x = 2029 meV, while the measured absorption resonance for the J-aggregates is E j = 2099 meV. The dark-field scattering spectrum of a typical Au@Ag nanocavity shows a broad resonance (E pl = 2075 meV) in the middle of the two excitonic materials. The decay rate of the WS2 excitons is γ x = 26 meV (measured by absorption spectrum in Figure S4) or 19 meV (measured by photoluminescence spectrum in Figure 1b). It is noteworthy that the extracted decay rate of J-aggregates (γ j = 25 meV) and WS2 is relatively small compared to the plasmon nanocavity (γ pl = 144 meV). When two adjacent excitonic modes spectral overlap with the plasmonic nanocavity, it might be possible to form a multi-mode coupling system. The top of Figure 1b shows the scattering spectra (solid purple curves) measured for the WS2/J-aggregates/Au@Ag nanocavity irradiated using a halogen lamp. Three new energy branches will be formed if excitons of both the J-aggregates and WS2 interact intensively with the plasmonic mode, which is marked as the upper polariton branch (UPB), the middle polariton branch (MPB), and the lower polariton branch (LPB).

Concept of biexcitons-plasmon strong coupling between detuned excitonic materials and an individual metallic nanocavity. (a) Schematic showing a delicately designed QEs-nanoantenna structure which empowers simultaneous energy exchange with both Frenkel-excitons and Wannier-excitons. Ultimately, the newly formed biexcitons-plasmon hybrid states can possess the characteristics of both QEs. (b) Measured spectra of uncoupled components (lower) and multi-mode strong coupled nanosystem (upper) exhibit a distinct double Rabi-splitting signature.
2.2 The properties of plasmon-exciton subsystems
Before diving into the complex coupling among nanocavity, J-aggregates and WS2, we first investigate the properties of the two plexcitonic sub-systems. By controlling the Ag shell’s thickness in the growth process, the localized surface plasmon resonance of Au@Ag nanocavity was carefully tuned from 651 nm to 565 nm, which crosses the exciton resonance of both J-aggregates and WS2. The fine-tuning originates from the high sensitivity of LSPR mode to the aspect ratio [19]. In Figure 2, the scattering spectrum of the nanocavity/J-aggregates hybrid shows two peaks and a dip at 592 nm, which is the exciton resonance of J-aggregates. To attain the dispersion curve, the scattering spectra of nanocavity/J-aggregates hybrid with different Ag shell thicknesses were measured. As shown in Figure 2c, the newly formed hybrid states’ eigenenergies were extracted, exhibiting a distinct anticrossing phenomenon. A large Rabi splitting (∼162 meV) was observed at resonant conditions. Compared to the plasmon and exciton linewidths (γ
pl
= 150 meV, γ
j
= 25 meV), the Rabi splitting energy Ω
pj
>

Single-mode plasmon-exciton strong coupling. (a) High-resolution TEM image of Au@Ag nanorod coated with 2.7 nm TDBC J-aggregates layers. (b) Scattering spectra of resonate Au@Ag nanorod and J-aggregates hybrid nanosystem. (c) Dispersion of plexciton with UPB and LPB varied as a function of plasmon energy, presenting a Rabi splitting up to 162 meV. (d) Bright-field image of WS2 monolayer collected by a 100× objective. (e) Scattering spectra of red-detuned Au@Ag nanorod and monolayer WS2 nanosystem. (f) Calculated dispersion of single Au@Ag nanocavity and WS2 strong coupled system, presenting a Rabi splitting of 110 meV.
2.3 Mode competition within the localized plasmonic hotspots
The strong interaction with nanocavity required sufficient electric field enhancement. The mode volume of Au@Ag nanocavity is extremely small (∼240 nm3), leading to inevitable mode competition between two excitonic materials within the plasmonic hotspots. Thus, we can trigger and manipulate the biexcitons-plasmon strong coupling by optimizing the interaction distance. For the J-aggregates/Au@Ag nanocavity shown in Figure 3a, the scattering dip appears at ∼592 nm. The Rabi splitting of the nanocavity/dye hybrid system becomes more significant as the J-aggregates layers grow. The corresponding plasmonic cavity E-field distributions in the xz planes are shown in Figure 3b. It indicates that more J-aggregates excitons participate in the coupling process as the dye molecular layers become thicker, which leads to larger Rabi splitting in Figure 3a. On the other hand, the dye molecular layers also serve as the spacer layer in the nanocavity/J-aggregates/WS2 hybrid system, which significantly impairs the coupling strength between nanocavity and WS2. As shown in upper Figure 3c, when the dye molecular layers are rather thin (d = 1 nm), the coupling strength between nanocavity and J-aggregates is weak, and the MPB leans towards λ J . In lower Figure 3c, when the dye molecular layers are thick (d = 15 nm), the interaction between WS2 and nanocavity is almost blocked. The mode competition is well reflected in the MPB resonance. The pink/orange dashed line indicates the location of J-aggregates/WS2 excitons resonance. As the J-aggregates layers become thicker, the WS2 excitons in the plasmonic hotspots decrease. Interestingly, the MPB resonance is pushed toward WS2 resonance as the J-aggregates dominate the hybrid system. On the contrary, the MPB resonance would lean toward J-aggregates resonance when WS2 is dominant. We found that MPB would locate at the center of J-aggregates/WS2 resonance when the coating thickness of J-aggregates is ∼3 nm. This particular coating thickness ensures both J-aggregates and WS2 excitons can actively participate in the strong coupling process, which guides our subsequent experiments.

Analysis of mode competition for WS2/dye/Au@Ag nanocavity coupled systems. (a) Scattering spectra calculated for Au@Ag nanocavity coated with different J-aggregate thicknesses. (b) The plasmonic cavity E-field distributions calculated at 592/602/612 nm. The white dashed lines indicate the outline of the Au@Ag nanorod. The solid orange lines indicate the position of the WS2 monolayer. (c) Corresponding scattering spectra calculated for WS2/dye/Au@Ag nanocavity with different J-aggregate thicknesses.
2.4 Biexcitons-plasmon coupling in Au@Agnanocavity/J-aggregates/WS2 hybrids
To construct a plasmon-biexcitons strong coupling nanosystems, we first coat a uniform J-aggregates layer (∼3 nm) on the surface of the Au@Ag nanocavities, then the hybrids were facially integrated with a WS2 monolayer. Here the J-aggregates layers were also used as a dielectric spacer layer, significantly impacting the plasmon-WS2 coupling strength. We use a correlative dark-field and SEM imaging method to obtain the morphology and spectroscopic information of individual nanocavity/J-aggregates/WS2 hybrids. As illustrated in Figure 1a, when both the J-aggregates and WS2 monolayer were within the plasmon E-field hotspots, coherent energy transfer between plasmon and biexcitons occurred due to the field enhancement effect of plasmon mode. Consequently, new hybrid polariton states would be produced, as shown in Figure 1b, which is more complicated than traditional two-mode coupled nanosystems. We measured more than 200 dark-field scattering spectra of different nanocavity/J-aggregates/WS2 hybrids, where the plasmon resonance was tuned by adjusting the thickness of Ag shells during the synthesis process. Figure 4a shows the scattering spectra of five representative nanocavity/J-aggregates/WS2 hybrids, demonstrating the spectral evolution of plasmon-biexcitons coupling in different detuned conditions. Three scattering peaks appear at the flank of the J-aggregates/WS2 excitons resonance, corresponding to the three eigenenergies of the plasmon-biexcitons coupling systems. In Figure 4a, as the Ag shell becomes thicker, the aspect ratio of Au@Ag nanocavities increased. The plasmon resonance was tuned to blue-shift, leading to a synchronized blue-shift in all three eigenenergies, while the relative intensity of three scattering peaks would also variate. Meanwhile, the two dips of scattering spectra remain unchanged, corresponding to the exciton resonance of the J-aggregates/WS2 monolayer. It provides strong evidence that the new hybrid polariton states result from plasmon/J-aggregates/WS2 interaction. For the plasmon-biexcitons coupling in our experiment, the eigenmodes’ energy can be described using the three-coupled oscillator model (TCOM), which is written as [46–49].
where E pl , E0, and E x are the energies for cavity plasmon resonance, J-aggregates exciton resonance and WS2 exciton resonance, respectively. Here, γ pl , γ0, and γ x represent the corresponding dissipation rates, and g j /g x reflects the plasmon-J excitons/plasmon-WS2 excitons coupling strength. Notably, the J-aggregates/WS2 coupled strength is negligible due to the detuning between two excitons. E is the hybrid polariton energies of the three-mode coupling system. α, β, and γ are the Hopfield coefficients. ∣α∣2, ∣β∣2, and ∣γ∣2 indicate the proportion of plasmon, J-aggregates and WS2 excitons in the hybrid polariton states, which satisfy ∣α∣2 + ∣β∣2 + ∣γ∣2 = 1. By solving the characteristic equation (1), three unique solutions E U , E M , E L can be obtained for E. In Figure 4b, the theoretical fitting results are shown by three solid curves, which represent the hybrid states of three anti-crossed bands, corresponding to the upper polariton branch (UPB), middle polariton branch (MPB) and lower polariton states (LPB). The resonance energy of plasmon nanocavity E pl is essential for analyzing anti-crossing behavior in strong coupling systems. However, it can not be directly obtained by experimental measurements because the resonance of plasmonic nanocavities would red-shift after coating with molecule layers. To perform the anti-crossing analysis, we first obtain the corresponding energy for the upper (E U ), middle (E M ), and lower (E L ) polariton branches from dark-field scattering spectra. Then the exciton resonance of J-aggregate (E j ) and WS2 (E x ) is extracted from the absorption measurements. Finally, we obtain the unknown value of E pl using energy conservation equality: E pl + E j + E x = E U + E M + E L . The equality originates from trace invariance of the matrix representation of the Hamiltonian, which was proposed in recent research [26, 50] to analyze three-mode coupling systems.

Manipulating the biextions-plasmon coupling with a structure tuning method. (a) Scattering spectra of different plasmon-biexciton strong coupling systems constructed by using Au@Ag nanocavities with different aspect ratios. The SEM and corresponding CCD images of the measured WS2/J-aggregates/Au@Ag nanocavities are shown in the insets. (b) Dispersion of the eigenenergies of the three coherent hybrid states. The red/green/blue curves represent the theoretical values for UPB/MPB/LPB, while the colored symbols represent the scattering peaks obtained from the experimental data. (c) Hop-field coefficients for plasmon, J-aggregates exciton, and WS2 exciton contributions to UPB, MPB, and LPB states as a function of the plasmon energy.
As shown in Figure 4b, the TCOM fits well with our experimental results, indicating a giant Rabi splitting energy of 188 meV at the center of J-aggregates/WS2 excitonic resonances. It is worth noting that the fitting results in the coupling strengths are g j = 68.7 meV and g x = 62.1 meV, respectively. Therefore, when the plasmon mode is resonant with J-aggragates/WS2 excitons, the splittings extracted at zero detuning are Ω J = 137 meV(E pl = E j ) and Ω X = 124 meV(E pl = E x ). The coupling strengths are slightly decreased compared to the plasmon-single exciton coupling situation but still satisfy the strong coupling criterion of g j > |y pl − y j |/4 = 31.25 meV and g x > |y pl − y x |/4 = 32.75 meV. Figure 4c shows the calculated Hopfield coefficients, which indicate the proportion of plasmon/J-aggregates/WS2 energy in each hybrid polariton state. Specifically, the coupling between J-aggregates and plasmon dominates the UPB, while the coupling between WS2 and plasmon dominates the LPB. It results from the detuning between plasmon and J-aggregates/WS2 excitons. The coupling strength grows as the detuning decrease. The properties of MPB are more complicated, which contains few proportions of plasmon compared to its excitonic parts. Therefore in Figure 4b MPB shows less disperse than UPB/LPB. Also, since E J > E X , J-aggregates excitons show more impact in MPB regarding the high energy regime. The strong coupling criterion for three elementary excitations can be expressed as Ω > α1κ upb + α2κ mpb + α3κ lpb [36, 40].
Here, α1, α2, and α3 represent the fractions of the UPB/MPB/LPB in the hybrid polariton states; κ upb , κ mpb , and κ upb denote the linewidths of the UPB/MPB/LPB. By extracting the zero-detuned data from Figure 4c, the linewidths of each branch can be expressed as follows:
The following formula can derive the weight coefficients of UPB/MPB/LPB [31]:
By substituting Equations (2) and (3), we can derive the criterion for the strong coupling of plasmon/J-aggregates/WS2 as Ω > α1 ⋅ κ upb + α2 ⋅ κ mpb + α3 ⋅ κ lpb = 74.8 meV. In our case, we measured a relatively large Rabi splitting Ω ≈ 188 meV at zero-detuned point (as shown in Figure 4b), which satisfy the strong coupling criterion. The detuning Ω > α1 ⋅ κ upb + α2 ⋅ κ mpb + α3 ⋅ κ lpb .
2.5 Adjusting the excitonic resonance of a WS2 monolayer by temperature control and fine-tuning the biexcitons-plasmon
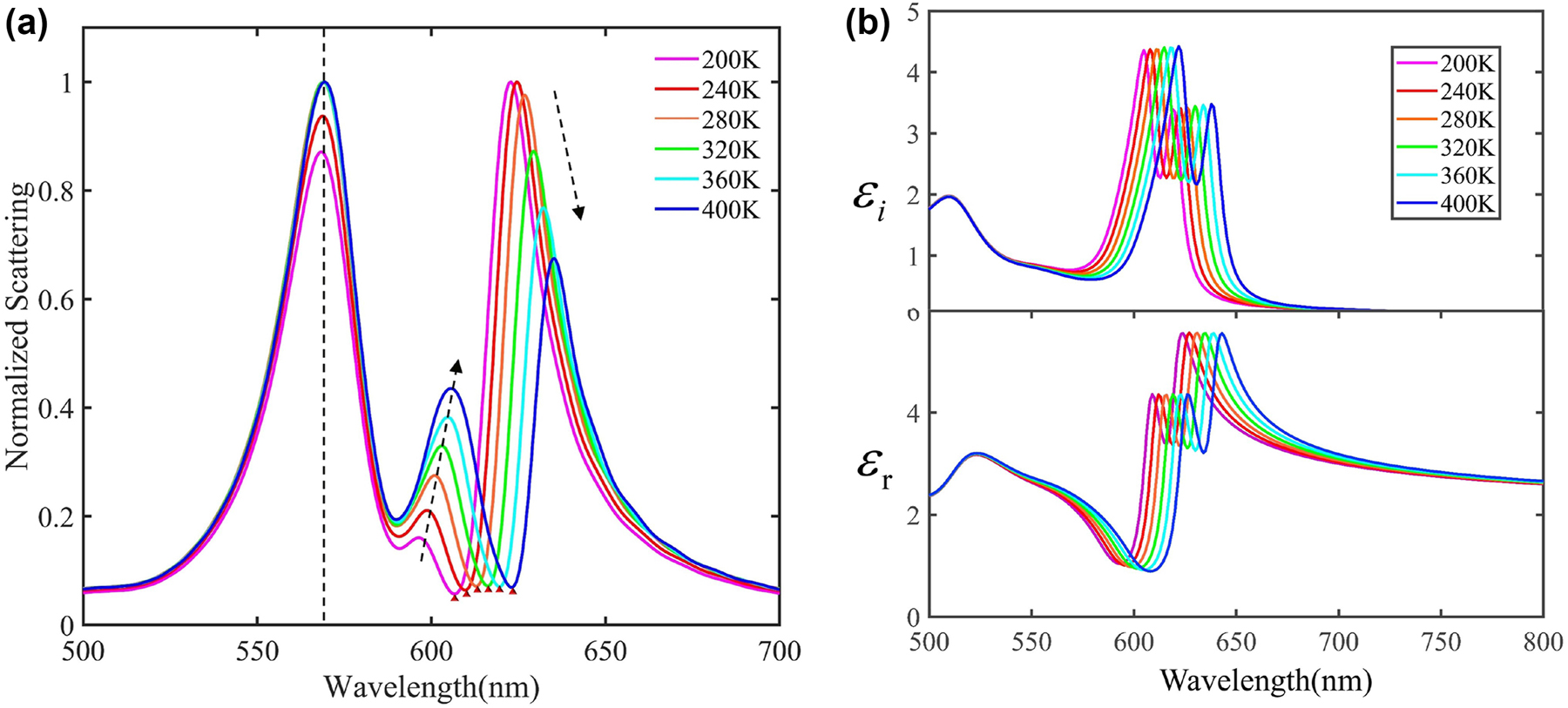
Finally, in Figure 5, we demonstrate that the biexcitons-plasmon strong coupling nanosystem can be actively and reversibly manipulated by tuning the environment temperature. WS2 monolayer possesses multidimensional adjustable optical properties, for example, its band gap varies with environmental temperature. Figure 5b indicates that the real and imaginary parts of a WS2 monolayer would regularly red-shift to a longer wavelength with increasing environmental temperature, which offers us the opportunity to manipulate the biexcitons-plasmon coupling strength. The WS2 excitonic energy under different temperatures can be theoretically described by O’Donnell Model [51, 52]. In Figure S3, we calculate the WS2 exciton resonance in the 200 K–400 K range using O’Donnell model, which indicates a red-shift from 606 nm to 624 nm. In Figure 5a, we show the scattering spectra of Au@Ag nanocavity/J-aggregates/WS2 calculated in different temperatures, which indicates that the middle and lower biexcitons-plasmon hybrid states could be accurately adjusted via temperature control. Here, the aspect ratio of the simulated nanoparticle is set as 1.65 and the plasmon resonance of the nanocavity is 592 nm, which overlay with the J-aggregates’ excitonic energy. The thickness of the coating J-aggregates is set as 3 nm and then facially integrated with monolayer WS2. The dashed arrows in Figure 5a shows that the UPB rarely change during the regulation process, while MPB and LPB gradually redshift as the temperature increase. As a result, the Rabi splitting between UPB and MPB increases from 191 meV to 226 meV. Notably, the scattering dips between MPB and LPB (marked with red triangles in Figure 5a) are in accordance with the calculated WS2 exciton resonance. The tuning accuracy of MPB/LPB resonance wavelength can reach up to ∼1 nm when the variation of temperature is ∼10 K, which provides a delicate and reversible method to control the biexcitons-plasmon coupling system.

Fine-tuning the biextions-plasmon coupling by temperature control. (a) Normalized scattering spectra calculated for WS2/J-aggregates/Au@Ag nanocavities in different temperatures. (b) Complex dielectric constants of a WS2 monolayer in different temperature conditions.
3 Conclusions
In summary, we have systematically investigated the spectral properties and manipulating methods of plasmon-biexcitons strong coupling in Au@Ag/J-aggregates/WS2 hybrid nanosystems. Three new plexciton branches formed by multimode hybridization are observed from the darkfield scattering spectra, which present a giant exciton-plasmon-exciton energy splitting of ∼188 meV at the center of excitonic resonances. Hopfield coefficient calculations reveal the plasmon-biexcitons have properties that are intermediate between plasmons and J-aggregates/WS2 excitons, which enable the possibility to obtain the best features of both metal and semiconductors. Furthermore, we have investigated the mode competition between heterogeneous excitonic materials and proposed the optimal parameters for J-aggregates spacer, which is in the middle range of localized plasmonic hotspots. Accordingly, from the WS2 exciton perspective, we have also demonstrated the dynamic control of plasmon-biexcitons via thermal regulation. The temperature-resolved spectra are ascribed to the dielectric constant modification of WS2, which significantly affect the coupling strength between plasmon and X A excitons. Our findings offer a versatile platform to construct and manipulate multiqubit coupling in room-temperature conditions and pave the way for developing diverse plexcitonic devices.
4 Methods
4.1 Sample preparation
We fabricated the cuboidal Au@Ag nanocavity with sharp edges using a seed-mediated growth method (details are provided in Supporting Information, Section 1). Figure S1 shows the high-resolution TEM image of one typical Au@Ag nanocavities with proper dimensions (diameter ∼48.2 ± 1.4 nm and length ∼78.3 ± 3.1 nm). To boost the plasmon-exciton coupling strength, the curvature radius of the Ag shell at the edgy is tailored to ∼2 nm, causing a dramatic small mode volume down to a few hundred cubic nanometers (see Supporting Information, Figure S2). J-aggregates layers were firmly attached to the surface of Au@Ag nanocavity via electrostatic interaction, which forms a typical plasmon-exciton strong coupling system. The nanocavity/J-aggregates hybrid was then transferred to a bare silicon wafer substrate for subsequent measurements.
4.2 Optical measurements
We use a reflection-type dark-field scattering experiment setup to investigate the optical properties of the individual nanocavity. Individual Au@Ag nanocavities were optically characterized using an upright microscope (BX51, Olympus) combined with an imaging spectrograph (IsoPlane 160, Princeton Instrument) and an EMCCD camera (Ultra 888, Andor). The sample surface was illuminated with broadband white light from a Laser-Driven Light Source (EQ-99X, Energetiq), which was focused onto the sample surface using a 100X dark-field condenser (NA = 0.4). In addition, numerical symbols in the silicon wafer were used to locate individual nanocavity in dark-filed and SEM imaging.
Funding source: National Natural Science Foundation of China
Award Identifier / Grant number: 12174037
Award Identifier / Grant number: 12204061
Funding source: State Key Laboratory of Information Photonics and Optical Communications
Award Identifier / Grant number: No. IPOC2021ZZ02
Acknowledgment
The authors acknowledge Dr. J. Q. Guo’s assistance with the sample synthesis and Prof. Z. K. Zhou and Prof. R. M. Liu for helping with the optical measurements discussion.
-
Author contributions: All authors have accepted responsibility for the entire content of this manuscript and approved its submission.
-
Research funding: This work is supported by the National Natural Science Foundation of China (12204061,12174037) and the State Key Laboratory of Information Photonics and Optical Communications (No. IPOC2021ZZ02).
-
Conflict of interest statement: Authors state no conflicts of interest.
-
Data availability: The data that support the findings of this study are available from the corresponding author upon reasonable request.
References
[1] P. Törmä and W. L. Barnes, “Strong coupling between surface plasmon polaritons and emitters: a review,” Rep. Prog. Phys., vol. 78, no. 1, pp. 013901–013935, 2014. https://doi.org/10.1088/0034-4885/78/1/013901.Search in Google Scholar PubMed
[2] K. Santhosh, O. Bitton, L. Chuntonov, and G. Haran, “Vacuum Rabi splitting in a plasmonic cavity at the single quantum emitter limit,” Nat. Commun., vol. 7, no. 1, 2016, Art. no. ncomms11823. https://doi.org/10.1038/ncomms11823.Search in Google Scholar PubMed PubMed Central
[3] H. Deng, G. Weihs, C. Santori, J. Bloch, and Y. Yamamoto, “Condensation of semiconductor microcavity exciton polaritons,” Science, vol. 298, no. 5591, pp. 199–202, 2002. https://doi.org/10.1126/science.1074464.Search in Google Scholar PubMed
[4] S. R. K. Rodriguez, J. Feist, M. A. Verschuuren, F. J. Garcia Vidal, and J. Gómez Rivas, “Thermalization and cooling of plasmon-exciton polaritons: towards quantum condensation,” Phys. Rev. Lett., vol. 111, no. 16, pp. 166802–166807, 2013. https://doi.org/10.1103/physrevlett.111.166802.Search in Google Scholar
[5] J. T. Zhang, Y. Tang, K. Lee, Kwan, and M. Ouyang, “Tailoring light–matter–spin interactions in colloidal hetero-nanostructures,” Nature, vol. 466, no. 7302, pp. 91–95, 2010. https://doi.org/10.1038/nature09150.Search in Google Scholar PubMed
[6] P. Vasa, W. Wang, R. Pomraenke, et al.., “Optical Stark effects in J-aggregate–metal hybrid nanostructures exhibiting a strong exciton–surface-plasmon-polariton interaction,” Phys. Rev. Lett., vol. 114, no. 3, p. 036802, 2015. https://doi.org/10.1103/physrevlett.114.036802.Search in Google Scholar PubMed
[7] R. Sáez-Blázquez, J. Feist, A. I. Fernández-Domínguez, and F. J. García-Vidal, “Enhancing photon correlations through plasmonic strong coupling,” Optica, vol. 4, no. 11, pp. 1363–1367, 2017. https://doi.org/10.1364/optica.4.001363.Search in Google Scholar
[8] M. Hensen, T. Heilpern, S. K. Gray, and W. Pfeiffer, “Strong coupling and entanglement of quantum emitters embedded in a nanoantenna-enhanced plasmonic cavity,” ACS Photonics, vol. 5, no. 1, pp. 240–248, 2018. https://doi.org/10.1021/acsphotonics.7b00717.Search in Google Scholar
[9] D. Pan, H. Wei, Z. L. Jia, and H. X. Xu, “Mode conversion of propagating surface plasmons in nanophotonic networks induced by structural symmetry breaking,” Sci. Rep., vol. 4, no. 1, pp. 4993–4999, 2014. https://doi.org/10.1038/srep04993.Search in Google Scholar
[10] S. Johnson, P. R. Dolan, and J. M. Smith, “Diamond photonics for distributed quantum networks,” Prog. Quantum Electron., vol. 55, no. 11, pp. 129–165, 2017. https://doi.org/10.1016/j.pquantelec.2017.05.003.Search in Google Scholar
[11] H. Y. Shan, Z. X. Liu, X. L. Wang, et al.., “Spontaneous emission of plasmon-exciton polaritons revealed by ultrafast nonradiative decays,” Laser Photonics Rev., vol. 14, no. 12, p. 2000233, 2020. https://doi.org/10.1002/lpor.202000233.Search in Google Scholar
[12] H. Wei, X. H. Yan, Y. J. Niu, Q. Li, Z. Jia, and H. Xu, “Plasmon–exciton interactions: spontaneous emission and strong coupling,” Adv. Funct. Mater., vol. 31, no. 51, p. 2100889, 2021. https://doi.org/10.1002/adfm.202100889.Search in Google Scholar
[13] L. Y. Zhao, Q. Y. Shang, M. L. Li, Y. Liang, C. Li, and Q. Zhang, “Strong exciton-photon interaction and lasing of two-dimensional transition metal dichalcogenide semiconductors,” Nano Res., vol. 14, no. 6, pp. 1937–1954, 2021. https://doi.org/10.1007/s12274-020-3073-5.Search in Google Scholar
[14] J. B. You, X. Xiong, P. Bai, et al.., “Reconfigurable photon sources based on quantum plexcitonic systems,” Nano Lett., vol. 20, no. 6, pp. 4645–4652, 2020. https://doi.org/10.1021/acs.nanolett.0c01562.Search in Google Scholar PubMed
[15] T. Volz, A. Reinhard, M. Winger, et al.., “Ultrafast all-optical switching by single photons,” Nat. Photonics, vol. 6, no. 9, pp. 605–609, 2012. https://doi.org/10.1038/nphoton.2012.181.Search in Google Scholar
[16] G. Lerario, A. Fieramosca, F. Barachati, et al.., “Room-temperature superfluidity in a polariton condensate,” Nat. Phys., vol. 13, no. 9, pp. 837–841, 2017. https://doi.org/10.1038/nphys4147.Search in Google Scholar
[17] N. Kongsuwan, X. Xiong, P. Bai, et al.., “Quantum plasmonic immunoassay sensing,” Nano Lett., vol. 19, no. 9, pp. 5853–5861, 2019. https://doi.org/10.1021/acs.nanolett.9b01137.Search in Google Scholar PubMed
[18] W. Du, T. Wang, H. S. Chu, and C. A. Nijhuis, “Highly efficient on-chip direct electronic–plasmonic transducers,” Nat. Photonics, vol. 11, no. 10, pp. 623–627, 2017. https://doi.org/10.1038/s41566-017-0003-5.Search in Google Scholar
[19] R. M. Liu, Z. K. Zhou, Y. C. Yu, et al.., “Strong light-matter interactions in single open plasmonic nanocavities at the quantum optics limit,” Phys. Rev. Lett., vol. 118, no. 23, p. 237401, 2017. https://doi.org/10.1103/physrevlett.118.237401.Search in Google Scholar PubMed
[20] F. Benz, M. K. Schmidt, A. Dreismann, et al.., “Single-molecule optomechanics in “picocavities”,” Science, vol. 354, no. 6313, pp. 726–729, 2016. https://doi.org/10.1126/science.aah5243.Search in Google Scholar PubMed
[21] R. Chikkaraddy, B. De Nijs, F. Benz, et al.., “Single-molecule strong coupling at room temperature in plasmonic nanocavities,” Nature, vol. 535, no. 7610, pp. 127–130, 2016. https://doi.org/10.1038/nature17974.Search in Google Scholar PubMed PubMed Central
[22] G. Heiko, J. M. Hamm, T. Tufarelli, O. Hess, and B. Hecht, “Near-field strong coupling of single quantum dots,” Sci. Adv., vol. 4, no. 3, p. eaar4906, 2018. https://doi.org/10.1126/sciadv.aar4906.Search in Google Scholar PubMed PubMed Central
[23] L. Liu, Y. M. Landobasa, T. T. Wu, et al.., “Plasmon-induced thermal tuning of few-exciton strong coupling in 2D atomic crystals,” Optica, vol. 8, no. 11, pp. 1416–1423, 2021. https://doi.org/10.1364/optica.436140.Search in Google Scholar
[24] J. Y. Li, W. Li, J. Liu, et al.., “Room-temperature strong coupling between a single quantum dot and a single plasmonic nanoparticle,” Nano Lett., vol. 22, no. 12, pp. 4686–4693, 2022. https://doi.org/10.1021/acs.nanolett.2c00606.Search in Google Scholar PubMed
[25] J. X. Wen, H. Wang, W. L. Wang, et al.., “Room-temperature strong light–matter interaction with active control in single plasmonic nanorod coupled with two-dimensional atomic crystals,” Nano Lett., vol. 17, no. 8, pp. 4689–4697, 2017. https://doi.org/10.1021/acs.nanolett.7b01344.Search in Google Scholar PubMed
[26] J. Cuadra, D. G. Baranov, M. Wersall, R. Verre, T. J. Antosiewicz, and T. Shegai, “Observation of tunable charged exciton polaritons in hybrid monolayer WS2- plasmonic nanoantenna system,” Nano Lett., vol. 18, no. 3, pp. 1777–1785, 2018. https://doi.org/10.1021/acs.nanolett.7b04965.Search in Google Scholar PubMed
[27] D. Zheng, S. P. Zhang, Q. Deng, M. Kang, P. Nordlander, and H. Xu, “Manipulating coherent plasmon–exciton interaction in a single silver nanorod on monolayer WSe2,” Nano Lett., vol. 17, no. 6, pp. 3809–3814, 2017. https://doi.org/10.1021/acs.nanolett.7b01176.Search in Google Scholar PubMed
[28] J. X. Wen, H. Wang, H. J. Chen, S. Deng, and N. Xu, “Room-temperature strong coupling between dipolar plasmon resonance in single gold nanorod and two-dimensional excitons in monolayer WSe2,” Chin. Phys. B, vol. 27, no. 9, p. 096101, 2018. https://doi.org/10.1088/1674-1056/27/9/096101.Search in Google Scholar
[29] H. Wang, H. Y. Wang, L. Wang, et al.., “Multimode coherent hybrid states: ultrafast investigation of double Rabi splitting between surface plasmons and sulforhodamine 101 dyes,” Adv. Opt. Mater., vol. 5, no. 8, p. 1600857, 2017. https://doi.org/10.1002/adom.201600857.Search in Google Scholar
[30] A. H. Rose, J. R. Dunklin, H. Y. Zhang, et al.., “Plasmon-Mediated coherent superposition of discrete excitons under strong exciton–plasmon coupling in few-layer MoS2 at room temperature,” Adv. Opt. Mater., vol. 5, no. 8, p. 1600857, 2017.Search in Google Scholar
[31] B. W. Li, S. Zu, Z. P. Zhang, et al.., “Large Rabi splitting obtained in Ag-WS2 strong-coupling heterostructure with optical microcavity at room temperature,” Opto-Electron. Adv., vol. 2, no. 5, p. 190008, 2019. https://doi.org/10.29026/oea.2019.190008.Search in Google Scholar
[32] D. M. Coles, N. Somaschi, P. Michetti, et al.., “Polariton-mediated energy transfer between organic dyes in a strongly coupled optical microcavity,” Nat. Mater., vol. 13, no. 7, pp. 712–719, 2014. https://doi.org/10.1038/nmat3950.Search in Google Scholar PubMed
[33] A. V. Zasedatelev, A. V. Baranikov, D. Urbonas, et al.., “A room-temperature organic polariton transistor,” Nat. Photonics, vol. 13, no. 6, pp. 378–383, 2019. https://doi.org/10.1038/s41566-019-0392-8.Search in Google Scholar
[34] D. Melnikau, A. A. Govyadinov, A. Sanchez-Iglesias, et al.., “Double Rabi splitting in a strongly coupled system of core-shell Au@ Ag nanorods and J-aggregates of multiple fluorophores,” J. Phys. Chem. Lett., vol. 10, no. 20, pp. 6137–6143, 2019. https://doi.org/10.1021/acs.jpclett.9b01988.Search in Google Scholar PubMed
[35] Y. J. Niu, L. Gao, H. X. Xu, and H. Wei, “Strong coupling of multiple plasmon modes and excitons with excitation light controlled active tuning,” Nanophotonics, vol. 12, no. 4, pp. 735–742, 2023. https://doi.org/10.1515/nanoph-2022-0701.Search in Google Scholar
[36] S. M. Liu, F. Deng, W. J. Zhuang, et al.., “Optical introduction and manipulation of plasmon–exciton–trion coupling in a Si/WS2/Au nanocavity,” ACS Nano, vol. 16, no. 9, pp. 14390–14401, 2022. https://doi.org/10.1021/acsnano.2c04721.Search in Google Scholar PubMed
[37] B. Munkhbat, D. G. Baranov, A. Bisht, et al.., “Electrical control of hybrid monolayer tungsten disulfide–plasmonic nanoantenna light–matter states at cryogenic and room temperatures,” ACS Nano, vol. 14, no. 1, pp. 1196–1206, 2020. https://doi.org/10.1021/acsnano.9b09684.Search in Google Scholar PubMed
[38] J. J. Ye, Y. T. Pan, G. H. Liu, et al.., “Strong coupling between a plasmon mode and multiple different exciton states,” Sci. China: Phys., Mech. Astron., vol. 66, no. 4, p. 244212, 2023. https://doi.org/10.1007/s11433-022-2029-9.Search in Google Scholar
[39] P. Jiang, G. Song, Y. L. Wang, C. Li, and L. Yu, “Tunable strong exciton–plasmon–exciton coupling in WS2–J-aggregates–plasmonic nanocavity,” Opt. Express, vol. 27, no. 12, pp. 16613–16623, 2019. https://doi.org/10.1364/oe.27.016613.Search in Google Scholar PubMed
[40] F. Deng, H. X. Huang, J. D. Chen, et al.., “Greatly enhanced plasmon–exciton coupling in Si/WS2/Au nanocavities,” Nano Lett., vol. 20, no. 1, pp. 220–228, 2021. https://doi.org/10.1021/acs.nanolett.1c03576.Search in Google Scholar PubMed
[41] W. B. Zhang, J. B. You, J. F. Liu, et al.., “Steering room-temperature plexcitonic strong coupling: a diexcitonic perspective,” Nano Lett., vol. 21, no. 21, pp. 8979–8986, 2021. https://doi.org/10.1021/acs.nanolett.1c02248.Search in Google Scholar PubMed
[42] S. M. Ivanov, S. D. Schulze, J. Polyutov, et al.., “Exciton–vibrational coupling in the dynamics and spectroscopy of Frenkel excitons in molecular aggregates,” Phys. Rep., vol. 567, pp. 1–78, 2015. https://doi.org/10.1016/j.physrep.2014.12.001.Search in Google Scholar
[43] T. Christian, “Optical dispersion by Wannier excitons,” Phys. Rev. Lett., vol. 75, no. 22, p. 4090, 1995. https://doi.org/10.1103/physrevlett.75.4090.Search in Google Scholar
[44] L. C. Flatten, D. M. Coles, Z. Y. He, et al.., “Electrically tunable organic–inorganic hybrid polaritons with monolayer WS2,” Nat. Commun., vol. 8, no. 1, p. 14097, 2017. https://doi.org/10.1038/ncomms14097.Search in Google Scholar PubMed PubMed Central
[45] B. R. Zhu, X. Chen, and X. D. Cui, “Exciton binding energy of monolayer WS2,” Sci. Rep., vol. 5, no. 1, p. 9218, 2015. https://doi.org/10.1038/srep09218.Search in Google Scholar PubMed PubMed Central
[46] D. G. Lidzey, D. D. Bradley, A. Armitage, S. Walker, and M. S. Skolnick, “Photon-mediated hybridization of Frenkel excitons in organic semiconductor microcavities,” Science, vol. 288, no. 5471, pp. 1620–1623, 2000. https://doi.org/10.1126/science.288.5471.1620.Search in Google Scholar PubMed
[47] H. Yang, J. Yao, X. W. Wu, D. J. Wu, and X. J. Liu, “Strong plasmon–exciton–plasmon multimode couplings in threelayered Ag–J-Aggregates–Ag nanostructures,” J. Phys. Chem. C, vol. 121, no. 45, pp. 25455–25462, 2017. https://doi.org/10.1021/acs.jpcc.7b07596.Search in Google Scholar
[48] M. Pelton, S. D. Storm, H. X. Leng, et al.., “Strong coupling of emitters to single plasmonic nanoparticles: exciton-induced transparency and Rabi splitting,” Nanoscale, vol. 11, no. 31, pp. 14540–14552, 2019. https://doi.org/10.1039/c9nr05044b.Search in Google Scholar PubMed
[49] A. Khalil, A. A. Ibrahim, L. J. Huang, A. E. Miroshnichenko, and H. T. Hattori, “Boosting strong coupling in a hybrid WSe2 monolayer–anapole–plasmon system,” ACS Photonics, vol. 8, no. 2, pp. 489–496, 2021. https://doi.org/10.1021/acsphotonics.0c01470.Search in Google Scholar
[50] X. B. Han, F. Li, Z. C. He, et al.., “Double Rabi splitting in methylene blue dye-Ag nanocavity,” Nanophotonics, vol. 11, no. 3, pp. 603–611, 2022. https://doi.org/10.1515/nanoph-2021-0697.Search in Google Scholar
[51] K. P. O’donnell and X. chen, “Temperature dependence of semiconductor band gaps,” Appl. Phys. Lett., vol. 58, no. 25, pp. 2924–2926, 1991. https://doi.org/10.1063/1.104723.Search in Google Scholar
[52] T. W. Lo, Q. Zhang, M. Qiu, et al.., “Thermal redistribution of exciton population in monolayer transition metal dichalcogenides probed with plasmon-exciton coupling spectroscopy,” ACS Photonics, vol. 6, no. 2, pp. 411–421, 2019. https://doi.org/10.1021/acsphotonics.8b01349.Search in Google Scholar
Supplementary Material
This article contains supplementary material (https://doi.org/10.1515/nanoph-2023-0304).
© 2023 the author(s), published by De Gruyter, Berlin/Boston
This work is licensed under the Creative Commons Attribution 4.0 International License.
Articles in the same Issue
- Frontmatter
- Research Articles
- Broadband synchronization of ultrafast pulse generation with double-walled carbon nanotubes
- Noncontractible loop states from a partially flat band in a photonic borophene lattice
- Experimental investigation of a near-field focusing performance of the IP-Dip polymer based 2D and 3D Fresnel zone plate geometries fabricated using 3D laser lithography coated with hyperbolic dispersion surface layered metamaterial
- 100-Gbps per-channel all-optical wavelength conversion without pre-amplifiers based on an integrated nanophotonic platform
- Multi-height metasurface for wavefront manipulation fabricated by direct laser writing lithography
- Enabling infinite Q factors in absorbing optical systems
- Erbium emitters in commercially fabricated nanophotonic silicon waveguides
- Four-dimensional experimental characterization of partially coherent light using incoherent modal decomposition
- Fine-tuning biexcitons-plasmon coherent states in a single nanocavity
- Möbius edge band and Weyl-like semimetal flat-band in topological photonic waveguide array by synthetic gauge flux
- Dual-band optical collimator based on deep-learning designed, fabrication-friendly metasurfaces
- Thickness insensitive nanocavities for 2D heterostructures using photonic molecules
- Beam-steering metasurfaces assisted coherent optical wireless multichannel communication system
- Asymmetric metasurface photodetectors for single-shot quantitative phase imaging
- Room-temperature unidirectional routing of valley excitons of monolayer WSe2 via plasmonic near-field interference in symmetric nano-slits
Articles in the same Issue
- Frontmatter
- Research Articles
- Broadband synchronization of ultrafast pulse generation with double-walled carbon nanotubes
- Noncontractible loop states from a partially flat band in a photonic borophene lattice
- Experimental investigation of a near-field focusing performance of the IP-Dip polymer based 2D and 3D Fresnel zone plate geometries fabricated using 3D laser lithography coated with hyperbolic dispersion surface layered metamaterial
- 100-Gbps per-channel all-optical wavelength conversion without pre-amplifiers based on an integrated nanophotonic platform
- Multi-height metasurface for wavefront manipulation fabricated by direct laser writing lithography
- Enabling infinite Q factors in absorbing optical systems
- Erbium emitters in commercially fabricated nanophotonic silicon waveguides
- Four-dimensional experimental characterization of partially coherent light using incoherent modal decomposition
- Fine-tuning biexcitons-plasmon coherent states in a single nanocavity
- Möbius edge band and Weyl-like semimetal flat-band in topological photonic waveguide array by synthetic gauge flux
- Dual-band optical collimator based on deep-learning designed, fabrication-friendly metasurfaces
- Thickness insensitive nanocavities for 2D heterostructures using photonic molecules
- Beam-steering metasurfaces assisted coherent optical wireless multichannel communication system
- Asymmetric metasurface photodetectors for single-shot quantitative phase imaging
- Room-temperature unidirectional routing of valley excitons of monolayer WSe2 via plasmonic near-field interference in symmetric nano-slits